Next Article in Journal
Do New Urbanization Policies Promote Sustainable Urbanization? Evidence from China’s Urban Agglomerations
Previous Article in Journal
Application of Soil Multiparametric Indices to Assess Impacts of Grazing in Mediterranean Forests
 
 
Font Type:
Arial Georgia Verdana
Font Size:
Aa Aa Aa
Line Spacing:
Column Width:
Background:
Article

Remote Sensing Ecological Quality and Its Response to the Rocky Desertification in the World Heritage Karst Sites

1
School of Karst Sciences, Guizhou Normal University, Guiyang 550001, China
2
State Engineering Technology Institute for Karst Desertification Control of China, Guiyang 550001, China
3
School of Geography and Environment Sciences, Guizhou Normal University, Guiyang 550001, China
*
Authors to whom correspondence should be addressed.
Land 2024, 13(4), 410; https://doi.org/10.3390/land13040410
Submission received: 23 January 2024 / Revised: 16 March 2024 / Accepted: 21 March 2024 / Published: 23 March 2024

Abstract

Clarifying the spatial and temporal evolution characteristics of the ecological environment quality of World Heritage Karst Sites (WHKSs) and its response to different rocky desertification grades at spatial scales is crucial for the monitoring and protection of WHKSs as well as the implementation of ecological and environmental policies in karst regions. The ecological evaluation model of Remote Sensing Ecological Index (RSEI) was used to evaluate the ecological environment of Libo–Huanjiang World Heritage Karst site and Shibing World Heritage Karst site, and then the spatial autocorrelation and geo-detection model was used to further analyze the ecological environment, and final spatial overlay of RSEI and rocky desertification by year to analyze the linkage relationship between RSEI and rocky desertification. The results showed that (1) in the three-phase ecological environmental quality evaluation of the two heritage sites, the RSEI in 2010, 2016, and 2022 reached 0.60, 0.67, and 0.64 for the Libo–Huanjiang heritage site, and RSEI in 2010, 2016, and 2022 for the Shibing heritage site reached 0.60, 0.74, and 0.70, respectively; (2) the RSEI of both heritage sites show a gradually increasing positive spatial correlation, and has significant spatial aggregation characteristics, with both heritage sites dominated by the high-high and low-low spatial aggregation categories; (3) both heritage sites have the highest degree of explanation of changes in ecological quality by the NDBSI factor, indicating that this factor plays a key role in changes in ecological quality at heritage sites; (4) the response of the RSEI mean value of Libo–Huanjiang in each grade of rocky desertification area is, from high to low, no rocky desertification, non-karst, potential rocky desertification, mild rocky desertification, moderate rocky desertification, intensive rocky desertification, and extreme intensity rocky desertification, and the response of the RSEI mean value of Shibing is, from high to low, non-karst, no rocky desertification, potential rocky desertification, mild rocky desertification, and moderate rocky desertification. The spatial superposition analysis of the RSEI index and rocky desertification index can quantitatively study the changing status of the ecological environment in different rocky desertification areas, and the results of the study can provide theoretical references for the environmental monitoring and the prevention and control of rocky desertification in the karst areas and WHKSs.

1. Introduction

World Heritage refers to cultural and natural heritage with Outstanding Universal Value (OUV), representing the most valuable cultural landscape and natural landscape, and is the commonwealth of mankind [1]. Due to the huge brand effect of world heritage and the extremely high quality of natural and cultural resources, tourism in World Heritage Sites (WHSs) has become the main economic industry of the local community [2]. But with this comes the problem of the conflict between the conservation and development of heritage sites. In this pair of complementary contradictions, conservation is paramount, but at the same time, economic development is a theme that cannot be ignored [3,4]. In order to protect world heritage, UNESCO adopted the Convention concerning the Protection of the World Cultural and Natural Heritage at the 17th World Heritage Conference and established programs such as periodic monitoring reports and reports on the state of conservation of heritage sites in order to better protect them. Among all WHSs, the ecosystems of World Heritage Karst Sites (WHKSs) are fragile due to the geological base conditions such as slow soil formation and easy leakage of soil and water, and also due to the irrational socio-economic activities of human beings, resulting in prominent human–Earth conflicts, the destruction of vegetation cover, soil erosion, and the gradual exposure of rocks on the surface of the ground showing desert-like landscapes, resulting in the formation of the phenomenon of rocky desertification [5]. At the same time, the exacerbation of rocky desertification has also led to problems of ecological fragility, economic backwardness, and slow social development, posing a great threat to the OUV of WHKSs [6,7,8].
The ecological environment is a composite system involving society, economy, and nature [9]. It not only provides natural resources and living environment services for humans but also serves as the foundation and core of sustainable regional socio-economic development. The results obtained through monitoring and analyzing the ecological environment not only reflect the level of coordination between the environmental ecosystem and human activities but can also reflect the depth of changes in the quality of the ecological environment at the regional scale [10,11,12], thus providing a reference for local environmental protection and sustainable development. With the rapid development of remote sensing technology, the extraction and application of multi-source remote sensing data play significant roles in ecological environment monitoring and other fields. At present, the methods for measuring ecological environment quality using remote sensing technology can be divided into single-factor change analysis and multi-factor change analysis. Single-factor change analysis includes changes in vegetation coverage [13], land use change [14], NPP [15], and other forms of closely related factor change analysis. Multi-factor changes couples multiple environmental change elements for analysis, and compared with single-factor targeting, multi-factor change results are more comprehensive and have stronger generalizations. To this end, scholars have proposed various evaluation index systems, such as Liao et al., who constructed an evaluation index system based on an environmental balance matrix consisting of seven factors, including elevation, population, and land use, in order to reveal the spatial response characteristics of the environment at different scales in the Huashan River Basin [16]. Chen Fuyan et al. selected seven indicators, including land use status, vegetation coverage, and soil erosion, as evaluation indicators, which were used in a comprehensive index evaluation method to evaluate the ecological environment quality of the Yanghuopan mining area [17].
Due to the different spatial scales and collection sources of each indicator factor, although the missing values in local areas can be preprocessed through differences or averages, this may still cause some deviation in the accuracy of the results. Regarding the selection of data types for multi-factor environmental monitoring, in addition to monitoring factors at different spatial scales, coupling monitoring factors at the same spatial scale is also an important method used by scholars to analyze environmental changes. For example, Xu used four remote sensing indicators—greenness, humidity, dryness, and heat—and conducted principal component analysis (PCA) to construct a Remote Sensing Ecological Index (RSEI) model [18]. This model has the advantages of strongly weighted objectivity, full coverage, and unified spatial scale, providing a new approach for comprehensive evaluation of ecological environment quality, and has been widely applied since its proposal. Hu et al. used the RSEI model to study spatiotemporal changes in the ecological environment of Fuzhou City, China. They found that there were high-level human activities in the study area, and the increase in construction areas led to the degradation of the external ecological environment. The ecological environment of the central city was improved due to the increase in green facilities [19]. Chen et al. calculated the RSEI status of the Zhoushan Islands from 1985 to 2020 based on the GEE (Google Earth Engine) platform. Their analysis revealed that the overall ecological environment of the Zhoushan Islands showed a downward trend, but the RSEI values were concentrated, with small interannual fluctuations and relatively stable time-series [20]. Based on previous research [21,22], using the RSEI model for spatial long-term environmental monitoring and analysis can achieve significant results in WHKSs with fragmented terrain, wide regional scope, and strong contrast of human activity cold and hot spots.
The fragility of the karst ecological environment is an important factor constraining the economic development of karst areas. Along with the increase in regional awareness brought about by the World Heritage signs, the development of the tourism industry has become one of the best ways to enhance the economic development of heritage sites. The protection measures of the WHKSs are excellent, and the ecological environment is resilient. However, the community coordination zone and exhibition zone within the core zone are the only locations and hot spots for heritage tourism that possess protection and development attributes. The buffer zone of the heritage site serves as an outer space to counter external threats to the heritage and maintain the integrity of its Outstanding Universal Value (OUV). It also takes into account the dual responsibility of protection and development [23]. The buffer zone is also characterized by strong human activities, which inevitably exacerbates rocky desertification in the karst environment. This study takes the Libo–Huanjiang WHKS (Libo–Huanjiang) and the Shibing WHKS (Shibing), which are part of the South China Karst, as the study area. This study investigates the remote sensing ecological quality of the WHKSs in a multi-temporal sequence to analyze the distribution of the remotely sensed ecological quality in different areas and the reasons for this distribution, as well as spatially superimposing the RSEI factors with the rocky desertification factors, in order to examine the intrinsic links between RSEI and rocky desertification.
Considering the dual-attribute characteristics associated with the co-existence of conservation and development within WHKSs, this study selects two sites in the same heritage series and employs remote sensing interpretation, spatial auto-correlation, and geoprobe methods to carry out comparative analyses in time and space for assessment of the spatial changes in ecological, environmental quality and rocky desertification over multiple phases. Moreover, this study explores the characteristics of the changes in the RSEI values at different degrees of rocky desertification. The results of this study provide a reference for the protection of the WHKSs and the restoration of rocky desertification areas.

