Abstract
Game species with home ranges exceeding the area of the management units may entail conflicts over hunting rights and cause damage to crops and forest stands in surrounding areas. This is currently the case in the Mendro Mountain Range (Portugal), inhabited by free-ranging red (Cervus elaphus) and fallow deer (Dama dama) populations. This study’s primary goal was to uncover the processes underlying these tensions and identify solutions to overcome them, thus reconciling the economic, social, and ecological functions of hunting. We analyzed data from three different sources of information regarding the surveyed management units: biophysical and anthropical spatial data collected using a GIS; typology, whether fenced, area and game bag results, data provided by a public institute; crop and forest damage locations reported by game managers. Approximately half of the surveyed open management units reported damage. We found no relationship between damage and game bag results, regardless of the typology and habitat quality index. To address this disconnection between the negative and positive values associated with deer locally, we proposed habitat management solutions. It is of chief importance to keep valuable crops apart from deer’s refuge cover, such as bushy areas, to minimize damage in management units where deer hunting is a subsidiary activity. Conversely, in management units where deer hunting is of significant economic importance, the food and refuge cover should be closely interspersed to increase the management unit’s carrying capacity. To improve the efficacy of measures such as this at a regional scale, as in the Mendro Mountain Range, we recommend implementing a so-called Global Management Plan. In Portuguese law, this governance instrument applies to the entire biologic unit where the deer populations occur, thus implying arrangements between the involved stakeholders and multiple other concerned institutions.
1. Introduction
In contemporary Western societies, hunting is no longer mainly performed for self-preservation and subsistence reasons, such as defense against predators and wildlife exploitation for food and useful animal products, like fur, bones, and antlers. This utilitarian dimension of the hunting tradition has been replaced by an economic function generally regulated by the market economy [1,2,3,4,5,6,7]. However, hunting’s social dimension—cultural, educational, and recreational—is still as prevalent as throughout all historical periods [8]. Here are some illustrative examples of hunting’s social importance over time: for Xenophon, hunting was a divinely ordained means of promoting military, intellectual and moral excellence [9]; for ancient Hellenes, hunting was extensively used as an educational tool [10]; medieval Iberian kings wrote entire books praising the virtues of non-utilitarian hunting [11,12,13]; distinguished philosophers in the 20th century considered it the most pleasant human activity [14,15,16]; and current national and regional regulations highlight the cultural and recreational merits of hunting activities. Wildlife management decisively affects an ecosystem’s dynamics, either through active management of habitats and populations or even if management activities just minimize external influences on habitats and populations [17,18]. Therefore, game management, irrespective of its goals, brings an ecological dimension to hunting.
Although the ecological dimension of hunting has always existed, we have only recently become fully aware of it. Nowadays, it is a prominent presence in hunting regulations and a chief concern of all hunting organizations. The ecological dimension of hunting may either favor or negatively affect the economic and social functions of hunting, depending on how the different stakeholders perceive the impact of game management. Establishing a particular harvest, i.e., the portion of a game population removed by hunting, may be simultaneously understood as over-hunting by an environmentalist but as under-hunting by a farmer. Furthermore, moral assessments of pursuing and taking game animals have been used to legitimize and delegitimize hunting [19]. These contradictory perspectives of “rights” and “wrongs” add a further dimension of complexity to the needed governance of hunting. Reconciling the so-called “multifunctionality of hunting” [20] denoting this concept of the multiple benefits that all concerned activities may generate with the undesired effects that the pursuit and management of game may imply is a remarkably complex endeavor. Even more so if the game species’ home ranges and movement ecologies mismatch the management units’ areas [21], as happens frequently with deer in Portugal [22]. Thus, deer-hunting regulation and governance in Portugal, addressing the multiple interactions between different components involved in the hunting sector, is challenging. The difficulties are increased when considering the local-specific interactions and the singular emergent collective dynamics in the hunting system.
Although a native common species in Portugal during the Middle Ages, the red deer (Cervus elaphus) was almost eradicated from this country in the 19th century; in the 1970s it was still present but in low-density scattered populations [22,23,24]. From near extinction, the Portuguese red deer populations have rapidly increased in the last few decades and keep showing a growth trend in abundance and distribution area [25]. The fallow deer (Dama dama), a non-native species in Portugal, was recurrently introduced between the 12th and the 19th century [26] and mainly kept in a few fenced areas [22]. In the Mendro Mountain Range, Portugal, fallow deer individuals have repeatedly escaped from different enclosures [22] and have originated free-ranging populations. In this area, according to the official game bag results, i.e., the number of individuals per game species harvested annually in each management unit, red and fallow deer are currently the two most hunted ungulate species (Institute for Nature Conservation and Forests, unpublished data).
The harvested deer (from now on, the word deer, when used alone, includes the red and fallow deer species) represent just a proportion of the game population considered an acceptable high yield by the management units, which, according to a maximum sustained yield management strategy, tend to be less than half of the total population. The current abundance of deer reflected by these game bag results calls for examination of the tensions and possible trade-offs between the economic, social, and ecological dimensions of hunting. Amongst those tensions, the most prevalent and significant is the latent or declared conflict between the hunting organizations, which promote both the recreational and venison value of deer, and those, like the landowners and tenant farmers, who may suffer undesired effects, such as agricultural and forest damage [27,28]. In Portugal, hunting rights are not inherent to land ownership; they are temporarily transferred, under conditions specified in the Portuguese General Hunting Law [29], from the national government to different types of hunting organizations. Given this circumstance, game managers play a central role in mediating the positive and negative values that may be associated with hunting.
The main goal of this study is to understand how to minimize, ideally to overcome, the tensions between conflicting interests over deer management in the Mendro Mountain Range. Following the framework proposed by [20], after having identified in this section the different functions of deer hunting—economic, social, and ecological—we proceed to analyze the main factors determining damage on farm and forestry land caused by deer. We used three different types of information to characterize the hunting organizations, i.e., the shoots or management units, operating in the study area: (1) biophysical and anthropical data collected using GIS tools, allowing for the identification of land cover types, the determination of spatial metrics and the estimation of a habitat suitability index; (2) data provided by official administrative sources regarding the management unit’s geographic location, typology, surface area, whether open or fenced, and annual deer hunting bags; and (3) game managers’ responses to a questionnaire concerning their perceptions of damage caused by deer. Finally, we offer measures to minimize crop and forestry damage at a local scale, i.e., the unit of management. Moving further, we then consider the positive and negative values of deer hunting at the regional scale, i.e., the Mendro Mountain Range, and examine possible institutional and private collaborative arrangements to achieve a governance model to reconcile the identified conflicts.
2. Materials and Methods
2.1. Study Area
This study was conducted in the Mendro Mountain Range, located in the Évora and Beja district municipalities in the Alentejo region of Portugal (Figure 1). Lying in the bioclimatic Luso-Extremadurense Province [30], it extends over about 26,777 ha of soils predominantly derived from siliceous materials from shale and granite. The climate is Mediterranean pluviseasonal oceanic [31,32], characterized by hot and dry summers, with an average temperature of 25 °C and a daily maximum of 35 °C that is frequently exceeded, favoring wildfires [33]. The winter is mild, with an average temperature between 10 and 12°, and it concentrates 65 to 70% of the annual precipitation, averaging 680 mm. The area is smoothly hilly, with altitudes ranging from around 100 to 400 m, with 412 m being the highest peak. The main land cover is the so-called montado, an agro–silvo–pastoral land use system resulting from the anthropization of the Mediterranean cork and holm oak forests.
Figure 1.
On the left, the study area, represented in dark gray, lies in the Mendro Mountain Range in the Évora and Beja district municipalities, Alentejo, Portugal. On the right, the 35 surveyed hunting zones are in dark gray.
Deer are managed for harvest in most of the study area. Three types of game management units, which in the Portuguese General Hunting Law [29] are referred to as hunting zones, are present in the area: tourism, associative, and municipal. According to the law [29], these typologies are aimed at different goals. The primary purpose of tourism hunting zones is to generate economic gains; they are open to any hunter willing to pay the fees charged. Associative hunting zones are mainly aimed at promoting the involvement of hunters in game management, and only members and their guests may hunt there. The municipal hunting zones’ core goal is to allow low-income people, mainly those in the municipality, to hunt in properly managed areas. Thus, they charge different fees depending on the hunter’s residence. The tourism, associative, and municipal hunting zones correspond to 57%, 28% and 15% of the total management units in the Mendro Mountain Range, respectively.
