Coupling of Changing Trends in Population and Construction Land in Traditional Rural Areas and Spatial Patterns in Urban–Rural Development, 2016–2021: A Case Study of Heilongjiang Province, China
Abstract
1. Introduction
2. Materials and Methods
2.1. Study Area
2.2. Data Sources and Preprocessing
2.3. Methodology
2.3.1. Patterns of Spatial and Temporal Changes in Population Size and Construction Land Use in Rural Areas
2.3.2. Modeling the Coupling of Population Mobility and Construction Land Use in Rural Areas
- (1)
- Indicators are standardized in this study using the extreme variance method.The formula for the positive indicator is as follows:The formula for the negative indicator is as follows:
- (2)
- Indicator weights: Since only the coupling of two factors, population and land change, is considered (and both are of equal importance), the weight is set to 0.5.The 2016–2021 composite indicator of rural population change is as follows:U1 = 0.5 × n1The composite indicator of change in rural construction land use for 2016–2021 is as follows:U2 = 0.5 × n2
- (3)
- The relationship between the coupled effect of the amount of population change and the amount of construction land change in rural areas from 2016 to 2021 is calculated using the coupling degree (Cj), which is given by the following formula:
2.3.3. Modeling The Spatial Relationship between Urban and Rural Development
- (1)
- Calculating the combined attractiveness of cities (Cj):
- a.
- Indicator assimilation and standardization: a total of 19 indicators are assimilated and standardized in this study using Equations (1) and (2).
- b.
- Calculation of indicator weights wj [39]: in this study, the entropy value method is used to calculate the indicator weights.and m is the number of prefecture-level citiesand n is the number of indicators
- c.
- The weighted normalization matrix, Zij, is obtained:
- d.
- The composite index for each evaluation object is obtained:
- (2)
- Modeling Rural–Urban Development Force
3. Results
3.1. Patterns of Spatial and Temporal Changes in Population Size and Construction Land Use in Rural Areas
3.1.1. Spatial and Temporal Patterns of Population Change in Rural Areas
3.1.2. Spatial and Temporal Patterns of Construction Land in Rural Areas
3.2. Characteristics of the Coupled Development of the Population and Construction Land Use in Rural Areas
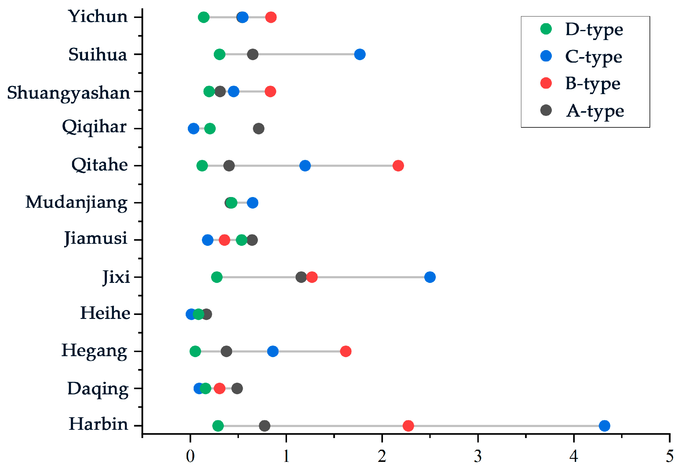
3.3. The Spatial Patterns of Urban–Rural Development
3.3.1. Calculation of the Comprehensive Urban Attractiveness of the Study Area
3.3.2. Calculation of Rural–Urban Development Forces in the Study Area
3.3.3. New Spatial Patterns of Urban–Rural Development under the Urban–Rural Development Dynamic
4. Discussion
4.1. The Coupling of Rural Population and Construction Land Use Reflects Dynamic Development Trends in the Countryside
4.2. The New Spatial Pattern of Urban–Rural Development Factors Integrated into Urban–Rural Development
4.3. Land Use Policies Should Be Adjusted in Line with Urban–Rural Development Patterns
5. Conclusions
Author Contributions
Funding
Data Availability Statement
Conflicts of Interest
References
- Elshof, H.; Haartsen, T.; Van Wissen, L.J.G.; Mulder, C.H. The influence of village attractiveness on flows of movers in a declining rural region. J. Rural Stud. 2017, 56, 39–52. [Google Scholar] [CrossRef]
- Wang, C.; Gao, B.; Weng, Z.; Tian, Y. Primary causes of total hamlet abandonment for different types of hamlets in remote mountain areas of China: A case study of Shouning county, Fujian province. Land Use Policy 2020, 95, 104627. [Google Scholar] [CrossRef]
