Typhoon-Induced Forest Damage Mapping in the Philippines Using Landsat and PlanetScope Images
Abstract
1. Introduction
2. Materials and Methods
2.1. Materials
2.1.1. Study Area
2.1.2. Typhoon Rai
2.1.3. Satellite Data
Landsat-8
PlanetScope
2.1.4. Topographic Data
2.2. Methods
2.2.1. Data Preprocessing
Landsat
PlanetScope
Forest Cover Map
Land Cover Change Map
Forest Damage Proximity Map
2.2.2. Determining the Best Harmonic Degree and VI
Vegetation Indices
Decomposing VI Values to Map Typhoon-Induced Forest Damage through HANTS
Separating Forest With and Without Loss through Thresholding
2.2.3. Accuracy Assessment and Validation
2.2.4. Creating Forest Damage Map
2.2.5. Investigating the Presence of Time Lag
2.2.6. Determining Contributing Factors to Forest Damage
3. Results
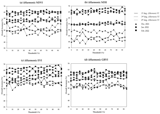
3.1. Determing the Best Harmonic Degree and VI
3.1.1. Thresholding
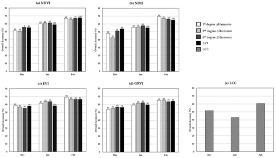
3.1.2. Comparison of ΔHarmonic VI to ΔVI and LCC
3.2. Creating Forest Damage Map
3.3. Investigating the Presence of Time Lag
3.4. Determining Contributing Factors to Forest Damage
4. Discussion
4.1. Determining the Best Harmonic Degree and VI
4.1.1. Most Sensitive VI to Typhoon-Induced Forest Damage
4.1.2. Degree of Harmonic
4.1.3. In Comparison With ΔVI and LCC Maps
4.2. Different Contributing Factors to Forest Damage
5. Conclusions
Author Contributions
Funding
Data Availability Statement
Acknowledgments
Conflicts of Interest
Appendix A



References
- The World Bank. Agriculture, Forestry, and Fishing, Value Added (% of GDP)—Philippines. Economic Policy & Debt: National Accounts: Shares of GDP and Other; The World Bank Group: Washington, DC, USA, 2022. [Google Scholar]
- Profor World Bank Group. Understanding the Role of Forests in Enhancing Livelihoods and Climate Resilience: Case Studies in the Philippines. In How Forests Enhance Livelihoods and Climate Resilience; Program on Forests (PROFOR): Washington, DC, USA, 2017; pp. 1–4. [Google Scholar]
- Wiebe, P.C.; Zhunusova, E.; Lippe, M.; Velasco, R.F.; Günter, S. What is the Contribution of Forest-related Income to Rural Livelihood Strategies in the Philippines’ Remaining Forested Landscapes? For. Policy Econ. 2022, 135, 102658. [Google Scholar] [CrossRef]
- Chechina, M.; Neveux, Y.; Parkins, J.R.; Hamann, A. Balancing Conservation and Livelihoods: A Study of Forest-dependent Communities in the Philippines. Conserv. Soc. 2018, 16, 420–430. [Google Scholar] [CrossRef]
- van Hensbergen, H.; Cedergren, J. Forest-Related Disasters—Three Case Studies and Lessons for Management of Extreme Events; Forestry Working Paper No. 17; FAO: Rome, Italy, 2020; pp. 7–26. [Google Scholar] [CrossRef]
- Xiao, L.; Robinson, M.; O’Connor, M. Woodland’s Role in Natural Flood Management: Evidence from Catchment Studies in Britain and Ireland. Sci. Total. Environ. 2022, 813, 151877. [Google Scholar] [CrossRef] [PubMed]
- Del Rosario, E.D.; Ramos, B.T.; Jalad, R.B.; Rabonza, G.J. Situational Reports Regarding Preparedness Measures and Effects for Typhoons; NDRRMC: Quezon City, Philippines, 2009–2023. [Google Scholar]
- Aosier, B.; Kaneko, M.; Takada, M. Evaluation of the forest damage by typhoon using remote sensing technique. In Proceedings of the 2007 IEEE International Geoscience and Remote Sensing Symposium, Barcelona, Spain, 23–28 July 2007. [Google Scholar] [CrossRef]
- Wang, W.; Qu, J.J.; Hao, X.; Liu, Y.; Stanturf, J.A. Post-Hurricane Forest Damage Assessment Using Satellite Remote Sensing. Agric. For. Meteorol. 2010, 150, 122–132. [Google Scholar] [CrossRef]