2.2. Data Collection
2.2.1. Spatial Metrics
We used quantitative measures, i.e., spatial metrics, for evaluating each management unit’s biophysical and anthropical characteristics, which may affect the damage to agroforestry crops caused by deer. Using ArcGIS 10.4.1 [34], we determined several relevant features for each management unit. A digital elevation model was built based on 15 military maps’ (Portuguese Military Map 1:25,000—Continental, series M888) altimetric data. From there, the slope and aspect were calculated. Orography assessment integrated three factors: the altimetry, with ranges between 60 and 417 m, was classified as 1 = [60–100], 2 = [101–200], 3 = [201–300] and 4 = [301–417] meters; the slope (expressed in percentage) was classified as “very gentle” 1 = [0–3], “gentle” 2 = [3–6], “moderate” 3 = [6–16], “steep” 4 = [16–25] and “very steep” 5 = >25; and the aspect, classified as 1 = flat, 2 = north, 3 = northeast, 4 = east, 5 = southeast, 6 = south, 7 = southwest, 8 = west, 9 = northwest and 10 = north.
The land cover/land use data were extracted from the Portuguese land use map for the year 2018 [35] and complemented by on-screen vectorization using Google Earth (accessed in June 2021) of relevant elements (ponds, roads, riparian vegetation, isolated houses) that were too small to be represented on the official maps (minimum map unit = 1 ha, at least distance between lines = 20 m).
Some landscape elements required quantification, and their influence was assessed/considered through a distance analysis. Multiple ring buffers, with adequate distances according to the habitat suitability index calculation protocol (see Appendix A), were computed around roads, houses, water points and areas with herbaceous vegetation, and the respective areas were then calculated for each distance interval. These variables were then quantified inside 81 ha squares that were used as spatial analytical units for the task at hand (see Section 2.3. Data analysis). The buffers’ areas intersecting the square were calculated and the corresponding proportions obtained. The application of weight factors allowed the calculation of a road index, a rural building index, a water availability/proximity index, and an herbaceous layer index.
2.2.2. Habitat Suitability Evaluation
To estimate the management units’ conditions to support red and fallow deer, we used a numerical index known as the habitat suitability index (HSI) [36]. This index rates habitat quality from 0 to 1, a rating scale with a direct linear relationship with the carrying capacity, and it equals the division of the habitat conditions estimated in each by the optimum habitat conditions. Following the guidance and standards provided by the US Fish and Wildlife Service [36], we adapt an existing model [37] that applies to deer in our geographic area. This model was designed by analyzing the relation between deer abundance and biophysical and anthropical variables in an environment like the study area. According to its propositions, the model is appropriate for evaluating and comparing habitat quality in different areas in the same environment. Keeping this model structure and using the same variables, we developed a modified version by incorporating new scientific knowledge concerning diet composition, space use, and habitat selection by deer [38,39,40,41,42]. Furthermore, instead of estimating the values of several variables affecting the carrying capacity by a sampling process, as proposed in the referred model [37], we used their actual values determined with the help of modern GIS tools. Figure 2 presents a flowchart depicting the sequential steps taken to build the model, showing the key concepts and assumptions involved. The variables, their coefficients, and the mathematic expressions used to determine the HSI are presented in Appendix A.
Figure 2.
Flowchart depicting the sequential steps followed to build the habitat suitability model used (adapted from Carmo, Romão [37]).
2.2.3. Game Managers’ Perceptions of Damage to Agroforestry Crops Caused by Deer
Using a list of 86 management units provided by the Institute for Nature Conservation and Forests, we selected 40 neighboring hunting zones in the core area of the Mendro Mountain Range. We interviewed the game managers willing to participate in the study, i.e., 35. Using haphazard sampling, we obtained a good population representation, considering the wide land coverage and high response rate of the game managers. The questionnaires were administered by telephone interview from January to May 2021, although the questions and a map of the management unit were previously sent to the respondents by email. Two topics were considered: (1) the location on a map of all the grid cells, squares with 250 m side length, where damage was observed; and (2) the identification of the land cover types where damage was observed. The grid cell area (6.25 ha) corresponded to the smallest size identifiable at the adopted scale. We used the number of grid units where game managers declared observing damage as the attribute to evaluate the negative impacts of deer in each management unit. To address the second topic, we used open-ended questions, presenting a predefined list of the following cover types: grassland and forage crops, natural pastures, corn, vineyard, olive groves, pine forest, arbutus forest and holm/cork oak agroforestry stands.
2.3. Data Analysis
The hunting zones’ typology, whether the hunting zones are fenced, HSI, and game bag results (GBR) (data from 2017/2018 to 2019/2020 hunting seasons) were the analyzed attributes concerning the economic, social and ecological dimensions of hunting. We used the number of grid units with 6.25 ha where game managers declared that they had observed damage as an attribute to evaluate the negative impacts of deer in each management unit. We conducted chi-square goodness of fit tests to evaluate whether the relative frequencies of the three typologies of hunting zones are likely to come from a specific distribution, i.e., if they are representative of a specific population.
We used boxplots and a one-way analysis of variance (ANOVA), with Fisher’s least significant difference (LSD) post hoc test, to compare the HSI among the three different typologies of hunting zones. Cross-tabulation analyses (Pearson chi-square tests) of qualitative variables and standard methods of measuring data correlation, such as calculating the Pearson and Spearman coefficients for quantitative variables, were used to study the associations among the different attributes. To conduct some of these analyses, we categorized the variable of the hunting zone’s typology using three levels 0—municipal hunting zones, 1—associative hunting zones and 2—tourism hunting zones, and the variable of whether the hunting zones are fenced using two levels 0—open and 1—fenced.
We used a stepwise variable selection method for the multiple regression analysis to evaluate which biophysical and anthropical factors (see Section 2.2.1. Spatial metrics) significantly affect agroforestry crop damage in the Mendro Mountain range. We assessed the model assumptions by testing for multicollinearity and conducting residual analyses. The dependent variable was the number of grid units with 6.25 ha where damage was observed and recorded inside a square with 81 ha. Such an area size, approximately equivalent to a circle with a radius of 500 m, is considered large enough to assure independent observations and thus is commonly recommended for sampling signs, like damage, of mammals with large home ranges [43], such as deer [44]. We analyzed all 81 ha squares where damage was observed (at least one grid unit 6.25 was affected).
All the statistical analyses were performed with the SPSS version 29 [45] and R version 2023 [46] statistic software packages.
3. Results
3.1. Management Units’ Characterization and Their Relationship with Crop Damage
The proportions (relative frequencies) of the different hunting zone typologies regarding the surveyed management units agree with the proportions of the different hunting zone typologies in the Mendro Mountain Range (chi-square goodness of fit test, χ2 = 0.23, p-value = 0.89). Tourism hunting zones represent the most surveyed management units, whereas associative and municipal hunting zones, with similar numbers, when combined comprise 40% of the total of 35 (Table 1). The number of fenced management units was a minority (Table 1). However, whether a management unit is open or fenced was strongly related to its typology, since all five fenced management were touristic hunting zones. The relationship between this factor and the occurrence of damage is also obvious, as only open management units were negatively impacted (Table 1).
Table 1.
Surveyed management units’ characterization by typology and whether open or fenced. For each category of these two variables, the number of management units, the number of management units negatively impacted by damage, the average habitat suitability index (HSI), the average game bag results per 100 ha (GBR) and the average area (ha) are presented.
As illustrated in Figure 3, the HSI was better in the tourism and associative hunting zones than in the municipal hunting zones (one-way ANOVA:F (2.32) = 8.395; p-value = 0.001; Fisher’s least significant difference post hoc tests between: tourism and municipal hunting zones, p-value < 0.001; associative and municipal hunting zones, p-value = 0.011; tourism and associative hunting zones, p-value = 0.6161). The GBR was higher in the tourism management units, mainly in fenced hunting zones, than in the associative and municipal management units (Table 1). The highest GBR reported in a fenced management unit was 15.8 ind./100 ha, while 4.1 ind./100 ha was the maximum GBR registered in an open management unit, a tourism hunting zone; 1.1 ind./100 ha and 0.3 ind./100 ha were the maximum GBR verified in associative and municipal hunting zones, respectively.
Figure 3.
Boxplot comparison of the habitat suitability index (HSI) among the different typologies of hunting zones occurring in the study area.
When all the management units were considered, no significative difference was noticed between the three typologies regarding the crop damage vulnerability (cross-tabulation test, 2(2) = 0.567; p-value = 0.804). No relationship between the HSI and crop damage vulnerability was found (correlation test, = −0.231; p-value = 0.181). Also, no direct relationship was found between the GBR and damage occurrence ( = 0.111, p-value = 0.526).