2. Materials and Methods

2.1. Overview of the Research Area

The karst area of the South China Karst is centered on the Guizhou Plateau, with a karst area of 550,000 km2. It is one of the two largest karst areas in the world. Its unique geomorphic type, ecosystem, development, and evolution not only have unique natural beauty and scientific value but also have significant global value and significance. The South China Karst is a series of designated natural heritage sites. The first and second karst phases of the site were listed in the World Heritage List in 2007 and 2014, respectively. In this study, the Libo–Huanjiang WHKSs (Libo–Huanjiang) in Phase I and the Shibing WHKSs (Shibing) in Phase II were selected as the study areas, respectively (Figure 1). The similarity between the two heritage sites lies in the fact that soil erosion and rocky desertification phenomena exist in the surrounding areas, and rocky desertification in this region is dominated by two types: no-potential and slight-potential desertification. In addition, to a certain extent, both heritage sites belong to the confluence space of resource endowment and regional economic lagging, with prominent human–land conflicts and sustainability of environmental protection, which need to be further improved. The difference is that the Libo–Huanjiang management system is perfect, with a number of synergistic protection and management units, relatively mature tourism development, clear development and utilization of the modules within the heritage site, stronger human activities, and higher economic income; meanwhile, Shibing has a good management system, but the visibility of tourism development is low, the degree of development is lower than that of Libo–Huanjiang, the degree of development and utilization of the environment needs to be improved, the human activities are weaker, and the economic income is lower. The two heritage sites can create a contrasting relationship with each other in time.
The Libo–Huanjiang site includes two core zones and the same buffer zone. The center point coordinates are 107°58′30″–107°59′40″ E, 25°09′27″–25°13′15″ N. The core zone covers an area of 366.47 km2, and the buffer zone covers an area of 479.28 km2. The Libo–Huanjiang site is located at the junction of Libo County in Qiannan Prefecture, Guizhou Province, and Huanjiang County in Hechi City, Guangxi Zhuang Autonomous Region. The terrain is high in the west and low in the east, and it is situated in a humid subtropical monsoon climate zone with four distinct seasons and abundant precipitation. Libo–Huanjiang showcases the rich and diverse karst landform forms of the above-ground and underground binary structures and is a site that showcases the evolution of cone-shaped peak cluster karst landform development patterns under tropical and subtropical climate conditions. The total area of Shibing is 282.95 km2, including a core zone of 102.80 km2 and a buffer zone of 180.15 km2. It is located in Shibing County, Guizhou Province, China, with geographical locations between 108°01′36″–108°10′52″ E and 27°13′56″–27°04′51″ N. The terrain gradually decreases from northwest to southeast, with an average elevation of 912 m. The climate belongs to the subtropical monsoon humid climate, with warm winter and cool summer, four distinct seasons, and an average annual temperature of 14–16 °C, with an annual rainfall of 1060–1200 mm. The canyon scenery is unique in tropical and subtropical regions, enriching the aesthetic elements of karst landscape heritage. WHSs can be divided into core zones and buffer zones, which are further subdivided within the core zone into heritage strictly protected zones, heritage exhibition zones, and community coordination zones. The core zone is the tangible carrier of the OUV of World Heritage properties that are globally representative of their type, ecologically excellent, and endowed with resources [24], and the buffer zone is the areas around a site that are protected and managed to prevent negative impacts on the site, and are an out-of-bounds spatial control of the site that counteracts threats to the site from the outside in order to protect the integrity of the OUV. The heritage exhibition zone and community coordination zone are within the core zone and are areas within the law where certain tourism industries can be developed [25].

2.2. Data Sources and Processing

Based on data accessibility, Landsat series satellite remote sensing images, which are freely available, were selected as the image data source for this study. Because the cloud of image data in 2023 was not sufficient for the study, 2022 was used as the latest study year. Starting from 2010, we have obtained image data of the peak autumn tourism activities (September November) in 2010, 2016, and 2022, and the study data were analyzed and explored with a six-year interval. The total dataset consists of Landsat-5 TM, Landsat-8 OLI, and Landsat-9 OLI satellite imagery data, mean annual temperature data, mean annual precipitation data [26,27], and DEM data for the months of September–November 2010, 2016, and 2022 (Table 1).
Using software such as ENVI 5.6 and ArcGIS 10.2, band calculations were performed on satellite images. Due to the influence of latitude and climate in the research area, there are many days characterized by cloudy and foggy weather conditions. Therefore, in addition to conventional radiometric calibration and atmospheric correction steps in the data preprocessing stage, the quality control band (QA) cloud mask algorithm was also used for cloud removal in locally cloudy areas of Libo–Huanjiang in 2016; afterward, the individual heritage sites of Libo–Huanjiang were calculated in bands including vegetation index (NDVI), wetness component of the tasseled cap transformation (WET), normalized difference impervious surface index (NDBSI), land surface temperature (LST), vegetation coverage (FVC), and bare rock ratio (Fr). From a spatial and temporal perspective, the ecological quality of the study area was analyzed for spatiotemporal differences and their changing patterns and trends. Furthermore, RSEI and rocky desertification were superimposed and analyzed for each time period in order to explore the relationship between the ecological environment evolution of heritage sites and rocky desertification changes (Figure 2).

2.3. Research Methods

2.3.1. Remote Sensing Ecological Index

Based on the ENVI 5.3 software, NDVI, WET, NDBSI, and LST index factors were extracted from the two heritage sites of the study area for 2010, 2016, and 2022. After data combination, principal component analysis was used to calculate the first principal component [18]. PCA 1 was transposed as positive and negative to obtain the initial remote sensing ecological index RSEI0. Then, the target RSEI value was obtained by normalizing RSEI0. The calculation formula is as follows:
R S E I = R S E I 0 R S E I 0 min R S E I 0 m a x R S E I 0 min
The RSEI value range is [0–1]; the larger the value, the better the ecological environment. To further analyze the changes in the ecological quality of the two heritage sites, based on previous research references [28,29,30,31], the RSEI values for each of the heritage sites and each year were divided into five grades using the equal interval division method, representing poor (0 < RSEI ≤ 0.2), fair (0.2 < RSEI ≤ 0.4), moderate (0.4 < RSEI ≤ 0.6), good (0.6 < RSEI ≤ 0.8), or excellent (0.8 < RSEI ≤ 1) ecological quality.

2.3.2. Spatial Auto-Correlation

Spatial auto-correlation includes both local auto-correlation and global auto-correlation. Conducting spatial auto-correlation analysis on RSEI can describe the homogeneous distribution of changes in regional ecological environment quality [32]. The two calculation formulas are as follows:
G l o b a l m o r a n s I = m × i = 1 m j = 1 m W i j ( D i D ¯ ) ( D j D ¯ ) i = 1 m j = 1 m W i j ( D i D ¯ ) 2
where m represents the total number of elements, Di represents the ecological environment quality value at position I, D represents the average ecological environment quality value of all elements in the study area, Wij is the spatial weight, and the value range for the Moran’s I is [−1, 1]. The closer Moran’s I is to +1, the more obvious the spatial positive auto-correlation of ecological quality, and the closer it is to −1, the greater the spatial difference in ecological quality. A value of 0 indicates that there is no spatial auto-correlation between ecological quality.
L o c a l m o r a n s I = D i D ¯ × j = 1 m W i j ( D j D ¯ ) i = 1 m ( D i D ¯ ) 2
Among them, Local Moran’s I represents the Local Moran’s I index, and the calculation parameters are the same as the Moran’s I index. The LISA clustering map has five local spatial clustering types, namely, high–high (H–H), high–low (H–L), low–low (L–L), low–high (L–H), and no significant differences. In this study, H–H and L–L represent the high–low ecological quality values of the selected area and adjacent spatial areas. H–L represents the high ecological quality of the selected area, while L–H represents the low ecological quality of adjacent areas.

2.3.3. Geo-Detector

The geographical detector assumes that geographical objects always exist in specific spatial locations, and the environmental factors that affect their changes have spatial differences. If a certain environmental factor has significant consistency with the changes in geographical objects in space, then that environmental factor has decisive significance for the occurrence and development of geographical objects [33].
A single-factor detector is used to detect the spatial differentiation of RSEI and the degree to which each factor explains RSEI. The calculation formula is as follows:
q = 1 1 N σ 2 h = 1 L N h σ h 2
where the q value is used to measure the explanatory power of each RSEI factor, with a range of [0, 1] (the larger the q value, the stronger the explanatory power of the factor of RSEI), L represents the number of categories for RSEI, Nh and N represents the number of RSEI units in the h layer and the entire region, respectively, and σ2 represents the variance in RSEI values in layer h and the entire region, respectively.
The interaction factor detector is used to identify the interactions between influencing factors [34], which detects the explanatory power of two different influencing factors on RSEI.

