You are currently viewing a new version of our website. To view the old version click .
Land
  • Feature Paper
  • Article
  • Open Access

29 May 2024

Conservation Management Practices for Biodiversity Preservation in Urban Informal Green Spaces: Lessons from Central European City

,
,
,
,
and
1
Department of Remote Sensing and Environmental Assessment, Institute of Environmental Engineering, Warsaw University of Life Sciences—SGGW, Nowoursynowska 166 Str., 02-787 Warsaw, Poland
2
Section of Basic Research in Horticulture, Department of Plant Protection, Institute of Horticultural Sciences, Warsaw University of Life Sciences—SGGW, Nowoursynowska 159 Str., 02-776 Warsaw, Poland
3
Federal Institute of Education, Science and Technology of Goiano, Instituto Federal Goiano (IF Goiano), Geraldo S. Nascimento Road, Km 2.5, Urataí 75790-000, Goiás, Brazil
*
Author to whom correspondence should be addressed.
This article belongs to the Section Land, Biodiversity, and Human Wellbeing

Abstract

Urban informal green spaces (IGS) represent valuable reservoirs of biodiversity within urban areas and are increasingly recognized as integral components of green infrastructure. They are perceived as temporary ecosystems, and the management of their vegetation is relatively understudied. The development time of spontaneous vegetation on transformed lands is considered to be in the range of decades, which makes it even more necessary to provide managers with better guidelines for such a long period. Two suggested management approaches for these areas involve: (1) retaining vegetation at various stages of succession (non-forest IGS) and (2) protecting advanced developmental stages (forest IGS), with options for balanced intervention or complete non-intervention. However, the differences in biodiversity between these two types in cities across Central Europe remain unknown, as well as whether the predictors of biodiversity at both local and landscape scales are consistent for non-forest and forest IGS. We examined factors such as habitat continuity, landscape structure, soil quality, and human impact to shed light on pathways for enhancing urban floristic diversity. Conducting extensive botanical surveys in existing informal green spaces (IGS) in Warsaw, we derived various parameters, including the total number of species, Shannon-Wiener biodiversity index, hemeroby, urbanity, share of species from distinct ecological groups, and the number of rare and ancient forest plant species. Tracing habitat continuity from the early 20th century using digitized aerial imagery provided a unique long-term perspective on IGS development. We revealed that no management is pivotal for the conservation of select rare and ancient forest species. On the other hand, partial abandonment with occasional maintenance may enrich species diversity across different successional phases. We uncovered the significant influence of landscape structure and human activity on vegetation species composition within IGS. Notably, IGS proximate to extensive forest landscapes displayed a marked abundance of forest species, alongside a greater prevalence of rare species. However, the presence of other vegetation types in the vicinity did not yield similar effects. Our findings indicate that IGS, when left untouched for decades near forested areas, are valuable for urban biodiversity. As cities across the globe seek sustainable paths, this research underscores the importance of properly understanding and integrating IGS into urban ecological planning.

1. Introduction

Urban landscapes, while recognized as hubs for economic and cultural activities, are witnessing a significant decrease in plant diversity. This decline is primarily attributed to the fragmentation and loss of natural habitats, a challenge intensified by the rapid expansion of urban areas into green spaces [1,2,3,4]. Efforts to conserve urban plant diversity have traditionally been directed at safeguarding existing natural vegetation, which represents only a minor portion of urban green spaces [5,6,7]. In concentrating efforts on the limited expanse of protected areas and traditionally cultivated urban green spaces, the role of so-called informal green spaces (IGS) in contributing to urban plant diversity has recently gained more attention [8].
Originating from Rupprecht’s conceptualization [9], the term IGS encompasses a wide range of neglected urban spaces, including vacant lots, brownfields, wasteland, and similarly underutilized areas which are not typically accounted for within formal urban planning frameworks [8,10,11,12,13,14]. However, an alternative perspective considers the presence of spontaneous vegetation and minimal maintenance as key identifiers of IGS, focusing on these ecological characteristics rather than the spaces’ previous usage [8,14].
In urban planning discourse, IGS are predominantly viewed as transient entities [9,11]. This perspective is supported by research identifying these spaces as “waiting lands”: areas earmarked for future development, yet playing a critical role in a city’s ecological and social fabric [9,11]. While currently serving as temporary recreational spaces, there is a potential for these areas to transition into permanent green spaces [15]. Moreover, attempts have been made to enhance resident perceptions of these spaces; strategies such as the subtle redesign and introduction of ornamental plants into thickets and groves are proposed to improve both the aesthetic and ecological value of these areas [16,17]. This approach not only aims to elevate the visual appeal of IGS, but also to underscore their ecological significance within urban settings.
While IGS may initially appear as areas with minimal value, they have been substantiated as providers of an array of ecosystem services that benefit urban populations [8,18]. Their value extends to acting as key refuges for a wide array of plant species, including both common and rare flora, underscoring their importance in sustaining urban floristic diversity [8,19,20,21].
However, the management of vegetation in IGS presents a complex challenge. The development of spontaneous vegetation on transformed lands spans decades, with early phases of vegetation succession developing within a few years [22], while spontaneous forest stands of 40 years and older have also been observed [23,24,25]. In highly degraded sites, these ecosystems are particularly susceptible to colonization by invasive species, potentially resulting in the establishment of monocultures [8,26]. Effective management strategies are essential in such areas to guide succession toward more desirable ecological trajectories.
Addressing this need, two primary management directions have been suggested: (1) retaining vegetation at various stages of succession for non-forest IGS [10,27,28], and (2) protecting advanced developmental stages for forest IGS [11,23,24,25]. These approaches suggest either balanced intervention or complete non-intervention, respectively. Furthermore, maintaining mixed forms within a mosaic spatial structure is recommended to foster greater diversity in succession stages [10], indicating a nuanced approach to the management of IGS that considers their dynamic and evolving nature.
Maintenance practices that retain succession, including abandonment, grubbing, harrowing, mulching, or selective mowing, directly alter the successional trajectory and structural composition of these urban green spaces, impacting their biodiversity [10,29,30]. Furthermore, these practices can be utilized to achieve the greatest diversity of plant species, which is found in middle-aged communities characterized by the interplay between perennial and woody plants [29]. As succession progresses, the habitat undergoes regeneration, leading to an increase in soil bulk density and organic matter content [31]. Under favorable conditions and management, IGS vegetation can even transform into persistent semi-natural or natural communities [32,33].
Effective management of IGS is essential for promoting biodiversity, contributing to ecosystem services, and improving the quality of life for urban residents [34,35]. The unique complexity and emergence of novel ecosystems within IGS pose distinct management challenges, differing significantly from those in natural settings [36]. It is necessary to understand how factors such as pollution, invasive species, and environmental variability [10,11,21,26,37,38] shape the composition and diversity of IGS vegetation at both the local and landscape levels [39,40].
Local factors, notably the habitat’s age and quality, primarily dictate the initial plant colonization and the progression through successional stages, from predominantly annual plants to communities rich in perennial and woody species. This transition reflects the ecosystem’s maturation and increasing complexity [41,42]. Soil type and nutrient content play critical roles in shaping vegetation development, thereby affecting the biodiversity and structural composition of IGS vegetation [10,29,30,43]. Additionally, landscape-level factors, particularly the composition of the surrounding landscape mosaic, influence plant species diversity, modulating the floristic composition, including the presence of both common and rare flora, and especially affecting species with limited dispersal capabilities [42,44,45,46].
Evaluating the relationship between IGS biodiversity and management practices, including the role of habitat continuity and proximity within urban contexts, is vital for developing strategies that enhance both biodiversity and ecosystem services delivery. This approach aligns with the notion that both intentional neglect and occasional maintenance might offer sustainable pathways for IGS management, reflecting on findings that spontaneous greenery can yield benefits similar or superior to manicured spaces with minimal maintenance costs [8]. This inquiry into the optimal use and long-term stewardship of IGS considers the broader ecological restoration framework [47] and debates on the permanence of anthropogenic assemblages within IGS as either temporary stages or part of a prolonged ecosystem regeneration process [48].
The objective of this study is to analyze the floristic diversity of spontaneous vegetation of IGS in Warsaw, investigating two different types of IGS which resulted from varying management strategies: non-forest IGS (resulting from irregular tree removal) and forested IGS (totally abandoned). This involves examining IGS flora at various stages of succession of non-forest and forest IGS. An assessment was undertaken to determine which management method favors plant species richness, species composition, the occurrence of different plant ecological groups, and the presence of rare species within the urban setting. The study also explores how habitat parameters and landscape variables influence the IGS floristic diversity.
In this study, we focus on the following key research questions:
How do vegetation quality indicators vary between non-forest and forest IGS, two different management regimes in Warsaw?
How do habitat parameters and landscape variables influence vegetation quality indicators of non-forest and forest IGS?

2. Materials and Methods

2.1. Study Area

This study is set in Warsaw, the capital of Poland, positioned at geographical coordinates 52°13′56″ N 21°00′30″ E, a city with a population exceeding 1.8679 million and covering an area of 517.2 square kilometers. Warsaw is notable for its greenery, which accounts for approximately half of the city’s total surface area, according to recent data [49,50]. However, formally designated green spaces managed by public authorities (parks, green squares, cemeteries, allotment gardens, or urban forests) account for only 20% of this coverage. The remainder, therefore, falls into the category of IGS, embodying a broad spectrum of vegetation beyond formal recognition and management [50,51], differing significantly in characteristics from their formal counterparts [52,53]. Approximately 10.97% of these IGS are not subject to regular maintenance, thereby fostering spontaneous vegetation and exhibiting various stages of ecological succession [51], and are the primary focus of our research.

