Spatio-Temporal Evolution and Multi-Scenario Simulation of Non-Grain Production on Cultivated Land in Jiangsu Province, China
Abstract
1. Introduction
2. Materials and Methods
2.1. Study Area
2.2. Data Sources and Pre-Processing
2.3. Methods
2.3.1. NGPR
2.3.2. Land Use Transfer Matrix
2.3.3. Kernel Density Estimate
2.3.4. Spatial Autocorrelation Analysis
2.3.5. NGP Simulation
- PLUS model. The PLUS model, introduced by the HPSCIL@CUG laboratory team at China University of Geosciences (Wuhan, China) in 2020 [27], is a patch-based land-use change simulation model that operates on raster data. This model effectively identifies the driving forces behind land expansion and landscape modifications, enabling a more accurate simulation of the progression of land-use patches. The PLUS model comprises two key components:
- Land Expansion Analysis Strategy (LEAS): This strategy involves extracting various land use expansion areas between two stages of land use change. It then selects from the expanded areas, using the Random Forest algorithm to identify the influencing factors and driving forces behind each type of land use expansion individually. This process allows for the determination of development probabilities and the contribution of driving factors for all types of land use expansion during the specified period.
- Cellular Automata based on multiple random patch seeds (CARS) model: The PLUS model integrates random seed generation and a threshold-decreasing mechanism to dynamically simulate the automatic generation of patches in space under specific development probability constraints.
- 2.
- Scenario analysis. Based on the documents “Jiangsu Province Land Spatial Planning (2021–2035)” and “Jiangsu Province 14th Five-Year Plan Grain Industry Development Plan”, as well as drawing insights from previous studies [43,44,45], the study established three development scenarios as follows:
- Natural development scenario (NDS): Based on the change rule of land use in Jiangsu Province from 2000 to 2019, the distribution of NGPCL under the natural growth scenario in 2038 was simulated without any constraints.
- Cultivated land protection scenario (CPS): Considering the requirements of “stabilizing the amount of cultivated land, optimizing the layout of cultivated land, and strictly controlling the occupation of cultivated land by non-agricultural construction” mentioned in the land space planning of Jiangsu Province (2021–2035), this scenario reduced the probability of transferring cultivated land to construction land, forest land, grassland and water by 30% and 100% to unutilized land based on the probability of the natural development scenario to simulate the protection of cultivated land by land managers.
- Food security scenario (FSS): Considering the requirements of “Strictly controlling non-grain production and guaranteeing food security” mentioned in the “Jiangsu Province Land Space Planning (2021–2035)” and the “14th Five-Year Plan for the Development of Grain Industry in Jiangsu Province”, this scenario reduced the probability of transferring GPCL to NGPCL by 30% based on the probability of the CPS to simulate the control measures taken by the land managers on the NGP.
3. Results
3.1. Timing Evolution of NGP in Jiangsu Province
- From 2000 to 2010, the province’s NGPR declined by 6.59%. This decline can be attributed to China’s active implementation of agricultural policies and reforms in the grain circulation system after 2003. In addition, in 2004, Jiangsu Province introduced supportive policies such as grain subsidy policies and agricultural tax reductions and exemptions. This has boosted grain production and increased farmers’ incentives to cultivate grain. Consequently, the dominance of grain production increased, leading to a decline in the NGPR during this period.
- In the period from 2010 to 2019, the NGPR in Jiangsu Province experienced a slight increase, primarily due to declining grain prices. The continuous decrease in grain prices, particularly rice prices, exhibited a downward trend from 2012, reaching CNY 2.4/kg in 2019. This decline in the profitability of grain cultivation prompted some farmers to shift towards planting cash crops with higher economic returns. The average annual increase in the NGPCL rate in Jiangsu Province during this period was 0.17%, with an average annual increment in the area of NGPCL amounting to 51.32 km².
