Abstract
Chongqing is a large municipality in southwestern China, having the characteristics of a vast jurisdiction, complex topography, and a prominent dual urban–rural structure. It is vitally important to optimize the spatial layout of land and efficiency of natural resource allocation, achieve sustainable development, and conduct influence assessment and causation analysis in this region. Here, using the Google Earth Engine platform, we selected Landsat remote-sensing (RS) images from the period 2000–2020 and constructed a remote-sensing ecological index (RSEI) model. Considering the urban spatial pattern division in Chongqing, the Sen + Mann–Kendall analytical approach was employed to assess the fluctuating quality of the ecological environment in different sectors of Chongqing. Subsequently, single-factor and interaction detectors in the Geodetector software tool were used to conduct causation analysis on the RSEI, with the use of eight elements: elevation, slope, aspect, precipitation, temperature, population, land use, and nighttime lighting. Findings indicate that, over the course of the investigation period, the eco-quality in Chongqing displayed a pattern of degradation, succeeded by amelioration. The RSEI decreased from 0.700 in 2000 to 0.590 in 2007, and then gradually recovered to 0.716 in 2018. Overall, the eco-environment quality of Chongqing improved. Spatially, changes in the RSEI were consistent with the planning and positioning of the urban spatial pattern. The main new urban area and periphery of the central urban area showed a slight deterioration, while other regions showed marked improvement. The combined effect of any two elements enhanced the explanatory power of a single factor, with elevation, temperature, and land use being the strongest explanatory elements of eco-quality in Chongqing. The most influential factor explaining the spatial variation of the RSEI was determined to be the combined impact of elevation and land use. At the temporal scale, elements related to human activities showed the most evident trend in explanatory power.
1. Introduction
With the rapid advancement in economic and social development, the influence of human activities on eco-environment change has become increasingly evident [1]. In this context, coordinating economic and social development with ecological protection and optimization of the spatial layout of land is vitally important [2]. Optimally dividing the urban spatial pattern and constructing different development strategies based on the relative resource endowments of different regions is an important strategy for coordinating urban–rural development and resolving internal contradictions within natural ecosystems [3]. The evaluation of eco-environment quality is a crucial process in coordinating harmonious development between humans and nature. Therefore, it is essential to use appropriate methods to assess the influence of urban clusters and their surrounding natural spaces, explore key elements influencing influence change, and verify the compatibility of the chosen method with urban spatial patterns [4].
Chongqing, a large municipality in southwestern China, possesses a vast administrative jurisdiction, diverse topography, and a distinct dual urban–rural structure [5]. It is the most populous and largest directly controlled municipality in China, exhibiting marked differences in natural conditions, resource endowments, and development potential among its different regions, and between its urban and rural areas [6]. In response to this, in 2014, Chongqing proposed the “one zone, two groups” urban spatial pattern, considering the differences in natural conditions, urban distribution patterns, and development situations in various areas across the municipality. This determined the development priorities of each region and put forward new requirements for nature conservation [7]. Currently, numerous researchers have conducted assessments of eco-environment quality in the region from various perspectives. For instance, Zhang et al. (2023) focused on the upper reaches of the Yangtze River and explored the relationship between natural conditions and ecological environmental patterns in that area [8]. Kang et al. (2023) centered on the Chengdu–Chongqing urban agglomeration and conducted a preliminary evaluation of the eco-environment quality in that region [9]. Wang et al. (2023), focusing on Chongqing Municipality, conducted a preliminary exploration of the factors influencing the spatial patterns of the eco-environment in the area from 2011 to 2021 [10]. However, there is currently a lack of research on eco-environment quality from the perspective of urban spatial patterns, and the significant differences in natural conditions and development status among various regions of Chongqing Municipality have not been adequately addressed in previous studies. Thus, targeted studies in this regard are urgently needed.
