Exploring the Relationships between Mini Urban Green Space Layout and Human Activity
Abstract
1. Introduction
1.1. Definition and Significance of Mini Urban Green Space
1.2. Influences of Green Space Layout on People’s Behavior and Health
1.3. Layout and Crowd Activities in Mini Urban Green Spaces
2. Methodology
2.1. Research Workflow
2.2. Study Area
2.3. Data Collection
2.4. Data Processing
2.5. Construction of the Spatial Behavior Model
2.6. A Two-Step Crowd Activity Simulation and Analysis Method
2.7. Statistical Analysis
3. Results
3.1. Results of the Current Pedestrian Flow Model
3.2. The Relationship between Four Spatial Layout Elements and Pedestrian Distribution
3.2.1. Entrances
3.2.2. Paths
3.2.3. Node Area
3.2.4. Facilities
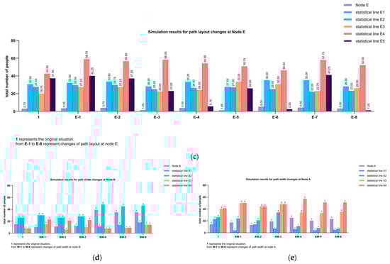
3.3. Results of Pathway Changes around a Single Node
3.3.1. Changing Path Orientation
3.3.2. Changing Path Quantity
3.3.3. Changing Path Width
4. Discussion
4.1. Relationship between Spatial Layout and People’s Distribution
4.2. Relationship between Path and People’s Distribution
4.3. Limitations
5. Conclusions
Author Contributions
Funding
Data Availability Statement
Conflicts of Interest
References
- Nordh, H.; Hartig, T.; Hagerhall, C.M.; Fry, G. Components of Small Urban Parks That Predict the Possibility for Restoration. Urban For. Urban Green. 2009, 8, 225–235. [Google Scholar] [CrossRef]
- Peschardt, K.K.; Stigsdotter, U.K. Associations between Park Characteristics and Perceived Restorativeness of Small Public Urban Green Spaces. Landsc. Urban Plan. 2013, 112, 26–39. [Google Scholar] [CrossRef]
- Bedimo-Rung, A.L.; Mowen, A.J.; Cohen, D.A. The Significance of Parks to Physical Activity and Public Health: A Conceptual Model. Am. J. Prev. Med. 2005, 28, 159–168. [Google Scholar] [CrossRef]
- Peschardt, K.K.; Stigsdotter, U.K.; Schipperrijn, J. Identifying Features of Pocket Parks That May Be Related to Health Promoting Use. Landsc. Res. 2016, 41, 79–94. [Google Scholar] [CrossRef]
- Astell-Burt, T.; Feng, X.; Mavoa, S.; Badland, H.M.; Giles-Corti, B. Do Low-Income Neighbourhoods Have the Least Green Space? A Cross-Sectional Study of Australia’s Most Populous Cities. BMC Public Health 2014, 14, 292. [Google Scholar] [CrossRef]
- Lin, W.; Chen, Q.; Jiang, M.; Zhang, X.; Liu, Z.; Tao, J.; Wu, L.; Xu, S.; Kang, Y.; Zeng, Q. The Effect of Green Space Behaviour and per Capita Area in Small Urban Green Spaces on Psychophysiological Responses. Landsc. Urban Plan. 2019, 192, 103637. [Google Scholar] [CrossRef]
- Armato, F. Pocket Park: Product Urban Design. Des. J. 2017, 20, S1869–S1878. [Google Scholar] [CrossRef]
- Foster, J. Hiding in Plain View: Vacancy and Prospect in Paris’ Petite Ceinture. Cities 2014, 40, 124–132. [Google Scholar] [CrossRef]
- Kerishnan, P.B.; Maruthaveeran, S.; Maulan, S. Investigating the Usability Pattern and Constraints of Pocket Parks in Kuala Lumpur, Malaysia. Urban For. Urban Green. 2020, 50, 126647. [Google Scholar] [CrossRef]
- Nordh, H.; Østby, K. Pocket Parks for People—A Study of Park Design and Use. Urban For. Urban Green. 2013, 12, 12–17. [Google Scholar] [CrossRef]
- Dong, J.; Guo, R.; Guo, F.; Guo, X.; Zhang, Z. Pocket Parks—A Systematic Literature Review. Environ. Res. Lett. 2023, 18, 083003. [Google Scholar] [CrossRef]
- Zhang, H.; Han, M. Pocket Parks in English and Chinese Literature: A Review. Urban For. Urban Green. 2021, 61, 127080. [Google Scholar] [CrossRef]
- American Planning Association. (1965, January). Standards for Outdoor Recreational Areas [Information Report No. 194]. American Society of Planning Officials. Available online: https://www.planning.org/pas/reports/report194.htm (accessed on 5 June 2024).