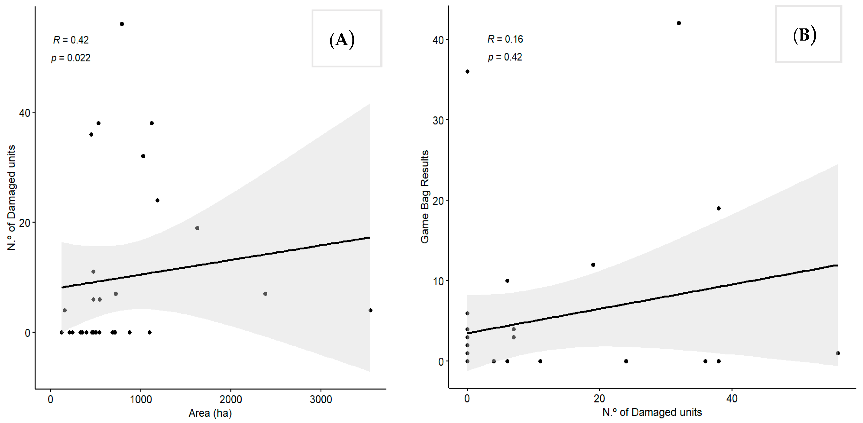
In open areas, the proportions of the different hunting zone typologies affected by crop damage were not significantly different from those in the surveyed area (chi-square goodness of fit test, χ2 = 2.88, p-value = 0.24). A moderate correlation was found between the number of 6.25 ha grids damaged in each management unit and the Area (Figure 4A) ( = 0.424; p-value = 0.022), but no statistically significant correlation was found between the number of grids damaged in each management unit and the GBR (Figure 4B) ( = 0.155; p-value = 0.422). It is noteworthy that not a single deer was hunted in half of the 14 management units affected by crop damage, while no damage was observed in 7 management units where deer harvesting was reported.
Figure 4.
On the left, a scatter plot (A) representing a moderate positive correlation between the number of damaged grid units in each hunting zone and Area (ha). On the right, a scatter plot (B) indicating there is no relationship between the game bag results and the number of damaged grid units.
In the 14 management units where damage was reported by the respective game managers, a total of 304 grid units were negatively affected (Figure 5): 98 corresponding to farm fields (32.2%) and 206 (67.8%) to forest fields. In each of these management units, the number of grid units impacted ranged from 4 to 56, representing a proportion from 0.5% to 36.7%, i.e., in the most impacted management units the area affected rarely surpassed a third of the management unit surface. According to the respondents’ opinions, forages, mainly vetch and annual ryegrass, grassland, like subterranean cover, natural pastures, and crops, such as wheat and oats, are mainly affected by grazing, whereas browsing impacts olive groves, strawberry trees (Arbutus unedo), and Pinus stands, in which antler rubbing was also reported as a negative impact factor. Montado of cork oak (Quercus suber), holm oak (Quercus rotundifolia) and other oaks (Quercus spp.) are land covers affected by both grazing and browsing; the consumption of acorns in the ground was also considered a negative deer impact.
Figure 5.
Damage distribution in the study area. The hunting zones negatively affected are represented in dark gray, and the black dots represent the grid units where damage was reported.
3.2. Factors Affecting Crop Damage in the Study Area
We found a significant positive relationship between the number of 6.25 ha grid units affected in each 81 ha square and the area of olive grove ( = 0.255, p-value < 0.05), the area of montado ( = 0.261, p-value < 0.05), the area of the altitude class 101–200 m ( = 0.284, p-value < 0.01), the area of the slope class 6.1–16% ( = 0.237, p-value < 0.05), and the percentage area of Southwest-facing slopes ( = 0.258, p-value < 0.05). Conversely, damage had a significant negative relationship with the altitude index ( = −0.296, p-value < 0.01) and the herbaceous stratum index ( = −0.263, p-value < 0.05). Of the simple and multiple regression models developed to predict the effect of deer herbivory and antlers rubbing on farm and forest damage (Table 2), the one explaining the highest variance (21.2%) included the following variables: altitude index (beta coefficient = −0.166), absolute area of the slope class 6.1–16% (beta coefficient = 0.314), absolute area of olive groves (beta coefficient = 0.248) and percentage area of holm oak agroforestry systems (beta coefficient = 0.246) (Model 4 in Table 2).
Table 2.
Models obtained by simple and multiple linear regression analysis of the biophysical and anthropical variables that influence crop damage (dependent variable)—number of 6.25 ha grid units affected—in the 83 squares of 81 ha negatively impacted by deer in the surveyed area. The adjusted R2 in bold identifies the most suitable model.
4. Discussion
4.1. Hunting Zones’ Characterization and Hunting Functionality Interplay
The tourism hunting zones’ higher average HSI compared to the other management units’ typology denotes a persistent investment to meet their objective of improving the carrying capacity for deer and thus optimizing a sustained yield. Though the primary purpose of these management units is to generate economic benefits, besides an evident economic function, they also provide a social function and have several ecological implications. Their social function is twofold; on the one hand, they play a significant role in the preservation of an Iberian traditional hunting method—the montaria [47], while on the other hand, they promote low-season tourism, from November to February, contributing to improving employment in a region where montado is the prevalent land use [48,49]. The effort to improve the habitat quality, which involves manipulating the four components of a wildlife habitat, food, refuge, water, and space, has ecological effects, affecting biodiversity at the alfa, beta, and gamma levels [50]. Another ecological consequence of tourism hunting zones is that all (five) identified entirely enclosed management units belonged to this typology. Enclosures affect the behavioral ecology of all species, including deer, which cannot cross the high fences that are regularly inspected [51,52,53]. Furthermore, their main purpose, keeping a high number of deer in relatively small areas, is confirmed by the elevated GBR they achieve (Table 1), which entails both the increasing risk of health and inbreeding problems. In fenced management units, using the highest GBR recorded and considering a hunting harvest rate below half of the carrying capacity [54], let us say 40%, the population density could reach around 40 ind./100 ha, like those verified in intensively managed management units in Spain [55,56]. To infer in the same manner the deer density in open tourism hunting zones is a somewhat speculative exercise. Speculating, the deer density in open tourism hunting zones could have attained a maximum of 10 ind./100 ha, a density higher than in other mountain areas of Portugal [57].
Associative and municipal hunting zones generate tangible economic revenues that advance local and regional sustained development [2,48,49]. They reinforce the social functions of tourism hunting zones and add some more: associative hunting zones encourage their members to engage in game species collaborative management; municipal hunting zones help to fix socio-economic inequalities, allowing low-income local people to hunt in affordable conditions in a deprived rural region. Conversely to municipal hunting zones, associative hunting zones, on average, are not far behind tourism hunting zones in the efforts made to improve the habitat suitability for deer. Inferring the deer density in the manner mentioned above, around 3 ind./100 ha would be the highest density attained in the associative hunting zones and 0.75 ind./100 ha in the municipal hunting zones; the former density is in line with those found in other Portuguese mountain areas, but the latter is lower [57].
4.2. Crop Damage Analysis and Management Implications
From a multifunctionality perspective, deer populations may represent a problem of “over-hunting”, “over-managing” or “under-hunting”, adopting Fischer and Sandström’s [20] expressions. Over-hunting would result in a population decrease due to excessive exploitation. Current national and local deer population trends refute a declining scenario [25], and the current transition to more effective and responsible management strategies [22] tends to prevent deer overexploitation. Over-managing supposes an extreme artificialization of the animals’ conditions, almost always involving captivity, provision of supplemental food, and, in some cases, the genetic manipulation of trophy-size antlers. These are not free-ranging animals, nor are they subjected to natural selection, and thus they can hardly even be considered wildlife [18]. This could be the case for the animals inhabiting the five fenced tourism hunting zones. Under-hunting happens when the harvest is insufficient to prevent deer from exceeding the available carrying capacity. The following resource depletion may increase the damage to agricultural and forest crops. In such a strict sense, all the farm and forest damage identified by the respondents results from under-hunting. The resources used by deer are perceived differently according to stakeholders’ profiles, and farmers tend to show higher concern regarding crop damage than non-farmers [58]. Game managers are keen to recognize damage because they are affected by it. Directly, when they are simultaneously an interested party in agricultural and forestry profits, being the owners of the land or its tenants, and indirectly, as, according to the Portuguese General Hunting Law [29], the hunting zone they manage may be called upon to pay compensation to harmed stakeholders. If we exclude the five fenced tourism hunting zones, where no damage was reported, under-hunting in the strict sense has negatively affected almost half (14 out 30) of the surveyed open management units (Table 1).
