Analyzing Drivers of Tropical Moist Forest Dynamics in the Kahuzi-Biega National Park Landscape, Eastern Democratic Republic of Congo from 1990 to 2022
Abstract
1. Introduction
2. Materials and Methods
2.1. Study Area
2.2. Dataset
2.3. Data Analysis
2.3.1. Image Quality and Adaptability Assessment
2.3.2. Model and Variable Selection
- Deforestation quantification: To assesses the impact of spatial grain selection on TMF dynamics, we quantified deforestation in square grids of varying sizes (1 km2, 9 km2, 25 km2, 100 km2, 225 km2, and 400 km2) as tested by Ref. [65]. Given the study area size, we focused on the smallest grid sizes (1 km2, 9 km2, 25 km2).
- Variable selection: Considering the various grid sizes retained, a selection of variables was made. The variable selection reduced the original set of variables based on Pearson correlation tests and principal component analyses (PCA) using, respectively, corrplot [66] and FactoMineR [67] packages in R 4.2.2. For the PCA analysis, eigenvalues and eigenvectors were computed to identify principal components and a correlation circle was used to visualize relationships. When two variables were highly correlated (r > 85%) and formed an acute angle on the correlation circle, the variable with the highest expression (high cos2) rate was selected.
- Model testing and scale selection: After testing models at different scales, one scale was chosen to analyze the zoning effects on our landscape. The choice was guided by Ref. [68]’s principle of fine scales for local disturbances and the model’s ability to explain most variables used [69]. The analysis of variance (ANOVA) also helped to detect the differences between models and different scales.
- Analysis of zoning effects on TMF dynamics: To better understand the dynamics of TMF in the Kahuzi-Biega National Park landscape, three groups of grids were considered for the three previously defined zones: inner grids, edge grids, and outer grids. Grids located entirely within the park (excluding the buffer zone) were classified as inner grids. Grids that were entirely or predominantly within the buffer zone were classified as edge grids, while those located outside both the buffer zone and the park were classified as outer grids. At this step, the variable selection was performed again for the different zones using the same methodology described above.
2.3.3. Model Construction
- Model development: At the first level, we developed TMF dynamics models across selected spatial scales using multiple linear regressions. The formula used for the multiple linear regression model is provided in Equation (1):
- Y is the dependent variable (∆f),
- X1, X2, …, Xn are the independent variables (predictors),
- β0, β1, …, βn are the coefficients,
- and ϵ is the error term.
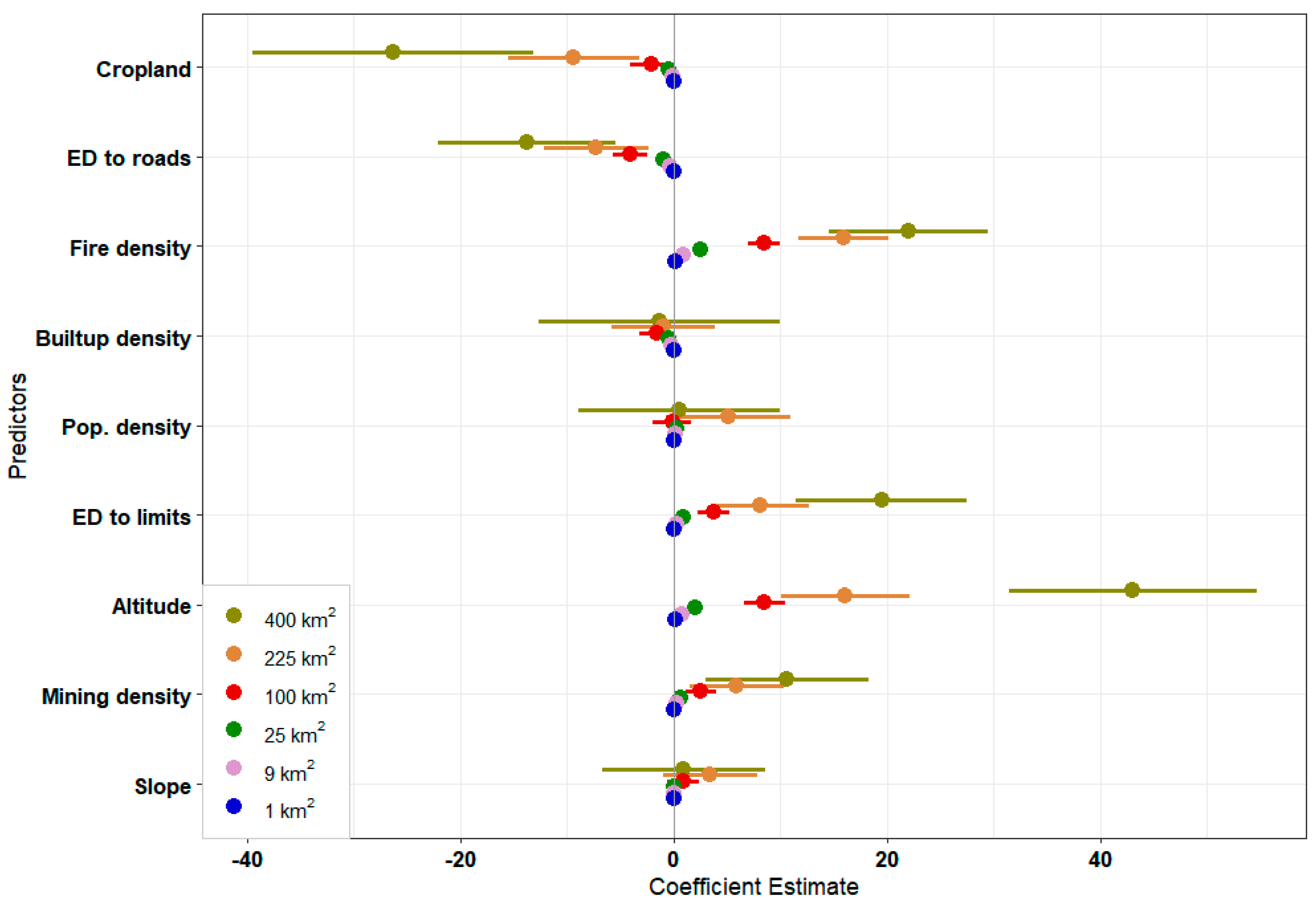
- Analysis of Variance (ANOVA): We determined scale-dependent TMF variation based on studied parameters. All variables were centered and normalized to assess their individual impacts. The results were visualized using dot–whisker plots [72]. The normalization formula used is presented in Equation (3).
