Nonlinear Effects of Land-Use Conflicts in Xinjiang: Critical Thresholds and Implications for Optimal Zoning
Abstract
1. Introduction
- (1)
- Do different natural and anthropogenic drivers exhibit thresholds that influence LUC in Xinjiang?
- (2)
- If thresholds exist, how can we effectively identify them?
- (3)
- How can the defined thresholds be used practically for land management zoning?
2. Theoretical Framework
2.1. Threshold Analysis of Drivers of Land-Use Conflicts (LUCs)
2.2. Threshold Application of Drivers of LUC
3. Materials and Methods
3.1. Study Area
3.2. Research Framework
3.3. Data Processing
3.4. Evaluation Model for LUC
3.4.1. Risk Sources
3.4.2. Risk Receptors
3.4.3. Risk Effects
3.4.4. Land-Use Conflict Index
3.5. Correlation Analysis of Drivers
3.6. Threshold Recognition and Detection
3.7. Four-Quadrant Method
3.8. Threshold Application
4. Results
4.1. Spatial-Temporal Patterns of LUC
4.2. Relationship between LUC and Key Drivers
4.3. Thresholds of LUC
4.3.1. The Natural Key Drivers and Their Thresholds
4.3.2. The Anthropogenic Key Drivers and Their Thresholds
4.4. Zoning of Land-Use Patterns Identified by Thresholds
5. Discussion
5.1. Critical Thresholds between LUC and Drivers
5.2. Optimal Zoning of Land-Use Pattern
5.3. Recommendations for Mitigating LUC through Pattern Zoning
5.4. Limitations and Future Research Directions
6. Conclusions
Author Contributions
Funding
Data Availability Statement
Acknowledgments
Conflicts of Interest
References
- Stanley, T.A.; David, N.B.; Keith, W.; Kristen, C.N. Diagnostic reframing of intractable environmental problems: Case of a contested multiparty public land-use conflict. J. Environ. Manag. 2012, 108, 108–119. [Google Scholar]
- Andrew, J.S. Potential application of mediation to land use conflicts in small-scale mining. J. Clean. Prod. 2003, 11, 117–130. [Google Scholar] [CrossRef]
- Wang, C.; Wang, H.; Wu, J.; He, X.; Luo, K.; Yi, S. Identifying and warning against spatial conflicts of land use from an ecological environment perspective: A case study of the Ili River Valley, China. J. Environ. Manag. 2024, 351, 119757. [Google Scholar] [CrossRef] [PubMed]
- Hong, W.; Guo, R.; Wang, W. A diagrammatic method for the identification and resolution of urban spatial conflicts. J. Environ. Manag. 2022, 316, 115297. [Google Scholar] [CrossRef] [PubMed]
- Zhang, Y.; Liu, Y.; Zhang, Y.; Liu, Y.; Zhang, G.; Chen, Y. On the spatial relationship between ecosystem services and urbanization: A case study in Wuhan, China. Sci. Total Environ. 2018, 780, 637–638. [Google Scholar] [CrossRef] [PubMed]
- Bertinelli, L.; Strobl, E.; Zou, B. Economic development and environmental quality: A reassessment in light of nature’s self. Ecol. Econ. 2008, 66, 371–378. [Google Scholar] [CrossRef]
- Yang, R.; Liu, Y.; Long, H. The study on non-agricultural transformation coevolution characteristics of “population-land- industry”: Case study of the Bohai Rim in China. Geogr. Res. 2015, 34, 475–486. [Google Scholar]
- de Groot, R. Function-analysis and valuation as a tool to assess land use conflicts in planning for sustainable, multi-functional landscapes. Landsc. Urban Plan. 2006, 75, 175–186. [Google Scholar] [CrossRef]
