Temporal and Spatial Analysis of Coupling Coordination in Beijing–Tianjin–Hebei Urban Agglomeration: Ecology, Environment and Economy
Abstract
1. Introduction
2. Literature Review
3. Study Area and Dataset
3.1. Study Area
3.2. Dataset
3.2.1. Economic Development Dataset
3.2.2. Ecological Status Dataset
3.2.3. Environmental Status Dataset
4. Methodology
4.1. Establish Comprehensive Assessment System
4.2. Establish the Coupling Coordination Evaluation
5. Results
5.1. Analysis of the Economic, Ecological, and Environmental Changes
5.1.1. Analysis of Changes in Economic Development
5.1.2. Analysis of Changes in Ecological Status
5.1.3. Analysis of Changes in Environmental Status
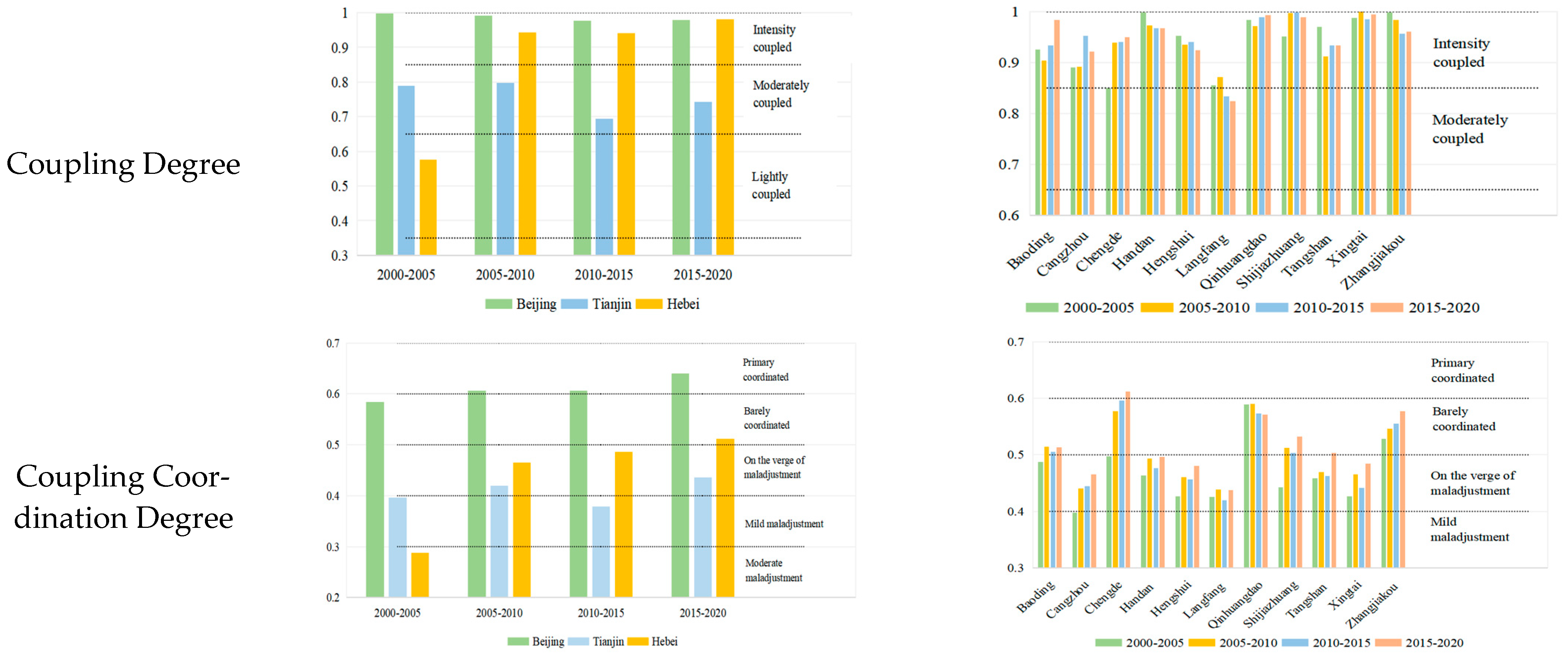
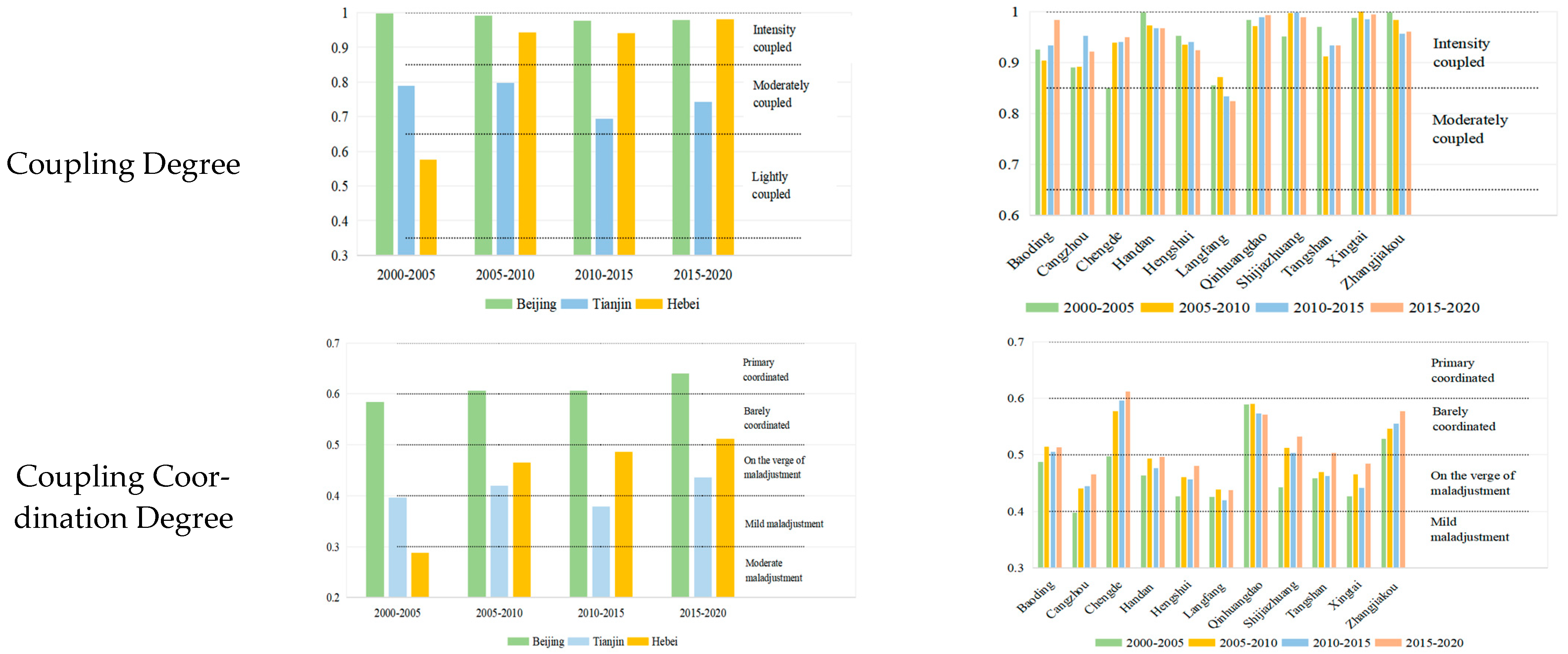
5.2. Spatiotemporal Coupling Changes
5.3. Changes in Spatiotemporal Coupling Coordination
6. Discussion
6.1. The Reasons for Differences in Coupling and Coordination Degrees
6.2. Sources of Uncertainty
7. Conclusions and Suggestions
7.1. Conclusions
7.2. Suggestion
Author Contributions
Funding
Data Availability Statement
Conflicts of Interest
References
- Huang, J.C.; Na, Y.; Guo, Y. Spatiotemporal characteristics and driving mechanism of the coupling coordination degree of urbanization and ecological environment in Kazakhstan. J. Geogr. Sci. 2020, 30, 1802–1824. [Google Scholar] [CrossRef]
- Zhao, G.L.; Liang, R.F.; Li, K.F.; Wang, Y.M.; Pu, X.C. Study on the coupling model of urbanization and water environment with basin as a unit: A study on the Hanjiang Basin in China. Ecol. Indic. 2021, 131, 108130. [Google Scholar] [CrossRef]
- Cui, X.G.; Fang, C.L.; Liu, H.M.; Liu, X.F. Assessing sustainability of urbanization by a coordinated development index for an urbanization-resources-environment complex system: A case study of jing-jin-ji region, china. Ecol. Indic. 2019, 96, 383–391. [Google Scholar] [CrossRef]
- Feng, Y.X.; Li, G.D. Interaction between urbanization and eco-environment in the Tibetan Plateau. J. Geogr. Sci. 2021, 31, 298–324. [Google Scholar] [CrossRef]
- Li, J.C.; Yuan, W.H.; Qin, X.N.; Qi, X.X.; Meng, L. Coupling coordination degree for urban green growth between public demand and government supply in urban agglomeration: A case study from China. J. Environ. Manag. 2022, 304, 114209. [Google Scholar] [CrossRef] [PubMed]
- Peng, B.H.; Sheng, X.; Wei, G. Does environmental protection promote economic development? From the perspective of coupling coordination between environmental protection and economic development. Environ. Sci. Pollut. Res. 2020, 27, 39135–39148. [Google Scholar] [CrossRef] [PubMed]
- Sun, Y.; Zhang, X.; Peng, H.; Zhou, W.T.; Jiang, A.N.; Zhou, F.; Wang, H.; Zhang, W.S. Development of a coupled model to simulate and assess arsenic contamination and impact factors in the Jinsha River Basin, China. J. Environ. Sci. 2025, 147, 50–61. [Google Scholar] [CrossRef]
- Lee, C.C.; Wang, F.; Chang, Y.F. Towards net-zero emissions: Can green bond policy promote green innovation and green space? Energy Econ. 2023, 121, 106675. [Google Scholar] [CrossRef]