- X is the original value,
- μ is the mean,
- and σ is the standard deviation.
- Zoning and Relative important analysis: Once the optimal scale for KBNP TMF dynamics was established, we analyzed different predefined zones. Initially, we computed TMF variation statistics across all years (1990–2022) and developed multiple linear regression models for the variation of TMF (∆f) as per earlier methods. The relative importance analysis (Equation (4)) was conducted using Lindemann, Merenda, and Gold’s method (lmg) with bootstrapping to estimate variability [73] by employing the relaimpo package in R 4.2.2.
- Xj is the variable of interest,
- S is a subset of predictors,
- R2 is the coefficient of determination,
- and p is the total number of predictors.
3. Results
3.1. Analysis of Model Sensitivity to Mesh Size
3.2. Assessing Zoning Effect on TMF Variation
4. Discussion
4.1. Data, Methods, and Limits of the Study
4.2. TMF Dynamics and the Influence of Deforestation and Degradation Drivers
5. Conclusions and Implications for Conservation
Author Contributions
Funding
Data Availability Statement
Acknowledgments
Conflicts of Interest
Appendix A
Appendix A.1
| Id | Data | Description | Source | Pre-Processing |
| 1 | Collection of annual changes in land use (1990–2022) |
| Forest Observations (europa.eu) [6] |
|
| 2 | Landsat image (2021) | Landsat 8 OLI/TIRS surface reflectance: USGS Landsat 8 Level 2, Collection 2, Tier 1, cloud cover < 1% | Google Earth Engine (GEE): https://code.earthengine.google.com/ | Supervised classification via GEE using the Random Forest algorithm (two classes: TMF and other classes) [64] |
| 3 | Built-up areas | Buildings provided by Open Street Map | Geofabrik Download Server | Calculation of the density of buildings/km2 for each grid at different scales |
| 4 | Roads | Road and waterway data provided by Open Street Map | Geofabrik Download Server | Calculation of the average Euclidean distance to roads in km for each grid at different scales |
| 5 | Rivers | Watercourse data provided by Open Street Map | Geofabrik Download Server | Calculation of the average Euclidean distance to rivers in km for each grid at different scales |
| 6 | Altitude and Slope | Digital terrain model with 30 m resolution | OpenTopography—Shuttle Radar Topography Mission (SRTM GL1) | Calculation of the average altitude (m) of each grid at different scales |
| 7 | Population data | Population at health zone level | Humanitarian Data Exchange (humdata.org) | Calculation of population density/km2 for each grid at different scales |
| 8 | Agricultural areas | Land cover map for 2021 at 10 m resolution based on Sentinel-1 and Sentinel-2 data | https://esa-worldcover.org/en [94] | Determination of the agricultural area (km2) in each grid at different scales |
| 9 | Lights | Active fires and hot spots derived from the MODIS collection 6.1 | https://firms.modaps.eosdis.nasa.gov/ | Calculation of the average density of fires/km2 for each grid at different scales |
| 10 | Mining areas | Small-scale artisanal mining sites | IPIS—Opendata (shinyapps.io) | Calculation of the average density of mining sites/km2 for each grid at different scales |
| 11 | Distance from park boundaries | Euclidean distance of the boundaries of the KBNP in the study landscape | Analyses in Arc Map 10.8.1 | Determination of the Euclidean distance of the park boundaries in km |
Appendix A.2

Appendix A.3

Appendix A.4

Appendix A.5
| Predictors | Grid Size: 400 km2 (R2 = 0.87) (p-Value: <2 × 10−16) | Grid Size: 225 km2 (R2 = 0.76) (p-Value: <2 × 10−16) | Grid Size: 100 km2 (R2 = 0.70) (p-Value: <2 × 10−16) | |||||||||
| β | t | Pr (>|t|) (*) | β | t | Pr (>|t|) (*) | β | t | Pr (>|t|) (*) | ||||
| Built-up density | −26.33 | −4.02 | 0.00 | *** | −9.38 | −3.03 | 0.00 | ** | −2.07 | −1.96 | 0.05 | |
| Cropland area | −13.74 | −3.31 | 0.00 | ** | −7.27 | −2.94 | 0.00 | ** | −4.07 | −4.92 | 1.60 × 10−6 | *** |
| Distance to roads | 43.04 | 7.46 | 8.20 × 10−10 | *** | 16.04 | 5.28 | 7.70 × 10−7 | *** | 8.51 | 8.72 | 4.50 × 10−16 | *** |
| Distance to rivers | 21.99 | 5.94 | 2.30 × 10−7 | *** | 15.91 | 7.38 | 5.10 × 10−11 | *** | 8.46 | 11.5 | <2 × 10−16 | *** |
| Altitude | −1.37 | −0.24 | 0.81 | −1.04 | −0.43 | 0.67 | −1.59 | −1.9 | 0.06 | |||
