Abstract
China’s National Key Ecological Function Zones (NKEFZs) currently represent the largest and most extensive ecological conservation policy in China, with one of the core objectives of this policy being to improve eco-environmental quality (EEQ). This study regards the establishment of NKEFZs as a quasi-natural experiment. Based on panel data from 130 counties in Sichuan Province from 2001 to 2021, a multi-period difference-in-differences (DID) model was employed to evaluate the impact of NKEFZ establishment on EEQ. The findings indicate the following: ① The establishment of NKEFZs can significantly enhance the EEQ of the covered areas, albeit as a gradual long-term process. This conclusion not only meets the parallel-trends assumption but also holds true in a series of robustness tests such as placebo tests. ② Mechanism analysis reveals that NKEFZs can enhance EEQ through the effects of optimizing land spatial allocation and upgrading industrial structure. ③ Heterogeneity analysis demonstrates that the beneficial effect of NKEFZs on EEQ varies across different functional zone types, geographic spaces and ethnic regions. Our study not only contributes to the accumulation of empirical evidence and institutional refinement in the sustainable implementation of ecological policies in China but also offers valuable insights and references for other countries in formulating policies for eco-environmental protection.
1. Introduction
Ecological protection is critical for human activities, yet the eco-environment faces severe impacts from global-warming-induced extreme weather and natural disasters [,]. The increasing global focus on the eco-environment necessitates stronger ecological management, active participation in environmental governance and collaborative efforts to tackle challenges posed by global environmental change []. Addressing these challenges aligns with the United Nations (UN)’s Sustainable Development Goals (SDGs) []. Amid rapid economic development, China is playing an increasingly important leadership role in global conservation activities, promoting global environmental governance and sustainable development through policy formulation, international cooperation and ecological civilization []. Improving the eco-environment has become a fundamental criterion for assessing high-quality and green development. Human activities involving improper territorial spatial utilization and unreasonable structures contribute significantly to the degradation of terrestrial ecosystems. Excessive encroachment on ecological spaces by production and residential areas significantly exacerbates environmental problems []. In response, China introduced the “National Master Plan for Major Function Zones” in December 2010. The NKEFZ policy has a wide range of pilots, a large number of beneficiaries and a large number of transfers, making it the world’s largest ecological poverty-alleviation program []. This plan delineates the primary functions of different regions to foster a coordinated spatial development pattern integrating population, economic, resource and environmental considerations. Major function zones, according to their development focus, are categorized into urbanized areas, major agricultural production areas and key ecological function zones. The latter category primarily aims to improve the eco-environment and provide ecological products. Notably, National Key Ecological Function Zones (NKEFZs) serve as a vital natural ecological barrier in China, with the NKEFZ policy emerging as the country’s largest regional ecological compensation initiative [,]. In this context, addressing sustainable development challenges and ensuring that NKEFZs effectively enhance eco-environmental quality (EEQ) are pivotal for the stable and enduring success of this ecological policy.
Under the existing framework, NKEFZs primarily offer positive incentives to local governments via ecological transfer payments []. Additionally, NKEFZs possess the financial capability to augment the government’s delivery of basic public services []. Scholars have extensively explored the qualitative aspects of NKEFZs, focusing on policy interpretation, incentive effects, fund allocation and compensation standards. Initial studies indicated a modest ecological compensation effect from NKEFZs, closely linked to their transfer payment policies [] and the ecological conditions during the baseline period []. The allocation of transfer payment funds for NKEFZs was not favorably biased towards zones with limited financial resources and poor EEQ []. Furthermore, previous scholars have found discrepancy exists between the dual objectives of eco-environment protection and livelihood improvement, and the performance evaluation metrics employed in both central and local NKEFZs’ transfer payment policies [,,].
In the quantitative evaluation of NKEFZ policies, studies have utilized remote sensing and Geographic Information System (GIS) technologies to compare environmental changes before and after policy implementation. These studies reveal an overall trend of eco-environmental improvement within NKEFZs [,], albeit with varying degrees of ecological improvement across different NKEFZs [,]. There is also a study that shows improvements in EEQ in NKEFZs, but to a lesser extent than in non-NKEFZ areas []. Furthermore, post-2010, the overall ecosystem service value of NKEFZs has significantly increased, though this varies among different types of NKEFZs []. Additionally, various studies have employed the difference-in-differences (DID) model to assess diverse environmental aspects, including water quality [], afforestation areas [] and sustainable development []. Zhu and Chen [] noted that transfer payments in NKEFZs have effectively enhanced the eco-environment in Guangdong Province, with a continually increasing beneficial effect.
While the existing literature has significantly contributed to the research on the effectiveness of NKEFZs, there remains a scope for further exploration. Studies on the environmental improvement of NKEFZs typically fall into two distinct categories. The first category, qualitative analysis, primarily scrutinizes the effectiveness of transfer payments, largely encompassing experiential summaries and theoretical explorations. The second category, quantitative analysis, tends to concentrate on specific dimensions or particular areas of environmental impact []. On one hand, remote sensing images interpreted through GIS technology generally extract overall feature changes after policy implementation []. However, isolating the impacts of NKEFZs from those of other ecological policies remains challenging []. On the other hand, while the DID model is a widespread method for policy evaluation, its application is often confined to specific fields. The establishment of NKEFZs, viewed as an exogenous policy impact, is well suited for DID model analysis to assess its effect on EEQ. The DID model discerns the net effect by contrasting environmental differences before and after policy implementation and between areas that are under the policy’s purview and those that are not []. This approach helps control pre-existing environmental variations, isolating the genuine impact of the policy [].
In order to deeply explore the long-term impacts of the National Key Ecological Function Zone (NKEFZ) policy on EEQ and the potential mechanisms of those impacts, this study utilizes and considers the establishment of the NKEFZs as a quasi-natural experiment. Employing panel data spanning 2001 to 2021 from 130 counties in Sichuan Province, this study uses a multi-period DID model to quantitatively evaluate the impact of NKEFZs on EEQ and explore the underlying mechanisms. This study significantly contributes to the empirical evidence base and institutional improvement for the sustainable implementation of ecological policies in China, while also providing valuable insights and guidelines for other nations developing eco-environmental protection policies.