- Dong, G.; Liu, Z.; Du, G. Assessment of vegetation damage by three typhoons (Bavi, Maysak, and Haishen) in Northeast China in 2020. Nat. Hazards 2022, 150, 2883–2899. [Google Scholar] [CrossRef]
- Peereman, J.; Hogan, J.A.; Lin, T.-C. Assessing Typhoon-Induced Canopy Damage Using Vegetation Indices in the Fushan Experimental Forest, Taiwan. Remote Sens. 2020, 12, 1654. [Google Scholar] [CrossRef]
- Zhang, X.; Jiao, H.; Chen, G.; Shen, J.; Huang, Z.; Luo, H. Forest Damage by Super Typhoon Rammasun and Post-Disturbance Recovery Using Landsat Imagery and the Machine-Learning Method. Remote Sens. 2022, 14, 3826. [Google Scholar] [CrossRef]
- Chen, X.; Avtar, R.; Umarhadi, D.A.; Louw, A.S.; Shrivastava, S.; Yunus, A.P.; Khedher, K.M.; Takemi, T.; Shibata, H. Post-Typhoon Forest Damage Estimation Using Multiple Vegetation Indices and Machine Learning Models. Weather Clim. Extrem 2022, 38, 100494. [Google Scholar] [CrossRef]
- Zhang, X.; Chen, G.; Cai, L.; Jiao, H.; Hua, J.; Luo, X.; Wei, X. Impact Assessments of Typhoon Lekima on Forest Damages in Subtropical China Using Machine Learning Methods and Landsat 8 OLI Imagery. Sustainability 2021, 13, 4893. [Google Scholar] [CrossRef]
- Cui, L.; Shi, J. Temporal and spatial response of vegetation NDVI to temperature and precipitation in eastern China. J. Geogr. Sci. 2010, 20, 163–176. [Google Scholar] [CrossRef]
- Chuai, X.W.; Huang, X.J.; Wang, W.J.; Bao, G. NDVI, temperature and precipitation changes and their relationships with different vegetation types during 1998–2007 in Inner Mongolia, China. Int. J. Climatol. 2012, 33, 1696–1706. [Google Scholar] [CrossRef]
- Xu, Y.; Shen, Y. Reconstruction of the Land Surface Temperature Time Series Using Harmonic Analysis. Comput. Geosci. 2013, 61, 126–132. [Google Scholar] [CrossRef]
- Azzali, S.; Menenti, M. Fourier Analysis of Temporal NDVI in the Southern African and American Continents; DLO Winand Staring Centre: Wageningen, The Netherlands, 1996; pp. 108–151. [Google Scholar]
- Wilson, B.T.; Knight, J.F.; McRoberts, R.E. Harmonic Regression of Landsat Time Series for Modeling Attributes from National Forest Inventory Data. ISPRS J. Photogramm. Remote Sens. 2018, 137, 29–46. [Google Scholar] [CrossRef]
- Malamiri, H.R.G.; Zare, H.; Rousta, I.; Olafsson, H.; Verdiguier, E.I.; Zhang, H.; Mushore, T.D. Comparison of Harmonic Analysis of Time Series (HANTS) and Multi-Singular Spectrum Analysis (M-SSA) in Reconstruction of Long-Gap Missing Data in NDVI Time Series. Remote Sens. 2020, 12, 2720. [Google Scholar] [CrossRef]
- Sajadi, P.; Sang, Y.; Gholamnia, M.; Bonafoni, S.; Brocca, L.; Pradhan, B.; Singh, A. Performance Evaluation of Long NDVI Timeseries from AVHRR, MODIS, and Landsat Sensors over Landslide-Prone Locations in Qinghai-Tibetan Plateau. Remote Sens. 2021, 13, 3172. [Google Scholar] [CrossRef]
- Jakubauskas, M.E.; Legates, D.R.; Kastens, J.H. Crop identification using harmonic analysis of time-series AVHRR NDVI data. Comput. Electron. Agric. 2002, 37, 127–139. [Google Scholar] [CrossRef]
- Geerken, R.A. An algorithm to classify and monitor seasonal variations in vegetation phenologies and their inter-annual change. ISPRS J. Photogramm. Remote Sens. 2009, 64, 422–431. [Google Scholar] [CrossRef]
- Philipp, M.; Wegmann, M.; Kübert-Flock, C. Quantifying the Response of German Forests to Drought Events via Satellite Imagery. Remote Sens. 2021, 13, 1845. [Google Scholar] [CrossRef]
- Philippine Statistics Authority. Highlights of the Region VIII (Eastern Visayas) Population 2020 Census of Population and Housing (2020 CPH). 2020. Available online: https://psa.gov.ph/content/highlights-region-viii-eastern-visayas-population-2020-census-population-and-housing-2020 (accessed on 29 March 2024).
