Next Article in Journal
Exploring the Links Between Forest Stewardship Council Certification and Biodiversity Outcomes at a Global Level
Next Article in Special Issue
Urbanization and Drivers for Dual Capital City: Assessment of Urban Planning Principles and Indicators for a ‘15-Minute City’
Previous Article in Journal
Urban Park Planning for Sustainability: Resident Insights from China’s Major Cities
 
 
Font Type:
Arial Georgia Verdana
Font Size:
Aa Aa Aa
Line Spacing:
Column Width:
Background:
Article

Exploring the Relationship Between Residential Perceptions and Satisfaction: A Demographic Analysis in Wuhan, China

1
School of Urban Design, Wuhan University, Wuhan 430072, China
2
China Institute of Development Strategy and Planning, Wuhan 430072, China
3
Wuhan Planning & Design Institute, Wuhan 430072, China
4
School of Resource and Environmental Sciences, Wuhan University, Wuhan 430072, China
*
Author to whom correspondence should be addressed.
Land 2025, 14(1), 129; https://doi.org/10.3390/land14010129
Submission received: 8 December 2024 / Revised: 3 January 2025 / Accepted: 8 January 2025 / Published: 10 January 2025
(This article belongs to the Special Issue The 15-Minute City: Land-Use Policy Impacts)

Abstract

Previous research has shown that residents’ perceptions significantly influence their residential satisfaction. However, the internal relationships within these perceptions and their impact on satisfaction across different demographic groups remain underexplored. This study, guided by Maslow’s hierarchy and Homo-urbanicus, categorizes residents’ perceptions into four dimensions: safety, convenience, comfort, and aesthetics. Using multi-group structural equation modeling, an empirical investigation was conducted in Wuhan, China. The findings indicate that perceptions of safety, convenience, comfort, and aesthetics exert a chained mediating effect on satisfaction, with the impact pathway being safety → convenience → comfort → aesthetics → satisfaction. Both convenience and comfort also directly influence satisfaction. Notably, perception pathways vary among different demographic groups: women are more influenced by perceptions, younger individuals prioritize convenience and aesthetics, and older adults emphasize safety and comfort. This study highlights demographic differences in perception and satisfaction levels, offering insights into the hierarchical relationships among resident perceptions and their impact pathways on satisfaction. This research suggests enhancing residential satisfaction by optimizing these perceptions, particularly for vulnerable groups. Policy implications include improving human settlement elements at the residential area level, incorporating cultural and innovative elements, and expanding public participation in communities.

1. Introduction

China’s urbanization rate reached 66.16% by 2023, and it is projected that 70% of the population will live in residential communities designed to provide essential public services, commercial facilities, and transportation within about a 15 min walk by 2035 [1]. Rapid urbanization is leading to increased challenges in high-density living, posing a threat to residents’ shared well-being and spatial justice [2,3], potentially leading to a downward trend in their residential satisfaction [4]. With massive community changes in Chinese cities over recent years, there is an imperative to explore residents’ perception or assessment of their neighborhood environment, as well as its impacts on residential satisfaction [5].
This raises an important question about the key determinants of residential satisfaction, defined as the individual’s overall evaluation and positive emotions derived from their physical dwelling and the surrounding neighborhood [6,7,8], and treated as an important factor affecting life satisfaction [9] and mental health [10]. These studies establish an “Objective Elements → Subjective Perception → Satisfaction” [11,12,13] impact pathway. Fully or partially comprehending this process can assist policymakers in optimizing objective elements to align with residents’ satisfaction. As Pacione argued, “we must consider both the city on the ground and the city in the mind” [14], underscoring the need to develop a perception system more directly linked to community spatial elements. Recent literature increasingly recognizes subjective perceptions, like a sense of security [15,16], health [17], social relationships [18], and individual characteristics [19], such as age and gender [20,21]. The research indicates that subjective perceptions have a stronger influence on residential satisfaction than objective elements [5]. However, the existing studies in Wuhan and other Chinese cities predominantly analyze these perceptions as isolated variables rather than interconnected components influencing satisfaction through progressive pathways. Studies have highlighted the role of neighborhood safety and convenience but not explored how these perceptions interact or form hierarchical pathways. This study expands the scope by exploring the tiered relationship between safety, convenience, comfort, and aesthetics, offering a more comprehensive model that captures the complexities of residential satisfaction.
This study aims to extend the literature by exploring residential satisfaction at the community scale in Wuchang District, Wuhan, and establishing a residents’ perceptions framework based on “Homo-urbanicus”. Initially, we constructed a perception system framed around safety, convenience, comfort, and aesthetics. Subsequently, we investigated the impact of residents’ perceptions on residential satisfaction and examined the effects of differentiated demographic characteristics, mainly age and gender. Specifically, we addressed the following research questions: the constituent elements of residential satisfaction; whether there is a hierarchical relationship among residents’ subjective perceptions—namely, safety, convenience, comfort, and aesthetics—and its presence in influencing residential satisfaction; and whether residents of different ages and genders experience varying impacts on their satisfaction from different perceptions.
This article contributes to the literature in three main aspects. Firstly, the current system for measuring residential satisfaction lacks theoretical support, with its indices often covering only partial aspects of living spaces, such as safety, physical environment perceptions, or convenience of travel, as integrated indicators [22] or pointing to residents’ psychological health rather than satisfaction with community spaces. This study constructs a residential space system comprised of spatial contact opportunities, spatial carrying systems, and residents’ composition. Satisfaction is then structured as satisfaction with spatial contact opportunities, satisfaction with the spatial carrying system, and social satisfaction, forming a more comprehensive satisfaction measurement framework. Secondly, in the existing research on residential satisfaction, the hierarchy of subjective perceptions has been largely overlooked. Studies have treated different perceptions as independent variables, neglecting the correlations between them. Based on the perception system in “Homo-urbanicus” and incorporating Maslow’s hierarchy of needs, we explore the progressive relationship between safety, convenience, comfort, and aesthetics, namely, how lower-level perceptions influence higher-level perceptions and display a chained mediating effect when affecting residential satisfaction. Lastly, existing studies have focused more on the satisfaction analysis of specific characteristic groups, lacking a multi-type horizontal comparative analysis. Our research analyzes the differences in perceiving community spaces and forming satisfaction among residents of different ages and genders, identifying the differentiated spatial needs of residents with different demographic attributes and providing valuable guidance for constructing community spaces shared by all.
The rest of this article is structured as follows: We propose our theoretical framework and basic hypotheses based on a brief review of the existing research on residential satisfaction and residents’ perceptions in conjunction with Urban Human theory and Maslow’s hierarchy of needs. This is followed by a discussion of the data, model specification, and results of the multi-group structural equation model. Finally, we summarize the main findings and policy implications.

2. Literature Review

The study of residential satisfaction, initiated in the 1960s, has consistently garnered significant scholarly attention, with continuous advancements in theories, methodologies, and empirical findings [18]. Residential satisfaction is widely recognized as closely linked to factors such as the living environment, facilities and services, and neighborhood relationships and is a crucial determinant of life satisfaction [9,23]. Research on residential satisfaction is characterized by three core developments: (1) The distinction between subjective and objective influencing factors is well-documented, with objective elements influencing subjective perceptions, thereby impacting residential satisfaction. (2) Studies have focused on the residential satisfaction of specific social groups, including migrant workers, the elderly, and children, aiming to uncover differentiated representations and mechanisms of influence [24,25]. (3) The incorporation of new theories and methodologies has led to the development of specialized satisfaction scales, extending residential satisfaction research to urban space quality assessments and the study of residents’ psychological and physiological health, thereby broadening the applicability of research findings.

2.1. Residential Satisfaction and Perceptions

People generally prefer living in places that can meet their basic life necessities and personal expectations [26], viewing them as ideal residences. Residential satisfaction can be regarded as residents’ feedback on their daily living experiences [27], encapsulating individual perceptions and evaluations of various aspects of their living environment. In measuring residential satisfaction, some studies treat it directly as an independent variable or a collection of multiple measurement variables, often confusing it with spatial perceptions, psychological health, emotions, etc., with few offering a more systematic satisfaction measurement framework targeting community spaces.
Safety perception plays a foundational and crucial role in residential satisfaction [28]. It serves as a prerequisite for residents to engage in activities in community green spaces and expand neighborhood interactions [29]. As residents’ perceptions of community safety improve, so does their trust in community spaces and neighbors, directly enhancing their satisfaction with their living environment. Typically, questionnaires are used to assess residents’ perceptions across different dimensions of community safety, employing Likert scales to rate aspects such as overall community safety, traffic safety, and crime rates [30]. However, existing studies often overlook the potential influence of safety perception on other residential satisfaction factors and its possible mediating role in the process of enhancing residential satisfaction.
Convenience perception is considered a perception closely related to residents’ daily lives and strongly associated with the accessibility of local transportation, public service facilities, and public spaces. Studies have found that highly accessible public spaces [31] and public transportation lead to greater community satisfaction. Specifically, research on public transportation has revealed that the accessibility of bus stops has a more significant impact on residential satisfaction than actual distance [32]. Based on the pursuit of convenience by residents, research has proposed that compact cities are more livable [33]. Moreover, studies have recognized the interconnectivity between perceptions of convenience and safety [15]. However, they have not delved into the correlation between these factors and their combined effect on satisfaction.
Additional satisfaction studies have analyzed the comfort levels of the elderly based on their visual–acoustic–thermal perceptions [34] or explored aesthetic perceptions in urban environments [34]. These types of perceptions profoundly reflect residents’ responses to their objective environment and researching these perceptions holds significant implications for guiding urban planning and design. However, there is scant discussion on the impact of such perceptions on the overall satisfaction with residential areas. Moreover, there is a need for a deeper understanding of the satisfaction formation mechanism from the perspective of perception and exploring how to enhance residential satisfaction through the optimization of perceptions.