- Yakubu, I. From a cluster of villages to a city: Housing politics and the dilemmas of spatial planning in tamale, Ghana. Land Use Policy 2021, 109, 105668. [Google Scholar] [CrossRef]
- Yanan, L.; Smail, M.A.; Aminuddin, A. How has rural tourism influenced the sustainable development of traditional villages? A systematic literature review. Heliyon 2024, 10, e25627. [Google Scholar] [CrossRef]
- Liu, Y.; Li, Y. Revitalize the world’s countryside. Nature 2017, 548, 275–277. [Google Scholar] [CrossRef]
- Liu, Y.; Zang, Y.; Yang, Y. China’s rural revitalization and development: Theory, technology and management. J. Geogr. Sci. 2020, 30, 1923–1942. [Google Scholar] [CrossRef]
- Zhu, J.; Zhu, M.; Xiao, Y. Urbanization for rural development: Spatial paradigm shifts toward inclusive urban–rural integrated development in China. J. Rural Stud. 2019, 71, 94–103. [Google Scholar] [CrossRef]
- Zhan, L.; Wang, S.; Xie, S.; Zhang, Q.; Qu, Y. Spatial path to achieve urban–rural integration development–analytical framework for coupling the linkage and coordination of urban–rural system functions. Habitat Int. 2023, 142, 102953. [Google Scholar] [CrossRef]
- Du, G.; Zhang, R.; Li, Y.; Zhang, M.; Faye, B. How different land systems lead to discrepancy of rural population–land relationships: Case study of Heilongjiang province, China. Land 2024, 13, 38. [Google Scholar] [CrossRef]
- Zou, B.; Mishra, A.K. Modernizing smallholder agriculture and achieving food security: An exploration in machinery services and labor reallocation in China. Appl. Econ. Perspect. Policy 2024, 1–30. [Google Scholar] [CrossRef]
- Gu, H.; Ling, Y.; Shen, T.; Yang, L. How does rural homestead influence the hukou transfer intention of rural–urban migrants in China? Habitat Int. 2020, 105, 102267. [Google Scholar] [CrossRef]
- Zhang, X.; Wang, J.; Song, W.; Wang, F.; Gao, X.; Liu, L.; Dong, K.; Yang, D. Decoupling analysis between rural population change and rural construction land changes in China. Land 2022, 11, 231. [Google Scholar] [CrossRef]
- Cai1, E.; Chen, W.; Wei, H.; Li, J.; Wang, H.; Guo, Y.; Feng, X. The coupling characteristics of population and residential land in rural areas of China and its implications for sustainable land use. Sustain. Dev. 2019, 4, 646–656. [Google Scholar] [CrossRef]
- Zhu, C.; Zhang, X.; Wang, K.; Yuan, S.; Yang, L.; Skitmore, M. Urban–rural construction land transition and its coupling relationship with population flow in China’s urban agglomeration region. Cities 2020, 101, 102701. [Google Scholar] [CrossRef]
- Zhang, H.; He, R.; Li, J. Coupling coordination status of urban and rural population and construction land in Henan province from the perspective of decoupling. Geogr. Geo–Inf. Sci. 2020, 36, 83–92. [Google Scholar]
- Wang, C.; Liu, Y.; Kong, X.; Li, J. Spatiotemporal decoupling between population and construction land in urban and rural Hubei province. Sustainability 2017, 9, 1258. [Google Scholar] [CrossRef]
- Zhao, Z.; Fan, B.; Zhou, Q.; Xu, S. Simulating the coupling of rural settlement expansion and population growth in Deqing, Zhejiang province, based on MCCA modeling. Land 2022, 11, 1975. [Google Scholar] [CrossRef]
- Ionela, G.; Ioan, B. Developing a growth pole: Theory and reality. Manag. Organ. Soc. 2017, 1, 209–215. [Google Scholar]
- Chatman, E.A. Diffusion theory: A review and test of a conceptual model in information diffusion. J. Am. Soc. Inf. Sci. 2010, 37, 377–386. [Google Scholar] [CrossRef]
- Drobnjakovi’c, M.; Steinführer, A. Re–thinking rurality: Towards a new research approach and rural–urban spatial gradient establishment in Serbia. Appl. Geogr. 2024, 163, 103195. [Google Scholar] [CrossRef]