2.2. Study Sites

In collaboration with the Warsaw Greenery Authority, the entity responsible for overseeing urban green spaces, our research focused on identifying IGS not integrated into the city’s formal green infrastructure and lacking regular management. The Authority provided information on 40 such sites, characterized by spontaneous vegetation and minimal upkeep, excluded from regular mowing and maintenance.
Between 2017 and 2022, we conducted a comprehensive vegetation inventory and environmental assessments of the designated IGS. Our selection process involved on-site evaluations to confirm the absence of regular management, with a focus on spaces not maintained as urban lawns or other managed urban green areas. Preliminary investigations indicated significant diversity in vegetation succession stages. Sites exhibiting early succession phases, suggesting recent abandonment, were excluded from the study. Our preliminary field studies also showed that the initially examined 40 areas should be divided into individual vegetation patches. This division stemmed from the significant diversity of patches in terms of vegetation type, habitat type, and age of the patch. Thus, we divided the main areas into smaller patches belonging to two main categories, representing two types of management, based on vegetation maturity and development (Figure 1A,B).
Figure 1. The investigated types of IGS: (A) non-forest IGS, permanent open habitats resulting from the management practices of selective tree and shrub removal; (B) forest IGS, habitats resulting from total abandoned management, allowing unhampered development of forest plant communities. (C) Map showing formal and informal green spaces across Warsaw, with study plots in non-forest (white dots) and forest (black dots) IGS categories.
In the first group of IGS, which we referred to as non-forest IGS (n = 47), we observed that the succession process was withheld by selective tree removal, which resulted in the dominance of herbaceous vegetation. Herbaceous vegetation was represented by the Molinio-Arrhenatheretea, Artemisietea vulgaris, Agropyretea intermedio-repentis, and Epilobietea angustofolii phytosociological classes [54]. Preventing succession, which leads to the preservation of open habitats, typically involves selectively removing trees and shrubs every 3–5 years or less frequently. It was rather local, and resulted from management due to proximity of roads, electricity lines, housing estates, or recreational needs, or safety concerns.
The second group of vegetation patches, which we referred to as forest IGS, were characterized by uninterrupted shrub and tree development (n = 61). Those sites lacked any management; therefore, the succession process were not withheld, and woody vegetation prevailed. The vegetation of those sites was represented by the Salicetea purpureae and Querco-Fagetea classes [54]. We separated the sites into two categories, as the non-forest and forest sites might host a completely different pool of species, and this allowed us to verify this. The disproportion of forest and non-forest sites reflects the dominance of forest IGS in Warsaw [51]. The sites were located on unfenced public lands. According to the existing classification of Warsaw land use, these areas were assigned to varying types of urban green spaces: vacant lots (non-forest: 26, forest: 32), aquatic buffers (non-forest: 9, forest: 17), and brownfields (non-forest: 12, forest: 12). The sites were scattered all around the city, covering the entire city center to suburb gradient. The site areas varied from 1 ha up to 700 ha (Figure 1C).
In each of the preselected vegetation patches, we established vegetation plots. We randomly selected one plot per each vegetation patch, which was representative but also distant from neighboring vegetation types in order to avoid edge effect. Depending on the vegetation types, we established sample sizes of 100 m2 for forested plots and 16 m2 for non-forested plots, according to general guidelines of vegetation inventory for varying ecosystem types [55]. We recorded all vascular plants and documented both the species present and their percentage cover, twice a year, in April and June. We recorded the percentage cover of canopy (a), shrub (b), and herbaceous floor (c) vegetation. To make sure we covered all species, especially those which might not have been visible in each year, we revisited all plots in 2019 and 2020. The data on species occurrence and vegetation composition were further used for calculation of vegetation quality indices.
During phytosociological surveys, we noticed that the surveyed plots were significantly populated by non-native species. Some of these species are listed on the national list of invasive species [56] and pose a significant threat to native flora and habitats [57]. Among them, the most abundant species were Acer negundo, Quercus rubra, Robinia pseudoacacia, Solidago canadensis, and Solidago gigantea. We treated this group of five species as the entire set of invasive species in our analyses.

2.3. Vegetation Quality of IGS

Based on data collected in the field, we were able to calculate vegetation quality indicators. We selected a set of vegetation-based indicators that are commonly used in ecological studies. These indicators were calculated for each vegetation plot. The indicators included the total number of species, the Shannon-Wiener index, hemeroby and urbanity indices, the share of species from specific ecological groups, and the presence of rare and ancient forest plant species (Table 1). We also considered indicators reflecting high disturbance and anthropogenic pressure, including the share of invasive plant species (i.e., non-native species that were introduced by humans, either deliberately or accidentally after year 1500) [58,59].
Table 1. Vegetation quality indicators in non-forest and forest IGS plots.

2.4. Factors Affecting IGS Vegetation

In order to investigate the relationships between biophysical and ecological parameters and the vegetation quality indicators in the non-forest and forest IGS, we investigated a set of parameters which, based on the literature review, could affect the vegetation structure and composition of the sites (Table 2). Soil contamination has the potential to inhibit vegetation development. Therefore, along with the vegetation study, we collected soil samples for analysis. We measured soil pH level through potentiometry, and examined samples for the presence of potentially harmful elements, such as Cd, Ni, Cr, Cu, Zn, and Pb, which served as an indirect index of anthropogenic pressure on the habitat. Soil samples were collected for each plot in three trials and were taken using an Egner rod from the 0–20 cm layer. Heavy metals content was assessed using an atomic absorption spectrophotometer on dried soil subjected to extraction in hydrogen peroxide, following the PN-ISO 11047: 2001 standard. We also took into account population density in the neighboring areas, which was extracted based on a 500 m [67] buffer zone.
We assessed habitat continuity back to the early 20th century using a series of digitized aerial photographs and historical maps. For each location we traced back whether there was a change in the land use, and noted the duration of the period since the most recent change up until 2021 [29,43,68,69]. We investigated a set of materials dated since the beginning of the 20th century. We used a series of digitized aerial photos (1935, 1939, 1945, 1957, 1959, 1963, 1967, 1968, 1972, 1974, 1976, 1977, 1978, 1981, 1982, 1986, 1987, 1990, 1992, 1993, 1994, 1996, 1997, 1999, 2001, 2005, 2008, 2010, 2011, 2012, 2013, 2014, 2015, 2016, 2017, 2018, 2019, 2020; http://mapa.um.warszawa.pl (accessed on 15 June 2023) and https://mapy.geoportal.gov.pl/imap/Imgp_2.html (accessed on 15 June 2023)). For verification, we also used military maps of the Russian Empire at a scale of 1:10,000 (for the beginning of the 20th century) and available vegetation maps [70,71,72]. We digitized historical orthophotomaps and compared historical material with current orthophotos and maps (from 2021, scale 1:10,000) using QGIS 3.16. After initial analyses, we distinguished six types of land use classes occurring throughout the period we analyzed, which were arable lands, cultivated grasslands and pastures, built-up areas, gardens and orchards, waterbodies, and others. Theses six types of land use were included as parameters in the regression analyses. The habitat continuity indicator was the length of the period since the last recorded land use class.
Table 2. Parameters related to anthropogenic pressure and habitat quality assessed for non-forest and forest IGS.
Table 2. Parameters related to anthropogenic pressure and habitat quality assessed for non-forest and forest IGS.
IndicatorDescription and Literature
Trampling Number of inhabitants in 500 m buffer zone [67]Number of people living within 500 m according to the Central Statistical Office [49], based on the PESEL database. A greater number of people residing in the vicinity of IGS (buffer zone) results in increased pressure due to a higher number of users. This pressure mainly manifests through trampling, which, in turn, affects the vegetation composition [73].
Soil qualitypHDetermined by potentiometry.
Cd, Ni, Cr, Cu, Zn, PbIndirect index of anthropopressure in habitat. Determined on the basis of the norm PN-ISO 11047: 2001
Habitat continuity The period measured from the occurrence of permanent land use transformation resulting from human activities, such as the cessation of economic or agricultural activity or landscaping activities. Habitat continuity is considered a key factor in many biodiversity indicators. High biodiversity and many habitat specialist species are linked to long-term habitat continuity [74].
Neighborhood of study plot (100 m buffer) low vegetation, high vegetation, without vegetationShare of high and low vegetation in vicinity of study plot. Connectivity to other vegetation patches play important role in providing new species [75,76]. Forest habitats tend to be more reliable on connectivity to other forested patches, due to low seed dispersion of many species [77,78].
Patch size [m2] The surface area of each vegetation patch within which vegetation plots were located. The positive effects of habitat patch size on biodiversity manifest in the increased species richness, diversity, and overall ecological health within larger and more extensive habitat patches [79].
Former land use typeArable lands
Cultivated grasslands and pastures
Built-up areas
Waterbodies
Gardens and orchards
Other
Previous land use of IGS area. Previous land use has a key impact on soil structure and carbon, nitrogen, and phosphorus contents [80], which affects succession and vegetation composition [81].
During the field study, we identified the surface areas of each patch of vegetation. The mapping process was based on field measurements using a handheld GPS device and orthophotomap mapping. Subsequently, we measured the surface area of each mapped area, defining its size as the ‘patch size’. We assessed the vegetation in the neighborhood of studied plots, using LiDAR and spectral imagery at a 1 × 1 m resolution. Using the thresholding method, we divided the vegetation into three land use types: low vegetation, high vegetation, and areas without vegetation. We defined low vegetation as vegetation below 2 m, and high vegetation as vegetation above 2 m. We quantified the proportion of these land use types within a 100 m buffer from the center of each studied plot. We tested different buffer sizes and found that a 100 m radius best captured the variability while avoiding the dominance of one or two habitat types and maintaining practicality in an urban environment. This information was then utilized in regression analysis. All spatial analyses were performed in QGIS 3.16 software.