To accomplish their primary goal, i.e., high economic returns from selling hunts with quality trophies that suppose the payment of expensive fees, the managers of the fenced tourism hunting zones do not perceive any resource use by deer as a negative impact. In open areas, where the inferred deer density was not high, crop damage was transversal to all the management units’ typologies and presented no relationship with management units’ HSI or GBR. Also, no significant correlation was found between the HSI and GBR. The lack of a relationship between crop damage and deer density has also been found in central and northern Europe [44]. These apparent incongruences seem to reflect an existing mismatch between management units’ size, on average around 779 ha in the surveyed area, and deer’s daily movements and home range sizes, which in the Iberian Peninsula, though lower than those observed in central and northern Europe, may surpass 1000 ha, on average, regarding the males [59]. For example, a management unit with a low HSI, resulting from below-average food, water, and reproduction suitability, may present a high GBR, provided it offers an extended area of excellent refuge cover. This inconsistency is caused by the predominant hunting method—montaria—which occurs during the daytime in bushy areas where deer seek refuge. During the nighttime, deer from the same population will search in neighboring management units for the resources lacking in the former one, such as food. Foraging in agroforestry fields may cause crop damage in management units where, due to the below-average refuge suitability, the GBR is low. Planning to reconcile these conflicting interests may be envisaged at both a local and a regional scale.
4.2.1. Planning for Deer Management at a Local Scale
In the Mendro Mountain Range, the crop damage distribution regarding land cover is supported by the known herbivory processes exhibited by deer, namely grazing and browsing [38,39,60]. In synthesis, the grazing method of feeding affected mostly forages, grasslands, and low-growing crops. Deer damage by browsing was mainly noticed in olive groves, strawberry trees, and Pinus stands, where respondents also detected damage due to antler rubbing, which may induce tree damage and mortality [61,62]. In montado areas, crop damage resulted from grazing, browsing, and consuming acorns already on the ground. However, these crops’ vulnerability to deer herbivory was not the same across all the study area. Our results showed that crop damage is significantly related to some biophysical factors but not to any of the investigated human infrastructures.
The absence of a significant correlation between crop damage and roads, regardless of typologies, rural settlements, and dams, was unexpected and revealed that deer, as found by Carvalho and Torres [42], may not be affected by human factors and may even become fully accustomed to human presence [63]. Amongst the analyzed biophysical factors, the areas occupied by olive groves and montado, the altitude class 101–200 m, and the southwest slope orientation stand out as variables positively correlated with crop damage; the altitude index and the herbaceous stratum index stick out as variables negatively correlated with crop damage. These significant negative relationships suggest that deer, even while grazing, avoid foraging in extensive low-altitude open areas. As deer form a prey species [28,64], this behavior may be interpretated as a defensive trait, allowing the animals to reduce the chance of being detected by predators and hunters. According to Ferreti and Lovari [64], wolves (Canis lupus) strongly select fallow deer as a prey species because of their gregarious behavior and easy detection in open habitats on lower grounds commonly attended by the species. In coherence, the positive and significant correlation between crop damage and olive groves and montado areas, besides the high food value of these land covers for deer in the altitude class 101–200 m, may also be partially explained as defensive behavior. Deer can use olive groves as a camouflage cover and disguise their appearance using the entangled tree and shrub layers that characterize some montado hilly areas. It has been shown that red deer tend to occur in ecotone zones, selecting boundaries between shelter cover and open areas that offer quality food [41]. The positive relationship between crop damage and southwest-facing slopes may be explained by the favorable plant-growing conditions provided by such an orientation. Most of these variables match those in the multiple regression models we developed to predict crop damage (Table 2). These models’ predictive power is not high; 21.2% is the highest explained variance because the respondents’ damage perception is subjective, depending on other aspects. For instance, deer foraging in natural pastures and consuming acorns in montado areas may be perceived as something other than crop damage by a game manager focused on maximizing the deer yield. Otherwise, deer’s same use of food resources would be understood as severe crop damage by a game manager operating in an estate oriented to produce free-range cattle. Nevertheless, the interpretations of the correlation tests we have conducted are undoubtedly beneficial for planning deer management aimed at reducing crop damage.
The management implications will depend on the farming and hunting goals. In moderate- to high-intensity agriculture areas, where farming and cattle breeding revenues are of chief importance, separating refuge cover from food cover used by deer is mandatory. According to our results, the most vulnerable crops should be placed far apart from the refuge cover. When the practical separation of areas providing food resources from those offering refuge is impossible, the use of electric fences would be in order [42]. Conversely, in extensive agriculture areas, where farming and cattle breeding revenues are a subsidiary source of income and deer hunting has significant economic importance, food cover and refuge cover for deer should be placed close together. Bringing together these two cover types, for instance, by promoting a mosaic habitat structure where food cover patches are interspersed with refuge cover patches, will increase the carrying capacity of the management unit for deer [41,42]. This management strategy would contribute to minimizing crop damage by restraining the animals’ movements. This could be a better approach to limiting crop damage rather than increasing hunting pressure, a management tool that is not always effective in controlling overabundant deer [65].
4.2.2. Planning for Deer Management at a Regional Scale
Our analysis has shown that in the Mendro Mountain Range, crop damage reported by game managers undermines the harmony between the economic, social, and ecological functions of hunting. Most crop damage stems from the fact that the habitat components, mainly food and refuge, needed to support the deer are frequently spread over areas vastly exceeding the management unit’s ordinary size; there is an evident mismatch between deer’s home ranges and management units’ boundaries, as happens in several other environmental contexts [44]. According to Jarnemo and Nilsson [44], management units must be coordinated in an integrated system to efficiently manage deer on a population scale. As pointed out by Torres-Porras and Carranza [66], the exploitation of a shared resource, deer, by neighboring and independent game managers fits into the “tragedy of the commons” [67]. In some cases, implementing the abovementioned measures would minimize the clashes between neighboring management units. However, a complementary and upgraded solution involving a moral dimension would involve planning for deer management on a regional scale. This advance, of course, would involve developing complex institutional arrangements devoted to reconciling the tensions between different hunting zones and between hunting zones and other rural community stakeholders. To achieve this goal, different governance approaches should be considered that would explore the “new” environmental policy instruments [68,69], such as the cooperative implementation of management decisions planned in stakeholders focus groups facilitated by neutral moderators, certification of sound environmental practices and hunting experiences and, at a different level, hierarchical mechanisms to enforce timely payment of damage compensation. Regardless of the reported crop damage, all open management units should be engaged in these arrangements. In this case, most of the management units in the study area, where only 5 of the 35 surveyed are fenced, would be included. Management units surrounded by continuous fences, preventing the passage of deer to and from the neighboring management units, tend not to conflict with other stakeholders’ interests. For this reason, fenced management units could be left out of the collective arrangements.
The Portuguese General Hunting Law [29] establishes a game management instrument aimed at the planning and exploitation of large biological units, including several management units, inhabited by a given hunting population, i.e., a group of individuals with the potential to interbreed. The game management of such a biological unit should be carried out according to a Global Management Plan (GMP). These plans must be elaborated and implemented under the supervision of a national authority, the Institute for Nature Conservation and Forests. One GMP for ungulates was already implemented in the Lousã Mountain Range in Portugal. Conceiving such plans means looking at ways to address the conflicts and tensions between management units and between management units’ other stakeholders, intending to restore the multifunctionality of hunting. They suppose cooperation and collaborative management involving national, municipal, and private institutions. Thus, in Portugal, similarly to what happens in countries like France [70], a legal instrument allows planning for deer management at a regional scale, that is, a biological unit inhabited by a hunting population. Planning for deer management at the Mendro Mountain Range scale would imply the elaboration of a specific GMP. This study provides some of the necessary techno-scientific basis for this, and herein, we challenge the status quo and urge the Institute for Nature Conservation and Forest to act.
5. Conclusions
This study showed that the different management hunting typologies in the Mendro Mountain Range present economic, social, and ecological functions that agree with their primary goals. However, fenced tourism hunting zones raise ecological concerns. Such hunting zones, 5 out of 35 surveyed management units, encapsulate situations of over-managing, creating artificial barriers to animal movement that increase the risk of health and inbreeding problems.