2.3.4. Rock Desertification

Referring to the grading standard of rocky desertification in karst areas (Table 2 and Table 3) [35] and combined with relevant studies on the extraction of rocky desertification factors by previous researchers [36,37,38], the degree of vegetation cover (FVC) and the bare rock ratio (Fr) were comprehensively selected for the extraction of rocky desertification vector patch data of Libo–Huanjiang and Shibing for the years 2010, 2016, and 2022.
Vegetation Coverage
This study estimated FVC using the pixel dichotomy method. The basic principle of pixel dichotomy is to assume that each pixel in the spectral image is only covered with vegetation and bare soil, and S is denoted as Sveg and Ssoil, respectively. Therefore, the spectral information S for each pixel is the sum of Sveg and Ssoil. To prevent noise source points and NDVI grayscale interference [39], within a certain confidence range of NDVI statistical pixels, 5% of the cumulative percentage of NDVI pixels is taken as the bare soil vegetation index value, and 95% of the cumulative percentage of pixels is taken as the pure vegetation coverage vegetation index value:
N D V I = N I R R N I R + R
where NDVI is the normalized vegetation index, NIR is in the near-infrared band, and R is the infrared band. The range of NDVI values is [−1, 1]; the better the vegetation coverage, the larger the NDVI value.
F V C = N D V I < N D V I s o i l                     0                                         N D V I s o i l N D V I N D V I v e g     ( N D V I N D V I s o i l ) / ( N D V I v e g N D V I s o i l ) N D V I > N D V I v e g                 N D V I                                    
In the formula, FVC represents vegetation coverage, NDVIsoil is the normalized vegetation index of the bare soil pixel area within the image area, and NDVIveg is the normalized vegetation index of the vegetation coverage area within the image area.
Bare Rock Ratio
For Landsat data, the near-infrared band range is 775–900 nm, which records the reflection information of features in the near-infrared band range, and the short-wave infrared band range is 2090–2350 nm, which records the reflection information of features in the short-wave infrared band range, which is sensitive to the reflection of rocks [40].
Therefore, based on Landsat data, a normalized differential rocky index (NDRI) was constructed based on the near-infrared band and short-wave infrared band, where NIR is the near-infrared band, and SWIR is the short-wave infrared band:
N D R I = S W I R N I R S W I R + N I R
According to the principle of the pixel binary model, assuming that a pixel is composed of two parts, exposed and non-exposed rock, the bare rock ratio (Fr) is calculated as follows:
F r = N D R I N D R I r N D R I r N D R I 0
where NDRIr is the NDRI value when the composition is composed of all exposed rocks, and NDRI0 is the NDRI value when the composition is composed of no exposed rocks. Referring to the values of Niu et al. [41], among all the statistically obtained image element values, the image element value with a frequency of 1% is taken as NDRI0, and the image element value with a cumulative frequency of 99% is taken as NDRIr.

3. Results

3.1. RSEI Spatiotemporal Variation Results

The remote sensing ecological index of Libo–Huanjiang showed an increasing and stable trend from 2010 to 2022 (Figure 3), with mean RSEI values of 0.60, 0.67, and 0.64. In 2010, the RSEI grade was mainly moderate and good, accounting for 91.19% of the total area. The overall distribution of RSEI in heritage sites was uniform, with the RSEI values in the core zone on the left being lower than those on the right. This was mainly due to the fact that the western region is a scenic area with a high level of tourism development, while the core zone on the left is a nature reserve with strong protection attributes. The different levels of human activity interference between the two areas resulted in slight differences in the RSEI distribution. In 2016, the RSEI values were mainly good and excellent, accounting for 79.97% of the total area. The grade of poor and excellent grades increased by 2.35% and 16.45%, compared with 2010. The differences in RSEI values within heritage sites gradually became apparent, and the areas with significant improvement were mainly distributed in the central, northern, and southern parts of the buffer zone. The range of RSEI decline was concentrated outside the eastern core zone, which is a densely populated area with strong human activities. In 2022, the RSEI grades were mainly good and excellent, accounting for 64.91% of the total area. The grades of poor and fair grades continued to increase slightly, with an increase of 5.07% and 2.02% compared with 2016. There was a significant difference in RSEI values within heritage sites, with the RSEI values in western heritage sites being significantly lower than those in eastern heritage sites. Western heritage sites, including the core and gentle impact areas, showed a significant fragmentation of RSEI grades, showing a high–low clustering pattern. This is due to the vigorous development of the tourism industry in the western core zone. The social attributes have evolved from a single natural ecosystem to a natural social ecosystem, and the social attributes have been fully integrated. Therefore, the ecological environment in the region is influenced by both nature and humans.
From 2010 to 2022, the remote sensing ecological index of Shibing also showed an increasing and stable trend (Table 4 and Figure 3), with mean RSEI values of 0.60, 0.74, and 0.70. In 2010, the RSEI grades were mainly moderate and good, accounting for 71.38% of the total area. There were significant differences in RSEI values within the production area, with the core zone as the boundary. The RSEI values in the core zone were higher than those in the buffer zone, while the RSEI values in the eastern part of the buffer zone were lower, mainly consisting of moderate and poor grades, distributed in a patchy pattern. This is because the eastern side of the buffer zone is a gathering place for townships, and human activities have a strong impact. In 2016, the RSEI grades were mainly good and excellent, accounting for 76.6% of the total area. The grades of poor, fair, and moderate decreased compared with the average in 2010 by 3.19%, 8.83%, and 17.14%, respectively. The grades of good and excellent increased by 14.42% and 14.47%, respectively. The RSEI values in the core zone increased, while the RSEI values in the eastern and northern buffer zones significantly increased. The main reason may be that, in order to apply for a heritage site, the regional departments carried out a series of environmental protection projects such as population relocation, returning farmland to forests, and implementing measures to improve the overall scope of Shibing. In 2022, the RSEI grade was mainly moderate, with individual grades accounting for 73.94% of the total area. The moderate and excellent grades were basically the same, at 11.40% and 11.16%, while poor grades only accounted for 0.31% of the total area. The RSEI values in the core zone further improved, with only local areas in the center being lower. The central area is mostly canyons, with steep terrain, large terrain undulations, and small vegetation coverage, resulting in lower RSEI values in the region. The RSEI values in the northeast of the buffer zone decreased, but the RSEI values in the southeast region improved significantly. Therefore, in 2010, the low-grade RSEI values distributed in a patchy pattern in the eastern part of the buffer zone disappeared, leaving only a point distribution.
A Sangi plot was used to express their change process (Figure 4) to observe the transfer of RSEI in two heritage sites from 2010 to 2022, and the difference principle was used to study the spatiotemporal changes in RSEI values at different periods between 2010 and 2022. The change grades included +4, +3, +2, and +1 (improving), 0 (unchanged), and −1, −2, −3, and −4 (deteriorating), with larger values indicating a greater intensity of change (Figure 5).
From the changes in various years, Libo–Huanjiang mainly improved and remained unchanged from 2010 to 2016. There were local changes within the eastern core zone and outside the western core zone, which were scattered and banded in spatial distribution. From 2016 to 2022, the changes were mainly unchanged and varied, and the affected areas were mainly distributed in the western core zone and buffer zone near the eastern core zone. This is consistent with the different levels of tourism development in the two core zones of Libo–Huanjiang. From 2010 to 2016, Shibing mainly remained unchanged and improved, with the majority of buffer zone areas improving. The areas with lower elevations in the core zone showed a trend of deterioration, roughly similar to the canyon basin line. From 2016 to 2022, the RSEI values showed a spatial trend of improvement from the northeast (unchanged deteriorated) to the southwest (unchanged improved). The ±3 and +4 changes in both heritage sites were relatively small, indicating that their RSEI changes mainly occurred between adjacent grades, with less cross-grade RSEI changes and a relatively stable ecological environment.

