Abstract
The core promise of land use and zoning reforms is to metamorphose the car-dominated urban spatial structure—which is the legacy of use-based, modernist land use and transportation planning of the past century—into human-centered forms of urbanism characterized by walkable, accessible, transit-friendly, ecologically sustainable, equitable and resilient urban fabrics. This empirical study aims to measure the effectiveness of a reformed city planning framework, known as the form-based code (FBC), in terms of optimizing journey-to-work trips. To this end, the study integrates geographic information systems (GIS) and spatial analysis techniques with linear programming, including a variant of the transportation problem, to evaluate aggregated and disaggregated commuting efficiency metrics. Utilizing the zonal data (ZDATA) for the Orlando metropolitan region, the proposed models account for the commuting terrains associated with three major workforce cohorts, segmented along key industry sectors, within the context of three urban growth scenarios. The findings suggest that the FBC system holds the potential to enhance commuting patterns through various place-based strategies, including juxtaposing, densifying, and diversifying employment and residential activities at the local level. At the regional level, however, the resultant urban form falls short of an ideal jobs–housing arrangement across major industry sectors.
1. Introduction
Recent national statistics indicate that, on the eve of the COVID-19 pandemic, the average one-way commute duration in the U.S. had reached a new high level of 27.6 min, marking an increase of approximately 10% over the course of 14 years. Moreover, a larger proportion of Americans reported undertaking work trips lasting more than one hour [1]. In fact, since the third wave of (employment) suburbanization in the 1980s, the average distance and duration of home-based journey-to-work trips have been on the rise [2,3,4,5]. Addressing prolonged commuting patterns and their associated urban problems, such as traffic congestion, air pollution, safety concerns, overconsumption of energy, productivity loss, and quality-of-life deterioration, among others, has consistently remained one of the main challenges confronting urban geographers, as well as regional planning and policy-making authorities [6,7,8,9]. With the rise of big data and GeoAI-enabled planning tools, policies aimed at enhancing the efficient movement of people and goods—referred to as smart mobility—have also become a high priority on the smart-city agenda [10].
The nexus between the spatial structure of the urban environment and the duration, sustainability, and efficiency of home-based work trips has been a focal point of theoretical and empirical research within academia for the past three decades [2,11,12,13,14,15,16,17,18,19,20,21,22,23,24]. Opinions on the effects of land use policy and transportation systems on commuting patterns vary, reflecting diverse philosophical views among researchers on urban economic theory, socio-spatial drivers of urban development processes, as well as the methodological approaches and analytical tools employed in scientific endeavors. Numerous planning professionals and academics maintain that the physical and spatial configuration of the built environment—stemming from the interplay of land use policy, land development regulations, and transportation infrastructure—exerts a substantial influence on mobility patterns, as well as on individuals’ employment and housing location decisions [2,11,12,18,25]. Another group of researchers holds an opposite view, asserting that not only do transportation and land use policies exhibit weak connections, but urban form also, at best, plays a trivial role in shaping commuting patterns [13,26,27,28]. These differing perspectives underline the need for further research on the role of city planning in affecting mobility patterns. This paper aims to contribute to the ongoing debates on the relationship between urban morphology and regional commuting by examining the effectiveness of a revisionist approach to city planning in enhancing commuting efficiency metrics.
Informed by the planning ideals of sustainable urbanism, where spatial balance is sought between the locations of housing and the distribution of employment opportunities across self-contained urban regions, past research has predominantly scrutinized the relationship between urban spatial structure and commuting efficiency through interrelated lenses including jobs–housing balance, excess commute, and employment accessibility [4]. Utilized as a metric to assess jobs–housing relationship in a geographical area, excess commute signifies the discrepancy between average journey-to-work trips and the optimal commuting pattern if workers were to travel to the nearest workplaces. Put differently, excess commute is the deviation of the observed average commute in an urban region from its estimated minimum average commute which is determined by the distribution of housing and jobs [17].
Most excess-commuting studies have employed a standard linear programming procedure, referred to as the Transportation Problem (TP), to estimate the minimum average journey-to-work patterns [14,16,17,18,19,22,23,29,30,31,32]. Few studies, however, account for the heterogeneity of occupational characteristics and the workforce population, as well as the commuting efficiency of various subgroups within the labor force [13,24,31,33]. Furthermore, existing approaches examine a fixed representation of the built environment and neglect to consider potential future development trajectories [4]. Additionally, the impacts of unorthodox land use policies and zoning reforms on commuting patterns have not garnered sufficient attention in the excess commuting literature.
To fill these gaps, this empirical study integrates GIS and spatial analytics with linear programming to measure the efficacy of a reformed city planning framework, known as the form-based code (FBC). This is assessed in terms of commuting efficiency metrics, manifested through the spatial dynamics between the locations of residences and workplaces at different spatial scales. A disaggregated variant of the classic transportation problem (CTP) is structured to model the optimal commuting flows of three major workforce groups across three urban growth scenarios. Using the zonal data (ZDATA) for the Orlando metropolitan region in Central Florida, this study measures aggregated and disaggregated commuting efficiency metrics in Orange County—the region’s major employment and population center—within the present and future development frameworks.
The remainder of the paper is organized as follows. The subsequent section reviews the state of the art in excess commute scholarship, delving into the avenues of research pertinent to the present study. Section 3 highlights the key aspects of the form-based code, with a specific focus on the connection between spatial form and commuting patterns. Section 4 describes the study area and explains the reasons for choosing Orange County, Florida as a case study for the present empirical research. Section 5 enumerates the data sources and the innovative methods employed to develop and implement a disaggregated variant of the CTP model. Section 6 lays out model formulations and Section 7 presents the model results. Lastly, the concluding section discusses the findings and their implications, along with addressing the study’s limitations, while also outlining several avenues for future research.
2. Urban Spatial Structure and Commuting Efficiency: An Evolving Research Field
This section offers a brief overview of excess commute, primarily exploring it as an analytical (descriptive) framework. It also positions excess commute vis-à-vis other constructs on the urban commuting spectrum that collectively measure different aspects of commuting efficiency in a region.
2.1. Excess Commute
Excess commute represents the proportion of the actual commute deemed unnecessary, excessive, or sub-optimal, which, hypothetically, could be eliminated if commuters trade residences or jobs [29]. Excess commute can be construed in various ways, such as an indicator of commuters’ travel behavior [34], a benchmark for travel demand [31], a statistic representing commuting efficiency [33], a measurement of land use–transport alignment [5], the significance of urban form and journey-to work trips in households’ housing location decision-making [19], and even a proxy for social exclusion [35]. Mathematically, excess commute is estimated using Equation (1), wherein this statistic, denoted as , is defined as the ratio of the difference between an urban area’s observed average commute, , and its theoretical minimum average commute, , commonly referred to as the required commute, to the observed average commute. Consequently, the excess commuting rate is articulated as a percentage of the actual average commute [17].
Employing the monocentric model of urban economic theory, Hamilton [34] first introduced the notion of excess commuting. The underlying assumption in Hamilton’s normative model was that individuals as rational agents choose workplaces and housing locations to maximize single-attribute utility functions (or, conversely, to minimize costs, i.e., resources or time) by striking a balance between housing and commuting expenses. Hamilton’s analysis demonstrated that the monocentric representation of urban spatial structure and the associated continuous exponential density functions fail to provide accurate estimates for the actual average commute rates in post-modern urban regions.