2.5. Statistical Analysis

In order to investigate the differences in terms of vegetation composition, structure, and naturalness between the two distinguished IGS types (non-forest and forest), we calculated comparative statistics. We used ANOVA [82] for those indicators that followed a normal distribution, and Wilcoxon rank-sum test [83] with continuity correction for those parameters which did not follow normal distribution.
To identify the factors influencing vegetation quality parameters in IGS, we employed econometric modeling methods (Table 3). Distinct models were applied based on the characteristics of the dependent variables. Models for vegetation quality indicators considered five different metrics as dependent variables: number of species, ancient forest species, rare species, hemeroby, and urbanity. Meanwhile, models for vegetation composition took three different indicators as dependent variables: the share of forest species, the share of grassland species, and the share of invasive species. In all models, the list of explanatory variables included: habitat continuity, high vegetation in the vicinity, low vegetation in the vicinity, without vegetation in the vicinity, patch size, and variables related to former land use. We assessed the impact of these factors on biodiversity and vegetation structure separately for the sub-sample of observations for non-forest and forest IGS. For rare plant species and ancient forest plant species, we used the quasi-Poisson regression [84]. The shares of forest, grassland, and invasive species, as the dependent variables, were estimated using the beta regression [85]. For other dependent variables, we used linear regression models, with the dependent variable transformed following the Box-Cox test [86]. In each of the models, we tested the residuals for the presence of spatial autocorrelation, heteroscedasticity, and normality of distribution. To test the residuals for the presence of spatial autocorrelation, we used Moran’s I with the k-nearest neighbors method to create the spatial weight matrix [87]. To check the residuals for the presence of heteroscedasticity, we used the Breusch–Pagan test [88], while the normality of distribution was verified using the Shapiro–Wilk test [89]. The stepwise regression was performed to eliminate statistically insignificant explanatory variables [90]. For analyses, we used R Cran 4.2.3. with the MASS [91], olsrr [92], lmtest [93], plm [94], betareg [95], and gamlss [96] packages.
Table 3. Dependent and explanatory variables used in regression analyses.

3. Results

3.1. Vegetation of Non-Forest and Forest IGS

Both investigated IGS types (non-forest IGS and forest IGS) were characterized by similar habitat continuity, and their current management type defines their structure and vegetation composition (Table 4). We noted significant differences between the two distinguished types in terms of their structure and composition. In forest IGS, the tree layer comprised 78.54%, the shrub layer comprised 33.49%, and the ground layer made up 66.14%. In non-forest IGS, the tree layer accounted for 7.05%, the shrub layer for 10.23%, and the herbaceous layer for 97.34%.
Table 4. Mean values of habitat continuity, vegetation quality indicators, trampling, and soil quality. Statistically significant differences between non-forest and forested IGS, based on ANOVA and Wilcoxon rank-sum tests, are highlighted in bold.
Invasive plant species made up a high share of vegetation in both IGS types, but their percentage cover seldom exceeded 40%. The proportion of invasive species also varied noticeably across different vegetation layers. In forest IGS, invasive species constituted nearly one-third of the total tree layer, at 32.79%, whereas in non-forest IGS, they made up only 3.38%. In contrast, non-forest IGS exhibited a 21.62% proportion of invasive species in the herbaceous layer, while in forest IGS, the share of invasive species in the herbaceous layer was half that size.
The IGS type was not linked to the overall floristic richness, hemeroby, and urbanity indicators. The major visible difference was the significantly higher number of plant species in non-forest IGS, where the mean value of the number of species was 15.60; in forest IGS, it was 12.70. At the same time, the forested IGS hosted a higher number of rare species and ancient forest species. In non-forest IGS, the total number of identified rare plant species was 15 (File S1. The two most frequently encountered species were Potentilla recta and Trifolium alpestre. In the case of forest IGS, the total number of identified rare plant species was 28, with the most common being Anemone ranunculoides and Stellaria holostea. The investigated IGS, therefore, harbored distinct sets of rare plant species, and only two species, Epilobium montanum and Stellaria holostea, were found in both types of IGS.
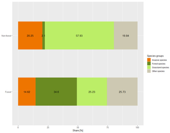
Significant differences between these two types of IGS were also found in the proportions of species from different ecological groups (Figure 2). Forest IGS were distinctly dominated by forest species, accounting for 34.6%, while in non-forest IGS, those species occupied only 2.1% on average. The most frequently encountered forest species were Acer plantanoides, Tilia cordata, and Populus canescens. On the other hand, non-forest IGS were dominated by grassland species, constituting 57.93%, while in forest IGS, an average of 25.23% of the spaces were occupied by this group. The most frequently encountered grassland species were Calamagrostis epigejos, Poa pratensis, and Dactylis glomerata.
Figure 2. The share of species from different ecological groups in IGS.
All investigated IGS were comparable in terms of soil pH and heavy metals content. None of the parameters tested exceeded the contamination norms (Dz. U. z 2016 r. poz. 1395*), which could significantly hamper vegetation growth and vegetation composition (Table 4). We also noted comparable population density in the neighborhoods of investigated IGS, as the IGS sites were within easily accessible range for approximately 3000 residents living in the 500 m buffer zone, regardless of IGS vegetation type.
* Rozporządzenie Ministra Środowiska z dnia 1 września 2016 r. w sprawie sposobu prowadzenia oceny zanieczyszczenia powierzchni ziemi: The Regulation of the Minister of the Environment of 1 September 2016, regarding the method of conducting the assessment of land surface pollution.

3.2. Factors Affecting Vegetation Structure and Biodiversity Indicators of Non-Forest and Forest IGS

Our multiple regression analyses on vegetation quality indicators across two types of IGS, non-forest and forest, identified a statistically significant influence of three primary factors: habitat continuity, former land use as built-up area, and the presence of high vegetation in the vicinity. The impact of these factors varied across different biodiversity indicators and IGS types.
Habitat continuity emerged as the most critical factor influencing vegetation composition across both IGS types. In forest IGS, high habitat continuity was positively correlated with the presence of forest species, rare species, ancient forest species, and total number of species (Table 5 and Table 6). It also played a role in reducing the occurrence of invasive species and hemeroby. However, in non-forest IGS, habitat continuity was positively correlated with the total number of species, and negatively related to hemeroby.
Table 5. Results of regression analysis, factors that influence vegetation quality indicators of IGS (values in table represents coefficient values; * indicates statistical significance, where *** = 0.000; ** = 0.001; * = 0.01).
Table 6. Results of regression analysis, factors that influence vegetation composition of IGS (values in table represents coefficient values; * indicates statistical significance, where *** = 0.000; ** = 0.001; * = 0.01).
The impact of previous land use as built-up area varied markedly between non-forest and forest IGS. In forest IGS, such land use had a negative effect on the total number of species, contrasting with non-forest IGS, where it surprisingly favored a higher total number of species. This factor, alongside gardens and orchards as previous land uses, was also associated with a higher proportion of invasive species in non-forest IGS (Table 5 and Table 6).
The presence of high vegetation in the vicinity influenced vegetation quality in non-forest IGS. The high share of high vegetation in the vicinity was positively correlated with hemeroby, while it was negatively correlated with the total number of species. Our analysis also pointed to the selective influence of the closest neighborhood on species composition in forest IGS. A higher share of high vegetation areas nearby favored the occurrence of forest species such as Adoxa moschatellina, Circaea alpina, and Ribes spicatum, but did not significantly affect the share of other groups or the total number of rare plant species.

4. Discussion

In discussing the role of urban IGS in enhancing urban biodiversity, our findings underline the significant yet differentiated contributions of non-forest and forest IGS, which are the result of two varying management regimes in Warsaw: selective tree removal leading to preservation of open habitats, and unhampered succession leading to the development of forest ecosystems, respectively.

4.1. Factors Shaping Informal Green Spaces

It is assumed that the minimalization of human intervention enables natural succession processes and amplifies biodiversity [97,98]. In our study, most parameters linked to floristic richness and overall vegetation quality indicators were explained by habitat continuity. The longer the time since the habitat was degraded and land use change occurred, the higher the number of species present, and the higher the values of naturalness indicators (Table 5 and Table 6). We did not record relationships with the Shannon diversity index, which may be attributed to the frequent dominance of ruderal species. Habitat continuity generally plays a crucial role in preserving species associated with forests [61,99] and grasslands [100], and in supporting overall floristic diversity in cities [101]. Specifically, in forest IGS, habitat continuity is essential for promoting the presence of rare and ancient forest plant species, which often have very low seed dispersal capabilities [61]. IGS should be therefore perceived as areas designated for long-term ecological restoration [8,9,102].
The vegetation composition of IGS also results from the land use type before the abandonment of cultivation. Among the investigated types, we found that only sites which were former gardens and orchards or built-up areas had significant influence (Table 6). We found a link between former land use as built-up areas, gardens, and orchards with a high share of invasive plant species (Table 6). According to the literature, gardens near homes and allotment gardens may be the biggest potential source of alien and invasive species [103,104,105,106]. Many invasive species were introduced into the native flora as ornamental plants in gardens [107]. After the cessation of use of these areas, the seed base remained in the soil, allowing for the continued development and spread of invasive species [108].
Urban green patches typically differ from surrounding natural habitats in species richness and interactions [109,110,111]. Alien species, in particular, interact with local species and alter ecosystem succession [112,113]. An important factor in these conditions might be seed dispersal, which drives an urban-specific pattern of plant community formation [114]. While seed dispersal in cities has been studied [115,116,117], its overall impact on the development of new ecosystems remains poorly understood [118].
The presence of adjacent forested areas distinctly benefits the diversity of species within IGS. However, our study indicates that this factor is primarily significant for forest IGS, and the formation of new patches. The proximity of other forest patches allows for the colonization of younger patches by forest species. This proximity might be crucial for enhancing species richness through vegetation regeneration, offering a lifeline, especially to species that are hampered by limited dispersal capabilities [78,114,119]. In contrast, for non-forest IGS patches, this proximity has a distinctly negative impact. It does not result in any changes in the share of grassland and forest species, although it has a significant positive impact on hemeroby.