2. Theoretical Analysis and Research Hypothesis
NKEFZs are pivotal in safeguarding national ecological security, performing key ecological functions including water conservation (WC), soil conservation (SC), windbreak and sand-fixation effects (WSF) and biodiversity maintenance (BM). NKEFZs represent China’s most extensive ecological compensation policy in terms of scale and range. By the end of 2010, China had established an initial set of 25 NKEFZs, encompassing 436 county-level regions. An additional 240 counties (including cities, districts and banners) were incorporated into the NKEFZs in 2016. The primary objective of NKEFZs is to augment regional ecological services and enhance EEQ. In comparison with non-NKEFZ areas, the policy constraints and incentives within NKEFZs strengthen environmental governance. This typically entails stricter environmental regulations, facilitating control over pollution emissions and reduction of negative environmental externalities. Consequently, protecting and restoring the eco-environment in NKEFZs is instrumental in improving EEQ. Additionally, the establishment of NKEFZs influences EEQ through the effects of territorial spatial configuration and industrial structure upgrading. Based on the above analysis, this study will formulate the first hypothesis as follows:
Hypothesis 1.
NKEFZs have a significant beneficial effect on EEQ.
2.1. Territorial Spatial Configuration Effect
NKEFZs expand ecological space by optimizing territorial development patterns. NKEFZs impose strict controls on the intensity and scope of territorial development. Development within NKEFZs is aligned with the carrying capacity of regional resources and the environment []. Restrictions on large-scale, high-intensity developments mandate that NKEFZs be strategically placed in cities and towns with robust resource and environmental carrying capacities. Additionally, all territorial space development must fall within the clearly defined ecological red lines. Restricted development areas and ecological red lines serve distinct ecological functions. By optimizing territorial development patterns, land use functions can be developed more rationally, enhancing the efficiency of territorial spatial configuration [] and thus contributing to eco-environmental improvement. Based on the above analysis, this study will formulate the second hypothesis based on the first hypothesis as follows:
Hypothesis 2a.
NKEFZs can improve EEQ through a territorial spatial configuration effect.
2.2. Industrial Structure Upgrading Effect
NKEFZs enforce a stringent negative list system for industrial access. This system specifies industries with restricted or prohibited development and aligns these with corresponding industrial and environmental access standards. NKEFZs encourage the moderate development and utilization of regionally advantageous resources and the rational development of appropriate industries. With stricter industrial access requirements, it becomes crucial to either facilitate the gradient transfer or phase out outdated production capacities in industries misaligned with the main functional objectives. Encouraging the growth of ecological industries and low-pollution service sectors, such as tourism and sightseeing, supports the upgrading of the industrial structure in these functional areas []. Structural upgrading and adjustment play a significant role in reducing pollutant emissions and enhancing the eco-environment. Accompanying technological advancements also lessen the impact of resource and environmental constraints on economic growth [], facilitating the green transformation of industrial development. Based on the above analysis, this study will formulate the third hypothesis based on the first hypothesis as follows:
Hypothesis 2b.
NKEFZs can improve EEQ through an industrial structure upgrading effect.
3. Research Design, Variables and Data
3.1. Model Setting
According to the “National Master Plan for Major Function Zones”, the Chinese government officially established the first batch of NKEFZ counties in 2011 and approved the list of the second batch of counties in 2016. This study constructs a quasi-natural experiment based on this. The establishment of NKEFZs adopts a step-by-step approach on a yearly basis, with different counties experiencing policy shocks at different times, making it suitable for the use of a multi-period DID model. Therefore, this study draws on the approach of Callaway et al. [] and Goodman-Bacon et al. [] to construct a multi-period DID model, setting group dummy variables (treated) with a value of 1 for the experimental group (NKEFZ counties) and 0 for the control group (non-NKEFZ counties); policy implementation time is represented by dummy variables (dt) with a value of 1 for the year when the county is designated as an NKEFZ and subsequent years and 0 otherwise. The construction of the multi-period DID model is as follows:
where i and t represent the county and year, respectively; EEQi,t is the dependent variable, representing the eco-environmental quality of the county; NKEFZi,t is the key explanatory variable, representing the policy dummy variable for the establishment of NKEFZs, with the coefficient α1 reflecting the net policy effect of establishing NKEFZs; if the establishment of NKEFZs contributes to the improvement of eco-environmental quality, α1 is significantly positive; Controlsi,t represents the set of control variables; ηi and μt denote fixed effects for cities and years, respectively; and εi,t represents the random disturbance term. This model allows for effective control of the differences in eco-environmental quality characteristics and temporal trends between counties with and without NKEFZs.
3.2. Variable Selection
3.2.1. Dependent Variable
The dependent variable was EEQ, represented by an EEQ index. This index, developed by Xu et al. [] using MODIS satellite remote sensing data from the National Aeronautics and Space Administration (NASA), was calculated utilizing the RSEI model on the Google Earth Engine platform. The data range of this index spans from 0 to 1 and has been rigorously validated to align closely with the environmental index provided by the Chinese Ministry of Ecology and Environment, underscoring its robust reliability.
3.2.2. Core Independent Variable
The core independent variable was the establishment of NKEFZs. The DID model constructed in this study evaluates the impact of the establishment of NKEFZs on EEQ in terms of county and year dimensions, as follows: ① The county scope of policy implementation. According to policy documents, the first batch covered 9 counties within the study area, and the second batch covers 4 counties. ② Time points of policy implementation. Based on the time of issuance of the “National Master Plan for Major Function Zones” and the time of the addition list, 2011 was determined as the starting time of the first batch of NKEFZs, and 2016 was the starting time of the addition list.
3.2.3. Mediating Variables
According to theoretical analysis, the mediating variables included territorial spatial configuration and industrial structure upgrading.
(1) Territorial spatial configuration (terri). Territorial space can be divided into four categories: urban space, agricultural space, ecological space and other space. Among them, ecological space is space with the main function of providing ecological products or services; it consists mainly of forest land, grassland and waters, and it also includes sandy land, saline and alkaline land, etc. []. The territorial spatial configuration is characterized by the proportion of ecological space, that is, the ratio of the sum of the forest, grassland, waters and other ecological spaces to the land area.
(2) Industrial structure upgrading (indus). Industrial structure upgrading mainly refers to the advanced transformation of leading industries towards industrialization and service orientation []. It is represented by the proportion of the secondary and tertiary industry output value in GDP to signify the upgrading of industrial structure, reflecting the trend towards industrial structure advancement [].