- Li, S.; Zhao, X.; Pu, J.; Miao, P.; Wang, Q.; Tan, K. Optimize and control territorial spatial functional areas to improve the ecological stability and total environment in karst areas of Southwest China. Land Use Pol. 2021, 100, 104940. [Google Scholar] [CrossRef]
- Zhou, D.; Xu, J.; Lin, Z. Conflict or coordination? Assessing land use multi-functionalization using production-living-ecology analysis. Sci. Total Environ. 2016, 577, 136–147. [Google Scholar] [CrossRef]
- Zou, L.; Liu, Y.; Wang, J.; Yang, Y.; Wang, Y. Land use conflict identification and sustainable development scenario simulation on China’s southeast coast. J. Clean. prod. 2019, 238, 117899. [Google Scholar] [CrossRef]
- Shan, L.; Yu, A.T.W.; Wu, Y. Strategies for risk management in urban-rural conflict: Two case studies of land acquisition in urbanizing China. Habitat Int. 2017, 59, 90e100. [Google Scholar] [CrossRef] [PubMed]
- Yu, A.T.W.; Wu, Y.; Zheng, B.; Zhang, X.; Shen, L. Identifying risk factors of urban-rural conflict in urbanization: A case of China. Habitat Int. 2014, 44, 177–185. [Google Scholar] [CrossRef]
- Godschalk, D.R. Land use planning challenges: Coping with conflicts in visions of sustainable development and livable communities. J. Am. Plan. Assoc. 2004, 70, 5–13. [Google Scholar] [CrossRef]
- Zhang, Y.; Long, H.; Tu, S.; Ge, D.; Ma, L.; Wang, L. Spatial identification of land use functions and their tradeoffs/synergies in China: Implications for sustainable land management. Ecol. Ind. 2019, 107, 105550. [Google Scholar] [CrossRef]
- Zhang, Y.; Hu, Y.; Zhang, B.; Li, Y.; Zhang, X.; Xie, Y. Conflict between nature reserves and surrounding communities in China: An empirical study based on a social and ecological system framework. Glob. Ecol. Convers. 2020, 21, e00804. [Google Scholar] [CrossRef]
- Yu, B.; Lv, C. The progress and prospect of land use conflicts. Prog. Geogr. 2006, 25, 106–115. [Google Scholar]
- Wang, J.; Liu, X. Recognizing and measuring spatial conflict of land use via “risk-effect”. Trans. Chin. Soc. Agric. Eng. 2022, 38, 291–300. [Google Scholar]
- Zhou, D.; Lin, Z.; Lim, S. Spatial characteristics and risk factor identification for land use spatial conflicts in a rapid urbanization region in China. Environ. Monit. Assess. 2019, 191, 677.1–677.22. [Google Scholar] [CrossRef]
- Henderson, S.R. Managing land-use conflict around urban centres: Australian poultry farmer attitudes towards relocation. Appl. Geogr. 2005, 25, 97–119. [Google Scholar] [CrossRef]
- Brown, G.; Raymond, C.M. Methods for identifying land use conflict potentialusing participatory mapping. Landsc. Urban Plann. 2014, 122, 196–208. [Google Scholar] [CrossRef]
- Dominika, M.; Katarzyna, Z. Land-use conflicts and the common agricultural policy: Evidence from Poland. Land Use Pol. 2018, 73, 423–433. [Google Scholar]
- Campbell, D.J.; Gichohi, H.; Mwangi, A.; Chege, L. Land use conflict in kajiado district, Kenya. Land Use Pol. 2000, 17, 337–348. [Google Scholar] [CrossRef]
- Tian, J.; Wang, B.; Wang, S. The paradigms and main content of land use conflict research. Resour. Sci. 2023, 45, 465–479. [Google Scholar] [CrossRef]
- Ma, W.; Jiang, G.; Chen, Y.; Qu, Y.; Zhou, T.; Li, W. How feasible is regional integration for reconciling land use conflicts across the urban-rural interface?—Evidence from Beijing-Tianjin-Hebei metropolitan region in China. Land Use Pol. 2020, 92, 104433. [Google Scholar] [CrossRef]
