Coupling Changes in Runoff and Sediment and Their Relationships with Erosion Energy and Underlying Surface in the Wuding River Basin, China
Abstract
1. Introduction
2. Materials and Methods
2.1. Site Description
2.2. Data Preparation
2.3. Methods
2.3.1. Coupling Coordination Degree Model
2.3.2. Pettitt Test
2.3.3. Joint Distribution Function Fitting
- (1)
- Gamma distributionwhere α represents shape parameters; β represents scale parameter.
- (2)
- Lognormal distributionwhere μ represents the mean value of logarithm of variable; σ represents the standard deviation of logarithm of variable.
- (3)
- GEV distributionwhere k represents shape parameters; σ represents scale parameter; μ represents position parameter.
2.3.4. Joint Return Period and Joint Design Value Calculating
2.3.5. Cross-Wavelet Transform and Wavelet Coherence
2.3.6. Runoff Erosion Power
2.3.7. Elastic Coefficient
3. Results
3.1. Runoff and Sediment Relationship and Change Diagnosis
3.1.1. Coupling Changes in Runoff and Sediment
3.1.2. Change Point Verification Based on Copula Function
3.2. Characteristics of Runoff and Sediment before and after Change Points
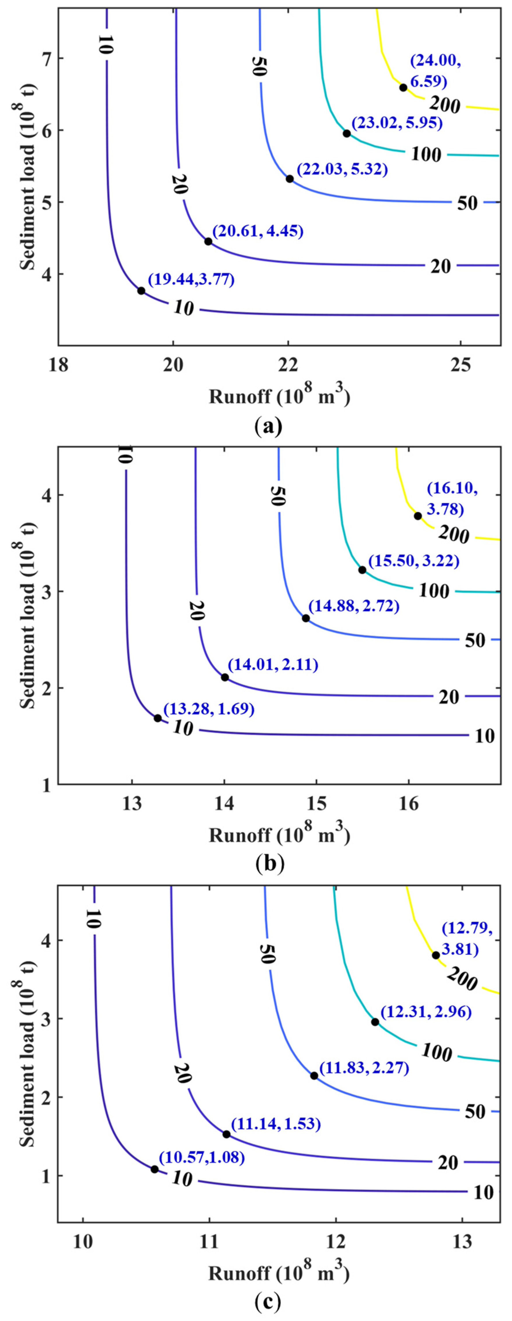
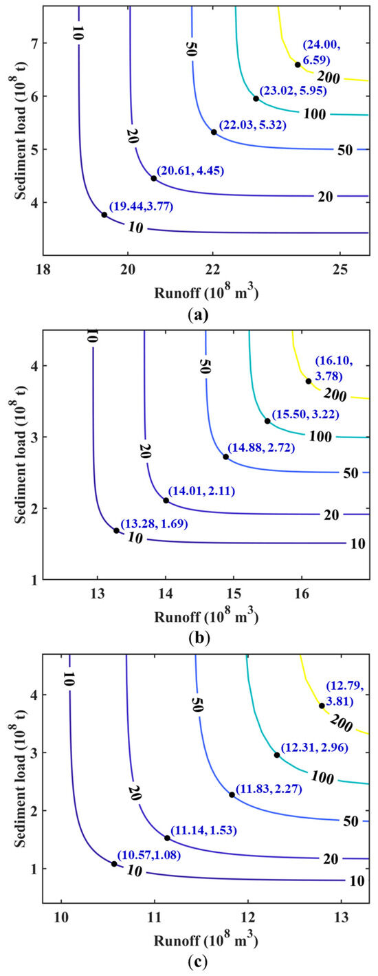
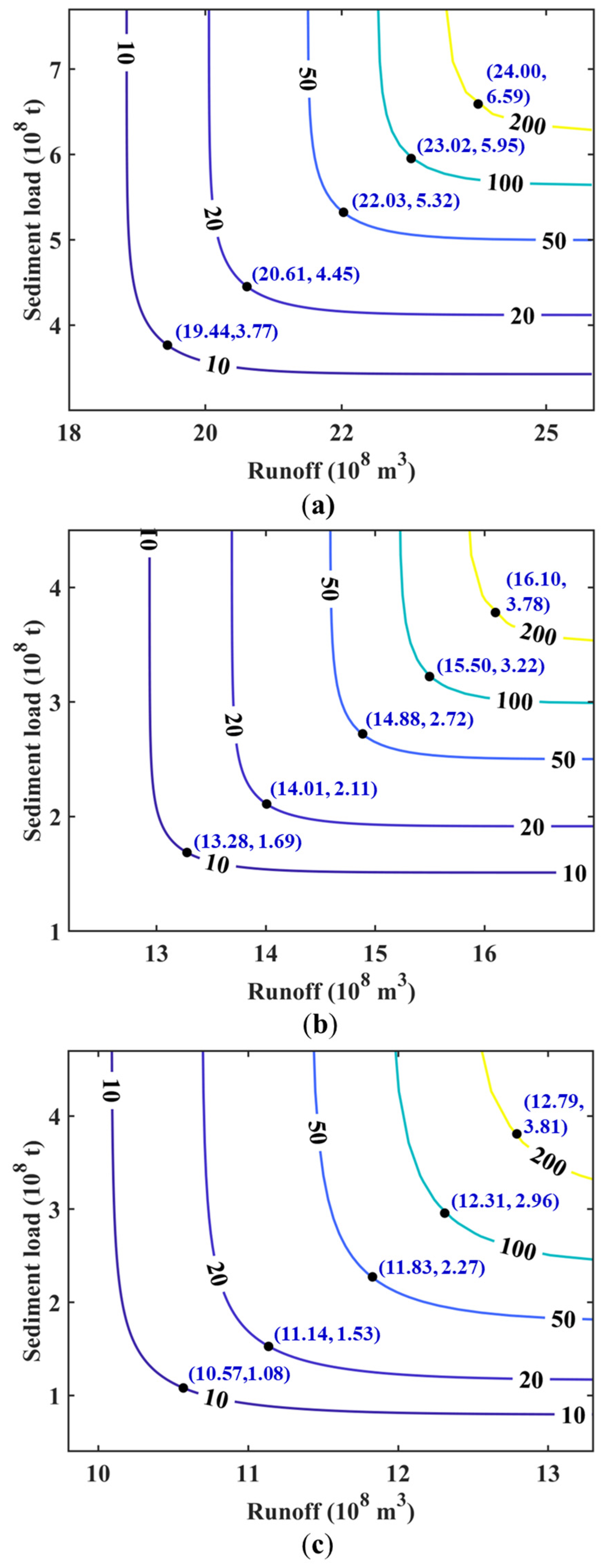
3.3. Joint Recurrence Characteristics of Runoff and Sediment
4. Discussion
4.1. Impacts of Runoff Erosion Energy on Sediment
4.2. Impacts of Underlying Surface Change on Runoff and Sediment
4.2.1. Check Dam and Terrace Construction
4.2.2. Vegetation Restoration
4.3. Relationships between Runoff, Sediment and Impacting Factors
5. Conclusions
- (1)
- By constructing a diagnostic method based on coupling coordination degree for change point in runoff and sediment relationship, it was identified that there are two change points in the runoff and sediment coupling relationship in the WRB, which were 1971 and 1996. The copula joint distribution of runoff and sediment verified that there were indeed two change points. The diagnosis method for the runoff and sediment coupling relationship can be used to identify the change point. Runoff and sediment decreased gradually in three periods.