2.2. The Impact of Demographic Differences in Residential Satisfaction

Individual factors are significant determinants of residential satisfaction, with research classifying typical populations or discussing based on age and gender to analyze the community satisfaction formation mechanisms among different characteristic groups. The elderly population is a crucial research subject, with numerous studies investigating how living conditions, health, and other multifactorial aspects [35] affect their residential satisfaction. Some studies also explore the further impacts of elderly residential satisfaction on other comprehensive perceptions such as a sense of belonging and loneliness [36]. Women and children are also key demographic groups of interest, and the differences in residential satisfaction brought by diverse population structures have been validated by research. However, current studies rarely systematically explore the differences in satisfaction formation mechanisms brought by various demographic characteristics. There is a lack of effective comparative analyses to understand the relationships between different demographic differences, aiming to investigate population characteristics with more significant satisfaction disparities.
Although prior research has provided some insights, a number of barriers have prevented us from fully understanding the mechanisms by which residents’ perceptions influence residential satisfaction, particularly the impact of individual differences. First, research on the impact of residents’ subjective perceptions has tended to focus on single or multiple unstructured cognitive categories. Second, although resident perceptions affect residential satisfaction [15,16], the internal interactions of these perceptions are rarely considered. Third, individual differences affect residential satisfaction [19], and while many studies have investigated differences in residential satisfaction mechanisms across groups, few studies have comparatively discussed the relationship between different perceptions and satisfaction formation in terms of basic demographic differences such as gender and age. Therefore, it is necessary to measure residents’ needs and perceptions at the community scale and analyze how these perceptions differentially affect the residential satisfaction of different demographic groups, which is of great theoretical and practical value for the development of effective urban planning and public policy and the improvement of residents’ well-being [37].

3. Theoretical Framework and Research Hypothesis

The Homo-urbanicus perception system is aligned with Maslow’s hierarchy of needs [38,39] (Figure 1). Maslow’s framework organizes human needs into five levels: physiological, safety, love and belonging, esteem, and self-actualization. Furthermore, Maslow acknowledged that these levels do not follow a strict sequence. He stated, “In actual fact, most members of our society who are normal, are partially satisfied in all their basic needs and partially unsatisfied in all their basic needs at the same time.”. He elaborated by saying, “For example, using arbitrary figures for illustration, it’s as if the average citizen is 85 per cent satisfied in physiological needs, 70 per cent in safety needs, 50 per cent in love needs, 40 per cent in self-esteem needs, and 10 per cent in self-actualization needs.” [40].
Homo-urbanicus is a meta-theoretical concept in urban planning used to describe, explain, and evaluate the phenomenon of human settlement [40], focusing on the match between humans and their living environment. Hok-Lin Leung defined the proponent of the Homo-urbanicus concept as “a person who rationally chooses to live close to other people in pursuit of spatial contact opportunities [41]”. This aligns with the Homo-urbanicus theory, which posits a hierarchy in residents’ pursuit of safety, convenience, comfort, and aesthetics within human settlements. Perceptions arise from residents’ interactions with spatial contact opportunities in human settlements, particularly within the community of this study. However, the linkage among these perceptions is not straightforward. Safety perception, the most basic, relates to both physiological and safety needs, addressing whether residents can satisfy essential life requirements and feel secure. Convenience perception, primarily physical, assesses ease of access to daily necessities, partially fulfilling safety needs and addressing love and belonging needs through communication and social interaction. Comfort perception, which is more rational, is tied to love, belonging, and esteem needs, reflecting residents’ sense of alignment with their community. Aesthetic perception, the highest level, is related to esteem and self-actualization needs, aligning the living environment with residents’ rational goals and higher-level cultural identity.
Therefore, it is evident that there is an inherent transitional relationship within the layers of perception that guides the pathway from residents’ perceptions to residential satisfaction. Firstly, there is a hierarchical relationship within perceptions, and residential lower-level perceptions should be stronger than higher-level ones since the fulfillment of lower-level perceptions forms the basis for satisfying higher-level perceptions. Secondly, the impact of these perceptions on overall satisfaction varies, and a possible relationship is that lower-level perceptions influence satisfaction by affecting higher-level perceptions.
Furthermore, the Homo-urbanicus research team in Wuhan, China, has further developed the Urban Human theory, categorizing the residential system into “spatial contact opportunities”, the “Spatial Carrying System”, and “residents” [42]. As shown in Figure 2, residents, as the perceiving subjects within the residential system, seek the optimal match between humans and spatial contact opportunities in the residential system. The spatial carrying system carries the behavior of pursuing these spatial contact opportunities and can itself act as a special kind of spatial contact opportunity (such as roads, green spaces, etc.). Consequently, residents perceive the residential system based on their fundamental attributes (physicality, rationality, and sociability), forming multidimensional perceptions around safety, convenience, comfort, and aesthetics. The satisfaction of residents is then based on this element system, leading to the formation of satisfaction with the spatial contact opportunities, social satisfaction, and satisfaction with the spatial carrying system.
The following hypotheses are proposed (Figure 3):
H1: 
Residents’ perceptions, safety (H1a), convenience (H1b), comfort (H1c), and aesthetics (H1d) have a significant positive impact on residential satisfaction.
Maslow’s needs theory proposes a hierarchy of needs and argues for their sequential satisfaction [43]. Its basic assumption is that human needs are hierarchical and are satisfied in a sequential order. This theory has inspired the second hypothesis of this study: namely, the perceptions of safety, convenience, comfort, and aesthetics mentioned in this paper are also hierarchical. Safety and convenience are more closely related to the lower-level physical aspects, while comfort and aesthetics are more closely tied to the higher-level rational aspects. These perceptions progress step by step and ultimately lead to satisfaction. This tiered pathway reflects a sequential mediation process largely overlooked in prior studies, providing a novel analytical lens through which residential satisfaction can be assessed. Such pathways offer valuable insights into the cascading effects of lower-level perceptions on higher-level experiences, contributing to a more nuanced understanding of satisfaction formation. Therefore, the second hypothesis is as follows:
H2: 
Perceptions of safety, convenience, comfort, and aesthetics have a positive chain mediating effect on the pathway influencing satisfaction. This pathway follows the direction of safety → convenience → comfort → aesthetics → residential satisfaction.
The Homo-urbanicus theory classifies individuals’ characteristics into fundamental attributes and incidental attributes. Fundamental attributes are inherent, universally present across all individuals, and remain relatively stable regardless of historical or socio-economic changes. These include age, gender, and life stage (family structure). In contrast, incidental attributes, such as occupation, income, and education, are shaped by socio-economic development and may vary significantly across different periods and contexts. This study prioritizes fundamental attributes because they represent intrinsic qualities that influence residents’ perceptions and satisfaction across diverse populations. By focusing on these universal attributes, this research aims to offer insights that are broadly applicable to urban planning, ensuring that community development strategies are inclusive and centered on essential human characteristics rather than socio-economic disparities. This approach aligns with the people-oriented planning philosophy advocating for improvements that benefit all residents based on shared, fundamental traits.
H3: 
Demographic differences, gender differences (H3a), age differences (H3b), and family structure differences (H3c) significantly affect the impact pathway of residents’ perceptions of safety, convenience, comfort, and aesthetics on residential satisfaction.
In order to test the hypothesized path, we used some of the latent variables in the empirical part. The model was validated using the structural equation modeling software AMOS28.