- Bao, W.; Yang, Y.; Zou, L. How to reconcile land use conflicts in mega urban agglomeration? A scenario-based study in the Beijing-Tianjin-Hebei region, China. A scenario-based study in the Beijing-Tianjin-Hebei region, China. J. Environ. Manag. 2021, 296, 113168. [Google Scholar] [CrossRef] [PubMed]
- Álvarez De Andrés, E.; Fernández Güell, J.M.; Smith, H. Instruments for analysing urban conflicts in the global south: The case of urban transformation processes in Dakar. Habitat Int. 2015, 49, 187–196. [Google Scholar] [CrossRef]
- Chitonge, H.; Mfune, O. The urban land question in Africa: The case of urban land conflicts in the City of Lusaka, 100 years after its founding. Habitat Int. 2015, 48, 209–218. [Google Scholar] [CrossRef]
- Cieslak, I. Identification of areas exposed to land use conflict with the use of multiple-criteria decision-making methods. Land Use Pol. 2019, 89, 104225. [Google Scholar] [CrossRef]
- Lara, L.; Ahlin, C. Restricted cubic splines for modelling periodic data. PLoS ONE 2020, 15, e0241364. [Google Scholar]
- Akshay, K.; Ammothum, K.; Eddie, W.; Bálint, A.; Peter, B.; Jolla, K. Curvature Constrained Splines for DFTB Repulsive Potential Parametrization. J. Chem. Theory Comput. 2021, 17, 1771–1781. [Google Scholar]
- Aris, P.; Willi, S.; Michal, A.; Matthias, S. A review of spline function procedures in R. BMC Medical Res. Methodol. 2019, 19. [Google Scholar]
- Xu, C.; Chen, Y.; Yang, Y.; Hao, X.; Shen, Y. Hydrology and water resources variation and its response to regional climate change in Xinjiang. J. Geogr. Sci. 2010, 20, 599–612. [Google Scholar] [CrossRef]
- Liu, Y.; Yuan, X.; Li, J.; Qian, K.; Yan, W.; Yang, X.; Ma, X. Trade-offs and synergistic relationships of ecosystem services under land use change in Xinjiang from 1990 to 2020: A Bayesian network analysis. Sci. Total Environ. 2023, 858, 160015. [Google Scholar] [CrossRef]
- Ishida, K.; Ohara, N.; Ercan, A.; Jang, S.; Trinh, T.; Kavvas, M.L.; Carr, K.; Anderson, M.L. Impacts of climate change on snow accumulation and melting processes over mountainous regions in Northern California during the 21st century. Sci. Total Environ. 2019, 685, 104–115. [Google Scholar] [CrossRef] [PubMed]
- Zhou, C.; Wang, S.; Wang, J. Examining the influences of urbanization on carbon dioxide emissions in the Yangtze River Delta, China: Kuznets curve relationship. Sci. Total Environ. 2019, 675, 472–482. [Google Scholar] [CrossRef]
- Evans, G.W.; Kantrowitz, E. Socioeconomic status and health: The potential role of environmental risk exposure. Annu. Rev. Publ. Health. 2002, 23, 303–331. [Google Scholar] [CrossRef]
- Fan, J. The scientific foundation of major function oriented zoning in China. Acta Geogr. Sin. 2007, 62, 339–350. [Google Scholar] [CrossRef]
- Liu, H.; Willems, P.; Bao, A.; Wang, L.; Chen, X. Effect of climate change on the vulnerability of a socio-ecological system in an arid area. Glob Planet Chang. 2016, 137, 1–9. [Google Scholar] [CrossRef]
- Fu, B.; Zhang, L. Land-use change and ecosystem services: Concepts, methods and progress. Prog. Phys. Geogr. 2014, 33, 441–446. [Google Scholar]