| Fire density | 0.49 | 0.1 | 0.92 | 5.08 | 1.73 | 0.09 | −0.14 | −0.15 | 0.88 | |||
| Population Density | 19.51 | 4.88 | 1.00 × 10−5 | *** | 8.12 | 3.57 | 0.00 | *** | 3.74 | 4.91 | 1.60 × 10−6 | *** |
| Ext. distance to limits | 10.60 | 2.79 | 0.01 | ** | 5.9 | 2.67 | 0.01 | ** | 2.55 | 3.59 | 0.00 | *** |
| Mining site density | 0.93 | 0.24 | 0.81 | 3.42 | 1.54 | 0.13 | 0.84 | 1.13 | 0.26 | |||
| (*) The probability values (Pr) obtained do not consider the existence of spatial autocorrelations. Consequently, they should be treated with caution when interpreting trends. Significance Index (p value≤): «***» 0.001 «**» 0.01 «*» 0.05 «.» 0.1 « » 1. | ||||||||||||
Appendix A.6
| Predictors | Grid Size: 25 km2 (R2 = 0.62) (p-Value: <2 × 10−16) | Grid Size: 9 km2 (R2 = 0.57) (p-Value: <2 × 10−16) | Grid Size: 1 km2 (R2 = 0.44) (p-Value: <2 × 10−16) | |||||||||
| β | t | Pr (>|t|) (*) | β | t | Pr (>|t|) (*) | β | t | Pr (>|t|) (*) | ||||
| Built-up density | −0.45 | −3.31 | 0.00 | *** | −0.45 | −3.31 | 0.00 | *** | −0.01 | −4.2 | 2.70 × 10−5 | *** |
| Cropland area | −1.03 | −8.85 | <2 × 10−16 | *** | −1.03 | −8.85 | <2 × 10−16 | *** | −0.04 | −32.64 | <2 × 10−16 | *** |
| Distance to roads | 2.06 | 15.83 | <2 × 10−16 | *** | 2.06 | 15.83 | <2 × 10−16 | *** | 0.08 | 56.06 | <2 × 10−16 | *** |
| Distance to rivers | 2.53 | 23.33 | <2 × 10−16 | *** | 2.53 | 23.33 | <2 × 10−16 | *** | 0.10 | 87.76 | <2 × 10−16 | *** |
| Altitude | −0.48 | −4.24 | 2.40 × 10−5 | *** | −0.48 | −4.24 | 2.40 × 10−5 | *** | −0.03 | −16.87 | <2 × 10−16 | *** |
| Fire density | 0.23 | 2.22 | 0.02647 | * | 0.23 | 2.22 | 0.03 | * | 0.01 | 6.57 | 5.20 × 10−11 | *** |
| Population Density | 0.87 | 8.12 | 1.30 × 10−15 | *** | 0.87 | 8.12 | 1.30 × 10−15 | *** | 0.03 | 23.18 | <2 × 10−16 | *** |
| Exterior distance to limits | 0.65 | 6.31 | 4.20 × 10−10 | *** | 0.65 | 6.31 | 4.20 × 10−10 | *** | 0.03 | 22.82 | <2 × 10−16 | *** |
| Mining site density | −0.03 | −0.31 | 0.76 | −0.03 | −0.31 | 0.76 | −0.01 | −8.21 | 2.30 × 10−16 | *** | ||
| (*) The probability values (Pr) obtained do not consider the existence of spatial autocorrelations. Consequently, they should be treated with caution when interpreting trends. Significance Index (p value≤): «***» 0.001 «**» 0.01 «*» 0.05 «.» 0.1 « » 1. | ||||||||||||
Appendix A.7

References
- Karsenty, A. Géopolitique Des Forêts d’Afrique Centrale. Herodote 2020, 179, 108–129. [Google Scholar] [CrossRef]
- Tchatchou, B.; Sonwa, D.J.; Tiani, A.M. Deforestation and Forest Degradation in the Congo Basin State of Knowledge, Current Causes and Perspectives; Center for International Forestry Research (CIFOR): Bogor, Indonesia, 2015. [Google Scholar]
- Mayaux, P.; Pekel, J.F.; Desclée, B.; Donnay, F.; Lupi, A.; Achard, F.; Clerici, M.; Bodart, C.; Brink, A.; Nasi, R.; et al. State and Evolution of the African Rainforests between 1990 and 2010. Philos. Trans. R. Soc. B Biol. Sci. 2013, 368, 20120300. [Google Scholar] [CrossRef]
- Grantham, H.S.; Shapiro, A.; Bonfils, D.; Gond, V.; Goldman, E.; Maisels, F.; Plumptre, A.J.; Rayden, T.; Robinson, J.G.; Strindberg, S.; et al. Spatial Priorities for Conserving the Most Intact Biodiverse Forests within Central Africa. Environ. Res. Lett. 2020, 15, 0940b5. [Google Scholar] [CrossRef]
- Eba’a Atyi, R.; Bayol, N. Les Forêts de La République Démocratique Du Congo En 2008. Les Forêts Du Bassin Du Congo Etat Des Forêts 2008, 2009, 115–128. [Google Scholar]
- Vancutsem, C.; Achard, F.; Pekel, J.-F.; Vieilledent, G.; Carboni, S.; Simonetti, D.; Gallego, J.; Aragão, L.E.O.C.; Nasi, R. Long-Term (1990–2019) Monitoring of Forest Cover Changes in the Humid Tropics. Sci. Adv. 2021, 7, eabe1603. [Google Scholar] [CrossRef]
- Hill, S.L.L.; Arnell, A.; Maney, C.; Butchart, S.H.M.; Hilton-Taylor, C.; Ciciarelli, C.; Davis, C.; Dinerstein, E.; Purvis, A.; Burgess, N.D. Measuring Forest Biodiversity Status and Changes Globally. Front. For. Glob. Chang. 2019, 2, 70. [Google Scholar] [CrossRef]
- Maxwell, S.L.; Evans, T.; Watson, J.E.M.; Morel, A.; Grantham, H.; Duncan, A.; Harris, N.; Potapov, P.; Runting, R.K.; Venter, O.; et al. Degradation and Forgone Removals Increase the Carbon Impact of Intact Forest Loss by 626%. Sci. Adv. 2019, 5, eaax2546. [Google Scholar] [CrossRef]