3.2.4. Control Variables
In addition to direct impacts from policy implementation, EEQ is also influenced by various factors such as socio-economic conditions [], fundamental endowments [] and natural climate [], thus necessitating the control of these exogenous factors. The main variables selected were as follows: population density (den), used to reflect the growth of population size; fiscal self-sufficiency rate (fissr), used to indicate the independence and sustainability of local government in fiscal revenue and expenditure; government intervention (gov), used to reflect the role of local government in regulating the market economy; and local fiscal revenue (lfr), used to reflect the capacity and status of local government in fiscal management and provision of public services. Natural climate factors primarily include annual precipitation (pre) and average annual temperature (tem), selected to examine the impact of climatic conditions on EEQ.
3.3. Data Sources
The data used in this study can be categorized into the following three groups:
(1) List of NKEFZs counties. The panel data for this study comprise data from 130 counties in Sichuan Province from 2001 to 2021, including 13 NKEFZ counties and 117 non-NKEFZ counties. Among the 13 NKEFZ counties, 9 were established in the first batch of NKEFZs, and 4 were established in the second batch (Figure 1). The list of NKEFZ counties in the research sample was compiled based on relevant documents in the “National Master Plan for Major Function Zones” and the supplementary lists of NKEFZs.

Figure 1.
Map of the study area.
(2) Remote sensing data. EEQ is derived from the National Earth System Science Data Center (http://www.geodata.cn (accessed on 6 January 2024)), which releases the China Historical High-Resolution EEQ Dataset (2001–2021), with a spatial resolution of 1 km. Similarly, natural climate data are sourced from the aforementioned platform, consisting of the China 1 km resolution monthly average temperature dataset and China 1 km resolution monthly precipitation dataset. The land-use data were obtained from the annual land-use dataset of China for 1985–2022 (https://zenodo.org/records/8176941 (accessed on 6 January 2024)), produced and released by two professors, Jie Yang and Xin Huang of Wuhan University, which was verified to have a precision of 79.31% and a high degree of credibility [].
(3) Socio-economic data primarily came from the “Statistical Yearbook of Sichuan Province” (https://tjj.sc.gov.cn/scstjj/c105855/nj.shtml (accessed on 6 January 2024)) and the statistical yearbooks of prefecture-level cities to which each county belongs. Missing data were supplemented by county-level statistical yearbooks and statistical bulletins, with interpolation being used to fill in the remaining gaps. Variable explanations and descriptive statistics are presented in Table 1. The variance inflation factors (VIFs) for all independent variables were all significantly less than 10, with an average VIF of 1.47, indicating no apparent multicollinearity issues among the variables.

Table 1.
Variable definition and descriptive statistics.
4. Results and Discussion
4.1. Benchmark Regression
The benchmark regression results (Table 2) show that the estimated coefficients of DID are significantly positive from (1) to (4). Regardless of whether county and year are fixed or not and whether a series of socio-economic and natural climate variables are controlled or not, the establishment of NKEFZs has a significant positive impact on EEQ. In other words, the establishment of NKEFZs can significantly improve EEQ. Focusing on the DID estimation coefficient of (4), compared to non-NKEFZs, the average treatment effect of NKEFZs on EEQ at the prefecture level is about 0.0162. The establishment of NKEFZs has a significant improvement effect on EEQ, which is in accordance with their original intention and task of improving the ecological environment. Hypothesis 1 is valid.

Table 2.
Results of benchmark regression.
4.2. Parallel-Trends Test and Dynamic Effect of Policy
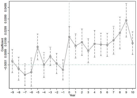
Fulfilling the parallel-trends assumption is a crucial prerequisite to ensure unbiased estimation results from the DID model []. In the baseline model of this study, it is required that the EEQ values of the treatment group and the control group of counties exhibit similar trends in variation when not affected by the establishment of NKEFZ policy. Meanwhile, due to factors such as implementation foundation, intensity and adjustment of production factors affecting the establishment of NKEFZs, the policy effects of NKEFZ establishment may experience lag and digestion periods, leading to potential policy implementation effects having some degree of delay []. Taking into account the considerations mentioned above, this study will follow Beck’s [] approach and employ event analysis to examine the parallel-trends assumption in the multi-period DID estimation applied in this study and the dynamism of policy effects from the establishment of NKEFZs. The specific model is as follows:
where i and t represent county and year, respectively; EEQi,t represents the eco-environmental quality of counties; NKEFZk represents the “event” of the establishment of NKEFZs, which is a dummy variable; k represents the year in which the NKEFZ is established, with values from −10 to 10; αk is the yearly policy effect, reflecting the EEQ gap between treatment-group and control-group counties in year t of the NKEFZs’ establishment; and Controlsi,t, ηi, μt and εi,t are defined as in Equation (1) above. In the model, the year of establishment of NKEFZs, i.e., 2011, is taken as the base year.
Results from parallel-trends tests and dynamic effects analysis (Figure 2) indicate that during the policy window period, before the establishment of NKEFZs, almost all regression results are statistically nonsignificant, indicating no significant difference in EEQ between the treatment and control groups. However, after the establishment of NKEFZs, all coefficient regression results are significantly positive, indicating a significant improvement in EEQ in the treatment-group counties compared to the control-group counties, thereby confirming the parallel-trends assumption. Regarding the changes in dynamic effects, with the formal implementation of the NKEFZ policy, its average treatment effect on EEQ has been significantly positive, and this positive effect has exhibited an increasing trend overall with the implementation of the policy, demonstrating temporal persistence. Thus, DID analysis effectively captures the changes in EEQ in areas covered by NKEFZs. The improvement of EEQ is a gradual long-term process, where the effects of NKEFZs and their transfer payments are relatively small in the short term but gradually strengthen over the long term. Continuous longitudinal ecological compensation for NKEFZs is necessary for sustained improvement in EEQ [].

Figure 2.
Parallel-trends test and dynamic change trend of processing effect.
4.3. Robustness Test
To verify the stability and reliability of results, a series of robustness tests were conducted.
