Revealing Topsoil Behavior to Compaction from Mining Field Observations
Abstract
1. Introduction
2. Material and Methods
2.1. Soil Data and Filtering
2.1.1. Soil Horizon Selection
2.1.2. Soil Attributes
2.1.3. Quantitative Compactness and Structural Quality Indicators
Bulk Density (BD)
Complexed Organic Carbon (COC) and Non-Complexed Organic Carbon (NCOC)
SOC/Clay Index
SOC/SOCexp Index
Packing Density (PD)
Soil Compactness Degree (SCD)
Root Restrictive Bulk Density (BDr1 and BDr2)
2.2. Data Treatment
2.2.1. Comparing Field Observations with Raw Quantitative Data and Indicators
2.2.2. Discretizing the Soil Texture Triangle
2.2.3. Clustering
3. Results
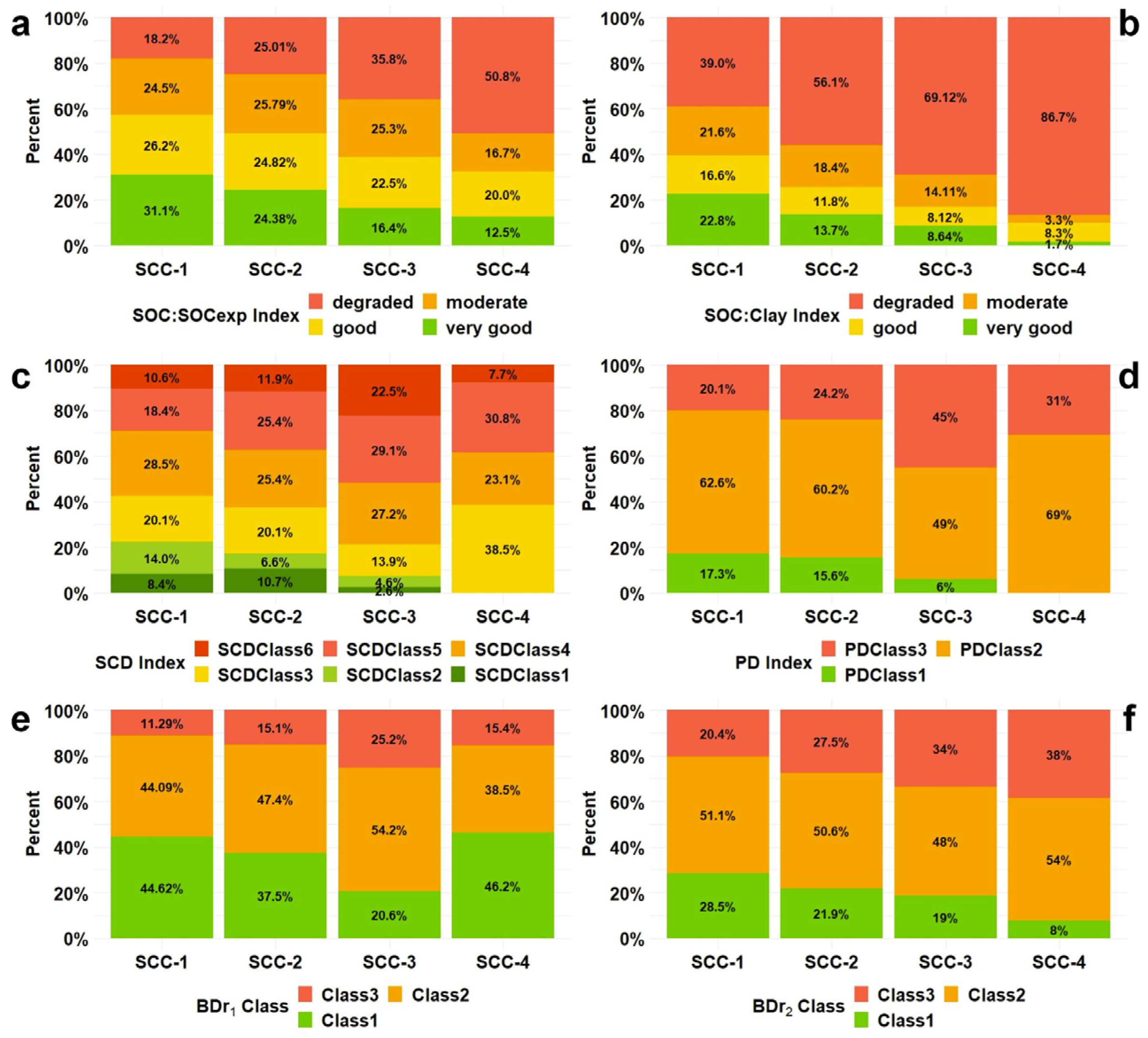
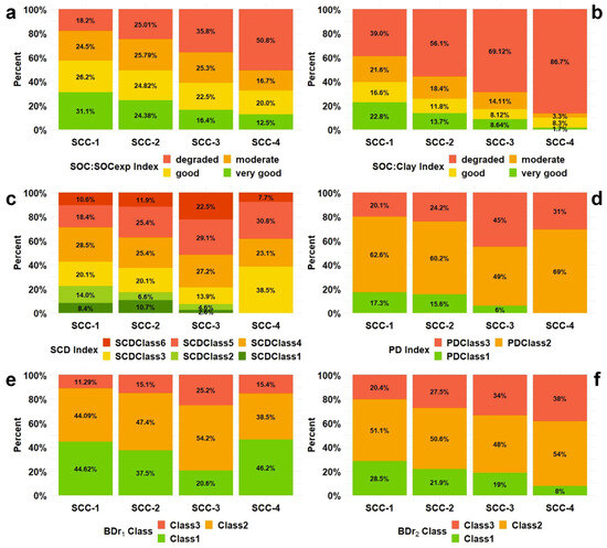
3.1. Observed Soil Compactness Classes
3.2. Observed Compactness vs. Indicators of Compactness and Soil Structural Quality
3.2.1. Ordered Qualitative Classes Based on Quantitative Threshold Values
3.2.2. Soil Compactness Classes and Quantitative Soil Properties Values and Ratios
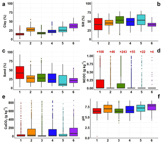
3.3. Clustering
3.3.1. Visualization of Clusters in the Texture Triangle and in the PCA Dimensions
3.3.2. Cluster and Soil Compactness Class Frequencies
3.3.3. Clusters and Ordered Class Indicators of Soil Structural Quality, Soil Compactness or Soil Strength
3.3.4. Cluster and Quantitative Soil Variables’ Relationships
4. Discussion
4.1. Consistency of the Results and Main Outputs
4.2. Comparison with Other Studies
4.3. Limitations
4.3.1. Basic Assumption and Limiting Number of On-Field Information
4.3.2. Clusters’ Size and Interpretation
4.4. Possible Improvements, Perspectives and Prospects
4.4.1. Moving to Deeper Horizons
4.4.2. Considering Compaction Impacts Using a Loss-Function Approach
4.4.3. Digital Soil Mapping of Clusters
5. Conclusions
- The SCC field observations were interpretable when compared to some compactness quantities or sensitivity to compaction indicators derived from analytical measurements.
- Conversely, some quantitative indicators did not capture large variations in SCCs and/or over- or underestimated topsoil compactness or topsoil sensitivity to compaction.
- A clustering based on these SCCs provided useful insights into specific behaviors to soil compaction.
- Though soil texture and SOC affected some clusters of topsoil behavior to compaction, other controlling factors still remain to be elucidated. This is a limitation of the present study and we believe that adding a DSM approach may help to unravel other factors controlling soil compaction.
- Approaches that include rescuing and gathering observations that are routinely conducted by field soil surveyors may offer a great potential for assessing and classifying complex soil properties and behaviors.
- This classification of complex soil behavior to compaction can be used by soil practitioners and advisers to adapt practical recommendations according to inherent soil susceptibility to compaction.
