Validation of Remotely Sensed Land Surface Temperature at Lake Baikal’s Surroundings Using In Situ Observations
Abstract
1. Introduction
2. Materials and Methods
2.1. Study Area
2.2. In Situ Data
2.3. Satellite Data
2.4. Comparison of LST and IST
2.5. Correction of LST Using Artificial Neural Network
3. Results
3.1. Air and Surface Temperature from In-Situ Observations
3.2. LST from Satellite
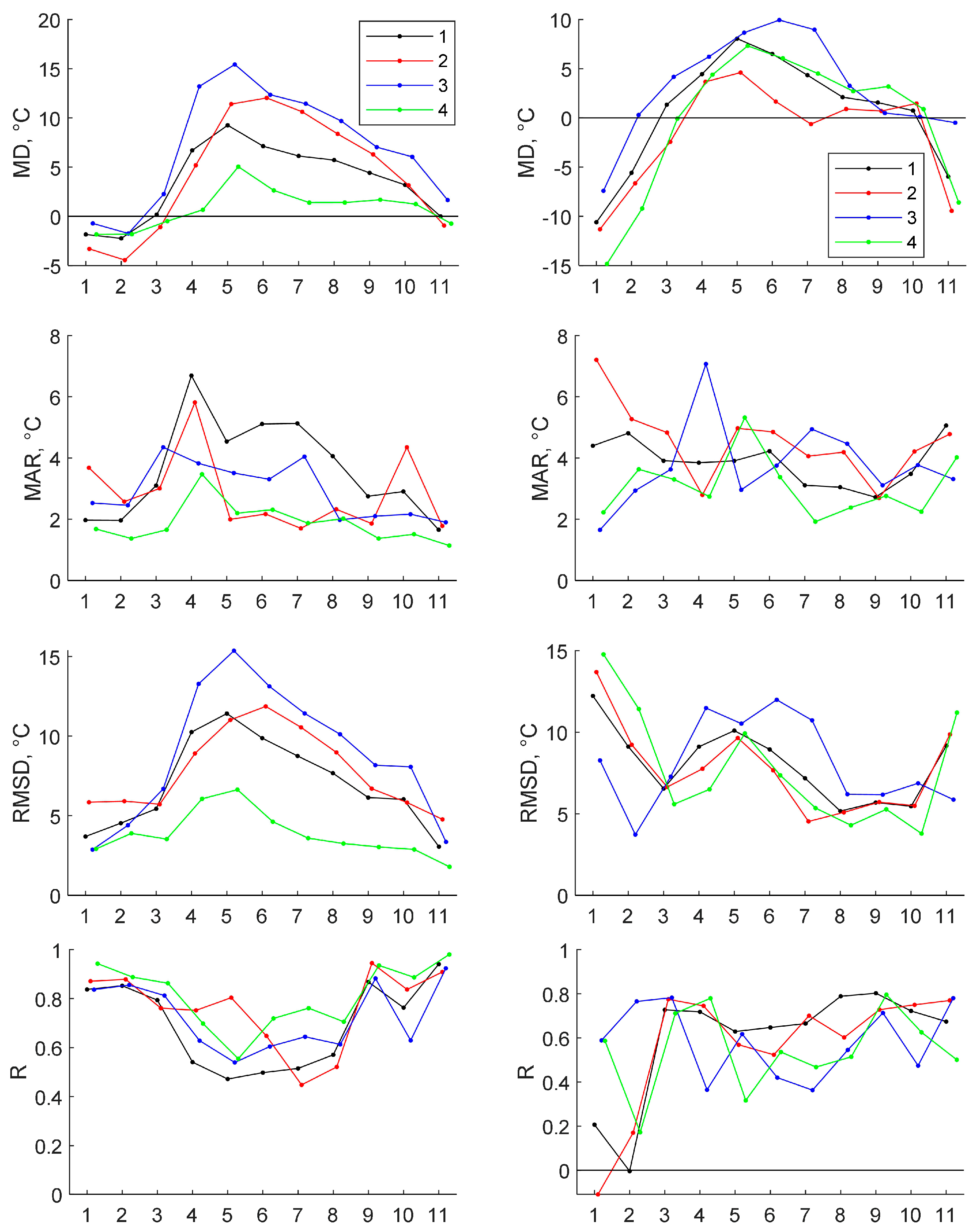
3.3. Validation of LST against IST
3.4. Using a Neural Network to Improve LST
4. Discussion
5. Conclusions
Supplementary Materials
Author Contributions
Funding
Data Availability Statement
Conflicts of Interest
References
- Jia, A.; Liang, S.; Wang, D. Generating a 2-km, all-sky, hourly land surface temperature product from Advanced Baseline Imager data. Remote Sens. Environ. 2022, 278, 113105. [Google Scholar] [CrossRef]
- Chen, F.; Yang, S.; Su, Z.; He, B. A new single-channel method for estimating land surface temperature based on the image inherent information: The HJ-1B case. ISPRS J. Photogram. Remote Sens. 2015, 101, 80–88. [Google Scholar] [CrossRef]
- Xu, C.; Lin, M.; Fang, Q.; Chen, J.; Yue, Q.; Xia, J. Air temperature estimation over winter wheat fields by integrating machine learning and remote sensing techniques. Int. J. Appl. Earth Obs. Geoinf. 2023, 122, 103416. [Google Scholar] [CrossRef]
- Lee, S.; Yoo, C.; Im, J.; Cho, D.; Lee, Y.; Bae, D. A hybrid machine learning approach to investigate the changing urban thermal environment by dynamic land cover transformation: A case study of Suwon, republic of Korea. Int. J. Appl. Earth Obs. Geoinf. 2023, 122, 103408. [Google Scholar] [CrossRef]
- Al-Ruzouq, R.; Shanableh, A.; Khalil, M.A.; Zeiada, W.; Hamad, K.; Abu Dabous, S.; Gibril, M.B.A.; Al-Khayyat, G.; Kaloush, K.E.; Al-Mansoori, S.; et al. Spatial and temporal inversion of land surface temperature along coastal cities in arid regions. Remote Sens. 2022, 14, 1893. [Google Scholar] [CrossRef]