In reaction to Hamilton’s thought-provoking work, researchers initiated a re-evaluation of both the assumptions underlying the monocentric model and the concept of excess commuting. By representing space through a network of contiguous zonal units and employing the same normative approach, White [29] redefined a classic linear programming problem, known as the transportation problem (TP), first specified by Hitchcock [36], to estimate the theoretical minimum average commute. The TP-based model has found extensive application in excess commuting studies, owing to its ability to depict the decentralized spatial structure of contemporary urban regions more effectively than the monocentric model. Specifically, in the TP-based model, urban form is delineated by the spatial distribution of housing and employment locations across the urban region, which are either individually geo-coded or aggregated at the zonal unit level. In addition, spatial behavior is encoded in the model by the flow pattern of commuters between residences and workplaces. Meanwhile, accessibility is represented by commuting cost, which could be approximated either by the travel distance (i.e., straight, Euclidean length or network-based distance) or by the travel time between residential and job sites. Alternatively, the generalized cost of traveling, i.e., some combination of time, distance, and direct monetary expenses could also be employed [37]. Of significant note is that the CTP model does not relocate the labor force or workplaces. Rather, it reassigns workers to the closest employment sites such that the overall commuting distance or duration within the urban system is minimized. This aspect of the model has been misconstrued, with some researchers interpreting it as the exchange of jobs and/or housing [15,16,17,20,21,22,24,38].
Regarding the methodological issues, past research has focused primarily on the variability, validity, and uncertainty associated with estimating excess commute. Various studies demonstrate that the value of the minimum average commute, as estimated using the CTP model, is sensitive to multiple factors. These factors include the problem formulation, the representation of commuting costs, the (dis)aggregation of journey-to-work data, the scale and configuration of the zonal system used in the analysis, and the delineation of the geographical boundary of the study area. In general, the inclusion of additional constraints in the CTP model leads to an increase in the value of the theoretical minimum commute and a reduction in the estimated excess commute rate, assuming all other conditions remain constant. While some researchers [14,21,30] have claimed that different metrics of commuting cost do not yield major variations in excess commuting estimates, Ma and Banister [39] report significant discrepancies between distance-based and time-based estimations of excess commute in the context of the Seoul metropolitan area.
Several studies have challenged the universal worker/job interchangeability assumption initially employed in both Hamilton [34] and White [29]. These efforts analyze the effects of workforce and employment segmentation, based on different characteristics—such as occupational category [13,19,24,30,31,33,40], household structure [14,41,42], and housing tenure [22]—on the estimation of excess commuting. For instance, Giuliano and Small [13] found an overall increase in the average required commute when separately estimating the minimized average commute rates for seven occupational categories in the context of the Los Angeles metropolitan area.
Horner and Murray [17] discuss the spatial uncertainties surrounding the estimation of excess commute and demonstrate that the TP-based model is indeed subject to the modifiable areal unit problem (MAUP) (see [43]). Generally, ceteris paribus, utilizing aggregated zonal units leads to lower excess commuting rates, and conversely, employing smaller units results in higher rates, but at a decreasing level [29]. Researchers have also reported the variability of excess commute when employing a spatially disaggregated approach [13,20]. To countervail ecological fallacy effects, some studies have utilized micro-level individual data to estimate excess commuting [14,19,21,22,43]. For example, to mitigate spatial inaccuracies associated with location and commuting data reported in journey-to-work surveys, Hu and Wang [21] utilized a Monte Carlo approach to simulate the individual locations of workers and jobs. Findings elucidate considerable disparities in the estimated excess commuting rates when utilizing reported zonal-level data compared to simulated individual-level data. It should be noted that employing disaggregated individual-level data introduces specific constraints, including challenges related to computational complexity, random sampling, and the generalizability of results [22].
2.2. Urban Commuting Spectrum
The significance of excess commute as a geographic analytical framework lies in the fact that it encompasses both individuals’ actual spatial behavior—i.e., commuters’ housing and job location choices and their preferences towards employment accessibility—and the minimum average (required) commute which represents the normative commuting pattern. The required commute measures the proximity between the average location of a resident worker and the closest job, portraying the degree of accessibility to employment opportunities at the local level. Employing this framework, Rodríguez [19] posits that excess commute comprises both involuntary and voluntary components. The former denotes the excessive travel that the workforce would alleviate by switching jobs. The voluntary component, on the other hand, is the extra travel that commuters willingly undertake in exchange for added benefits, such as favorable housing cost-to-housing size ratio (price per square foot), better residential quality, improved neighborhood amenities, and proximity to non-work destinations—among other advantages. In general, elevated levels of excess commute could be indicative of a loosened alignment between land use and transportation systems [5] and a weak tie between work trips and commuter’s self-selection process [13,25]. By contrast, a relatively low excess commuting rate could imply that work trips are households’ major locational concern, representing tighter connections between land use and transport.
Researchers have augmented the notion of excess commute by contextualizing it within a broader spectrum of journey-to-work possibilities. For instance, Horner [33] introduced the concept of commuting capacity utilized (), or the normalized excess commute, by incorporating the theoretical maximum average commute, , which is the inverse of the required commute. Horner argues that the maximum average commute marks the upper limits of both the commuting capacity and the jobs–housing imbalance in a region. This concept gauges the proximity between the average location of a resident worker and the farthest job, representing the maximum degree of employment decentralization at the regional level. The commuting capacity utilized is estimated using Equation (2). This metric is expressed as a percentage of the absolute commuting capacity, i.e., the difference between the maximum and minimum average commutes.
Yang and Ferreira [44] modified the maximum average commute and proposed a new commuting efficiency construct: proportionally matched commuting (). Constituting the refined upper bound of both spatial decentralization and commuting capacity within a region, the measures the proximity between the average location of a resident worker and the average location of a job. Replacing the maximum average commute with the quantity of the , Equation (2) could be reformulated to estimate a new commuting efficiency statistic named the potential commute consumed ().
Therefore, conceptually, the commuting spectrum in a region ranges between the required commute (lower bound A) and the (rectified upper bound C), as well as the theoretical maximum average commute (absolute upper bound D), with the actual (observed or estimated) commute (B) falling somewhere between A and D (See Figure 1). The difference between the actual commute and either of the two bounds (that is, segment lines AB and BC, or segment lines AB and BD), i.e., the absolute excess commute and the absolute remaining commute potential or the absolute remaining commuting capacity, respectively, and the total range (segment line AC or AD), i.e., the absolute commute potential and the commuting capacity, respectively, could be regarded as indicators of a region’s commuting efficiency. To complement the urban commuting landscape, Niedzielski [20] coined the notion of “deficit commuting,” which accounts for the unused portion of the commuting capacity, represented by the BC or BD segment in the conceptual spectrum shown in Figure 1. This statistic could prove valuable from an end-of-trip perspective, as it delineates the trade-off between commuting efficiency and an employer’s attractiveness to the workforce, as well as the level of agglomeration economy within a region.
Figure 1.
Schematic representation of urban commuting spectrum.
3. Form-Based Code
Since the 1980s, revisionist approaches to city planning, exemplified by movements like New Urbanism and Smart Growth, have spawned zoning reforms with the goal of mitigating urban sprawl and realigning development patterns and planning systems with sustainability principles [45]. The fundamental objective of these land use and land development regulation reforms is to transform the auto-dependent urban spatial structure—a legacy of use-based, modernist planning of the past century—into human-centered forms of urbanism characterized by compact, walkable, accessible, transit-friendly, ecologically sustainable, socially equitable, and resilient urban fabrics. Among these zoning reforms, form-based codes (FBCs) have been widely implemented on different scales in various jurisdictions across the United States and beyond [46]. In contrast to conventional Euclidian zoning regulations, which are primarily prospective and focused on the separation of uses and compatibility of activities, FBCs are place-based, context-sensitive, and prescriptive rules. They concentrate on regulating urban form, as well as on the design and character of buildings and the public realm (for more on FBCs see [45,47,48], also see Form-Based Codes Institute, n.d.).