- Increasing the number of field indicators to classify various soil behaviors, and conducting digital soil mapping and assessment studies based on such field observations and data-driven approaches would further increase the utility of existing data.
Supplementary Materials
Author Contributions
Funding
Data Availability Statement
Acknowledgments
Conflicts of Interest
References
- Tardieu, F. Analysis of the Spatial Variability of Maize Root Density: I. Effect of Wheel Compaction on the Spatial Arrangement of Roots. Plant Soil 1988, 107, 259–266. [Google Scholar] [CrossRef]
- Soane, B.D.; Van Ouwerkerk, C. Soil Compaction Problems in World Agriculture. In Developments in Agricultural Engineering; Elsevier: Amsterdam, The Netherlands, 1994; Volume 11, pp. 1–21. ISBN 978-0-444-88286-8. [Google Scholar]
- Dürr, C.; Aubertot, J.-N. Emergence of Seedlings of Sugar Beet (Beta vulgaris L.) as Affected by the Size, Roughness and Position of Aggregates in the Seedbed. Plant Soil 2000, 219, 211–220. [Google Scholar] [CrossRef]
- Renault, P.; Stengel, P. Modeling Oxygen Diffusion in Aggregated Soils: I. Anaerobiosis inside the Aggregates. Soil Sci. Soc. Am. J. 1994, 58, 1017–1023. [Google Scholar] [CrossRef]
- Defossez, P.; Richard, G. Models of Soil Compaction Due to Traffic and Their Evaluation. Soil Tillage Res. 2002, 67, 41–64. [Google Scholar] [CrossRef]
- Batey, T. Soil Compaction and Soil Management—A Review. Soil Use Manag. 2009, 25, 335–345. [Google Scholar] [CrossRef]
- Horn, R.; Domżżał, H.; Słowińska-Jurkiewicz, A.; Van Ouwerkerk, C. Soil Compaction Processes and Their Effects on the Structure of Arable Soils and the Environment. Soil Tillage Res. 1995, 35, 23–36. [Google Scholar] [CrossRef]
- Larson, W.E.; Gupta, S.C.; Useche, R.A. Compression of Agricultural Soils from Eight Soil Orders. Soil Sci. Soc. Am. J. 1980, 44, 450–457. [Google Scholar] [CrossRef]
- De Lima, R.P.; Da Silva, A.R.; Da Silva, Á.P. Soilphysics: An R Package for Simulation of Soil Compaction Induced by Agricultural Field Traffic. Soil Tillage Res. 2021, 206, 104824. [Google Scholar] [CrossRef]
- Renger, M. Die Ermittlung Der Porengröbenverteilung Aus Der Körnung, Dem Gehalt and Organischer Substanz Und Der Lagerungsdichte. Z. Plf. Ernähr. Bodenk. 1971, 130, 53–67. [Google Scholar]
- Jones, R.J.A.; Spoor, G.; Thomasson, A.J. Vulnerability of Subsoils in Europe to Compaction: A Preliminary Analysis. Soil Tillage Res. 2003, 73, 131–143. [Google Scholar] [CrossRef]
- Panagos, P.; De Rosa, D.; Liakos, L.; Labouyrie, M.; Borrelli, P.; Ballabio, C. Soil Bulk Density Assessment in Europe. Agric. Ecosyst. Environ. 2024, 364, 108907. [Google Scholar] [CrossRef]
- Jones, C.A. Effect of Soil Texture on Critical Bulk Densities for Root Growth. Soil Sci. Soc. Am. J. 1983, 47, 1208. [Google Scholar] [CrossRef]