- The Trust for Public Land. Pocket Park Toolkit [Brochure]. San Francisco, CA, USA. 2020. Available online: https://www.tpl.org/resource/pocket-park-toolkit (accessed on 5 June 2024).
- Greater London Authority. The London Plan: Spatial Development Strategy for Greater London. 2008. Available online: https://www.london.gov.uk/thelondonplan (accessed on 5 June 2024).
- Environmental Partnership (NSW) Pty Ltd. Western Precinct Open Space and Landscape Masterplan; Environmental Partnership (NSW) Pty Ltd.: Sydney, Australia, 2008. Available online: https://www.penrithcity.nsw.gov.au/images/documents/building-development/planning-zoning/planning-controls/Western_Precinct_Plan_Part_Q.pdf (accessed on 5 June 2024).
- Ministry of Construction of the People’s Republic of China. Code of Urban Residential Areas Planning & Design GB 50180-93; Ministry of Construction of the People’s Republic of China: Beijing, China, 2002. Available online: https://www.planning.org.cn/law/uploads/2013/1383999145.pdf (accessed on 5 June 2024).
- Jiangsu Provincial Department of Housing and Urban-Rural Development. Standard for Greening of Resi-Dential Districts and Companies in Jiangsu Province; Jiangsu Provincial Department of Housing and Urban-Rural Development: Nantong, China, 2014. Available online: https://ylj.nanjing.gov.cn/njslhylj/202012/P020201204599630466774.pdf (accessed on 13 June 2024).
- Jiangsu Provincial Department of Housing and Urban-Rural Development. Pocket Park Guidance of Jiangsu (Trial 2022); Jiangsu Provincial Department of Housing and Urban-Rural Development: Nantong, China, 2022.
- Nanjing Municipal Bureau of Greening and Gardening. Pocket Park Guidance of Nanjing (Trial); Nanjing Municipal Bureau of Greening and Gardening: Nanjing, China, 2023. Available online: https://ylj.nanjing.gov.cn/njslhylj/202305/P020230504565809200902.pdf (accessed on 5 June 2024).
- Lee, J.; Tsunetsugu, Y.; Takayama, N.; Park, B.-J.; Li, Q.; Song, C.; Komatsu, M.; Ikei, H.; Tyrväinen, L.; Kagawa, T.; et al. Influence of Forest Therapy on Cardiovascular Relaxation in Young Adults. Evid. Based Complement. Alternat. Med. 2014, 2014, 834360. [Google Scholar] [CrossRef]
- Liu, S.; Wang, X. Reexamine the Value of Urban Pocket Parks under the Impact of the COVID-19. Urban For. Urban Green. 2021, 64, 127294. [Google Scholar] [CrossRef]
- Hartig, T.; Mitchell, R.; De Vries, S.; Frumkin, H. Nature and Health. Annu. Rev. Public Health 2014, 35, 207–228. [Google Scholar] [CrossRef]
- Peng, H.; Li, X.; Yang, T.; Tan, S. Research on the Relationship between the Environmental Characteristics of Pocket Parks and Young People’s Perception of the Restorative Effects—A Case Study Based on Chongqing City, China. Sustainability 2023, 15, 3943. [Google Scholar] [CrossRef]
- Song, C.; Joung, D.; Ikei, H.; Igarashi, M.; Aga, M.; Park, B.-J.; Miwa, M.; Takagaki, M.; Miyazaki, Y. Physiological and Psychological Effects of Walking on Young Males in Urban Parks in Winter. J. Physiol. Anthropol. 2013, 32, 18. [Google Scholar] [CrossRef]
- Song, C.; Ikei, H.; Igarashi, M.; Miwa, M.; Takagaki, M.; Miyazaki, Y. Physiological and Psychological Responses of Young Males during Spring-Time Walks in Urban Parks. J. Physiol. Anthropol. 2014, 33, 8. [Google Scholar] [CrossRef]