4. Materials and Methods

4.1. Research Area

Wuhan, the capital of Hubei Province, is a key megacity in central China, characterized by diverse urban residential needs and rapid urbanization. As the political, economic, and cultural center of the region, Wuhan’s central urban area reflects a wide range of residential community forms that have emerged throughout different historical periods in China, making it highly representative for urban studies.
The selection of Wuchang District as the case study area is driven by several factors. Wuchang is one of the three main urban districts in Wuhan, alongside Hankou and Hanyang, and holds significant historical, educational, and technological importance. It hosts a high concentration of universities, research institutions, and science and technology parks, contributing to unique residential demands. Additionally, Wuchang exhibits a broad spectrum of residential types, varying in plot ratios, construction periods, and population densities. This diversity allows for a more comprehensive investigation of residential perceptions and satisfaction across different demographic groups. Wuchang’s distinct blend of older, established neighborhoods and newer, modern developments offers an ideal microcosm for studying the interplay between traditional and contemporary residential environments. This unique combination enhances the generalizability of the findings, ensuring that insights derived from Wuchang can be extrapolated to other urban areas within Wuhan and beyond.
The decision to focus solely on Wuchang is further justified by its central location and accessibility, which facilitated efficient data collection and ensured a higher response rate during field surveys. By narrowing the research scope to this district, the study achieves greater depth and detail in analyzing the relationship between residential perceptions and satisfaction while maintaining relevance to broader urban contexts (Figure 4).

4.2. Indicator System for the Evaluation of Residents’ Perceptions of Their Community

Based on the aforementioned theories, this study establishes a resident perception evaluation index system around the four dimensions of safety, convenience, comfort, and aesthetics and selects indicators for each dimension based on the existing research (Table 1).
Safety perception characterizes whether residents feel that their life and property are under threat and encompasses the trust relationship between neighbors (z1), home property safety (z2) [44], and community outdoor safety (z3 and z4) [45,46]. Safety from crimes and accidents is positively associated with residential satisfaction [16]. The fear of crime is an important latent variable linking neighborhood characteristics with residents’ psychological health [31,47], influencing their satisfaction and well-being [48]. Additionally, the safety of vulnerable groups, such as youth, elderly, and disabled individuals (z5) [49], is considered an important factor in interpreting residents’ perception of community safety.
Convenience perception reflects residents’ sense of whether their living area offers sufficient and easily accessible spatial contact opportunities. In terms of residential planning, the accessibility of public service facilities, like education, healthcare, elder care, public spaces, and public transport [50], has been shown to significantly enhance residential satisfaction (z6, z7, and z8) [51,52]. Additionally, studies indicate that residential dissatisfaction often arises from longer distances to workplaces [53,54], shops [55], and medical centers (z9 and z10) [56]. Services for vulnerable groups (z11) [57] have also garnered attention in studies exploring the impact of characteristics on residential satisfaction.
Comfort perception embodies a concept of “justness”. This is not merely “satisfaction” or simply “acceptability” but rather a state where residents, upon considering their own and others’ social and economic conditions, feel that the living system provides an environment that is just right and aligns with their comprehensive needs. This reflects a rational consideration of balancing self-existence and coexistence. The existing research has also focused on the impact of this rational thinking on satisfaction. Y. et al. [58] proposed exploring residential satisfaction based on the “have-want” discrepancy. Comfort considers ecological aspects (z12) [55], social aspects (z13 and z14) [59,60], facilities (z15, z16, and z17) [58,61,62], and services for vulnerable groups (z18) [57].
Aesthetics perception represents a higher-level perceptual need, encompassing a comprehensive awareness of landscape (z19), innovative spatial design (z20), local history and culture (z21 and z22), and spatial aesthetics preference (z23). It expresses a sense of place identity while also reflecting an individual’s “ideal of human habitation”. Although existing studies on aesthetic perception in residential environments are limited, the recent literature highlights the increasing importance of place identity, environmental aesthetics, and spatial design in shaping residential satisfaction. For instance, urban design research underscores that elements such as green spaces [63], architectural styles [64], and cultural symbols contribute significantly to the overall well-being and attachment residents feel toward their living environment [65]. This study builds on these insights to propose that aesthetic perception serves as the highest-order perception in the residential satisfaction hierarchy, aligning with Maslow’s self-actualization needs. As a higher-level perceptual need, aesthetics perception encompasses a comprehensive awareness of landscape (z19), innovative spatial design (z20), local history and culture (z21 and z22), and spatial aesthetics preference (z23). It expresses a sense of place identity while also reflecting an individual’s “ideal of human habitation”.
Residential satisfaction targets three core elements, including facility satisfaction (y1), spatial satisfaction (y2), and social satisfaction (y3).

4.3. Data Collection and Description

This study employed a roadside random distribution method to gather data from residents in Wuchang District, Wuhan. The research team distributed 821 questionnaires between 15 and 20 July 2023. To ensure broad coverage, questionnaires were handed out at key public areas, including residential community entrances, parks, and commercial centers, during varying times of the day to capture diverse demographic groups. Participants were approached randomly and voluntarily completed the surveys on-site. A total of 703 valid responses were collected, yielding a validity rate of 85.63%. Respondents were required to be residents of the district for at least one year to ensure familiarity with their community environment.
Table 2 outlines the socio-demographic characteristics of the respondents and the basic attributes of their residential communities. The sample is composed of 45.38% male and 54.62% female respondents. The largest age group is 36–60 years (56.61%), followed by 19–35 years (35.56%). Most respondents reside in medium-sized communities with medium-to-high plot ratios and over 10 years of construction history. These characteristics reflect the general composition of residential communities in central Wuhan.

4.4. Structural Equation Modeling

To analyze the complex relationships between residents’ perceptions and satisfaction, structural equation modeling (SEM) was employed. SEM was chosen because residential satisfaction involves multiple latent variables that cannot be directly observed [66]. This method allows for the identification of pathways linking perceptions such as safety, convenience, comfort, and aesthetics to overall satisfaction. The statistical software AMOS (version 28) was used to perform parameter estimation and model validation.
Maximum likelihood estimation (MLE) was applied to estimate parameters, and bootstrap resampling with 2000 iterations was performed to enhance the results’ robustness and mitigate the influence of sampling variability. Model fitness was assessed through established indices, including the Root Mean Square Error of Approximation (RMSEA), Comparative Fit Index (CFI), Tucker–Lewis Index (TLI), and Goodness-of-Fit Index (GFI). To explore demographic differences in perception pathways, a multi-group SEM (MSEM) analysis was conducted, focusing on gender and age subgroups.
To capture gender-specific differences, a multi-group analysis (MGA) divided the sample into male and female subgroups. This approach allowed for the comparison of structural paths between groups, offering insights into how gender influences the relationships between safety, convenience, comfort, and satisfaction. Pathway coefficients were tested for significance, with thresholds set at p < 0.05, p < 0.01, and p < 0.001 to ensure statistical rigor. Notably, the analysis indicates that safety perception exerts a stronger indirect effect on aesthetics and satisfaction among women (p < 0.01), highlighting their heightened sensitivity to community security and infrastructure.
Age-based comparisons grouped respondents into young adults (19–35 years) and middle-aged and older adults (36 years and above). The results reveal that younger residents prioritize convenience and aesthetics (p < 0.05), reflecting lifestyle preferences centered on accessibility and visual appeal. Conversely, older adults emphasize safety and comfort (p < 0.01), driven by health considerations and the need for stability in residential environments. This demographic-sensitive analysis strengthens the model’s ability to reflect real-world variations in residential satisfaction across diverse population segments.

5. Results

5.1. Evaluating the Measurement Model

5.1.1. Reliability and Validity of the Model

The conventional Cronbach’s alpha coefficient was used to test the reliability of the data from the valid survey sample in this study, and the reliability of each latent variable was measured separately. Each coefficient was greater than 0.8, indicating that the reliability test was passed [67].
Before analyzing the SEM results, the sample data were also analyzed by Bartlett’s test of sphericity, and the KMO value was 0.948, which is greater than 0.70, with a p-value of 0.000 (p < 0.001), indicating that the questionnaire data were suitable for factor analysis. Thereafter, an exploratory factor analysis was conducted to select the measurement variables included in each latent variable based on the t-value and factor loadings over 0.5 (Figure 5). Most of the AVE values of the mean variance extracted for each dimension in the model were greater than 0.5, with individual variables converging to 0.5, and the CR values were greater than 0.7, indicating that the dimensions of the measurement model had good convergent validity (Table 3).

5.1.2. Model Testing and Modification

Based on the initial structural equations, the parameters were estimated using maximum likelihood estimation. First, we examined the fit of the initial model and found that the fit test results were not satisfactory, with only the GFI meeting the criteria (Table 4). Therefore, the model needed to be corrected according to the correction index of AMOS. We added covariate relationships between the residual errors z1 and z22, z2 and z3, z4 and z5, z6 and z17, z7 and z13, z7 and z19, and z14 and z15, and the corrected model was obtained by continually eliminating paths with lower significance through iterative testing (Figure 5). As a result, it showed a higher fit, and all indicators met the criteria (Table 4), which means that the modified model is suitable for the analysis and produces a stronger explanation.