3.2. Spatial Auto-Correlation

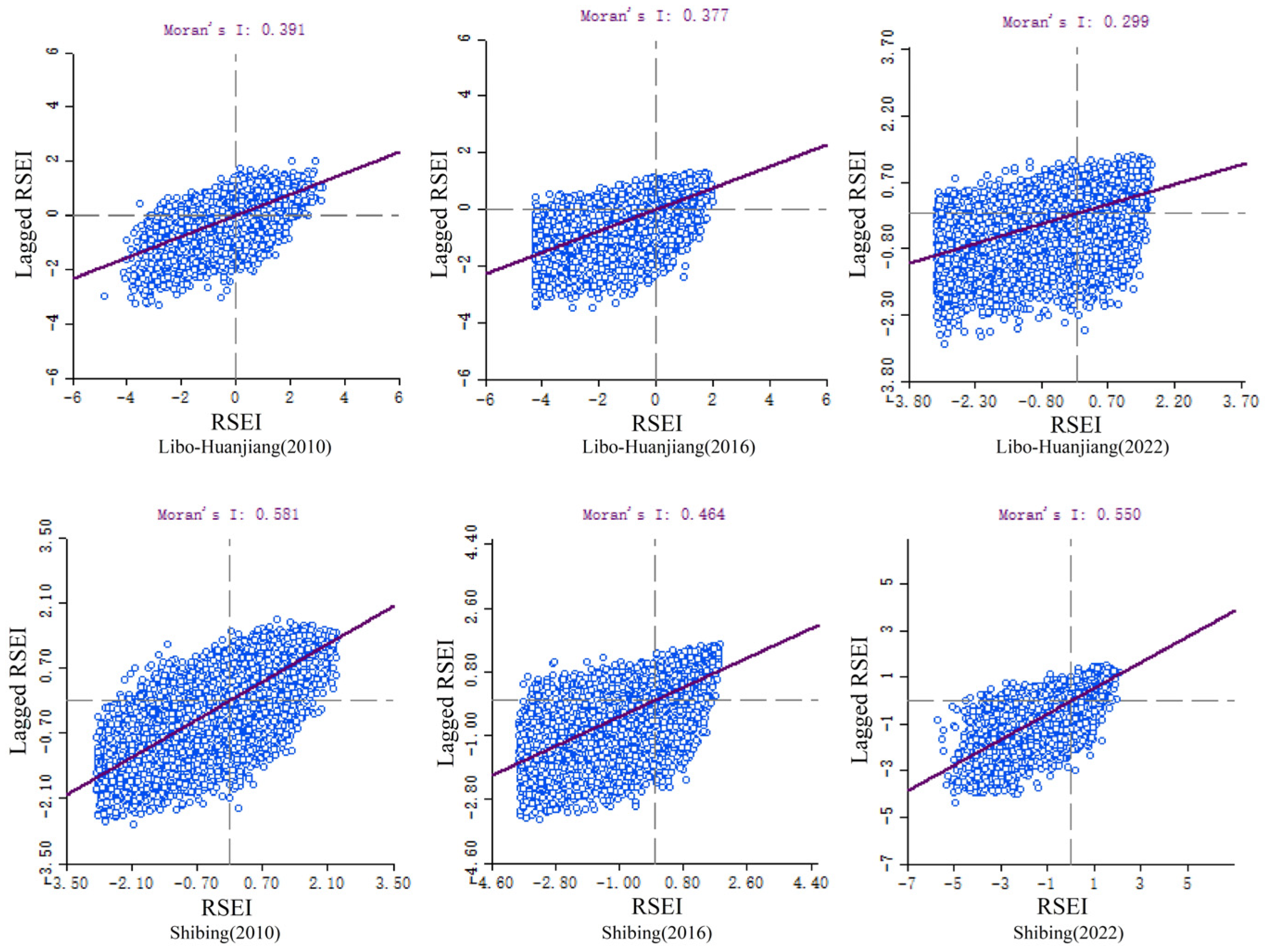
In order to explore the spatial auto-correlation of RSEI in Libo–Huanjiang and Shibing from 2010 to 2020, the RSEI image pixels from 2010 to 2022 were assigned to 30 × 30 fishing nets, and a total of 22,937 and 24,429 sampling points were acquired as a means of determining the spatial correlation of the variables and their correlation degree, the Moran’s I index was used to analyze global auto-correlation, and a LISA plot was used to analyze local auto-correlation.
Figure 6 shows the scatter plots of Moran’s I index for the two heritage sites from 2010 to 2022, mainly distributed in the first and third quadrants, indicating a strong spatial positive correlation between ecological quality in the study area. The Moran’s I values for the two heritage sites in 2010, 2016, and 2022 were 0.391, 0.377, 0.349, 0.581, 0.464, and 0.550, respectively. The Moran’s I index of Libo–Huanjiang shows a gradually decreasing trend, while the Moran’s I index of Shibing shows first a decreasing trend and then an increasing trend, indicating that the spatial distribution of ecological quality is clustered rather than random, and the clustering trend shows an increasing and then decreasing trend. Since 2016, the development of tourism economic activities in heritage sites has accelerated, leading to the dispersion of high ecological quality areas in the region. With the increase in human activities, the points of various ecological qualities merge into patches, enhancing homogeneity.
LISA clustering diagrams were used to examine the spatial distribution of RSEI features, namely non-significant, high–high (H–H), high–low (H–L), low–high (L–H), and low–low (L–L) spatial clustering classes. As shown in Figure 7, both Libo–Huanjiang and Shibing are dominated by H–H and L–L spatial clustering, with fewer outliers in the H–L and L–H spaces. The spatial distribution of RSEI features shows that the features are closely related to one another. Among them, the 2010 H–H clustering area of Libo–Huanjiang was mainly distributed in the eastern core zone. In order to protect areas with extremely high protection attributes and high vegetation coverage, in 2016, most of the H–H clustering areas in the eastern core zone were transformed into insignificant areas, and only partially fragmented areas remained H–H clustering areas. The L–L clustering area was concentrated in the western core zone, namely the central buffer zone, from 2010 to 2022, both of which are areas with concentrated tourism facilities and dense human activities. In 2010, the H–H clustering area of Shibing was mainly distributed in the core zone, with a small portion located in the north and south of the buffer zone. In 2016, the H–H clustering area in the core zone was transformed into an insignificant area. The H–H clustering area in the northern part of the buffer zone increased compared with 2010, and by 2022, the H–H clustering area was only distributed in the northern part of the buffer zone, with a small amount in the southern and eastern parts of the buffer zone, showing fragmented distribution. In 2010, the H–L clustering area was concentrated in the southeastern part of the buffer zone, with a dense and patchy distribution. In 2016, the H–L clustering area decreased compared with 2010, and the density decreased. Some H–L clustering areas in the eastern part of the buffer zone were transformed into insignificant areas, with a small amount being transformed into H–H clustering areas. The distribution of H–L clustering areas in 2022 was roughly the same as in 2016. Overall, the spatial distribution of RSEI characteristics in both heritage sites is influenced by socio-economic development and ecological construction, and their changing characteristics are consistent with the spatiotemporal changes in RSEI in heritage sites.

3.3. RSEI Driving Force Analysis

It is generally believed that the synergistic effects of human activities, climatic factors, and geomorphology lead to changes in ecological environment quality [42]; therefore, six drivers—namely, population, GDP, elevation, slope, average annual temperature, and average annual precipitation—were initially selected as external factors. However, according to the field conditions of the two sites, during the application in the heritage site, the resident population in the core zone was relocated, and there was no permanent population in the area except for the community coordination zone in the core zone, making it difficult to use population as an external driver and leading to the inaccuracy of the GDP data. Therefore, mean annual temperature (TEM), mean annual precipitation (PRE), elevation (DEM), and slope were finally selected as external drivers. The RSEI model consists of four indicators—namely, NDVI, WET, NDBSI, and LST—of which NDVI can reflect the leaf area index and vegetation cover; WET can better reflect the humidity of surface water bodies, soil, and vegetation; NDBSI is synthesized using the bare soil index, SI, and the building index, IBI, and the changes in the bare soil and building conditions reflect the intensity and magnitude of human activities; LST can represent the surface temperature. To a certain extent, these four indicators represent the natural conditions of the area, such as the vegetation cover, humidity, human activities, and temperature, and so were used as model-driving factors [43].
Based on geographic detectors, a driving force analysis was conducted on eight factors affecting the RSEI values of heritage sites, including annual average precipitation. Table 4 shows that all eight factors have a statistically significant impact on RSEI changes (p < 0.001) (Table 5). From the single-factor detection results, it can be seen that the external influencing factors in Shibing are slope > annual precipitation > altitude > annual temperature. As a typical karst cone-shaped low mountain and depression landform, Libo–Huanjiang has a large slope amplitude and is the main controlling factor affecting RSEI changes, followed by the explanatory power of annual precipitation. Precipitation has an impact on natural factors such as vegetation coverage and soil moisture, which, in turn, affects RSEI. The explanatory power of external influencing factors in Shibing varied, and overall, the explanatory power of annual temperature and slope is greater than that of altitude and annual precipitation. In terms of model factors, the explanatory power of the four factors varied from year to year and overall, the explanatory power of WET and NDBSI for the two heritage sites was higher than that of NDVI and LST, indicating that the changes in the RSEI values for the two heritage sites from 2010 to 2022 were mainly affected by the decrease in impervious surface area and the increase in construction land area. This is also the reason for the slight decrease in the RSEI values of the two heritage sites in 2016 and 2022.
Based on geographic detectors, eight factors affecting the RSEI values of heritage sites, including annual average precipitation, were interactively detected; notably, the results all passed the 95% confidence level. As shown in Figure 8, the spatial differentiation characteristics of the RSEI values between two heritage sites are enhanced through the interaction of any two factors, showing both dual-factor and non-linear enhancement, indicating that the result of the spatial differentiation of ecological quality in heritage sites is due to the joint action of different influencing factors. The strongest key driving force for the ecological quality of the two heritage sites is NDBSI, and its interaction value with any factor is higher than the interaction values between other factors, indicating that this factor plays a crucial role in ecological environment quality change at heritage sites.