4.2. Impact of Management Regimes on Non-Forest and Forest IGS

A common misconception among IGS managers is the belief that these spaces require minimal management effort [51]. This perspective has led to instances where IGS are converted into parks and subjected to intensive cultivation practices [8,15]. Yet, an emerging body of evidence advocates for alternative, low-maintenance approaches to IGS management that prioritize biodiversity conservation without the need for intensive human intervention. This evolving perspective encourages a shift towards two primary management strategies: one advocating for the complete cessation of maintenance activities, and another promoting selective management practices, such as the occasional removal of invasive species or management interventions aimed at preserving open habitats. These strategies, which diverge from conventional formal greenery management practices, are recognized for their unique contributions to enhancing urban biodiversity, as demonstrated by our study.
In the context of non-forest IGS management, the trajectory of spontaneous vegetation development is pivotal, typically commencing with herbaceous vegetation in the early years before transitioning to tree dominance after 14–18 years [10,120].
The strategic interruption of this ecological succession at the non-forest IGS stage is advocated by numerous researchers [10,27,28], although specific interventions are less frequently delineated. Among the suggested measures, regular mowing to preserve early successional stages is noted [121], alongside more detailed strategies like the enhancement of grassland areas through the introduction of meadow species and systematic mowing. These practices are aimed at establishing vegetation typical of oligotrophic grassy ecosystems within a few years [26,122,123,124].
The proliferation of expansive herbaceous species, such as Solidago canadensis and Solidago gigantea, can play a critical role in delaying this transition, effectively postponing tree encroachment [120]. However, our research shows that invasive species are numerous in these spaces, especially in the herbaceous layer. In extreme cases, monospecific habitats may occur, in which the total number of plant species regresses with age [125,126,127]. The negative effects of these monospecific patches extend beyond plants, adversely impacting animals as well [128,129]. Therefore, it seems that the management of these areas cannot be limited only to stopping the stages of succession; there is also a need for controlling the excessive expansion of invasive species. A more comprehensive approach is needed. Proposed actions include the removal of invasive species to facilitate the restoration of native plant-based habitats [130]. Revegetation appears to be particularly effective in grasslands, as reported by many researchers [131,132,133].
Our observations within this study also identified patches where the sporadic cutting of tree and shrub shoots, undertaken for technical or recreational reasons, maintained a dominance of ruderal plants over several decades. Although such management practices are common in urban settings, they are seldom documented over extended periods. This approach not only achieves desirable visual outcomes [22] but also enhances the provision of regulating ecosystem services [18], and promotes a rich diversity of species characteristic of both early successional phases and grassland habitats. In these managed patches, a distinct assembly of rare species has been documented (Table 4 and File S1), diverging significantly from those found in forested IGS. Notably, non-forest IGS exhibit a higher total number of species, a diversity likely attributable to the mixture of species from various successional stages [134], underscoring the ecological richness and management implications of these urban green spaces.
In the case of forest IGS, the strategy of ceasing management and allowing unhampered vegetation growth to culminate in forest plant communities has gained significant attention [8,11,23,25]. The higher number of ancient forest and rare species within these spaces (File S1) correlates with higher habitat continuity, signaling a trend towards greater habitat stability and resilience over time. Moreover, the ageing of these areas contributes to a reduced prevalence of invasive species, with older forest IGS sites demonstrating a marked resilience to such invasions, a phenomenon supported by extensive literature [135,136,137]. The transition towards managing IGS as forest ecosystems is further justified by their augmented capacity to provide regulating ecosystem services, attributed to the dense, multilayered vegetation characteristic of these environments [18,138].
The preservation and thoughtful management of both types of IGS are paramount to enriching urban ecological landscapes. On one end, periodic tree removal within non-forest IGS can foster a dynamic, transitional habitat teeming with diverse plant life. On the other, forest IGS left undisturbed can become sanctuaries for rare and ancient forest plant species, underscoring the vital role of both management approaches in bolstering urban biodiversity. This dual approach not only accommodates a wide array of plant diversity but also ensures the representation of rare and ancient forest plant species, reinforcing the critical importance of maintaining diverse IGS types to enhance urban biodiversity as a whole [10].

4.3. Limitations of the Study

Our study, despite being based on detailed environmental research conducted in existing established IGS, was not without limitations. We excluded from the study pioneer phases of succession and their diversity, which can be poorly perceived by the city residents [10]. However, such areas do exist within the mosaic of spontaneous vegetation patches in varying succession stages, and cannot be excluded from the broader analysis of IGS, their role in cities, and their management. In our case we did not find a sufficient number of sites which would represent areas where such an early development phase would be consequently maintained over a longer period of time in this form, apart from post-industrial sites of limited size.
The selected areas were not critically polluted. While their level of contamination was similar to cultivated urban green spaces in Warsaw [139], they were also lower than in post-industrial heavily degraded sites [140]. In IGS, we investigated only point anomalies, which were results of historic management and post-war usage of debris from buildings to build paths in Warsaw parks [139]. Management of IGS in post-industrial sites does require a more nuanced and engineering approach.
Most importantly, our study took into account a limited number of biophysical factors which might be related to vegetation development, representing a field for future studies to consider. We also observed only the result of vegetation composition; while we do not have exact data on tree removal frequency and extent, the broad set of existing IGS in Warsaw provides an interesting field for examining the management implications of such vegetation for biodiversity preservation. The management of non-forest IGS involved irregular removal of woody stems and trees, using varying techniques and machinery with different levels of intensity and frequency. Since these practices were not documented, they might have influenced the outcome results.

4.4. Management Guidelines for IGS

The planning and management of IGS should be considered an integral part of the urban landscape, emphasizing the enhancement of ecological connectivity. This is particularly crucial for animal species that depend on the connectivity between patches [141,142]. For disturbed IGS patches lacking a seed bank, additional measures such as seeding and planting or facilitating seed dispersal from adjacent areas are necessary, especially with species characteristic of more mature successional phases.
The vegetation of IGS, is temporary but serves as a site for ecological regeneration. Future interventions in these spaces should not undermine accumulated ecological benefits such as biodiversity preservation, carbon sequestration, or community attachment to these areas. Such interventions should prioritize leisure infrastructure without significantly diminishing the biodiversity value and ‘wild’ nature of IGS [143,144]. In forest IGS, conservation strategies should aim to minimize any activities, especially those involving the removal of shrub and tree biomass, to support diversity and natural development.
The management of IGS vegetation often stems from recreational or technical needs, but it is advised to maintain vegetation in a mosaic spatial structure to foster greater diversity in successional stages [10]. This mosaic, due to its superior ecosystem service ratings and natural quality of wooded vegetation, should be dominated by late successional phases [8]. Such diverse patches can support specific species groups, including butterflies that prefer certain nectar plants [145].
Implementing measures to control invasive species and promote the growth of native plants is essential for maintaining balanced ecological dynamics [146].
Encouraging citizen science projects can elevate public appreciation for IGS, contributing to biodiversity monitoring and conservation efforts [147]. These initiatives not only enhance biodiversity awareness but also cultivate a sense of community ownership over local green spaces, leading to more effective and sustainable management [148].

5. Conclusions

IGS serve as refuges for urban biodiversity, harboring an array of species, including rare species, thereby underscoring their potential in biodiversity conservation within urban ecosystems.
Our comprehensive study on IGS biodiversity in a major Polish city largely supports results from studies in other geographical contexts. The vegetation of IGS, while temporary in nature, plays a crucial role in the regeneration of urban ecosystems. This underscores the importance of preserving and managing these spaces to foster ecological resilience and biodiversity within city environments.
The landscape structure and the surrounding environment significantly influence vegetation quality in IGS, particularly in forest IGS. Proximity to other forested areas favors a higher number of forest species, highlighting the importance of maintaining connectivity between patches of habitats in urban planning.
Proper management of IGS offers novel opportunities to enhance urban biodiversity. Establishing mosaics with a dominance of forest IGS appears to be a viable compromise for balancing conservation and recreational needs.
Long-term abandonment of IGS significantly enhances floristic diversity and reduces the presence of ruderal species, regardless of the management approach employed. Previous land use has an additional impact; areas previously developed or used as gardens exhibit a higher abundance of invasive species.

Supplementary Materials

The following supporting information can be downloaded at: https://www.mdpi.com/article/10.3390/land13060764/s1, File S1 and S2.

Author Contributions

Conceptualization, P.A., D.S. and P.S.; methodology, P.A., D.S., M.W.-K., A.P., A.R.D.S. and P.S.; formal analysis, P.A. and A.R.D.S.; investigation, P.A., M.W.-K., A.P. and P.S.; data curation, P.A.; writing—original draft preparation, P.A. and D.S.; writing—review and editing, D.S. and P.S.; visualization, P.A.; supervision, P.S.; All authors have read and agreed to the published version of the manuscript.

Funding

This research was funded by National Science Centre (Poland), grant number 2020/39/B/HS4/03240.

Data Availability Statement

The data supporting reported results can be found in the Supplementary Materials.

Conflicts of Interest

The authors declare no conflicts of interest.