No relationship was found between damage and game bag results in the open hunting zones, regardless of the management units’ typology and habitat quality index. This results from a mismatch between the management units’ average size and the deer’s home range. This finding reveals that the existing management units in Serra do Mendro lack sufficient dimensions to ensure sustainable use of deer populations. This situation might generate clashes between management units that suffer damage but harvest no deer and neighboring management units where no damage was reported but which present high game bag results. We propose habitat management solutions, depending on farming and hunting goals, to address this divorce between the negative and positive values associated with deer. In management units where deer hunting is a subsidiary activity, the most valuable crops should be kept far from the refuge cover. On the contrary, in management units where deer hunting is of significant economic importance, food and refuge cover should be brought together, offering a mosaic habitat structure that will increase the carrying capacity, thus restraining the animals’ movements. However, to achieve a more global and efficient solution, we propose an intervention at a regional scale, i.e., the creation of a Global Management Plan. Such a plan, which must be designed and implemented under the supervision of the Institute for Nature Conservation and Forests, should congregate all the open hunting zones and take the Mendro Mountain Range as a vast biological unit supporting the occurrence deer populations. To reconcile the economic, social, and ecological hunting functions at the regional scale, we offer policy instruments supported by collaborative management strategies involving local stakeholders and municipal and national institutions. Some examples are the certification of hunting experiences and the development of hierarchical mechanisms to enforce timely payment of damage compensation.
In future studies, we suggest further characterization of the crop and forest damage, considering the extension of the affected areas, the degree of the losses suffered, and, if possible, their economic expression. This knowledge will allow for better harmonization between the different hunting values.
Author Contributions
Conceptualization, P.S. and R.A.-J.; methodology, P.S. and R.A.-J.; formal analysis, C.B., P.S. and R.A.-J.; investigation, C.B. and R.M.; writing—original draft preparation, C.B.; writing—review and editing, P.S., R.M. and R.A.-J.; supervision, P.S. and R.A.-J.; project administration, P.S.; funding acquisition, P.S. All authors have read and agreed to the published version of the manuscript.
Funding
This research received no external funding.
Institutional Review Board Statement
Not applicable. The questionnaire was anonymous and did not involve any data.
Data Availability Statement
Data are contained within the article.
Acknowledgments
We acknowledge the Institute for Nature Conservation and Forests for providing the hunting zones’ data and the hunting zones’ game managers for responding to the questionnaire.
Conflicts of Interest
The authors declare no conflicts of interest.
Appendix A
Habitat Suitability Index for Red and Fallow Deer
The variables, coefficients and mathematical expressions for the red and fallow deer HSI calculation (adapted from Carmo, Romão [37]).
Table A1.
Variables used to calculate the red deer habitat suitability index, based on the species’ vital requirements.
Table A1.
Variables used to calculate the red deer habitat suitability index, based on the species’ vital requirements.
| Vital Requirements | Variables | Code |
|---|---|---|
| Food | Herb stratum composition | Tc |
| Shrub stratum composition | Mc | |
| Shrub degree of coverage | Mg | |
| Shrub height | Mh | |
| Tree stratum composition | Ac | |
| Tree degree of cover | Ag | |
| Thermal refuge | Tree height | Ah |
| Tree degree of cover | Ag | |
| Refuge | Shrub height | Mh |
| Shrub degree of cover | Mg | |
| Tree degree of cover | Ag | |
| Breeding | Shrub height | Mh |
| Distance to herb stratum | Dh | |
| Distance to water | AGd | |
| Water | Distance to water | AGd |
| Tranquility | Distance to roads | RVd |
| Road density | RVds | |
| Distance to population clusters and rural complexes | AHd | |
| Population clusters and rural complexes density | AHds | |
| Grazing (species) | Pt |
Table A2.
Expressions for the habitat suitability index calculation.
Table A2.
Expressions for the habitat suitability index calculation.
| Code | Expression | |
|---|---|---|
| Habitat Suitability Index | HSI | HSI = (3Val + Vct + 3Vre + Vr + Vag + 2Vt)/11 |
| Partial indices | ||
| Food | Val | Val = (3Valh + Valm)/4 + Vala |
| Valh = Tc | ||
| Valm = (Mc2·Mg·Mh)1/4 Vala = (Pt2·Ac)1/3 | ||
| Thermal refuge | Vct | Vct = (Ah·Ag)1/2 |
| Refuge | Vre | Vre = Mh + Ag |
| Reproduction | Vr | Vr = (Mh + Dh + AGd)/3 |
| Water | Vag | Vag = AGd |
| Tranquility | Vt | Vt = (RVd·RVds·AHd·AHds·Pt)1/5 |
Table A3.
Coefficients for the variable herb stratum composition.
Table A3.
Coefficients for the variable herb stratum composition.
| Herb Stratum Composition (Valh) | Coefficient |
|---|---|
| Improved pastures | 1 |
| Temporary cultures (irrigated and non-irrigated) | 0.75 |
| Temporary cultures and/or improved pastures associated to vineyards | 0.75 |
| Temporary cultures and/or improved pastures associated to olive groves | 0.50 |
| Quercus suber agroforestry systems | 0.5 |
| Quercus rotundifolia agroforestry systems | 0.5 |
| Quercus suber agroforestry systems with Quercus rotundifolia | 0.5 |
| Quercus suber forests | 0.25 |
| Quercus rotundifolia forests | 0.25 |
| Eucalyptus spp. forests | 0.25 |
| Other broad-leaved forests | 0.25 |
| Pinus pinaster forests | 0.25 |
| Pinus pinea forests | 0.25 |
| Absence | 0 |
Table A4.
Coefficients for the variable shrub stratum composition.
Table A4.
Coefficients for the variable shrub stratum composition.
| Shrub Stratum Composition (Mc) | Coefficient |
|---|---|
| Quercus suber forests | 1 |
| Quercus rotundifolia forests | 1 |
| Other broad-leaved forests | 1 |
| Quercus suber agroforestry systems | 1 |
| Quercus rotundifolia agroforestry systems | 1 |
| Quercus suber agroforestry systems with Quercus rotundifolia | 1 |
| Olive groves | 0.75 |
| Scrubs | 0.5 |
| Pinus pinaster forests | 0.25 |
| Pinus pinea forests | 0.25 |
| Eucalyptus spp. forests | 0.125 |
| Absence | 0 |
Table A5.
Coefficients for the variable shrub stratum cover.
Table A5.
Coefficients for the variable shrub stratum cover.
| Shrub Stratum Cover (Mg) | Coefficient |
|---|---|
| Quercus suber forests | 1 |
| Quercus rotundifolia forests | 1 |
| Other broad-leaved forests | 1 |
| Pinus pinaster forests | 1 |
| Pinus pinea forests | 1 |
| Eucalyptus spp. forests | 1 |
| Scrubs | 0.75 |
| Olive groves | 0.75 |
| Quercus suber agroforestry systems | 0.50 |
| Quercus rotundifolia agroforestry systems | 0.50 |
| Quercus suber agroforestry systems with Quercus rotundifolia | 0.50 |
Table A6.
Coefficients for the variable shrub stratum height.
Table A6.
Coefficients for the variable shrub stratum height.
| Shrub Stratum Height (Mh) | Coefficient |
|---|---|
| 0–1.0 m | 1 |
| 1.0–1.5 m | 0.5 |
| >1.5 m | 0.125 |
Table A7.
Coefficients for the variable tree stratum composition.
Table A7.
Coefficients for the variable tree stratum composition.
| Tree Stratum Composition (Ac) | Coefficient |
|---|---|
| Quercus suber forests | 1 |
| Quercus rotundifolia forests | 1 |
| Other broad-leaved forests | 1 |
| Quercus suber agroforestry systems | 1 |
| Quercus rotundifolia agroforestry systems | 1 |
| Quercus suber agroforestry systems with Quercus rotundifolia | 1 |
| Olive groves | 0.75 |
| Pinus pinaster forests | 0.25 |
| Pinus pinea forests | 0.25 |
| Eucalyptus spp. forests | 0.125 |
Table A8.
Coefficients for the variable tree stratum cover.
Table A8.
Coefficients for the variable tree stratum cover.
| Tree Stratum Cover (Ag) | Coefficient |
|---|---|
| Quercus suber forests | 1 |
| Quercus rotundifolia forests | 1 |
| Other broad-leaved forests | 1 |
| Pinus pinaster forests | 1 |
| Pinus pinea forests | 1 |
| Eucalyptus spp. forests | 1 |
| Olive groves | 0.75 |
| Quercus suber agroforestry systems | 0.5 |
| Quercus rotundifolia agroforestry systems | 0.5 |
| Quercus suber agroforestry systems with Quercus rotundifolia | 0.5 |
Table A9.