- Bajwoluk, T.; Langer, P. The Pocket Park and Its Impact on the Quality of Urban Space on the Local and Supralocal Scale—Case Study of Krakow, Poland. Sustainability 2023, 15, 5153. [Google Scholar] [CrossRef]
- Huang, Y.; Lin, X.; Lin, S.; Chen, Z.; Fu, W.; Wang, M.; Dong, J. Pocket Parks: A New Approach to Improving the Psychological and Physical Health of Recreationists. Forests 2023, 14, 1983. [Google Scholar] [CrossRef]
- Mu, B.; Liu, C.; Mu, T.; Xu, X.; Tian, G.; Zhang, Y.; Kim, G. Spatiotemporal Fluctuations in Urban Park Spatial Vitality Determined by On-Site Observation and Behavior Mapping: A Case Study of Three Parks in Zhengzhou City, China. Urban For. Urban Green. 2021, 64, 127246. [Google Scholar] [CrossRef]
- Barton, H.; Grant, M.; Guise, R. Shaping Neighbourhoods: For Local Health and Global Sustainability, 3rd ed.; Routledge: London, UK, 2021; ISBN 978-0-429-32124-5. [Google Scholar]
- Bernstein, F.A. Side Pocket: New York’s Paley Park, Which Turns 50 This Month, Is a Masterpiece-Proof That Even a Tiny Public Space Can Make a Difference in a Crowded City. Landsc. Archit. 2017, 107, 122–129. [Google Scholar]
- Dallimer, M.; Irvine, K.N.; Skinner, A.M.J.; Davies, Z.G.; Rouquette, J.R.; Maltby, L.L.; Warren, P.H.; Armsworth, P.R.; Gaston, K.J. Biodiversity and the Feel-Good Factor: Understanding Associations between Self-Reported Human Well-Being and Species Richness. BioScience 2012, 62, 47–55. [Google Scholar] [CrossRef]
- Gibson, H.; Canfield, J. Pocket Parks as Community Building Blocks: A Focus on Stapleton, CO. Community Dev. 2016, 47, 732–745. [Google Scholar] [CrossRef]
- Strohbach, M.W.; Lerman, S.B.; Warren, P.S. Are Small Greening Areas Enhancing Bird Diversity? Insights from Community-Driven Greening Projects in Boston. Landsc. Urban Plan. 2013, 114, 69–79. [Google Scholar] [CrossRef]
- Wang, X.; Li, G.; Pan, J.; Shen, J.; Han, C. The Difference in the Elderly’s Visual Impact Assessment of Pocket Park Landscape. Sci. Rep. 2023, 13, 16895. [Google Scholar] [CrossRef]
- Higueras, E.; Román, E.; Fariña, J. Guidelines for Healthier Public Spaces for the Elderly Population: Recommendations in the Spanish Context. In Handbook of Quality of Life and Sustainability; Martinez, J., Mikkelsen, C.A., Phillips, R., Eds.; Springer International Publishing: Cham, Switzerland, 2021; pp. 35–51. ISBN 978-3-030-50540-0. [Google Scholar]
- Kaplan, R. The Analysis of Perception via Preference: A Strategy for Studying How the Environment Is Experienced. Landsc. Plan. 1985, 12, 161–176. [Google Scholar] [CrossRef]
- Chen, Y.; Liu, X.; Gao, W.; Wang, R.Y.; Li, Y.; Tu, W. Emerging Social Media Data on Measuring Urban Park Use. Urban For. Urban Green. 2018, 31, 130–141. [Google Scholar] [CrossRef]
- Cohen, D.A.; Han, B.; Derose, K.P.; Williamson, S.; Marsh, T.; Raaen, L.; McKenzie, T.L. Promoting Physical Activity in High-Poverty Neighborhood Parks: A Cluster Randomized Controlled Trial. Soc. Sci. Med. 2017, 186, 130–138. [Google Scholar] [CrossRef]
- Hong, X.-C.; Cheng, S.; Liu, J.; Guo, L.-H.; Dang, E.; Wang, J.-B.; Cheng, Y. How Should Soundscape Optimization from Perceived Soundscape Elements in Urban Forests by the Riverside Be Performed? Land 2023, 12, 1929. [Google Scholar] [CrossRef]