- Chi, Y.; Liu, D.; Wang, J.; Wang, E. Human negative, positive, and net influences on an estuarine area with intensive human activity based on land covers and ecological indices: An empirical study in Chongming Island, China. Land Use Pol. 2020, 99, 104846. [Google Scholar] [CrossRef]
- Huimin, L. The impact of human behavior on ecological threshold: Positive or negative? Grey relational analysis of ecological footprint, energy consumption and environmental protection. Energy Policy 2013, 56, 711–719. [Google Scholar] [CrossRef]
- Cieślak, I. Spatial conflicts: Analyzing a burden created by differing land use. Acta Geogr. Sin. 2019, 59, 44–57. [Google Scholar] [CrossRef]
- Von der Dunk, A.; Grêt-Regamey, A.; Dalang, T.; Hersperger, A.M. Defining a typology of peri-urban land-use conflicts—A case study from Switzerland. Landsc. Urban Plann. 2011, 101, 149–156. [Google Scholar] [CrossRef]
- Zong, S.; Hu, Y.; Bai, Y.; Guo, Z.; Wang, J. Analysis of the distribution characteristics and driving factors of land use conflict potentials in the Bohai Rim coastal zone. Ocean Coast. Manag. 2022, 226, 106260. [Google Scholar] [CrossRef]
- Dietz, K.; Engels, B. Analysing land conflicts in times of global crises. Geoforum 2020, 111, 208–217. [Google Scholar] [CrossRef]
- Wang, Y.; Li, W.; Zeng, X.; Li, P.; Xue, B. The spatial multi-scale mechanism of land use elemental conflicts in Shenyang economic zone. Econ. Geogr. 2022, 42, 231–239. [Google Scholar]
- Zhou, G.; Peng, J. The evolution characteristics and influence effect of spatial conflict: A case study of Changsha-Zhuzhou-Xiangtan urban agglomeration. Prog. Phys. Geogr. 2012, 31, 717–723. [Google Scholar]
- Peng, J.; Zhou, G.; Tang, C.; He, Y. The analysis of spatial conflict measurement in fast urbanization region based on ecological security: A case study of Changsha-Zhuzhou-Xiangtan urban agglomeration. Agric. Nat. Resour. 2012, 27, 1507–1519. [Google Scholar]
- Gao, F.; Zhang, Y.; Chen, Q.; Wang, P.; Yang, H.; Yao, Y.; Cai, W. Comparison of two long-term and high-resolution satellite precipitation datasets in Xinjiang, China. Atmos. Res. 2018, 212, 150–157. [Google Scholar] [CrossRef]
- Zhang, F.; Kung, H.; Johnson, V.C. Assessment of land-cover/land-use change and landscape patterns in the two national nature reserves of Ebinur Lake Watershed, Xinjiang, China. Sustainability 2017, 9, 724. [Google Scholar] [CrossRef]
- Zhao, R.; Chen, Y.; Shi, P.; Zhang, L.; Pan, J.; Zhao, H. Land use and land cover change and driving mechanism in the arid inland river basin: A case study of Tarim River, Xinjiang, China. Environ. Earth Sci. 2013, 68, 591–604. [Google Scholar] [CrossRef]
- Wang, Y.; Fan, J.; Zhou, K. Territorial function optimization regionalization based on the integration of “double evaluation”. Geogr. Res. 2019, 38, 2415–2429. [Google Scholar]
- Liu, Q.; Yang, Z.; Wang, C.; Han, F. Temporal-spatial variations and influencing factor of land use change in Xinjiang, central Asia, from 1995 to 2015. Sustainability 2019, 11, 696. [Google Scholar] [CrossRef]
- Chen, L. Study on the predicament in boundary exclusion and cross- border linkage mechanism of regional governance of the urban agglomeration. Inn. Mong. Soc. Sci. 2019, 40, 55–62. [Google Scholar]