- Stânga, N. Contributions to the Methodology for the Characterization of the Total Porosity of Soils, for the Testing, Zoning and Graduating of the Requirements for Deep Loosening. Analele ICPA 1978, 43, 169–175. [Google Scholar]
- Andersson, S.; Håkansson, J. Determination of the Volume Relationship in the Different Layers of the Topsoil. In West-European Methods for Soil Structure Determinations; The State Faculty of Agricultural Science Ghent: Ghent, Belgium, 1967; Volume 7, pp. 25–29. [Google Scholar]
- Håkansson, I. A Method for Characterizing the State of Compactness of the Plough Layer. Soil Tillage Res. 1990, 16, 105–120. [Google Scholar] [CrossRef]
- Bennie, A.T.P.; Van Antwerpen, R. An Evaluation of Empirical Root Growth Models to Describe Root Distribution in Compacted Sandy Soils. In Proceedings of the 11th Conference of the International Soil Tillage Research Organization, Edinburgh, UK, 11–15 July 1988; Volume I, pp. 343–348. [Google Scholar]
- Hénin, S.; Fiès, J.C.; Monnier, G. Etude théorique de la porosité des matériaux meubles en fonction de leur composition granulométrique. Comptes Rendus Hebd. Séances L’académie Sci. Série D Sci. Nat. 1970, 271, 1960–1963. [Google Scholar]
- Batey, T.; McKenzie, D.C. Soil Compaction: Identification Directly in the Field. Soil Use Manag. 2006, 22, 123–131. [Google Scholar] [CrossRef]
- Boizard, H.; Yoon, S.; Leonard, J.; Lheureux, S.; Cousin, I.; Roger-Estrade, J.; Richard, G. Using a Morphological Approach to Evaluate the Effect of Traffic and Weather Conditions on the Structure of a Loamy Soil in Reduced Tillage. Soil Tillage Res. 2013, 127, 34–44. [Google Scholar] [CrossRef]
- Guimarães, R.M.L.; Ball, B.C.; Tormena, C.A. Improvements in the Visual Evaluation of Soil Structure. Soil Use Manag. 2011, 27, 395–403. [Google Scholar] [CrossRef]
- Guimarães, R.M.L.; Ball, B.C.; Tormena, C.A.; Giarola, N.F.B.; da Silva, Á.P. Relating Visual Evaluation of Soil Structure to Other Physical Properties in Soils of Contrasting Texture and Management. Soil Tillage Res. 2013, 127, 92–99. [Google Scholar] [CrossRef]
- Guimarães, R.; Neves, A.; Silva, W.; Rogers, C.; Ball, B.; Montes, C.; Pereira, B. The Merits of the Visual Evaluation of Soil Structure Method (VESS) for Assessing Soil Physical Quality in the Remote, Undeveloped Regions the Amazon Basin. Soil Tillage Res. 2017, 173, 75–82. [Google Scholar] [CrossRef]
- Roger-Estrade, J.; Richard, G.; Caneill, J.; Boizard, H.; Coquet, Y.; Defossez, P.; Manichon, H. Morphological Characterisation of Soil Structure in Tilled Fields: From a Diagnosis Method to the Modelling of Structural Changes over Time. Soil Tillage Res. 2004, 79, 33–49. [Google Scholar] [CrossRef]
- Shepherd, T.G. Visual Soil Assessment, 2nd ed.; Horizons Regional Council: Palmerston North, New Zealand, 2009; ISBN 978-1-877468-75-9.