- Yang, Y.; Bao, W.; Wang, Y.; Liu, Y. Measurement of urban–rural integration level and its spatial differentiation in China in the new century. Habitat Int. 2021, 117, 102420. [Google Scholar] [CrossRef]
- Hu, Z.; Li, Y.; Long, H.; Kang, C. The evolution of China’s rural depopulation pattern and its influencing factors from 2000 to 2020. Appl. Geogr. 2023, 159, 103089. [Google Scholar] [CrossRef]
- Wang, M.; Yang, Y.; Guo, T. Measurement of urban–rural integration level in suburbs and exurbs of big cities based on land–use change in inland China: Chengdu. Land 2021, 10, 474. [Google Scholar] [CrossRef]
- Juan, R.C. Population imbalances in Europe. Urban concentration versus rural depopulation. Reg. Sci. Policy Pract. 2023, 15, 713–716. [Google Scholar]
- Chen, L.; Huang, Y.; Qin, X.; Xu, W.; Qin, Y.; Li, X. Return migration and in–situ urbanization of 79 migrant sending counties in China: Characteristic and driving factors. J. Rural Stud. 2023, 104, 103155. [Google Scholar] [CrossRef]
- Ministry of Agriculture and Rural Affairs of the People’s Republic of China. Available online: http://www.moa.gov.cn/xw/qg/202312/t20231212_6442624.htm (accessed on 12 December 2023).
- Liu, Y.; Du, G. Heilongjiang Provincial Statistical Yearbook 2022; China Statistics Press: Beijing, China, 2003; pp. 3–85. [Google Scholar]
- Li, F.; Yao, C.; Fu, J.; Yang, X. Uncertainty analysis of potential population exposure within the coastal lowlands of mainland China. Environ. Res. Lett. 2023, 18, 124003. [Google Scholar] [CrossRef]
- Lin, J.; Song, G.; Song, S. Research on dynamic changes of landscape structure and land use eco–security: A case study of Jiansanjiang land reclamation area. Acta Ecol. Sin. 2011, 31, 5918–5927. [Google Scholar]
- Liu, S.; Huang, G.; Wei, Y.; Qu, Z. Monitoring and assessing land use/cover change and ecosystem service value using multi-resolution remote sensing data at urban ecological zone. Sustainability 2022, 14, 11187. [Google Scholar] [CrossRef]
- Kourtit, K.; Nijkamp, P.; Wahlström, M.H. How to make cities the home of people–a ‘soul and body’ analysis of urban attractiveness. Land Use Policy 2021, 111, 104734. [Google Scholar] [CrossRef]
- Lenormand, M.; Samaniego, H.; Chaves, J.C.; da Fonseca Vieira, V.; da Silva, M.A.H.B.; Evsukoff, A.G. Entropy as a measure of attractiveness and socioeconomic complexity in Rio de Janeiro metropolitan area. Entropy 2020, 22, 368. [Google Scholar] [CrossRef]
- Wang, Y.; Liu, Y.; Li, Y.; Li, T. The spatio–temporal patterns of urbanerural development transformation in China since 1990. Habitat Int. 2016, 53, 178–187. [Google Scholar] [CrossRef]
- Guerri, G.; Crisci, A.; Congedo, L.; Munafò, M.; Morabito, M. A functional seasonal thermal hot–spot classification: Focus on industrial sites. Sci. Total Environ. 2022, 806, 151383. [Google Scholar] [CrossRef] [PubMed]
- Wang, S.; Kong, W.; Ren, L.; Zhi, D.; Dai, B. Research on misuses and modification of coupling coordination degree model in China. J. Nat. Resour. 2021, 36, 793–810. [Google Scholar] [CrossRef]
- Tang, S.; Zhu, Y.; Wang, F.; Shen, N. Can marketization improve sustainable development in northeastern China? evidence from the perspective of coupling coordination degree model. Discret. Dyn. Nat. Soc. 2022, 2022, 7419430. [Google Scholar] [CrossRef]
- Lin, J.; Song, G.; Zhang, Y. Regionalization planning for prevention and control of saline–alkali land based on a landscape ecology risk pattern theory: A case study in Lindian County, Heilongjiang Province. Acta Ecol. Sinica. 2018, 38, 5509–5518. [Google Scholar]
- Wang, C.; Tao, Z.; Ren, M. Driving spatial network connections in rural settlements: The role of e–commerce. Appl. Geogr. 2023, 159, 103067. [Google Scholar] [CrossRef]