- Eba’a Atyi, R.; Hiol Hiol, F.; Lescuyer, G.; Mayaux, P.; Defourny, P.; Bayol, N.; Saracco, F.; Pokem, D.; Sufo Kankeu, R.; Nasi, R. Les Forêts Du Bassin Du Congo: État Des Forêts 2021; Center for International Forestry Research (CIFOR): Bogor, Indonesia, 2022. [Google Scholar]
- Shapiro, A.; d’Annunzio, R.; Desclée, B.; Jungers, Q.; Kondjo, H.K.; Iyanga, J.M.; Gangyo, F.I.; Nana, T.; Obame, C.V.; Milandou, C.; et al. Small Scale Agriculture Continues to Drive Deforestation and Degradation in Fragmented Forests in the Congo Basin (2015–2020). Land Use Policy 2023, 134, 106922. [Google Scholar] [CrossRef]
- Tyukavina, A.; Hansen, M.C.; Potapov, P.; Parker, D.; Okpa, C.; Stehman, S.V.; Kommareddy, I.; Turubanova, S. Congo Basin Forest Loss Dominated by Increasing Smallholder Clearing. Sci. Adv. 2018, 4, aat2993. [Google Scholar] [CrossRef]
- Ickowitz, A.; Slayback, D.; Asanzi, P.; Nasi, R. Agriculture and Deforestation in the Democratic Republic of the Congo: A Synthesis of the Current State of Knowledge; Center for International Forestry Research (CIFOR): Bogor, Indonesia, 2015. [Google Scholar]
- Turubanova, S.; Potapov, P.V.; Tyukavina, A.; Hansen, M.C. Ongoing Primary Forest Loss in Brazil, Democratic Republic of the Congo, and Indonesia. Environ. Res. Lett. 2018, 13, 074028. [Google Scholar] [CrossRef]
- Butsic, V.; Baumann, M.; Shortland, A.; Walker, S.; Kuemmerle, T. Conservation and Conflict in the Democratic Republic of Congo: The Impacts of Warfare, Mining, and Protected Areas on Deforestation. Biol. Conserv. 2015, 191, 266–273. [Google Scholar] [CrossRef]
- Nackoney, J.; Molinario, G.; Potapov, P.; Turubanova, S.; Hansen, M.C.; Furuichi, T. Impacts of Civil Conflict on Primary Forest Habitat in Northern Democratic Republic of the Congo, 1990–2010. Biol. Conserv. 2014, 170, 321–328. [Google Scholar] [CrossRef]
- WWF-PARAP. Le Réseau Des Aires Protégées de La République Démocratique Du Congo. Available online: https://www.wwf.de/fileadmin/fm-wwf/Publikationen-PDF/Afrika/WWF-Parap-Poster-French.pdf (accessed on 6 December 2023).
- UNDP. Aichi Biodiversity Target 11 Country Dossier: Congo (Democratic Republic Of); UNDP: New York, NY, USA, 2021. [Google Scholar]
- Bruner, A.G.; Gullison, R.E.; Rice, R.E.; da Fonseca, G.A.B. Effectiveness of Parks in Protecting Tropical Biodiversity. Science 2001, 291, 125–128. [Google Scholar] [CrossRef]
- Gibson, L.; Lee, T.M.; Koh, L.P.; Brook, B.W.; Gardner, T.A.; Barlow, J.; Peres, C.A.; Bradshaw, C.J.A.; Laurance, W.F.; Lovejoy, T.E.; et al. Primary Forests Are Irreplaceable for Sustaining Tropical Biodiversity. Nature 2011, 478, 378–381. [Google Scholar] [CrossRef]
- Damnyag, L.; Saastamoinen, O.; Blay, D.; Dwomoh, F.K.; Anglaaere, L.C.N.; Pappinen, A. Sustaining Protected Areas: Identifying and Controlling Deforestation and Forest Degradation Drivers in the Ankasa Conservation Area, Ghana. Biol. Conserv. 2013, 165, 86–94. [Google Scholar] [CrossRef]
- UNEP-WCMC; IUCN; NGS. Protected Planet Report 2018: Tracking Progress towards Global Targets for Protected Areas; UNEP-WCMC: Cambridge, UK; IUCN: Gland, Switezerland; NGS: Wahsington, DC, USA, 2018; ISBN 9789280737219. [Google Scholar]
- Jones, K.R.; Venter, O.; Fuller, R.A.; Allan, J.R.; Maxwell, S.L.; Negret, P.J.; Watson, J.E.M. One-Third of Global Protected Land Is under Intense Human Pressure. Science 2018, 360, 788–791. [Google Scholar] [CrossRef]
- Watson, J.E.M.; Iwamura, T.; Butt, N. Mapping Vulnerability and Conservation Adaptation Strategies under Climate Change. Nat. Clim. Chang. 2013, 3, 989–994. [Google Scholar] [CrossRef]
- Ngabinzeke, J.S.; Linchant, J.; Quevauvillers, S.; Muhongya, J.K.; Lejeune, P. La Détection Des Activités Humaines Illégales Dans Les Aires Protégées En République Démocratique Du Congo. NRC Res. Pract. 2016, 159, 151–159. [Google Scholar]
- UNEP. Human Development Index (HDI); UNEP: Nairobi, Kenya, 2022. [Google Scholar]
- UICN. Rapport de La Mission Conjointe de Suivi Réactif Centre Du Patrimoine Mondial/UICN Au Parc National de Kahuzi-Biega; UICN: Gland, Switzerland, 2017. [Google Scholar]
- Misser, F. Les Aires Protégées En République Démocratique Du Congo: Menaces et Défis. In L’action de l’Union Européenne; European Union: Brussels, Belgium, 2013. [Google Scholar]