3.2. Spatial Evolution of NGP in Jiangsu Province
3.2.1. Spatial Clustering Analysis of NGPCL
3.2.2. Spatial Evolution of the NGPR
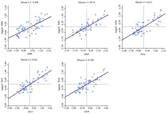
3.2.3. Spatial Correlation of NGP
3.3. Multi-Scenario Simulation Results for NGP in Jiangsu Province
4. Discussion
4.1. Research Significance
4.2. Exploration of Driving Mechanisms
4.3. Policy Implications
- The AS has indeed resulted in the reduction of cultivated land in Jiangsu Province. Without effective restrictions, the trend of AS occupying a significant amount of cultivated land is likely to persist in the future. By enhancing the protection of cultivated land and imposing strict controls on the conversion of cultivated land to other land categories, such as, agricultural resources can be protected and a balance between urban development and agricultural production can be achieved. These measures are essential for ensuring food security, promoting sustainable land use practices, and preserving the long-term productivity of Jiangsu Province’s agricultural sector.
- The NGP is a result of farmers weighing various factors, including natural conditions, economic considerations, and other influences. To mitigate the impact of NGP, governmental intervention is crucial. Firstly, the government should implement financial policies such as subsidies and preferential loans for farmers and enhance the purchase price of grain crops to encourage their cultivation. Secondly, attention should be paid to guiding farming methods, and planting conditions should be improved by such means as strengthening the construction of water conservancy facilities. It should also build a production system that integrates grain processing, transportation, storage, and marketing in order to reduce production costs and increase income from grain production. Lastly, it is imperative to limit NGP through a comprehensive system of land use control.
4.4. Limitations and Future Prospects
- The grain cultivation spatial distribution data were extracted from the 1 km resolution land use data provided by RESDC, which came from the same data source as the 30 m resolution land use data we used and had the same decoding method and classification method (we validated the two sets of data and obtained an overall accuracy of 94.57% and a kappa coefficient of 0.90 [53,54]). But when defining the NGPCL and the GPCL, there is still a certain degree of error, and subsequent studies should improve the resolution of the spatial distribution data of grain cultivation in order to identify NGPCL more accurately.
- The evolution of NGPCL is affected by a variety of factors, including natural factors such as EVP and PRE, as well as socio-economic factors such as GDP and population density. In our study, we did not include factors that are difficult to quantify, especially policy factors, and due to the limitations of the PLUS model [27], we could only consider the driving factors as static factors. Future studies should aim to include policies as drivers and consider their dynamics.
5. Conclusions
- From 2000 to 2019, the degree of NGP in Jiangsu Province decreased, with NGPR decreasing by 4.85%, the area of NGPCL decreasing from 35,991.07 km2 to 20,270.21 km2, and GPCL decreasing from 33,916.99 km2 to 33,505.61 km2. Meanwhile, interconversion of NGPCL and GPCL was common in Jiangsu Province. In addition, the transformation of cultivated land to AS was also more common, and NGPCL was more likely to be transformed to AS than GPCL, which was a phenomenon that deserves the attention of land managers.
- During the study period, Jiangsu Province exhibited a pattern of high NGPCL densities in the central and southern regions, with lower densities in the northern areas. In this paper, the NGPR of county units in Jiangsu Province was measured, and the evolution of NGPR illustrated the tendency for the level of NGP to be greater in the south and central Jiangsu Province than in the north. The results of spatial autocorrelation illustrated the spatial correlation of NGPR in Jiangsu Province, and the tendency of NGP drove and influenced the NGP in the surrounding areas. The NGPR was dominated by H-H agglomerations and L-L agglomerations, and H-H agglomerations were located in the southern part of Jiangsu Province, where the economy and urbanization are high, while L-L agglomerations were gradually concentrating in the northeastern part of Jiangsu Province.
- Climatic factors, GDP, and population density contributed more to NGP in Jiangsu Province, while distance to government departments, soil types, and distance to all levels of highway also had some influence on NGP, and topographic factors drove NGP the least.