The rural-to-urban transects constitute the building blocks of FBCs, allowing for the orderly arrangement of the elements of urban form and a seamless transition of the human environment from the most rural to the most urban [49]. Proponents of FBCs posit that this planning framework produces predictable built forms, presumably resulting in sustainable, aesthetically pleasing, and pedestrian-friendly places and communities with distinctive identities [48]. In fact, recent studies conducted in two major metropolitan regions in the U.S. indicate that FBCs incorporate sustainable design principles to a greater extent when compared to conventional zoning codes [50,51].
In addition to curbing urban sprawl, these zoning reforms could (directly or indirectly) enhance commuting patterns through several New Urbanist principles including intermixing of land uses, designing small urban blocks and connected street networks, rectifying regulatory barriers such as parking requirements or minimum lot size standards, promoting transit-oriented development, creating diverse residential stock interspersed with “missing middle” and live-work housing types—among others. From a commuting efficiency perspective, this means closer proximity and broader modes of transportation between residences and jobs. Nevertheless, the literature on the effects of FBCs on commuting patterns is scant. More importantly, the efficacy of zoning reforms in terms of decreasing journey-to-work lengths has not received enough attention in the excess commute literature [52]. These gaps will be addressed in this empirical research.
4. Study Area
Orange County, one of the three counties comprising the Orlando Metropolitan Region, has been chosen as the study area for this research (see Figure 2). With a population of roughly 1.2 million and a job-worker ratio of 1.4 in the year 2020, Orange County is Central Florida’s most populous county, as well as its major employment hub. Regionally, Orange County has reported the highest levels of auto congestion, with over 85% of all daily trips made by automobile.
Figure 2.
Geographical location of Orange County within the Orlando Metropolitan Area, Central Florida.
On average, an employee in Orange County experiences a longer commute time of 28.8 min compared to the typical U.S. worker’s commute of 26.9 min. Regional models project rapid economic growth in Central Florida over the next 25 years. Orange County is expected to witness population and employment growth rates of 63% and 68%, respectively, by 2045. Accordingly, the County’s travel demand metrics, such as person trips, VMT, and VHT, are expected to increase by 73%, 62%, and 81%, respectively [53]. Urban challenges related to congestion and commuting are likely to worsen in the future as the region experiences rapid population growth, particularly with the expansion of the tourism and hospitality industry. Moreover, Orange County is in the process of employing a form-based code as part of the reorganization of the County’s Comprehensive Plan (Vision 2050), as well as the associated land development code (Orange Code). All these factors make Orange County an appropriate case study for analyzing the potential effects of the FBC on commuting patterns.
5. Data and Method
An optimization-based model was structured to evaluate the effectiveness of the FBC in enhancing commuting patterns in the study area. The model represents a disaggregated variant of the classic transportation problem (CTP) that accounts for the commuting patterns of the workforce populations employed across three major occupational categories: commercial, industrial, and service sectors. The proposed model was implemented within the framework of three urban growth scenarios, i.e., the baseline scenario, the status quo growth scenario, and the form-based code (FBC) growth scenario. The baseline scenario represents the extent of commuting efficiency resulting from the spatial configuration of housing and jobs in the year 2020. The status quo growth scenario illustrates the commuting patterns representative of the urban form layout in the planning horizon year 2045, assuming that the present-day land use and conventional zoning systems will remain effective in the future. Finally, the FBC growth scenario depicts the commuting dynamics resulting from Orange County’s spatial structure in the horizon year 2045, if the proposed Vision 2050 and the associated form-based code (Orange Code) guide development patterns in the future. Model formulations will be discussed in detail in Section 6.
Using our proposed models, we estimated aggregated and disaggregated commuting efficiency metrics including the minimum and maximum average commuting times, as well as the , , and rates for the workforce populations in three major occupational categories. These commuting efficiency metrics were estimated within each development scenario for three cohorts of journey-to-work trips: (1) all work trips originating from or terminating in the study area (comprising internal–internal, internal–external, and external–internal trips, or in short, the I-I, I-E, and E-I work trips), representing resident workers commuting within or outside the study area, as well as non-resident workers traveling to the study area from external zones; (2) all work trips originating from the study area (that is, the I-I and I-E trips), representing resident workers traveling to external zones or within the study area boundaries; and (3) work trips exclusively internal to the study area (that is, the I-I trips), representing resident workers commuting solely within the study area boundaries. Our approach thus extends the method employed in previous excess commuting studies, in which resident workers commuting to external zones or non-resident workers traveling into the study area were excluded from the analysis.
The estimated population and employment data for the years 2020 and 2045 were derived from the zonal socio-economic data (ZDATA) used in the Central Florida Regional Planning Model, Version 7 (The CFRPM 7 Data Dashboard is publicly available through the following link: http://tinyurl.com/vbkxp2ch (accessed on 6 January 2024)). CFRPM 7 is an integrated planning support system including a four-step urban transportation modeling system (UTMS) with temporal segmentation, developed by the Florida Department of Transportation (FDOT) to assist local governments and regional planning agencies in Central Florida in estimating both travel demand and the required transportation infrastructure for future planning horizon years. The estimated population and employment data for the third scenario (FBC growth scenario) were provided by the Orange County Planning Department (OCPD) (The Vision 2050 data and the associated documents are publicly available through the following link: http://bit.ly/v2050web (accessed on 6 January 2024)). The population and employment projections in the ZDATA are based on the region’s historical demographic and growth trends, adhering to a traditional planning framework that emphasizes the separation of uses and conventional growth management strategies. In contrast, the data provided by OCPD is derived from population projections from the Bureau of Economic and Business Research (BEBR), the region’s parcel-level development capacity analysis, and specific long-range planning goals for the county’s six growth sectors as envisioned by the form-based code framework.
Like other authoritative data sources used in the past excess commute studies, both the ZDATA and the OCDP data are aggregated at the zonal level. The present study utilizes Traffic Analysis Zones (TAZs), also known as Transportation Analysis Zones, as the areal unit of analysis. Delineated by the FDOT, TAZs are specific geographical units containing homogenous land use types with respect to travel demand and trip generation characteristics [54]. The Orange County TAZ system consists of 1699 units, with an average unit size of roughly 0.6 square miles. Therefore, owing to the ample disaggregation of the TAZs, the MAUP effects on the estimation of excess commute will be insignificant [17].
Due to the lack of information on the workforce population in the ZDATA, a GIS method along with the following formula was used to estimate the worker population at the TAZ level.
where:
The ZDATA provides estimates of population, , and the worker-per-household ratio, , at the TAZ level for the years 2020 and 2045. The American Community Survey (ACS) data were utilized to estimate the household size at the census tract level, calculated as the ratio of the population to the total number of households. That is, where: household size in a census tract, total number of households in a census tract, and estimated population in a census tract. Using the spatial join function in ArcGIS Pro, the estimated household size for each census tract was assigned to all the TAZs within the corresponding census tract; that is, . Similarly, the ACS data were used to organize the workforce in each census tract into three major employment categories and to calculate the proportion of the workers in each group. Table 1 illustrates the organization of various occupational categories into three major sectors, i.e., commercial, industrial, and service. By employing the spatial join function in ArcGIS Pro and the proportion of the workforce group in each census tract, the share of workers in each sector was estimated at the TAZ level. It is crucial to emphasize that this method introduces potential ecological fallacy errors, given that it presupposes a homogenous household structure and workforce distribution within each census tract.
Table 1.
Organization of various occupational categories into three major sectors.