3.4. Analysis of Spatiotemporal Changes in Rocky Desertification

With geological conditions as the base and unreasonable human activities as the catalyst, rocky desertification can be viewed as a rocky exposed landscape caused by strong anthropogenic disturbance of karst ecosystems [44]. Benefiting from a series of policies implemented by the national and local governments, such as the Outline of Comprehensive Management Plan for Rocky Desertification in Karst Areas, carrying out the return of farmland to forests and grasses, and the construction of key ecological barriers, the two heritage sites have achieved remarkable results in rocky desertification management and ecological restoration.
The spatial pattern distribution of rocky desertification in Libo–Huanjiang from 2010 to 2022 is as follows (Table 6, Figure 9). The mild, moderate, and intensive rocky desertification in the core zone decreased to disappear in small fragments, while the degree of rocky desertification in the buffer zone decreased from villages, residential areas, and tourist gathering areas to the surrounding areas. In 2010, the overall distribution of rocky desertification in the heritage site was uniform, and it was difficult to distinguish between the core zone and the buffer zone. This is due to the fact that China had just begun to launch a pilot project of the comprehensive management of rocky desertification in 2008, and the management of rocky desertification is of a long-term, arduous, and complex nature; moreover, the effect of the management has not yet been outstanding. By 2022, rocky desertification in the core zone had significantly decreased, and within this area, the decline in rocky desertification in the eastern core zone was higher than that in the western core zone. The reason for this distinction between the eastern and western core zones was that the tourism development in the western core zone was greater than that in the left core zone, and tourism activities led to intensive human activities, resulting in slightly inferior environmental protection and ecological restoration compared with the eastern core zone. The size of areas of no rocky desertification increased by 15.13%, with potential rocky desertification decreasing by 10.34%, mild rocky desertification decreasing by 3.12%, moderate rocky desertification decreasing by 1.10%, intensive rocky desertification decreasing by 0.33%, and extreme intensity rocky desertification decreasing by 0.24%.
From 2010 to 2022, the rocky desertification of Shibing decreased year by year. The site is mainly characterized by no rocky desertification and potential rocky desertification, with mild and moderate rocky desertification mainly distributed in the southeastern region of the buffer zone. During the period from 2010 to 2022, the overall degree of rocky desertification in heritage sites decreased, with a significant increase in the area of no and potential rocky desertification in the core zone. The distribution of mild to moderate rocky desertification in the buffer zone gradually decreased from rural gathering areas to the surrounding areas. The size areas of no rocky desertification increased by 17.03%, the potential rocky desertification area decreased by 10.92%, the mild rocky desertification area decreased by 2.31%, and the moderate rocky desertification area decreased by 3.81%. Areas far away from human activities have shown varying degrees of weakening in rocky desertification, with a significant decrease in rocky desertification in the southwestern region of the buffer zone. This area is located in the Niejiayan region downstream of the Shanmu River drift; the area has been well developed and protected by relevant departments, reflecting the feedback effect of tourism revenue on environmental protection.
From an overall point of view, as the comprehensive management of rocky desertification continues to advance, a large amount of rocky desertification land has been transformed into no and potential rocky desertification after ecological restoration. However, constrained by the fact that the degree of bedrock exposure is unlikely to have a breakthrough change in a relatively short period of time and that the newly added vegetation cover communities are poorly stabilized, it is very easy for new rocky desertification lands to develop in the event of extreme weather and/or unreasonable anthropogenic interference.

3.5. Response of RSEI to Changes in Rocky Desertification

The RSEI grades of non-karst areas in Libo–Huanjiang evolved from moderate to excellent and poor grades (Figure 10), and the area of each RSEI grade was gradually averaged, indicating that the ecological environment tends to be better with time under the same area. The increase in the area of no rocky desertification areas was accompanied by a gradual increase in the RSEI grade, and as most of the newly added no rocky desertification areas were converted from potential rocky desertification and mild rocky desertification areas, the area of RSEI graded as excellent increased significantly and the quality of the ecological environment presented a substantial improvement. The decrease in the area of potential rocky desertification areas was accompanied by a gradual equalization of the area of RSEI classes. The area of mild rocky desertification shows a trend of decreasing and then increasing, and the RSEI grade gradually decreases, which is due to the fact that some of the rocky desertification areas with higher RSEI grades are shifted to no rocky desertification land areas after treatment, and the areas with lower RSEI grades are difficult to be transformed in a short time; the areas of moderate rocky desertification, intensive rocky desertification, and extreme intensity rocky desertification decreased in 2010–2016, but in 2016–2022, they had a slight increase; however, the area of poor RSEI grades has increased significantly, probably due to the difficulty in treating moderate- to extreme-intensity rocky desertification and the repetitive nature of rocky desertification treatments, leaving the rocky desertification land with the lowest RSEI grade in need of prolonged treatments and management. Overall, potential rocky desertification areas within Libo–Huanjiang have the best ecological protection and the highest ecosystem resilience, followed by non-karst areas, potential rocky desertification areas, and mild rocky desertification areas, which have better ecological protection but show polarization between those areas that are getting better and getting worse. Moreover, moderate rocky desertification, intensive rocky desertification, and extreme intensity rocky desertification areas—which are limited by the geological substrate conditions—have a gradual deterioration effect in the ecological environment, thus lowering the RSEI grade despite the implementation of protection measures in place at the heritage site.
The RSEI grade in non-karst areas of Shibing has decreased, with the RSEI grade mainly being good and excellent, accounting for 90% of the region. However, the excellent grade in 2022 has decreased compared with 2010 and 2016. While the size of areas without rocky desertification increased, the RSEI value has also increased. Although the RSEI excellent grade slightly decreased in 2022, the RSEI general grade and poor grade rapidly decreased, accounting for less than 10%. This is due to the weak development of tourism in Shibing, where the ecological environment has been enhanced to a greater extent despite slow economic development. The area of potential and mild rocky desertification areas is further decreasing, developing towards no rocky desertification, and the RSEI grade is gradually increasing. Although the area of moderate rocky desertification decreased from 2010 to 2016, it slightly increased from 2016 to 2022. Observing Figure 9, the areas where the area of moderate rocky desertification increased are concentrated in human settlements such as villages, which can be attributed to the increase in human activities. Additionally, due to the conscious activities of local governments and residents within the prescribed range, the RSEI grade has shifted from poor and poor to general and poor grades. Overall, the ecological environment of Shibing has steadily improved in non-karst areas, no rocky desertification areas, and potential rocky desertification areas, with high effectiveness of protection measures. The improvement in RSEI grades in areas with mild and moderate rocky desertification is slow, but the quality of the environment is also positively developing.
Combining Libo–Huanjiang and Shibing for comparative analysis, it can be seen that the rocky desertification of Libo–Huanjiang gradually reduced and the RSEI value increased; however, the RSEI value of the land of moderate rocky desertification to extreme-intensity rocky desertification decreased. The rocky desertification of Shibing is also gradually reducing, and the change in the RSEI value is the same as that of Libo–Huanjiang, which is also improving; the difference is that the RSEI grades of moderate rocky desertification land in Shibing show a slow increase with time. In addition to the different lithological conditions of the two areas, the different strengths and weaknesses of human activities are also important reasons for the difference between rocky desertification and RSEI.

4. Discussion

4.1. RSEI Characteristics of Different Partitions

Heritage conservation belongs to social public welfare events, while tourism development belongs to economic industries, with the former focusing on spiritual culture and the latter on economic benefits [45]. World Heritage needs to harmonize the coupling between the protection of authenticity and integrity and the openness and coordination of landscape resources, the sources of livelihoods for community residents, and the control and deployment of government departments so as to achieve a win-win situation for both conservation and economy. Functional zoning has become one of the best ways to achieve effective conservation management for a range of protected areas with diverse attributes, such as World Heritage Sites, National Parks, and Nature Reserves. Our study found that the RSEI in the core zone of both heritage sites was higher than that in the buffer zone, the RSEI steadily increased in the core zone of the Libo–Huanjiang, and in the buffer zone, the RSEI grade spread and increased in all directions centered on the residents’ gathering points, and the result was in agreement with that of the Libo RSEI of Zhang et al. [21]; the development trend of the spatial evolution characteristics of the RSEI of the Shibing is consistent with that of Libo–Huanjiang, the difference is that the RSEI of the Shibing is more elevated in 2010–2016, and is relatively stable and slightly decreasing in 2016–2022, which is in line with the RSEI of Shibing by Zhang and colleagues [46]. The reason for this may be due to the fact that the Shibing underwent a series of larger-scale residential relocations and the implementation of policies such as the return of farmland to forests, which improved the RSEI at the time of the 2014 bid. It should be noted that although both sites are World Heritage Sites, the RSEI of the Shibing is higher than that of the Libo–Huanjiang at any given time, a phenomenon that may be explained by the intensity of human activities. Shibing is a hill plain through a valley landscape. The mode of tourism is mainly mountain tourism and rafting tourism. The audience of mountain tourism is small, and the best period of rafting tourism is only concentrated in the summer, so the degree of tourism activities is small. The western core zone of Libo–Huanjiang was a National Scenic Area before bidding for the inscription, with a high degree of popularity, perfect scenic spot management measures, and prosperous development of the tourism industry, while the eastern core zone mainly develops tourism modes such as cave exploring, camping, and agricultural music, forming a development mode of touring within the area and living outside the area, with the same strong human activities.
We also found that the RSEI in the western core zone of the Libo–Huanjiang has both poor and excellent grades, which are very different and well-defined. This finding confirms that tourism does not only have a negative effect on the environment, but on the contrary, as the economic income from tourism increases, more money is spent on the protection and enhancement of the environment of the heritage sites, and tourism leads to a positive enhancement of the environment in the protected areas. Re-observing the RSEI distribution maps of the two sites with this finding, the RSEI grade of Libo–Huanjiang gradually shows a clear trend of high and low, with the low areas all being human concentration areas such as tourist areas and townships with strong human activities, while the Shibing is not obvious. Combined with the development of heritage tourism in the two sites, it also proves the idea that tourism development will feed regional environmental protection after a certain stage.