Remote sensing (RS), owing to its macroscopic, multi-spectral, and multi-temporal characteristics, is extensively employed in monitoring ecological conditions [11]. However, traditional influence assessment methods often rely on a single evaluation index, making it challenging to reveal systematic changes in the eco-environment and compare the effects of various influencing elements [12]. Despite the current lack of an influence assessment system for urban spatial patterns, the remote-sensing ecological index (RSEI) has been widely applied in comprehensive regional influence assessments [13,14,15]. The RSEI, by coupling four evaluation elements—normalized difference vegetation index (NDVI), wetness (WET), land surface temperature (LST), and normalized difference built-up index (NDBI)—avoids the problems associated with single-index evaluations and allows for visualization. Owing to its various advantages, the RSEI has been widely applied in regions including urban [16], wetlands [17], and arid region [18], and its reliability has been validated. It thus holds the potential for application in eco-environment quality assessments tailored to urban spatial patterns.
Because the eco-environment is in constant dynamic change, conducting long-term eco-environment monitoring and exploring its influencing elements are crucial for adjusting regional development strategies, mitigating climate change, and achieving sustainable development. The Google Earth Engine (GEE) platform provides convenient access to a large amount of publicly available resources and can handle massive geospatial datasets, making it suitable for large-scale, long-term monitoring. Previous studies have demonstrated the notable advantages of the GEE platform in eco-environment assessment and natural disaster change detection [19]. Therefore, scholars have increasingly combined the GEE platform with the RSEI, conducting research in small regions [20], urban clusters [21], and river basins [22], achieving promising results. In existing studies, researchers have generally incorporated the Geodetector software tool proposed by Wang et al. (2017) [23], using common elements in natural conditions and human activities to explain the detection results, although such analysis mainly focused on spatial patterns and the temporal resolution was relatively low. This is because the cases in which the RSEI was applied in existing research were mostly specific terrain or administrative areas, where spatial differences were not prominent, making the exploration of changes in the driving forces of different elements less meaningful [24,25,26]. This contributes to the limited number of application cases with high temporal resolution for the Geodetector tool.
This study is based on the complex urban spatial pattern of Chongqing, and aims to conduct a long time-series assessment of eco-environment change. It utilizes multiple elements from different perspectives to carry out Geodetector factor detection on an annual basis. This approach not only explores the eco-environment quality under different urban patterns but also, based on the advantage of high temporal resolution, introduces the Sen + Mann–Kendall and linear regression methods to fit the trends of driving elements. Therefore, this study aims to address some of the limitations of traditional RSEI applications by providing an example of a long-term sequential analysis of potential influencing factors on the eco-environment. It also seeks to explore the response of Chongqing Municipality’s eco-environment to the “one zone, two groups” policy orientation, verify the effectiveness of current policies, and lay the groundwork for future ecological protection efforts in Chongqing Municipality.
2. Material and Methods
2.1. Study Area
Chongqing Municipality (28°10′–32°13′ N, 105°11′–110°11′ E) is positioned in southwestern China, on the upper reaches of the Yangtze River, within the transitional area between the Qinghai–Tibet Plateau and the middle–lower reaches plain of the Yangtze River. This region falls within the subtropical monsoon humid climate zone, characterized by a minor annual temperature fluctuation and ample rainfall. The average temperature is relatively mild throughout the year. The topography of Chongqing Municipality is predominantly hilly–mountainous, with lower elevations in the southwestern and central areas. In contrast, the eastern part of the municipality includes the Wuling and Daba Mountains, with the overall terrain height gradually decreasing from north to south along the Yangtze River valley (Figure 1). The geological structure is relatively complex and features extensive karst landscapes.
Figure 1.
Geographical conditions and urban spatial pattern of Chongqing Municipality.
The primary types of vegetation include evergreen needleleaf forests, evergreen broadleaf forests, and deciduous broadleaf forests, with an overall vegetation coverage rate of 55.04%. The administrative jurisdiction of Chongqing Municipality covers a total area of 82,402.95 km2. The urban spatial pattern is divided into the main city metropolitan area, Three Gorges Reservoir town group in northeast Chongqing, and Wuling Mountains town group in southeast Chongqing. The main city metropolitan area comprises the central urban area and new district of the main city. At the end of 2022, the permanent population was 32.13 million, with an urbanization rate of 70.96%, and a gross domestic product of CNY 2912.903 billion.