- Wang, Z.; Yang, Q.; Li, J.; Wang, Y.; Shixuan, E.; Yang, H. Optimization strategy of rural settlement layout in mountainous urban fringe area: A case study of Sichuan Town in Yubei District of Chongqing. Econ. Geogr. 2019, 39, 182–190. [Google Scholar]
- Jiang, S.; Meng, J.; Zhu, L. Spatial and temporal analyses of potential land use conflict under the constraints of water resources in the middle reaches of the Heihe River. Land Use Pol. 2020, 97, 104773. [Google Scholar] [CrossRef]
- Jiang, S.; Meng, J. Process of land use conflict research: Contents and methods. Arid. Land Geogr. 2021, 44, 877–887. [Google Scholar]
- Hu, S.; Cheng, Q.; Wang, L.; Xie, S. Multifractal characterization of urban residential land price in space and time. Appl. Geogr. 2012, 34, 161–170. [Google Scholar] [CrossRef]
- Liao, L.; Dai, W.; Chen, J.; Huang, W.; Jiang, F.; Hu, Q. Spatial conflict between ecological-production-living spaces on Pingtan Island during rapid urbanization. Resour. Sci. 2017, 39, 1823–1833. [Google Scholar]
- Fearnhead, P.; Rigaill, G. Change point detection in the presence of outliers. J. Am. Stat. Assoc. 2019, 114, 169–183. [Google Scholar] [CrossRef]
- Tang, B.; He, H. A local density-based approach for outlier detection. Neurocomputing 2017, 241, 171–180. [Google Scholar] [CrossRef]
- Chen, W.; Gu, T.; Zeng, J. Urbanisation and ecosystem health in the Middle Reaches of the Yangtze River urban agglomerations, China: A U-curve relationship. J. Environ. Manag. 2022, 318, 115565. [Google Scholar] [CrossRef] [PubMed]
- Dahlgren, J.P.; García, M.B.; Ehrl’en, J. Nonlinear relationships between vital rates and state variables in demographic models. J. Ecol. 2011, 92, 1181–1187. [Google Scholar] [CrossRef] [PubMed]
- Bhaskaran, K.; dos-Santos-Silva, I.; Leon, D.A.; Douglas, I.J.; Smeeth, L. Association of BMI with overall and cause-specific mortality: A population-based cohort study of 3.6 million adults in the UK. Lancet Diabetes Endo. 2018, 6, 944–953. [Google Scholar] [CrossRef] [PubMed]
- Li, D.; Cao, W.; Dou, Y.; Wu, S.; Liu, J.; Li, S. Non-linear effects of natural and anthropogenic drivers on ecosystem: Services: Integrating thresholds into conservation planning. J. Environ. Manag. 2022, 321, 116047. [Google Scholar] [CrossRef]
- Stone, C.J. generalized additive models: Comment. Stat. Sci. 1986, 1, 312–331. [Google Scholar] [CrossRef]
- Fong, Y.; Huang, Y.; Gilbert, P.B.; Permar, S. chngpt: Threshold regression model estimation and inference. BMC Bioinf. 2017, 18, 454. [Google Scholar] [CrossRef] [PubMed]
- Huang, C.; Huang, X.; Peng, C.; Zhou, Z.; Teng, M.; Wang, P. Land use/cover change in the Three Gorges Reservoir area, China: Reconciling the land use conflicts between development and protection. Catena 2021, 175, 388–399. [Google Scholar] [CrossRef]
- Jang, S.; Meng, J.; Zhu, L.; Cheng, H. Spatial-temporal pattern of land use conflict in China and its multilevel driving mechanisms. Sci. Total Environ. 2021, 801, 149697. [Google Scholar] [CrossRef]
- Zhou, C.; Jin, W.; Zhang, G.; Li, M. Spatio-temporal characteristics and influencing factors of state-owned construction land supply in China. Acta Geogr. Sin. 2019, 74, 16–31. [Google Scholar]
- Han, C.; Zheng, J.; Guan, J.; Yu, D.; Lu, B. Evaluating and simulating resource and environmental carrying capacity in arid and semiarid regions: A case study of Xinjiang, China. semiarid regions: A case study of Xinjiang, China. J. Clean. Prod. 2022, 338, 130646. [Google Scholar] [CrossRef]