- Hazer, M.; Formica, M.K.; Dieterlen, S.; Morley, C.P. The Relationship between Self-Reported Exposure to Greenspace and Human Stress in Baltimore, MD. Landsc. Urban Plan. 2018, 169, 47–56. [Google Scholar] [CrossRef]
- Song, C.; Ikei, H.; Miyazaki, Y. Physiological Effects of Nature Therapy: A Review of the Research in Japan. Int. J. Environ. Res. Public Health 2016, 13, 781. [Google Scholar] [CrossRef]
- Baur, J.W.R.; Tynon, J.F. Small-Scale Urban Nature Parks: Why Should We Care? Leis. Sci. 2010, 32, 195–200. [Google Scholar] [CrossRef]
- Nordh, H. Restorative Components of Small Urban Parks. Ph.D. Thesis, Norwegian University of Life Sciences, Ås, Norway, 2010. [Google Scholar]
- Sullivan, W.C.; Kuo, F.E.; Depooter, S.F. The Fruit of Urban Nature: Vital Neighborhood Spaces. Environ. Behav. 2004, 36, 678–700. [Google Scholar] [CrossRef]
- Gómez, E.; Baur, J.W.R.; Hill, E.; Georgiev, S. Urban Parks and Psychological Sense of Community. J. Leis. Res. 2015, 47, 388–398. [Google Scholar] [CrossRef]
- Harnik, P. Urban Green: Innovative Parks for Resurgent Cities; Island Press: Washington, DC, USA, 2012; ISBN 978-1-59726-812-7. [Google Scholar]
- Zhou, C.; Fu, L.; Xue, Y.; Wang, Z.; Zhang, Y. Using Multi-Source Data to Understand the Factors Affecting Mini-Park Visitation in Yancheng. Environ. Plan. B Urban Anal. City Sci. 2022, 49, 754–770. [Google Scholar] [CrossRef]
- Yang, B.; Hong, B. Pocket Park in Urban Regeneration of China: Policy and Perspective. City Environ. Interact. 2023, 19, 100109. [Google Scholar] [CrossRef]
- Zhou, C.; An, Y.; Zhao, J.; Xue, Y.; Fu, L. How Do Mini-Parks Serve in Groups? A Visit Analysis of Mini-Park Groups in the Neighbourhoods of Nanjing. Cities 2022, 129, 103804. [Google Scholar] [CrossRef]
- Xu, X.; Sun, S.; Liu, W.; García, E.H.; He, L.; Cai, Q.; Xu, S.; Wang, J.; Zhu, J. The Cooling and Energy Saving Effect of Landscape Design Parameters of Urban Park in Summer: A Case of Beijing, China. Energy Build. 2017, 149, 91–100. [Google Scholar] [CrossRef]
- Xu, X.; Liu, S.; Sun, S.; Zhang, W.; Liu, Y.; Lao, Z.; Guo, G.; Smith, K.; Cui, Y.; Liu, W.; et al. Evaluation of Energy Saving Potential of an Urban Green Space and Its Water Bodies. Energy Build. 2019, 188–189, 58–70. [Google Scholar] [CrossRef]
- Luo, Y.; Zhang, L. Analysis of Crowd Movement Based on Mobile Phone Signaling. Int. J. Sci. 2018, 5, 227–234. [Google Scholar]
- Qin, S.; Man, J.; Wang, X.; Li, C.; Dong, H.; Ge, X. Applying Big Data Analytics to Monitor Tourist Flow for the Scenic Area Operation Management. Discrete Dyn. Nat. Soc. 2019, 2019, 8239047. [Google Scholar] [CrossRef]
- Wu, C.; Chen, D. Tourist versus Resident Movement Patterns in Open Scenic Areas: Case Study of Confucius Temple Scenic Area, Nanjing, China. Int. J. Tour. Res. 2021, 23, 1163–1175. [Google Scholar] [CrossRef]
- Adrianto, L.; Kurniawan, F.; Romadhon, A.; Bengen, D.G.; Sjafrie, N.D.M.; Damar, A.; Kleinertz, S. Assessing Social-Ecological System Carrying Capacity for Urban Small Island Tourism: The Case of Tidung Islands, Jakarta Capital Province, Indonesia. Ocean Coast. Manag. 2021, 212, 105844. [Google Scholar] [CrossRef]