4.3.1. Placebo Test
Considering that the changes in EEQ between the treatment and control groups after the establishment of NKEFZs may still be influenced by omitted variables, random factors and other effects, this study conducted a placebo test on the baseline regression using a counterfactual framework. The specific procedure involved using a non-parametric permutation test method to conduct non-repetitive random sampling of all counties and policy times [,]. Since there were a total of 13 counties covered by the two batches of NKEFZs, the initial step was to randomly select 13 counties from the total sample as the treatment group, with the remaining counties serving as the control group. Then, a random year between 2001 and 2021 was selected as the establishment time of NKEFZs, constructing a random experiment with both county and implementation time as dimensions. To enhance the explanatory power of the placebo test, the above random process was repeated 500 times, resulting in a kernel density distribution plot of DID estimation coefficients under 500 random policy shocks (Figure 3). If the distribution of estimated coefficients under random processing is near 0, it means that the false policy variable has not significantly affected the EEQ of counties, indicating that the effect observed in the baseline analysis is indeed caused by the establishment of NKEFZs. From the distribution plot of estimated coefficients shown in Figure 3, it can be observed that the false regression coefficients are concentrated near 0 and far from the baseline regression coefficients in this study. Therefore, it can be concluded that the baseline estimation results are not affected by omitted variables, random factors, etc., and are robust and reliable.

Figure 3.
Results of the placebo test.
4.3.2. PSM-DID
It is important to consider that the designation of NKEFZs is not entirely random, but rather a selection made after a comprehensive assessment that consists of constructing main functional zones and optimizing the spatial pattern of land development, focusing on regions critical for national ecological security and having relatively low ecological carrying capacity []. This may result in potential sample selection bias issues in the baseline regression; propensity score matching (PSM) can address this sample selection problem under non-random experimental conditions []. Therefore, to alleviate sample selection bias and reduce estimation bias in the DID model, this study further employed PSM-DID for evaluation. Specifically, the control variables from previous analysis were used to predict the probability of each county being designated as an NKEFZ (logit regression). Then, the study used a caliper-based k-nearest neighbor matching method (with k set at 1, i.e., 1:1 matching) to match the samples designated as NKEFZs (treatment group) with the control group, thereby ensuring that there were no significant systematic differences between the treatment and control groups before the establishment of NKEFZs, and subsequently used the matched samples for DID estimation.
The balance test result of PSM in Figure 4 shows that after matching, the majority of covariates align more closely with the vertical line representing a standard error of zero, signifying the balanced distribution of the matched formations. Regression results (Table 3) show that after PSM, the designation of NKEFZs still significantly positively affects the EEQ of counties. The regression results of the PSM-DID model are consistent with those of the DID model based on the previous section, further indicating that the establishment of NKEFZs can effectively enhance the EEQ of counties.

Figure 4.
Balance test of changes in data pairings.

Table 3.
Robustness tests.
4.3.3. Replacement of Dependent Variables
The net primary productivity (NPP) of vegetation, a vital parameter representing terrestrial ecological processes, reflects the productivity and quality of ecosystems []. It is frequently employed as a core indicator to characterize EEQ []. Consequently, NPP was utilized as a proxy variable for EEQ to re-estimate the impact of NKEFZs on EEQ, as shown in Table 3. The results reveal that the DID estimation coefficient is significantly positive, suggesting that NKEFZs have notably increased NPP levels, thus contributing to the enhancement of EEQ. Overall, this analysis confirms the robust positive effect of NKEFZs on EEQ, sustained even when the explained variable is substituted.
4.4. Mechanism Analysis
This study establishes that NKEFZs positively impact EEQ. The critical inquiry is as follows: how is this improvement effectuated? Integrating theoretical analysis, this study delved into the transmission mechanisms through which NKEFZs affect EEQ, specifically from the perspectives of territorial spatial configuration and industrial structure upgrading. The model development drew on the sequential testing approach used in existing studies []. The first step involved examining the influence of NKEFZs on mediating variables. The second step tested the combined impact of NKEFZs and these mediating variables on EEQ, as detailed in Table 4.

Table 4.
The results of the mechanism test.
4.4.1. Territorial Spatial Configuration Effect
NKEFZs exert a significant positive influence on the territorial spatial configuration. This implies that the establishment of NKEFZs aids in expanding ecological space and increasing its proportion within the overall territorial layout. The coefficient relating to territorial spatial configuration reveals a significantly positive effect on EEQ when the proportion of ecological space is increased. Optimizing the territorial spatial layout is shown to enhance EEQ. It is evident that the optimization of territorial spatial configuration acts as a beneficial intermediary mechanism by which NKEFZs positively impact EEQ. By optimizing the territorial spatial configuration, NKEFZs enhance EEQ, thereby substantiating Hypothesis 2a.
4.4.2. Industrial Structure Upgrading Effect
NKEFZs significantly positively influence the upgrading of industrial structures. This suggests that NKEFZs contribute to advancing the industrial structures within their jurisdictions, notably by increasing tertiary industry’s share in the national economy. The positive coefficient of industrial structure upgrading reveals a significant positive impact on EEQ. Industrial structure upgrading plays a crucial role in enhancing EEQ. It becomes clear that industrial structure upgrading acts as a beneficial intermediary mechanism by which NKEFZs positively affect EEQ. The enhancement of EEQ through the promotion of industrial structure upgrading by NKEFZs substantiates Hypothesis 2b.
4.5. Heterogeneity Analysis
NKEFZs across various regions are subject to diverse influences, including ecological foundations, endowment conditions and geographical locations. This leads to variations in eco-environmental quality among NKEFZs []. Consequently, conducting a heterogeneity analysis of the baseline regression results was essential. This heterogeneity analysis encompassed three perspectives: firstly, the variations in types of NKEFZs; secondly, the geographical spatial differences among NKEFZs; and thirdly, the disparities in ethnic regions hosting these zones.
4.5.1. Heterogeneity Test for Types of NKEFZs
Considering the variety in ecological products, services and functional positioning, NKEFZs in Sichuan Province can be categorized into three types: WC, SC and BM, as detailed in Table 5. Analysis reveals that ecological function zones, classified as WC, SC and BM, significantly enhance EEQ. Among these, SC function zones demonstrate the most substantial improvement in EEQ, followed by BM zones, while WC zones exhibit a less pronounced enhancement of EEQ.

Table 5.
Heterogeneity analysis: differences based on function type.