Network-based travel time between each pair of TAZ centroids was used to represent the inter-zonal commuting cost. White [29] suggests that travel time could be regarded as a better measure of commuting cost than travel distance. This is because commuters in general tend to view the former, rather than the latter, as a real cost. The inter-zonal travel time was estimated using the origin-destination cost matrix solver in ArcGIS Pro under free-flow conditions, which finds the least-cost path between each pair of TAZ centroids. In other words, traffic conditions in peak and non-peak times were not considered in the estimation of travel time. Moreover, as in the study by Small and Song [30], we used the over-the-road automobile travel time metric, rather than the door-to-door commuting time. Thus, we excluded from our estimation the “fixed time” costs of commuting (see Merriman et al. [15]). With a view to enhancing spatial accuracy in the estimation of travel time, the centroid of developed areas in each TAZ, instead of the conventional geometric centroid, was utilized to calculate the inter-zonal commuting time. To estimate the intra-zonal travel time, we employed the technique used by Horner and Murray [17], which presumes that each zone is circular in shape. We also assumed that the average driving speed within each zone is 0.5 miles per minute. That is, × 2, where: = area of the TAZ, in square miles, and = intra-zonal commuting time, in minutes.
The observed average commuting time, , corresponding to the resident workforce travelling within or outside the study area (i.e., I-E and I-I work trips) at the county-level was obtained from the ACS for the year 2020. The average commuting time, , for the workforce travelling exclusively within the study area boundaries (i.e., I-I work trips) was estimated using the interzonal home-based journey-to-work trip matrices derived from the CFRPM 7 model for the three urban growth scenarios. That is, , where = estimated number of home-based work trips from the origin zone, , to the destination zone, , and = inter-zonal commuting time.
In this research, the TP-based optimization model was developed and implemented in the Jupyter Notebook environment using GurobiPy, a Python API (Application Programming Interface) for the Gurobi Optimization solver, version 10.0.3. Gurobi is a commercial optimization solver used for mathematical programming, linear programming, and other optimization problems. ArcGIS Pro, version 3.1.3, was used for spatial analysis, estimation of travel time, and visualization of the journey-to-work flows. The entire analysis was carried out on a personal Dell XPS laptop with a 12th Gen Intel(R) Core (TM) i7-1260P 2.10 GHz processor running Microsoft Windows 11 Home with 16 GB of RAM.
6. Model Formulation
Prior research on disaggregated excess commute has consistently involved averaging the total minimized commuting time across the entire workforce population to estimate the quantity of the required commute [24,31]. This approach arguably underestimates the average minimum commute since it does not distinguish between various workforce groups [40]. In this study, we introduce a novel approach for estimating the disaggregated minimum commute. This procedure enables us to assess both the overall performance and the proportionate contribution of the workforce in each industry sector to the total commuting time. A disaggregated version of the classic transportation problem, DTP, could be formulated as follows. Consider the following notation:
- home-based journey-to-work trip in employment sector from residential zone to employment zone
- workforce population (resident workers) in economic sector in residential zone
- total workforce population in zone
- number of jobs in employment sector, in employment zone
- total number of jobs in zone
- travel time between residential zone, and employment zone
- = total journey-to-work trips in sector k
Subject to:
Objective function (4) reassigns workers within each employment sector, , from their respective origin zones, , to designated destination zones, , such that the total weighted commuting time is minimized. The weights in the objective function, correspond to the proportion of the workforce population within each employment sector. Constraints (5) ensure that the total number of trips originating from each residential zone, , within each industry sector, , equates the total number of resident workers within the corresponding sector in the origin zone. Similarly, constraints (6) require that the total number of trips routed to each employment zone, within each industry sector, is equal to the total number of jobs within the corresponding sector in the destination zone. Constraints (7) impose non-negativity restrictions on decision variables.
Typically, the CTP model with equality constraints requires that the total number of origin and destination zones be identical (that is, ) and that the workforce population be equal to the total number of jobs in a region (that is, ). However, the condition of employment-workforce equilibrium may not be applicable at a specific spatial scale. To address the regional imbalance between jobs and workforce for each occupational category we introduced a dummy TAZ. Theoretically, the dummy TAZ represents the portion of the metropolitan region located beyond the confines of the study area. Therefore, the commuting times associated with the trips originating from or terminating in the dummy TAZ will be set to be equivalent to the average travel time from the centroid of Orange County to the centroids of the two neighboring counties within the Orlando metro area. The proposed methodology can easily be extended to metropolitan regions with varying spatial structures. Note that (), representing the total number of TAZs plus the dummy TAZ. In other words, mathematically, the following equality holds: .
The DTP model could be reformulated to estimate the disaggregated maximum average commuting time for the three categories of work trips. Formally, the maximum average commute is estimated by maximizing the objective function in (4), while maintaining the constraints (5) through (7). We also extended the model proposed by Yang and Ferreira [44] to compute the disaggregated proportionally matched commute, for the three categories of work trips.
Equation (8) computes the disaggregated average for all work trips, where represents the most probable assignment of a worker from the origin zone, , in industry sector, , to a job in the corresponding sector in the destination zone, , regardless of its location. The flow between each pair of origin and destination zones in each industry sector could be estimated using Equation (9) in which this metric is proportional to the workforce population in the origin zone and the destination zone’s share of the employment market in the respective industry sector. It is worth noting that aggregated commuting efficiency metrics could be estimated using our proposed models by replacing the industry-specific workforce population with the total workforce population in each category of work trips.
7. Model Results
Table 2 and Table 3 illustrate the results of implementing the proposed models across three urban development scenarios, delineating commuting efficiency metrics for three cohorts of work trips as outlined in Section 5. Note that urban forms with lower commuting efficiency metrics foster more efficient daily commutes. Discernible patterns emerge across the three urban growth scenarios, both in aggregated and disaggregated statistics. Not surprisingly, the first cohort of work trips (inclusive of the I-I, I-E, and E-I sub-groups) exhibits the most pronounced levels of minimum and maximum average commutes and the rates, while the I-I work trips (the third cohort) consistently demonstrate the lowest amounts of the three basic commuting efficiency indicators.
Table 2.
Aggregated commuting efficiency metrics for three cohorts of work trips, segmented along industry sectors, under three urban development scenarios (basic commuting efficiency metrics are measured in minutes).
Table 3.
Disaggregated commuting efficiency metrics delineated across three categories of journey-to-work trips, segmented along industry sectors, across three development scenarios (metrics are measured in minutes).