- (2)
- Under the same return period, the value of maximum possible joint design value of runoff and sediment in P1 were all the highest, followed by P2 and P3. The change trend in the return period was similar to the maximum possible joint design value. The change rates of the maximum possible joint design value of runoff in P2 and P3 were smaller than sediment under five return periods. With the underlying surface improved, the change rates of maximum possible joint design value decreased.
- (3)
- Although sediment increased with the increase in REP in three periods, the erosion capacity of unit runoff was gradually decreased. The resonance period between annual REP and annual sediment load was about 0–4 years from 1962 to 1980. Approximately 85% of the area was highly correlated between REP and sediment load. REP could significantly increase runoff and sediment in PE, P1, P2 and P3. The contribution rates of REP to runoff and sediment were 72.6% and 93.8%, respectively. Check dam and terrace could significantly decrease runoff and sediment in PE; the contribution rates of them to runoff reduction were 95.4% and 71.1%, respectively, and their contribution rates to sediment reduction were 85.1% and 63.0%, respectively. NDVI could decrease sediment in PE and increase runoff in P3.
Author Contributions
Funding
Data Availability Statement
Acknowledgments
Conflicts of Interest
References
- Douglas, I. Man, vegetation and the sediment yields of rivers. Nature 1967, 215, 925–928. [Google Scholar] [CrossRef]
- Best, J. Anthropogenic stresses on the world’s big rivers. Nat. Geosci. 2018, 12, 7–21. [Google Scholar] [CrossRef]
- Miao, C.Y.; Gou, J.J.; Fu, B.J.; Tang, Q.H.; Duan, Q.Y.; Chen, Z.S.; Lei, H.M.; Chen, J.; Guo, J.L.; Borthwick Alistair, G.L.; et al. High-quality reconstruction of China’s natural streamflow. Sci. Bull. 2022, 67, 547–556. [Google Scholar] [CrossRef] [PubMed]
- Jansen, I.M.L.; Painter, R.B. Predicting sediment yield from climate and topography. J. Hydrol. 1974, 21, 371–380. [Google Scholar] [CrossRef]
- Khoi, D.N.; Suetsugi, T. The responses of hydrological processes and sediment yield to land-use and climate change in the Be River Catchment, Vietnam. Hydrol. Process. 2014, 28, 640–652. [Google Scholar] [CrossRef]
- Yan, Q.H.; Lei, T.W.; Yuan, C.P.; Lei, Q.X.; Yang, X.Y.; Zhang, M.L.; Su, G.X.; An, L.P. Effects of watershed management practices on the relationships among rainfall, runoff, and sediment delivery in the hilly-gully region of the Loess Plateau in China. Geomorphology 2015, 228, 735–745. [Google Scholar] [CrossRef]
- Taye, T.; Moges, A. Implication of long-term watershed development on land use/land cover change and sediment loss in Maybar Sub-Watershed, South Wello Zone, Ethiopia. Cogent Food Agric. 2020, 7, 1863596. [Google Scholar] [CrossRef]
- Gao, P.; Mu, X.M.; Wang, F.; Li, R. Changes in streamflow and sediment discharge and the response to human activities in the middle reaches of the Yellow River. Hydrol. Earth Syst. Sci. 2011, 15, 1–10. [Google Scholar] [CrossRef]
- Zhao, Y.; Hu, C.H.; Zhang, X.M.; Lv, X.Z.; Yin, X.L.; Wang, Z.Y. Response of sediment discharge to soil erosion control in the middle reaches of the Yellow River. Catena 2021, 203, 105330. [Google Scholar] [CrossRef]
- Tang, K.L. Soil and Water Conservation in China; Science Press: Beijing, China, 2004. [Google Scholar]
- Jin, Z.; Cui, B.L.; Song, Y.; Shi, W.Y.; Wang, K.B.; Wang, Y.; Liang, J. How many check dams do we need to build on the Loess Plateau? Environ. Sci. Technol. 2012, 46, 8527–8528. [Google Scholar] [CrossRef]