- Pulido Moncada, M.; Gabriels, D.; Lobo, D.; Rey, J.C.; Cornelis, W.M. Visual Field Assessment of Soil Structural Quality in Tropical Soils. Soil Tillage Res. 2014, 139, 8–18. [Google Scholar] [CrossRef]
- Johannes, A.; Weisskopf, P.; Schulin, R.; Boivin, P. To What Extent Do Physical Measurements Match with Visual Evaluation of Soil Structure? Soil Tillage Res. 2017, 173, 24–32. [Google Scholar] [CrossRef]
- Ball, B.C.; Batey, T.; Munkholm, L.J. Field Assessment of Soil Structural Quality—A Development of the Peerlkamp Test. Soil Use Manag. 2007, 23, 329–337. [Google Scholar] [CrossRef]
- Johannes, A.; Matter, A.; Schulin, R.; Weisskopf, P.; Baveye, P.C.; Boivin, P. Optimal Organic Carbon Values for Soil Structure Quality of Arable Soils. Does Clay Content Matter? Geoderma 2017, 302, 14–21. [Google Scholar] [CrossRef]
- Johannes, A.; Sauzet, O.; Matter, A.; Boivin, P. Soil Organic Carbon Content and Soil Structure Quality of Clayey Cropland Soils: A Large-scale Study in the Swiss Jura Region. Soil Use Manag. 2023, 39, 707–716. [Google Scholar] [CrossRef]
- Prout, J.M.; Shepherd, K.D.; McGrath, S.P.; Kirk, G.J.D.; Haefele, S.M. What Is a Good Level of Soil Organic Matter? An Index Based on Organic Carbon to Clay Ratio. Eur. J. Soil Sci. 2021, 72, 2493–2503. [Google Scholar] [CrossRef]
- Pulley, S.; Taylor, H.; Prout, J.M.; Haefele, S.M.; Collins, A.L. The Soil Organic Carbon: Clay Ratio in North Devon, UK: Implications for Marketing Soil Carbon as an Asset Class. Soil Use Manag. 2023, 39, 1068–1081. [Google Scholar] [CrossRef]
- Prout, J.M.; Shepherd, K.D.; McGrath, S.P.; Kirk, G.J.D.; Hassall, K.L.; Haefele, S.M. Changes in Organic Carbon to Clay Ratios in Different Soils and Land Uses in England and Wales over Time. Sci. Rep. 2022, 12, 5162. [Google Scholar] [CrossRef]
- Poeplau, C.; Don, A. A Simple Soil Organic Carbon Level Metric beyond the Organic Carbon-to-clay Ratio. Soil Use Manag. 2023, 39, 1057–1067. [Google Scholar] [CrossRef]
- Rabot, E.; Saby, N.P.A.; Martin, M.P.; Barré, P.; Chenu, C.; Cousin, I.; Arrouays, D.; Angers, D.; Bispo, A. Relevance of the Organic Carbon to Clay Ratio as a National Soil Health Indicator. Geoderma 2024, 443, 116829. [Google Scholar] [CrossRef]
- Franco, H.; Guimaraes, R.; Tormena, C.; Cherubin, M.; Favilla, H. Global Applications of the Visual Evaluation of Soil Structure Method: A Systematic Review and Meta-Analysis. Soil Tillage Res. 2019, 190, 61–69. [Google Scholar] [CrossRef]
- FAO Guidelines for Soil Description, 4th ed.; Food and Agriculture Organization of the United Nations: Rome, Italy, 2006; ISBN 978-92-5-105521-2.
- Baize, D.; Jabiol, B. Guide Pour la Description des sols Nouvelle édition; Editions Quae: Paris, France, 2012; ISBN 978-2-7592-1035-0. [Google Scholar]
- Schoneberger, P.J.; Wysocki, D.A.; Benham, E.C. Soil Survey Staff Field Book for Describing and Sampling Soils. Version 3.0.; U.S. Department of Agriculture, Natural Resources Conservation Service, National Soil Survey Center: Lincoln, NE, USA, 2012.
- USDA-NRCS National Soil Survey Handbook; United Stated Department of Agriculture-Natural Resources Conservations Service; United Stated Department of Agriculture-Natural Resources Conservations Service: Lincoln, NE, USA, 2013.
- USDA Soil Survey Manual; Ditzler, C.; Scheffe, K.; Monger, H.C. (Eds.) United States Department of Agriculture; Soil Science Division Staff; Government Printing Office: Washington, DC, USA, 2017; Volume Agriculture Handbook n°18.