- Guo, H.; Ling, H.; Xu, H.; Guo, B. Study of suitable oasis scales based on water resource availability in an arid region of China: A case study of Hotan River Basin. Environ. Earth Sci. 2016, 75, 984. [Google Scholar] [CrossRef]








| Date | Resolution | Source |
|---|---|---|
| Xinjiang administrative boundaries | - | China National Geographic Information Directory Service http://www.webmap.cn (accessed on 1 September 2023) |
| Road network | - | https://www.openstreetmap.org (accessed on 1 September 2023) |
| water | - | |
| Land-use data | 30 m | Resource and Environmental Science Data Center of the Chinese Academy of Sciences http://www.resdc.cn (accessed on 1 September 2023) |
| Precipitation | 1 km | |
| Evaporation | 1 km | |
| Temperature | 1 km | |
| Soil erosion | 1 km | |
| Population data | 1 km | |
| GDP data | 1 km | |
| DEM data | 1 km | |
| Human influence index | 1 km | Socio-economic data and application center https://sedac.ciesin.columbia.edu (accessed on 1 September 2023) |
| Human footprint | 1 km |
| Year | Risk Sources (S) | Risk Receptors (R) | Risk Effects (E) | Land-Use Conflicts Index (LUCI) |
|---|---|---|---|---|
| 2000 | 1.0344 | 0.3537 | 0.9793 | 2.3673 |
| 2010 | 1.0352 | 0.3142 | 0.9782 | 2.3276 |
| 2020 | 1.0358 | 0.3178 | 0.9779 | 2.3315 |
| 2000–2020 | 0.1353% ↑ | 0.1498% ↓ | 0.1430% ↑ | 1.5123% ↓ |
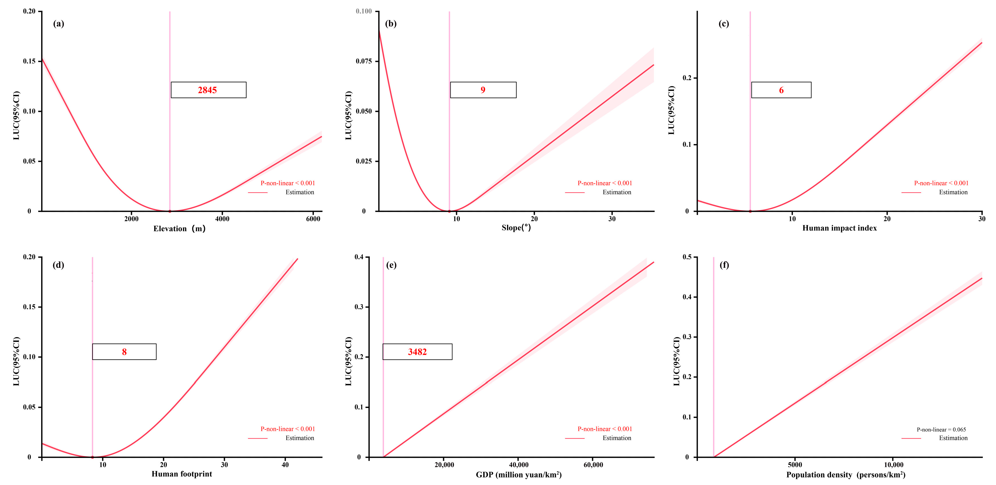
| Type | Drivers | Used Thresholds |
|---|---|---|
| Natural | Elevation (m) | ≤-2845 |
| Slope (°) | ≤9 | |
| Anthropogenic | Human influence index | ≥6 |
| Human footprint | ≥8 | |
| GDP (million yuan/km2) | ≥3482 |
Disclaimer/Publisher’s Note: The statements, opinions and data contained in all publications are solely those of the individual author(s) and contributor(s) and not of MDPI and/or the editor(s). MDPI and/or the editor(s) disclaim responsibility for any injury to people or property resulting from any ideas, methods, instructions or products referred to in the content. |
© 2024 by the authors. Licensee MDPI, Basel, Switzerland. This article is an open access article distributed under the terms and conditions of the Creative Commons Attribution (CC BY) license (https://creativecommons.org/licenses/by/4.0/).
Share and Cite
Wu, J.; Wang, C.; He, X.; Zhou, C.; Wang, H. Nonlinear Effects of Land-Use Conflicts in Xinjiang: Critical Thresholds and Implications for Optimal Zoning. Land 2024, 13, 612. https://doi.org/10.3390/land13050612
Wu J, Wang C, He X, Zhou C, Wang H. Nonlinear Effects of Land-Use Conflicts in Xinjiang: Critical Thresholds and Implications for Optimal Zoning. Land. 2024; 13(5):612. https://doi.org/10.3390/land13050612
Chicago/Turabian StyleWu, Jinhua, Can Wang, Xiong He, Chunshan Zhou, and Hongwei Wang. 2024. "Nonlinear Effects of Land-Use Conflicts in Xinjiang: Critical Thresholds and Implications for Optimal Zoning" Land 13, no. 5: 612. https://doi.org/10.3390/land13050612
APA StyleWu, J., Wang, C., He, X., Zhou, C., & Wang, H. (2024). Nonlinear Effects of Land-Use Conflicts in Xinjiang: Critical Thresholds and Implications for Optimal Zoning. Land, 13(5), 612. https://doi.org/10.3390/land13050612