- Wang, Y.; Xie, T.; Jie, X. A Mathematical Analysis for the Forecast Research on Tourism Carrying Capacity to Promote the Effective and Sustainable Development of Tourism. Discrete Contin. Dyn. Syst.-Ser. S 2019, 12, 837–847. [Google Scholar] [CrossRef]
- Zhang, Y.; Li, X.R.; Su, Q.; Hu, X. Exploring a Theme Park’s Tourism Carrying Capacity: A Demand-Side Analysis. Tour. Manag. 2017, 59, 564–578. [Google Scholar] [CrossRef]
- Ann, W. Discrete-Event Simulation of Air Traffic Movements in the Mexican Metropolitan Airspace. Transp. Res. Procedia 2021, 56, 39–46. [Google Scholar] [CrossRef]
- Leka, A.; Lagarias, A.; Panagiotopoulou, M.; Stratigea, A. Development of a Tourism Carrying Capacity Index (TCCI) for Sustainable Management of Coastal Areas in Mediterranean Islands–Case Study Naxos, Greece. Ocean Coast. Manag. 2022, 216, 105978. [Google Scholar] [CrossRef]
- Stewart, A.; Elyan, E.; Isaacs, J.; McEwen, L.; Wilson, L. The Effect of Person Order on Egress Time: A Simulation Model of Evacuation from a Neolithic Visitor Attraction. Hum. Factors 2017, 59, 1222–1232. [Google Scholar] [CrossRef]
- Widz, M.; Brzezińska-Wójcik, T. Assessment of the Overtourism Phenomenon Risk in Tunisia in Relation to the Tourism Area Life Cycle Concept. Sustainability 2020, 12, 2004. [Google Scholar] [CrossRef]
- He, B.; Hu, J.; Liu, K.; Xue, J.; Ning, L.; Fan, J. Exploring Park Visit Variability Using Cell Phone Data in Shenzhen, China. Remote Sens. 2022, 14, 499. [Google Scholar] [CrossRef]
- Lee, C.-S.; Chang, Y.-C.; Wang, M.-H. Ontological Recommendation Multi-Agent for Tainan City Travel. Expert Syst. Appl. 2009, 36, 6740–6753. [Google Scholar] [CrossRef]
- Li, J. Dynamic Visiting Coordination Problem Based on Multi-Agent for Large-Scale Crowds’ Activities. Int. J. Ind. Syst. Eng. 2014, 17, 115–131. [Google Scholar] [CrossRef]
- Shen, N.; Zhang, H.; Wang, H.; Zhou, X.; Zhou, L.; Tang, G. Toward Multi-Granularity Spatiotemporal Simulation Modeling of Crowd Movement for Dynamic Assessment of Tourist Carrying Capacity. GIScience Remote Sens. 2022, 59, 1857–1881. [Google Scholar] [CrossRef]
- Gao, F.; Liao, S.; Wang, Z.; Cai, G.; Feng, L.; Yang, Z.; Chen, W.; Chen, X.; Li, G. Revealing Disparities in Different Types of Park Visits Based on Cellphone Signaling Data in Guangzhou, China. J. Environ. Manag. 2024, 351, 119969. [Google Scholar] [CrossRef] [PubMed]
- Nordh, H.; Alalouch, C.; Hartig, T. Assessing Restorative Components of Small Urban Parks Using Conjoint Methodology. Urban For. Urban Green. 2011, 10, 95–103. [Google Scholar] [CrossRef]
- Safaie Ghamsary, E.; Karimimoshaver, M.; Akhavan, A.; Afzali Goruh, Z.; Aram, F.; Mosavi, A. Locating Pocket Parks: Assessing the Effects of Land Use and Accessibility on the Public Presence. Environ. Sustain. Indic. 2023, 18, 100253. [Google Scholar] [CrossRef]
- Salih, S.A.; Ismail, S.; Mseer, A. Pocket Parks for Promoting Social Interaction among Residents of Baghdad City. Archnet-IJAR Int. J. Archit. Res. 2020, 14, 393–408. [Google Scholar] [CrossRef]
- Yeh, M.L.; Chou, Y.T.; Yang, L.S. The Evaluation of GPS Techniques for UAV-Based Photogrammetry in Urban Area. ISPRS-Int. Arch. Photogramm. Remote Sens. Spat. Inf. Sci. 2016, XLI-B1, 1079–1084. [Google Scholar] [CrossRef]