4.2. Driving Factors for the Spatiotemporal Evolution of RSEI

The research results of this study indicate that the spatial differentiation of ecological quality in the two heritage sites is influenced by the interaction of multiple factors. The strongest key driving forces for the RSEI score of Libo–Huanjiang were NDBSI and WET in 2010, NDVI and NDBSI in 2016, and NDBSI and WET in 2022. The influence in Shibing was relatively similar in 2010, but the strongest interactive explanatory power was observed for NDVI and NDBSI. In 2016, the strongest key driving forces of RSEI were NDBSI and WET, while in 2022, they were NDBSI and NDVI. Overall, the strongest key driving force for the ecological quality of both heritage sites was NDBSI; furthermore, its interaction value with any factor was higher than that of other factors, indicating that this factor plays a crucial role in the variation of ecological environment quality at the heritage sites. This result is the same as that obtained for the RSEI driver in Gui’an New Area, which is also a karst area [22]. Due to the combination of the bare soil index and building index in NDBSI, the strength of the bare soil index represents the strength of the vegetation cover, which, to a certain extent, affects the change in the rocky desertification index. Therefore, in future tourism planning and environmental protection management measures, the proportion of surface vegetation cover should be strengthened while strictly controlling the increase in human construction to ensure the healthy development of the ecological environment of WHKSs. This study also found that the driving factor interaction detection results of Libo–Huanjiang in 2010 and 2016 were somewhat similar to the driving factor interaction detection results of Shibing in 2016 and 2022. Combined with the analysis of the overall economic development status of the two heritage sites, Shibing RSEI spatial and temporal law of change whole chasing the Libo–Huanjiang development.

4.3. Characteristics and Patterns of RSEI Variation under Different Rocky Desertification Backgrounds

The rocky desertification grades of both heritage sites have been decreasing year by year. The area with poor rocky desertification grades decreased from a patchy distribution in 2010 to a mainly fragmented point distribution in 2022. The ecological environment has gradually improved, and the degree of rocky desertification gradually decreased in all directions in the areas of villages, inhabitants, tourist areas, and areas with large changes in topographic relief, and this result is consistent with the results of previous studies. This result is consistent with previous research results [47]. Combining the spatial superposition of RSEI results and rocky desertification results of the two heritage sites with different rock types, the ecological protection effect was the best in the no rocky desertification areas of the two heritage sites overall, and the ecosystem resilience was the highest. The high rocky desertification grades of Libo–Huanjiang and Shibing are slowly decreasing, and a large number of areas with high-grade rocky desertification are gradually transitioning to low-grade rocky desertification through governance, leaving areas with lower RSEI grades in the region that still require long-term governance. The high rocky desertification grade areas of Shibing are also decreasing, while the RSEI grades have increased in the high rocky desertification grade areas, indicating that the ecological environment protection of Shibing is significantly higher than that of Libo–Huanjiang. Through analyzing the RSEI results and rock desertification results of the two heritage sites, it was found that most of the areas with significant changes in RSEI grade and rock desertification grade are located in human concentration areas and, combined with the driving forces, it was found that the NDBSI—which consists of SI and IBI is the strongest key driving force for the ecological quality of the two areas; in particular, the SI and IBI values are both closely related to human activities. Therefore, it was comprehensively observed that while geological and geomorphological conditions provide the basis for the evolution of RSEI and rocky desertification, human activities are the main drivers and key influences of the evolution of RSEI and rocky desertification.

4.4. Advantages and Disadvantages

Evaluating the ecological quality and the rocky desertification in Libo–Huanjiang and Shibing from 2010 to 2022 was based on harmonized remote sensing data, avoiding the influence of human factors. It can comprehensively and objectively reflect the spatial distribution and spatial-temporal evolution trend of the ecological environment of the heritage site over the past 12 years, which provides a theoretical basis for the daily monitoring and protection of the OUV of WHKSs and sustainable development, and also provides certain ideas for the ecological environment monitoring of karst areas.
Although our method has shown some effectiveness in environmental monitoring and evaluation for spatiotemporal and temporal changes, future research will further explore the limitations of this method. First, at the beginning of this study, due to cloud cover in some areas of Libo–Huanjiang in 2016, we used the global image synthesis data of the heritage site for the past three years; however, after processing the results, we found that there were numerical anomalies in the composite data for the construction land area. Therefore, after comprehensive consideration, we separately synthesized the cloud-covered part of the heritage site and replaced the results with the 2016 images; therefore, although this avoided data anomalies throughout the year, there are also subtle errors. The karst area in South China Karst is characterized by cloudy and foggy conditions, so it is difficult to ensure that clear image data are available for a specific month when conducting satellite monitoring. In the future, we will continue to study multi-source remote sensing data fusion technology and cloud UAV data acquisition technology to supplement and improve the real ground object data. Second, this study was manually processed, and there are still shortcomings in the processing methods and year selection. To further explore the temporal changes in the ecological environment, multiple periods of remote sensing data should be selected for comparison year by year, which will enable faster identification of the causes of environmental changes. GEE (Google Earth Engine) has been gradually applied for the analysis of long-term environmental changes, due to its powerful computing power and convenience of data acquisition. Due to the multiple protection attributes and short-term monitoring needs of the WHKSs, in future monitoring, platforms with cloud computing capabilities such as GEE should be adopted for data processing.

5. Conclusions

Based on the previous research, this article selected two WHKSs for RSEI calculations in 2010, 2016, and 2022. The spatial distribution and evolution of RSEI, RSEI spatial auto-correlation, and RSEI driving factors were analyzed. Finally, the RSEI results for each year in the study area were spatially overlaid with rocky desertification grade data. Then, the distribution and spatiotemporal evolution characteristics of the RSEI grades under each rocky desertification grade were calculated. The results revealed the following: (1) both the Libo–Huanjiang and Shibing RSEI score means showed an increasing trend from 2010–2016 and a decreasing trend from 2016–2022, which were 0.60, 0.67, and 0.64 and 0.60, 0.74, and 0.70, respectively. (2) The RSEI distributions of the two heritage sites presented strong spatial positive correlation and were dominated by the H–H and L–L spatial aggregation classes, with a close spatial distribution. The spatial distribution of the two heritage sites was closely linked. (3) NDBSI was the strongest key driving force for both heritage sites. (4) The response of the mean RSEI in Libo–Huanjiang to different grades of rocky desertification areas, from high to low, was as follows: no rocky desertification, non-karst, potential rocky desertification, mild rocky desertification, moderate rocky desertification, intensive rocky desertification, and extreme intensity rocky desertification. The response of the mean RSEI in Shibing to different grades of rocky desertification areas, from high to low, was non-karst, no rocky desertification, potential rocky desertification, mild rocky desertification, and moderate rocky desertification. Based on these results, it can be concluded that while the RSEI grades of heritage sites are closely related to the geological basement conditions, human activities have a more significant impact on the distribution of RSEI results in heritage sites.
Based on the changes in RSEI grades at the spatial scale of two heritage sites and the changes in RSEI under different rocky desertification grades, it is possible to further improve the protection planning of WHSs, tourism construction of heritage sites, and measures for preventing and controlling rocky desertification in heritage sites.

Author Contributions

Conceptualization, K.X. and J.H.; methodology, K.X., J.H. and A.J.; data curation, A.J.; writing—review and editing, A.J., J.H., K.X., A.L. and S.Z. All authors have read and agreed to the published version of the manuscript.

Funding

This research was supported by the Guizhou Provincial Key Technology R&D Program (No. 220 2023 QKHZC), the China Oversea Expertise Introduction Program for Discipline Innovation (No. D17016) and the Guizhou Provincial “Golden Course” Project (No. 2022JKXS0025).

Data Availability Statement

The original contributions presented in the study are included in the article, further inquiries can be directed to the corresponding authors.

Acknowledgments

Acknowledgement for the data support from “National Earth System Science Data Center, National Science & Technology Infrastructure of China. (http://www.geodata.cn)”.

Conflicts of Interest

The authors declare no competing interests.