- Zhu, P.; Zhang, Z.J.; Lin, B. Understanding spatial evolution of global climate change risk: Insights from convergence analysis. J. Clean. Prod. 2023, 413, 137423. [Google Scholar] [CrossRef]
- Gao, S.; Jiang, J.; Zhu, S.; Aslam, B.; Wang, W. Nonlinear influence of per capi-ta carbon emissions, newborn birth rate, renewable energy, industrialization, and eco-nomic growth on urbanization: New evidence from panel threshold model. Energy Strategy Rev. 2024, 51, 101305. [Google Scholar] [CrossRef]
- Ghita, S.I.; Saseanu, A.S.; Gogonea, R.M.; Huidumac-Petrescu, C.E. Perspectives of ecological footprint in European context under the impact of information society and sustainable development. Sustainability 2018, 10, 3224. [Google Scholar] [CrossRef]
- Uzar, U. The Relationship between Institutional Quality and Ecological Footprint: Is There a Connection? Natural Resources Forum; Blackwell Publishing Ltd.: Oxford, UK, 2021; Volume 45, pp. 380–396. [Google Scholar]
- United Nations (UN). The Sustainable Development Goals Report: Special Edition; United Nations: New York, NY, USA, 2023. Available online: https://unstats.un.org/sdgs/report/2023/The-Sustainable-Development-Goals-Report-2023.pdf (accessed on 26 March 2024).
- Chen, X.H.; Zhou, F.Y.; Hu, D.B.; Yi, G.D.; Cao, W.Z. An improved evaluation method to assess the coordination between mineral resource exploitation, economic development, and environmental protection. Ecol. Indic. 2022, 138, 108808. [Google Scholar] [CrossRef]
- Luo, D.; Liang, L.D.; Wang, Z.B.; Chen, L.K.; Zhang, F.M. Exploration of coupling effects in the Economy–Society–Environment system in urban areas: Case study of the Yangtze River Delta Urban Agglomeration. Ecol. Indic. 2021, 128, 107858. [Google Scholar]
- Xiang, M.; Zhang, S.; Ruan, Q.; Tang, C.; Zhao, Y. Definition and calculation of hierarchical ecological water requirement in areas with substantial human activity—A case study of the Beijing–Tianjin-Hebei region. Ecol. Indic. 2022, 138, 108740. [Google Scholar] [CrossRef]
- Yasin, I.; Ahmad, N.; Chaudhary, M.A. The impact of financial development, political institutions, and urbanization on environmental degradation: Evidence from 59 less-developed economies. Environ. Dev. Sustain. 2021, 23, 6698–6721. [Google Scholar] [CrossRef]
- Yasin, I.; Ahmad, N.; Chaudhary, M.A. Catechizing the Environmental-Impression of Urbanization, Financial Development, and Political Institutions: A Circumstance of Ecological Footprints in 110 Developed and Less-Developed Countries. Soc. Indic. Res. 2020, 147, 621–649. [Google Scholar] [CrossRef]
- Wang, J.; Zhao, M.; Zhong, W.; Li, J.B.; Zheng, C.Y. Coupling Relationship of Urban Development and the Eco-Environment in Guanzhong Region, China. Sustainability 2022, 14, 2969. [Google Scholar] [CrossRef]
- Qiao, R.; Li, H.M.; Han, H. Spatio-temporal coupling coordination analysis between urbanization and water resource carrying capacity of the provinces in the yellow river basin, China. Water 2021, 13, 376. [Google Scholar] [CrossRef]