- Klosterman, S.; Melaas, E.; Wang, J.A.; Martinez, A.; Frederick, S.; O’Keefe, J.; Orwig, D.A.; Wang, Z.; Sun, Q.; Schaaf, C. Fine-Scale Perspectives on Landscape Phenology from Unmanned Aerial Vehicle (UAV) Photography. Agric. For. Meteorol. 2018, 248, 397–407. [Google Scholar] [CrossRef]
- Lendzioch, T.; Langhammer, J.; Jenicek, M. Tracking Forest and Open Area Effects on Snow Accumulation by Unmanned Aerial Vehicle Photogrammetry. Int. Arch. Photogramm. Remote Sens. Spat. Inf. Sci. 2016, XLI-B1, 917–923. [Google Scholar] [CrossRef]
- Park, K.; Ewing, R. The Usability of Unmanned Aerial Vehicles (UAVs) for Measuring Park-Based Physical Activity. Landsc. Urban Plan. 2017, 167, 157–164. [Google Scholar] [CrossRef]
- Carver, S.; Quincey, D. A Conceptual Framework of Volcanic Evacuation Simulation of Merapi Using Agent-Based Model and GIS. Procedia-Soc. Behav. Sci. 2016, 227, 402–409. [Google Scholar]
- Chen, Y.; Yang, J. Historic Neighborhood Design Based on Facility Heatmap and Pedestrian Simulation: Case Study in China. J. Urban Plan. Dev. 2020, 146, 04020001. [Google Scholar] [CrossRef]
- Jia, S.; Wang, Y. Effect of Heat Mitigation Strategies on Thermal Environment, Thermal Comfort, and Walkability: A Case Study in Hong Kong. Build. Environ. 2021, 201, 107988. [Google Scholar] [CrossRef]
- Song, S.; Leng, H.; Guo, R. Multi-Agent-Based Model for the Urban Macro-Level Impact Factors of Building Energy Consumption on Different Types of Land. Land 2022, 11, 1986. [Google Scholar] [CrossRef]
- Tzvetanov, K.; Riegsecker, A.; Frantz, B.; Xiong, C.; Bott, R.; Cline, T.; Dubiel, B.; Dietz, J.E. Agent-Based Modeling for Theme Park Evacuation. J. Emerg. Manag. West. Mass 2022, 20, 157–173. [Google Scholar] [CrossRef]
- Giles-Corti, B.; Broomhall, M.H.; Knuiman, M.; Collins, C.; Douglas, K.; Ng, K.; Lange, A.; Donovan, R.J. Increasing Walking: How Important Is Distance to, Attractiveness, and Size of Public Open Space? Am. J. Prev. Med. 2005, 28, 169–176. [Google Scholar] [CrossRef]
- Owen, N.; Humpel, N.; Leslie, E.; Bauman, A.; Sallis, J.F. Understanding Environmental Influences on Walking: Review and Research Agenda. Am. J. Prev. Med. 2004, 27, 67–76. [Google Scholar] [CrossRef]
- Wang, T.; Li, Y.; Li, H.; Chen, S.; Li, H.; Zhang, Y. Research on the Vitality Evaluation of Parks and Squares in Medium-Sized Chinese Cities from the Perspective of Urban Functional Areas. Int. J. Environ. Res. Public Health 2022, 19, 15238. [Google Scholar] [CrossRef]
- Zuo, J.; Shi, J.; Li, C.; Mu, T.; Zeng, Y.; Dong, J. Simulation and Optimization of Pedestrian Evacuation in High-Density Urban Areas for Effectiveness Improvement. Environ. Impact Assess. Rev. 2021, 87, 106521. [Google Scholar] [CrossRef]
- Xu, H.; Tian, C.; Li, Y. Emergency Evacuation Simulation and Optimization for a Complex Rail Transit Station: A Perspective of Promoting Transportation Safety. J. Adv. Transp. 2020, 2020, 8791503. [Google Scholar] [CrossRef]
- Li, X.; Lv, Z.; Zheng, Z.; Zhong, C.; Hijazi, I.H.; Cheng, S. Assessment of Lively Street Network Based on Geographic Information System and Space Syntax. Multimed. Tools Appl. 2017, 76, 17801–17819. [Google Scholar] [CrossRef]
- Mohamed, A.A.; Kronenberg, J.; Łaszkiewicz, E. Integrating Space Syntax with Field Observations to Understand the Spatial Logic of Park Infrastructure. J. Asian Archit. Build. Eng. 2023, 1–19. [Google Scholar] [CrossRef]