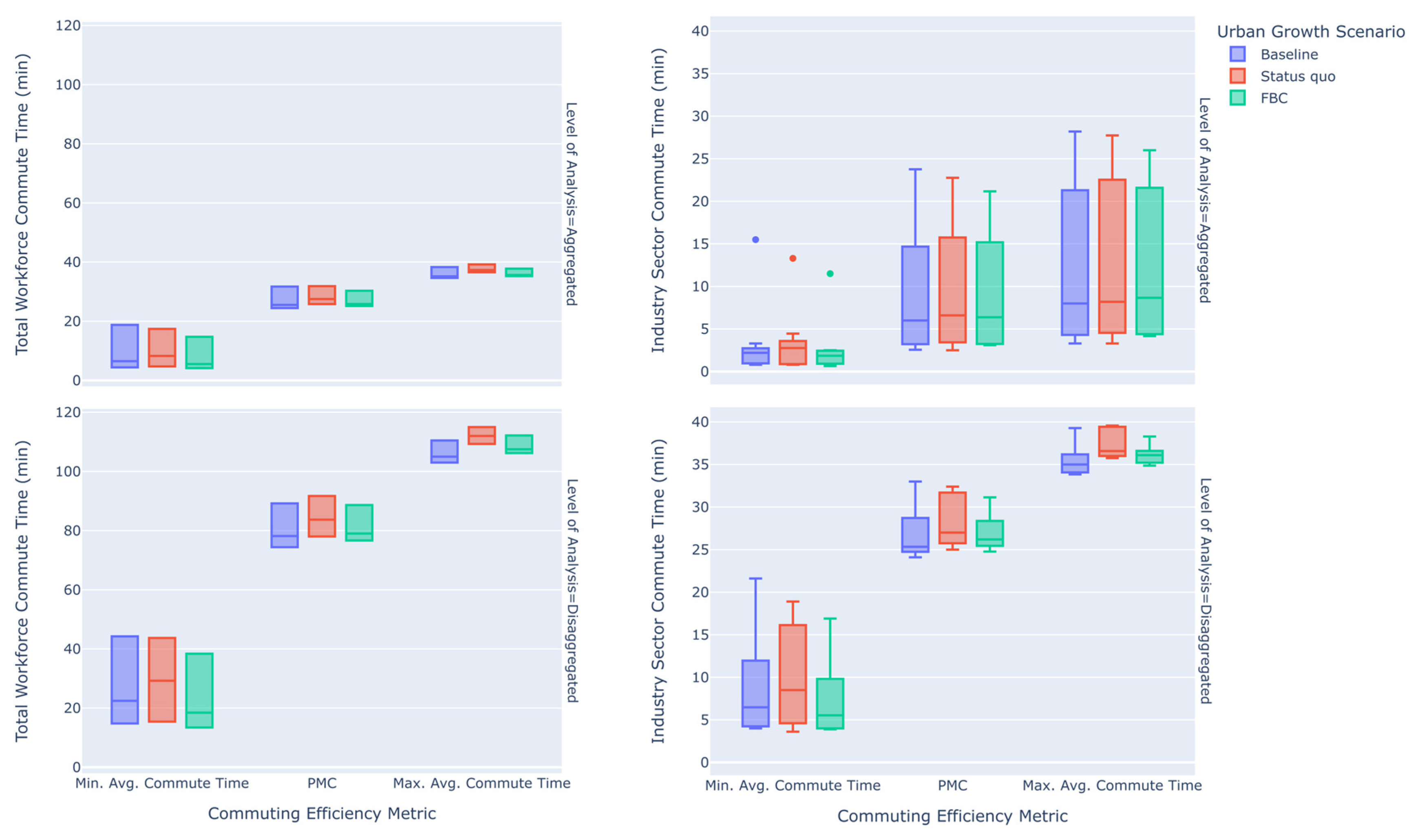
Nevertheless, the decomposition of journeys to work along key occupational categories presents a more intricate portrayal of commuting patterns across the three work trip cohorts. For instance, as Figure 3 illustrates, within the first work trip cohort, the labor force engaged in the service sector demonstrates the highest rates of aggregated and disaggregated commuting efficiency metrics, trailed by workers in the commercial and industrial sectors, respectively. This pattern is attributable to the sheer size of the workforce population in the service sector relative to the two other sectors. Another factor contributing to this pattern is the substantial spatial separation between workers and job locations within the service sector, primarily due to the high prevalence of non-resident service sector employees. For the second cohort, inclusive of the I-I and I-E work trips, one would expect longer work trips for the commercial sector workforce in comparison to other industry sectors, owing to their significant portion of trips to external zones. The results, however, indicate that only the disaggregated metrics can capture these nuanced commuting patterns, as the aggregated outcomes are notably skewed by the predominant weight of the service sector workforce.
Figure 3.
Variation in basic commuting efficiency metrics within the first work trip cohort, categorized by industry sector, level of analysis, and urban growth scenario.
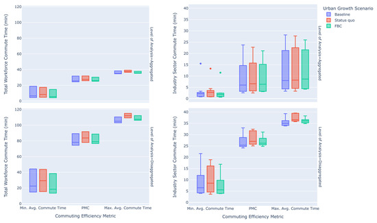
Similarly, the aggregated and disaggregated indicators paint contrasting pictures of commuting patterns for the third work trip cohort, which represents urban spatial structure within the study area. As shown in Figure 4, the aggregated commuting statistics for the I-I work trips depict travel behavior akin to that observed in the first cohort of work trips—where the service sector workforce, followed by employees in the commercial and industrial sectors, demonstrates the most inefficient commuting patterns. Nevertheless, the disaggregated statistics unveil an inverse order, with industrial workers traveling within the study area exhibiting the highest commuting efficiency metrics. Figure 5 and Figure 6, respectively, illustrate the estimated interzonal peak-hour home-based journey-to-work flows ( and the minimized (optimal) commuting patterns ( for the I-I work trips in the baseline scenario. Additionally, Figure 6 depicts the TAZs that generate or receive work trips to and from external zones.
Figure 4.
Variation in basic commuting efficiency metrics within the third work trip cohort, categorized by industry sector, level of analysis, and urban growth scenario.
Figure 5.
Estimated interzonal peak-hour home-based work trips (inclusive of all workforce groups) originating from and confined to the boundaries of the study area in the baseline scenario (Year 2020).


Figure 6.
Optimal (minimized) work trips exclusively internal to the boundaries of the study area under the baseline scenario (2020). (Upper Panel): Commercial Workforce Flow; (Middle Panel): Service Workforce Flow; (Lower Panel): Industrial Workforce Flow (single dots represent intra-TAZ commutes).
The results also shed light on the current state of travel behavior in terms of composite commuting efficiency benchmarks. As shown in Table 2, in the baseline scenario, the rates for all work trips originating from the study area (i.e., the second work trip cohort) and for those that are internal to the study area (i.e., the third work trip cohort) were estimated at 77% and 78%, respectively. These measures are above the average ranges observed in major U.S. metropolitan areas that fluctuate between 40–60% [32]. Furthermore, the rate for the former cohort was estimated at 117%, implying that the actual commute rate has surpassed the indicator (see Figure 1). In other words, while the absolute excess commute rate is 24% below the region’s maximum commuting capacity, the actual commuting pattern has gone above the absolute commute potential threshold by 17 percentage points. These findings, in conjunction with the elevated rate of the for the I-I work trips (which is estimated at 81%), suggest that the existing urban spatial structure in the study area exhibits a pronounced degree of spatial dispersion, underlining the urgency for implementing effective land use and transport policies.
The results also offer insights into the potential future urban morphology of the study area and the resultant commuting patterns under alternative planning regimes. The findings indicate that if the existing land use and zoning regulations persist, the future urban landscape in the year 2045 is poised to demonstrate a heightened spatial disjoint between residences and job centers and a weaker connection between land use and transport systems, both locally and regionally, in comparison to the baseline year. This outcome is evident in several ways: an increase in absolute commute potential and the rate, an approximate 10 percent rise in the and indicators between 2020 and 2045, and deteriorations in both aggregated and disaggregated basic commuting efficiency metrics over the same period (see Table 2 and Figure 4). Examination of commuting efficiency indicators at the industry sector level uncovers yet another incongruity between aggregated and disaggregated statistics. Figure 4 reveals that, under the status quo growth scenario, within the third work trip cohort, the service and industrial sectors are likely to experience localized increases in spatial separation of workers and jobs, while commuting efficiency indicators are expected to improve for the commercial sector at the local level. At the regional scale, the aggregated metrics show the same trends that were observed locally. In contrast, when considering the disaggregated measures, a uniform increase in spatial dispersion between the locations of workers and jobs is anticipated across all three industry sectors. Figure 7 illustrates the variation in basic commuting efficiency metrics by industry sector, consolidating the three work trip cohorts. The box plots indicate that, under the status quo growth scenario, the median values of both aggregated and disaggregated commuting efficiency metrics for each industry sector increase compared to the baseline scenario.