References

  1. Kühn, I.; Klotz, S. Urbanization and Homogenization—Comparing the Floras of Urban and Rural Areas in Germany. Biol. Conserv. 2006, 127, 292–300. [Google Scholar] [CrossRef]
  2. Lososová, Z.; Chytrý, M.; Danihelka, J.; Tichý, L.; Ricotta, C. Biotic Homogenization of Urban Floras by Alien Species: The Role of Species Turnover and Richness Differences. J. Veg. Sci. 2016, 27, 452–459. [Google Scholar] [CrossRef]
  3. Pyšek, P.; Chocholousková, Z.; †Pyšek, A.; Jarošík, V.; Chytrý, M.; Tichý, L. Trends in Species Diversity and Composition of Urban Vegetation over Three Decades. J. Veg. Sci. 2004, 15, 781–788. [Google Scholar] [CrossRef]
  4. Simkin, R.D.; Seto, K.C.; McDonald, R.I.; Jetz, W. Biodiversity Impacts and Conservation Implications of Urban Land Expansion Projected to 2050. Proc. Natl. Acad. Sci. USA 2022, 119, e2117297119. [Google Scholar] [CrossRef] [PubMed]
  5. Croci, S.; Butet, A.; Georges, A.; Aguejdad, R.; Clergeau, P. Small Urban Woodlands as Biodiversity Conservation Hot-Spot: A Multi-Taxon Approach. Landsc. Ecol. 2008, 23, 1171–1186. [Google Scholar] [CrossRef]
  6. Myers, N.; Mittermeier, R.A.; Mittermeier, C.G.; da Fonseca, G.A.B.; Kent, J. Biodiversity Hotspots for Conservation Priorities. Nature 2000, 403, 853–858. [Google Scholar] [CrossRef] [PubMed]
  7. Nilon, C.H.; Aronson, M.F.J.; Cilliers, S.S.; Dobbs, C.; Frazee, L.J.; Goddard, M.A.; O’Neill, K.M.; Roberts, D.; Stander, E.K.; Werner, P.; et al. Planning for the Future of Urban Biodiversity: A Global Review of City-Scale Initiatives. BioScience 2017, 67, 332–342. [Google Scholar] [CrossRef]
  8. Sikorski, P.; Gawryszewska, B.; Sikorska, D.; Chormański, J.; Schwerk, A.; Jojczyk, A.; Ciężkowski, W.; Archiciński, P.; Łepkowski, M.; Dymitryszyn, I.; et al. The Value of Doing Nothing—How Informal Green Spaces Can Provide Comparable Ecosystem Services to Cultivated Urban Parks. Ecosyst. Serv. 2021, 50, 101339. [Google Scholar] [CrossRef]
  9. Rupprecht, C.D.D.; Byrne, J.A. Informal Urban Greenspace: A Typology and Trilingual Systematic Review of Its Role for Urban Residents and Trends in the Literature. Urban For. Urban Green. 2014, 13, 597–611. [Google Scholar] [CrossRef]
  10. Bonthoux, S.; Brun, M.; Di Pietro, F.; Greulich, S.; Bouché-Pillon, S. How Can Wastelands Promote Biodiversity in Cities? A Review. Landsc. Urban Plan. 2014, 132, 79–88. [Google Scholar] [CrossRef]
  11. Kowarik, I. Novel Urban Ecosystems, Biodiversity, and Conservation. Environ. Pollut. 2011, 159, 1974–1983. [Google Scholar] [CrossRef] [PubMed]
  12. Luo, S.; Patuano, A. Multiple Ecosystem Services of Informal Green Spaces: A Literature Review. Urban For. Urban Green. 2023, 81, 127849. [Google Scholar] [CrossRef]
  13. Planchuelo, G.; Kowarik, I.; von der Lippe, M. Endangered Plants in Novel Urban Ecosystems Are Filtered by Strategy Type and Dispersal Syndrome, Not by Spatial Dependence on Natural Remnants. Front. Ecol. Evol. 2020, 8, 18. [Google Scholar] [CrossRef]
  14. Włodarczyk-Marciniak, R.; Sikorska, D.; Krauze, K. Residents’ Awareness of the Role of Informal Green Spaces in a Post-Industrial City, with a Focus on Regulating Services and Urban Adaptation Potential. Sustain. Cities Soc. 2020, 59, 102236. [Google Scholar] [CrossRef] [PubMed]
  15. Rall, E.L.; Haase, D. Creative Intervention in a Dynamic City: A Sustainability Assessment of an Interim Use Strategy for Brownfields in Leipzig, Germany. Landsc. Urban Plan. 2011, 100, 189–201. [Google Scholar] [CrossRef]
  16. Köppler, M.-R.; Kowarik, I.; Kühn, N.; von der Lippe, M. Enhancing Wasteland Vegetation by Adding Ornamentals: Opportunities and Constraints for Establishing Steppe and Prairie Species on Urban Demolition Sites. Landsc. Urban Plan. 2014, 126, 1–9. [Google Scholar] [CrossRef]
  17. Schröder, R.; Kiehl, K. Ecological Restoration of an Urban Demolition Site through Introduction of Native Forb Species. Urban For. Urban Green. 2020, 47, 126509. [Google Scholar] [CrossRef]
  18. Przybysz, A.; Wińska-Krysiak, M.; Małecka-Przybysz, M.; Stankiewicz-Kosyl, M.; Skwara, M.; Kłos, A.; Kowalczyk, S.; Jarocka, K.; Sikorski, P. Urban Wastelands: On the Frontline between Air Pollution Sources and Residential Areas. Sci. Total Environ. 2020, 721, 137695. [Google Scholar] [CrossRef] [PubMed]
  19. Fischer, L.K.; Honold, J.; Cvejić, R.; Delshammar, T.; Hilbert, S.; Lafortezza, R.; Nastran, M.; Nielsen, A.B.; Pintar, M.; van der Jagt, A.P.N.; et al. Beyond Green: Broad Support for Biodiversity in Multicultural European Cities. Glob. Environ. Change 2018, 49, 35–45. [Google Scholar] [CrossRef]
  20. Planchuelo, G.; von Der Lippe, M.; Kowarik, I. Untangling the Role of Urban Ecosystems as Habitats for Endangered Plant Species. Landsc. Urban Plan. 2019, 189, 320–334. [Google Scholar] [CrossRef]
  21. Rupprecht, C.D.D.; Byrne, J.A.; Garden, J.G.; Hero, J.-M. Informal Urban Green Space: A Trilingual Systematic Review of Its Role for Biodiversity and Trends in the Literature. Urban For. Urban Green. 2015, 14, 883–908. [Google Scholar] [CrossRef]
  22. Brun, M.; Di Pietro, F.; Bonthoux, S. Residents’ Perceptions and Valuations of Urban Wastelands Are Influenced by Vegetation Structure. Urban For. Urban Green. 2018, 29, 393–403. [Google Scholar] [CrossRef]
  23. Hotta, K.; Ishii, H.; Sasaki, T.; Doi, N.; Azuma, W.; Oyake, Y.; Imanishi, J.; Yoshida, H. Twenty-One Years of Stand Dynamics in a 33-Year-Old Urban Forest Restoration Site at Kobe Municipal Sports Park, Japan. Urban For. Urban Green. 2015, 14, 309–314. [Google Scholar] [CrossRef]
  24. Kowarik, I.; Hiller, A.; Planchuelo, G.; Seitz, B.; von der Lippe, M.; Buchholz, S. Emerging Urban Forests: Opportunities for Promoting the Wild Side of the Urban Green Infrastructure. Sustainability 2019, 11, 6318. [Google Scholar] [CrossRef]
  25. Sasaki, T.; Ishii, H.; Morimoto, Y. Evaluating Restoration Success of a 40-Year-Old Urban Forest in Reference to Mature Natural Forest. Urban For. Urban Green. 2018, 32, 123–132. [Google Scholar] [CrossRef]
  26. Archiciński, P.; Sikorski, P.; Sikorska, D.; Przybysz, A. Roślinność wieloletnich nieużytków miejskich—Systematyka zbiorowisk, ich struktura i pełnione usługi ekosystemowe = Vegetation of perennial urban wastelands—Syntaxonomy, structure and ecosystem services. Prz. Geogr. 2021, 93, 341–363. [Google Scholar] [CrossRef]
  27. Kattwinkel, M.; Biedermann, R.; Kleyer, M. Temporary Conservation for Urban Biodiversity. Biol. Conserv. 2011, 144, 2335–2343. [Google Scholar] [CrossRef]
  28. Meffert, P.J.; Dziock, F. What Determines Occurrence of Threatened Bird Species on Urban Wastelands? Biol. Conserv. 2012, 153, 87–96. [Google Scholar] [CrossRef]
  29. Muratet, A.; Machon, N.; Jiguet, F.; Moret, J.; Porcher, E. The Role of Urban Structures in the Distribution of Wasteland Flora in the Greater Paris Area, France. Ecosystems 2007, 10, 661–671. [Google Scholar] [CrossRef]
  30. Rebele, F. Differential Succession towards Woodland along a Nutrient Gradient. Appl. Veg. Sci. 2013, 16, 365–378. [Google Scholar] [CrossRef]
  31. Yuan, X.; Guo, Z.; Wang, S.; Zhao, L.; Yuan, M.; Gao, Y.; Huang, L.; Liu, C.; Duan, C. Drivers and Mechanisms of Spontaneous Plant Community Succession in Abandoned PbZn Mining Areas in Yunnan, China. Sci. Total Environ. 2023, 904, 166871. [Google Scholar] [CrossRef] [PubMed]
  32. Dyderski, M.K.; Wrońska-Pilarek, D.; Jagodziński, A.M. Ecological Lands for Conservation of Vascular Plant Diversity in the Urban Environment. Urban Ecosyst. 2017, 20, 639–650. [Google Scholar] [CrossRef]
  33. Twerd, L.; Banaszak-Cibicka, W. Wastelands: Their Attractiveness and Importance for Preserving the Diversity of Wild Bees in Urban Areas. J. Insect Conserv. 2019, 23, 573–588. [Google Scholar] [CrossRef]
  34. Schebella, M.F.; Weber, D.; Schultz, L.; Weinstein, P. The Wellbeing Benefits Associated with Perceived and Measured Biodiversity in Australian Urban Green Spaces. Sustainability 2019, 11, 802. [Google Scholar] [CrossRef]
  35. Taylor, L.; Hochuli, D.F. Creating Better Cities: How Biodiversity and Ecosystem Functioning Enhance Urban Residents’ Wellbeing. Urban Ecosyst. 2015, 18, 747–762. [Google Scholar] [CrossRef]