5.2. Hypothesis Testing and Explanation

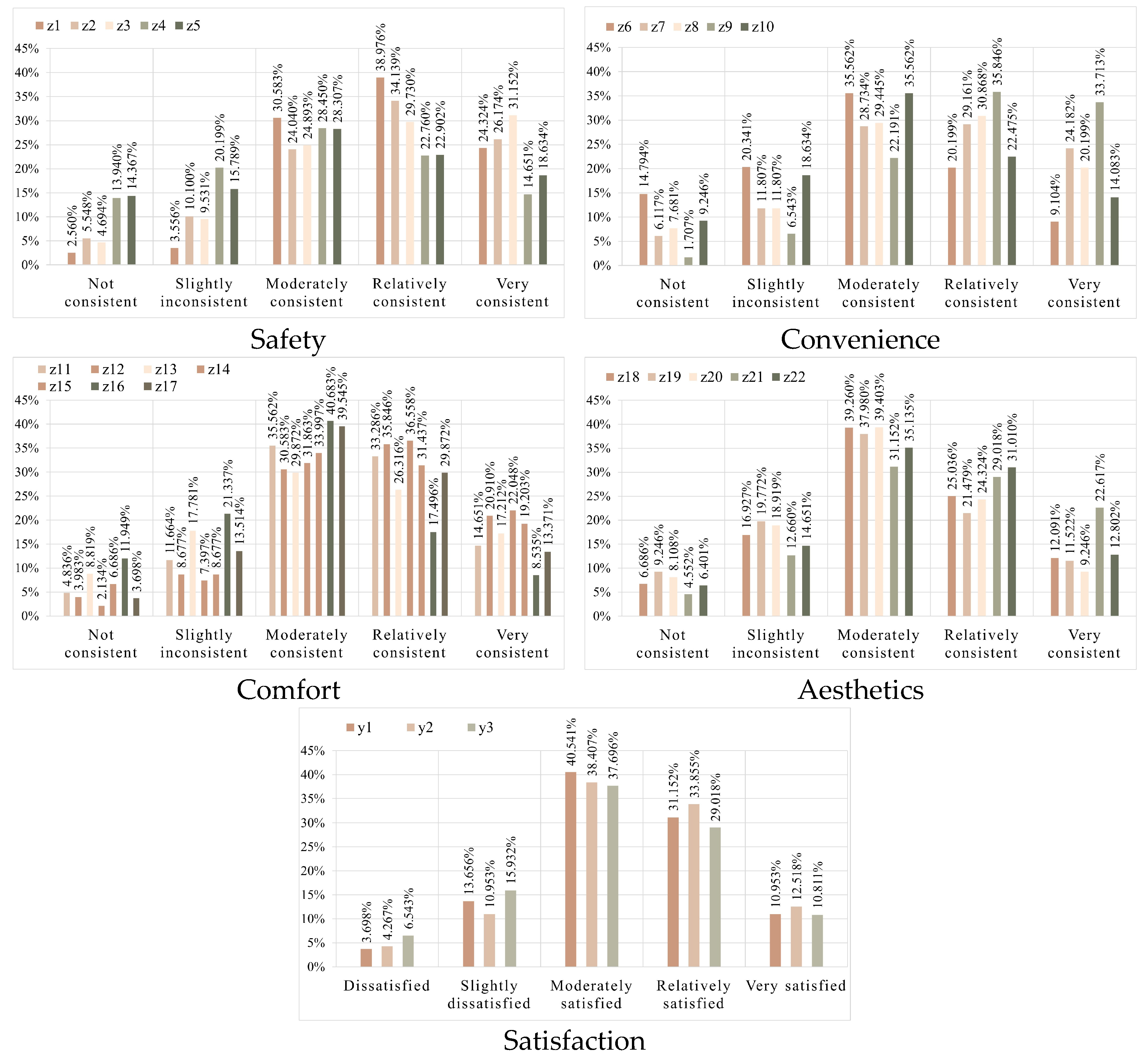
From the descriptive analysis (Figure 6), 42.105%, 46.373%, and 39.829% of residents are relatively or very satisfied with the current residential area in terms of facility satisfaction, spatial satisfaction, and social satisfaction, respectively. This indicates that nearly half of the residents in Wuchang District have a high level of residential satisfaction. Averaging all measurement indicators, the four comprehensive perceptions of safety, convenience, comfort, and aesthetics were rated as relatively safe, convenient, comfortable, and aesthetically pleasing (i.e., scores of 4 or 5) by 52.688%, 47.966%, 46.678%, and 39.829% of respondents, respectively, with average perception scores of 3.474, 3.386, 3.384, and 3.229. Among the individual perception items “The community provides convenient commercial services (z9)”, “The surrounding residents are trustworthy (z1)”, “Outdoor activities are safe (z3)”, and “Residential property is well protected (z2)” received higher perception scores (average scores of 3.933, 3.789, 3.731, and 3.653, respectively), while “The community provides convenient services for vulnerable groups” and “The community has an innovative spatial design” received lower perception scores (average scores of 2.885 and 2.893, respectively). Overall, the scoring results show a hierarchical relationship of perceptions, which aligns with the gaps in facilities for the disabled and the elderly in the surveyed communities, as well as issues with the overall spatial design of the communities.
Based on the SEM results (Table 5), we found that all the paths of resident satisfaction are significant except for perceived safety, which is not significant for resident living satisfaction. The hypotheses H1b, H1c, and H1d about resident satisfaction are supported. We can conclude that comfort perception makes a positive contribution to residence satisfaction, with the highest coefficient (0.523). Effective management, warm service, easy-to-use facilities, and pedestrian-friendliness in daily life can bring comfort perception to residents, thus promoting their residence satisfaction. Next is the path of aesthetic perception on residential satisfaction, with a coefficient of 0.321. A green environment, innovative spatial design, and regional cultural characteristics all constitute residents’ aesthetic perception of the living environment. Among the three paths of direct influence, convenience perception has the smallest influence on residential satisfaction, with a coefficient of 0.125.
At the same time, perception indicators interact with each other. The four dimensions of residents’ perceptions have a progressive influence, i.e., residents’ perception of safety affects their perception of convenience, which, in turn, affects their perception of comfort and then affects their perception of aesthetics, which ultimately affects residents’ living satisfaction. In addition, the perception of safety also directly affects the perception of comfort, which, in turn, affects the perception of aesthetics and finally affects the residents’ living satisfaction. Therefore, H2a and H2b are verified in hypothesis H2, but H2c is refuted.

5.3. Evaluating the Structural Model and Multi-Group Analysis

Multi-cluster structural equation modeling was used to test the significance of dissimilarities with different individual characteristics and tap the differential effects of different resident attributes on their perceptions and paths of influence on satisfaction. By differentiating the fitness of the output results of five models, namely, preset (no parameter restrictions set), equal covariance, equal variance, equal path coefficients, and model invariance, the model of between-group differences based on the grouping of gender (p < 0.001) and age (p < 0.01) with no parameter restrictions set was statistically significant, and the multi-cluster model had a value of x2/df less than 3. The GFI, RMSEA, CFI, NFI, and IFI values were in line with the requirements, and the goodness of fit was good. It can be seen that the model is more satisfactory (Table 6). However, the model based on differences in family structure did not show significant statistical significance and, therefore, will not be separately listed in subsequent analyses.
(1)
Gender
There are two different paths for the male and female groups: perception of safety → perception of aesthetics and perception of convenience → residential satisfaction, respectively, and females show greater significance and degrees of influence on these paths. As women in traditional Chinese families take on more domestic activities in the household, the perceived convenience of the community environment has a more significant impact on their final residential satisfaction than men. In addition, women’s perception of safety directly affects their perception of aesthetics, probably because when women are in unsafe environments, they may ignore the assessment of aesthetics [60]. Similarly, women were able to better perceive the aesthetics of their environment when they were in a safe environment.
In addition, the same paths showed differences between male and female groups in the degree of influence, where the path coefficients of safety → convenience and safety → comfort and safety → aesthetics would be higher for the female group than for the male group, and this finding supports research on gender-differentiated environmental perceptions of the community, which have concluded that females place a higher value on perceived safety in the community environment due to factors such as physical strength. Meanwhile, the path coefficient of the female group of aesthetics → satisfaction is higher than that of the male group, and this finding confirms that females pay more attention to aesthetic perceptions, and aesthetic perceptions influence their residential satisfaction to a greater extent;
(2)
Age
The differences in age stages between 0–18, 19–35, 36–60, and 61 and above were not significant, which may be related to the distribution of data. Therefore, the calculations were made in two stages, 0–35 and 36 and above, with one stage primarily targeting young adults and children and the other targeting middle-aged and older adults. Overall, the differences between these two age stages were not as significant as those between males and females, showing no significant differences in the impact pathways except in the strength of influence. It can be seen that the path coefficients of convenience → comfort and aesthetics → satisfaction were higher in the younger group, reflecting the younger group’s emphasis on convenience and aesthetics; the middle-aged and older group’s focus on safety and comfort was significantly higher than that of the younger group.