- Wan, J.; Zhang, L.W.; Yan, J.P.; Wang, X.M.; Wang, T. Spatial-temporal characteristics and influencing factors of coupled coordination between urbanization and eco-environment: A case study of 13 urban agglomerations in China. Sustainability 2020, 12, 8821. [Google Scholar] [CrossRef]
- Wang, Y.; Liu, H.; Chen, X.H.; Song, Y.T. Evolution characteristics and division of regional types of correlation coupling of urban-rural systems: A case study of the three provinces of Northeast China. Sci. Geogr. Sin. 2020, 40, 1150–1159. (In Chinese) [Google Scholar]
- Guo, A.J.; Zhang, Y.N.; Zhong, F.L.; Jiang, D.W. Spatiotemporal patterns of ecosystem service value changes and their coordination with economic development: A case study of the yellow river basin, china. Int. J. Environ. Res. Public Health 2020, 17, 8474. [Google Scholar] [CrossRef] [PubMed]
- Xia, K.; Guo, J.K.; Han, Z.L.; Dong, M.R.; Xu, Y. Analysis of the scientific and technological innovation efficiency and regional differences of the land–sea coordination in China’s coastal areas. Ocean. Coast. Manag. 2019, 172, 157–165. [Google Scholar] [CrossRef]
- Ren, F.; Yu, X. Coupling analysis of urbanization and ecological total factor energy efficiency-A case study from Hebei province in China. Sustain. Cities Soc. 2021, 74, 103183. [Google Scholar] [CrossRef]
- Zhang, Z.X.; Li, Y. Coupling coordination and spatiotemporal dynamic evolution between urbanization and geological hazards-a case study from China. Sci. Total Environ. 2020, 728, 138825. [Google Scholar] [CrossRef] [PubMed]
- Zheng, J.; Hu, Y.J.; Boldanov, T.; Bazarzhapov, T.; Meng, D.; Li, Y.; Dong, S.C. Comprehensive assessment of the coupling coordination degree between urbanization and ecological environment in the Siberian and Far East Federal Districts, Russia from 2005 to 2017. PEERJ 2020, 8, e9125. [Google Scholar] [CrossRef] [PubMed]
- Chen, M.; Chen, H.Q. Study on the coupling relationship between economic system and water environmental system in Beijing based on structural equation model. Appl. Ecol. Environ. Res. 2019, 17, 617–632. [Google Scholar] [CrossRef]
- Wu, H.L.; Peng, D.X.; Wang, L. Model for sustainable development based on system dynamics and energy–economy-environment coordination: A case study of Beijing, China. Energy Sci. Eng. 2021, 9, 828–842. [Google Scholar] [CrossRef]
- Kong, L.Y.; Xu, X.D.; Wang, W.; Wu, J.X.; Zhang, M.Y. Comprehensive evaluation and quantitative research on the living protection of traditional villages from the perspective of “production–living–ecology”. Land 2021, 10, 570. [Google Scholar] [CrossRef]
- Liang, L.; Zhang, F.; Wu, F.; Chen, Y.X.; Qin, K.Y. Coupling coordination degree spatial analysis and driving factor between socio-economic and eco-environment in northern China. Ecol. Indic. 2022, 135, 108555. [Google Scholar]
- Wang, S.J.; Cui, Z.T.; Lin, J.J.; Xie, J.Y.; Su, K. The coupling relationship between urbanization and ecological resilience in the Pearl River Delta. J. Geogr. Sci. 2022, 32, 44–64. [Google Scholar] [CrossRef]