Figure 7.
Distribution of basic commuting efficiency metrics inclusive of all work trip cohorts, categorized by industry sector, level of analysis, and urban growth scenario.
Figure 8 depicts the distribution of commuting efficiency statistics across the three work trip cohorts, when merging the three industry sectors. The box plots reveal that, under the status quo growth scenario, the median values of the aggregated commuting efficiency metrics for the third work trip cohort improve, while those of the disaggregated metrics deteriorate compared to the baseline scenario. Figure 9 extends this analysis to all work trip cohorts, using both the industry sector level and the total workforce commuting efficiency measures. The graphs demonstrate that, under the status quo growth scenario, the median values of both aggregated and disaggregated commuting efficiency metrics deteriorate compared to the baseline scenario. Figure 10 depicts the minimized commuting flows for the third work trip cohort under the status quo growth scenario.
Figure 8.
Distribution of basic commuting efficiency metrics inclusive of all industry sectors, categorized by work trip cohort, level of analysis, metric type, and urban growth scenario.
Figure 9.
Distribution of the total workforce-level commuting efficiency metrics (left column) and industry-sector-level commuting efficiency metrics (right column) for all work trip cohorts and industry sectors, categorized by metric type, level of analysis, and urban growth scenario.


Figure 10.
Optimal workforce commuting patterns exclusively internal to the boundaries of the study area in the planning horizon year 2045 under the status quo growth scenario. (Upper Panel): Commercial Workforce Flow; (Middle Panel): Service Workforce Flow; (Lower Panel): Industrial Workforce Flow (single dots represent intra-TAZ commutes).
Contrasted with the status quo growth scenarios, the FBC system demonstrates enhancements across major basic and composite commuting efficiency indicators. These improvements are evident not only in the visualization of the optimal travel behavior but also in the decreases in aggregated and disaggregated statistics for total workforce commute times, the rate, as well as the and indicators. Figure 11 illustrates the optimal commuting patterns for the I-I work trips (i.e., the third work trip cohort) by industry sector in the planning horizon year 2045 within the FBC growth scenario. It also depicts the TAZs that are expected to generate or receive work trips to and from outside the study areas. Again, at the industry-specific level, results reveal a complex tapestry of commuting patterns across the study area. Notably, as Figure 4 displays, the aggregated metrics indicate that, under the FBC regime, the resultant urban form within the study area exhibits a greater level of spatial dispersion in the commercial sector at both local and regional levels, while the basic metrics show improvement for the service and industrial sectors in comparison to the status quo growth scenario. However, the disaggregated metrics portray a similar pattern solely at the local level. Figure 7 also demonstrates that, under the FBC system, when combining all work trip cohorts, the median values of both aggregated and disaggregated commuting efficiency indicators for each industry sector improve relative to the baseline and status quo growth scenarios. Furthermore, as shown in Figure 8, the median values and variability of both aggregated and disaggregated commuting efficiency metrics for the third work trip cohort decrease, in comparison to the baseline and status quo scenarios.


Figure 11.
Optimal work trips internal to the boundaries of the study area in the planning horizon year 2045 under the FBC growth scenario. (Upper Panel): Commercial Workforce Flow; (Middle Panel): Service Workforce Flow; (Lower Panel): Industrial Workforce Flow (single dots represent intra-TAZ commutes).
The results also indicate that, within the third cohort of work trips, the FBC growth scenario performs better on the , , and indicators by approximately 2, 10, and 20 percentage points, respectively, compared to the baseline scenario. Does this imply that the FBC system could likely foster more efficient commuting patterns? An examination of the possible variations in the metric might provide some insights. Considering Equation (1), it can be demonstrated that reduced levels of excess commuting over time may indicate efficiency only if a region exhibits low levels of both the actual average commute and the required commute. This condition is indeed observable between the baseline and FBC growth scenarios.
The findings also show that the FBC system that is being adopted in the study area has its own shortcomings. In fact, across all three workforce cohorts, basic commuting efficiency metrics suggest higher levels of localized spatial equilibrium in the distribution of housing and jobs if the FBC were to steer the region’s urban development between 2020 and 2045. However, the FBC framework falls short in enhancing the spatial dynamics between labor and job opportunities across the three occupational categories at the regional scale. This is particularly pronounced in the second and third cohorts of work trips. Analysis of the aggregated metrics at the industry-specific level reveals that, in the case of the I-I work trips, apart from the industrial sector, discernible enhancements in localized spatial jobs–housing balance are unlikely to manifest in the service and commercial sectors. As Figure 4 and Figure 8 illustrate, from a regional perspective, all aggregated indicators unanimously signal deteriorations in commuting efficiency statistics across the three industry sectors. Employing the disaggregated metrics, the findings suggest an increased spatial dispersion across the three sectors at the regional level. While the spatial jobs–housing balance remains unchanged at the local level in the service sector, it improves in both the commercial and industrial sectors.
8. Discussion and Conclusions
This research was primarily aimed at contributing to the ongoing discourse surrounding the role of city planning in optimizing urban commuting patterns. Specifically, its main objective was to assess the efficacy of the form-based code system in fostering spatial equilibrium between the locations of residential areas and job centers. The study structured various models, including the disaggregated transportation problem (DTP), coupling them with GIS techniques to quantify both aggregated and disaggregated commuting efficiency metrics in Orange County, Central Florida. These models were designed to estimate basic and composite commuting efficiency statistics for three workforce cohorts, spanning commercial, service, and industrial sectors, within the context of three urban growth scenarios.
This study extended the methodological and conceptual boundaries of excess commute scholarship. In the realm of methodology, it introduced a dummy TAZ to depict the spatial structure of the metropolitan region and ensure employment–workforce equilibrium within each occupational category in the models. Furthermore, the proposed models gauged disaggregated commuting efficiency metrics which encapsulate the industry-specific performance as well as the weighted contribution of each labor force segment to regional commuting duration, accounting for both present-day urban fabric and potential future urban development scenarios.
From the conceptual perspective, the findings from implementing the proposed models underscore the crucial importance of delineating the workforce population in estimating commuting efficiency metrics. Generally, resident workers commuting solely within the study area tend to reside closer to the nearest, average, and farthest job centers compared to both resident workers traveling within or outside the study area, as well as all resident and non-resident workers commuting to, from, or within the study area. Furthermore, the findings suggest that aggregated and disaggregated commuting efficiency metrics could serve as complementary measures for analyzing the impacts of urban form on urban commuting landscapes. For example, in this study, both metrics highlighted the imperative for formulating effective land use policies within the study area to address existing spatial imbalances between the locations of workers and jobs at both local and regional levels.
However, when scrutinized at the industry-specific level, the two sets of metrics may present conflicting depictions of commuting patterns. For instance, when utilizing the aggregated statistics across the three urban growth scenarios, among the workforce populations commuting solely within the study area, workers engaged in the service sector show the longest required commute, whereas employees in the industrial sector demonstrate the shortest rates. Conversely, employing the disaggregated metrics reveals that workers in either the service or commercial sectors exhibit the shortest minimum average commute rates, while those in the industrial sector display the longest required commute rates. These latter findings align with previous research [13,31,33]. Arguably, disaggregated metrics demonstrated their capability to capture not only specific nuances in commuting patterns but also the contribution of the workforce within each industry sector to the total regional commuting time.