6. Discussion

The influence of residents’ perceptions on residential satisfaction follows a multi-level, hierarchical pathway that aligns with the spatial perception system and Maslow’s hierarchy of needs theory. Residents prioritize fundamental needs, such as safety and convenience, before progressing to higher-order desires for comfort and aesthetics. Despite the significance of these relationships, few studies have systematically investigated the internal interdependencies between perception indicators, particularly at the community scale in developing countries. This study addresses this gap by developing a multi-level analytical framework that integrates Urban Human theory and Maslow’s hierarchy of needs to examine how perceptions at the community level influence residential satisfaction in high-density megacities, with a specific focus on age and gender differences.
(1)
Hierarchical Perception Pathways and Theoretical Contributions
A key contribution of this research is the identification of hierarchical pathways between different perception dimensions—safety, convenience, comfort, and aesthetics—demonstrating how lower-level perceptions cascade into higher-order ones, ultimately influencing residential satisfaction. The study confirms that while perceptions of convenience, comfort, and aesthetics directly enhance satisfaction, safety plays a foundational role by indirectly influencing these higher-order perceptions. This reinforces the theoretical understanding that residential satisfaction does not arise from isolated perception factors but rather emerges from an interconnected and sequential framework of perceptions.
Unlike previous studies that primarily treat perception indicators as independent variables, our research introduces the concept of chained mediation, revealing the progressive nature of the perception–satisfaction pathway. By structuring perceptions into a tiered system, our study expands the current literature on residential satisfaction by offering a more nuanced explanation of how safety perception underpins subsequent layers of convenience, comfort, and aesthetics. This approach bridges the gap between subjective perceptions and objective community planning, contributing to the growing body of research advocating for holistic urban development strategies;
(2)
Addressing Demographic Variability: Age and Gender
Another significant contribution of this study is its exploration of how age and gender influence perception pathways. The existing research often overlooks the role of demographic differences in shaping residential satisfaction. By employing multi-group structural equation modeling (MSEM), this study provides empirical evidence that perception pathways vary significantly across gender and age groups, underscoring the importance of demographic-sensitive urban planning. The results reveal that women are more sensitive to perceptions of safety and convenience compared to men. This heightened sensitivity reflects women’s roles as primary caregivers in households, where the well-being of family members, especially children and elderly relatives, is often prioritized. Women’s greater concern for safety directly impacts their engagement with public spaces and influences their overall residential satisfaction through indirect pathways involving comfort and aesthetics. Furthermore, the analysis shows that women place higher value on aesthetic perceptions when safety is adequately addressed, reinforcing the need for urban designs that cater to both practical and emotional dimensions of community spaces. Age also plays a crucial role in shaping perception pathways. Younger residents (aged 19–35) place greater emphasis on convenience and aesthetics, reflecting their dynamic lifestyles and preferences for vibrant, well-connected environments. In contrast, older residents (aged 36 and above) prioritize safety and comfort, driven by health concerns and the desire for stable, predictable living environments. These differences suggest that urban planning efforts should adopt an age-sensitive approach, ensuring that residential environments address the evolving needs of diverse age groups. The findings indicate that while younger residents seek aesthetically pleasing and convenient surroundings to support their active routines, older adults prioritize secure, comfortable, and accessible environments that enhance their quality of life. This differentiation highlights the necessity of designing residential spaces that offer flexible, adaptable features capable of addressing the unique needs of varying age groups within the same community;
(3)
Empirical Contributions to Wuhan and Broader Contexts
By conducting this study in Wuhan’s Wuchang District—a highly diverse and representative urban area—this research not only enriches the localized understanding of residential satisfaction but also contributes insights that are applicable to other high-density megacities facing similar urban development challenges. The inclusion of diverse community types within the study area expands the scope of residential satisfaction research, reinforcing the universality of hierarchical perception pathways across different urban settings.
The study’s findings suggest that while Wuhan’s urban planning effectively addresses safety and convenience, there is significant room for improvement in fostering comfort and aesthetics, especially in aging communities and areas with limited public spaces. This highlights the need for policymakers to shift beyond infrastructure-based solutions and incorporate softer, experience-driven interventions that enhance community aesthetics and livability.
Furthermore, by highlighting the differential impacts of gender and age on perception pathways, this study provides actionable insights for targeted community interventions. Planners are encouraged to prioritize gender-inclusive designs that enhance safety and convenience for women while also developing age-friendly spaces that balance accessibility and aesthetic appeal for older adults.
The multidimensional nature of this study’s contributions extends to three key areas of urban research: Firstly, this study establishes a framework for understanding the cascading influence of perceptions, contributing to ongoing efforts to refine hierarchical models of residential satisfaction. By validating the sequential relationship between safety, convenience, comfort, and aesthetics, the research offers a replicable model applicable to various urban contexts. Secondly, the study bridges a significant gap in residential satisfaction research by focusing on community-scale perceptions in a rapidly urbanizing context. The empirical insights from Wuhan provide a reference point for other developing regions, reinforcing the need for localized, context-sensitive urban planning frameworks. Last but not least, by identifying age and gender as critical variables in shaping perception pathways, this study advocates for the integration of demographic diversity into urban planning and design. This approach supports the development of inclusive, equitable urban environments that reflect the diverse needs and experiences of residents across different life stages. In conclusion, this study not only deepens the theoretical understanding of residential satisfaction pathways but also offers practical insights for urban planners and policymakers. Future research can build upon these findings by expanding the sample size to include a broader range of urban typologies and exploring longitudinal changes in perception pathways. Additionally, incorporating objective measurements alongside subjective perceptions will further enrich the empirical robustness of hierarchical perception models, providing more comprehensive insights into urban development.
There are limitations to this study that should be acknowledged. Firstly, as a theoretical validation study, it primarily focuses on residents’ perceptions and is lacking in the measurement of objective elements. Although the impact of objective elements can be explored through measured variables, considering the actual situation of objective elements might yield more specific results. Secondly, even though the sample distribution is relatively balanced, the overall scope of the study remains limited. While theoretically, residents are assumed to possess general rationality and common physicality, a larger sample size and more diverse exploration of human settlement types are necessary to achieve more precise results, which could be beneficial for future research.

7. Conclusions

The exploration of how residents’ perceptions within community units influence residential satisfaction represents a critical and evolving theme in residential space research. Residential satisfaction forms the cornerstone of people-oriented urban planning, reflecting the alignment between community design and the lived experiences of residents. Guided by Homo-urbanicus, this study constructs a multidimensional perception framework encompassing safety, convenience, comfort, and aesthetics. By examining the hierarchical pathways through which these perceptions interact, the study addresses significant gaps in the existing literature, particularly the lack of analysis on the interdependencies between perception indicators and their cascading influence on satisfaction. This novel approach enriches theoretical and methodological understandings in the field of residential perception research while offering practical insights for community-centered urban planning and policy development. The key findings of this study are as follows:
(1)
Hierarchical Structure and Progressive Impact of Perceptions: Residents’ perceptions of safety, convenience, comfort, and aesthetics exhibit a progressive, tiered characteristic that transitions from fundamental physical needs to higher-order rational and aesthetic desires. This hierarchical pathway demonstrates a significant and positive impact on residential satisfaction through a chain mediating effect. While convenience, comfort, and aesthetics directly enhance satisfaction, safety perceptions exert an indirect influence by shaping perceptions of convenience, comfort, and aesthetics. Additionally, safety directly impacts comfort, which, in turn, affects aesthetics, ultimately contributing to overall satisfaction. This tiered pathway underscores the foundational role of safety, suggesting that lower-level perceptions serve as prerequisites for higher-level ones;
(2)
Demographic Variations in Perception Pathways: Women place greater importance on safety and convenience (p < 0.01), reflecting caregiving responsibilities and a focus on the well-being of family members. In contrast, men show a stronger focus on comfort and aesthetics (p < 0.05), indicating a preference for community design and public space quality. This divergence suggests that gender-sensitive urban planning should prioritize security infrastructure and accessibility enhancements for women while investing in aesthetic improvements for male residents. Young adults prioritize convenience and aesthetics (p < 0.05), driven by dynamic lifestyles and engagement with public spaces. Older adults, on the other hand, emphasize safety and comfort (p < 0.01), reflecting the need for stability and practical community infrastructure. This highlights the importance of age-responsive community planning to address the evolving needs of different demographic groups;
(3)
Evaluation of Wuhan’s Urban Environment: Based on the perception indicators analyzed, this study identifies strengths and areas for improvement within Wuhan’s central urban areas. The current performance is commendable in terms of safety and convenience, particularly in proximity to commercial facilities and transport infrastructure. However, the findings reveal inadequacies in community design and planning that prioritize inclusivity and cultural identity. Specifically, there is a need to enhance support for vulnerable groups, such as the elderly and disabled, by improving accessibility, spatial equity, and inclusive public facilities. Moreover, the integration of distinct cultural, historical, and innovative elements remains underdeveloped, presenting opportunities for more holistic and culturally enriched urban planning;
(4)
Addressing Social Satisfaction Gaps: Among the three dimensions of residential satisfaction—facility, spatial, and social satisfaction—this study finds that social satisfaction lags behind. This indicates the necessity of fostering greater community engagement and public participation. Designing interactive and inclusive public spaces can enhance social cohesion, enrich community bonds, and promote overall well-being. These interventions should complement efforts to improve comfort and aesthetics, creating a holistic and satisfying residential environment. In conclusion, this study not only enhances the academic understanding of residential satisfaction but also provides practical guidelines for urban planning and development. By recognizing the hierarchical interplay of perceptions and demographic variations, community planning can evolve to reflect the diverse needs of urban populations, fostering inclusive, resilient, and satisfied communities.