Author Contributions
Funding
Data Availability Statement
Conflicts of Interest
References
- Liu, Z.; Zhong, H.; Li, Y.; Wen, Q.; Liu, X.; Jian, Y. Change in grain production in China and its impacts on spatial supply and demand distributions in recent two decades. J. Nat. Resour. 2021, 36, 1413–1425. [Google Scholar] [CrossRef]
- Zhang, C.; Wang, X.; Liu, Y. Changes in quantity, quality, and pattern of farmland in a rapidly developing region of China: A case study of the Ningbo region. Landsc. Ecol. Eng. 2019, 15, 323–336. [Google Scholar] [CrossRef]
- Wang, X.; Hao, J.; Dai, Z.; Haider, S.; Chang, S.; Zhu, Z.-Y.; Duan, J.; Ren, G.-X. Spatial-temporal characteristics of cropland distribution and its landscape fragmentation in China. Farming Syst. 2024, 2, 100078. [Google Scholar] [CrossRef]
- Wu, Y.; Zhang, P.; Yu, Y.; Xie, R. Progress Review on and Prospects for Non-grain Cultivated Land in China from the Perspective of Food Security. China Land Sci. 2021, 35, 116–124. [Google Scholar]
- Xie, Y.; Wang, Z.; Wang, Y.; Zheng, J.; Xiang, S.; Gao, M. Spatial-temporal variation and driving types of non-grain cultivated land in hilly and mountainous areas of Chongqing. J. Agric. Resour. Environ. 2024, 41, 15–26. (In Chinese) [Google Scholar]
- Cheng, X.; Tao, Y.; Huang, C.; Yi, J.; Yi, D.; Wang, F.; Tao, Q.; Xi, H.; Ou, W. Unraveling the Causal Mechanisms for Non-Grain Production of Cultivated Land: An Analysis Framework Applied in Liyang, China. Land 2022, 11, 1888. [Google Scholar] [CrossRef]
- Li, T.; Hao, D. Current situation of“non-grain production”of cultivated land in China and the research progress of retillage and fertilization technology. Chin. J. Appl. Ecol. 2023, 34, 1703–1712. [Google Scholar]
- Qiu, L.; Zhu, J.; Pan, Y.; Dang, Y.; Wu, S. Distribution Characteristics, Ecological Risks, and Source Identification of Heavy Metals in Cultivated Land Under Non-grain Production. Environ. Sci. 2023, 44, 2829–2837. [Google Scholar]
- Zhu, Z. The Causes and Countermeasures of Non-grain during the Process of Land Circulation. Rural Econ. 2009, 25, 13–14. [Google Scholar]
- Su, Y.; Li, C.L.; Wang, K.; Deng, J.S.; Shahtahmassebi, A.R.; Zhang, L.P.; Ao, W.J.; Guan, T.; Pan, Y.; Gan, M.Y. Quantifying the spatiotemporal dynamics and multi-aspect performance of non-grain production during 2000–2015 at a fine scale. Ecol. Indic. 2019, 101, 410–419. [Google Scholar] [CrossRef]
- Wang, Y.; Chen, Y.; Yi, X.; Xiao, B. The Non-Grain Problem In The Process Of Land Trabsfer And The Countermeasures. Chin. J. Agric. Resour. Reg. Plan. 2011, 32, 13–16. [Google Scholar]
- Xie, P. Research on Influencing Factors of Non-agriculturalization and Non-grainization of Cultivated Land in Villages and Towns. Master’s Thesis, Nanjing Agricultural University, Nanjing, China, 2021. [Google Scholar]
- Zhao, X.; Liu, Z. “Non-Grain” or “Grain-Oriented”: An Analysis of Trend of Farmland Management. J. South China Agric. Univ. 2021, 20, 78–87. [Google Scholar]
- Chen, Y.; Li, M.; Zhang, Z. Does the Rural Land Transfer Promote the Non-Grain Production of Cultivated Land in China? Land 2023, 12, 688. [Google Scholar] [CrossRef]