2.2. Data
The RS data utilized were sourced from Landsat images within the GEE platform database. Specifically, Landsat 5 TM images were used for the period 2000–2012, while Landsat 8 OLI images were employed for the period 2013–2020. Both datasets belong to the T1 level. These data underwent radiometric calibration, geometric correction, and atmospheric correction processes to ensure their reliability and accuracy. Considering the growth of vegetation and the weather characteristics of frequent cloud cover and fog in the study area, we focused on data from the months of June to September. To minimize the influence of atmospheric elements on the images, a thorough data quality screening process was implemented. Additionally, image mosaicking, resampling, cropping, and filling of invalid pixels were carried out to enhance the overall quality and suitability of the data for the subsequent analysis of eco-environment changes in Chongqing.
Population density data were sourced from the LandScan Global dataset (https://landscan.ornl.gov/ (accessed on 22 July 2023)) released by the Oak Ridge National Laboratory, a dataset acknowledged for its comprehensive depiction of global population distribution [27,28]. Land-use data were derived from the China Annual Land Cover Dataset, produced by researchers at Wuhan University, led by Yang et al. (2022) [29]. Nighttime light data, comprehensively reflecting elements such as transportation routes, residential areas, and urban development, is widely considered a crucial visual data source for capturing economic activities [30]. Thus, we adopted the Defense Meteorological Satellite Program/Operational Linescan System nighttime light dataset, accessible at https://dataverse.harvard.edu/ (accessed on 24 July 2023).
Digital elevation model (DEM) data for slope calculations were obtained from the National Aeronautics and Space Administration Earth Science Data Network (https://data.nasa.gov/ (accessed on 23 July 2023)). Temperature and precipitation data were sourced from the National Tibetan Plateau Data Center (https://data.tpdc.ac.cn/ (accessed on 24 July 2023)), and included datasets for monthly precipitation and average temperature spanning the period 1901–2022 [31,32]. During the monthly data processing, we aggregated the precipitation data for the months of June to September for each study year and calculated the average temperature for the same period to derive the cumulative precipitation and average temperature data for each study year from June to September. The integration of DEM, temperature, and precipitation data allows for a comprehensive analysis of eco-environment changes in Chongqing, taking into account elements such as slope, temperature, and precipitation in the assessment model.
2.3. Remote-Sensing Ecological Index Model
Xu (2013) proposed a comprehensive RSEI. This index is based on RS information and integrates various ecological elements for regional eco-environment RS evaluation [33]. The RSEI consists of four indicators: greenness (NDVI), wetness (Wet), dryness (NDBSI), and warmth (LST). The weights of these indicators are determined by their relative contributions in principal component analysis (PCA). For the calculation methods of each ecological index, please refer to Table 1.
Table 1.
Calculation methods for ecological indicators.
After obtaining the four standardized ecological indices for each year, we utilized PCA to transform these variables, yielding the first principal component (PCA1). The initial values of the RSEI can be expressed by the difference between PCA1 and 1, namely:
To ensure accurate analysis of the RSEI across different time periods, we standardized the initial RSEI:
where the final RSEI has a value ranging from 0 to 1. A greater value signifies a more positive impact. RSEImax signifies the highest achievable value of the influence index, whereas RSEImin denotes the lowest attainable value.
2.4. Geodetector
Geodetector, available at http://www.geodetector.cn/ (accessed on 23 July 2023), serves as an analytical software tool employed to identify the spatial heterogeneity of a dependent variable and unveil the contributing elements influencing it [23]. According to our research requirements, we utilized both the single-factor detector and interaction detector within Geodetector for analysis herein. The single-factor detector was employed to examine the spatial differentiation explanatory power of each influencing factor on the RSEI. This explanatory power is measured by a variable, denoted as q, with values ranging from 0 to 1. A greater q value represents a stronger explanatory power of the influencing element on the spatial differentiation characteristics of the RSEI. The expression is as follows:
where L represents the number of layers for the independent variable xi, Nh represents the sample size within N layers and in the region, and σ2 and represent the population variances. The model is valid when σ2 ≠ 0. The interaction detector was used to assess the interaction among different elements (xi) to evaluate the influence on the explanatory power of variables when driven by multiple elements. Assuming q(x1) and q(x2) represent the explanatory powers of elements x1 and x2 on the spatial differentiation characteristics of the RSEI, q(x1∩x2) represents the explanatory power after the interaction between these elements. There are five different influence patterns, as detailed in Table 2.
Table 2.