Counties implementing SC measures adopt various engineering strategies to rationally protect and utilize water and soil resources. These include constructing protective structures, afforestation, grass planting, forest closure and soil and water conservation efforts []. These counties also focus on soil improvement, enhancing soil organic matter to combat erosion and adopting farming methods designed to reduce soil loss, thereby improving EEQ. BM counties advance by constructing on-site protection systems and improving biodiversity relocation protection efforts. These measures aim to maintain and restore the balance of wildlife species and populations; prevent habitat alterations due to ecological construction; and thereby enhance ecosystem stability, strengthen biodiversity protection and improve regional EEQ []. WC counties consolidate ecological engineering achievements, adopting localized measures such as afforestation, aerial seeding, grass planting and soil improvement. These efforts target rainwater conservation and water-saving. By scientifically managing afforestation, they help intercept precipitation, regulate runoff, control soil erosion and restore vegetation []. This approach promotes a beneficial water cycle within the ecosystem, continually enhancing WC functions [] and ultimately bolstering regional EEQ.
4.5.2. Terrestrial Spatial Position Heterogeneity Test
Considering the variations in ecological endowments and sensitivities across different geographical areas, the Sichuan Terrestrial Spatial Planning (2021–2035) categorizes the study region into three zones: the Chengdu Plain Economic Zone (CPEZ), the Northeast Sichuan Economic Zone (NSEZ) and the South Sichuan Economic Zone (SSEZ). Among these zones, the CPEZ encompasses eight counties designated as NKEFZs, while the NSEZ includes five such counties. Regression results (Table 6) reveal that the establishment of NKEFZs in both the CPEZ and the NSEZ has positively impacted EEQ. Notably, the improvement in EEQ is more pronounced in the CPEZ than in the NSEZ. The CPEZ, characterized as both a traditional agricultural hub and a rapidly developing socioeconomic region in Sichuan, faces a stark contradiction among population growth, economic expansion and environmental carrying capacity, leading to significant eco-environmental challenges. The establishment of NKEFZs in the CPEZ has catalyzed the completion of industrial restructuring and the implementation of ecological restoration policies, markedly improving the region’s EEQ. Conversely, the NSEZ, primarily forested and located in the Qinba Mountain area, possesses a robust eco-environmental foundation. Consequently, the marginal effect of ecological policy implementation, initiated by the establishment of NKEFZs, in enhancing the eco-environment in this area is relatively modest.

Table 6.
Heterogeneity analysis: regional differences based on geographic space.
4.5.3. Ethnic Region Heterogeneity Test
Significant disparities in socio-economic development and cultural ideologies, notably in ecological consciousness, exist between Minority Ethnic Regions (MERs) and Han Regions (HRs) []. These differences could influence the effectiveness of establishing NKEFZs in these regions. This study addressed these disparities by conducting a subgroup heterogeneity test. Regression results (Table 6) demonstrate that establishing NKEFZs in both MERs and HRs positively impacts EEQ. Specifically, MERs exhibit greater policy effects than HRs in improving EEQ. The lag in socio-economic development and complex social governance in MERs, along with limited ecological awareness, has contributed to significant eco-environmental damage in these regions []. The establishment of NKEFZs in MERs has led to the phasing out of highly polluting and energy-intensive enterprises, fostering a shift towards green industries such as eco-tourism. Furthermore, the implementation of various local ecological restoration and protection projects has significantly enhanced EEQ in these regions.
5. Conclusions and Implications
5.1. Conclusions
This study treats the establishment of NKEFZs as a quasi-natural experiment. Using Sichuan Province as a case study, this study employs a multi-period DID model to assess the impact of NKEFZs on EEQ. The findings reveal that the establishment of NKEFZs significantly improves EEQ. Compared to areas without NKEFZs, the average treatment effect at the county level is a 0.0162 increase in EEQ. This conclusion is substantiated by parallel-trends analyses and comprehensive robustness checks. The positive impact of NKEFZs on EEQ is gradual and long-term, with modest initial effects that intensify progressively. Modifications in territorial spatial configuration and industrial structure upgrading emerge as effective mechanisms in the improvement of EEQ through NKEFZs. The policy impacts of NKEFZs vary across different functional-zone types, geographical locations and ethnic regions yet consistently contribute to EEQ enhancement.
5.2. Policy Implications
The conclusions of this study carry rich policy implications:
(1) Enhancing the sustainability of establishing and implementing NKEFZs is paramount. The establishment of NKEFZs serves as a significant incentive for local governments, encouraging proactive measures in ecological governance and environmental protection. To guarantee the long-term effectiveness of these incentives and mitigate the risk of ecological issues re-emerging, continuous national-level support and supervision are essential to bolster the stability and sustainability of policy implementation.
(2) Constructing a diversified ecological governance and supervision system, tailored to the specific needs of different functional zone types, geographical locations and ethnic regions, is crucial. In regions with high ecological vulnerability, including WC areas and ethnic minority regions, where eco-environmental conditions have been effectively improved, continued strengthening of ecological governance in key eco-functional zones is vital. This approach aims to enhance ecosystem services and consolidate the gains in improving EEQ. Additionally, the central government’s financial support for key eco-functional zones should be increasingly directed towards these high-vulnerability areas. Concurrently, it is essential to guide local governments to amplify their investment in environmental protection, enhance eco-environmental supervision and establish a sustainable ecological compensation mechanism.
(3) Strict adherence to the “National Master Plan for Functional Zones” is imperative for sustainable ecological management. Firstly, the plan mandates limiting human development and construction beyond the ecological red line, aligning with the environmental carrying capacity of ecological spaces. This approach aims to control the expansion and intensity of production spaces, thereby enhancing land-use efficiency and sustainability. Secondly, within the framework of enhanced ecological protection, the plan encourages exploring directions for industrial upgrading and transformation. These strategies should be compatible with and customized to the local eco-environment, promoting eco-friendly agriculture and service industries. Additionally, the plan highlights the importance of leveraging the ecological product potential of NKEFZs, integrating this potential with broader industrial transformation efforts. The plan also advocates for exploring development paths within the constraints of resource availability, environmental carrying capacity and market dynamics, with a focus on green industries such as eco-tourism and clean energy.