Author Contributions

Conceptualization, J.X.; Methodology, J.X.; Formal analysis, H.L.; Resources, W.W. and J.C.; Data curation, H.L. and J.C.; Writing—original draft, M.H.; Writing—review & editing, M.H.; Funding acquisition, W.W. All authors have read and agreed to the published version of the manuscript.

Funding

This research was funded by “the Ministry of Education of Humanities and Social Science Project”, grant number 24YJA630097, 24A10486058; “China Postdoctoral Science Foundation Funded Project”, grant number 2024M752472.

Data Availability Statement

The original contributions presented in this study are included in the article. Further inquiries can be directed to the corresponding author.

Conflicts of Interest

The authors declare no conflict of interest.

References

  1. Song, L.; Kong, X.; Cheng, P. Supply-demand matching assessment of the public service facilities in 15-minute community life circle based on residents’ behaviors. Cities 2024, 144, 104637. [Google Scholar] [CrossRef]
  2. Chen, M.; Chen, L.; Cheng, J.; Yu, J. Identifying interlinkages between urbanization and Sustainable Development Goals. Geogr. Sustain. 2022, 3, 339–346. [Google Scholar] [CrossRef]
  3. Deb, S.; Okulicz-Kozaryn, A. Exploring the association of urbanisation and subjective well-being in India. Cities 2023, 132, 104068. [Google Scholar] [CrossRef]
  4. Xie, Y.; Zhou, X. Income inequality in today’s China. Proc. Natl. Acad. Sci. USA 2014, 111, 6928–6933. [Google Scholar] [CrossRef] [PubMed]
  5. Ma, J.; Dong, G.; Chen, Y.; Zhang, W. Does satisfactory neighbourhood environment lead to a satisfying life? An investigation of the association between neighbourhood environment and life satisfaction in Beijing. Cities 2018, 74, 229–239. [Google Scholar] [CrossRef]
  6. Adriaanse, C.C.M. Measuring residential satisfaction: A residential environmental satisfaction scale (RESS). J. Hous. Built Environ. 2007, 22, 287–304. [Google Scholar] [CrossRef]
  7. Cutter, S.L. Residential Satisfaction and the Suburban Homeowner. Urban Geogr. 2013, 3, 315–327. [Google Scholar] [CrossRef]
  8. Dekker, K.; de Vos, S.; Musterd, S. van Kempen, R. Residential Satisfaction in Housing Estates in European Cities: A Multi-level Research Approach. Hous. Stud. 2011, 26, 479–499. [Google Scholar] [CrossRef]
  9. Sun, B.; Liu, J.; Yin, C.; Cao, J. Residential and workplace neighborhood environments and life satisfaction: Exploring chain-mediation effects of activity and place satisfaction. J. Transp. Geogr. 2022, 104, 103435. [Google Scholar] [CrossRef]
  10. Ji, Q.; Yin, M.; Li, Y.; Zhou, X. Exploring the influence path of high-rise residential environment on the mental health of the elderly. Sustain. Cities Soc. 2023, 98, 104808. [Google Scholar] [CrossRef]
  11. Bonaiuto, M.; Aiello, A.; Perugini, M.; Bonnes, M.; Ercolani, A.P. Multidimensional perception of residential environment quality and neighborhood attachment in the urban environment. J. Environ. Psychol. 1999, 19, 4. [Google Scholar] [CrossRef]
  12. Fornara, F.; Bonaiuto, M.; Bonnes, M. Cross-Validation of Abbreviated Perceived Residential Environment Quality (PREQ) and Neighborhood Attachment (NA) Indicators. Environ. Behav. 2010, 42, 171–196. [Google Scholar] [CrossRef]
  13. Motamedi, K.K.; Campbell, A. The Quality of American Life. Acad. Manag. Rev. 1977, 2, 694. [Google Scholar] [CrossRef]
  14. Pacione, M. Urban environmental quality and human wellbeing—A social geographical perspective. Landsc. Urban Plan. 2003, 65, 19–30. [Google Scholar] [CrossRef]
  15. Liu, Z.; Ma, L. Residential experiences and satisfaction of public housing renters in Beijing, China: A before-after relocation assessment. Cities 2021, 113, 103148. [Google Scholar] [CrossRef]
  16. Mohit, M.A.; Mahfoud, A.-K.A. Appraisal of residential satisfaction in double-storey terrace housing in Kuala Lumpur, Malaysia. Habitat Int. 2015, 49, 286–293. [Google Scholar] [CrossRef]
  17. Hamersma, M.; Tillema, T.; Sussman, J.; Arts, J. Residential satisfaction close to highways: The impact of accessibility, nuisances and highway adjustment projects. Transp. Res. Part A Policy Pract. 2014, 59, 106–121. [Google Scholar] [CrossRef]
  18. Biswas, B.; Sultana, Z.; Priovashini, C.; Ahsan, M.D.; Mallick, B. The emergence of residential satisfaction studies in social research: A bibliometric analysis. Habitat Int. 2021, 109, 102336. [Google Scholar] [CrossRef]
  19. Zeng, H.; Ke, Q.; Yu, X. Investigating the factors affecting the residential satisfaction of new-generation migrants: A case study of Hangzhou in China. Int. J. Urban Sci. 2021, 25, 16–30. [Google Scholar] [CrossRef]
  20. Lu, M. Determinants of Residential Satisfaction: Ordered Logit vs. Regression Models. Growth Chang. 1999, 30, 2. [Google Scholar] [CrossRef]
  21. Wang, X.; Yin, C.; Shao, C. Reexamining the built environment, commuting and life satisfaction: Longitudinal evidence for gendered relationships. Transp. Res. Part D Transp. Environ. 2023, 125, 103986. [Google Scholar] [CrossRef]
  22. Ge, J.; Hokao, K. Research on residential lifestyles in Japanese cities from the viewpoints of residential preference, residential choice and residential satisfaction. Landsc. Urban Plan. 2006, 78, 165–178. [Google Scholar] [CrossRef]
  23. Mouratidis, K. Urban planning and quality of life: A review of pathways linking the built environment to subjective well-being. Cities 2021, 115, 103229. [Google Scholar] [CrossRef]
  24. Li, Z.; Wu, F. Residential Satisfaction in China’s Informal Settlements: A Case Study of Beijing, Shanghai, and Guangzhou. Urban Geogr. 2013, 34, 923–949. [Google Scholar] [CrossRef]
  25. Wang, D.; Wang, F. Contributions of the Usage and Affective Experience of the Residential Environment to Residential Satisfaction. Hous. Stud. 2015, 31, 42–60. [Google Scholar] [CrossRef]
  26. Phillips, D.R.; Siu, O.-L.; Yeh, A.; Kevin, H.; Cheng, C. The impacts of dwelling conditions on older persons’ psychological well-being in Hong Kong: The mediating role of residential satisfaction. Soc. Sci. Med. 2005, 60, 2785–2797. [Google Scholar] [CrossRef]
  27. Lin, C.-Y.; Koohsari, M.J.; Liao, Y.; Ishii, K.; Shibata, A.; Nakaya, T.; McCormack, G.R.; Hadgraft, N.; Owen, N.; Oka, K. Workplace neighbourhood built environment and workers’ physically-active and sedentary behaviour: A systematic review of observational studies. Int. J. Behav. Nutr. Phys. Act. 2020, 17, 148. [Google Scholar] [CrossRef]
  28. Wang, R.; Yuan, Y.; Liu, Y.; Zhang, J.b.; Liu, P.h.; Lu, Y.; Yao, Y. Using street view data and machine learning to assess how perception of neighborhood safety influences urban residents’ mental health. Health Place 2019, 59, 102186. [Google Scholar] [CrossRef]
  29. Weimann, H.; Rylander, L.; van den Bosch, M.A.; Albin, M.; Skärbäck, E.; Grahn, P.; Björk, J. Perception of safety is a prerequisite for the association between neighbourhood green qualities and physical activity: Results from a cross-sectional study in Sweden. Health Place 2017, 45, 124–130. [Google Scholar] [CrossRef]
  30. Wilson-Genderson, M.; Pruchno, R. Effects of neighborhood violence and perceptions of neighborhood safety on depressive symptoms of older adults. Soc. Sci. Med. 2013, 85, 43–49. [Google Scholar] [CrossRef]
  31. Li, H.; Ta, N.; Yu, B.; Wu, J. Are the accessibility and facility environment of parks associated with mental health? A comparative analysis based on residential areas and workplaces. Landsc. Urban Plan. 2023, 237, 104807. [Google Scholar] [CrossRef]
  32. Olfindo, R. Transport accessibility, residential satisfaction, and moving intention in a context of limited travel mode choice. Transp. Res. Part A Policy Pract. 2021, 145, 153–166. [Google Scholar] [CrossRef]
  33. Mouratidis, K. Is compact city livable? The impact of compact versus sprawled neighbourhoods on neighbourhood satisfaction. Urban Stud. 2018, 55, 2408–2430. [Google Scholar] [CrossRef]
  34. Du, M.; Hong, B.; Gu, C.; Li, Y.; Wang, Y. Multiple effects of visual-acoustic-thermal perceptions on the overall comfort of elderly adults in residential outdoor environments. Energy Build. 2023, 283, 112813. [Google Scholar] [CrossRef]
  35. Smardon, R.C. Perception and aesthetics of the urban environment: Review of the role of vegetation. Landsc. Urban Plan. 1988, 15, 85–106. [Google Scholar] [CrossRef]
  36. Prieto-Flores, M.-E.; Fernandez-Mayoralas, G.; Forjaz, M.J.; Rojo-Perez, F.; Martinez-Martin, P. Residential satisfaction, sense of belonging and loneliness among older adults living in the community and in care facilities. Health Place 2011, 17, 1183–1190. [Google Scholar] [CrossRef]
  37. Jiang, W.; Feng, T.; Timmermans, H.; Li, H. A gap-theoretical path model of residential satisfaction and intention to move house applied to renovated historical blocks in two Chinese cities. Cities 2017, 71, 19–29. [Google Scholar] [CrossRef]
  38. Maslow, A.H. A theory of human motivation. Psychol. Rev. 1943, 50, 370–396. [Google Scholar] [CrossRef]
  39. Maslow, A.H. A Dynamic Theory of Human Motivation. In Understanding Human Motivation; Howard Allen Publishers: Santa Cruz, CA, USA, 1958; pp. 26–47. [Google Scholar] [CrossRef]
  40. Doxisdis, C.A. City for Human Development; Athens Publishing Center: Athen, Greece, 1975. [Google Scholar]
  41. Leung, H.L. Further discussion on homo-urbanicus: Human-based urbanization. City Plan. Rev. 2014, 9, 64–75. [Google Scholar]
  42. Hong, M.; Wei, W.; Yin, L.; Junnan, X. Exploring the Mechanism of the Impact of Basic Public Service Facilities on Residents’ Satisfaction: Based on The “Homo-Urbanicus” Theory. Hum. Geogr. 2023, 38, 107–117. [Google Scholar] [CrossRef]
  43. Rojas, M.; Méndez, A.; Watkins-Fassler, K. The hierarchy of needs empirical examination of Maslow’s theory and lessons for development. World Dev. 2023, 165, 106185. [Google Scholar] [CrossRef]
  44. Ren, H.; Folmer, H. Determinants of residential satisfaction in urban China: A multi-group structural equation analysis. Urban Stud. 2017, 54, 1407–1425. [Google Scholar] [CrossRef]
  45. Varela, J.J.; Alfaro, J.; Melipillán, R.; Gómez, D.; González-Carrasco, M. Perceptions of Safety, Satisfaction with Neighborhood and Life Satisfaction Among Chilean Adolescents. Child Indic. Res. 2020, 13, 1489–1502. [Google Scholar] [CrossRef]
  46. Basu, N.; Oviedo-Trespalacios, O.; King, M.; Kamruzzaman, M.; Haque, M. What do pedestrians consider when choosing a route? The role of safety, security, and attractiveness perceptions and the built environment during day and night walking. Cities 2023, 143, 104551. [Google Scholar] [CrossRef]