- Lin, J.; Song, G. Research on dynamic changes of landscape structure and land use eco-security spatiotemporal variation in Jian Sanjiang land reclamation area. Res. Soil Water Conserv. 2016, 23, 48–54. [Google Scholar]
- Liu, S.; Ye, Y.; Lin, Y. Evolution characteristics and decomposition of driving factors on rural settlements based on decoupling theory and LMDI mode. Trans. Chin. Soc. Agric. Eng. 2019, 35, 272–280. [Google Scholar]
- Yu, W.; Yu, W. Analysis of the Coupling Coordination between the ecosystem service value and urbanization in the Circum-Bohai-Sea region and its obstacle factors. Sustainability 2024, 16, 3776. [Google Scholar] [CrossRef]
- Lin, J.; Song, G.; Zhang, Y. Synergistic evolution mechanism of “production-living-ecology” functions in spatial planning system: A Case Study of Fuxin City. China Land Sci. 2019, 33, 9–13. [Google Scholar]
- Hirschman, A.O. The Strategy of Economic Development; Yale University Press: New Haven, CT, USA, 1958; pp. 5–26. [Google Scholar]
- Liu, C.; Song, C.; Ye, S.; Cheng, F.; Zhang, L.; Li, C. Estimate provincial–level effectiveness of the arable land requisition–compensation balance policy in mainland China in the last 20 years. Land Use Policy 2023, 131, 106733. [Google Scholar] [CrossRef]











| City Names | Longitude and Latitude | Number of Towns under Jurisdiction | Area of the Study Area (Unit: km2) | Per Capita GDP in 2021 (Unit: RMB/CNY) |
|---|---|---|---|---|
| Harbin | E 125°42′–130°14′, N 44°04′–46°40′ | 156 | 53,069.17 | 53,823 |
| Daqing | E 123°45′–125°47′, N 45°23′–47°29′ | 111 | 21,184.11 | 94,790 |
| Qiqihar | E 122°24′–126°41′, N 46°13′–48°56′ | 117 | 41,895.09 | 30,558 |
| Suihua | E 124°13′–128°30′, N 45°3′–48°02′ | 156 | 34,902.86 | 31,915 |
| Mudanjiang | E 128°02′–131°18′, E 43°24′–45°59′ | 51 | 39,866.46 | 38,719 |
| Jixi | E 130°24′–133°56′, N 44°51′–46°37′ | 44 | 23,248.80 | 40,807 |
| Hegang | E 129°40′–132°31′, N 47°05′–48°21′ | 19 | 14,901.57 | 40,338 |
| Jiamusi | E 129°29′–135°5′, N 45°56′–48°28′ | 71 | 31,934.68 | 38,247 |
| Yichun | E 127°37′–130°46′, N 46°28′–49°26′ | 36 | 32,831.03 | 36,982 |
| Qitaihe | E 131°10′–131°27′, N 45°44′–46°14′ | 16 | 5455.57 | 34,055 |
| Shuangyashan | E 130°39′–134°20′, N 45°47′–47°34′ | 40 | 22,612.00 | 43,270 |
| Heihe | E 124°45′–129°18′, N 47°42′–51°03′ | 58 | 67,237.19 | 50,206 |
| Target Level | Normative Layer | Indicator Layer | Unit (of Measure) |
|---|---|---|---|
| Employment environment | Economic level | Gross regional product | CNY millions/ 100 persons |
| Economic density | CNY millions/ 100 hectares | ||
| Employment level | Unemployment rate in urban area | % | |
| Number employed in urban non-private units | Person | ||
| Pay level | Average wage of employed persons in urban non-private units | RMB/CNY | |
| Average wage of employed persons in urban private units | RMB/CNY | ||
| Environment | Consumption level | Urban annual per capita disposable income of urban households | RMB/CNY |
| Housing level | Total assets of real estate | CNY ten thousands | |
| Total sale of commercialized buildings | CNY ten thousands | ||
| Public transport | Total road area per capita | m/person | |
| Number of public vehicles under operation | Unit | ||
| Length under operation | Km | ||
| Public service facilities | Enrollment of compulsory education | % | |
| Number of institutions and public cultural facilities | Unit | ||
| Number of hospitals | Unit | ||
| Ecological environment | Ecological status | Area of parks and green land | Km2 |
| Water resources per capita | Million m3/ 100 persons | ||