- Plumptre, A.J.; Behangana, M.; Davenport, T.; Kahindo, C.; Kityo, E.; Ndomba, E.; Nkuutu, D.; Owiunji, I.; Ssegawa, P.; Eilu, G. Albertine Rift Biodiversity; WCS: New York, NY, USA, 2003. [Google Scholar]
- Spira, C.; Mitamba, G.; Kirkby, A.; Katembo, J.; Kiyani Kambale, C.; Musikami, P.; Dumbo, P.; Byaombe, D.; Plumptre, A.J.; Maisels, F. Inventaire de La Biodiversité Dans Le Parc National de Kahuzi-Biega, République Démocratique Du Congo; WCS: New York, NY, USA, 2018. [Google Scholar]
- Plumptre, A.J.; Nixon, S.; Kujirakwinja, D.K.; Vieilledent, G.; Critchlow, R.; Williamson, E.A.; Nishuli, R.; Kirkby, A.E.; Hall, J.S. Catastrophic Decline of World’s Largest Primate: 80% Loss of Grauer’s Gorilla (Gorilla Beringei Graueri) Population Justifies Critically Endangered Status. PLoS ONE 2016, 11, e0162697. [Google Scholar] [CrossRef]
- UNEP. Africa Mountains Atlas; UNEP: Nairobi, Kenya, 2014. [Google Scholar]
- Potapov, P.; Hansen, M.C.; Laestadius, L.; Turubanova, S.; Yaroshenko, A.; Thies, C.; Smith, W.; Zhuravleva, I.; Komarova, A.; Minnemeyer, S.; et al. The Last Frontiers of Wilderness: Tracking Loss of Intact Forest Landscapes from 2000 to 2013. Sci. Adv. 2017, 3, e1600821. [Google Scholar] [CrossRef]
- Plumptre, A.J.; Davenport, T.R.B.; Behangana, M.; Kityo, R.; Eilu, G.; Ssegawa, P.; Ewango, C.; Meirte, D.; Kahindo, C.; Herremans, M.; et al. The Biodiversity of the Albertine Rift. Biol. Conserv. 2007, 134, 178–194. [Google Scholar] [CrossRef]
- UICN/PACO. Parcs et Réserves de La République Démocratique Du Congo: Evaluation de l’Efficacité de La Gestion Des Aires Protégées Programme Aires Protégées d’Afrique Du Centre et de l’Ouest (PAPACO); UICN/PACO: Ouagadougou, Burkina Faso, 2010. [Google Scholar]
- Spira, C.; Kirkby, A.; Kujirakwinja, D.; Plumptre, A.J. The Socio-Economics of Artisanal Mining and Bushmeat Hunting around Protected Areas: Kahuzi–Biega National Park and Itombwe Nature Reserve, Eastern Democratic Republic of Congo. Oryx 2019, 53, 136–144. [Google Scholar] [CrossRef]
- Contino, F. Rapport Sur L’observation de La Zone Tampon Du PNKB; Graduate Institute: Geneva, Switzerland, 1996. [Google Scholar]
- Mudinga, M.E.; Ngendakumana, S.; Ansoms, A. Analyse Critique Du Processus de Cogestion Du Parc National de Kahuzi-Biega En République Démocratique Du Congo. La Rev. Électronique En Sci. De L’Environ. 2013, 17. [Google Scholar] [CrossRef]
- Iyomi, B. Parc National de Kahuzi Biega (PNKB), Fact Sheet PNKB No1, mars 2005, SYGIAP ICCN 2005. p. 2.
- Busane, R.M.; Kaganda, M.; Sheria, N.; Mushagalusa, J.-P.; Mugoli, M.N.; Maramuke, B.J.; Wakandwa, C.M. Analyses Des Dynamiques Des Conflits Autour Du PNKB; 2021. Available online: https://pdf.usaid.gov/pdf_docs/PA00XK66.pdf (accessed on 6 December 2023).
- ICCN-PNKB. Plan Général de Gestion 2009–2019: Parc National de Kahuzi-Biega; ICCN-PNKB: Bukavu, Congo, 2010. [Google Scholar]
- Dupuis, C.; Lejeune, P.; Michez, A.; Fayolle, A. How Can Remote Sensing Help Monitor Tropical Moist Forest Degradation?—A Systematic Review. Remote Sens. 2020, 12, 1087. [Google Scholar] [CrossRef]
- Bullock, E.L.; Woodcock, C.E.; Olofsson, P. Monitoring Tropical Forest Degradation Using Spectral Unmixing and Landsat Time Series Analysis. Remote Sens. Environ. 2020, 238, 110968. [Google Scholar] [CrossRef]
- Zhuravleva, I.; Turubanova, S.; Potapov, P.; Hansen, M.; Tyukavina, A.; Minnemeyer, S.; Laporte, N.; Goetz, S.; Verbelen, F.; Thies, C. Satellite-Based Primary Forest Degradation Assessment in the Democratic Republic of the Congo, 2000–2010. Environ. Res. Lett. 2013, 8, 024034. [Google Scholar] [CrossRef]
- Allan, J.R.; Venter, O.; Maxwell, S.; Bertzky, B.; Jones, K.; Shi, Y.; Watson, J.E.M. Recent Increases in Human Pressure and Forest Loss Threaten Many Natural World Heritage Sites. Biol. Conserv. 2017, 206, 47–55. [Google Scholar] [CrossRef]
- Heino, M.; Kummu, M.; Makkonen, M.; Mulligan, M.; Verburg, P.H.; Jalava, M.; Räsänen, T.A. Forest Loss in Protected Areas and Intact Forest Landscapes: A Global Analysis. PLoS ONE 2015, 10, e0138918. [Google Scholar] [CrossRef]
- Laurance, W.F.; Carolina Useche, D.; Rendeiro, J.; Kalka, M.; Bradshaw, C.J.A.; Sloan, S.P.; Laurance, S.G.; Campbell, M.; Abernethy, K.; Alvarez, P.; et al. Averting Biodiversity Collapse in Tropical Forest Protected Areas. Nature 2012, 489, 290–294. [Google Scholar] [CrossRef]