Coefficients for the variable tree stratum height.
Table A9.
Coefficients for the variable tree stratum height.
| Tree Stratum Height (Ah) | Coefficient |
|---|---|
| 0–2.0 m | 1 |
| 2.0–5.0 m | 0.5 |
| >5.0 m | 0.125 |
Table A10.
Coefficients for the variable shrub stratum height (for refuge).
Table A10.
Coefficients for the variable shrub stratum height (for refuge).
| Shrub Stratum Height (Refuge) (Mh) | Coefficient |
|---|---|
| <1.0 m | 1 |
| 1.0–1.5 m | 0.75 |
| 1.5–1.8 m | 0.5 |
| >1.8 m | 0 |
Table A11.
Coefficients for the variable shrub stratum height (for breeding).
Table A11.
Coefficients for the variable shrub stratum height (for breeding).
| Shrub Stratum Height (Breeding) (Mh) | Coefficient |
|---|---|
| <1.0 m without trees | 0 |
| <1.0 m with trees | 0.50 |
| 1.0–1.5 m | 1 |
| >1.5 m | 0.50 |
Table A12.
Coefficients for the variable distance to water (for breeding).
Table A12.
Coefficients for the variable distance to water (for breeding).
| Distance to Water (Breeding) (AGd) | Coefficient |
|---|---|
| <150 m | 1 |
| 150–300 m | 0.5 |
| >300 m | 0 |
Table A13.
Coefficients for the variable distance to the herb stratum (for breeding).
Table A13.
Coefficients for the variable distance to the herb stratum (for breeding).
| Distance to Herb Stratum (Breeding) (Dh) | Coefficient |
|---|---|
| <50 m | 1 |
| 50–150 m | 0.5 |
| >150 m | 0 |
Table A14.
Coefficients for the variable distance to water.
Table A14.
Coefficients for the variable distance to water.
| Distance to Water (AGd) | Coefficient |
|---|---|
| 0–500 m | 1 |
| 500–1000 m | 0.75 |
| 1000–1500 m | 0.50 |
| 1500–2000 m | 0.25 |
| >2000 m | 0 |
Table A15.
Coefficients for the variable distance to roads.
Table A15.
Coefficients for the variable distance to roads.
| Distance to Roads (RVd) | Coefficient | |
|---|---|---|
| National Roads (EN) and Principal Routes (IP) | Municipal Roads (EM) | |
| <100 m | 0.00 | 0.00 |
| 100–200 m | 0.00 | 0.00 |
| 200–400 m | 0.25 | 0.33 |
| 400–600 m | 0.50 | 0.67 |
| 600–800 m | 0.75 | 1.00 |
| >800 m | 1.00 | |
Table A16.
Coefficients for the variable distance to population clusters and rural complexes.
Table A16.
Coefficients for the variable distance to population clusters and rural complexes.
| Distance to Population Clusters and Rural Complexes (AHd) | Coefficient | |
|---|---|---|
| Large Population Clusters and Rural Complexes | Small Population Clusters | |
| 0–500 m | 0.00 | 0.00 |
| 500–1000 m | 0.00 | 0.17 |
| 1000–1200 m | 0.20 | 0.47 |
| 1200–1400 m | 0.40 | 0.60 |
| 1400–1600 m | 0.60 | 0.73 |
| 1600–1800 m | 0.80 | 0.87 |
| >1800 m | 1.00 | 1.00 |
Table A17.
Coefficients for the grazing variable.
Table A17.
Coefficients for the grazing variable.
| Grazing | Coefficient |
|---|---|
| None | 1 |
| Cattle or pigs | 0.75 |
| Sheep | 0.5 |
| Goats | 0.25 |
The variables involving distance analysis were obtained via buffer creation followed by areal calculation and coefficient application (see Godinho and Mestre [71]).
Figure A1.
Classes of distance to the herb stratum (for breeding purposes) in the surveyed hunting zones.
Figure A1.
Classes of distance to the herb stratum (for breeding purposes) in the surveyed hunting zones.

Figure A2.
Classes of distance to water (for breeding purposes) in the surveyed hunting zones.
Figure A2.
Classes of distance to water (for breeding purposes) in the surveyed hunting zones.

Figure A3.
Classes of distance to water in the surveyed hunting zones.
Figure A3.
Classes of distance to water in the surveyed hunting zones.

Figure A4.
Classes of distance to roads in the surveyed hunting zones.
Figure A4.
Classes of distance to roads in the surveyed hunting zones.

Figure A5.
Classes of distance to population clusters and rural complexes in the surveyed hunting zones.
Figure A5.
Classes of distance to population clusters and rural complexes in the surveyed hunting zones.

References
- Paixão, R.; Godinho, S.; Santos, P. Is the Nature 2000 Network Associated with Small-Game Bag Results? Eur. J. Wildl. Res. 2009, 55, 553–559. [Google Scholar] [CrossRef]
- Paiva, R.; Reis, P.; Coelho, I.S. Valor Económico Da Caça Em Portugal; Instituto Nacional de Investigação Agrária e Veterinária, I.P. (INIAV), Ed.; SILVA LUSITANA, Research institute in Oeiras e São Julião da Barra, Portugal: Oeiras, Portugal, 2017; ISBN 978-972-579-044-1. [Google Scholar]
- Sánchez-García, C.; Urda, V.; Lambarri, M.; Prieto, I.; Andueza, A.; Villanueva, L.F. Evaluation of the Economics of Sport Hunting in Spain through Regional Surveys. Int. J. Environ. Stud. 2021, 78, 517–531. [Google Scholar] [CrossRef]
- Di Minin, E.; Clements, H.S.; Correia, R.A.; Cortés-Capano, G.; Fink, C.; Haukka, A.; Hausmann, A.; Kulkarni, R.; Bradshaw, C.J.A. Consequences of Recreational Hunting for Biodiversity Conservation and Livelihoods. One Earth 2021, 4, 238–253. [Google Scholar] [CrossRef]
- Arnett, E.B.; Southwick, R. Economic and Social Benefits of Hunting in North America. Int. J. Environ. Stud. 2015, 72, 734–745. [Google Scholar] [CrossRef]
- Hudson, R.J.; Drew, K.R.; Baskin, L.M. Wildlife Production Systems. Economic Utilisation of Wild Ungulates; Cambridge University Press: Cambridge, UK, 1989. [Google Scholar]
- t’Sas-Rolfes, M.; Emslie, R.; Adcock, K.; Knight, M. Legal Hunting for Conservation of Highly Threatened Species: The Case of African Rhinos. Conserv. Lett. 2022, 15, e12877. [Google Scholar] [CrossRef]
- Alves, R.R.N.; Souto, W.M.S.; Fernandes-Ferreira, H.; Bezerra, D.M.M.; Barboza, R.R.D.; Vieira, W.L.S. The Importance of Hunting in Human Societies. In Ethnozoology Animals in our Lives; Elsevier Inc.: Amsterdam, The Netherlands, 2018; pp. 95–118. ISBN 9780128099148. [Google Scholar]
- Ralph, E.D. Xenophon on Hunting; Edwin Mellen Press: Lewiston, NY, USA, 2001; Volume 13, ISBN 0773475788. [Google Scholar]
- Sokos, C.K.; Peterson, M.N.; Birtsas, P.K.; Hasanagas, N.D. Insights for Contemporary Hunting from Ancient Hellenic Culture. Wildl. Soc. Bull. 2014, 38, 451–457. [Google Scholar] [CrossRef]
- Alfonso, X.I.; de Castilla, R.; Argote de Molina, G. Libro de La Monteria Que Mando Escrevir El Muy Alto y Muy Poderoso Rey Don Alonso de Castilla y de Leon, Último de Este Nombre; Andrea Pescioni: Sevilla, Spain, 1582. [Google Scholar]
- Buceta, J.M.A. Livro Da Montaria de D. João I de Portugal (1415–1433); Universidad de Valladolid: Valladolid, Spain, 2009. [Google Scholar]
- Burgoyne, J. Imagining Nature and Nobility in Law and Literature: Siete Partidas (Alfonso X), Libro de La Montería (Alfonso XI), and Libro de La Caza (Juan Manuel). Roman. Q. 2019, 66, 114–123. [Google Scholar] [CrossRef]
- Gasset, J.O. Prólogo a Veinte Años de Caza Mayor Del Conde de Yebes; Universidad de Castilla-La Mancha Cuenca: Cuenca, Spain, 1999; ISBN 9788489958913. [Google Scholar]
- Almeida, J.D. Almeida, J.D. A Caça Em Portugal Através Dos Tempos. In A caça em Portugal; Costa, C.E., Ed.; Editorial Estampa: Lisboa, Portugal, 1963; Volume 1, pp. 43–70. [Google Scholar]