- Liu, Y.; Yu, P.; Wang, H.; Peng, J.; Yu, Y. Ten years of VIIRS land surface temperature product validation. Remote Sens. 2022, 14, 2863. [Google Scholar] [CrossRef]
- Wang, S.; Zhou, J.; Lei, T.; Wu, H.; Zhang, X.; Ma, J.; Zhong, H. Estimating Land surface temperature from satellite passive microwave observations with the traditional neural network, deep belief network, and convolutional neural network. Remote Sens. 2020, 12, 2691. [Google Scholar] [CrossRef]
- Varentsov, M.I.; Grischenko, M.Y.; Konstantinov, P.I. Comparison between in situ and satellite multiscale temperature data for Russian arctic cities for winter conditions. Izvestiya—Atmos. Ocean. Phys. 2021, 57, 1087–1097. [Google Scholar] [CrossRef]
- Shatnawi, N.; Qdais, H.A. Mapping urban land surface temperature using remote sensing techniques and artificial neural network modelling. Int. J. Remote Sens. 2019, 40, 3968–3983. [Google Scholar] [CrossRef]
- Li, Z.L.; Tang, B.H.; Wu, H.; Ren, H.Z.; Yan, G.J.; Wan, Z.M.; Trigo, I.F.; Sobrino, J.A. Satellite-derived land surface temperature: Current status and perspectives. Remote Sens. Environ. 2013, 131, 14–37. [Google Scholar] [CrossRef]
- Solov’ev, V.I.; Uspenskii, A.B.; Uspenskii, S.A. Derivation of land surface temperature using measurements of IR radiances from geostationary meteorological satellites. Russ. Meteorol. Hydrol. 2010, 35, 159–167. [Google Scholar] [CrossRef]
- Duan, S.-B.; Li, Z.-L.; Wang, C.; Zhang, S.; Tang, B.-H.; Leng, P.; Gao, M.F. Land-surface temperature retrieval from Landsat 8 single-channel thermal infrared data in combination with NCEP reanalysis data and ASTER GED product. Int. J. Remote Sens. 2019, 40, 1763–1778. [Google Scholar] [CrossRef]
- The EarthTemp Network. Available online: http://www.earthtemp.net (accessed on 9 April 2024).