- Xu, D.; Yang, F.; Yu, L.; Zhou, Y.Y.; Li, H.X.; Ma, J.J.; Huang, J.C.; Wei, J.; Xu, Y.; Zhang, C. Quantization of the coupling mechanism between eco-environmental quality and urbanization from multisource remote sensing data. J. Clean. Prod. 2021, 321, 128948. [Google Scholar] [CrossRef]
- Chen, Q.; Qi, P.; Deng, L. Stay or return? The role of city environment and digital economy in migrants in China. Front. Environ. Sci. 2024, 11, 1322955. [Google Scholar] [CrossRef]
- He, L.; Du, X.; Zhao, J.; Chen, H. Exploring the coupling coordination rela-tionship of water resources, socio-economy and eco-environment in China. Sci. Total Environ. 2024, 918, 170705. [Google Scholar] [CrossRef] [PubMed]
- Grilli, G.; Cantillo, T.; Turner, K.; Erazo, J.; López, M.A.M.; Parra, J.S.V.; Cardona, F.G.; Ferrini, S. A decision support procedure for the bioeconomy transition: A colombian case study. J. Environ. Manag. 2024, 352, 120042. [Google Scholar] [CrossRef]
- Akberdina, V.; Lavrikova, Y.; Vlasov, M. Environmental financing: Does digital economy matter? Front. Environ. Sci. 2024, 11, 1268286. [Google Scholar] [CrossRef]
- Tanveer, A.; Song, H.; Faheem, M.; Daud, A. Caring for the environment. How do deforestation, agricultural land, and urbanization degrade the environment? Fresh insight through the ARDL approach. Environ. Dev. Sustain. 2024, 1–36. [Google Scholar] [CrossRef]
- Li, Y.; Lv, Y.; Zhang, Z.; Feng, X.; Chen, X. Coupling coordination evaluation of “Three Waters” system and impulse response analysis in the Yellow River Basin. Sustain. Cities Soc. 2024, 102, 105174. [Google Scholar] [CrossRef]
- Gao, J.Q.; Li, D.; Qiao, G.H.; Jia, Q.R.; Li, S.R.; Gao, H.L. Circular economy strategies in supply chains, enhancing resource efficiency and sustainable development goals. Environ. Sci. Pollut. Res. 2024, 31, 8751–8767. [Google Scholar] [CrossRef] [PubMed]
- Yang, Y.; Cai, Z. Ecological security assessment of the Guanzhong Plain urban agglomeration based on an adapted ecological footprint model. J. Clean. Prod. 2020, 260, 120973. [Google Scholar] [CrossRef]
- Zhu, C.; Fang, C.; Zhang, L.; Wang, X. Simulating the interrelationships among population, water, ecology, and economy in urban agglomerations based on a system dynamics approach. J. Clean. Prod. 2024, 439, 140813. [Google Scholar] [CrossRef]
- Wang, B.; Zhu, J.; Gao, M.; Xie, J.; Yang, L.; Lu, N.; Wang, B. Do the protection and harnessing of river systems promote the society, economy, and ecological environment of cities? A case study of Xi’an, China. Sustain. Cities Soc. 2023, 97, 104761. [Google Scholar] [CrossRef]
- Breuste, J.; Qureshi, S.; Li, J. Applied urban ecology for sustainable urban environment. Urban Ecosyst. 2013, 16, 675–680. [Google Scholar] [CrossRef]
- Yan, X.; Chen, M.; Chen, M.Y. Coupling and Coordination Development of Australian Energy, Economy, and Ecological Environment Systems from 2007 to 2016. Sustainablity 2019, 11, 6568. [Google Scholar] [CrossRef]