- Buzón, R. La Caza y Los Toros, de José Ortega y Gasset; Editorial Renacimiento, Ed.; Revista de Estudios Taurinos: Sevilla, Spain, 2022; Volume 51, ISBN 9788419231833. [Google Scholar]
- Apollonio, M.; Andersen, R.; Putman, R. European Ungulates and Their Management in the 21st Century; Apollonio, M., Andersen, R., Putman, R., Eds.; Cambridge University Press: Cambridge, UK, 2010; ISBN 0521760615. [Google Scholar]
- Krausman, P.R.; Cain, J.W. Wildlife Management and Conservation: Contemporary Principles and Practices, 2nd ed.; JHU Press: Baltimore, MD, USA, 2022; ISBN 9781421443973. [Google Scholar]
- Fischer, A.; Kereži, V.; Arroyo, B.; Mateos-Delibes, M.; Tadie, D.; Lowassa, A.; Krange, O.; Skogen, K. (De)Legitimising Hunting—Discourses over the Morality of Hunting in Europe and Eastern Africa. Land. Use Policy 2013, 32, 261–270. [Google Scholar] [CrossRef]
- Fischer, A.; Sandström, C.; Delibes-Mateos, M.; Arroyo, B.; Tadie, D.; Randall, D.; Hailu, F.; Lowassa, A.; Msuha, M.; Kereži, V.; et al. On the Multifunctionality of Hunting—An Institutional Analysis of Eight Cases from Europe and Africa. J. Environ. Plan. Manag. 2013, 56, 531–552. [Google Scholar] [CrossRef]
- Meisingset, E.L.; Loe, L.E.; Brekkum, Ø.; Bischof, R.; Rivrud, I.M.; Lande, U.S.; Zimmermann, B.; Veiberg, V.; Mysterud, A. Spatial Mismatch between Management Units and Movement Ecology of a Partially Migratory Ungulate. J. Appl. Ecol. 2018, 55, 745–753. [Google Scholar] [CrossRef]
- Vingada, J.; Fonseca, C.; Cancela, J.; Ferreira, J.; Eira, C. Ungulates and Their Management in Portugal. In European Ungulates and Their Management in the 21st Century; Apollonio, M., Andersen, R., Putman, R., Eds.; Cambridge University Press: Cambridge, UK, 2010; pp. 392–418. [Google Scholar]
- Miguel Bugalho, O. Veado Na Tapada Real de Vila Viçosa; Fundação da Casa de Bragança: Lisboa, Portugal, 2002. [Google Scholar]
- Mendonça, M. Livro de Montaria Feito Por El-Rei D.João I Rei de Portugal; Mar de Letras Ed.: Lisboa, Portugal, 2003. [Google Scholar]
- Carvalho, J.; Queirós, J.; Bugalho, M.; Cortez, P.; Santos, J. Cervus elaphus Veado. In Livro Vermelho dos Mamíferos de Portugal Continental; Mathias, M., Fonseca, C., Rodrigues, L., Grilo, C., Lopes-Fernandes, M., Palmeirim, J., Santos-Reis, M., Alves, P., Cabral, J., Ferreira, M., et al., Eds.; FCiências.ID, ICNF: Lisboa, Portugal, 2023. [Google Scholar]
- Mathias, M.D.L.; Fonseca, C.; Rodrigues, L.; Grilo, C.; Lopes-Fernandes, M.; Palmeirim, J.M.; Santos-Reis, M.; Alves, P.C.; Cabral, J.A.; Ferreira, M.; et al. Livro Vermelho Dos Mamíferos de Portugal Continental; FCiências.ID, ICNF: Lisboa, Portugal, 2023. [Google Scholar]
- Milner, J.M.; Bonenfant, C.; Mysterud, A.; Gaillard, J.M.; Csányi, S.; Stenseth, N.C. Temporal and Spatial Development of Red Deer Harvesting in Europe: Biological and Cultural Factors. J. Appl. Ecol. 2006, 43, 721–734. [Google Scholar] [CrossRef]
- Figueiredo, A.M.; Valente, A.M.; Barros, T.; Carvalho, J.; Silva, D.A.M.; Fonseca, C.; de Carvalho, L.M.; Torres, R.T. What Does the Wolf Eat? Assessing the Diet of the Endangered Iberian Wolf (Canis Lupus Signatus) in Northeast Portugal. PLoS ONE 2020, 15, e0230433. [Google Scholar] [CrossRef] [PubMed]
- Lei de Bases Gerais Da Caça, Lei n.o 173/99, de 21 de Setembro. Available online: https://diariodarepublica.pt/dr/legislacao-consolidada/lei/1999-34536275 (accessed on 1 February 2024).
- Costa, J.C.; Aguiar, C.; Capelo, J.; Lousã, M.; Neto, C. Biogeografia de Portugal Continental. Quercetea 1998, 5–56. Available online: https://bibliotecadigital.ipb.pt/handle/10198/714 (accessed on 1 February 2024).
- Rivas-Martínez, S. Avances En Geobotánica. In Discurso de Apertura Del Curso Académico de La Real Academia Nacional de Farmacia Del Año; Real Academia Nacional de Farmacia, Instituto de España: Madrid, Spain, 2005. [Google Scholar]
- Rivas-Martínez, S.; Penas, A.; Diaz-González, T.E.; Río, S.; Cantó, P.; Herrero, L.; Gomes, C.P.; Costa, J.C. Biogeography of Spain and Portugal. Preliminary Typological Synopsis. Int. J. Geobot. Res. 2014, 4, 1–64. [Google Scholar]
- Archibold, O.W. Mediterranean Ecosystems. In Ecology of World Vegetation; Springer: Dordrecht, The Netherlands, 2012; pp. 131–164. [Google Scholar]
- Environmental Systems Research Institute. ESRI 2011 ArcGIS Desktop: Release 10; Environmental Systems Research Institute: Redlands, CA, USA, 2011. [Google Scholar]
- Direção-Geral do Território. 2019 Especificações Técnicas Da Carta de Uso e Ocupação Do Solo (COS) de Portugal Continental Para 2018; Direção-Geral do Território: Lisbon, Portugal, 2019. [Google Scholar]
- U.S. Fish and Wildlife Service Division of Ecological Services. Standards for the Development of Habitat Suitability Index Models; Division of Ecological Services, U.S.F. and W.S. Department of the I.W.D.C., Ed.; U.S. Fish and Wildlife Service: Washington, DC, USA, 1981.
- Carmo, P.L.; Romão, C.O.; Santos, A.M. Contribuição Metodológica Para a Avaliação de Potencialidades Cinegéticas; Instituto Superior de Agronomia, Universidade de Lisboa: Lisboa, Portugal, 1986. [Google Scholar]
- Bugalho, M.N.; Milne, J.A. The Composition of the Diet of Red Deer (Cervus elaphus) in a Mediterranean Environment: A Case of Summer Nutritional Constraint? For. Ecol. Manag. 2003, 181, 23–29. [Google Scholar] [CrossRef]
- Azorit, C.; Tellado, S.; Oya, A.; Moro, J. Seasonal and Specific Diet Variations in Sympatric Red and Fallow Deer of Southern Spain: A Preliminary Approach to Feeding Behaviour. Anim. Prod. Sci. 2012, 52, 720. [Google Scholar] [CrossRef]
- Bellu, A.; Bugalho, M.N.; Monteiro-Henriques, T.; Costa, J.C.; Rego, F.C. Habitat Use at Fine Spatial Scale: How Does Patch Clustering Criteria Explain the Use of Meadows by Red Deer? Eur. J. Wildl. Res. 2012, 58, 645–654. [Google Scholar] [CrossRef]
- Alves, J.; Alves da Silva, A.; Soares, A.M.V.M.; Fonseca, C. Spatial and Temporal Habitat Use and Selection by Red Deer: The Use of Direct and Indirect Methods. Mamm. Biol. 2014, 79, 338–348. [Google Scholar] [CrossRef]
- Carvalho, J.; Torres, R.T.; Acevedo, P.; Santos, J.P.V.; Barros, T.; Serrano, E.; Fonseca, C. Propagule Pressure and Land Cover Changes as Main Drivers of Red and Roe Deer Expansion in Mainland Portugal. Divers. Distrib. 2018, 24, 551–564. [Google Scholar] [CrossRef]
- Reimoser, F.; Putman, R. Impacts of Wild Ungulates on Vegetation: Costs and Benefits. In Ungulate Management in Europe Problems and Practices; Putman, R., Apollonio, M., Andersen, R., Eds.; Cambridge University Press: Cambridge, UK, 2011; pp. 144–191. ISBN 978-0-521-76059-1. [Google Scholar]
- Jarnemo, A.; Nilsson, L.; Wikenros, C. Home Range Sizes of Red Deer in Relation to Habitat Composition: A Review and Implications for Management in Sweden. Eur. J. Wildl. Res. 2023, 69, 92. [Google Scholar] [CrossRef]
- IBM Corp. Released 2021 IBM Corp. Released 2021. IBM SPSS Statistics for Windows, Version 28.0; IBM Corp: Armonk, NY, USA, 2021. [Google Scholar]
- Posit Team. RStudio: Integrated Development Environment for R. Posit Software; PBC: Boston, MA, USA, 2023; Available online: http://www.posit.co/ (accessed on 25 February 2024).