- Merchant, C.J.; Matthiesen, S.; Rayner, N.A.; Remedios, J.J.; Jones, P.D.; Olesen, F.; Trewin, B.; Thorne, P.W.; Auchmann, R.; Corlett, G.K.; et al. The surface temperatures of Earth: Steps towards integrated understanding of variability and change. Geosci. Instrum. Method. Data Syst. 2013, 2, 305–321. [Google Scholar] [CrossRef]
- He, J.; Zhao, W.; Li, A.; Wen, F.; Yu, D. The impact of the terrain effect on land surface temperature variation based on Landsat-8 observations in mountainous areas. Int. J. Remote Sens. 2018, 40, 1808–1827. [Google Scholar] [CrossRef]
- Urban, M.; Eberle, J.; Hüttich, C.; Schmullius, C.; Herold, M. Comparison of satellite-derived land surface temperature and air temperature from meteorological stations on the Pan-Arctic scale. Remote Sens. 2013, 5, 2348–2367. [Google Scholar] [CrossRef]
- Hong, F.; Zhan, W.; Göttsche, F.-M.; Liu, Z.; Dong, P.; Fu, H.; Huang, F.; Zhang, X. A global dataset of spatiotemporally seamless daily mean land surface temperatures: Generation, validation, and analysis. Earth Syst. Sci. Data 2022, 14, 3091–3113. [Google Scholar] [CrossRef]
- Wei, B.; Bao, Y.; Yu, S.; Yin, S.; Zhang, Y. Analysis of land surface temperature variation based on MODIS data a case study of the agricultural pastural ecotone of northern China. Int. J. Appl. Earth Obs. Geoinf. 2021, 100, 102342. [Google Scholar] [CrossRef]
- Guillevic, P.C.; Biard, J.C.; Hulley, G.C.; Privette, J.L.; Hook, S.J.; Olioso, A.; Göttsche, F.M.; Radocinski, R.; Román, M.O.; Yu, Y. Validation of land surface temperature products derived from the visible infrared imaging radiometer suite (VIIRS) using ground-based and heritage satellite measurements. Remote Sens. Environ. 2014, 154, 19–37. [Google Scholar] [CrossRef]
- Windahl, E.; de Beurs, K. An intercomparison of Landsat land surface temperature retrieval methods under variable atmospheric conditions using in situ skin temperature. Int. J. Appl. Earth Obs. Geoinf. 2016, 51, 11–27. [Google Scholar] [CrossRef]
- Benali, A.; Carvalho, A.C.; Nunes, J.P.; Carvalhais, N.; Santos, A. Estimating air surface temperature in Portugal using MODIS LST data. Remote Sens. Environ. 2012, 124, 108–121. [Google Scholar] [CrossRef]
- Ma, Y.; He, T.; Li, A.; Li, S. Evaluation and intercomparison of topographic correction methods based on Landsat images and simulated data. Remote Sens. 2021, 13, 4120. [Google Scholar] [CrossRef]
- Voropay, N.N.; Istomina, E.A.; Vasilenko, O.V. Investigation of temperature field of land surface of Tunkinskaya depression using Landsat space images. Atmos. Ocean. Opt. 2021, 24, 67–73. [Google Scholar]
- Mildrexler, D.J.; Zhao, M.; Running, S.W.; Mildrexler, D.J.; Zhao, M.; Running, S.W. A global comparison between station air temperatures and MODIS land surface temperatures reveals the cooling role of forests. J. Geophys. Res. 2011, 116, 15. [Google Scholar] [CrossRef]
- Hutengs, C.; Vohland, M. Downscaling land surface temperatures at regional scales with random forest regression. Remote Sens. Environ. 2016, 178, 127–141. [Google Scholar] [CrossRef]
- Ermida, S.L.; Trigo, I.F.; DaCamara, C.C.; Göttsche, F.M.; Olesen, F.S.; Hulley, G. Validation of remotely sensed surface temperature over an oak woodland landscape—The problem of viewing and illumination geometries. Remote Sens. Environ. 2014, 148, 16–27. [Google Scholar] [CrossRef]
- Van De Kerchove, R.; Lhermitte, S.; Veraverbeke, S.; Goossens, R. Spatio-temporal variability in remotely sensed land surface temperature, and its relationship with physiographic variables in the Russian Altay Mountains. Int. J. Appl. Earth Obs. Geoinf. 2012, 20, 4–19. [Google Scholar] [CrossRef]
- Ye, X.; Ren, H.; Liang, Y.; Zhu, J.; Guo, J.; Nie, J.; Zeng, H.; Zhao, Y.; Qian, Y. Cross-calibration of Chinese Gaofen-5 thermal infrared images and its improvement on land surface temperature retrieval. Int. J. Appl. Earth Obs. Geoinf. 2021, 101, 102357. [Google Scholar] [CrossRef]
- Fu, H.; Shao, Z.; Fu, P.; Huang, X.; Cheng, T.; Fan, Y. Combining ATC and 3D-CNN for reconstructing spatially and temporally continuous land surface temperature. Int. J. Appl. Earth Obs. Geoinf. 2022, 108, 102733. [Google Scholar] [CrossRef]
- Gong, Y.; Li, H.; Shen, H.; Meng, C.; Wu, P. Cloud-covered MODIS LST reconstruction by combining assimilation data and remote sensing data through a nonlocality-reinforced network. Int. J. Appl. Earth Obs. Geoinf. 2023, 117, 103195. [Google Scholar] [CrossRef]
- Bilichenko, I.N.; Voropay, N.N. Landscape and climate studies of mountain areas of the Baikal natural territory. IOP Conf. Ser. Earth Environ. Sci. 2018, 211, 012046. [Google Scholar] [CrossRef]
- Mikheev, V.S. Landscapes of the Baikal region: Structure, state assessment, problems. Geogr. Nat. Resour. 1995, 3, 68. (In Russian) [Google Scholar]
- Plyusnin, V.M.; Sorokovoy, A.A. Geoinformation Analysis of the Landscape Structure of the Baikal Natural Area; Geo: Novosibirsk, Russia, 2013; 187p. (In Russian) [Google Scholar]
- Danko, L.V. On the development trends of geosystems along the western shore of Baikal. Geogr. Nat. Resour. 2005, 4, 48. (In Russian) [Google Scholar]
- Maksyutova, E.V.; Kichigina, N.V.; Voropai, N.N.; Balybina, A.S.; Osipova, O.P. Tendencies of hydroclimatic changes on the Baikal natural territory. Geogr. Nat. Resour. 2012, 33, 304–311. [Google Scholar] [CrossRef]
- Thermochron. Temperature Loggers. Available online: https://www.thermochron.com (accessed on 9 April 2024).