- Bondi, G.; Creamer, R.; Ferrari, A.; Fenton, O.; Wall, D. Using Machine Learning to Predict Soil Bulk Density on the Basis of Visual Parameters: Tools for in-Field and Post-Field Evaluation. Geoderma 2018, 318, 137–147. [Google Scholar] [CrossRef]
- Grolleau, E.; Bargeot, L.; Chafchafi, A.; Hardy, R.; Doux, J.; Beaudou, A.; Le Martret, H.; Lacassin, J.-C.; Fort, J.-L.; Falipou, P.; et al. Le Système d’information National Sur Les Sols: DoneSol et Les Outils Associés. Etude Et Gest. Sols 2004, 11, 255–269. [Google Scholar]
- InfoSol Dictionnaire de Données–DoneSol Version 3.15, INRAE: Orléans, France, 2021.
- Baize, D. Guide des Analyses en Pédologie; Savoir-faire; 3e éd. revue et augmentée; Éditions Quae: Versailles, France, 2018; ISBN 978-2-7592-2836-2. [Google Scholar]
- ISO 13317-2:2001; Determination of Particle Size Distribution by Gravitational Liquid Sedimentation Methods—Part 2: Fixed Pipette Method. International Organization for Standardization: Geneva, Switzerland, 2001.
- ISO 14235:1998; Soil Quality—Determination of Organic Carbon by Sulfochromic Oxidation. International Organization for Standardization: Geneva, Switzerland, 1998.
- ISO 11272:1998; Soil Quality—Determination of Dry Bulk Density. International Organization for Standardization: Geneva, Switzerland, 1998.
- ISO 10390:2005; Soil Quality—Determination of pH. International Organization for Standardization: Geneva, Switzerland, 2005.
- ISO/TS 22171:2023; Soil Quality—Determination of Potential Cation Exchange Capacity (CEC) and Exchangeable Cations Buffered at pH 7, Using a Molar Ammonium Acetate Solution. International Organization for Standardization: Geneva, Switzerland, 2023.
- ISO 10693:2014; Soil Quality—Determination of Carbonate Content—Volumetric Method. International Organization for Standardization: Geneva, Switzerland, 2014.
- Blake, G.R. Bulk Density in Methods of Soil Analysis. Agronomy 1965, 9 Pt 1, 374–390. [Google Scholar]
- Freitag, D.R. Methods of Measuring Soil Compaction. In Compaction of Agricultural Soils; Bames, K.K., Carleton, W.M., Taylor, H.M., Throckmorton, R.I., Vandenberg, G.E., Eds.; American Society of Agricultural and Biological Engineers: St. Joseph, MI, USA, 1971; pp. 47–103. [Google Scholar]
- Erbach, D.C. Measurement of Soil Bulk Density and Moisture. Trans. ASAE 1987, 30, 922–931. [Google Scholar] [CrossRef]
- Rousseva, S.S.; Ahuja, L.R.; Heathman, G.C. Use of a Surface Gamma-Neutron Gauge for in Situ Measurement of Changes in Bulk Density of the Tilled Zone. Soil Tillage Res. 1988, 12, 235–251. [Google Scholar] [CrossRef]
- Logsdon, S.D.; Cambardella, C.A. Temporal Changes in Small Depth-Incremental Soil Bulk Density. Soil Sci. Soc. Am. J. 2000, 64, 710–714. [Google Scholar] [CrossRef]
- Logsdon, S.D.; Karlen, D.L. Bulk Density as a Soil Quality Indicator during Conversion to No-Tillage. Soil Tillage Res. 2004, 78, 143–149. [Google Scholar] [CrossRef]
- Adams, D.R. A Trace Inequality for Generalized Potentials. Stud. Math. 1973, 48, 99–105. [Google Scholar] [CrossRef]
- Alexander, E.B. Bulk Densities of California Soils in Relation to Other Soil Properties. Soil Sci. Soc. Am. J. 1980, 44, 689–692. [Google Scholar] [CrossRef]
- Tranter, G.; Minasny, B.; Mcbratney, A.B.; Murphy, B.; Mckenzie, N.J.; Grundy, M.; Brough, D. Building and Testing Conceptual and Empirical Models for Predicting Soil Bulk Density. Soil Use Manag. 2007, 23, 437–443. [Google Scholar] [CrossRef]
- Chen, S.; Richer-de-Forges, A.C.; Saby, N.P.A.; Martin, M.P.; Walter, C.; Arrouays, D. Building a Pedotransfer Function for Soil Bulk Density on Regional Dataset and Testing Its Validity over a Larger Area. Geoderma 2018, 312, 52–63. [Google Scholar] [CrossRef]