- Zhang, Y.; Feng, Y.; Wang, F.; Chen, Z.; LI, X. Spatiotemporal differentiation and driving mechanism of cultivated land non- grain conversion in Guangdong Province. Resour. Sci. 2022, 44, 480–493. [Google Scholar] [CrossRef]
- Chen, H.; Tan, Y.; Deng, X.; Xiao, W. Progress and prospects on information acquisition methods of abandoned farmland. Trans. Chin. Soc. Agric. Eng. 2020, 36, 258–268. [Google Scholar]
- Su, Y.; Qian, K.; Lin, L.; Wang, K.; Guan, T.; Gan, M. Identifying the driving forces of non-grain production expansion in rural China and its implications for policies on cultivated land protection. Land Use Policy 2020, 92, 104435. [Google Scholar] [CrossRef]
- Xu, G.; Lu, L.; Yang, C.; Huang, L.; Wan, C. Identification and driving mechanisms of non-grain cultivated land in hilly and mountainous areas based on multi-temporal Sentinel-1A images. Trans. Chin. Soc. Agric. Eng. 2023, 39, 236–245. [Google Scholar]
- Hao, Q.; Zhang, T.; Cheng, X.; He, P.; Zhu, X.; Chen, Y. GIS-based non-grain cultivated land susceptibility prediction using data mining methods. Sci. Rep. 2024, 14, 4433. [Google Scholar] [CrossRef] [PubMed]
- Li, Q.; Chen, W.; Shi, H.; Zhang, S. Assessing the environmental impact of agricultural production structure transformation-Evidence from the non-grain production of cropland in China. Environ. Impact Assess. Rev. 2024, 106, 107489. [Google Scholar] [CrossRef]
- Ran, D.; Zhang, Z.; Jing, Y. A Study on the Spatial–Temporal Evolution and Driving Factors of Non-Grain Production in China’s Major Grain-Producing Provinces. Int. J. Environ. Res. Public Health 2022, 19, 16630. [Google Scholar] [CrossRef]
- Tang, C.; Yi, Y.; Kuang, Y. Research on Spatio-Temporal Complexity Evolution and Influencing Factors of “Nongrain” in Guangxi. Discrete Dyn. Nat. Soc. 2022, 2022, 1181108. [Google Scholar] [CrossRef]
- Chen, F.; Liu, J.; Chang, Y.; Zhang, Q.; YU, H.; Zhang, S. Spatial Pattern Differentiation of Non-grain Cultivated Land and Its Driving Factors in China. China Land Sci. 2021, 35, 33–43. [Google Scholar]
- Liang, X.; Jin, X.; Liu, J.; Yin, Y.; Gu, Z.; Zhang, J.; Zhou, Y. Formation mechanism and sustainable productivity impacts of non-grain croplands: Evidence from Sichuan Province, China. Land Degrad. Dev. 2023, 34, 1120–1132. [Google Scholar] [CrossRef]
- Chen, W.; Liao, Y.; Kong, X. Characteris, Drivers and Control of Non-grain Production on Permanent Basic Farmland Based on Plot Scale. Trans. Chin. Soc. Agric. Mach. 2023, 54, 114–124. [Google Scholar]
- Zhang, O.; Jiang, C. Analysis on Differences of “Non-Grain” of Different Types Farmers in Transfer-In Farmland. Finance Trade Res. 2016, 27, 24–31. [Google Scholar]
- Liang, X. Understanding the drivers of sustainable land expansion using a patch-generating land use simulation (PLUS) model: A case study in Wuhan, China. Comput. Environ. Urban Syst. 2021, 85, 101569. [Google Scholar] [CrossRef]
- Liu, X.; Li, X.; Zhang, Y.; Wang, Y.; Chen, J.; Geng, Y. Spatiotemporal evolution and relationship between construction land expansion and territorial space conflicts at the county level in Jiangsu Province. Ecol. Indic. 2023, 154, 110662. [Google Scholar] [CrossRef]