- Elitech Temperature Data Loggers. Available online: https://elitech.uk.com/collections/temperature-data-logger (accessed on 9 April 2024).
- Google Earth Engine. Available online: https://earthengine.google.com (accessed on 9 February 2024).
- Ermida, S.L.; Soares, P.; Mantas, V.; Göttsche, F.-M.; Trigo, I.F. Google Earth Engine open-source code for Land Surface Temperature estimation from the Landsat series. Remote Sens. 2020, 12, 1471. [Google Scholar] [CrossRef]
- Duguay-Tetzlaff, A.; Bento, V.A.; Göttsche, F.M.; Stöckli, R.; Martins, J.P.A.; Trigo, I.; Olesen, F.; Bojanowski, J.S.; da Camara, C.; Kunz, H. Meteosat land surface temperature climate data record: Achievable accuracy and potential uncertainties. Remote Sens. 2015, 7, 13139–13156. [Google Scholar] [CrossRef]
- Hulley, G.C.; Hook, S.J.; Abbott, E.; Malakar, N.; Islam, T.; Abrams, M. The ASTER Global Emissivity Dataset (ASTER GED): Mapping Earth’s emissivity at 100 m spatial scale. Geophys. Res. Lett. 2015, 42, 7966–7976. [Google Scholar] [CrossRef]
- Carlson, T.N.; Ripley, D.A. On the relation between NDVI, fractional vegetation cover, and leaf area index. Remote Sens. Environ. 1997, 62, 241–252. [Google Scholar] [CrossRef]
- Rubio, E.; Caselles, V.; Badenas, C. Emissivity measurements of several soils and vegetation types in the 8–14, µm wave band: Analysis of two field methods. Remote Sens. Environ. 1997, 59, 490–521. [Google Scholar] [CrossRef]
- Parastatidis, D.; Mitraka, Z.; Chrysoulakis, N.; Abrams, M. Online global land surface temperature estimation from Landsat. Remote Sens. 2017, 9, 1208. [Google Scholar] [CrossRef]
- Mallick, J.; Alsubih, M.; Ahmed, M.; Almesfer, M.K.; Kahla, N.B. Assessing the spatiotemporal heterogeneity of terrestrial temperature as a proxy to microclimate and its relationship with urban hydro-biophysical parameters. Front. Ecol. Evol. 2022, 10, 878375. [Google Scholar] [CrossRef]
- Rasputina, E.A.; Vasilenko, O.V. Application of the landscape approach and remote sensing data for the mapping of the climate characteristics of the mountain-basin territories. IOP Conf. Ser. Earth Environ. Sci. 2019, 381, 012077. [Google Scholar] [CrossRef]
- Bufal, V.V.; Linevich, N.L.; Bashalkhanova, L.B. Landscape-climatic conditions and recreation potential of the coast of Lake Baikal. Geogr. Prir. Resur. 2004, 4, 50–55. (In Russian) [Google Scholar]










| Id | Site Name | Landcover | Latitude | Longitude | Elevation, m | IST Dates |
|---|---|---|---|---|---|---|
| 1 | S1 | Bare soil | 53.1179 | 106.6922 | 1656 | 2013–2020 |
| 2 | S2 | Dark coniferous forest | 53.1192 | 106.7136 | 1418 | 2013–2021 |
| 3 | S3 | Mixed forest | 53.1181 | 106.7511 | 1101 | 2013–2020 |
| 4 | S4 | Shrubs | 53.1134 | 106.7552 | 1117 | 2013–2020 |
| 5 | S5 | Mixed forest | 53.1034 | 106.7706 | 1032 | 2013–2020 |
| 6 | S6 | Mixed forest | 53.0973 | 106.7849 | 903 | 2013–2020 |
| 7 | S7 | Patches of larch forest | 53.0960 | 106.7930 | 658 | 2013–2021 |