Interaction types.
2.5. Sen + Mann–Kendall Trend Analysis
The Theil–Sen median method is a non-parametric statistical approach for trend calculation [37,38,39]. Its formula is:
where xj and xi represent time-series data. A positive β value represents an ascending trend in the time series, whereas a negative value signifies a descending trend.
Similarly, the Mann–Kendall method is also a non-parametric test that does not require distribution assumptions for sample data, thereby reducing the influence of outliers on the results [40,41,42]. The Mann–Kendall method sets a test statistic, S, which is calculated as follows:
where, when θ > 0, sgn(θ) = 1; when θ < 0, sgn(θ) = −1; and when θ = 0, sgn(θ) = 0. Based on this, we can construct the variance, Var(S), of S, which is formulated as follows:
where n represents the number of dots, m is the number of groups with the same value samples, and ti denotes the number of ties in range i. If n > 10, the slope can be represented by Z, calculated as follows:
The Sen + Mann–Kendall trend analysis method merges the Theil–Sen median method and the Mann–Kendall method. It utilizes the parameter β from the Theil–Sen median method to determine the direction of the trend and the Z value from the Mann–Kendall method to assess the significance of the trend. For a significance level, α, of 0.05, the critical Z value is 1.96. On the basis of this value, trends are categorized as follows: if |Z| > 1.96 and β > 0.0005, a significant improvement is indicated; if |Z| < 1.96 and β > 0.0005, a slight improvement is indicated; if |Z| > 1.96 and β < −0.0005, a significant degradation is indicated; if |Z| < 1.96 and β < −0.0005, a slight degradation is indicated; and if −0.0005 ≤ β ≤ 0.0005, there is no significant change. These classifications were used to categorize the trends in RSEI values over multiple years.
3. Results
3.1. Eco-Environment Quality and Changes in Chongqing
The temporal variation of the RSEI in Chongqing Municipality is illustrated in Figure 2. Eco-environment changes in Chongqing between 2000 and 2020 can be divided into two phases, with 2007 as the boundary year. From 2000 to 2007, the RSEI exhibited a fluctuating descendant trend, gradually decreasing from 0.7005 in 2000 to 0.5904 in 2007. The linear fit goodness was 0.5576, indicating a distinct deteriorating trend in the eco-environment of Chongqing during this period. From 2007 to 2020, the RSEI exhibited a fluctuating upward trend, reaching 0.7163 in 2018. The linear fit goodness was 0.6091, suggesting a gradual improvement in the eco-environment during this phase. Therefore, during the study period, the eco-environment quality in Chongqing showed a V-shaped trend of deterioration followed by improvement. Overall, from 2000 to 2020, there was a slight improvement in the eco-environment quality in Chongqing.
Figure 2.
Trend of remote-sensing ecological index (RSEI) change in Chongqing Municipality between 2000 and 2020.
The spatial distribution pattern of the RSEI in Chongqing Municipality is illustrated in Figure 3, where it can be seen that the eco-quality exhibited substantial spatial heterogeneity. From 2000 to 2020, the spatial distribution of the RSEI in Chongqing was generally consistent. The areas with lower RSEI values are depicted in brown on the map, showing a pattern of “one block, multiple points”. Specifically, the low-value areas consist of a larger block of low-value area in the southwest part of the map and scattered point-like low-value areas distributed across the entire map. The block-shaped distribution area is located within the central urban area of Chongqing, and its shape closely resembles that of the built-up area in the central urban area of Chongqing. The point-shaped low-value areas are mainly situated around the central urban area within the main urban districts of Chongqing, or scattered in the valley areas. These point-shaped low-value areas correspond to the county-level cities within Chongqing, as their built-up areas are much smaller than that of the central urban area, resulting in a point-like appearance on the map. Their RSEI values are <0.5, indicating that the RSEI values in urban built-up areas are lower than those in non-built-up areas. High-value areas can be mainly divided into two parts: the Daba Mountains in the northeast and Wuling Mountains in the southeast, corresponding to the urban spatial pattern of Chongqing. In these areas, the RSEI values are generally >0.75, indicating a better eco-environment. In the high-value RSEI areas, the distribution trend of the RSEI reflects the parallel distribution of ridges and valleys in the Chongqing region, indicating a potential relationship between the RSEI and altitude.