- Wang, L.; Liang, A.; Li, X.; Jiang, C.; Wu, J.; Omrani, H. Understanding Recessive Transition of Cultivated Land Use in Jilin Province, China (1990–2020): From Perspective of Productive-Living-Ecological Functions. Land 2023, 12, 1758. [Google Scholar] [CrossRef]
- Li, X.; Wang, L.; Pijanowski, B.; Pan, L.; Omrani, H.; Liang, A.; Qu, Y. The Spatio-Temporal Pattern and Transition Mode of Recessive Cultivated Land Use Morphology in the Huaibei Region of the Jiangsu Province. Land 2022, 11, 1978. [Google Scholar] [CrossRef]
- Luo, Y.; Zhang, Z.; Li, Z.; Chen, Y.; Zhang, L.; Cao, J.; Tao, F. Identifying the spatiotemporal changes of annual harvesting areas for three staple crops in China by integrating multi-data sources. Environ. Res. Lett. 2020, 15, 074003. [Google Scholar] [CrossRef]
- Li, X.; Wu, K.; Yang, Q.; Hao, S.; Feng, Z.; Ma, J. Quantitative assessment of cultivated land use intensity in Heilongjiang Province, China, 2001–2015. Land Use Policy 2023, 125, 106505. [Google Scholar] [CrossRef]
- Zhang, M.; Wang, J.; Feng, Y. Temporal and spatial change of land use in a large-scale opencast coal mine area: A complex network approach. Land Use Policy 2019, 86, 375–386. [Google Scholar] [CrossRef]
- Qiao, F.; Zhang, Y.J.; Gu, Z.Y.; Wang, J.; Zhang, G.Y. Grid Task Scheduling Algorithm Based on Non-Conflict Degree. Appl. Mech. Mater. 2012, 239–240, 1497–1500. [Google Scholar] [CrossRef]
- Xiang, H.; Ma, Y.; Zhang, R.; Chen, H.; Yang, Q. Spatio-Temporal Evolution and Future Simulation of Agricultural Land Use in Xiangxi, Central China. Land 2022, 11, 587. [Google Scholar] [CrossRef]
- Zhu, Z.; Duan, J.; Li, R.; Feng, Y. Spatial Evolution, Driving Mechanism, and Patch Prediction of Grain-Producing Cultivated Land in China. Agriculture 2022, 12, 860. [Google Scholar] [CrossRef]
- Jiang, Z. Spatial-temporal Change and Multi-scenario Prediction of Land Use in Urumqi. Master’s Thesis, Xinjiang Normal University, Xinjiang, China, 2022. [Google Scholar]
- Wang, Y. Study on Varation Mechanism of Land Use Pattern and its Optimization Model in Songnen High Plain. Ph.D. Thesis, Northeastern University, Shenyang, China, 2017. [Google Scholar]
- Wu, N.; Wei, Y.; Li, L.; Yang, H. Spatial distribution of non-grain crops and formation mechanism: Empirical analysis of Ningling County, Henan Province. Prog. Geogr. 2023, 42, 1298–1310. [Google Scholar] [CrossRef]
- Peng, H.; Song, J.; Yin, W. Multi scenario simulation of cultivated land landscape pattern in Western Hubei mountainous area based on PLUS model. Hubei Agric. Sci. 2023, 62, 51–59. [Google Scholar]
- Pontius, R.G.; Boersma, W.; Castella, J.-C.; Clarke, K.; De Nijs, T.; Dietzel, C.; Duan, Z.; Fotsing, E.; Goldstein, N.; Kok, K.; et al. Comparing the input, output, and validation maps for several models of land change. Ann. Reg. Sci. 2008, 42, 11–37. [Google Scholar] [CrossRef]
- Pontius, R.G.; Millones, M. Death to Kappa: Birth of quantity disagreement and allocation disagreement for accuracy assessment. Int. J. Remote Sens. 2011, 32, 4407–4429. [Google Scholar] [CrossRef]