- Chen, S.; Chen, Z.; Zhang, X.; Luo, Z.; Schillaci, C.; Arrouays, D.; Richer-de-Forges, A.; Shi, Z. European Soil Bulk Density and Organic Carbon Stock Database Using Machine Learning Based Pedotransfer Function. Earth Syst. Sci. Data Discuss. 2024, 2024, 1–21. [Google Scholar] [CrossRef]
- Dexter, A.R.; Richard, G.; Arrouays, D.; Czyż, E.A.; Jolivet, C.; Duval, O. Complexed Organic Matter Controls Soil Physical Properties. Geoderma 2008, 144, 620–627. [Google Scholar] [CrossRef]
- Florea, N.; Bălăceanu, V.; Răuță, C.; Canarache, A. Metodologia Elaborării Studiilor Pedologice; ICPA, Ed.; Redacţia de Propagandă şi Tehnică Agricolă: Bucureşti, Romania, 1987; Volume I, II, III. [Google Scholar]
- Jamagne, M. Bases et Techniques d’une Cartographie des Sols; Annales agronomiques. Numéro hors série; INRA: Versailles, France, 1967; Volume 18. (In French) [Google Scholar]
- Richer-de-Forges, A.C.; Arrouays, D.; Feller, C.; Jamagne, M. Perdus dans le triangle des textures. Etude Gest. Sols 2008, 15, 97–111. [Google Scholar]
- Moeys, J.; Shangguan, W.; Petzold, R.; Minasny, B.; Rosca, B.; Jelinski, N.; Zelazny, W.; Marcondes Silva Souza, R.; Safanelli, J.L.; ten Caten, A. R Package “Soiltexture”: Functions for Soil Texture Plot, Classification and Transformation 2018. Available online: https://www.quantargo.com/help/r/latest/packages/soiltexture/1.5.1 (accessed on 8 May 2024).
- Maechler, M.; Rousseeuw, P.; Struyf, A.; Hubert, M.; Hornik, K. Cluster: Cluster Analysis Basics and Extensions. R Package Version 2.1.6—For New Features, See the “NEWS” and the “Changelog” File in the Package Source). 2023. Available online: https://CRAN.R-project.org/package=cluster (accessed on 8 May 2024).
- Gower, J.C. A General Coefficient of Similarity and Some of Its Properties. Biometrics 1971, 27, 857. [Google Scholar] [CrossRef]
- Ward, J.H. Hierarchical Grouping to Optimize an Objective Function. J. Am. Stat. Assoc. 1963, 58, 236–244. [Google Scholar] [CrossRef]
- Kassambara, A.; Mundt, F. R Package Factoextra: Extract and Visualize the Results of Multivariate Data Analyses. 2020. Available online: https://CRAN.R-project.org/package=factoextra (accessed on 8 May 2024).
- Tibshirani, R.; Walther, G.; Hastie, T. Estimating the Number of Clusters in a Data Set Via the Gap Statistic. J. R. Stat. Soc. Ser. B Stat. Methodol. 2001, 63, 411–423. [Google Scholar] [CrossRef]
- Richer-de-Forges, A.C.; Arrouays, D.; Chen, S.; Román Dobarco, M.; Libohova, Z.; Roudier, P.; Minasny, B.; Bourennane, H. Hand-Feel Soil Texture and Particle-Size Distribution in Central France. Relationships and Implications. Catena 2022, 213, 106155. [Google Scholar] [CrossRef]
- Păltineanu, C.; Calciu, I.; Vizitiu, O. Characterizing Soils Compaction by Using Packing Density and Compaction Degree Indices. Soil Sci. 2015, 49, 65–71. [Google Scholar]
- Hollis, J.M.; Hannam, J.; Bellamy, P.H. Empirically-derived Pedotransfer Functions for Predicting Bulk Density in European Soils. Eur. J. Soil Sci. 2012, 63, 96–109. [Google Scholar] [CrossRef]
- Brus, D.J.; Van Den Akker, J.J.H. How Serious a Problem Is Subsoil Compaction in the Netherlands? A Survey Based on Probability Sampling. Soil 2018, 4, 37–45. [Google Scholar] [CrossRef]
- De Rosa, D.; Ballabio, C.; Lugato, E.; Fasiolo, M.; Jones, A.; Panagos, P. Soil Organic Carbon Stocks in European Croplands and Grasslands: How Much Have We Lost in the Past Decade? Glob. Change Biol. 2024, 30, e16992. [Google Scholar] [CrossRef] [PubMed]
- Van Den Akker, J.J.H. SOCOMO: A Soil Compaction Model to Calculate Soil Stresses and the Subsoil Carrying Capacity. Soil Tillage Res. 2004, 79, 113–127. [Google Scholar] [CrossRef]
- D’Or, D.; Destain, M.-F. Toward a Tool Aimed to Quantify Soil Compaction Risks at a Regional Scale: Application to Wallonia (Belgium). Soil Tillage Res. 2014, 144, 53–71. [Google Scholar] [CrossRef]