Author Contributions
Conceptualization, Y.D., S.Y. and M.H.; methodology, Y.D., M.H., X.Z. and X.Y.; software, Y.D., M.H. and X.Y.; validation, Y.D., M.H. and X.Y.; formal analysis, Y.D. and M.H.; investigation, L.M., Y.H., H.C. and Y.D.; resources, Y.D., S.Y., J.L., D.J. and M.H.; data curation, Y.D., L.M., Y.H., H.C. and M.H.; writing—original draft preparation, Y.D., M.H. and X.Y.; writing—review and editing, Y.D., M.H., J.L., D.J., S.Y. and X.Y.; visualization, Y.D., M.H., D.J. and X.Y.; supervision, M.H.; funding acquisition, Y.D. All authors have read and agreed to the published version of the manuscript.
Funding
This study was supported by the Sichuan Provincial Philosophy and Social Science Foundation Project (Grant No. SCJJ23ND423), the Project of Philosophy and Social Science Key Research Base-Industrial Transformation and Innovation Research Center of Zigong Municipal Federation of Social Sciences (Grant No. CZ23B02) and the Scientific Research and Innovative Teams Program of Sichuan University of Science & Engineering (Grant No. SUSE652B001).
Data Availability Statement
Data are available from the first author (Yuanjie Deng) upon reasonable request.
Acknowledgments
Yuanjie Deng, the first author of the study, thanks his family for their constant encouragement and support.
Conflicts of Interest
The authors declare no conflicts of interest.
References
- Heyes, A.; Saberian, S. Hot Days, the Ability to Work and Climate Resilience: Evidence from a Representative Sample of 42,152 Indian Households. J. Dev. Econ. 2022, 155, 102786. [Google Scholar] [CrossRef]
- Hussain, M.; Butt, A.R.; Uzma, F.; Ahmed, R.; Irshad, S.; Rehman, A.; Yousaf, B. A Comprehensive Review of Climate Change Impacts, Adaptation, and Mitigation on Environmental and Natural Calamities in Pakistan. Environ. Monit. Assess. 2020, 192, 48. [Google Scholar] [CrossRef] [PubMed]
- Li, J.; Hai, Q. Evaluation of Economic Security and Environmental Protection Benefits from the Perspective of Sustainable Development and Technological Ecological Environment. Sustainability 2023, 15, 6072. [Google Scholar] [CrossRef]
- Lilienfeld, E.; Nicholas, P.K.; Breakey, S.; Corless, I.B. Addressing Climate Change through a Nursing Lens within the Framework of the United Nations Sustainable Development Goals. Nurs. Outlook 2018, 66, 482–494. [Google Scholar] [CrossRef] [PubMed]
- Deng, Y.; Luo, J.; Wang, Y.; Jiao, C.; Yi, X.; Su, X.; Li, H.; Yao, S. Eco-Efficiency Evaluation of Sloping Land Conversion Program and Its Spatial and Temporal Evolution: Evidence from 314 Counties in the Loess Plateau of China. Forests 2023, 14, 681. [Google Scholar] [CrossRef]
- Chen, Y.; Xu, F. The Optimization of Ecological Service Function and Planning Control of Territorial Space Planning for Ecological Protection and Restoration. Sustain. Comput. Inform. Syst. 2022, 35, 100748. [Google Scholar] [CrossRef]
- Busch, J.; Ring, I.; Akullo, M.; Amarjargal, O.; Borie, M.; Cassola, R.S.; Cruz-Trinidad, A.; Droste, N.; Haryanto, J.T.; Kasymov, U.; et al. A Global Review of Ecological Fiscal Transfers. Nat. Sustain. 2021, 4, 756–765. [Google Scholar] [CrossRef]
- Chen, H.; Hou, M.; Xi, Z.; Zhang, X.; Yao, S. Co-Benefits of the National Key Ecological Function Areas in China for Carbon Sequestration and Environmental Quality. Front. Ecol. Evol. 2023, 11, 1093135. [Google Scholar] [CrossRef]
- Song, M.; Huang, D.; Paudel, B. A Supply-Demand Framework for Eco-Compensation Calculation and Allocation in China’s National Key Ecological Function Areas—A Case Study in the Yangtze River Economic Belt. Land 2022, 12, 7. [Google Scholar] [CrossRef]
- Chen, S.; Hou, M.; Ding, Z.; Yao, S. Does Green Location-Oriented Policy Enhance Ecological Resources and Reduce Air Pollution? Empirical Analysis from Counties in China. J. Environ. Manag. 2024, 349, 119437. [Google Scholar] [CrossRef]
- Fu, R.M.; Miao, X.L. Reconstructing the fiscal transfer system system in China’s ecological functional zones: Ecological spillover value measured based on an extended energy value model. Econ. Res. 2015, 50, 47–61. (In Chinese) [Google Scholar]
- Li, G.P.; Li, X.; Wang, H.Z. Analysis of the ecological compensation effect of transfer payments in national key ecological function zones. Contemp. Econ. Sci. 2013, 35, 58–64+126. (In Chinese) [Google Scholar]
- Xu, H.X.; Zhang, W.B. Research on the ecological protection effect of transfer payments in national key ecological functional areas—An empirical study based on data from Shaanxi Province. China Popul. Resour. Environ. 2017, 27, 141–148. (In Chinese) [Google Scholar]
- Li, G.P.; Li, X. Research on the allocation mechanism of transfer payment funds in national key ecological functional zones. China Popul. Resour. Environ. 2014, 24, 124–130. (In Chinese) [Google Scholar]
- Sun, H.; Dai, F.; Shen, W. How China’s Ecological Compensation Policy Improves Farmers’ Income?—A Test of Environmental Effects. Sustainability 2023, 15, 6851. [Google Scholar] [CrossRef]
- Li, G.P.; Wang, H.Z.; Liu, Q. Dual objectives and performance evaluation of transfer payments in national key ecological functional zones. J. Northwest Univ. (Philos. Soc. Sci. Ed.) 2014, 44, 151–155. (In Chinese) [Google Scholar] [CrossRef]