References

  1. Sun, K.Q. Research on World Heritage Protection and Sustainable Development in China. J. China Univ. Geosci. Soc. Sci. Ed. 2008, 3, 36–40. [Google Scholar] [CrossRef]
  2. Wu, B.H.; Li, M.; Huang, G.P. Relationship between Protection of World Heritage Sites in China and Tourism Demand. Geogr. Res. 2002, 21, 617–626. [Google Scholar]
  3. Tao, W. Research on Sustainable Tourism Development of China’s World Heritage Sites Research on Sustainable Tourism Development of China’s World Heritage Sites; China Travel Publishing House: Beijing, China, 2002; ISBN 9787503218330. [Google Scholar]
  4. Chen, Y.H.; Zhao, X.S. Research on the Protection and Utilization of World Heritage Sites in China. J. Peking Univ. Nat. Sci. Ed. 2003, 39, 7. [Google Scholar]
  5. Xiong, K.N.; Li, J.; Long, M.Z. Characteristics and key issues of soil erosion in typical karst rocky desertification control areas. J. Geogr. 2012, 67, 878–888. [Google Scholar]
  6. He, C.H. Guizhou Karst Environment Protection and Sustainable Development. J. Guizhou Norm. Univ. Nat. Sci. Ed. 2001, 19, 6. [Google Scholar]
  7. Wang, Y.C. Research on Vulnerability Assessment of Agricultural Flood Disasters in Karst Areas of Southwestern China; Guizhou Normal University: Guiyang, China, 2017. [Google Scholar]
  8. Zhu, D.Y.; Xiong, K.N. A review of research on the impact of climate factors on karst rocky desertification control in China. Jiangsu Agric. Sci. 2018, 46, 5. [Google Scholar]
  9. Yu, H.J.; Zhang, F.M.; Ma, H.; Lu, Y.Y. Analysis of spatiotemporal evolution and driving factors of ecological environment quality in the Huaihe River Basin based on remote ecological index. Environ. Sci. 2024, 1–18. [Google Scholar] [CrossRef]
  10. Liu, J.Y. Research on Macro Survey and Dynamic Monitoring of National Resources and Environment through Remote Sensing. J. Remote Sens. 1997, 1, 6. [Google Scholar]
  11. Gu, Q.; Li, J.; Deng, J.; Lin, Y.; Ma, L.; Wu, C.; Wang, K.; Hong, Y. Eco-environmental vulnerability assessment for large drinking water resource: A case study of Qiandao Lake Area, China. Front. Earth Sci. 2015, 9, 578–589. [Google Scholar] [CrossRef]
  12. Boori, M.S.; Choudhary, K.; Paringer, R.; Kupriyanov, A. Spatiotemporal ecological vulnerability analysis with statistical correlation based on satellite remote sensing in Samara, Russia—ScienceDirect. J. Environ. Manag. 2021, 285, 112138. [Google Scholar] [CrossRef]
  13. Carmona, F.; Rivas, R.; Fonnegra, D.C. Vegetation Index to estimate chlorophyll content from multispectral remote sensing data. Eur. J. Remote Sens. 2015, 48, 319–326. [Google Scholar] [CrossRef]
  14. Yang, J.; Huang, X. The 30 m annual land cover dataset and its dynamics in China from 1990 to 2019. Earth Syst. Sci. Data 2021, 13, 3907–3925. [Google Scholar] [CrossRef]
  15. Wang, S.; Zhang, B.; Yang, Q.; Chen, G.; Yang, B.; Lu, L.; Shen, M.; Peng, Y. Responses of net primary productivity to phenological dynamics in the Tibetan Plateau, China. Agric. For. Meteorol. 2017, 232, 235–246. [Google Scholar] [CrossRef]
  16. Liao, Y.; Wu, G.; Zhang, Z. Multi-Scale Remote Sensing Assessment of Ecological Environment Quality and Its Driving Factors in Watersheds: A Case Study of Huashan Creek Watershed in China. Remote Sens. 2023, 15, 5633. [Google Scholar] [CrossRef]
  17. Chen, F.Y.; Yang, C.; Xu, K.L.; Jiang, X.G. Research on Dynamic Monitoring and Evaluation of Ecological Environment in Yanghuopan Mining Area Based on Landsat Remote Sensing Images. Environ. Eng. 2023, 41, 497–500. [Google Scholar]
  18. Xu, H.Q. The creation and application of urban remote sensing ecological index. J. Ecol. 2013, 33, 24. [Google Scholar]
  19. Hu, X.S.; Xu, H.Q. A new remote sensing index for assessing the spatial heterogeneity in urban ecological quality: A case from Fuzhou City, China. Ecol. Indic. 2018, 89, 11–21. [Google Scholar] [CrossRef]
  20. Chen, C.; Wang, L.; Yang, G.; Sun, W.; Song, Y. Mapping of Ecological Environment Based on Google Earth Engine Cloud Computing Platform and Landsat Long-Term Data: A Case Study of the Zhoushan Archipelago. Remote Sens. 2023, 15, 4072. [Google Scholar] [CrossRef]
  21. Zhang, N.; Xiong, K.; Zhang, J.; Xiao, H. Evaluation and prediction of ecological environment of karst world heritage sites based on google earth engine: A case study of Libo–Huanjiang karst. Environ. Res. Lett. 2023, 18, 034033. [Google Scholar] [CrossRef]
  22. Zhang, F.; Zhou, Z.; Huang, D.; Du, X.; Deng, F.; Yang, Y.; Du, S. Dynamic monitoring and analysis of factors influencing ecological quality in rapidly urbanizing areas based on the Google Earth Engine. Geocarto Int. 2023, 38, 2256299. [Google Scholar] [CrossRef]
  23. Zhang, J. Research on the Collaborative Mechanism and Model of Protection of Karst World Heritage Sites and Development of Tourism Industry in Buffer Zones; Guizhou Normal University: Guiyang, China, 2023. [Google Scholar]
  24. Sun, K.Q. Research on Strategic Management of World Natural Heritage in China. China’s Popul. Resour. Environ. 2011, 21, 547–550. [Google Scholar]
  25. Fang, R.N. The Coupling Mechanism and Regulation between the Protection and Management of Karst World Heritage Sites and the Development of Tourism Industry in Buffer Zones; Guizhou Normal University: Guiyang, China, 2002. [Google Scholar]
  26. Peng, S.Z.; Ding, Y.X.; Liu, W.Z.; Li, Z. 1 km monthly temperature and precipitation dataset for China from 1901 to 2017. Earth Syst. Sci. Data 2019, 11, 1931–1946. [Google Scholar] [CrossRef]
  27. Peng, S.Z. China’s 1 km Resolution Monthly Precipitation Dataset (1901–2022). 2020. Available online: http://60.245.210.47/en/data/b5f99f9b-77db-4488-99db-6e21e4c34bc6/ (accessed on 5 March 2024). [CrossRef]
  28. Xu, H.; Wang, Y.; Guan, H.; Shi, T.; Hu, X. Detecting Ecological Changes with a Remote Sensing Based Ecological Index (RSEI) Produced Time Series and Change Vector Analysis. Remote Sens. 2019, 11, 2345. [Google Scholar] [CrossRef]
  29. An, M.; He, W. Spatiotemporal change of ecologic environment quality and human interaction factors in three gorges ecologic economic corridor, based on RSEI. Ecol. Indic. 2022, 141, 109090. [Google Scholar] [CrossRef]
  30. Ao, Y.; Wang, Y.; Wang, X.F.; Wu, J.S.; Zhang, Y.H.; Li, X.J. Analysis of spatiotemporal changes and driving factors of ecological environment quality in Zhengzhou City in the past 20 years. Remote Sens. Nat. Resour. 2024, 1–11. Available online: http://kns.cnki.net/kcms/detail/10.1759.p.20231127.0757.006.html (accessed on 22 January 2024).
  31. Zhou, J.; Liu, W. Monitoring and evaluation of eco-environment quality based on remote sensing-based ecological index (RSEI) in Taihu Lake Basin, China. Sustainability 2022, 14, 5642. [Google Scholar] [CrossRef]
  32. Chen, Y.G. Development and Method Improvement of Spatial Autocorrelation Theory Based on Moran Statistics. Geogr. Res. 2009, 28, 1449–1463. [Google Scholar]
  33. Wang, J.F.; Xu, C.D. Geodetectors: Principles and Prospects. J. Geogr. 2017, 72, 19. [Google Scholar]
  34. Peng, W.; Zhang, D.; Luo, Y.; Tao, S.; Xu, X. Influence of natural factors on vegetation NDVI using geographical detection in Sichuan Province. Acta Geogr. Sin. 2019, 74, 1758–1776. [Google Scholar]
  35. Xiong, K.N.; Li, P.; Zhou, Z.F.; Lan, A.J. Remote Sensing and GIS Typical Research on Karst Rocky Desertification: A Case Study of Guizhou Province Remote Sensing and GIS Typical Research on Karst Rocky Desertification: Taking Guizhou Province as an Example; Geological Publishing House: Beijing, China, 2002; ISBN 7-116-03676-8. [Google Scholar]
  36. Lan, A.J.; Zhang, B.P.; Xiong, K.N.; An, Y.L. Analysis of Spatial Pattern of Fragile Karst Ecological Environment in Southwest Guizhou. Geogr. Res. 2003, 22, 733–741. [Google Scholar]
  37. Sun, Y.P.; Zhou, Z.F.; Zhao, Y.L.; Fang, M.; Wu, Y. Land use evolution and distribution pattern of rocky desertification in karst mountainous areas. Res. Soil Water Conserv. 2022, 29, 8. [Google Scholar]
  38. Pan, X.X. Dynamic Monitoring of Rocky Desertification in Xupu County Based on Multi-Resolution Remote Sensing Images; Central South University of Forestry and Technology: Hunan, China, 2023. [Google Scholar]
  39. Gan, C.Y.; Wang, X.Z.; Li, B.S.; Liang, Z.X.; Li, Z.W.; Wen, X.H. Analysis of vegetation coverage changes in the Lianjiang River Basin over the past 18 years. Geography 2011, 31, 1019–1024. [Google Scholar] [CrossRef]
  40. Zhang, X.L.; Gan, S. Research on Extracting Rocky Desertification Information Based on NDRI Pixel Binary Model. New Technol. Process. 2014, 1, 72–75. [Google Scholar]
  41. Niu, Q.; Zhou, X.; Zhang, J.; Yang, J.Z.; Huang, X.Y. Analysis of Elastic Changes in Ecosystems of Karst Mountain Cities—Taking Guiyang City as an Example. Resour. Environ. Yangtze River Basin 2019, 28, 722–730. [Google Scholar]
  42. Wang, S.W.; Wu, W. Exploration of spatiotemporal evolution and driving factors of ecological environment quality in the Jialing River Basin over the past 31 years. Res. Soil Water Conserv. 2024, 31, 427–439. [Google Scholar] [CrossRef]
  43. Xia, Q.-Q.; Chen, Y.-N.; Zhang, X.-Q.; Ding, J.-L. Spatiotemporal changes in ecological quality and its associated driving factors in Central Asia. Remote Sens. 2022, 14, 3500. [Google Scholar] [CrossRef]
  44. Yu, L.F.; Zhu, S.Q.; Ye, J.Z.; Wei, L.M.; Chen, Z.R. Research on Human Disturbance and Degradation and Evaluation of Karst Forest Communities. J. Appl. Ecol. 2002, 05, 529–532. [Google Scholar]
  45. Meng, H.; He, Y.C. Selection of a win-win system for heritage protection and heritage tourism. China’s Popul. Resour. Environ. 2005, 2, 117–121. [Google Scholar]
  46. Zhang, N.; Xiong, K.; Xiao, H.; Zhang, J.; Shen, C. Ecological environment dynamic monitoring and driving force analysis of karst world heritage sites based on remote-sensing: A case study of Shibing Karst. Land 2023, 12, 184. [Google Scholar] [CrossRef]
  47. Bai, X.Y.; Wang, S.J.; Chen, Q.W.; Cheng, A.Y.; Ni, X.B. The spatiotemporal evolution process and evaluation of land desertification types in Guizhou. J. Geogr. 2009, 64, 609–618. [Google Scholar]
Figure 1. Location map of the study areas.
Figure 1. Location map of the study areas.
Land 13 00410 g001
Figure 2. Data processing.
Figure 2. Data processing.
Land 13 00410 g002
Figure 3. The 2010–2022 RSEI distribution map.
Figure 3. The 2010–2022 RSEI distribution map.
Land 13 00410 g003
Figure 4. The transition matrix of different RSEI grades from 2010 to 2022. (a) Libo–Huanjiang. (b) Shibing.
Figure 4. The transition matrix of different RSEI grades from 2010 to 2022. (a) Libo–Huanjiang. (b) Shibing.
Land 13 00410 g004
Figure 5. The 2010–2020 RSEI detection change.
Figure 5. The 2010–2020 RSEI detection change.
Land 13 00410 g005
Figure 6. Scatter plot distribution.
Figure 6. Scatter plot distribution.
Land 13 00410 g006
Figure 7. LISA Cluster Diagram.
Figure 7. LISA Cluster Diagram.
Land 13 00410 g007
Figure 8. The 2010–2022 RSEI interaction detector.
Figure 8. The 2010–2022 RSEI interaction detector.
Land 13 00410 g008
Figure 9. The 2010–2022 spatial rocky distribution of desertification in the study area.
Figure 9. The 2010–2022 spatial rocky distribution of desertification in the study area.
Land 13 00410 g009
Figure 10. The proportion of RSEI under different grades of rocky desertification.
Figure 10. The proportion of RSEI under different grades of rocky desertification.
Land 13 00410 g010
Table 1. Research dataset.
Table 1. Research dataset.
DataDatasetObtaining Method
Landsat-5 TM
Landsat-8 OLI
LT05_L1TP_126041_20101101_20200823_02_T1
LT05_L1TP_126042_20101101_20200823_02_T1
LT05_L1TP_126043_20101101_20200823_02_T1
LC08_L1TP_126043_20151014_20200908_02_T1
LC08_L1TP_126041_20160829_20200906_02_T1
LC08_L1TP_126043_20160829_20200906_02_T1
LC09_L1TP_126041_20220907_20230330_02_T1
LC08_L1TP_126043_20221017_20221031_02_T1
USGS official website
(https://earthexplorer.usgs.gov/)
Accessed on 1 August 2023.
ASTER GDEM
digital elevation data
ASTGTM_N25E107
ASTGTM_N25E108
ASTGTM_N26E107
ASTGTM_N26E108
ASTGTM_N27E107
ASTGTM_N27E108
Geospatial data cloud
(http://www.gscloud.cn/)
Accessed on 1 August 2023.
Annual average temperature National Earth System Science Data Center, National Science & Technology Infrastructure of China
(http://www.geodata.cn)
Accessed on 1 August 2023.
Annual average precipitation National Qinghai Tibet Plateau Scientific Data Center
(https://data.tpdc.ac.cn/)
Accessed on 1 August 2023.
Table 2. Pure carbonate rock karst area rocky desertification strength grading standards (Libo-Huanjiang).
Table 2. Pure carbonate rock karst area rocky desertification strength grading standards (Libo-Huanjiang).
Strength GradeFVC/%Fr/%ClassificationScore Division(X)
No rocky desertificationFVC > 70Fr ≤ 401X ≤ 2
Potential rocky desertification50 < FVC ≤ 7060 ≥ Fr > 4032 < X ≤ 4
Mild rocky desertification35 < FVC ≤ 5070 ≥ Fr > 6054 < X ≤ 6
Moderate rocky desertification20 < FVC ≤ 3580 ≥ Fr > 7076 < X ≤ 8
Intensive rocky desertification10 < FVC ≤ 2090 ≥ Fr > 8098 < X ≤ 10
Extreme-intensity rocky desertificationFVC ≤ 10Fr > 9011X > 10
Table 3. Pure carbonate rock karst area rocky desertification strength grading standards (Shibing).
Table 3. Pure carbonate rock karst area rocky desertification strength grading standards (Shibing).
Strength GradeFVC/%Fr/%ClassificationScore Division(X)
No rocky desertificationFVC > 70Fr ≤ 401X ≤ 2
Potential rocky desertification50 < FVC ≤ 7060 ≥ Fr > 4032 < X ≤ 4
Mild rocky desertification35 < FVC ≤ 5070 ≥ Fr > 6054 < X ≤ 6
Moderate rocky desertification20 < FVC ≤ 3580 ≥ Fr > 707X > 6
Table 4. Remote sensing ecological indicators and RSEI mean statistics.
Table 4. Remote sensing ecological indicators and RSEI mean statistics.
Research AreaYearsRSEIPoorFairModerateGoodExcellent
Libo–Huanjiang20100.600.08%5.68%33.47%57.72%0.03%
20160.672.43%4.21%14.39%62.49%16.48%
20220.647.50%6.23%16.86%45.31%24.10%
Shibing20100.606.69%13.74%32.13%39.25%8.19%
20160.743.50%4.91%14.99%53.67%22.93%
20220.700.31%3.19%11.40%73.94%11.16%
Table 5. Values of driving forces p and q for ecological environment quality.
Table 5. Values of driving forces p and q for ecological environment quality.
Research AreaYearFactorsExternal FactorsModel Factor
TEMPREDEMSLOPENDVIWETNDBSILST
Libo–Huanjiang2010q0.0059030.0409690.0080480.0855960.2396070.5627330.7503880.416034
p00000000
2016q0.0123580.0397080.0278240.1017380.7533270.4997220.7437080.265586
p00000000
2022q0.0090110.0577090.0072730.0541210.4978570.8322210.8680140.396261
p00000000
Shibing2010q0.0388620.0314320.019330.1076530.6843590.773020.7940750.684359
p00000000
2016q0.073010.0207490.0219210.0558170.6809650.7738820.8683980.455122
p00000000
2020q0.0623380.0280660.0629910.031440.5356420.4452680.6615940.425104
p00000000
Table 6. The 2010–2022 changes in rocky desertification area.
Table 6. The 2010–2022 changes in rocky desertification area.
Research AreaYearsNon-KarstNo Rocky DesertificationPotential Rocky DesertificationMild Rocky DesertificationModerate Rocky DesertificationIntensive Rocky DesertificationExtreme Intensity Rocky Desertification
Libo–Huanjiang20104.63%68.47%16.79%4.91%2.27%1.24%1.69%
20164.63%86.39%4.70%1.53%0.89%0.71%1.15%
20224.63%83.60%6.45%1.79%1.17%0.91%1.45%
Shibing201011.27%55.97%16.91%7.43%8.43%
201611.27%72.61%7.93%5.36%2.83%
202211.27%73.00%5.99%5.12%4.62%
Disclaimer/Publisher’s Note: The statements, opinions and data contained in all publications are solely those of the individual author(s) and contributor(s) and not of MDPI and/or the editor(s). MDPI and/or the editor(s) disclaim responsibility for any injury to people or property resulting from any ideas, methods, instructions or products referred to in the content.