- Kuhwald, M.; Dörnhöfer, K.; Oppelt, N.; Duttmann, R. Spatially Explicit Soil Compaction Risk Assessment of Arable Soils at Regional Scale: The SaSCiA-Model. Sustainability 2018, 10, 1618. [Google Scholar] [CrossRef]
- Kuhwald, M.; Kuhwald, K.; Duttmann, R. Spatio-Temporal High-Resolution Subsoil Compaction Risk Assessment for a 5-Years Crop Rotation at Regional Scale. Front. Environ. Sci. 2022, 10, 823030. [Google Scholar] [CrossRef]
- Van Orsouw, T.L.; Mulder, V.L.; Schoorl, J.M.; Van Os, G.J.; Van Essen, E.A.; Pepers, K.H.J.; Heuvelink, G.B.M. Practical Implications of the Availability of Multiple Measurements to Classify Agricultural Soil Compaction: A Case-Study in The Netherlands. Agronomy 2022, 12, 1669. [Google Scholar] [CrossRef]
- Canarache, A. Factors and Indices Regarding Excessive Compactness of Agricultural Soils. Soil Tillage Res. 1991, 19, 145–164. [Google Scholar] [CrossRef]
- Håkansson, I.; Reeder, R.C. Subsoil Compaction by Vehicles with High Axle Load—Extent, Persistence and Crop Response. Soil Tillage Res. 1994, 29, 277–304. [Google Scholar] [CrossRef]
- Arvidsson, J. Subsoil Compaction Caused by Heavy Sugarbeet Harvesters in Southern Sweden: I. Soil physical properties and crop yield in six field experiments. Soil Tillage Res. 2001, 60, 67–78. [Google Scholar] [CrossRef]
- Arvidsson, J.; Trautner, A.; Van Den Akker, J.J.H.; Schjønning, P. Subsoil Compaction Caused by Heavy Sugarbeet Harvesters in Southern Sweden: II. Soil displacement during wheeling and model computations of compaction. Soil Tillage Res. 2001, 60, 79–89. [Google Scholar] [CrossRef]
- Etana, A.; Håkansson, I. Swedish Experiments on the Persistence of Subsoil Compaction Caused by Vehicles with High Axle Load. Soil Tillage Res. 1994, 29, 167–172. [Google Scholar] [CrossRef]
- Lal, R.; Vandoren, D.M. Influence of 25 Years of Continuous Corn Production by Three Tillage Methods on Water Infiltration for Two Soils in Ohio. Soil Tillage Res. 1990, 16, 71–84. [Google Scholar] [CrossRef]
- Landschoot, S.; Dewitte, K.; Marynissen, B.; Derycke, V.; Latré, J.; Haesaert, G. Does Shifting from Conventional to Zero Tillage in Combination with a Cover Crop Offers Opportunities for Silage Maize Cultivation in Flanders? J. Plant Nutr. Soil Sci. 2019, 182, 980–989. [Google Scholar] [CrossRef]
- Jabro, J.D.; Stevens, W.B.; Iversen, W.M.; Sainju, U.M.; Allen, B.L. Soil Cone Index and Bulk Density of a Sandy Loam under No-till and Conventional Tillage in a Corn-Soybean Rotation. Soil Tillage Res. 2021, 206, 104842. [Google Scholar] [CrossRef]
- Anken, T.; Weisskopf, P.; Zihlmann, U.; Forrer, H.; Jansa, J.; Perhacova, K. Long-Term Tillage System Effects under Moist Cool Conditions in Switzerland. Soil Tillage Res. 2004, 78, 171–183. [Google Scholar] [CrossRef]
- Lark, R.M.; Knights, K.V. The Implicit Loss Function for Errors in Soil Information. Geoderma 2015, 251–252, 24–32. [Google Scholar] [CrossRef]
- McBratney, A.B.; Mendonça Santos, M.L.; Minasny, B. On Digital Soil Mapping. Geoderma 2003, 117, 3–52. [Google Scholar] [CrossRef]
- Arrouays, D.; Mulder, V.L.; Richer-de-Forges, A.C. Soil Mapping, Digital Soil Mapping and Soil Monitoring over Large Areas and the Dimensions of Soil Security—A Review. Soil Secur. 2021, 5, 100018. [Google Scholar] [CrossRef]










| SCC | Definition | Data Number |
|---|---|---|
| SCC-1 | Not compact (the knife penetrates effortlessly, and the material is inconsistent) | 5183 |
| SCC-2 | Slightly compact (the knife penetrates with a slight effort) | 6203 |
| SCC-3 | Compact (the knife penetrates incompletely even with a significant effort) | 2956 |
| SCC-4 | Very compact (the knife only penetrates a few millimeters) | 230 |
| Variable | Unit | Method | Filtering | Number of Remaining Data |
|---|---|---|---|---|