- European Commission. Digital Observatory for Protected Areas (DOPA) Explorer: Mindanao-Eastern Visayas Rain Forests. Available online: https://dopa-explorer.jrc.ec.europa.eu/ecoregion/40129 (accessed on 24 June 2024).
- National Hurricane Center and Central Pacific Hurricane Center. Annual 2021 Tropical Cyclones Report. Available online: https://www.ncei.noaa.gov/access/monitoring/monthly-report/tropical-cyclones/202113 (accessed on 24 March 2024).
- Reuters. Philippine Death Toll from Its Strongest Typhoon of the Year Tops 400. 2021. Available online: https://www.reuters.com/markets/commodities/philippine-death-toll-its-strongest-typhoon-year-tops-400-2021-12-31/ (accessed on 29 March 2024).
- United States Geological Survey (USGS). Landsat 8 Operational Land Imager (OLI) and Thermal Infrared Sensor (TIRS). Available online: https://www.usgs.gov/core-science-systems/nli/landsat/landsat-8 (accessed on 29 March 2024).
- Planet Team. Planet Application Program Interface: In Space for Life on Earth. San Francisco, CA. 2022. Available online: https://api.planet.com (accessed on 24 March 2024).
- Planet Team. PlanetScope: Constellation and Sensor Overview. Available online: https://developers.planet.com/docs/data/planetscope/ (accessed on 24 June 2024).
- Francini, S.; McRoberts, R.; Giannetti, F.; Mencucci, M.; Marchetti, M.; Mugnozza, G.; Chirici, G. Near-real time forest change detection using PlanetScope imagery. Eur. J. Remote Sens. 2020, 53, 233–244. [Google Scholar] [CrossRef]
- Chung, M.; Kim, Y. Object-based wildfire damage assessment using PlanetScope images. In Proceedings of the 40th Asian Conference on Remote Sensing, Daejeon, Republic of Korea, 14–18 October 2019. [Google Scholar]
- Chung, M.; Han, Y.; Kim, Y. A framework for unsupervised wildfire damage assessment using VHR and satellite images with PlanetScope data. Remote Sens. 2020, 12, 3835. [Google Scholar] [CrossRef]
- Gasparovic, M.; Klobucar, D.; Gasparovic, I. Automatic Forest degradation monitoring by remote sensing methods and Copernicus data. Int. Arch. Photogramm. Remote Sens. Spat. Inf. Sci. 2022, XLIII-B3-2022, 611–616. Available online: https://isprs-archives.copernicus.org/articles/XLIII-B3-2022/611/2022/ (accessed on 29 March 2024). [CrossRef]
- Dalagnol, R.; Wagner, F.; Galvao, L.; Braga, D.; Osborn, F.; Sagang, L.; Bispo, P.; Payne, M.; Silva, C., Jr.; Favrichon, S.; et al. Mapping tropical forest degradation with deep learning and Planet NICFI data. Remote Sens. Environ. 2023, 298, 113798. [Google Scholar] [CrossRef]
- Carter, G.; Wagner, F.; Dalagnol, R.; Roberts, S.; Ritz, A.; Saatchi, S. Detection of forest disturbance across California using deep learning on PlanetScope imagery. Front. Remote Sens. 2024, 5, 1409400. [Google Scholar] [CrossRef]
- Japan Aerospace Exploration Agency (JAXA). Advanced Land Observing Satellite (ALOS) Digital Surface Model (DSM) Global Dataset. Approximate Resolution 30 m. Available online: https://www.eorc.jaxa.jp/ALOS/en/dataset/aw3d30/aw3d30_e.htm (accessed on 24 March 2024).