- Yu, Z.; Zhao, M.; Gao, Y.; Wang, T.; Zhao, Z.; Wang, S. Multiscenario Simulation and Prediction of Land Use in Huaibei City Based on CLUE-S and PLUS Models. Appl. Sci. 2023, 13, 7142. [Google Scholar] [CrossRef]
- Li, J.; Yang, D.; Wu, F.; Chen, R.; He, W. Dynamic Simulation of Land Use Chnages and Assessment of Carbon Storage in Kunming Citu Based on Plus and InVEST Models. Bull. Soil Water Conserv. 2023, 43, 378–387. [Google Scholar]
- Zhu, W.; Zhang, J.; Cui, Y.; Zheng, H.; Zhu, L. Assessment of territorial ecosystem carbon storage based on land use change scenario: A case study in Qihe River Basin. Acta Geogr. Sin. 2019, 74, 446–459. [Google Scholar]
- Wang, C.; Zhi, X. “Grain-oriented” or “Non-grain-oriented”: Spatial-temporal analysis of the agricultural planting structure in Jiangsu Province at county level. Hubei Agric. Sci. 2023, 62, 64–70. [Google Scholar]
- Tan, Y. Study on food demand and availability of cultivated land resource based on a balanced diet in Jiangsu Province. Master’s Thesis, Nanjing University, Nanjing, China, 2020. [Google Scholar]
- Liu, X. Research on Grain Supply-Demand Balance in Jiangsu Province. Master’s Thesis, Nanjing Agricultural University, Nanjing, China, June 2012. [Google Scholar]
- Li, Y.; Xia, C.; Xia, Y.; Huang, Z.; Hua, C. The Evolution of the Spatio-temporal Pattern of “Non-grain” Cultivated Land in Jiangsu Province and Its Enlightenment to Rural Revitalization. Sci. Technol. Ind. 2023, 23, 229–238. [Google Scholar]
- Chen, Y.; Wang, J.; Zhang, F. New patterns of globalization and food security. J. Nat. Resour. 2021, 36, 1362–1380. [Google Scholar] [CrossRef]
- Zhou, Y.; Liu, Z. A social-ecological network approach to quantify the supply-demand-flow of grain ecosystem service. J. Clean. Prod. 2024, 434, 139896. [Google Scholar] [CrossRef]
- Li, J.; Xiao, Q.; Wu, H.; Li, J. Unpacking the Global Rice Trade Network: Centrality, Structural Holes, and the Nexus of Food Insecurity. Foods 2024, 13, 604. [Google Scholar] [CrossRef]
- Cohen, J. A coefficient of agreement for nominal scales. Educ. Psychol. Meas. 1960, 20, 37–46. [Google Scholar] [CrossRef]
- Landis, J.; Koch, G. The measurement of observer agreement for categorical data. Biometrics 1977, 33, 159–174. [Google Scholar] [CrossRef]














| Name | Categories | Resolution | Source |
|---|---|---|---|
| Climate | raster | 1 km | RESDC (https://www.resdc.cn (accessed on 1 April 2023)) |
| DEM | raster | 30 m | USGS (https://www.usgs.gov (accessed on 1 April 2023)) |
| Soil types | vector plane | — | RESDC (https://www.resdc.cn (accessed on 1 April 2023)) |
| Administrative boundary | vector line | — | RESDC (https://www.resdc.cn (accessed on 1 April 2023)) |
| Land use | raster | 30 m | RESDC (https://www.resdc.cn (accessed on 1 April 2023)) |
| Grain cultivation spatial distribution | raster | 1 km | NESDC (http://www.nesdc.org.cn (accessed on 1 April 2023)) |
| GDP | raster | 1 km | RESDC (https://www.resdc.cn (accessed on 1 April 2023)) |
| Population density | raster | 100 m | WorldPop (https://hub.WorldPop.org (accessed on 1 April 2023)) |