- Torres, R.T.; Santos, J.; Fonseca, C. Factors Influencing Red Deer Occurrence at the Southern Edge of Their Range: A Mediterranean Ecosystem. Mamm. Biol. 2014, 79, 52–57. [Google Scholar] [CrossRef]
- Ferreira, G.F.; Gonçalves, C.A.; Pinheiro, C.A.; Gomes, P.C.; Ilhéu, M.; Neves, N.; Ribeiro, N.; Santos, P. Plano Específico de Ordenamento Florestal Para o Alentejo; Universidade de Évora: Évora, Portugal, 2001. [Google Scholar]
- Pinto-Correia, T.; Mira-Potes, J. Livro Verde Dos. Montados; ICAAM—Instituto de Ciências Agrárias e Ambientais Mediterrânicas, Universidade de Évora: Évora, Portugal, 2013. [Google Scholar]
- Jost, L. Partitioning Diversity into Independent Alpha and Beta Components. Ecology 2007, 88, 2427–2439. [Google Scholar] [CrossRef] [PubMed]
- Janiszewski, P.; Cilulko-Dolega, J. Behavior and Spatial Use of Enclosures by Does and Fawns of Farmed Fallow Deer in Postnatal Period. J. Vet. Behav. 2019, 31, 5–9. [Google Scholar] [CrossRef]
- Jakes, A.F.; Jones, P.F.; Paige, L.C.; Seidler, R.G.; Huijser, M.P. A Fence Runs through It: A Call for Greater Attention to the Influence of Fences on Wildlife and Ecosystems. Biol. Conserv. 2018, 227, 310–318. [Google Scholar] [CrossRef]
- Xu, W.; Dejid, N.; Herrmann, V.; Sawyer, H.; Middleton, A.D. Barrier Behaviour Analysis (BaBA) Reveals Extensive Effects of Fencing on Wide-ranging Ungulates. J. Appl. Ecol. 2021, 58, 690–698. [Google Scholar] [CrossRef]
- Shaw, J.H. Introduction to Wildlife Management; McGraw-Hill, Inc.: New York, NY, USA, 1986. [Google Scholar]
- Acevedo, P.; Ruiz-Fons, F.; Vicente, J.; Reyes-García, A.R.; Alzaga, V.; Gortázar, C. Estimating Red Deer Abundance in a Wide Range of Management Situations in Mediterranean Habitats. J. Zool. 2008, 276, 37–47. [Google Scholar] [CrossRef]
- Vicente, J.; Höfle, U.; Fernández-De-Mera, I.G.; Gortazar, C. The Importance of Parasite Life History and Host Density in Predicting the Impact of Infections in Red Deer. Oecologia 2007, 152, 655–664. [Google Scholar] [CrossRef] [PubMed]
- Valente, A.; Valente, J.; Fonseca, C.; Torres, R. The Success of Species Reintroductions: A Case Study of Red Deer in Portugal Two Decades after Reintroduction. Int. J. Biodivers. Sci. Ecosyst. Serv. Manag. 2017, 13, 134–138. [Google Scholar] [CrossRef]
- Valente, A.M.; Acevedo, P.; Figueiredo, A.M.; Martins, R.; Fonseca, C.; Torres, R.T.; Delibes-Mateos, M. Dear Deer? Maybe for Now. People’s Perception on Red Deer (Cervus elaphus) Populations in Portugal. Sci. Total Environ. 2020, 748, 141400. [Google Scholar] [CrossRef]
- Carranza, J. Ciervo—Cervus elaphus. In En: Enciclopedia Virtual de los Vertebrados Españoles; Salvador, A., Barja, I., Eds.; Museo Nacional de Ciencias Naturales: Madrid, Spain, 2017; Available online: http://www.vertebradosibericos.org/ (accessed on 2 February 2024).
- Gebert, C.; Verheyden-Tixier, H. Variations of Diet Composition of Red Deer (Cervus elaphus) in Europe. Mamm. Rev. 2001, 31, 189–201. [Google Scholar] [CrossRef]
- Ramos, J.A.; Bugalho, M.N.; Cortez, P.; Iason, G.R. Selection of Trees for Rubbing by Red and Roe Deer in Forest Plantations. For. Ecol. Manag. 2006, 222, 39–45. [Google Scholar] [CrossRef]
- Monzón, A.; Vaz da Silva, S.; Manso, F.T. Integrating the Deer (Cervus elaphus) in the Portuguese Forests: Impacts and New Challenges for Forest Certification. For. Ecol. Manag. 2012, 267, 1–6. [Google Scholar] [CrossRef]
- Duarte, J.; Farfán, M.A.; Fa, J.E.; Vargas, J.M. Deer Populations Inhabiting Urban Areas in the South of Spain: Habitat and Conflicts. Eur. J. Wildl. Res. 2015, 61, 365–377. [Google Scholar] [CrossRef]
- Ferretti, F.; Lovari, S.; Mancino, V.; Burrini, L.; Rossa, M. Food Habits of Wolves and Selection of Wild Ungulates in a Prey-Rich Mediterranean Coastal Area. Mamm. Biol. 2019, 99, 119–127. [Google Scholar] [CrossRef]
- Simard, M.A.; Dussault, C.; Huot, J.; Côté, S.D. Is Hunting an Effective Tool to Control Overabundant Deer? A Test Using an Experimental Approach. J. Wildl. Manag. 2013, 77, 254–269. [Google Scholar] [CrossRef]
- Torres-Porras, J.; Carranza, J.; Pérez-González, J.; Mateos, C.; Alarcos, S. The Tragedy of the Commons: Unsustainable Population Structure of Iberian Red Deer in Hunting Estates. Eur. J. Wildl. Res. 2014, 60, 351–357. [Google Scholar] [CrossRef]
- Hardin, G. The Tragedy of the Commons. American. Science 1968, 162, 1243–1248. [Google Scholar] [CrossRef]
- Jordan, A.J.; Wurzel, R.; Zito, A. New Instruments for Environmental Governance; FranKk Cass: London, UK, 2003. [Google Scholar]
- Vedung, E. Policy Instruments: Typologies and Theories. In Carrots, Sticks and Sermons; Bemelmans-Videc, M.L., Rist, R.C., Vedung, E., Eds.; Routledge: New York, NY, USA, 2017; pp. 21–58. [Google Scholar]
- Federation Departementale des chasseurs des Vosges. 3° Schema Departamental de Gestion Cynegetique Des Vosges Période 2022–2028; La Voivre: Vosges, France, 2022. [Google Scholar]
- Godinho, S.; Mestre, F.; Ferreira, J.P.; Machado, R.; Santos, P. Effectiveness of habitat management in the recovery of low-density populations of wild rabbit. Eur. J. Wid Res. 2013, 59, 847–858. [Google Scholar] [CrossRef]
Disclaimer/Publisher’s Note: The statements, opinions and data contained in all publications are solely those of the individual author(s) and contributor(s) and not of MDPI and/or the editor(s). MDPI and/or the editor(s) disclaim responsibility for any injury to people or property resulting from any ideas, methods, instructions or products referred to in the content. |
© 2024 by the authors. Licensee MDPI, Basel, Switzerland. This article is an open access article distributed under the terms and conditions of the Creative Commons Attribution (CC BY) license (https://creativecommons.org/licenses/by/4.0/).