Certain basic and composite commuting efficiency measurements demonstrate significant improvements under the FBC growth scenario compared to both the baseline and status quo growth scenarios. For instance, under the FBC system, for the work trips internal to the study area (i.e., the third cohort), both the aggregated required commute and excess commute rates would decrease compared to the other two scenarios. Overall, the findings show that the FBC holds the potential to enhance commuting patterns through various context-sensitive strategies and place-based measures envisioned at the local level. These include incentivizing mixed-use development within already urbanized areas, designating new intensified urban infills, adaptive reuse, and redevelopments in areas where high-capacity infrastructure and urban services exist, increasing residential density near current job centers or in proximity to existing or planned transit corridors, and juxtaposing residential and non-residential activities in regional centers near major transit hubs. Nevertheless, the resultant urban morphology does not yield an ideal jobs–housing arrangement across major industry sectors at the regional level. After all, as Table 2 indicates, around 76% of the work trips within the study area will be excessive under the FBC regime. It can be inferred that the land use policies and zoning codes outlined within Orange County’s FBC system could be enhanced through various measures. These may include balanced and concentrated regional growth strategies, improved integration of land use and transportation systems, and an expanded array of workforce housing options near areas abundant with employment opportunities, among others. Furthermore, the selection of strategic locations for future workforce housing and industrial activities should target workforce groups that endure the longest commuting times within the region.
One significant limitation of the present study is the failure to incorporate household structure into the estimation of commuting efficiency metrics. This shortcoming is mainly due to the scarcity of disaggregated commuting data at the household level. There are also uncertainties associated with the estimation of different model parameters, such as commuting cost, and observed and estimated average commute rates, among others, that impact the estimation of commuting efficiency metrics. In both the status quo and FBC growth scenarios, there is also a negligible loss of spatial accuracy in the representation of zonal centroids, as the average locus of the developed land within a TAZ is likely to shift between 2020 and 2045.
A potential future research direction involves the development of a prescriptive optimization model capable of simulating the impacts of alterations in urban form on both aggregated and disaggregated work trip durations at local and regional levels, thereby aiding in land use and transportation planning and decision-making processes. Exploring the estimation of both aggregated and disaggregated commuting efficiency metrics using micro-level individual data and further subdividing workers within each occupational category into smaller industries, could also offer additional avenues for investigation. Even though the TAZs used in this study support a disaggregated analysis approach, it is important to analyze the impacts of MAUP on the estimation of excess commute and other constructs. Therefore, future research could undertake sensitivity analysis to examine the effects of variations in zonal size and zonal configuration on both aggregated and disaggregated commuting efficiency metrics. Additionally, another line of inquiry could involve the development of an optimization model aimed at identifying TAZs where densification of housing and intensification of employment opportunities within each industry sector could yield the most significant impacts on aggregated and disaggregated commuting efficiency landscapes.
Author Contributions
Conceptualization, R.M. and A.M.; methodology, R.M.; software, R.M.; validation, R.M., A.M. and P.J.; formal analysis, R.M.; investigation, R.M.; resources, M.B.; data curation, R.M.; writing—original draft preparation, R.M.; writing—review and editing, R.M., A.M. and P.J.; visualization, R.M.; project administration, R.M. All authors have read and agreed to the published version of the manuscript.
Funding
This research received no external funding.
Data Availability Statement
Data are available upon request from the corresponding author.
Conflicts of Interest
Author Marcos Bastian was employed by the company AECOM Corporation. The remaining authors declare that the research was conducted in the absence of any commercial or financial relationships that could be construed as a potential conflict of interest.
References
- U.S. Census Bureau. Census Bureau Estimates Show Average One-Way Travel Time to Work Rises to All-Time High. 2021. Available online: https://bit.ly/4cSMM0V (accessed on 23 September 2023).
- Cervero, R. Jobs-Housing Balancing and Regional Mobility. J. Am. Plan. Assoc. 1989, 55, 136–150. [Google Scholar] [CrossRef]
- Rosetti, M.; Eversole, B. Journey-To-Work Trends in the United States and Its Major Metropolitan Areas, 1960–1990; U.S. Department of Transportation, John Volpe National Transportation Systems Center: Cambridge, MA, USA, 1993. [Google Scholar]
- Horner, M.W. Spatial Dimensions of Urban Commuting: A Review of Major Issues and Their Implications for Future Geographic Research. Prof Geogr. 2004, 56, 160–173. [Google Scholar] [CrossRef]
- Yang, J. Policy Implications of Excess Commuting: Examining the Impacts of Changes in US Metropolitan Spatial Structure. Urban Stud. 2008, 45, 391–405. [Google Scholar] [CrossRef]
- Nakamura, K.; Hayashi, Y. Strategies and instruments for low-carbon urban transport: An international review on trends and effects. Transp. Policy 2013, 29, 264–274. [Google Scholar] [CrossRef]
- Sultana, S.; Salon, D.; Kuby, M. Transportation sustainability in the urban context: A comprehensive review. Urban Geogr. 2019, 40, 279–308. [Google Scholar] [CrossRef]
- Glazener, A.; Sanchez, K.; Ramani, T.; Zietsman, J.; Nieuwenhuijsen, M.J.; Mindell, J.S.; Fox, M.; Khreis, H. Fourteen pathways between urban transportation and health: A conceptual model and literature review. J. Transp. Health 2021, 21, 101070. [Google Scholar] [CrossRef]
- Monteiro, J.; Sousa, N.; Coutinho-Rodrigues, J.; Natividade-Jesus, E. Challenges Ahead for Sustainable Cities: An Urban Form and Transport System Review. Energies 2024, 17, 409. [Google Scholar] [CrossRef]
- Mortaheb, R.; Jankowski, P. Smart city re-imagined: City planning and GeoAI in the age of big data. J. Urban Manag. 2023, 12, 4–15. [Google Scholar] [CrossRef]
- Cervero, R. Congestion Relief: The Land Use Alternative. J. Plan. Educ. Res. 1991, 10, 119–130. [Google Scholar] [CrossRef]
- Newman, P.; Kenworthy, J. Cities and Automobile Dependence; Gower: Aldershot, UK, 1989. [Google Scholar]
- Giuliano, G.; Small, K.A. Is the Journey to Work Explained by Urban Structure? Urban Stud. 1993, 30, 1485–1500. [Google Scholar] [CrossRef]
- Kim, S. Excess Commuting for Two-Worker Households in the Los Angeles Metropolitan Area. J. Urban Econ. 1995, 38, 166–182. [Google Scholar] [CrossRef]