- National Mapping and Resource Information Authority (NAMRIA). Land Use and Land Cover Map. Geoportal Philippines. Available online: http://geoportal.gov.ph (accessed on 3 March 2024).
- Keenan, R.; Reams, G.; Achard, F.; de Freitas, J.; Grainger, A.; Lindquist, E. Dynamics of Global Forest Area: Results from the FAO Global Forest Resources Assessment 2015. For. Ecol. Manag. 2015, 352, 9–20. [Google Scholar] [CrossRef]
- Rousseeuw, P.J.; Hubert, M. Robust statistics for outlier detection. Wiley Interdiscip. Rev. Data Min. Knowl. Discov. 2011, 1, 73–79. [Google Scholar] [CrossRef]
- Piragnolo, M.; Pirotti, F.; Zanrosso, C.; Lingua, E.; Grigolato, S. Responding to Large-Scale Forest Damage in an Alpine Environment with Remote Sensing, Machine Learning, and Web-GIS. Remote Sens. 2021, 13, 1541. [Google Scholar] [CrossRef]
- Chang, C.-T.; Wang, S.-F.; Vadeboncoeur, M.A.; Lin, T.-C. Relating Vegetation Dynamics to Temperature and Precipitation at Monthly and Annual Timescales in Taiwan Using MODIS Vegetation Indices. Int. J. Remote Sens. 2014, 35, 598–620. [Google Scholar] [CrossRef]
- Huete, A.R.; Didan, K.; Miura, T.; Rodriguez, E.P.; Gao, X.; Ferreira, L.G. Overview of the Radiometric and Biophysical Performance of the MODIS Vegetation Indices. Remote Sens. Environ. 2002, 83, 195–213. [Google Scholar] [CrossRef]
- Wang, M.; Xu, H. Remote Sensing-Based Assessment of Vegetation Damage by a Strong Typhoon (Meranti) in Xiamen Island, China. Nat. Hazards 2018, 93, 1231–1249. [Google Scholar] [CrossRef]
- Wang, F.; D’Sa, E.J. Potential of MODIS EVI in Identifying Hurricane Disturbance to Coastal Vegetation in the Northern Gulf of Mexico. Remote Sens. 2010, 2, 1–18. [Google Scholar] [CrossRef]
- Townsend, P.A.; Singh, A.; Foster, J.R.; Rehberg, N.J.; Kingdon, C.C.; Eshleman, K.N.; Seagle, S.W. A General Landsat Model to Predict Canopy Defoliation in Broadleaf Deciduous Forests. Remote Sens. Environ. 2012, 119, 255–265. [Google Scholar] [CrossRef]
- Zhang, K.; Thapa, B.; Ross, M.; Gann, D. Remote Sensing of Seasonal Changes and Disturbances in Mangrove Forest: A Case Study from South Florida. Ecosphere 2016, 7, e01366. [Google Scholar] [CrossRef]
- Motohka, T.; Nasahara, K.N.; Tsuchida, S. Applicability of Green-Red Vegetation Index for Remote Sensing of Vegetation Phenology. Remote Sens. 2010, 2, 2369–2387. [Google Scholar] [CrossRef]
- Menenti, M.; Azzali, S.; Verhoef, W.; van Swol, R. Mapping Agroecological Aones and Time lag in Vegetation Growth by means of Fourier Analysis of Time series of NDVI images. Adv. Space Res. 1993, 5, 233–237. [Google Scholar] [CrossRef]
- Verhoef, W. Application of harmonic analysis of NDVI time series (HANTS). In Fourier Analysis of Temporal NDVI in the Southern African and American Continents; Azzali, S., Menenti, M., Eds.; Report 108; DLO Winand Staring Centre: Wageningen, The Netherlands, 1996; pp. 19–24. [Google Scholar]
- Furukawa, F.; Morimoto, J.; Yoshimura, N.; Kaneko, M. Comparison of Conventional Change Detection Methodologies Using High-Resolution Imagery to Find Forest Damage Caused by Typhoons. Remote Sens. 2020, 12, 3242. [Google Scholar] [CrossRef]













| Location | Acquisition Dates (Pre- and Post Typhoon) | Area (km2) |
|---|---|---|
| Albuera | 4 December 2021, 12 January 2022 | 30.08 |
| Baybay City | 20 November 2021, 10 January 2022 | 17.55 |