  47. Walter, R.J.; Acolin, A.; Tillyer, M.S. Association between property investments and crime on commercial and residential streets: Implications for maximizing public safety benefits. SSM-Popul. Health 2024, 25, 101537. [Google Scholar] [CrossRef]
  48. Lorenc, T.; Clayton, S.; Neary, D.; Whitehead, M.; Petticrew, M.; Thomson, H.; Cummins, S.; Sowden, A.; Renton, A. Crime, fear of crime, environment, and mental health and wellbeing: Mapping review of theories and causal pathways. Health Place 2012, 18, 757–765. [Google Scholar] [CrossRef]
  49. Buffel, T.; Verté, D.; De Donder, L.; De Witte, N.; Dury, S.; Vanwing, T.; Bolsenbroek, A. Theorising the relationship between older people and their immediate social living environment. Int. J. Lifelong Educ. 2011, 31, 13–32. [Google Scholar] [CrossRef]
  50. Aslam, S.A.B.; Masoumi, H.; Naeem, N.; Ahmad, M. Residential location choices and the role of mobility, socioeconomics, and land use in Hafizabad, Pakistan. Urbani Izziv 2019, 30, 115–128. [Google Scholar] [CrossRef]
  51. Mohit, M.A.; Ibrahim, M.; Rashid, Y.R. Assessment of residential satisfaction in newly designed public low-cost housing in Kuala Lumpur, Malaysia. Habitat Int. 2010, 34, 18–27. [Google Scholar] [CrossRef]
  52. Kahana, E.; Lovegreen, L.; Kahana, B.; Kahana, M.J. Person, Environment, and Person-Environment Fit as Influences on Residential Satisfaction of Elders. Environ. Behav. 2003, 35, 434–453. [Google Scholar] [CrossRef]
  53. Frenkel, A.; Bendit, E.; Kaplan, S. Residential location choice of knowledge-workers: The role of amenities, workplace and lifestyle. Cities 2013, 35, 33–41. [Google Scholar] [CrossRef]
  54. Morrison, P.S.; Clark, W.A.V. Internal Migration and Employment: Macro Flows and Micro Motives. Environ. Plan. A Econ. Space 2011, 43, 1948–1964. [Google Scholar] [CrossRef]
  55. Tucker, R.; Abass, Z. Residential satisfaction in low-density Australian suburbs: The impact of social and physical context on neighbourhood contentment. J. Environ. Psychol. 2018, 56, 36–45. [Google Scholar] [CrossRef]
  56. Mohit, M.; Raja, A.M.M.A.-K. Residential satisfaction-Concept, theories and empirical studies. Plan. Malays. 2014, 12, 47–66. [Google Scholar] [CrossRef]
  57. Van Hoof, J.; Kazak, J.K.; Perek-Białas, J.M.; Peek, S.T.M. The Challenges of Urban Ageing: Making Cities Age-Friendly in Europe. Int. J. Environ. Res. Public Health 2018, 15, 11. [Google Scholar] [CrossRef]
  58. Wang, Y.; Wang, D.; Wang, F.; He, S.; Wang, L. Does have-want discrepancy or have-had discrepancy explain residential satisfaction? A study of migrant workers in Wuhan, China. Cities 2024, 145, 104708. [Google Scholar] [CrossRef]
  59. Chavis, D.M.; Wandersman, A. Sense of Community in the Urban Environment: A Catalyst for Participation and Community Development. Am. J. Community Psychol. 1990, 18, 55–81. [Google Scholar] [CrossRef]
  60. Hur, M.; Morrow-Jones, H. Factors That Influence Residents’ Satisfaction With Neighborhoods. Environ. Behav. 2008, 40, 5. [Google Scholar] [CrossRef]
  61. James, P.; Hart, J.E.; Banay, R.F.; Laden, F.; Signorello, L.B. Built Environment and Depression in Low-Income African Americans and Whites. Am. J. Prev. Med. 2017, 52, 74–84. [Google Scholar] [CrossRef]
  62. Yu, Y.; Chen, Z.; Bu, J.; Zhang, Q. Do Stairs Inhibit Seniors Who Live on Upper Floors From Going Out? HERD Health Environ. Res. Des. J. 2020, 13, 128–143. [Google Scholar] [CrossRef]
  63. Tarashkar, M.; Qureshi, S.; Rahimi, A. Exploring perceptions, cognitive factors, and motivations: A study on green structures on residential rooftops. Urban For. Urban Green. 2024, 96, 128356. [Google Scholar] [CrossRef]
  64. El-Darwish, I.I. Fractal design in streetscape: Rethinking the visual aesthetics of building elevation composition. Alex. Eng. J. 2019, 58, 957–966. [Google Scholar] [CrossRef]
  65. Luo, J.; Jian, I.Y.; Chan, E.H.W.; Chen, W. Cultural regeneration and neighborhood image from the aesthetic perspective: Case of heritage conservation areas in Shanghai. Habitat Int. 2022, 129, 102689. [Google Scholar] [CrossRef]
  66. Ren, F.; Kwan, M.-P. The impact of the Internet on human activity–travel patterns: Analysis of gender differences using multi-group structural equation models. J. Transp. Geogr. 2009, 17, 440–450. [Google Scholar] [CrossRef]
  67. Jiang, S.; Liang, Z. Mediator of school belongingness and moderator of migration status in the relationship between peer victimization and depression among Chinese children: A multi-group structural equation modeling approach. J. Affect. Disord. 2021, 278, 382–389. [Google Scholar] [CrossRef] [PubMed]
Figure 1. Comparison of Maslow’s needs and Homo-urbanicus perception system.
Figure 1. Comparison of Maslow’s needs and Homo-urbanicus perception system.
Land 14 00129 g001
Figure 2. Theoretical model of residents’ satisfaction based on Homo-urbanicus.
Figure 2. Theoretical model of residents’ satisfaction based on Homo-urbanicus.
Land 14 00129 g002
Figure 3. Framework of residents’ perceptions affecting residential satisfaction.
Figure 3. Framework of residents’ perceptions affecting residential satisfaction.
Land 14 00129 g003
Figure 4. Geographic distribution of surveyed communities in Wuchang District, Wuhan.
Figure 4. Geographic distribution of surveyed communities in Wuchang District, Wuhan.
Land 14 00129 g004
Figure 5. Standardized parameter estimation path. *, **, and *** indicate p < 0.05, p < 0.01, and p < 0.001. The same applies to the table below.
Figure 5. Standardized parameter estimation path. *, **, and *** indicate p < 0.05, p < 0.01, and p < 0.001. The same applies to the table below.
Land 14 00129 g005
Figure 6. Residents’ perception statistics.
Figure 6. Residents’ perception statistics.
Land 14 00129 g006
Table 1. Details of the residents’ perception system based on Homo-urbanicus.
Table 1. Details of the residents’ perception system based on Homo-urbanicus.
Perception LevelIndicators
Z 1 : Safety z 1 : Mutual Trust Among Residents
z 2 : Residential Property Safety
z 3 : Outdoor Activity Safety
z 4 : Nighttime Travel Safety
z 5 : Vulnerable Group Safety
Z 2 : Convenience z 6 : Public Service Facilities
z 7 : Activities Convenience
z 8 : Travel Convenience
z 9 : Employment Convenience
z 10 : Shopping Convenience
z 11 : Vulnerable Groups Convenience
Z 3 : Comfort z 12 : Eco-Friendly and Harmonious
z 13 : Neighborly Harmony
z 14 : Clean and Hygienic
z 15 : Pedestrian Friendly
z 16 : User-Friendly Facilities
z 17 : Enthusiastic Service
z 18 : Vulnerable Group Friendly
Z 4 : Aesthetics z 19 : Landscape Quality
z 20 : Innovative Spatial Design
z 21 : Regional Cultural Characteristics
z 22 : Historical and Cultural Atmosphere
z 23 : Aesthetic Preference
Y : Satisfaction y 1 : Facility Satisfaction
y 2 : Spatial Satisfaction
y 3 : Social Satisfaction
Table 2. Individual Resident Characteristics Statistics Table.
Table 2. Individual Resident Characteristics Statistics Table.
Variable TypeVariable NameOptionsCountFrequency
Resident AttributesGenderMale31945.38%
Female38454.62%
Age0–1860.85%
19–3525035.56%
36–6039856.61%
Over 61496.97%
Family structureSingle10114.37%
Couple14420.48%
Nuclear family 31544.81%
Stem family14320.34%
Family incomeUnder RMB 50008011.38%
RMB 5000–10,00023233.00%
RMB 10,000–20,00021230.16%
RMB 20,000–500,00013919.77%
Over RMB 50,000405.69%
Residence lengthUnder 5 years24835.28%
5–10 years22331.72%
10–20 years18426.17%
Over 20 years486.83%
Residential Community PropertiesPlot ratioUnder 1.520114.94%
1.5–2.017831.15%
2.0–3.010528.59%
Over 3.021925.32%
Scale1000–5000618.68%
5000–15,000517.25%
15,000–30,00045364.44%
30,000–50,00012918.35%
>50,00091.28%
EraAfter 2017649.10%
2012–201719127.17%
2002–201228139.97%
Before 200216723.76%
Table 3. Reliability and validity test results.
Table 3. Reliability and validity test results.
Latent VariableObservational VariableCronbach’s αC.RAVE
Safety   ( Z 1 ) z 1 z 5 0.8380.8220.481
Convenience   ( Z 2 ) z 6 z 11 0.8360.8340.503
Comfort   ( Z 3 ) z 12 z 18 0.9110.9090.667
Aesthetics   ( Z 4 ) z 19 z 23 0.9080.9060.578
Satisfaction   ( Y ) y 1 y 3 0.8520.8570.668
Table 4. Comparison of fitness index of basic model 1 and modified model 2.
Table 4. Comparison of fitness index of basic model 1 and modified model 2.
Fitting Index x 2 / d f RMSEAGFINFIIFITLICFI
Ideal standard<5<0.08>0.8>0.9>0.9>0.9>0.9
Model 16.0700.0850.8200.8620.8820.8680.882
Model 23.7840.0630.8860.9160.9370.9280.937
x 2 / d f : x 2 test of goodness of fit; RMSEA: Root Mean Square Error Approximation; GFI: Gauge Fitting Index; NFI: Normed Fitting Index; IFI: Increasing Fitting Index; TLI: Tucker–Lewis Index; CFI: Comparing the Fitting Index.
Table 5. Path analysis results of resident perception and satisfaction pathways.
Table 5. Path analysis results of resident perception and satisfaction pathways.
HypothesisRelationshipEstimateS.EC.RpStandardized Regression Weights
H1a1Safety → Convenience1.0160.06016.969***0.818
H1a2Safety → Comfort0.7200.0749.795***0.614
H1a3Safety → Aesthetics
H1b1Convenience → Comfort0.2990.0565.332***0.316
H1b2Convenience → Aesthetics
H1cComfort → Aesthetics0.9140.04520.253***0.871
H2aSafety → Satisfaction
H2bConvenience → Satisfaction0.1170.0482.448*0.124
H2cComfort → Satisfaction0.5200.0806.471***0.523
H2dAesthetics → Satisfaction0.3040.0585.280***0.321
Table 6. Multi-group path analysis results by gender and age.
Table 6. Multi-group path analysis results by gender and age.
HypothesisRelationshipStandardized Regression Weights (P)
GenderAge
MaleFemale0–35Over 36
H1a1Safety → Convenience0.808 ***0.822 ***0.782 ***0.833 ***
H1a2Safety → Comfort0.547 ***0.594 ***0.448 ***0.688 ***
H1a3Safety → Aesthetics−0.009 (0.923)0.278 *0.216 (0.068)0.129 (0.266)
H1b1Convenience → Comfort0.378 ***0.324 ***0.441 ***0.260 ***
H1b2Convenience → Aesthetics−0.091 (0.338)−0.183 (0.059)−0.065 (0.587)−0.141 (0.073)
H1cComfort → Aesthetics0.928 ***0.775 ***0.699 ***0.882 ***
H2aSafety → Satisfaction0.152 (0.083)−0.089 (0.463)0.115 (0.295)−0.065 (0.545)
H2bConvenience → Satisfaction−0.071 (0.396)0.234 *0.065 (0.548)0.065 (0.373)
H2cComfort → Satisfaction0.668 ***0.383 **0.319 *0.700 ***
H2dAesthetics → Satisfaction0.234 *0.418 ***0.474 ***0.250 **
Disclaimer/Publisher’s Note: The statements, opinions and data contained in all publications are solely those of the individual author(s) and contributor(s) and not of MDPI and/or the editor(s). MDPI and/or the editor(s) disclaim responsibility for any injury to people or property resulting from any ideas, methods, instructions or products referred to in the content.