- Dudley, N. Lignes Directrices Pour l’Application Des Catégories de Gestion Aux Aires Protégées; IUCN: Gland, Switezerland, 2008. [Google Scholar]
- Potapov, P.V.; Turubanova, S.A.; Hansen, M.C.; Adusei, B.; Broich, M.; Altstatt, A.; Mane, L.; Justice, C.O. Quantifying Forest Cover Loss in Democratic Republic of the Congo, 2000–2010, with Landsat ETM+ Data. Remote Sens. Environ. 2012, 122, 106–116. [Google Scholar] [CrossRef]
- Tyukavina, A.; Potapov, P.; Hansen, M.C.; Pickens, A.H.; Stehman, S.V.; Turubanova, S.; Parker, D.; Zalles, V.; Lima, A.; Kommareddy, I.; et al. Global Trends of Forest Loss Due to Fire From 2001 to 2019. Front. Remote Sens. 2022, 3, 825190. [Google Scholar] [CrossRef]
- WWF. Les Fronts de Déforestation: Moteurs et Réponses Dans Un Monde En Mutation; WWF: Gland, Switezerland, 2020. [Google Scholar]
- Eva, H.; Lambin, E.F. Fires and Land-Cover Change in the Tropics: A Remote Sensing Analysis at the Landscape Scale. J. Biogeogr. 2000, 27, 765–776. [Google Scholar] [CrossRef]
- Meyfroidt, P. Approaches and Terminology for Causal Analysis in Land Systems Science. J. Land Use Sci. 2016, 11, 501–522. [Google Scholar] [CrossRef]
- Geist, H.J.; Lambin, F.E. Proximate Causes and Underlying Driving Forces of Tropical Deforestation. Bioscience 2002, 52, 143–150. [Google Scholar] [CrossRef]
- Shapiro, A.C.; Grantham, H.S.; Aguilar-Amuchastegui, N.; Murray, N.J.; Gond, V.; Bonfils, D.; Rickenbach, O. Forest Condition in the Congo Basin for the Assessment of Ecosystem Conservation Status. Ecol. Indic. 2021, 122. [Google Scholar] [CrossRef]
- Hall, L.S.; Krausman, P.R.; Morrison, M.L. Plea for Standard Terminology: The Habitat Concept and a Plea for Standard Terminology Key Words Peer Refereed. Wildl. Soc. Bull. 1997, 325. [Google Scholar]
- Aveling, C. Le Patrimoine Mondial Dans Le Bassin Du Congo; UNESCO: Paris, France, 2010. [Google Scholar]
- Masumbuko, N. Ecologie de Sericostachys Scandens, Liane Envahissante Dans Les Forêts de Montagne Du Parc National De Kahuzi-Biega, République Démocratique Du Congo. Ph.D. Thesis, Université Libre de Bruxelles, Bruxelles, Belgium, 2010. [Google Scholar]
- Cizungu, N.C.; Tshibasu, E.; Lutete, E.; Mushagalusa, C.A.; Mugumaarhahama, Y.; Ganza, D.; Karume, K.; Michel, B.; Lumbuenamo, R.; Bogaert, J. Fire Risk Assessment, Spatiotemporal Clustering and Hotspot Analysis in the Luki Biosphere Reserve Region, Western DR Congo. Trees For. People 2021, 5, 100104. [Google Scholar] [CrossRef]
- Suleiman, M.S.; Wasonga, V.O.; Mbau, J.S.; Suleiman, A.; Elhadi, Y.A. Non-Timber Forest Products and Their Contribution to Households Income around Falgore Game Reserve in Kano, Nigeria. Ecol Process 2017, 6, 23. [Google Scholar] [CrossRef]
- Curtis, P.G.; Slay, C.M.; Harris, N.L.; Tyukavina, A.; Hansen, M.C. Classifying Drivers of Global Forest Loss. Science 2018, 361, 1108–1111. [Google Scholar] [CrossRef]
- Venter, O.; Sanderson, E.W.; Magrach, A.; Allan, J.R.; Beher, J.; Jones, K.R.; Possingham, H.P.; Laurance, W.F.; Wood, P.; Fekete, B.M.; et al. Sixteen Years of Change in the Global Terrestrial Human Footprint and Implications for Biodiversity Conservation. Nat. Commun. 2016, 7, 12558. [Google Scholar] [CrossRef]
- Hart, J.A.; Hall, J.S. Status of Eastern Zaire’s Forest Parks and Reserves. Conserv. Biol. 1996, 10, 316–327. [Google Scholar] [CrossRef]
- Scholte, P. International Conference on the Impact of Sericostachys Scandens on the Conservation of Nyungwe National Park, Rwanda. Rw. Env. Man. Authority 2008. [Google Scholar]
- Zurqani, H.A.; Post, C.J.; Mikhailova, E.A.; Schlautman, M.A.; Sharp, J.L. Geospatial Analysis of Land Use Change in the Savannah River Basin Using Google Earth Engine. Int. J. Appl. Earth Obs. Geoinf. 2018, 69, 175–185. [Google Scholar] [CrossRef]
- Jaffé, R.; Nunes, S.; Dos Santos, J.F.; Gastauer, M.; Giannini, T.C.; Nascimento, W.; Sales, M.; Souza, C.M.; Souza-Filho, P.W.; Fletcher, R.J. Forecasting Deforestation in the Brazilian Amazon to Prioritize Conservation Efforts. Environ. Res. Lett. 2021, 16, 084034. [Google Scholar] [CrossRef]
- Wei, T.; Simko, V.; Levy, M.; Xie, Y.; Jin, Y.; Zemla, J.; Freidank, M.; Cai, J.; Protivinsky, T. Package “Corrplot”: Visualization of a Correlation Matrix. 2022. Available online: https://cran.r-project.org/web/packages/corrplot/corrplot.pdf (accessed on 17 July 2024).