| Hilongos | 20 November and 12 December 2021, 12 January 2022 | 48.86 |
| Hindang | 20 November 2021, 12 January 2022 | 30.91 |
| Isabel | 4 December 2021, 6 January 2022 | 7.18 |
| Maasin City | 25 October 2021, 19 December 2021 | 9.13 |
| Matalom | 20 and 23 November 2021, 8 January 2022 | 18.68 |
| Mahaplag | 21 October 2021, 24 December 2021 | 7.50 |
| Malitbog | 4 December 2021, 11 January 2022 | 6.20 |
| Ormoc City/Kananga | 1 December 2021, 6 January 2022 | 49.98 |
| Padre Burgos | 4 December 2021, 11 January 2022 | 31.55 |
| San Juan | 4 December 2021, 10 January 2022 | 14.32 |
| Tacloban City (2 sites) | 23 November 2021, 23 December 2021 | 16.45 |
| Tomas Oppus | 20 November 2021, 10 January 2022 | 23.28 |
| Total Area: | 311.67 |
| Data | Spatial Resolution | Derived Data | Temporal Range |
|---|---|---|---|
| Satellite Data | |||
| Landsat-8 OLI SR [28] | 30 m | Landsat-8 Composite Image | 7, 16, and 23 April 2, 9, 18, and 25 May 3 and 19 June 12, 21, and 28 July 2020 |
| Forest Cover Map | 2020 | ||
| Monthly Land Cover Map 2021–2022 | November 2021–February 2022 | ||
| Forest Damage Map from LCC | November 2021–December 2021, November 2021–January 2022, November 2021–February 2022 | ||
| Monthly Landsat-derived VI and HANTS VI | 2013–2022 | ||
| PlanetScope [29] | 3–4.1 m | Forest Pre- and Post-Change Detection Map | See Table 2. |
| Forest Data | |||
| NAMRIA Land Cover Map of Leyte Region, 2020 [39,40] | Training points for Land Classification | ||
| Sentinel-1 | VV and VH Median | April–July 2020 | |
| Topographic Data | |||
| ALOS DSM [38] | 30 m | Elevation, Slope, Aspect | |
| Typhoon Rai ground track [27] | Forest Damage Proximity Map |
| Method | Total Pixel Count | ||
|---|---|---|---|
| December | January | February | |
| ΔHarmonic EVI | 796,573 | 420,546 | 219,350 |
| ΔEVI | 501,586 | 327,268 | 157,893 |
| diff. | 294,987 | 93,278 | 61,457 |
| Area diff.1 (km2) | 265.49 | 83.95 | 55.31 |
Disclaimer/Publisher’s Note: The statements, opinions and data contained in all publications are solely those of the individual author(s) and contributor(s) and not of MDPI and/or the editor(s). MDPI and/or the editor(s) disclaim responsibility for any injury to people or property resulting from any ideas, methods, instructions or products referred to in the content. |
© 2024 by the authors. Licensee MDPI, Basel, Switzerland. This article is an open access article distributed under the terms and conditions of the Creative Commons Attribution (CC BY) license (https://creativecommons.org/licenses/by/4.0/).
Share and Cite
Magallon, B.J.P.; Tsuyuki, S. Typhoon-Induced Forest Damage Mapping in the Philippines Using Landsat and PlanetScope Images. Land 2024, 13, 1031. https://doi.org/10.3390/land13071031
Magallon BJP, Tsuyuki S. Typhoon-Induced Forest Damage Mapping in the Philippines Using Landsat and PlanetScope Images. Land. 2024; 13(7):1031. https://doi.org/10.3390/land13071031
Chicago/Turabian StyleMagallon, Benjamin Jonah Perez, and Satoshi Tsuyuki. 2024. "Typhoon-Induced Forest Damage Mapping in the Philippines Using Landsat and PlanetScope Images" Land 13, no. 7: 1031. https://doi.org/10.3390/land13071031
APA StyleMagallon, B. J. P., & Tsuyuki, S. (2024). Typhoon-Induced Forest Damage Mapping in the Philippines Using Landsat and PlanetScope Images. Land, 13(7), 1031. https://doi.org/10.3390/land13071031