- Wei, W.; Chen, D.; Wang, L.X.; Daryanto, S.; Chen, L.D.; Yu, Y.; Lu, Y.L.; Sun, G.; Feng, T.J. Global synthesis of the classifications, distributions, benefits and issues of terracing. Earth Sci. Rev. 2016, 159, 388–403. [Google Scholar] [CrossRef]
- Mohammad, A.G.; Adam, M.A. The impact of vegetative cover type on runoff and soil erosion under different land uses. Catena 2010, 81, 97–103. [Google Scholar] [CrossRef]
- Li, M.; Zhang, C.Y.; Wang, H.Y.; Wang, S. Influence of ecological technology measures on the annual sediment load of the Wuding River. J. Resour. Ecol. 2017, 8, 385–391. [Google Scholar]
- Wang, W.Z.; Jiao, J.Y. Temporal and spatial variation characteristics of erosion and sediment yield in the Loess Plateau. Acta Geogr. Sin. 2002, 57, 210–217. [Google Scholar]
- Cai, Q.G. Soil erosion and management on the Loess Plateau. J. Geogr. Sci. 2001, 11, 53–70. [Google Scholar]
- Zhou, Y.Y.; Shi, C.X.; Du, J.; Fan, X.L. Characteristics and causes of changes in annual runoff of the Wuding River in 1956–2009. Environ. Earth Sci. 2013, 69, 225–234. [Google Scholar] [CrossRef]
- Jin, Z.; Li, J.Y. Analysis of driving factors for runoff and sediment variations during 1961 to 2012 in Wuding River Basin. Acta Agric. Jiangxi 2016, 28, 79–84. [Google Scholar]
- Shi, P.; Zhang, Y.; Ren, Z.P.; Li, P.; Gong, J.F. Land-use changes and check dams reducing runoff and sediment yield on the Loess Plateau of China. Sci. Total Environ. 2019, 664, 984–994. [Google Scholar] [CrossRef]
- Xu, J.; Wang, H. Influence of soil and water conservation measures on reducing in frequency of hyperconcentrated flows in the Wudinghe River basin. Environ. Earth Sci. 2011, 62, 1513–1520. [Google Scholar] [CrossRef][Green Version]
- Li, Z.B.; Lu, K.X.; Ding, W.F. Study on the dynamic process of rill erosion of loess slope surface. Int. J. Sediment Res. 2001, 2, 308–314. [Google Scholar]
- Ellion, W.D. Soil erosion studies, part I. Agric. Eng. 1947, 28, 145–146. [Google Scholar]
- Li, P.; Zhang, L.H.; Li, Z.B.; Zheng, L.Y. Dynamic Mechanics of Soil Erosion by Runoff on Loess Slope. Nat. Environ. Pollut. Technol. 2013, 12, 297–301. [Google Scholar]
- Zhang, X.; Liu, L.Y.; Chen, X.D.; Gao, Y.; Xie, S.; Mi, J. GLC_FCS30: Global land-cover product with fine classification system at 30 m using time-series Landsat imagery. Earth Syst. Sci. Data 2021, 13, 2753–2776. [Google Scholar] [CrossRef]
- Jia, S.F.; Zhu, W.; Lv, A.F.; Yan, T. A statistical downscaling algorithm of TRMM precipitation based on NDVI and DEM in the Qaidam Basin of China. Remote Sens. Environ. 2011, 115, 3069–3079. [Google Scholar] [CrossRef]
- Carriaga, C.C.; Mays, L.W. Optimal control approach for sedimentation control in alluvial rivers. J. Water Res. Plan. Manag. 1995, 121, 408–417. [Google Scholar] [CrossRef]
- Pettitt, A.N. A non-parametric approach to the change-point problem. Appl. Stat. 1979, 28, 126–135. [Google Scholar] [CrossRef]
- Yu, K.X.; Xiong, L.H.; Gottschalk, L. Derivation of low flow distribution functions using copulas. J. Hydrol. 2014, 508, 273–288. [Google Scholar] [CrossRef]
- Bozdogan, H. Model selection and Akaike’s information criteri on (AIC): The general theory and its analytical extension. Psychometrika 1987, 52, 345–570. [Google Scholar] [CrossRef]
- Salvadori, G.; De Michele, C.D. Frequency analysis via copulas: Theoretical aspects and applications to hydrological events. Water Resour. Res. 2004, 40, W12511. [Google Scholar] [CrossRef]