Figure 3.
Spatial distribution patterns of the remote-sensing ecological index (RSEI) in Chongqing Municipality in (a) 2000, (b) 2007, (c) 2014, and (d) 2020.
To visually illustrate the spatial changes in influence in Chongqing Municipality during the study period, we employed the Sen + Mann–Kendall analysis method to examine the spatial variation of the RSEI. The results were categorized, and the proportions of each change category were calculated, as depicted in Figure 4. This revealed that >70% of the regions in Chongqing witnessed an improvement in their eco-environment during the study period. Specifically, 28.27% were classified as significantly improved and 43.59% as slightly improved. In contrast, only 18.55% of the regions exhibited slight deterioration, with no areas meeting the criteria for significant deterioration, aligning with our earlier overall assessment. Upon analyzing the spatial distribution, areas experiencing deterioration were primarily concentrated in the central urban area and the outskirts of the central city. Meanwhile, the core area of the central city, urban clusters in the Three Gorges Reservoir area of northeast Chongqing, and urban clusters in the Wuling Mountains area of southeast Chongqing exhibited a trend of improvement.
Figure 4.
Spatial pattern of changes in the remote-sensing ecological index in Chongqing Municipality between 2000 and 2020.
Following the accepted methodology of related studies, we classified the RSEI values into five levels: poor, fair, moderate, good, and excellent, using an equal interval approach. Considering the overall temporal variation in the RSEI, we selected four specific years, namely 2000, 2007, 2014, and 2020, as key points to reclassify and statistically analyze the RSEI results. As depicted in Figure 5, the results represent a dynamic transformation in RSEI levels across Chongqing, with approximately 67.08% of regions experiencing changes in classification during the study period. Notably, transitions between good and moderate levels stand out. The predominant transformation pattern involves a shift from a good level to moderate level at a certain point, followed by a return to a good level. This particular transition path covers approximately 36.97% of the study area, markedly influencing the variation in influence levels across Chongqing. This pattern aligns with the observed V-shaped temporal trend in the RSEI.
Figure 5.
Changes in remote-sensing ecological index levels in Chongqing Municipality between 2000 and 2020.
3.2. Detection Results Based on Geodetectors
According to our research requirements, we selected eight elements to investigate the main elements influencing the eco-environment in Chongqing. These elements included elevation, slope, aspect, precipitation, temperature, population, land use, and nighttime light. To align with the sampling period of RSEI, the data for precipitation and slope were collected from June to September each year. These elements exhibit significant differences and spatial heterogeneity in their distribution across Chongqing, as illustrated in Figure 6, depicting their overall spatial distribution patterns. To conduct factor detection, a 5 × 5 km grid was created, and factor attribute values corresponding to spatially relevant points were extracted. These spatially relevant points are evenly distributed across the study area, representing the geographical conditions of different regions in Chongqing. Single-factor detectors and interaction detectors were employed to study the influence of these selected elements on the RSEI-based eco-environment changes in Chongqing and their interactions.
Figure 6.
The spatial distribution of selected elements in Chongqing City. (a–c) represent the elevation, slope, and aspect of the study area. (d) represents the mean cumulative precipitation from June to September for each year from 2000 to 2020. (e) represents the average temperature from June to September for each year from 2000 to 2020. (f,h) represent population and nighttime light data for the study area, respectively, shown as the average values from 2000 to 2020. (g) represents land use data, with the example shown for the year 2020.
Using a single-factor Geodetector to detect selected years, the average interpretability and significance of each factor’s separate effects on the RSEI and their variations were analyzed, as shown in Table 3. All elements passed the significance test at the 0.05 level. The ranking of interpretability for each factor was elevation > temperature > land use > nighttime light > population > slope > precipitation > aspect. The interpretability of single-factor detection for each study year was plotted over the study period to show its variation (Figure 7), wherein nighttime light, land use, and population elements exhibited a noticeable increasing trend in interpretability; when fitted with linear regression, their goodness of fit values were 0.6539, 0.6141, and 0.5470, respectively. Other elements did not show a clear trend in interpretability for the RSEI. Additionally, it is noteworthy that the interpretability of the precipitation factor showed considerable interannual variation, which may be related to the distinct differences in annual precipitation distribution across the region.