- Li, P.; Lu, Y.; Wang, J. Does Flattening Government Improve Economic Performance? Evidence from China. J. Dev. Econ. 2016, 123, 18–37. [Google Scholar] [CrossRef]
- Zhu, H.S.; Zhai, J.; Hou, P.; Wang, Q.; Chen, Y.; Jin, D.; Wang, Y.C. Conservation characteristics of key ecological functional zones under the perspective of ecosystem service trade-offs and synergies. J. Geogr. 2022, 77, 1275–1288. (In Chinese) [Google Scholar]
- Xu, J.; Xie, G.; Xiao, Y.; Li, N.; Yu, F.; Pei, S.; Jiang, Y. Dynamic Analysis of Ecological Environment Quality Combined with Water Conservation Changes in National Key Ecological Function Areas in China. Sustainability 2018, 10, 1202. [Google Scholar] [CrossRef]
- Hou, P.; Zhai, J.; Cao, W.; Yang, M.; Cai, M.Y.; Li, J. Changes in ecological status and assessment of protection effectiveness of national key ecological functional areas—A case study of national key ecological functional areas in the central mountainous area of Hainan Island. J. Geogr. 2018, 73, 429–441. (In Chinese) [Google Scholar]
- Du, S.X.; Liu, H.J.; Zhang, M.Y.; Wang, Y.L.; Liu, X.J. Assessment of Ecosystem Services in the National Key Ecological Function Areas for Water Conservation. J. Ecol. 2022, 42, 4349–4361. (In Chinese) [Google Scholar] [CrossRef]
- Xu, J.; Xie, G.D.; Xiao, Y.; Li, N.; Jiang, Y.; Chen, W.H. Dynamic analysis of ecological environment quality change in national key ecological functional areas. J. Ecol. 2019, 39, 3039–3050. (In Chinese) [Google Scholar]
- Liu, H.M.; Gao, J.X.; Liu, X.; Zhang, H.Y.; Xv, X.L. Assessment of changes in ecosystem service values in national key ecological functional areas from 2010 to 2015. J. Ecol. 2020, 40, 1865–1876. (In Chinese) [Google Scholar]
- Pan, D.; Tang, J. The Effects of Heterogeneous Environmental Regulations on Water Pollution Control: Quasi-Natural Experimental Evidence from China. Sci. Total Environ. 2021, 751, 141550. [Google Scholar] [CrossRef] [PubMed]
- Pan, D. The effects of command-and-control and market-incentivised environmental regulations on afforestation area—Quasi-natural experimental evidence from the county level in China. Resour. Sci. 2021, 43, 2026–2041. (In Chinese) [Google Scholar]
- Sun, M.; Yang, R.; Li, X.; Zhang, L.; Liu, Q. Designing a Path for the Sustainable Development of Key Ecological Function Zones: A Case Study of Southwest China. Glob. Ecol. Conserv. 2021, 31, e01840. [Google Scholar] [CrossRef]
- Zhu, Y.; Chen, H.H. Have transfers to key ecological function areas improved the ecological environment? Results based on PSM. South China J. Econ. 2020, 10, 125–140. (In Chinese) [Google Scholar] [CrossRef]
- Rafique, M.Z.; Nadeem, A.M.; Xia, W.; Ikram, M.; Shoaib, H.M.; Shahzad, U. Does Economic Complexity Matter for Environmental Sustainability? Using Ecological Footprint as an Indicator. Environ. Dev. Sustain. 2022, 24, 4623–4640. [Google Scholar] [CrossRef] [PubMed]
- Xu, J.; Xiao, Y.; Xie, G.; Wang, Y.; Lei, G. Assessment of the Benefit Diffusion of Windbreak and Sand Fixation Service in National Key Ecological Function Areas in China. Aeolian Res. 2021, 52, 100728. [Google Scholar] [CrossRef]
- Zhou, T.; Shen, W.; Qiu, X.; Chang, H.; Yang, H.; Yang, W. Impact Evaluation of a Payments for Ecosystem Services Program on Vegetation Quantity and Quality Restoration in Inner Mongolia. J. Environ. Manag. 2021, 303, 114113. [Google Scholar] [CrossRef]
- Zhang, T.; Hou, M.; Chu, L.; Wang, L. Can the Establishment of National Key Ecological Function Areas Enhance Vegetation Carbon Sink? A Quasi-Natural Experiment Evidence from China. Int. J. Environ. Res. Public Health 2022, 19, 12215. [Google Scholar] [CrossRef] [PubMed]
- Dong, Z.; Xia, C.; Fang, K.; Zhang, W. Effect of the Carbon Emissions Trading Policy on the Co-Benefits of Carbon Emissions Reduction and Air Pollution Control. Energy Policy 2022, 165, 112998. [Google Scholar] [CrossRef]
- Huang, X.J.; Chen, Y.; Zhao, Y.T.; Shi, M.Q.; Li, T.S. Optimisation of Land Spatial Development Patterns in the Yellow River Basin Based on the Perspective of Land Development Intensity. Geogr. Res. 2021, 40, 1554–1564. (In Chinese) [Google Scholar]
- Jiang, H.; Chen, L. Spatial allocation efficiency and control strategy of land resources in the main function area of county land space—A case study of Ganyu, Jiangsu. J. Nat. Resour. 2021, 36, 2424–2436. (In Chinese) [Google Scholar]
- Luo, Z.; Qi, B.C. The industrial transfer and upgrading effect of environmental regulation and the synergistic development effect of banks—Evidence from water pollution control in the Yangtze River Basin. Econ. Res. 2021, 56, 174–189. (In Chinese) [Google Scholar]
- Liu, Z.B.; Ling, Y.H. Structural transformation, total factor productivity and high-quality development. Manag. World 2020, 36, 15–29. (In Chinese) [Google Scholar] [CrossRef]
- Callaway, B.; Sant’Anna, P.H.C. Difference-in-Differences with Multiple Time Periods. J. Econom. 2021, 225, 200–230. [Google Scholar] [CrossRef]
- Goodman-Bacon, A. Difference-in-Differences with Variation in Treatment Timing. J. Econom. 2021, 225, 254–277. [Google Scholar] [CrossRef]
- Xu, D.; Yang, F.; Yu, L.; Zhou, Y.; Li, H.; Ma, J.; Huang, J.; Wei, J.; Xu, Y.; Zhang, C.; et al. Quantization of the Coupling Mechanism between Eco-Environmental Quality and Urbanization from Multisource Remote Sensing Data. J. Clean. Prod. 2021, 321, 128948. [Google Scholar] [CrossRef]