- Salvadori, G.; De Michele, C.; Durante, F. On the return period and design in a multivariate framework. Hydrol. Earth Syst. Sci. 2011, 15, 3293–3305. [Google Scholar] [CrossRef]
- Labat, D. Cross wavelet analysis of annual continental freshwater discharge and selected climate indices. J. Hydrol. 2020, 385, 269–278. [Google Scholar] [CrossRef]
- Cheng, S.D. The Effects of Vegetation Pattern on Erosion and Sediment Yield of Slope-Gully System-Watershed. Ph.D. Thesis, Xi’an University of Technology, Xi’an, China, 2016. [Google Scholar]
- Sankarasubramanian, A.; Limbrunner, J.F.; Vogel, R.M. Climate elasticity of streamflow in the United States. Water Resour. Res. 2001, 37, 1771–1781. [Google Scholar] [CrossRef]
- Zhang, J.J.; Gao, G.Y.; Fu, B.J.; Gupta, H.V. Formulating an elasticity approach to quantify the effects of climate variability and ecological restoration on sediment discharge change in the Loess Plateau, China. Water Resour. Res. 2019, 55, 9604–9622. [Google Scholar] [CrossRef]
- Bai, L.C.; Wang, N.; Jiao, J.Y.; Chen, Y.X.; Tang, B.Z.; Wang, H.L.; Chen, Y.L.; Yan, X.Q.; Wang, Z.J. Soil erosion and sediment interception by check dams in a watershed for an extreme rainstorm on the Loess Plateau, China. Int. J. Sediment Res. 2020, 35, 408–416. [Google Scholar] [CrossRef]
- Han, Y.; Yang, Q.N.; Gao, H.D.; Xu, H. Runoff and sediment characteristics of flood event in typical watershed on the Loess Plateau based on vegetation restoration. J. Soil Water Conserv. 2023, 37, 278–283. [Google Scholar]
- Moore, I.D.; Burch, G.J. Sediment transport capacity of shear and rill flow: Application of unit stream power theory. Water Resour. Res. 1986, 22, 1350–1360. [Google Scholar] [CrossRef]
- Liu, X.Y.; Yang, S.T.; Li, X.Y.; Zhou, X.; Luo, Y.; Dang, S.Z. The current vegetation restoration effect and its influence mechanism on the sediment and runoff yield in severe erosion area of Yellow River Basin. Sci. Sin. (Technol.) 2015, 45, 1052–1059. [Google Scholar]
- Xu, J.X.; Sun, J. Study of temporal variation of check dam construction in Wuding River Basin and some suggestion for some countermeasure. J. Soil Water Conserv. 2006, 2, 26–30. [Google Scholar]
- Xiao, P.Q.; Wang, L.L.; Yang, Z.S.; Jiao, P.; Wang, Z.H. Study on sediment benefits of soil and water conservation measures in typical watershed in the Loess Plateau under the heavy rainfall. J. Hydraul. Eng. 2020, 51, 1149–1156. [Google Scholar]
- Fu, B.J.; Wang, S.; Liu, Y.; Liu, J.B.; Liang, W.; Miao, C.Y. Hydrogeomorphic ecosystem responses to natural and anthropogenic changes in the Loess Plateau of China. Annu. Rev. Earth Planet. Sci. 2017, 45, 223–243. [Google Scholar] [CrossRef]
- Zhang, X.P.; Zhang, L.; Zhao, J.; Rustomji, P.; Hairsine, P. Responses of streamflow to changes in climate and land use /cover in the Loess Plateau, China. Water Resour. Res. 2008, 44, W00A07. [Google Scholar] [CrossRef]
- Feng, X.M.; Wang, Y.F.; Chen, L.D.; Fu, B.J.; Bai, G.S. Modeling soil erosion and its response to land-use change in hilly catchments of the Chinese Loess Plateau. Geomorphology 2010, 118, 239–248. [Google Scholar] [CrossRef]
- Ma, X.; Xu, J.C.; Luo, Y.; Aggarwal, S.P.; Li, J.T. Response of hydrological processes to landcover and climate changes in Kejie watershed, South-West China. Hydrol. Process. 2009, 23, 1179–1191. [Google Scholar] [CrossRef]