Table 3.
Single-factor detection significance.

Figure 7.
Changes in the explanatory power of various elements on the remote-sensing ecological index between 2000 and 2020. (a) Elevation; (b) Slope; (c) Aspect; (d) Precipitation; (e) Temperature; (f) Population; (g) Land use; (h) Nighttime light.
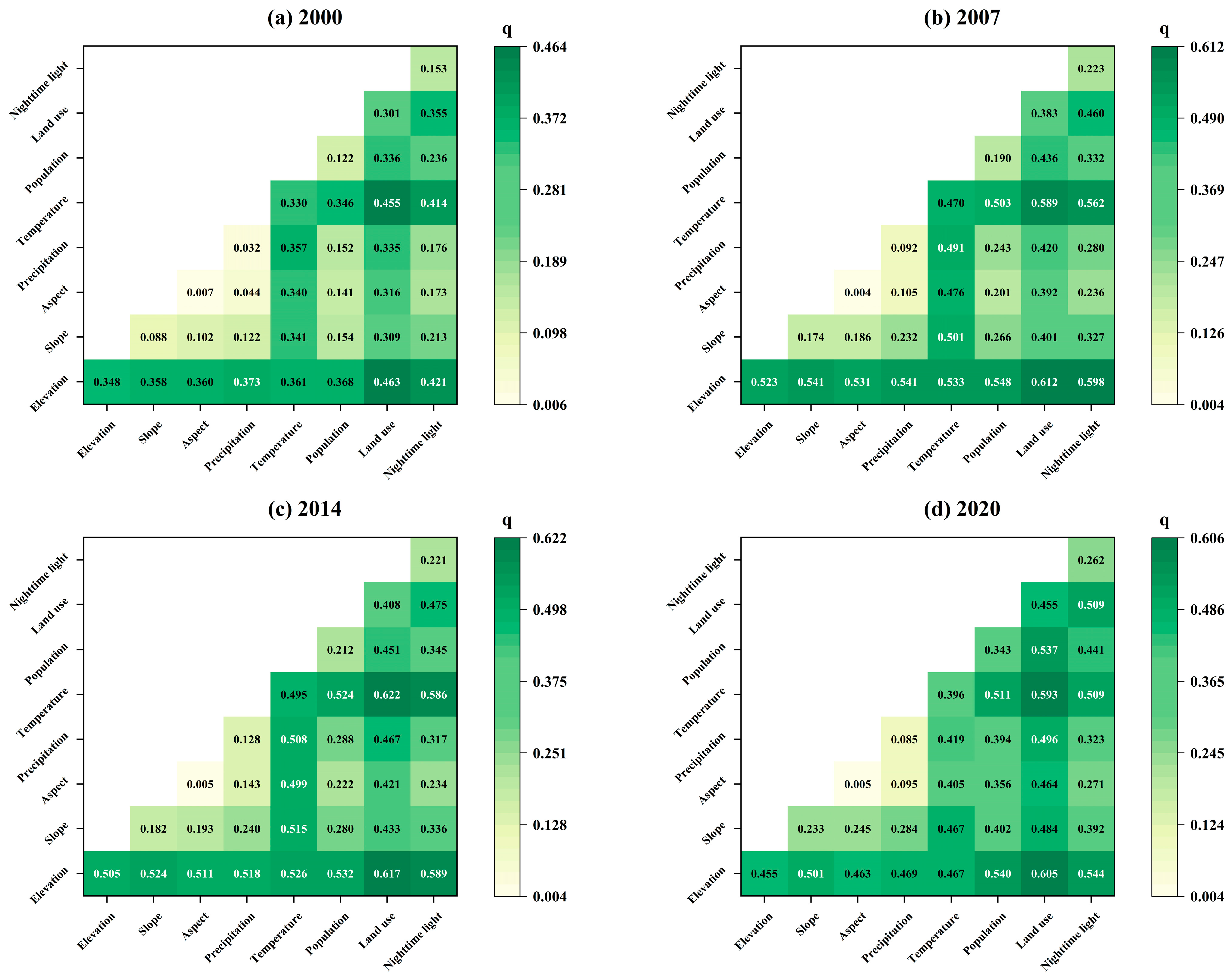
Using the interaction detector to explore the interactions between different elements and the RSEI, representative years (2000, 2007, 2014, and 2020) were again chosen to construct interaction power heatmaps for pairwise coupling effects (Figure 8). The coupling effect between the elevation and land-use elements exhibited the strongest interpretability for the spatial distribution of the RSEI, reaching 0.463, 0.612, 0.617, and 0.605 for the four respective years. Additionally, the coupling effects between elevation and nighttime light, elevation and temperature, and temperature and nighttime light also showed relatively strong explanatory power. In terms of coupling mechanisms, all interaction types were enhancing effects, with the majority (74.11%) being double-factor enhancement patterns and the rest (25.89%) being nonlinear enhancement patterns.