- Liu, K.; Qiao, Y.R.; Shi, T.; Zhou, Q. Study on coupling coordination and spatiotemporal heterogeneity between economic development and ecological environment of cities along the Yellow River Basin. Environ. Sci. Pollut. Res. 2021, 28, 6898–6912. [Google Scholar] [CrossRef] [PubMed]
- Shi, T.; Yang, S.Y.; Zhang, W.; Zhou, Q. Coupling coordination degree measurement and spatiotemporal heterogeneity between economic development and ecological environment—Empirical evidence from tropical and subtropical regions of China. J. Clean. Prod. 2020, 244, 118739. [Google Scholar] [CrossRef]
- Han, H.; Guo, L.; Zhang, J.Q.; Zhang, K.Z.; Cui, N.B. Spatiotemporal analysis of the coordination of economic development, resource utilization, and environmental quality in the Beijing-Tianjin-Hebei urban agglomeration. Ecol. Indicators 2021, 127, 1–13. [Google Scholar] [CrossRef]
- Ariken, M.; Zhang, F.; Liu, K.; Fang, C.; Kung, H.T. Coupling coordination analysis of urbanization and eco-environment in Yanqi Basin based on multi-source remote sensing data. Ecol. Indic. 2020, 114, 106331. [Google Scholar] [CrossRef]
- He, G.; Bao, K.; Wang, W.; Zhu, Y.; Li, S.; Jin, L. Assessment of ecological vul-nerability of resource-based cities based on entropy-set pair analysis. Environ. Technol. 2021, 42, 1874–1884. [Google Scholar] [CrossRef] [PubMed]
- Zhang, X.; Simayi, Z.; Yang, S.; Mamitimin, Y.; Shen, F.; Zhang, Y. Vulnerability Assessment of Ecological–Economic–Social Systems in Urban Agglomerations in Arid Regions—A Case Study of Urumqi–Changji–Shihezi Urban Agglomeration. Sustainability 2023, 15, 5414. [Google Scholar] [CrossRef]
- Kazazi, A.K.; Rabiei-Dastjerdi, H.; McArdle, G. Emerging paradigm shift in urban indicators: Integration of the vertical dimension. J. Environ. Manag. 2022, 316, 115234. [Google Scholar] [CrossRef] [PubMed]
- Romero, H.; Vásquez, A.; Fuentes, C.; Salgado, M.; Schmidt, A.; Banzhaf, E. Assessing urban environmental segregation (UES). The case of Santiago de Chile. Ecol. Indic. 2012, 23, 76–87. [Google Scholar] [CrossRef]
- Carlsen, L.; Bruggemann, R. Environmental perception in 33 European coun-tries: An analysis based on partial order. Environ. Dev. Sustain. 2020, 22, 1873–1896. [Google Scholar] [CrossRef]
- Liu, A.H.; Ye, Z.L. China Statistical Yearbook; China Statistics Press: Beijing, China, 2020. [Google Scholar]
- China Renewable Energy Engineering Institute. Investigation and Evaluation of China’s Water Resources and Their Development and Utilization; China Water & Power Press: Beijing, China, 2014. [Google Scholar]
- Wada, Y.; Van Beek LP, H.; Viviroli, D.; Dürr, H.H.; Weingartner, R.; Bierkens, M.F. Global monthly water stress: 2. Water de-mand and severity of water stress. Water Resour. Res. 2011, 47. [Google Scholar] [CrossRef]
- Ren, Q.; Li, H. Spatiotemporal effects and driving factors of water pollutants discharge in Beijing–Tianjin–Hebei region. Water 2021, 13, 1174. [Google Scholar] [CrossRef]
- Yan, D.; Zhou, M.; Diao, Y.; Yang, M. Air pollution in China: Spatial patterns and spatial coupling with population and economy. Front. Environ. Sci. 2022, 10, 1040131. [Google Scholar] [CrossRef]