- Kenett, R.S.; Longford, N.T.; Piegorsch, W.W.; Ruggeri, F. Wiley StatsRef: Statistics Reference Online, 1st ed.; Balakrishnan, N., Colton, T., Everitt, B., Piegorsch, W., Ruggeri, F., Teugels, J.L., Eds.; Major Reference Works; Wiley: Hoboken, NJ, USA, 2014; ISBN 9781118445112. [Google Scholar]
- Delcourt, H.R.; Delcourt, P.A. Quaternary Landscape Ecology: Relevant Scales in Space and Time; SPB Academic Publishing: Amsterdam, The Netherlands, 1988; Volume 2. [Google Scholar]
- Benítez-López, A.; Viñuela, J.; Mougeot, F.; García, J.T. A Multi-Scale Approach for Identifying Conservation Needs of Two Threatened Sympatric Steppe Birds. Biodivers. Conserv. 2017, 26, 63–83. [Google Scholar] [CrossRef]
- Khaliq, Y.; Dwyer, G.P., Jr. Tests of Normality for Time Series Data. Econ. Lett. 2005, 89, 83–88. [Google Scholar] [CrossRef]
- Farebrother, R.W. The Durbin-Watson Test for Serial Correlation When There Is No Intercept in the Regression. Econometrica 1980, 48, 1553–1563. [Google Scholar] [CrossRef]
- Wickham, H. Ggplot2: Elegant Graphics for Data Analysis; Springer International Publishing: Cham, Switzerland, 2016; ISBN 978-3-319-24275-0. [Google Scholar]
- Groemping, U. Relative Importance for Linear Regression in R: The Package Relaimpo. J. Stat. Softw. 2006, 17, 1–27. [Google Scholar] [CrossRef]
- Mestre, F.; Silva, B. Lconnect R Package: A Versatile Tool for Evaluating Landscape Connectivity and Prioritizing Habitat Patches in Conservation Research. Ecol. Model. 2023, 484, 110489. [Google Scholar] [CrossRef]
- Campbell, A.; Clark, S.; Coad, L.; Miles, L.; Bolt, K.; Roe, D. Protecting the Future: Carbon, Forests, Protected Areas and Local Livelihoods. Biodiversity 2008, 9, 117–121. [Google Scholar] [CrossRef]
- Ouattara, B.; Sanou, L.; Koala, J.; Hien, M. Perceptions Locales de La Dégradation Des Ressources Naturelles Du Corridor Forestier de La Boucle Du Mouhoun Au Burkina Faso. Bois For. Des Trop. 2022, 352, 43–60. [Google Scholar] [CrossRef]
- Bagan, H.; Yamagata, Y. Land-Cover Change Analysis in 50 Global Cities by Using a Combination of Landsat Data and Analysis of Grid Cells. Environ. Res. Lett. 2014, 9, 064015. [Google Scholar] [CrossRef]
- Thayn, J.B.; Simanis, J.M. Accounting for Spatial Autocorrelation in Linear Regression Models Using Spatial Filtering with Eigenvectors. Ann. Assoc. Am. Geogr. 2013, 103, 47–66. [Google Scholar] [CrossRef]
- Fürst, C.; Avirmed, B.; Clerici, N.; Khoroshev, A.; Kofi Nyarko, B.; Prishchepov, A.; Scheller, R.M.; Silbernagel Balster, J.; Watanabe, T. Principles and Methods in Landscape Ecology; Springer Nature: Cham, Switzerland, 2022; Volume 3. [Google Scholar]
- Qi, Y.; Wu, J. Effects of Changing Spatial Resolution on the Results of Landscape Pattern Analysis Using Spatial Autocorrelation Indices; SPB Academic Publishing: Amsterdam, The Netherlands, 1996. [Google Scholar]
- Molinario, G.; Hansen, M.; Potapov, P.; Tyukavina, A.; Stehman, S. Contextualizing Landscape-Scale Forest Cover Loss in the Democratic Republic of Congo (DRC) between 2000 and 2015. Land 2020, 9, 23. [Google Scholar] [CrossRef]
- Cirezi, N.C.; Bastin, J.F.; Tshibasu, E.; Lonpi, E.T.; Chuma, G.B.; Mugumaarhahama, Y.; Sambieni, K.R.; Karume, K.C.; Lumbuenamo, R.S.; Bogaert, J. Contribution of ‘Human Induced Fires’ to Forest and Savanna Land Conversion Dynamics in the Luki Biosphere Reserve Landscape, Western Democratic Republic of Congo. Int. J. Remote Sens. 2022, 43, 6406–6429. [Google Scholar] [CrossRef]
- van Wees, D.; van der Werf, G.R.; Randerson, J.T.; Andela, N.; Chen, Y.; Morton, D.C. The Role of Fire in Global Forest Loss Dynamics. Glob. Chang. Biol. 2021, 27, 2377–2391. [Google Scholar] [CrossRef]
- Harris, N.L.; Goldman, E.; Gabris, C.; Nordling, J.; Minnemeyer, S.; Ansari, S.; Lippmann, M.; Bennett, L.; Raad, M.; Hansen, M.; et al. Using Spatial Statistics to Identify Emerging Hot Spots of Forest Loss. Environ. Res. Lett. 2017, 12, 024012. [Google Scholar] [CrossRef]
- Alignier, A.; Deconchat, M. Patterns of Forest Vegetation Responses to Edge Effect as Revealed by a Continuous Approach. Ann. For. Sci. 2013, 70, 601–609. [Google Scholar] [CrossRef]
- Kabonyi, C.; Salmon, M.; Roche, E. Le Parc National de Kahuzi-Biega (R. D. Congo), Patrimoine En Péril? Le Secteur «Haute Altitude», Situation et Perspectives. Geo-Eco-Trop 2011, 35, 1–8. [Google Scholar]
- Arakwiye, B.; Rogan, J.; Eastman, J.R. Thirty Years of Forest-Cover Change in Western Rwanda during Periods of Wars and Environmental Policy Shifts. Reg. Environ. Chang. 2021, 21, 27. [Google Scholar] [CrossRef]
- Democratic Republic of the Congo. Loi N° 14/003 DU 11 Février 2014 Relative à La Conservation de La Nature. Available online: https://www.leganet.cd/Legislation/Droit%20administratif/Environnement/Loi14003.11.02.2014.htm (accessed on 17 December 2024).