| 8 | S8 | Patches of larch forest | 53.0923 | 106.8007 | 603 | 2013–2020 |
| 9 | S9 | Steppe | 53.0880 | 106.8177 | 460 | 2013–2021 |
| 10 | P1 | Patches of larch forest | 52.9687 | 106.8104 | 915 | 2009–2021 |
| 11 | P2 | Mixed forest | 53.04000 | 106.6697 | 1163 | 2011–2020 |
| 12 | P3 | Patches of pine forest | 53.01882 | 106.6789 | 700 | 2009–2021 |
| Landsat 7 (ETM+) | Landsat 8 (OLI) | |||
|---|---|---|---|---|
| Band | Name | Spectral Range, µm | Name | Spectral Range, µm |
| 1 | Blue | 0.45–0.52 | Coastal Aerosol | 0.43–0.45 |
| 2 | Green | 0.52–0.60 | Blue | 0.450–0.51 |
| 3 | Red | 0.63–0.69 | Green | 0.53–0.59 |
| 4 | Near-Infrared | 0.77–0.90 | Red | 0.64–0.67 |
| 5 | Short-wave Infrared | 1.55–1.75 | Near-Infrared | 0.85–0.88 |
| 6 | Thermal | 10.40–12.50 | SWIR 1 | 1.57–1.65 |
| 7 | Mid-Infrared | 2.08–2.35 | SWIR 2 | 2.11–2.29 |
| 8 | Panchromatic | 0.52–0.90 | Panchromatic | 0.50–0.68 |
| 9 | - | - | Cirrus | 1.36–1.38 |
| N | X | MD | STD | MIN | MAX | MAR | RMSD | R | |
|---|---|---|---|---|---|---|---|---|---|
| Air | 2025 | 4.3 | 3.4 | 6.5 | −17.9 | 22.6 | 4.4 | 7.8 | 0.93 |
| Surface | 1191 | 1.6 | 2.0 | 7.8 | −21.3 | 25.6 | 4.7 | 7.9 | 0.89 |
| N | X | MD | STD | MIN | MAX | MAR | RMSD | R | |
|---|---|---|---|---|---|---|---|---|---|
| Air | 2025 | 0.03 | 0.16 | 2.68 | −19.34 | 11.72 | 1.46 | 2.68 | 0.98 |
| Surface | 1191 | −0.03 | 0.11 | 4.38 | −19.34 | 11.72 | 2.34 | 4.37 | 0.95 |
Disclaimer/Publisher’s Note: The statements, opinions and data contained in all publications are solely those of the individual author(s) and contributor(s) and not of MDPI and/or the editor(s). MDPI and/or the editor(s) disclaim responsibility for any injury to people or property resulting from any ideas, methods, instructions or products referred to in the content. |
© 2024 by the authors. Licensee MDPI, Basel, Switzerland. This article is an open access article distributed under the terms and conditions of the Creative Commons Attribution (CC BY) license (https://creativecommons.org/licenses/by/4.0/).
Share and Cite
Dyukarev, E.; Voropay, N.; Vasilenko, O.; Rasputina, E. Validation of Remotely Sensed Land Surface Temperature at Lake Baikal’s Surroundings Using In Situ Observations. Land 2024, 13, 555. https://doi.org/10.3390/land13040555
Dyukarev E, Voropay N, Vasilenko O, Rasputina E. Validation of Remotely Sensed Land Surface Temperature at Lake Baikal’s Surroundings Using In Situ Observations. Land. 2024; 13(4):555. https://doi.org/10.3390/land13040555
Chicago/Turabian StyleDyukarev, Egor, Nadezhda Voropay, Oksana Vasilenko, and Elena Rasputina. 2024. "Validation of Remotely Sensed Land Surface Temperature at Lake Baikal’s Surroundings Using In Situ Observations" Land 13, no. 4: 555. https://doi.org/10.3390/land13040555
APA StyleDyukarev, E., Voropay, N., Vasilenko, O., & Rasputina, E. (2024). Validation of Remotely Sensed Land Surface Temperature at Lake Baikal’s Surroundings Using In Situ Observations. Land, 13(4), 555. https://doi.org/10.3390/land13040555