- Zhu, L.; Gan, Q.; Liu, Y.; Yan, Z. The impact of foreign direct investment on SO2 emissions in the Beijing-Tianjin-Hebei region: A spatial econometric analysis. J. Clean. Prod. 2017, 166, 189–196. [Google Scholar] [CrossRef]
- Fu, S.Z.; Zhuo, H.M.; Song, H.; Wang, J.C.; Ren, L.J. Examination of a coupling coordination relationship between urbanization and the eco-environment: A case study in Qingdao, China. Environ. Sci. Pollut. Res. 2020, 27, 23981–23993. [Google Scholar] [CrossRef] [PubMed]
- Sun, X.; Zhu, B.K.; Zhang, S.; Zeng, H.; Li, K.; Wang, B.; Dong, Z.F.; Zhou, C.C. New indices system for quantifying the nexus between economic-social development, natural resources consumption, and environmental pollution in China during 1978–2018. Sci. Total Environ. 2022, 804, 150180. [Google Scholar] [CrossRef] [PubMed]
- Liu, J.P.; Tian, Y.; Huang, K.; Yi, T. Spatial-temporal differentiation of the coupling coordinated development of regional energy-economy-ecology system: A case study of the Yangtze River Economic Belt. Ecol. Indic. 2021, 124, 107394. [Google Scholar] [CrossRef]
- Tan, S.K.; Liu, Q.; Han, S.Y. Spatial-temporal evolution of coupling relationship between land development intensity and resources environment carrying capacity in China. J. Environ. Manag. 2022, 301, 113778. [Google Scholar] [CrossRef] [PubMed]
- Zhang, J.X.; Ma, L. Urban ecological security dynamic analysis based on an innovative emergy ecological footprint method. Environ. Dev. Sustain. 2021, 23, 16163–16191. [Google Scholar] [CrossRef]
- Cui, L.; Zhao, Y.H.; Liu, J.C.; Wang, H.; Han, L.; Li, J.; Sun, Z. Vegetation Coverage Prediction for the Qinling Mountains Using the CA-Markov Model. ISPRS Int. J. Geo-Inf. 2021, 10, 679. [Google Scholar] [CrossRef]
- Abdel-Basset, M.; Mohamed, R. A novel plithogenic TOPSIS-CRITIC model for sustainable supply chain risk management. J. Clean. Prod. 2020, 247, 119586. [Google Scholar] [CrossRef]
- Krishnan, A.R.; Kasim, M.M.; Hamid, R.; Ghazali, M.F. A Modified CRITIC Method to Estimate the Objective Weights of Decision Criteria. Symmetry 2021, 13, 973. [Google Scholar] [CrossRef]
- Ruan, D.M.; Bian, J.M.; Wang, Q.; Wu, J.J.; Yu, Y.X.; Gu, Z.Q. Application of Modified Cloud Model-Level Eigenvalue Method in water quality evaluation. J. Hydrol. 2021, 603, 126980. [Google Scholar] [CrossRef]
- Fan, Y.P.; Fang, C.L.; Zhang, Q. Coupling coordinated development between social economy and ecological environment in Chinese provincial capital cities-assessment and policy implications. J. Clean. Prod. 2019, 229, 289–298. [Google Scholar] [CrossRef]
- Chang, Q.L.; Sha, Y.Y.; Chen, Y. The Coupling Coordination and Influencing Factors of Urbanization and Ecological Resilience in the Yangtze River Delta Urban Agglomeration, China. Land 2024, 13, 111. [Google Scholar] [CrossRef]
- Li, J.C. China Industry and Commerce Administration Yearbook; China Industry and Commerce Press: Beijing, China, 2007; pp. 548–552. [Google Scholar]
- National Forestry and Grassland Administration. China Forestry and Grassland Yearbook; China Forestry Press: Beijing, China, 2008.