Figure 8.
Interactive detector explanatory heat maps for (a) 2000, (b) 2007, (c) 2014, and (d) 2020.
4. Discussion
Our trend analysis of the RSEI revealed two phases of influence change in Chongqing Municipality over the past 20 years, with 2007 as the turning point. Before 2007, Chongqing experienced a relatively deteriorating trend in influence, associated with rapid industrial development and urbanization at that time. With the increasing frequency of human activity and irrational land-use practices, vegetation coverage in the region decreased, leading to soil erosion and negative influences on the eco-environment [43,44]. After 2007, the eco-quality in Chongqing gradually improved, possibly owing to the gradual manifestation of the ecological benefits of the Grain for Green project. China initiated the nationwide Grain for Green project in 2002; previous studies have shown that there have been significant positive effects from this project on the eco-environment in western China, with a certain temporal lag effect [45,46,47]. Given the unique topography, landforms, and climatic conditions in Chongqing, afforestation is the primary form of land conversion, with such areas exceeding 25,000 hectares; this is a major type of land conversion with substantial economic benefits [48]. In studies focused on the Chengdu–Chongqing region, the dominant role of the NDVI in the improvement of urban cluster environments has been recognized [49]. Therefore, the continuous improvement of vegetation coverage may be a key factor in reversing the deteriorating trend and gradually improving the eco-environment quality in Chongqing Municipality.
Our Sen + Mann–Kendall analysis has demonstrated the spatial heterogeneity of eco-environment changes in Chongqing Municipality. It is evident that there is considerable spatial heterogeneity in the eco-environment in Chongqing. Areas exhibiting a deteriorating trend are concentrated in the southwest of Chongqing, characterized by relatively flat terrain and a comparatively dense population. In contrast, most areas in the northeast and southeast of Chongqing, which have complex terrain and small populations, exhibit an improving trend. Because the areas displaying a declining trend in southwestern Chongqing constitute a minor proportion of the entire municipality, the overall eco-environment quality in Chongqing exhibits an improving trend. Combined with the “one zone, two groups” urban spatial pattern in Chongqing, further analysis reveals that areas with deteriorating ecological conditions are concentrated on the outskirts of the main new urban area and central urban area. These areas are designated as the main focal point for the aggregation of advanced manufacturing and industrial urbanization, serving as the primary areas for expansion and construction of the central urban area and the main sites for population transfer. During the rapid development of the past 20 years, these areas have been rapidly urbanized, with the transformation of extensive forest and arable land into impervious surfaces (Figure 9); this is the main reason for the relatively deteriorating eco-environment in these regions. In this regard, Ren et al. (2021) incorporated point-of-interest data to analyze the relevant indicators of the RSEI in the main urban district of Chongqing, corroborating the results obtained herein [50]. However, the eco-quality of the old urban district of Chongqing, also part of the main urban area, has shown a marked trend of improvement. This is intricately linked to the ecological restoration activities carried out in the core area of Chongqing over the last few years. Overall, the results of our Sen + Mann–Kendall analysis are highly consistent with the policy guidance of the “one zone, two groups” urban spatial pattern in Chongqing Municipality.
Figure 9.
Land-use changes in metropolitan areas of Chongqing from 2000 to 2020.