- Batumike, R.; Imani, G.; Bisimwa, B.; Mambo, H.; Kalume, J.; Kavuba, F.; Cuni-Sanchez, A. Lomami Buffer Zone (DRC): Forest Composition, Structure, and the Sustainability of Its Use by Local Communities. Biotropica 2022, 54, 289–300. [Google Scholar] [CrossRef]
- Jusys, T. Quantifying Avoided Deforestation in Pará: Protected Areas, Buffer Zones and Edge Effects. J. Nat. Conserv. 2016, 33, 10–17. [Google Scholar] [CrossRef]
- Ladewig, M.; Angelsen, A.; Masolele, R.N.; Chervier, C. Deforestation Triggered by Artisanal Mining in Eastern Democratic Republic of the Congo. Nat. Sustain. 2024, 7, 1452–1460. [Google Scholar] [CrossRef]
- Harris, I.; Osborn, T.J.; Jones, P.; Lister, D. Version 4 of the CRU TS Monthly High-Resolution Gridded Multivariate Climate Dataset. Sci. Data 2020, 7, 109. [Google Scholar] [CrossRef]
- Molinario, G.; Hansen, M.C.; Potapov, P. V Forest Cover Dynamics of Shifting Cultivation in the Democratic Republic of Congo: A Remote Sensing-Based Assessment for 2000–2010. Environ. Res. Lett. 2015, 10, 094009. [Google Scholar] [CrossRef]
- Zanaga, D.; Van De Kerchove, R.; Daems, D.; De Keersmaecker, W.; Brockmann, C.; Kirches, G.; Wevers, J.; Cartus, O.; Santoro, M.; Fritz, S.; et al. ESA WorldCover 10 m 2021 V200 (Version V200) [Data Set]; International Institute for Applied Systems Analysis: Laxenburg, Austria, 2022. [Google Scholar]








| Predictors |
Inner Zone (R2 = 0.87) (p-Value: <2 × 10−16) |
Edge Zone (R2 = 0.73) (p-Value: <2 × 10−16) |
Outer Zone (R2 = 0.56) (p-Value: <2 × 10−16) | ||||||
|---|---|---|---|---|---|---|---|---|---|
| β | t | Pr (>|t|) (*) | β | t | Pr (>|t|) (*) | β | t | Pr (>|t|) (*) | |
| Built-up density | - | - | - | −1.38 | −1.10 | 0.27 | −0.52 | −4.07 | 0.00 *** |
| Cropland area | - | - | - | 1.98 | 2.24 | 0.03 * | −0.56 | −3.83 | 0.00 *** |
| ED to roads | 0.02 | 0.27 | 0.79 | −1.10 | −3.40 | 0.00 *** | −1.24 | −7.04 | 0.00 *** |
| Altitude | 0.30 | 1.79 | 0.07. | 1.63 | 5.26 | 0.00 *** | 2.24 | 14.14 | <2 × 10−16 *** |
| Fire Density | 4.87 | 24.24 | <2 × 1016 *** | 2.82 | 8.15 | 0.00 *** | 2.46 | 18.39 | <2 × 10−16 *** |
| Population density | 6.72 | 4.69 | 0.00 *** | - | - | - | - | - | |
| Mining density | −4.90 | −3.82 | 0.00 *** | 1.11 | 2.05 | 0.04 * | 0.56 | 4.74 | 0.00 *** |
| Slope | −0.10 | −0.65 | 0.52 | −0.69 | −1.71 | 0.09. | - | - | - |
| ED to park limits | - | - | - | 5.25 | 1.19 | 0.24 | 0.80 | 5.49 | 0.00 *** |
Disclaimer/Publisher’s Note: The statements, opinions and data contained in all publications are solely those of the individual author(s) and contributor(s) and not of MDPI and/or the editor(s). MDPI and/or the editor(s) disclaim responsibility for any injury to people or property resulting from any ideas, methods, instructions or products referred to in the content. |
© 2024 by the authors. Licensee MDPI, Basel, Switzerland. This article is an open access article distributed under the terms and conditions of the Creative Commons Attribution (CC BY) license (https://creativecommons.org/licenses/by/4.0/).
Share and Cite
Cirezi, N.C.; Bastin, J.-F.; Mugumaarhahama, Y.; Useni, Y.S.; Karume, K.; Lumbuenamo, R.S.; Bogaert, J. Analyzing Drivers of Tropical Moist Forest Dynamics in the Kahuzi-Biega National Park Landscape, Eastern Democratic Republic of Congo from 1990 to 2022. Land 2025, 14, 49. https://doi.org/10.3390/land14010049
Cirezi NC, Bastin J-F, Mugumaarhahama Y, Useni YS, Karume K, Lumbuenamo RS, Bogaert J. Analyzing Drivers of Tropical Moist Forest Dynamics in the Kahuzi-Biega National Park Landscape, Eastern Democratic Republic of Congo from 1990 to 2022. Land. 2025; 14(1):49. https://doi.org/10.3390/land14010049
Chicago/Turabian StyleCirezi, Nadège Cizungu, Jean-François Bastin, Yannick Mugumaarhahama, Yannick Sikuzani Useni, Katcho Karume, Raymond Sinsi Lumbuenamo, and Jan Bogaert. 2025. "Analyzing Drivers of Tropical Moist Forest Dynamics in the Kahuzi-Biega National Park Landscape, Eastern Democratic Republic of Congo from 1990 to 2022" Land 14, no. 1: 49. https://doi.org/10.3390/land14010049
APA StyleCirezi, N. C., Bastin, J.-F., Mugumaarhahama, Y., Useni, Y. S., Karume, K., Lumbuenamo, R. S., & Bogaert, J. (2025). Analyzing Drivers of Tropical Moist Forest Dynamics in the Kahuzi-Biega National Park Landscape, Eastern Democratic Republic of Congo from 1990 to 2022. Land, 14(1), 49. https://doi.org/10.3390/land14010049