| Roads | vector line | — | Openmap (https://openmaptiles.org (accessed on 1 April 2023)) |
| Government sites | point | — | Amap (https://lbs.amap.com (accessed on 1 April 2023)) |
| Variable Type | Name | Bibliography |
|---|---|---|
| Natural factors | DEM | [35,36] |
| Slope | [35,36] | |
| Slope direction | [37] | |
| EVP | [35] | |
| PRE | [35] | |
| SSD | [38] | |
| TEM | [35] | |
| Soil types | [39] | |
| Socio-economic factors | Population density | [36] |
| GDP | [5,36] | |
| Distance to government departments | [39,40] | |
| Distance to highway | [35] | |
| Distance to primary road | [35,36] | |
| Distance to secondary road | [35,36] | |
| Distance to railroad | [35] |
| Area in 2000/km2 | Area in 2019/km2 | |||||||
|---|---|---|---|---|---|---|---|---|
| GPCL | NGPCL | FL | GL | W | AS | UL | Transfers Out | |
| GPCL | — | 8892.66 | 14.73 | 7.03 | 321.69 | 2410.33 | 3.82 | 11,650.26 |
| NGPCL | 10,681.86 | — | 105.15 | 47.07 | 831.04 | 5217.69 | 23.03 | 16,905.84 |
| FL | 60.73 | 191.45 | — | 6.46 | 21.30 | 170.44 | 30.09 | 480.47 |
| GL | 28.64 | 204.68 | 4.05 | — | 453.08 | 89.80 | 2.94 | 783.19 |
| W | 78.36 | 320.25 | 7.61 | 242.18 | — | 441.41 | 22.29 | 1112.09 |
| AS | 389.27 | 576.18 | 22.97 | 16.42 | 829.22 | — | 7.02 | 1841.09 |
| UL | 0.02 | 0.15 | 1.57 | 0.06 | 2.20 | 1.59 | — | 5.59 |
| Transfers in | 11,238.88 | 10,185.39 | 156.08 | 319.22 | 2458.51 | 8331.26 | 89.19 | — |
Disclaimer/Publisher’s Note: The statements, opinions and data contained in all publications are solely those of the individual author(s) and contributor(s) and not of MDPI and/or the editor(s). MDPI and/or the editor(s) disclaim responsibility for any injury to people or property resulting from any ideas, methods, instructions or products referred to in the content. |
© 2024 by the authors. Licensee MDPI, Basel, Switzerland. This article is an open access article distributed under the terms and conditions of the Creative Commons Attribution (CC BY) license (https://creativecommons.org/licenses/by/4.0/).
Share and Cite
Jiang, C.; Wang, L.; Guo, W.; Chen, H.; Liang, A.; Sun, M.; Li, X.; Omrani, H. Spatio-Temporal Evolution and Multi-Scenario Simulation of Non-Grain Production on Cultivated Land in Jiangsu Province, China. Land 2024, 13, 670. https://doi.org/10.3390/land13050670
Jiang C, Wang L, Guo W, Chen H, Liang A, Sun M, Li X, Omrani H. Spatio-Temporal Evolution and Multi-Scenario Simulation of Non-Grain Production on Cultivated Land in Jiangsu Province, China. Land. 2024; 13(5):670. https://doi.org/10.3390/land13050670
Chicago/Turabian StyleJiang, Chengge, Lingzhi Wang, Wenhua Guo, Huiling Chen, Anqi Liang, Mingying Sun, Xinyao Li, and Hichem Omrani. 2024. "Spatio-Temporal Evolution and Multi-Scenario Simulation of Non-Grain Production on Cultivated Land in Jiangsu Province, China" Land 13, no. 5: 670. https://doi.org/10.3390/land13050670
APA StyleJiang, C., Wang, L., Guo, W., Chen, H., Liang, A., Sun, M., Li, X., & Omrani, H. (2024). Spatio-Temporal Evolution and Multi-Scenario Simulation of Non-Grain Production on Cultivated Land in Jiangsu Province, China. Land, 13(5), 670. https://doi.org/10.3390/land13050670