Share and Cite

MDPI and ACS Style

Hong, M.; Li, H.; Wei, W.; Chao, J.; Xia, J. Exploring the Relationship Between Residential Perceptions and Satisfaction: A Demographic Analysis in Wuhan, China. Land 2025, 14, 129. https://doi.org/10.3390/land14010129

AMA Style

Hong M, Li H, Wei W, Chao J, Xia J. Exploring the Relationship Between Residential Perceptions and Satisfaction: A Demographic Analysis in Wuhan, China. Land. 2025; 14(1):129. https://doi.org/10.3390/land14010129

Chicago/Turabian Style

Hong, Mengyao, Hongrui Li, Wei Wei, Jialing Chao, and Junnan Xia. 2025. "Exploring the Relationship Between Residential Perceptions and Satisfaction: A Demographic Analysis in Wuhan, China" Land 14, no. 1: 129. https://doi.org/10.3390/land14010129

APA Style

Hong, M., Li, H., Wei, W., Chao, J., & Xia, J. (2025). Exploring the Relationship Between Residential Perceptions and Satisfaction: A Demographic Analysis in Wuhan, China. Land, 14(1), 129. https://doi.org/10.3390/land14010129

Note that from the first issue of 2016, this journal uses article numbers instead of page numbers. See further details here.

Article Metrics

Back to TopTop