- Bai, P.; Liu, X.M.; Zhang, Y.Q.; Liu, C.M. Assessing the impacts of vegetation greenness change on evapotranspiration and water yield in China. Water Resour. Res. 2020, 56, e2019WR027019. [Google Scholar] [CrossRef]
- Phan, D.B.; Wu, C.C.; Hsieh, S.C. Impact of climate change on stream discharge and sediment yield in northern Vietnam. Water Resour. 2011, 38, 827–836. [Google Scholar] [CrossRef]
- Khoi, D.N.; Suetsugi, T. Impact of climate and land-use changes on hydrological processes and sediment yield-a case study of the Be River catchment, Vietnam. Hydrol. Sci. J. 2014, 59, 1095–1108. [Google Scholar] [CrossRef]
- Yu, R.H.; Wang, G.L.; Yang, Y.F. Attribution analysis of water and sediment changes based on Budyko Hypothesis-Taking the samall watershed of Zhifanggou in Ansai as an example. Res. Soil Water Conserv. 2023, 30, 86–92. [Google Scholar]
- Huang, K.; Lu, K.X.; Shen, Z.Z.; Zhang, G.J.; Ren, Z.P.; Li, P. Attribution analysis of runoff and sediment changes at different scales in the Qingshui River Basin. J. Irrig. Drain. 2023, 42, 93–98. [Google Scholar]
- Zhang, B.Q.; Tian, L.; Yang, Y.T.; He, X.G. Revegetation does not decrease water yield in the loess plateau of China. Geophys. Res. Lett. 2022, 49, e2022GL098025. [Google Scholar] [CrossRef]
- Wang, H.; Sun, F.B.; Xia, J.; Liu, W.B. Impact of LUCC on streamflow based on the SWAT model over the Wei River basin on the Loess Plateau in China. Hydrol. Earth Syst. Sci. 2017, 21, 1929–1945. [Google Scholar] [CrossRef]
- Liu, Y.; Ge, J.; Guo, W.D.; Cao, Y.P.; Chen, C.R.; Luo, X.; Yang, L.M.; Wang, S.Y. Revisiting biophysical impacts of greening on precipitation over the loess plateau of China using WRF with water vapor tracers. Geophys. Res. Lett. 2023, 50, e2023GL102809. [Google Scholar] [CrossRef]
- Lü, M.X.; Ma, Z.G.; Lü, M.Z. Effects of climate/land surface changes on streamflow with consideration of precipitation intensity and catchment characteristics in the Yellow River Basin. J. Geophys. Res. Atmos. 2018, 123, 1942–1958. [Google Scholar]
- Yuan, S.L.; Li, Z.B.; Chen, L.; Li, P.; Zhang, Z.Y. Influence of check dams on flood hydrology across varying stages of their lifespan in a highly erodible catchment, Loess Plateau of China. Catena 2022, 210, 105864. [Google Scholar] [CrossRef]
- Ran, Q.H.; Tang, H.L.; Wang, F.; Gao, J.H. Numerical modelling shows an old check-dam still attenuates flooding and sediment transport. Earth Surf. Proc. Land. 2021, 46, 1549–1567. [Google Scholar] [CrossRef]
- Wang, Z.Y.; Chen, Z.Y.; Yu, S.; Zhang, Q.; Wang, Y.; Hao, J.W. Erosion-control mechanism of sediment check dams on the Loess Plateau. Int. J. Sediment Res. 2021, 36, 668–677. [Google Scholar] [CrossRef]
- Braud, I.; Vich, A.I.J.; Zuluaga, J.; Fornero, L.; Pedrani, A. Vegetation influence on runoff and sediment yield in the Andes region: Observation and modelling. J. Hydrol. 2001, 254, 124–144. [Google Scholar] [CrossRef]
- Sun, Q.; Yu, K.X.; Li, Z.B.; Li, P.; Zhang, X.M.; Gong, J.F. The trends of streamflow and sediment and their driving factors in the middle reaches of the Yellow River. Acta Geogr. Sinca 2018, 73, 945–956. [Google Scholar]
- Ma, Y.X.; Xia, L.; Fan, Y.; Gao, Y.Y. Effects of land use and climate change on runoff and sediment variation in typical watershed of the Loess Plateau. J. Soil Water Conserv. 2021, 35, 38–45. [Google Scholar]
- Appels, W.M.; Bogaart, P.W.; van der Zee, S.E.A.T.M. Surface runoff in flat terrain: How field topography and runoff generating processes control hydrological connectivity. J. Hydrol. 2016, 534, 493–504. [Google Scholar] [CrossRef]