  36. Hobbs, R.J.; Arico, S.; Aronson, J.; Baron, J.S.; Bridgewater, P.; Cramer, V.A.; Epstein, P.R.; Ewel, J.J.; Klink, C.A.; Lugo, A.E.; et al. Novel Ecosystems: Theoretical and Management Aspects of the New Ecological World Order. Glob. Ecol. Biogeogr. 2006, 15, 1–7. [Google Scholar] [CrossRef]
  37. Hobbs, R.J.; Higgs, E.S.; Hall, C.M. (Eds.) Novel Ecosystems: Intervening in the New Ecological World Order; John Wiley & Sons, Ltd.: Chichester, UK, 2013; ISBN 978-1-118-35418-6. [Google Scholar]
  38. Lososová, Z.; Horsák, M.; Chytrý, M.; Čejka, T.; Danihelka, J.; Fajmon, K.; Hájek, O.; Juřičková, L.; Kintrová, K.; Láníková, D.; et al. Diversity of Central European Urban Biota: Effects of Human-Made Habitat Types on Plants and Land Snails: Biodiversity of Central European Cities. J. Biogeogr. 2011, 38, 1152–1163. [Google Scholar] [CrossRef]
  39. Miao, X.; Pan, Y.; Chen, H.; Zhang, M.-J.; Hu, W.; Li, Y.; Wu, R.; Wang, P.; Fang, S.; Niu, K.; et al. Understanding Spontaneous Biodiversity in Informal Urban Green Spaces: A Local-Landscape Filtering Framework with a Test on Wall Plants. Urban For. Urban Green. 2023, 86, 127996. [Google Scholar] [CrossRef]
  40. Vega, K.A.; Küffer, C. Promoting Wildflower Biodiversity in Dense and Green Cities: The Important Role of Small Vegetation Patches. Urban For. Urban Green. 2021, 62, 127165. [Google Scholar] [CrossRef]
  41. Schadek, U.; Strauss, B.; Biedermann, R.; Kleyer, M. Plant Species Richness, Vegetation Structure and Soil Resources of Urban Brownfield Sites Linked to Successional Age. Urban Ecosyst. 2009, 12, 115–126. [Google Scholar] [CrossRef]
  42. Westermann, J.R.; von der Lippe, M.; Kowarik, I. Seed Traits, Landscape and Environmental Parameters as Predictors of Species Occurrence in Fragmented Urban Railway Habitats. Basic Appl. Ecol. 2011, 12, 29–37. [Google Scholar] [CrossRef]
  43. Small, E.C.; Sadler, J.P.; Telfer, M.G. Carabid Beetle Assemblages on Urban Derelict Sites in Birmingham, UK. J. Insect Conserv. 2002, 6, 233–246. [Google Scholar] [CrossRef]
  44. Kattwinkel, M.; Strauss, B.; Biedermann, R.; Kleyer, M. Modelling Multi-Species Response to Landscape Dynamics: Mosaic Cycles Support Urban Biodiversity. Landsc. Ecol. 2009, 24, 929–941. [Google Scholar] [CrossRef]
  45. Meffert, P.J.; Dziock, F. The Influence of Urbanisation on Diversity and Trait Composition of Birds. Landsc. Ecol. 2013, 28, 943–957. [Google Scholar] [CrossRef]
  46. Strauss, B.; Biedermann, R. Urban Brownfields as Temporary Habitats: Driving Forces for the Diversity of Phytophagous Insects. Ecography 2006, 29, 928–940. [Google Scholar]
  47. Klaus, V.H.; Kiehl, K. A Conceptual Framework for Urban Ecological Restoration and Rehabilitation. Basic Appl. Ecol. 2021, 52, 82–94. [Google Scholar] [CrossRef]
  48. Perring, M.P.; Audet, P.; Lamb, D. Novel Ecosystems in Ecological Restoration and Rehabilitation: Innovative Planning or Lowering the Bar? Ecol. Process. 2014, 3, 8. [Google Scholar] [CrossRef]
  49. GUS Powierzchnia i Ludność w Przekroju Terytorialnym w 2022 Roku. Available online: https://stat.gov.pl/obszary-tematyczne/ludnosc/ludnosc/powierzchnia-i-ludnosc-w-przekroju-terytorialnym-w-2022-roku,7,19.html (accessed on 24 April 2023).
  50. Sikorska, D.; Łaszkiewicz, E.; Krauze, K.; Sikorski, P. The Role of Informal Green Spaces in Reducing Inequalities in Urban Green Space Availability to Children and Seniors. Environ. Sci. Policy 2020, 108, 144–154. [Google Scholar] [CrossRef]
  51. Sikorska, D.; Ciężkowski, W.; Babańczyk, P.; Chormański, J.; Sikorski, P. Intended Wilderness as a Nature-Based Solution: Status, Identification and Management of Urban Spontaneous Vegetation in Cities. Urban For. Urban Green. 2021, 62, 127155. [Google Scholar] [CrossRef]
  52. Feltynowski, M.; Kronenberg, J.; Bergier, T.; Kabisch, N.; Łaszkiewicz, E.; Strohbach, M.W. Challenges of Urban Green Space Management in the Face of Using Inadequate Data. Urban For. Urban Green. 2018, 31, 56–66. [Google Scholar] [CrossRef]
  53. Pietrzyk-Kaszyńska, A.; Czepkiewicz, M.; Kronenberg, J. Eliciting Non-Monetary Values of Formal and Informal Urban Green Spaces Using Public Participation GIS. Landsc. Urban Plan. 2017, 160, 85–95. [Google Scholar] [CrossRef]
  54. Matuszkiewicz, W. Przewodnik do Oznaczania Zbiorowisk Roslinnych Polski; Wydawnictwo Naukowe PWN: Warszawa, Poland, 2017; ISBN 978-83-01-16707-3. [Google Scholar]
  55. Chytrý, M.; Otýpková, Z. Plot Sizes Used for Phytosociological Sampling of European Vegetation. J. Veg. Sci. 2003, 14, 563–570. [Google Scholar] [CrossRef]
  56. Inwazyjne Gatunki Obce Roślin i Zwierząt—Otwarte Dane. Available online: https://dane.gov.pl/pl/dataset/1760/resource/21068,inwazyjne-gatunki-obce-roslin-i-zwierzat/table?page=1&per_page=20&q=&sort= (accessed on 6 March 2024).
  57. Iannone, B.; Carnevale, S.; Main, M.; Hill, J.; McConnell, J.; Johnson, S.; Enloe, S.; Andreu, M.; Bell, E.; Cuda, J.; et al. Invasive Species Terminology: Standardizing for Stakeholder Education. J. Ext. 2020, 58, 27. [Google Scholar] [CrossRef]
  58. Mirek, Z. (Ed.) Flowering Plants and Pteridophytes of Poland: A Checklist; krytyczna Lista Roślin Naczyniowych Polski; Biodiversity of Poland; Szafer Institute of Botany, Polish Academy of Sciences: Krakow, Poland, 2002; ISBN 978-83-85444-83-1. [Google Scholar]
  59. Warren, C.R. Perspectives on the ‘alien’ versus ‘native’ Species Debate: A Critique of Concepts, Language and Practice. Prog. Hum. Geogr. 2007, 31, 427–446. [Google Scholar] [CrossRef]
  60. Magurran, A.E. Measuring Biological Diversity; Blackwell Pub: Malden, MA, USA, 2004; ISBN 978-0-632-05633-0. [Google Scholar]
  61. Dzwonko, Z.; Loster, S. Ancient Woodland Plant Species Indicators and Their Importance for Nature Conservation and Vegetation Mapping. Pr. Geogr. 2001, 178, 119–132. [Google Scholar]
  62. Sikorski, P.; Sudnik-Wójcikowska, B.; Zaniewska, E.; Zaniewski, P.; Kowalska, A.; Wrzosek, M. Charakterystyka Przestrzenna i Różnorodności Biologicznej ostoi Roślinnych oraz Oddziaływania na nie Rozwiązań Planistycznych Proponowanych w Projekcie Studium Uwarunkowań i kierunków Zagospodarowania Przestrzennego m.st. Warszawy 2020; Office of Planning and Architecture of the City of Warsaw: Warsaw, Poland, 2020. [Google Scholar]
  63. Sudnik-Wójcikowska, B. Iva Xanthiifolia Nutt. and Its Communities within Warsaw. Acta Soc. Bot. Pol. 1987, 56, 155. [Google Scholar] [CrossRef]
  64. Sukopp, H. Der Einfluss Des Menschen Auf Die Vegetation. Vegetatio 1969, 17, 360–371. [Google Scholar] [CrossRef]
  65. Kühn, I.; Durka, W.; Klotz, S. BiolFlor—A New Plant-Trait Database as a Tool for Plant Invasion Ecology: BiolFlor—A Plant-Trait Database. Divers. Distrib. 2004, 10, 363–365. [Google Scholar] [CrossRef]
  66. Klotz, S.; Kühn, I. Indikatoren Des Anthropogenen Einflusses Auf Die Vegetation. Schriftenreihe Veg. 2002, 38, 241–246. [Google Scholar]
  67. Roo, M.; Kuypers, V.H.M.; Lenzholzer, S. The Green City Guidelines: Techniques for a Healthy Liveable City; The Green City: Bend, OR, USA, 2011. [Google Scholar]
  68. Hofmeister, J.; Hošek, J.; Brabec, M.; Hermy, M.; Dvořák, D.; Fellner, R.; Malíček, J.; Palice, Z.; Tenčík, A.; Holá, E.; et al. Shared Affinity of Various Forest-Dwelling Taxa Point to the Continuity of Temperate Forests. Ecol. Indic. 2019, 101, 904–912. [Google Scholar] [CrossRef]
  69. Strauss, B.; Biedermann, R. Fit for Succession—Community Structure and Life Strategies of Leafhoppers in Urban Brownfields. Ecol. Entomol. 2008, 33, 107–118. [Google Scholar] [CrossRef]
  70. Chojnacki, J. Zróźnicowanie Przestrzenne Roślinności Warszawy; Wydawnictwo UW: Warszawa, Poland, 1991; ISBN 83-230-0600-8. [Google Scholar]
  71. Kobendza, R. Roślinność Ruderalna Na Gruzach Miast Polskich, In Sprawozdania z posiedzeń Wydziału IV Nauk Biologicznych; Towarzystwo Naukowe Warszawskie: Warsaw, Poland, 1952; pp. 49–60. [Google Scholar]
  72. Kozłowska, A. Mapa roślinności Warszawy w skali 1: 10 000–założenia teoretyczne, metoda wykonania i zastosowanie. Przegląd Geogr. 2001, 180, 107–119. [Google Scholar]
  73. Hamberg, L.; Lehvävirta, S.; Minna, M.-L.; Rita, H.; Kotze, D.J. The Effects of Habitat Edges and Trampling on Understorey Vegetation in Urban Forests in Helsinki, Finland. Appl. Veg. Sci. 2008, 11, 83–98. [Google Scholar] [CrossRef]