| Clay 0–2 µm | g kg−1 | Pipette method [46] without decarbonation | - | 14,572 |
| Fine silt 2–20 µm | g kg−1 | - | 14,376 | |
| Silt 2–50 µm | g kg−1 | - | 14,572 | |
| Sand 50–2000 µm | g kg−1 | - | 14,572 | |
| Carbon (SOC) | g kg−1 | Wet oxidation (Anne; [47]) | <80 | 11,164 |
| Bulk density (BD) | Mg m−3 | Cylinder method [48] | <2 | 605 |
| pHwater | pH | Soil pH in water (dilution ⅕; [49]) | - | 13,059 |
| CEC | cmol+ kg−1 | Metson method [50] | - | 9956 |
| C:N ratio | - | - | - | 9136 |
| CaCO3 | g kg−1 | Scheibler Calcimeter [51] | - | 4724 |
| SOC/Clay Class | Threshold Values | Name |
|---|---|---|
| SOC/ClayClass1 | 1/8 ≤ SOC/Clay | Very good SSQ |
| SOC/ClayClass2 | 1/10 ≤ SOC/Clay < 1/8 | Good SSQ |
| SOC/ClayClass3 | 1/13 ≤ SOC/Clay < 1/10 | Moderate SSQ |
| SOC/ClayClass4 | SOC/Clay < 1/13 | Degraded SSQ |
| SOC/SOCexp | Threshold Values | Name |
|---|---|---|
| SOC/SOCexp1 | SOC/SOCexp є q4 | Very good SSQ |
| SOC/SOCexp2 | SOC/SOCexp є q3 | Good SSQ |
| SOC/SOCexp3 | SOC/SOCexp є q2 | Moderate SSQ |
| SOC/SOCexp4 | SOC/SOCexp є q1 | Degraded SSQ |
| PD Class | Threshold Values | Name |
|---|---|---|
| PDClass1 | ≤1.40 | Not compact |
| PDClass2 | ≤1.75 and >1.40 | Moderately compact |
| PDClass3 | >1.75 | Strongly compacted |
| SCD Class | Threshold Values | Name |
|---|---|---|
| SCDClass1 | <−17% | very loose soils |
| SCDClass2 | ≥−17 and <−10% | slightly—moderately loose |
| SCDClass3 | ≥−10 and <0% | slightly loose |
| SCDClass4 | ≥0 and <10% | slightly compacted |
| SCDClass5 | ≥10 and <18% | moderately compacted |
| SCDClass6 | ≥18% | strongly compacted soils |
| BDr Class | Threshold Values | Name |
|---|---|---|
| BDr1Class1 | BD < 1.52 − (0.00646 × Clay) | Rooting not restricted |
| BDr1Class2 | 1.77 − (0.00669 × Clay) ≥ BD ≥ 1.52 − (0.00646 × Clay) | Rooting moderately restricted |
| BDr1Class3 | BD > 1.77 − (0.00669 × Clay) | Rooting highly restricted |
| BDr2Class1 | BD < 1.60 − (0.00468 × (Clay + Silt)) | Rooting not restricted |
| BDr2Class2 | 1.83 − (0.00429 × (Clay + Silt)) ≥ BD ≥ 1.60 − (0.00468 × (Clay + Silt)) | Rooting moderately restricted |
| BDr2Class3 | BD > 1.83 − (0.00429 × (Clay + Silt)) | Rooting highly restricted |
Disclaimer/Publisher’s Note: The statements, opinions and data contained in all publications are solely those of the individual author(s) and contributor(s) and not of MDPI and/or the editor(s). MDPI and/or the editor(s) disclaim responsibility for any injury to people or property resulting from any ideas, methods, instructions or products referred to in the content. |
© 2024 by the authors. Licensee MDPI, Basel, Switzerland. This article is an open access article distributed under the terms and conditions of the Creative Commons Attribution (CC BY) license (https://creativecommons.org/licenses/by/4.0/).
Share and Cite
Richer-de-Forges, A.C.; Arrouays, D.; Libohova, Z.; Chen, S.; Beaudette, D.E.; Bourennane, H. Revealing Topsoil Behavior to Compaction from Mining Field Observations. Land 2024, 13, 909. https://doi.org/10.3390/land13070909
Richer-de-Forges AC, Arrouays D, Libohova Z, Chen S, Beaudette DE, Bourennane H. Revealing Topsoil Behavior to Compaction from Mining Field Observations. Land. 2024; 13(7):909. https://doi.org/10.3390/land13070909
Chicago/Turabian StyleRicher-de-Forges, Anne C., Dominique Arrouays, Zamir Libohova, Songchao Chen, Dylan E. Beaudette, and Hocine Bourennane. 2024. "Revealing Topsoil Behavior to Compaction from Mining Field Observations" Land 13, no. 7: 909. https://doi.org/10.3390/land13070909
APA StyleRicher-de-Forges, A. C., Arrouays, D., Libohova, Z., Chen, S., Beaudette, D. E., & Bourennane, H. (2024). Revealing Topsoil Behavior to Compaction from Mining Field Observations. Land, 13(7), 909. https://doi.org/10.3390/land13070909