Share and Cite

MDPI and ACS Style

Jin, A.; Xiong, K.; Hu, J.; Lan, A.; Zhang, S. Remote Sensing Ecological Quality and Its Response to the Rocky Desertification in the World Heritage Karst Sites. Land 2024, 13, 410. https://doi.org/10.3390/land13040410

AMA Style

Jin A, Xiong K, Hu J, Lan A, Zhang S. Remote Sensing Ecological Quality and Its Response to the Rocky Desertification in the World Heritage Karst Sites. Land. 2024; 13(4):410. https://doi.org/10.3390/land13040410

Chicago/Turabian Style

Jin, Ao, Kangning Xiong, Juan Hu, Anjun Lan, and Shirong Zhang. 2024. "Remote Sensing Ecological Quality and Its Response to the Rocky Desertification in the World Heritage Karst Sites" Land 13, no. 4: 410. https://doi.org/10.3390/land13040410

APA Style

Jin, A., Xiong, K., Hu, J., Lan, A., & Zhang, S. (2024). Remote Sensing Ecological Quality and Its Response to the Rocky Desertification in the World Heritage Karst Sites. Land, 13(4), 410. https://doi.org/10.3390/land13040410

Note that from the first issue of 2016, this journal uses article numbers instead of page numbers. See further details here.

Article Metrics

Back to TopTop