- Liao, M.L.; Chen, Y.; Wang, Y.J.; Lin, M.S. Study on the Coupling and Coordination Degree of High-quality Economic Development and Ecological Environment in Beijing-Tianjin-Hebei Region. Appl. Ecol. Environ. Res. 2019, 17, 11069–11083. [Google Scholar] [CrossRef]
- Zhao, Y.B.; Wang, S.J.; Ge, Y.J.; Liu, Q.; Liu, X. The spatial differentiation of the coupling relationship between urbanization and the eco-environment in countries globally: A comprehensive assessment. Ecol. Model. 2017, 360, 313–327. [Google Scholar] [CrossRef]
- Zuo, Z.L.; Guo, H.X.; Cheng, J.H.; Li, Y. How to achieve new progress in ecological civilization construction? Based on cloud model and coupling coordination degree model. Ecol. Indic. 2021, 127, 107789. [Google Scholar] [CrossRef]
- Ming, Z. Yearbook of Around Bo Hai Sea Region Economy; Bohai Rim Regional Economic Yearbook Editorial Committee: Tianjin, China, 2019. [Google Scholar]










| Data Types | Dataset | Sources |
|---|---|---|
| Economy Data | Total GDP | Yearbook (2000–2020) |
| Proportion of first/second/third output | ||
| Energy consumption | ||
| Water consumption | Water Resources Bulletin (2000–2020) | |
| Ecological Data | Proportion of agricultural\ecological\urban space | Land Use Data (2005\2010\2015\2020) |
| Fraction Vegetation Coverage (FVC) | Be calculated by MOD13Q1 through the pixel dichotomy model | |
| Total water resources | Water Resources Bulletin (2000–2020) | |
| Environmental Data | Aerosol Optical Depth (AOD) | MCD19A2 (2000–2020) |
| Sulfur dioxide emissions; Nitrogen dioxide emissions | OMI SO2 and NO2 product (2005–2017); Ecological and Environmental Status Bulletins (2000–2004; 2018–2020) | |
| Days that air quality was better than Class II | Ecological and Environmental Status Bulletins (2000–2020) | |
| Wastewater discharge | Ecological and Environmental Status Bulletins/Water Resources Bulletin (2000–2020) | |
| Proportion of cross-section points with better water quality than III and poor V | Water Resources Bulletin (2000–2020) |
| Comprehensive Assessment System | First-Level Indicators | Weight | Second-Level Indicators | Attribute | Weight |
|---|---|---|---|---|---|
| Economic development | Economic industrial structure | 0.5014 | Gross domestic product | + | 0.1162 |
| Proportion of first output value | + | 0.1402 | |||
| Proportion of second output value | + | 0.1232 | |||
| Proportion of third output value | + | 0.1218 | |||
| Resource consumption | 0.4987 | Energy consumption | − | 0.2312 | |
| Water consumption | − | 0.2675 | |||
| Ecological status | Ecological composition | 0.5787 | Proportion of agricultural space | − | 0.1688 |
| Proportion of ecological space | + | 0.1489 | |||
| Proportion of urban space | − | 0.2610 | |||
| Ecological quality | 0.4212 | Fraction Vegetation Coverage | + | 0.2372 | |
| Total water resources | + | 0.1840 | |||
| Environmental status | Atmospheric environment | 0.5458 | Days that air quality was better than Class II | + | 0.1355 |
| SO2 emissions | − | 0.1347 | |||
| NO2 emissions | − | 0.1284 | |||
| Aerosol Optical Depth | − | 0.1472 | |||
| Water environment | 0.4542 | Wastewater discharge per unit GDP | − | 0.1379 | |