- Liu, J.L.; Liu, Y.S.; Li, Y.R. Classification evaluation and spatial-temporal pattern analysis of “three living spaces” in China. J. Geogr. 2017, 72, 1290–1304. (In Chinese) [Google Scholar]
- Liu, H.; Zhao, H. Upgrading Models, Evolutionary Mechanisms and Vertical Cases of Service-Oriented Manufacturing in SVC Leading Enterprises: Product-Development and Service-Innovation for Industry 4.0. Humanit. Soc. Sci. Commun. 2022, 9, 1–24. [Google Scholar] [CrossRef]
- Fang, F.Q.; Fu, Q. The economic growth effect of industrial structure upgrading: An empirical analysis based on panel data of 31 provinces in China from 2000 to 2020. Jianghan Forum, 2024; 1, 12–25. (In Chinese) [Google Scholar]
- An, M.; Xie, P.; He, W.; Wang, B.; Huang, J.; Khanal, R. Spatiotemporal Change of Ecologic Environment Quality and Human Interaction Factors in Three Gorges Ecologic Economic Corridor, Based on RSEI. Ecol. Indic. 2022, 141, 109090. [Google Scholar] [CrossRef]
- Wang, X.; Wang, Z.; Wang, R. Does Green Economy Contribute towards COP26 Ambitions? Exploring the Influence of Natural Resource Endowment and Technological Innovation on the Growth Efficiency of China’s Regional Green Economy. Resour. Policy 2023, 80, 103189. [Google Scholar] [CrossRef]
- Deng, Y.; Jia, L.; Guo, Y.; Li, H.; Yao, S.; Chu, L.; Lu, W.; Hou, M.; Mo, B.; Wang, Y.; et al. Evaluation of the Ecological Effects of Ecological Restoration Programs: A Case Study of the Sloping Land Conversion Program on the Loess Plateau, China. Int. J. Environ. Res. Public Health 2022, 19, 7841. [Google Scholar] [CrossRef] [PubMed]
- Yang, J.; Huang, X. The 30 m Annual Land Cover Dataset and Its Dynamics in China from 1990 to 2019. Earth Syst. Sci. Data 2021, 13, 3907–3925. [Google Scholar] [CrossRef]
- Bertrand, M.; Duflo, E.; Mullainathan, S. How Much Should We Trust Differences-In-Differences Estimates? Q. J. Econ. 2004, 119, 249–275. [Google Scholar] [CrossRef]
- Beck, T.; Levine, R.; Levkov, A. Big Bad Banks? The Winners and Losers from Bank Deregulation in the United States. J. Financ. 2010, 65, 1637–1667. [Google Scholar] [CrossRef]
- Bradley, D.; Kim, I.; Tian, X. Do Unions Affect Innovation? Manag. Sci. 2017, 63, 2251–2271. [Google Scholar] [CrossRef]
- Wang, Y.; Wei, S.; He, X.; Gu, H. Environmental Regulation and Entrepreneurial Activity: Evidence from the Low-Carbon City Pilot Policy in China. Sustain. Cities Soc. 2023, 98, 104829. [Google Scholar] [CrossRef]
- Bryson, A.; Dorsett, R.; Purdon, S. The Use of Propensity Score Matching in the Evaluation of Active Labour Market Policies; Department for Work and Pensions: London, UK, 2002.
- Xiao, F.; Liu, Q.; Xu, Y. Estimation of Terrestrial Net Primary Productivity in the Yellow River Basin of China Using Light Use Efficiency Model. Sustainability 2022, 14, 7399. [Google Scholar] [CrossRef]
- Zhang, Y.; Hu, Q.; Zou, F. Spatio-Temporal Changes of Vegetation Net Primary Productivity and Its Driving Factors on the Qinghai-Tibetan Plateau from 2001 to 2017. Remote Sens. 2021, 13, 1566. [Google Scholar] [CrossRef]
- Baron, R.M.; Kenny, D.A. The Moderator–Mediator Variable Distinction in Social Psychological Research: Conceptual, Strategic, and Statistical Considerations. J. Personal. Soc. Psychol. 1986, 51, 1173. [Google Scholar] [CrossRef] [PubMed]
- Sun, X.; Li, G.; Wu, Q.; Li, D.; Lu, D. Examining the Effects of Soil and Water Conservation Measures on Patterns and Magnitudes of Vegetation Cover Change in a Subtropical Region Using Time Series Landsat Imagery. Remote Sens. 2024, 16, 714. [Google Scholar] [CrossRef]
- Bullock, J.M.; Aronson, J.; Newton, A.C.; Pywell, R.F.; Rey-Benayas, J.M. Restoration of Ecosystem Services and Biodiversity: Conflicts and Opportunities. Trends Ecol. Evol. 2011, 26, 541–549. [Google Scholar] [CrossRef] [PubMed]
- Zhang, F.; Xing, Z.; Rees, H.W.; Dong, Y.; Li, S.; Meng, F. Assessment of Effects of Two Runoff Control Engineering Practices on Soil Water and Plant Growth for Afforestation in a Semi-Arid Area after 10 Years. Ecol. Eng. 2014, 64, 430–442. [Google Scholar] [CrossRef]
- Palardy, J.E.; Witman, J.D. Water Flow Drives Biodiversity by Mediating Rarity in Marine Benthic Communities: Water Flow Mediates Rarity and Diversity. Ecol. Lett. 2011, 14, 63–68. [Google Scholar] [CrossRef] [PubMed]
- Hillman, B. The Rise of the Community in Rural China: Village Politics, Cultural Identity and Religious Revival in a Hui Hamlet. China J. 2004, 51, 53–73. [Google Scholar] [CrossRef]
- Baranovitch, N. Ecological Degradation and Endangered Ethnicities: China’s Minority Environmental Discourses as Manifested in Popular Songs. J. Asian Stud. 2016, 75, 181–205. [Google Scholar] [CrossRef]
Disclaimer/Publisher’s Note: The statements, opinions and data contained in all publications are solely those of the individual author(s) and contributor(s) and not of MDPI and/or the editor(s). MDPI and/or the editor(s) disclaim responsibility for any injury to people or property resulting from any ideas, methods, instructions or products referred to in the content. |
© 2024 by the authors. Licensee MDPI, Basel, Switzerland. This article is an open access article distributed under the terms and conditions of the Creative Commons Attribution (CC BY) license (https://creativecommons.org/licenses/by/4.0/).