  74. Nordén, B.; Dahlberg, A.; Brandrud, T.E.; Fritz, Ö.; Ejrnaes, R.; Ovaskainen, O. Effects of Ecological Continuity on Species Richness and Composition in Forests and Woodlands: A Review. Écoscience 2014, 21, 34–45. [Google Scholar] [CrossRef]
  75. Bailey, S. Increasing Connectivity in Fragmented Landscapes: An Investigation of Evidence for Biodiversity Gain in Woodlands. For. Ecol. Manag. 2007, 238, 7–23. [Google Scholar] [CrossRef]
  76. Correa Ayram, C.A.; Mendoza, M.E.; Etter, A.; Salicrup, D.R.P. Habitat Connectivity in Biodiversity Conservation: A Review of Recent Studies and Applications. Prog. Phys. Geogr. Earth Environ. 2016, 40, 7–37. [Google Scholar] [CrossRef]
  77. Howe, H.F.; Smallwood, J. Ecology of Seed Dispersal. Annu. Rev. Ecol. Syst. 1982, 13, 201–228. [Google Scholar] [CrossRef]
  78. McEuen, A.B.; Curran, L.M. Seed Dispersal and Recruitment Limitation across Spatial Scales in Temperate Forest Fragments. Ecology 2004, 85, 507–518. [Google Scholar] [CrossRef]
  79. Beninde, J.; Veith, M.; Hochkirch, A. Biodiversity in Cities Needs Space: A Meta-Analysis of Factors Determining Intra-Urban Biodiversity Variation. Ecol. Lett. 2015, 18, 581–592. [Google Scholar] [CrossRef]
  80. Koerner, W.; Dupouey, J.L.; Dambrine, E.; Benoit, M. Influence of Past Land Use on the Vegetation and Soils of Present Day Forest in the Vosges Mountains, France. J. Ecol. 1997, 85, 351–358. [Google Scholar] [CrossRef]
  81. Alard, D.; Chabrerie, O.; Dutoit, T.; Roche, P.; Langlois, E. Patterns of Secondary Succession in Calcareous Grasslands: Can We Distinguish the Influence of Former Land Uses from Present Vegetation Data? Basic Appl. Ecol. 2005, 6, 161–173. [Google Scholar] [CrossRef]
  82. Fomby, T.B.; Hill, R.C.; Johnson, S.R. Advanced Econometric Methods; Springer Science & Business Media: Berlin/Heidelberg, Germany, 2012. [Google Scholar]
  83. Hettmansperger, T.P.; McKean, J.W. Robust Nonparametric Statistical Methods; CRC Press: Boca Raton, FL, USA, 2010. [Google Scholar]
  84. Maindonald, J.; Braun, J. Data Analysis and Graphics Using R: An Example-Based Approach; Cambridge University Press: Cambridge, UK, 2006; ISBN 978-1-139-46053-8. [Google Scholar]
  85. Ferrari, S.; Cribari-Neto, F. Beta Regression for Modelling Rates and Proportions. J. Appl. Stat. 2004, 31, 799–815. [Google Scholar] [CrossRef]
  86. Box, G.E.P.; Cox, D.R. An Analysis of Transformations. J. R. Stat. Soc. Ser. B (Methodol.) 1964, 26, 211–243. [Google Scholar] [CrossRef]
  87. Moran, P.A. Notes on Continuous Stochastic Phenomena. Biometrika 1950, 37, 17–23. [Google Scholar] [CrossRef] [PubMed]
  88. Breusch, T.S.; Pagan, A.R. A Simple Test for Heteroscedasticity and Random Coefficient Variation. Econom. J. Econom. Soc. 1979, 47, 1287–1294. [Google Scholar] [CrossRef]
  89. Shaphiro, S.; Wilk, M.B.J.B. An Analysis of Variance Test for Normality. Biometrika 1965, 52, 591–611. [Google Scholar] [CrossRef]
  90. Efroymson, M.A. Multiple Regression Analysis. In Mathematical Methods for Digital Computers; John Wiley: New York, NY, USA, 1960; pp. 191–203. [Google Scholar]
  91. Venables, B.; Ripley, B.D. Modern Applied Statistics with S; Springer: New York, NY, USA, 2002; ISBN 0-387-95457-0. [Google Scholar]
  92. Hebbali, A. Olsrr: Tools for Building OLS Regression Models. R Package Version 0.5 2020, 3. Available online: https://cran.r-project.org/web/packages/olsrr/olsrr.pdf (accessed on 27 May 2024).
  93. Zeileis, A.; Hothorn, T. Diagnostic Checking in Regression Relationships. R News 2002, 2, 7–10. [Google Scholar]
  94. Croissant, Y.; Millo, G. Panel Data Econometrics in R: The Plm Package. J. Stat. Softw. 2008, 27, 1–43. [Google Scholar] [CrossRef]
  95. Cribari-Neto, F.; Zeileis, A. Beta Regression in R. J. Stat. Softw. 2010, 34, 1–24. [Google Scholar] [CrossRef]
  96. Stasinopoulos, D.M.; Rigby, R.A. Generalized Additive Models for Location Scale and Shape (GAMLSS) in R. J. Stat. Softw. 2008, 23, 1–46. [Google Scholar] [CrossRef]
  97. Sehrt, M.; Bossdorf, O.; Freitag, M.; Bucharova, A. Less Is More! Rapid Increase in Plant Species Richness after Reduced Mowing in Urban Grasslands. Basic Appl. Ecol. 2020, 42, 47–53. [Google Scholar] [CrossRef]
  98. Watson, C.J.; Carignan-Guillemette, L.; Turcotte, C.; Maire, V.; Proulx, R. Ecological and Economic Benefits of Low-intensity Urban Lawn Management. J. Appl. Ecol. 2020, 57, 436–446. [Google Scholar] [CrossRef]
  99. Wulf, M. Plant Species Richness of Afforestations with Different Former Use and Habitat Continuity. For. Ecol. Manag. 2004, 195, 191–204. [Google Scholar] [CrossRef]
  100. Raduła, M.W.; Szymura, T.H.; Szymura, M.; Swacha, G.; Kącki, Z. Effect of Environmental Gradients, Habitat Continuity and Spatial Structure on Vascular Plant Species Richness in Semi-Natural Grasslands. Agric. Ecosyst. Environ. 2020, 300, 106974. [Google Scholar] [CrossRef]
  101. Guilherme, F.; Vicente, J.R.; Carretero, M.A.; Farinha-Marques, P. Mapping Multigroup Responses to Land Cover Legacy for Urban Biodiversity Conservation. Biol. Conserv. 2024, 291, 110508. [Google Scholar] [CrossRef]
  102. Beveridge, R.; Kip, M.; Oevermann, H. From Wastelands to Waiting Lands: Retrieving Possibility from the Voids of Berlin. City 2022, 26, 281–303. [Google Scholar] [CrossRef]
  103. Culley, T.M.; Dreisilker, K.; Clair Ryan, M.; Schuler, J.A.; Cavallin, N.; Gettig, R.; Havens, K.; Landel, H.; Shultz, B. The Potential Role of Public Gardens as Sentinels of Plant Invasion. Biodivers. Conserv. 2022, 31, 1829–1844. [Google Scholar] [CrossRef]
  104. Lenda, M.; Skórka, P.; Knops, J.M.H.; Moroń, D.; Tworek, S.; Woyciechowski, M. Plant Establishment and Invasions: An Increase in a Seed Disperser Combined with Land Abandonment Causes an Invasion of the Non-Native Walnut in Europe. Proc. R. Soc. B Biol. Sci. 2011, 279, 1491–1497. [Google Scholar] [CrossRef]
  105. Mayer, K.; Haeuser, E.; Dawson, W.; Essl, F.; Kreft, H.; Pergl, J.; Pyšek, P.; Weigelt, P.; Winter, M.; Lenzner, B.; et al. Naturalization of Ornamental Plant Species in Public Green Spaces and Private Gardens. Biol. Invasions 2017, 19, 3613–3627. [Google Scholar] [CrossRef]
  106. Smith, R.G.; Maxwell, B.D.; Menalled, F.D.; Rew, L.J. Lessons from Agriculture May Improve the Management of Invasive Plants in Wildland Systems. Front. Ecol. Environ. 2006, 4, 428–434. [Google Scholar] [CrossRef]
  107. Bell, C.E.; Wilen, C.A.; Stanton, A.E. Invasive Plants of Horticultural Origin. Hortscience 2003, 38, 14–16. [Google Scholar] [CrossRef]
  108. Gioria, M.; Le Roux, J.J.; Hirsch, H.; Moravcová, L.; Pyšek, P. Characteristics of the Soil Seed Bank of Invasive and Non-Invasive Plants in Their Native and Alien Distribution Range. Biol. Invasions 2019, 21, 2313–2332. [Google Scholar] [CrossRef]
  109. Fontúrbel, F.E.; Candia, A.B.; Malebrán, J.; Salazar, D.A.; González-Browne, C.; Medel, R. Meta-Analysis of Anthropogenic Habitat Disturbance Effects on Animal-Mediated Seed Dispersal. Glob. Change Biol. 2015, 21, 3951–3960. [Google Scholar] [CrossRef] [PubMed]
  110. Kowarik, I. On the Role of Alien Species in Urban Flora and Vegetation. In Urban Ecology: An International Perspective on the Interaction between Humans and Nature; Springer: Boston, MA, USA, 2008; pp. 321–338. [Google Scholar]
  111. McKinney, M.L. Urbanization as a Major Cause of Biotic Homogenization. Biol. Conserv. 2006, 127, 247–260. [Google Scholar] [CrossRef]
  112. Alberti, M.; Correa, C.; Marzluff, J.M.; Hendry, A.P.; Palkovacs, E.P.; Gotanda, K.M.; Hunt, V.M.; Apgar, T.M.; Zhou, Y. Global Urban Signatures of Phenotypic Change in Animal and Plant Populations. Proc. Natl. Acad. Sci. USA 2017, 114, 8951–8956. [Google Scholar] [CrossRef] [PubMed]
  113. Hobbs, R.J.; Higgs, E.; Hall, C.M.; Bridgewater, P.; Chapin, F.S.; Ellis, E.C.; Ewel, J.J.; Hallett, L.M.; Harris, J.; Hulvey, K.B.; et al. Managing the Whole Landscape: Historical, Hybrid, and Novel Ecosystems. Front. Ecol. Environ. 2014, 12, 557–564. [Google Scholar] [CrossRef]
  114. Johnson, A.L.; Borowy, D.; Swan, C.M. Land Use History and Seed Dispersal Drive Divergent Plant Community Assembly Patterns in Urban Vacant Lots. J. Appl. Ecol. 2018, 55, 451–460. [Google Scholar] [CrossRef]