| Emissions volume of air contaminants (sulfur dioxide, nitrogen oxide, smoke, and dust) | Ton | ||
| Volume of waste water discharged | Ten thousand tons |
| Construction Land Area Change | ||||
|---|---|---|---|---|
| Population change | >0 | ≈0 | <0 | |
| >0 | A | Ob | D | |
| ≈0 | Oc | Oa | Oc | |
| <0 | C | Ob | B | |
| City Name | Harbin | Qiqihar | Jixi | Hegang | Shuangyashan | Daqing |
| Total Value | 0.7498 | 0.3050 | 0.2431 | 0.2326 | 0.2260 | 0.5812 |
| City Name | Yichun | Jiamusi | Qitaihe | Mudanjiang | Heihe | Suihua |
| Total Value | 0.1726 | 0.2646 | 0.2493 | 0.3204 | 0.2440 | 0.2128 |
| B-Type Township Name | B-Type City Name | B–RUD | C-Type Township Name | C-Type City Name | C–RUD |
|---|---|---|---|---|---|
| 855 Farm | Qitaihe | 0.7891 | Eight Town | Harbin | 0.3546 |
| Beixing Farm | Qitaihe | 1.3187 | Erba Town | Harbin | 0.8999 |
| Hongwei Town | Qitaihe | 0.0000 | Just Street | Harbin | 0.8330 |
| Yulin Town | Harbin | 1.5273 | Hulan Nongken | Harbin | 0.4142 |
| Daiyun Town | Harbin | 1.3718 | Kangjin Street | Harbin | 0.3168 |
| Jiehe Township | Qitaihe | 6.5657 | Lanhe Street | Harbin | 5.5750 |
| Yanglin Township | Harbin | 1.0768 | Shiren Town | Harbin | 0.9549 |
| Waibu Street | Harbin | 6.2688 | Yanjiagang Farm | Harbin | 0.3152 |
| Yongsheng Township | Harbin | 1.1267 | Changchunling Town | Harbin | 0.1283 |
| Pair of Qingshan Town | Harbin | 2.8515 | |||
| Fangtai Township | Harbin | 1.3862 | |||
| Hulan Street | Harbin | 1.8028 | |||
| Construction Road Street | Harbin | 7.5187 | |||
| Mengjia Town | Harbin | 2.1639 | |||
| Youth Farm | Harbin | 5.6085 | |||
| Shenjia Town | Harbin | 2.6981 | |||
| Shuangjing Street | Harbin | 3.3648 | |||
| Xu Bu Township | Harbin | 1.1773 | |||
| Changling Township | Harbin | 2.6751 |
Disclaimer/Publisher’s Note: The statements, opinions and data contained in all publications are solely those of the individual author(s) and contributor(s) and not of MDPI and/or the editor(s). MDPI and/or the editor(s) disclaim responsibility for any injury to people or property resulting from any ideas, methods, instructions or products referred to in the content. |
© 2024 by the authors. Licensee MDPI, Basel, Switzerland. This article is an open access article distributed under the terms and conditions of the Creative Commons Attribution (CC BY) license (https://creativecommons.org/licenses/by/4.0/).
Share and Cite
Lin, J.; Du, G.; Zhang, Y.; Yu, X. Coupling of Changing Trends in Population and Construction Land in Traditional Rural Areas and Spatial Patterns in Urban–Rural Development, 2016–2021: A Case Study of Heilongjiang Province, China. Land 2024, 13, 683. https://doi.org/10.3390/land13050683
Lin J, Du G, Zhang Y, Yu X. Coupling of Changing Trends in Population and Construction Land in Traditional Rural Areas and Spatial Patterns in Urban–Rural Development, 2016–2021: A Case Study of Heilongjiang Province, China. Land. 2024; 13(5):683. https://doi.org/10.3390/land13050683
Chicago/Turabian StyleLin, Jia, Guoming Du, Ying Zhang, and Xiaoyang Yu. 2024. "Coupling of Changing Trends in Population and Construction Land in Traditional Rural Areas and Spatial Patterns in Urban–Rural Development, 2016–2021: A Case Study of Heilongjiang Province, China" Land 13, no. 5: 683. https://doi.org/10.3390/land13050683
APA StyleLin, J., Du, G., Zhang, Y., & Yu, X. (2024). Coupling of Changing Trends in Population and Construction Land in Traditional Rural Areas and Spatial Patterns in Urban–Rural Development, 2016–2021: A Case Study of Heilongjiang Province, China. Land, 13(5), 683. https://doi.org/10.3390/land13050683