| Proportion of cross-section points with better water quality than III | + | 0.1557 | |||
| Proportion of cross-section points with worse water quality than V | − | 0.1606 |
| Coupling | Coupling Level | Coupling Coordination | Coupled Coordination Level |
|---|---|---|---|
| (0, 0.35) | Slightly coupled | (0.2, 0.3) | Moderate maladjustment |
| (0.35, 0.65) | Lightly coupled | (0.3, 0.4) | Mild maladjustment |
| (0.65, 0.85) | Moderately coupled | (0.4, 0.5) | On the verge of maladjustment |
| (0.85, 1) | Intensely coupled | (0.5, 0.6) | Barely coordinated |
| (0.6, 0.7) | Primary coordinated |
| Composite Development Index | Coupling Degree | Coupling Coordination Degree | |
|---|---|---|---|
| 2000–2005 | 0.1335 | 0.7230 | 0.3107 |
| 2005–2010 | 0.2617 | 0.9981 | 0.5111 |
| 2010–2015 | 0.1988 | 0.8763 | 0.4174 |
| 2015–2020 | 0.3564 | 0.9800 | 0.5910 |
| 2000–2005 | 2005–2010 | 2010–2015 | 2015–2019 | ||
|---|---|---|---|---|---|
| Intensely coupled | E1 > E2 > E3 | Xingtai | |||
| E1 > E3 > E2 | Cangzhou Hengshui | Cangzhou Hengshui | Cangzhou Xingtai | ||
| E2 > E3 > E1 | Chengde | Chengde Shijiazhuang | Chengde | Baoding Chengde | |
| E2 > E1 > E3 | Shijiazhuang Xingtai | ||||
| E3 > E2 > E1 | Baoding Zhangjiakou | Baoding Cangzhou Qinhuangdao Zhangjiakou | Baoding Qinhuangdao Zhangjiakou | Qinhuangdao Zhangjiakou | |
| E3 > E1 > E2 | Handan Langfang Qinhuangdao Tangshan | Handan Hengshui Langfang Tangshan Xingtai | Handan Shijiazhuang Tangshan | Handan Hengshui Shijiazhuang Tangshan | |
| Moderately coupled | E3 > E1 > E2 | Langfang | |||
| E1 > E3 > E2 | Langfang |
Disclaimer/Publisher’s Note: The statements, opinions and data contained in all publications are solely those of the individual author(s) and contributor(s) and not of MDPI and/or the editor(s). MDPI and/or the editor(s) disclaim responsibility for any injury to people or property resulting from any ideas, methods, instructions or products referred to in the content. |
© 2024 by the authors. Licensee MDPI, Basel, Switzerland. This article is an open access article distributed under the terms and conditions of the Creative Commons Attribution (CC BY) license (https://creativecommons.org/licenses/by/4.0/).
Share and Cite
Zhao, Y.; Hou, P.; Jiang, J.; Zhai, J.; Chen, Y. Temporal and Spatial Analysis of Coupling Coordination in Beijing–Tianjin–Hebei Urban Agglomeration: Ecology, Environment and Economy. Land 2024, 13, 512. https://doi.org/10.3390/land13040512
Zhao Y, Hou P, Jiang J, Zhai J, Chen Y. Temporal and Spatial Analysis of Coupling Coordination in Beijing–Tianjin–Hebei Urban Agglomeration: Ecology, Environment and Economy. Land. 2024; 13(4):512. https://doi.org/10.3390/land13040512
Chicago/Turabian StyleZhao, Yanhong, Peng Hou, Jinbao Jiang, Jun Zhai, and Yan Chen. 2024. "Temporal and Spatial Analysis of Coupling Coordination in Beijing–Tianjin–Hebei Urban Agglomeration: Ecology, Environment and Economy" Land 13, no. 4: 512. https://doi.org/10.3390/land13040512
APA StyleZhao, Y., Hou, P., Jiang, J., Zhai, J., & Chen, Y. (2024). Temporal and Spatial Analysis of Coupling Coordination in Beijing–Tianjin–Hebei Urban Agglomeration: Ecology, Environment and Economy. Land, 13(4), 512. https://doi.org/10.3390/land13040512