- Zhang, G.H.; Liu, Y.M.; Han, Y.F.; Zhang, X.C. Sediment Transport and Soil Detachment on Steep Slopes: I. Transport Capacity Estimation. Soil Sci. Soc. Am. J. 2009, 73, 1291–1297. [Google Scholar] [CrossRef]










| Name | Function | Parameter Value | Relationship between τ and θ |
|---|---|---|---|
| Clayton Copula | θ > 0 | ||
| Frank Copula | θR | ||
| Gumbel- Hougaard Copula | θ ≥ 1 |
| Joint Return Period | Period | Compared with P1 | Compared with P2 |
|---|---|---|---|
| 10 years | P2 | (−31.69, −55.17) | |
| P3 | (−45.63, −71.35) | (−20.41, −36.09) | |
| 20 years | P2 | (−32.02, −52.58) | |
| P3 | (−45.95, −65.62) | (−20.49, −27.49) | |
| 50 years | P2 | (−32.46, −48.87) | |
| P3 | (−46.30, −57.33) | (−20.50, −16.54) | |
| 100 years | P2 | (−32.67, −45.88) | |
| P3 | (−46.52, −50.25) | (−20.58, −8.07) | |
| 200 years | P2 | (−32.92, −42.64) | |
| P3 | (−46.71, −42.19) | (−20.56, 0.79) |
| Index | Period | Pr | REP | CSC | TA | NDVI |
|---|---|---|---|---|---|---|
| Runoff | PE | −0.216 | 0.892 *** | −0.809 *** | −0.779 *** | −0.152 |
| P1 | 0.778 ** | 0.859 *** | 0.193 | 0.253 | ||
| P2 | 0.558 ** | 0.825 *** | −0.328 | −0.354 | ||
| P3 | 0.547 | 0.852 *** | −0.596 * | −0.036 | 0.397 * | |
| Sediment load | PE | −0.138 | 0.916 *** | −0.550 *** | −0.540 *** | −0.477 ** |
| P1 | 0.842 ** | 0.829 ** | 0.349 | 0.466 | ||
| P2 | 0.345 | 0.938 *** | −0.071 | 0.028 | ||
| P3 | −0.093 | 0.590 ** | −0.530 | −0.737 *** | −0.455 * |
| Index | REP | CSC | TA | NDVI | ||||
|---|---|---|---|---|---|---|---|---|
| Runoff | Sediment Load | Runoff | Sediment Load | Runoff | Sediment Load | Runoff | Sediment Load | |
| 0.32 | 1.18 | −0.47 | −0.98 | −0.39 | −0.92 | −0.12 | −1.98 | |
| CX | 72.6% | 93.8% | 95.4% | 85.1% | 71.1% | 63.0% | 25.4% | 75.8% |
Disclaimer/Publisher’s Note: The statements, opinions and data contained in all publications are solely those of the individual author(s) and contributor(s) and not of MDPI and/or the editor(s). MDPI and/or the editor(s) disclaim responsibility for any injury to people or property resulting from any ideas, methods, instructions or products referred to in the content. |
© 2024 by the authors. Licensee MDPI, Basel, Switzerland. This article is an open access article distributed under the terms and conditions of the Creative Commons Attribution (CC BY) license (https://creativecommons.org/licenses/by/4.0/).
Share and Cite
Yang, Q.; Gao, H.; Han, Y.; Li, Z.; Lu, K. Coupling Changes in Runoff and Sediment and Their Relationships with Erosion Energy and Underlying Surface in the Wuding River Basin, China. Land 2024, 13, 496. https://doi.org/10.3390/land13040496
Yang Q, Gao H, Han Y, Li Z, Lu K. Coupling Changes in Runoff and Sediment and Their Relationships with Erosion Energy and Underlying Surface in the Wuding River Basin, China. Land. 2024; 13(4):496. https://doi.org/10.3390/land13040496
Chicago/Turabian StyleYang, Qiannan, Haidong Gao, Yong Han, Zhanbin Li, and Kexin Lu. 2024. "Coupling Changes in Runoff and Sediment and Their Relationships with Erosion Energy and Underlying Surface in the Wuding River Basin, China" Land 13, no. 4: 496. https://doi.org/10.3390/land13040496
APA StyleYang, Q., Gao, H., Han, Y., Li, Z., & Lu, K. (2024). Coupling Changes in Runoff and Sediment and Their Relationships with Erosion Energy and Underlying Surface in the Wuding River Basin, China. Land, 13(4), 496. https://doi.org/10.3390/land13040496