- Merriman, D.; Ohkawara, T.; Suzuki, T. Excess Commuting in the Tokyo Metropolitan Area: Measurement and Policy Simulations. Urban Stud. 1995, 32, 69–85. [Google Scholar] [CrossRef]
- Frost, M.; Linneker, B.; Spence, N. Excess or wasteful commuting in a selection of British cities. Transp. Res. Part A Policy Pract. 1998, 32, 529–538. [Google Scholar] [CrossRef]
- Horner, M.W.; Murray, A.T. Excess Commuting and the Modifiable Areal Unit Problem. Urban Stud. 2002, 39, 131–139. [Google Scholar] [CrossRef]
- Horner, M.; Murray, A. A Multi-objective Approach to Improving Regional Jobs-Housing Balance. Reg. Stud. 2003, 37, 135–146. [Google Scholar] [CrossRef]
- Rodríguez, D.A. Spatial choices and excess commuting: A case study of bank tellers in Bogotá, Colombia. J. Transp. Geogr. 2004, 12, 49–61. [Google Scholar] [CrossRef]
- Niedzielski, M.A. A Spatially Disaggregated Approach to Commuting Efficiency. Urban Stud. 2006, 43, 2485–2502. [Google Scholar] [CrossRef]
- Hu, Y.; Wang, F. Decomposing excess commuting: A Monte Carlo simulation approach. J. Transp. Geogr. 2015, 44, 43–52. [Google Scholar] [CrossRef]
- Jun, M.-J.; Choi, S.; Wen, F.; Kwon, K.-H. Effects of urban spatial structure on level of excess commutes: A comparison between Seoul and Los Angeles. Urban Stud. 2018, 55, 195–211. [Google Scholar] [CrossRef]
- Huang, J.; Hu, Y.; Wang, J.; Li, X. A tale of two cities: Jobs–housing balance and urban spatial structures from the perspective of transit commuters. Environ. Plan. B Urban Anal. City Sci. 2021, 48, 1543–1557. [Google Scholar] [CrossRef]
- Ling, C.; Niu, X.; Yang, J.; Zhou, J.; Yang, T. Unravelling heterogeneity and dynamics of commuting efficiency: Industry-level insights into evolving efficiency gaps based on a disaggregated excess-commuting framework. J. Transp. Geogr. 2024, 115, 103820. [Google Scholar] [CrossRef]
- Horton, F.E.; Wittick, R.I. A Spatial Model for Examining the Journey-To-Work in a Planning Context. Prof. Geogr. 1969, 21, 223–226. [Google Scholar] [CrossRef]
- Gordon, P.; Richardson, H.W.; Jun, M.-J. The Commuting Paradox Evidence from the Top Twenty. J. Am. Plan. Assoc. 1991, 57, 416–420. [Google Scholar] [CrossRef]
- Giuliano, G. The Weakening Transportation-Land Use Connection. ACCESS Mag. 1995, 1, 3–11. [Google Scholar]
- Scott, D.M.; Kanaroglou, P.S.; Anderson, W.P. Impacts of commuting efficiency on congestion and emissions: Case of the Hamilton CMA, Canada. Transp. Research. Part D Transp. Environ. 1997, 2, 245–257. [Google Scholar] [CrossRef]
- White, M.J. Urban Commuting Journeys Are Not “Wasteful”. J. Political Econ. 1988, 96, 1097–1110. [Google Scholar] [CrossRef]
- Small, K.A.; Song, S. “Wasteful” Commuting: A Resolution. J. Political Econ. 1992, 100, 888–898. [Google Scholar] [CrossRef]
- O’Kelly, M.E.; Lee, W. Disaggregate Journey-to-Work Data: Implications for Excess Commuting and Jobs–Housing Balance. Environ. Plan. A Econ. Space 2005, 37, 2233–2252. [Google Scholar] [CrossRef]
- Horner, M.W. “Optimal” Accessibility Landscapes? Development of a New Methodology for Simulating and Assessing Jobs-Housing Relationships in Urban Regions. Urban Stud. 2008, 45, 1583–1602. [Google Scholar] [CrossRef]
- Horner, M.W. Extensions to the Concept of Excess Commuting. Environ. Plan. A Econ. Space 2002, 34, 543–566. [Google Scholar] [CrossRef]
- Hamilton, B.W.; Röell, A. Wasteful Commuting. J. Polit. Econ. 1982, 90, 1035–1053. [Google Scholar] [CrossRef]
- Lyons, G. The introduction of social exclusion into the field of travel behaviour. Transp. Policy 2003, 10, 339–342. [Google Scholar] [CrossRef]
- Hitchcock, F.L. The Distribution of a Product from Several Sources to Numerous Localities. J. Math. Phys. 1941, 20, 224–230. [Google Scholar] [CrossRef]
- Evans, S.P. A relationship between the gravity model for trip distribution and the transportation problem in linear programming. Transp. Res. 1973, 7, 39–61. [Google Scholar] [CrossRef]
- Ma, K.-R.; Banister, D. Excess Commuting: A Critical Review. Transp. Rev. 2006, 26, 749–767. [Google Scholar]
- Ma, K.-R.; Banister, D. Extended Excess Commuting: A Measure of the Jobs-Housing Imbalance in Seoul. Urban Stud. 2006, 43, 2099–2113. [Google Scholar] [CrossRef]
- Manning, A. The real thin theory: Monopsony in modern labour markets. Labour Econ. 2003, 10, 105–131. [Google Scholar] [CrossRef]
- Cropper, M.L.; Gordon, P.L. Wasteful commuting: A re-examination. J. Urban Econ. 1991, 29, 2–13. [Google Scholar] [CrossRef]
- Clark, W.A.V.; Huang, Y. Black and White Commuting Behavior in a Large Southern City: Evidence from Atlanta. Geogr. Anal. 2004, 36, 54–68. [Google Scholar] [CrossRef]
- Openshaw, S.; Taylor, P.J. The modifiable areal unit problem. In Quantitative Geography; Wrigley, N., Bennett, R.J., Eds.; Routledge & Kegan Paul: London, UK, 1981; pp. 60–69. [Google Scholar]
- Yang, J.; Ferreira, J. Choices versus Choice Sets: A Commuting Spectrum Method for Representing Job—Housing Possibilities. Environ. Plan. B Plan. Des. 2008, 35, 364–378. [Google Scholar] [CrossRef]
- Talen, E. Zoning for and Against Sprawl: The Case for Form-Based Codes. J. Urban Des. 2013, 18, 175–200. [Google Scholar] [CrossRef]
- Talen, E. The socio-economic context of form-based codes. Landsc. Urban Plan. 2021, 214. [Google Scholar] [CrossRef]
- Parolek, D.G.; Parolek, K.; Crawford, P.C. Form-Based Codes: A Guide for Planners, Urban Designers, Municipalities, and Developers; John and Wiley Sons: Hoboken, NJ, USA, 2008. [Google Scholar]
- Woodward, K. Form over Use: Form-based codes and the challenge of existing development. Notre Dame Law Rev. 2013, 88, 2627–2654. [Google Scholar]
- Duany, A.; Talen, E. Transect Planning. J. Am. Plan. Assoc. 2002, 68, 245–266. [Google Scholar] [CrossRef]
- Garde, A.; Hoff, A. Zoning reform for advancing sustainability: Insights from Denver’s form-based code. J. Urban Des. 2017, 22, 845–865. [Google Scholar] [CrossRef]
- Garde, A. Form-Based Codes for Downtown Redevelopment: Insights from Southern California. J. Plan. Educ. Res. 2018, 38, 198–210. [Google Scholar] [CrossRef]
- Crane, R. On Form Versus Function: Will the “New Urbanism” Reduce Traffic or Increase It? J. Plan. Educ. Res. 1996, 15, 117–126. [Google Scholar] [CrossRef]
- Florida Department of Transportation (FDOT). Central Florida Regional Planning Model (CFRPM), Version 7—Description Report. 2021. Available online: https://www.fsutmsonline.net/index.php?/model_pages/comments/cfrpm_version_7.0 (accessed on 27 September 2023).
- Florida Department of Transportation (FDOT). Central Florida Regional Planning Model (CFRPM), Version 7—Draft Model Validation Report. Technical Appendix B. 2019. Available online: https://www.r2ctpo.org/wp-content/uploads/Tech-B_2020-09-25-CFRPM7-Model-Validation-Report_FOR-TPO.pdf (accessed on 27 September 2023).
Disclaimer/Publisher’s Note: The statements, opinions and data contained in all publications are solely those of the individual author(s) and contributor(s) and not of MDPI and/or the editor(s). MDPI and/or the editor(s) disclaim responsibility for any injury to people or property resulting from any ideas, methods, instructions or products referred to in the content. |
© 2024 by the authors. Licensee MDPI, Basel, Switzerland. This article is an open access article distributed under the terms and conditions of the Creative Commons Attribution (CC BY) license (https://creativecommons.org/licenses/by/4.0/).