  115. Gelmi-Candusso, T.A.; Hämäläinen, A.M. Seeds and the City: The Interdependence of Zoochory and Ecosystem Dynamics in Urban Environments. Front. Ecol. Evol. 2019, 7, 41. [Google Scholar] [CrossRef]
  116. von der Lippe, M.; Bullock, J.M.; Kowarik, I.; Knopp, T.; Wichmann, M. Human-Mediated Dispersal of Seeds by the Airflow of Vehicles. PLoS ONE 2013, 8, e52733. [Google Scholar] [CrossRef]
  117. von der Lippe, M.; Kowarik, I. Do Cities Export Biodiversity? Traffic as Dispersal Vector across Urban-Rural Gradients: Traffic as Dispersal Vector across Urban-Rural Gradients. Divers. Distrib. 2008, 14, 18–25. [Google Scholar] [CrossRef]
  118. Tello-García, E.; Gamboa-Badilla, N.; Álvarez, E.; Fuentes, L.; Basnou, C.; Espelta, J.M.; Pino, J. Plant Species Surplus in Recent Peri-Urban Forests: The Role of Forest Connectivity, Species’ Habitat Requirements and Dispersal Types. Biodivers. Conserv. 2021, 30, 365–384. [Google Scholar] [CrossRef]
  119. Niu, H.; Rehling, F.; Chen, Z.; Yue, X.; Zhao, H.; Wang, X.; Zhang, H.; Schabo, D.G.; Farwig, N. Regeneration of Urban Forests as Influenced by Fragmentation, Seed Dispersal Mode and the Legacy Effect of Reforestation Interventions. Landsc. Urban Plan. 2023, 233, 104712. [Google Scholar] [CrossRef]
  120. Bornkamm, R. Spontaneous Development of Urban Woody Vegetation on Differing Soils. Flora-Morphol. Distrib. Funct. Ecol. Plants 2007, 202, 695–704. [Google Scholar] [CrossRef]
  121. Riley, C.B.; Perry, K.I.; Ard, K.; Gardiner, M.M. Asset or Liability? Ecological and Sociological Tradeoffs of Urban Spontaneous Vegetation on Vacant Land in Shrinking Cities. Sustainability 2018, 10, 2139. [Google Scholar] [CrossRef]
  122. Fischer, L.K.; von der Lippe, M.; Rillig, M.C.; Kowarik, I. Creating Novel Urban Grasslands by Reintroducing Native Species in Wasteland Vegetation. Biol. Conserv. 2013, 159, 119–126. [Google Scholar] [CrossRef]
  123. Lonati, M.; Probo, M.; Gorlier, A.; Pittarello, M.; Scariot, V.; Lombardi, G.; Ravetto Enri, S. Plant Diversity and Grassland Naturalness of Differently Managed Urban Areas of Torino (NW Italy). Acta Hortic. 2018, 1215, 247–254. [Google Scholar] [CrossRef]
  124. Perotti, E.; Probo, M.; Pittarello, M.; Lonati, M.; Lombardi, G. A 5-Year Rotational Grazing Changes the Botanical Composition of Sub-Alpine and Alpine Grasslands. Appl. Veg. Sci. 2018, 21, 647–657. [Google Scholar] [CrossRef]
  125. Lorenzo, P.; Pazos-Malvido, E.; Rubido-Bará, M.; Reigosa, M.J.; González, L. Invasion by the Leguminous Tree Acacia Dealbata (Mimosaceae) Reduces the Native Understorey Plant Species in Different Communities. Aust. J. Bot. 2012, 60, 669–675. [Google Scholar] [CrossRef]
  126. Maurel, N.; Salmon, S.; Ponge, J.-F.; Machon, N.; Moret, J.; Muratet, A. Does the Invasive Species Reynoutria Japonica Have an Impact on Soil and Flora in Urban Wastelands? Biol. Invasions 2010, 12, 1709–1719. [Google Scholar] [CrossRef]
  127. Weber, E.; Jakobs, G. Biological Flora of Central Europe: Solidago gigantea Aiton. Flora-Morphol. Distrib. Funct. Ecol. Plants 2005, 200, 109–118. [Google Scholar] [CrossRef]
  128. Lenda, M.; Witek, M.; Skórka, P.; Moroń, D.; Woyciechowski, M. Invasive Alien Plants Affect Grassland Ant Communities, Colony Size and Foraging Behaviour. Biol. Invasions 2013, 15, 2403–2414. [Google Scholar] [CrossRef]
  129. Brown, B.J.; Mitchell, R.J.; Graham, S.A. Competition for Pollination Between an Invasive Species (Purple Loosestrife) and a Native Congener. Ecology 2002, 83, 2328–2336. [Google Scholar] [CrossRef]
  130. Schuster, M.J.; Wragg, P.D.; Reich, P.B. Using Revegetation to Suppress Invasive Plants in Grasslands and Forests. J. Appl. Ecol. 2018, 55, 2362–2373. [Google Scholar] [CrossRef]
  131. Shea, K.; Chesson, P. Community Ecology Theory as a Framework for Biological Invasions. Trends Ecol. Evol. 2002, 17, 170–176. [Google Scholar] [CrossRef]
  132. Martinez, J.A.; Dornbush, M.E. Use of a Native Matrix Species to Facilitate Understory Restoration in an Overbrowsed, Invaded Woodland. Invasive Plant Sci. Manag. 2013, 6, 219–230. [Google Scholar] [CrossRef]
  133. Funk, J.L.; Cleland, E.E.; Suding, K.N.; Zavaleta, E.S. Restoration through Reassembly: Plant Traits and Invasion Resistance. Trends Ecol. Evol. 2008, 23, 695–703. [Google Scholar] [CrossRef] [PubMed]
  134. Swanson, M.E.; Franklin, J.F.; Beschta, R.L.; Crisafulli, C.M.; DellaSala, D.A.; Hutto, R.L.; Lindenmayer, D.B.; Swanson, F.J. The Forgotten Stage of Forest Succession: Early-Successional Ecosystems on Forest Sites. Front. Ecol. Environ. 2011, 9, 117–125. [Google Scholar] [CrossRef]
  135. Didham, R.K.; Tylianakis, J.M.; Hutchison, M.A.; Ewers, R.M.; Gemmell, N.J. Are Invasive Species the Drivers of Ecological Change? Trends Ecol. Evol. 2005, 20, 470–474. [Google Scholar] [CrossRef]
  136. Dillon, W.W.; Lieurance, D.; Hiatt, D.T.; Clay, K.; Flory, S.L. Native and Invasive Woody Species Differentially Respond to Forest Edges and Forest Successional Age. Forests 2018, 9, 381. [Google Scholar] [CrossRef]
  137. Flory, S.L.; Clay, K. Invasive Shrub Distribution Varies with Distance to Roads and Stand Age in Eastern Deciduous Forests in Indiana, USA. Plant Ecol. 2006, 184, 131–141. [Google Scholar] [CrossRef]
  138. Trzeciak, M.; Sikorska, D. Application of UAV and Ground Measurements for Urban Vegetation Cooling Benefits Assessment, Wilanów Palace Case Study. Sci. Rev. Eng. Environ. Sci. (SREES) 2024, 33, 53–68. [Google Scholar] [CrossRef]
  139. Dusza-Dobek, A. Badania geochemiczne gleb w wybranych parkach Warszawy. Biul. Państwowego Inst. Geol. 2012, 450, 35–46. [Google Scholar]
  140. Gancarczyk-Gola, M.; Palowski, B.D. of E. Heavy Metals and Acidity of Surface Soil Horizons in Surroundings of Industrial Centers and in Non-Contaminated Regions. Rocz. Glebozn. 2005, 56, 59–66. [Google Scholar]
  141. Belaire, J.A.; Whelan, C.J.; Minor, E.S. Having Our Yards and Sharing Them Too: The Collective Effects of Yards on Native Bird Species in an Urban Landscape. Ecol. Appl. 2014, 24, 2132–2143. [Google Scholar] [CrossRef] [PubMed]
  142. Sushinsky, J.R.; Rhodes, J.R.; Possingham, H.P.; Gill, T.K.; Fuller, R.A. How Should We Grow Cities to Minimize Their Biodiversity Impacts? Glob. Change Biol. 2013, 19, 401–410. [Google Scholar] [CrossRef] [PubMed]
  143. Rupprecht, C.D.D.; Byrne, J.A.; Ueda, H.; Lo, A.Y. ‘It’s Real, Not Fake like a Park’: Residents’ Perception and Use of Informal Urban Green-Space in Brisbane, Australia and Sapporo, Japan. Landsc. Urban Plan. 2015, 143, 205–218. [Google Scholar] [CrossRef]
  144. Sikorska, D.; Sikorski, P.; Archiciński, P.; Chormański, J.; Hopkins, R.J. You Can’t See the Woods for the Trees: Invasive Acer Negundo L. in Urban Riparian Forests Harms Biodiversity and Limits Recreation Activity. Sustainability 2019, 11, 5838. [Google Scholar] [CrossRef]
  145. Lange-Kabitz, C.; Reich, M.; Zoch, A. Extensively Managed or Abandoned Urban Green Spaces and Their Habitat Potential for Butterflies. Basic Appl. Ecol. 2021, 54, 85–97. [Google Scholar] [CrossRef]
  146. Doroski, D.A.; Felson, A.J.; Bradford, M.A.; Ashton, M.P.; Oldfield, E.E.; Hallett, R.A.; Kuebbing, S.E. Factors Driving Natural Regeneration beneath a Planted Urban Forest. Urban For. Urban Green. 2018, 29, 238–247. [Google Scholar] [CrossRef]
  147. Silvertown, J.; Buesching, C.D.; Jacobson, S.K.; Rebelo, T. Citizen Science and Nature Conservation. In Key Topics in Conservation Biology 2; John Wiley & Sons, Ltd.: Hoboken, NJ, USA, 2013; pp. 127–142. ISBN 978-1-118-52017-8. [Google Scholar]
  148. Turrini, T.; Knop, E. A Landscape Ecology Approach Identifies Important Drivers of Urban Biodiversity. Glob. Change Biol. 2015, 21, 1652–1667. [Google Scholar] [CrossRef]
Disclaimer/Publisher’s Note: The statements, opinions and data contained in all publications are solely those of the individual author(s) and contributor(s) and not of MDPI and/or the editor(s). MDPI and/or the editor(s) disclaim responsibility for any injury to people or property resulting from any ideas, methods, instructions or products referred to in the content.

Article Metrics

Citations

Article Access Statistics

Multiple requests from the same IP address are counted as one view.