- Mohammadi Tahroodi, F.; Ujang, N. Engaging in Social Interaction: Relationships between the Accessibility of Path Structure and Intensity of Passive Social Interaction in Urban Parks. Archnet-IJAR Int. J. Archit. Res. 2022, 16, 112–133. [Google Scholar] [CrossRef]
- Zhai, Y.; Baran, P.K.; Wu, C. Can Trail Spatial Attributes Predict Trail Use Level in Urban Forest Park? An Examination Integrating GPS Data and Space Syntax Theory. Urban For. Urban Green. 2018, 29, 171–182. [Google Scholar] [CrossRef]
- Jim, C.Y.; Chen, W.Y. Recreation–Amenity Use and Contingent Valuation of Urban Greenspaces in Guangzhou, China. Landsc. Urban Plan. 2006, 75, 81–96. [Google Scholar] [CrossRef]
- Zhang, S.; Zhou, W. Recreational Visits to Urban Parks and Factors Affecting Park Visits: Evidence from Geotagged Social Media Data. Landsc. Urban Plan. 2018, 180, 27–35. [Google Scholar] [CrossRef]













| Country | Year | Name | Area/hm2 | Source |
|---|---|---|---|---|
| United States | 1965 | Playlot | 0.02~0.45 | Standards for outdoor recreational areas |
| Playground | 0.8~2.8 | |||
| 2020 | Pocket park | ≤0.4 | Pocket park toolkit | |
| United Kingdom | 2004 | Pocket park | ≤0.4 | The London plan, spatial development strategy for Greater London |
| Australia | 2008 | Pocket park | 0.25~1 | Western Precinct open space and landscape masterplan |
| China | 2002 | Small garden | 0.4~1 | Code of urban Residential Areas Planning & Design (GB 50180-93) |
| 2014 | Neighborhood park | 0.4~1 | Standard for greening of residential districts and companies in Jiangsu province | |
| 2022 | Pocket park | ≤1 | POCKET PARK GUIDANCE OF JIANGSU (Trial 2022) | |
| 2023 | Pocket park | ≤1 | POCKET PARK GUIDANCE OF NANJING (Trial) |
Disclaimer/Publisher’s Note: The statements, opinions and data contained in all publications are solely those of the individual author(s) and contributor(s) and not of MDPI and/or the editor(s). MDPI and/or the editor(s) disclaim responsibility for any injury to people or property resulting from any ideas, methods, instructions or products referred to in the content. |
© 2024 by the authors. Licensee MDPI, Basel, Switzerland. This article is an open access article distributed under the terms and conditions of the Creative Commons Attribution (CC BY) license (https://creativecommons.org/licenses/by/4.0/).
Share and Cite
Cheng, S.; Zhang, D.; Wang, Y.; Zhang, X. Exploring the Relationships between Mini Urban Green Space Layout and Human Activity. Land 2024, 13, 871. https://doi.org/10.3390/land13060871
Cheng S, Zhang D, Wang Y, Zhang X. Exploring the Relationships between Mini Urban Green Space Layout and Human Activity. Land. 2024; 13(6):871. https://doi.org/10.3390/land13060871
Chicago/Turabian StyleCheng, Shi, Dunsong Zhang, Yijing Wang, and Xiaohan Zhang. 2024. "Exploring the Relationships between Mini Urban Green Space Layout and Human Activity" Land 13, no. 6: 871. https://doi.org/10.3390/land13060871
APA StyleCheng, S., Zhang, D., Wang, Y., & Zhang, X. (2024). Exploring the Relationships between Mini Urban Green Space Layout and Human Activity. Land, 13(6), 871. https://doi.org/10.3390/land13060871