The application results of the Geodetector tool indicate that, at the spatial scale, elevation, temperature, and land use are the main driving elements influencing the eco-environment in Chongqing Municipality. The explanatory power of other elements is relatively low, which aligns with conclusions reached in other studies carried out in the region [9]. Owing to the complex terrain of Chongqing and the considerable influence of elevation and temperature on vegetation growth in the region [51], complex topography affects land use, and high-altitude areas are often unsuitable for human activities owing to topographical constraints. As a result, vegetation is well preserved in these areas, contributing to better eco-environment quality. In terms of temporal changes, elements closely related to human activities, such as nighttime light, land use, and population distribution, show an increasing explanatory power for the RSEI over recent years, while the explanatory power of other natural elements does not exhibit a clear trend. Considering the development status of Chongqing Municipality during our study period, we suggest that, compared with natural elements (e.g., climate and topography). Human activities can produce more pronounced trends over a relatively short period, and further analysis suggests that human activities emerge as the predominant factor influencing the changes in RSEI over the timescale examined in this study. Compared with elements such as climate/precipitation, the intensity of human activities can undergo substantial changes over a short period. Incorporating the results of Sen + Mann–Kendall analysis, it is evident that the regions where the RSEI shows a deteriorating trend are precisely the regions with intense human activities in the “one zone, two groups” spatial pattern, while the regions showing improvement align with areas covered by the Grain for Green project. This indicates that government policies can have a marked influence on human activities and can change the eco-quality of a region over a relatively short time frame.
The above results and discussion demonstrate the effectiveness of policymaking. Therefore, we suggest that policymakers continue to promote the development adjustment of ecological functional areas according to the established route. Furthermore, given the decline in the surrounding eco-environment of the central urban area and the main new urban area, we advise policymakers to carry out more comprehensive local environmental assessments prior to initiating urbanization development in order to mitigate the serious harm that intense urban development causes to the local eco-environment. Compared with the similar methodological studies conducted by Kang et al. (2023) and Wang et al. (2023) in the region, this study provides a new perspective on the urban spatial pattern for the application of RSEI [9,10]. In contrast to the element detection conducted by Zhang et al. (2023) and Wang et al. (2023), this study not only offers mean detection results but also provides element influence detection results under time series, which effectively supplements previous research [8,10]. However, this study only conducted the overall detection of driving factors in the study area using Geodetector, without fully considering the complex geographical conditions and spatial heterogeneity within the research area. Therefore, in future research, it could be beneficial to integrate the urban spatial pattern of Chongqing’s “one zone, two groups” policy and conduct long-term element detection on various sub-regions, with full consideration of the differences in conditions across Chongqing to compare the differential effects of influencing elements under different conditions. This will provide more specific recommendations for tailored ecological protection measures.
5. Conclusions
In this study, we employed Landsat RS imagery to construct an RSEI model. Simultaneously, we utilized the Sen + Mann–Kendall analysis method to summarize the spatial distribution and trend changes of the RSEI in Chongqing Municipality. Additionally, we applied single-factor and interaction detectors within the Geodetector tool to analyze the impact of various detection elements on the eco-environment in Chongqing. This study yielded the following conclusions:
- (1)
- On the basis of RS data from 2000 to 2020 in Chongqing Municipality, we revealed a changing trend in the eco-environment quality, characterized by deterioration followed by recovery. Before 2007, the eco-environment quality in Chongqing deteriorated, while, after 2007, it gradually improved. Overall, the eco-quality in Chongqing is now trending positively. In terms of spatial distribution, the changes in the eco-quality in Chongqing align with the overall development pattern of the “one zone, two groups” spatial pattern, exhibiting marked spatial heterogeneity. The eco-environment in the peripheral areas of the main new urban area and central urban area has deteriorated to some extent, while the eco-environment in the old urban district of Chongqing and other areas where ecological conservation and protection has been prioritized has significantly improved.
- (2)
- The application of the Geodetector tool revealed that, at the spatial scale, elevation, temperature, and land use are the main explanatory elements influencing the eco-environment in Chongqing. They play a fundamental role in shaping the spatial pattern of the RSEI. Interaction detector results show that the combined effects of various influencing elements enhance the impact of a single element, with the combined influence of elevation and land use exhibiting a strong explanatory interpretability for the RSEI. On the temporal scale, compared with natural elements, elements related to human activities show a more pronounced trend in explanatory power changes. Influenced by local government policy preferences, economic development, and elements like the Grain for Green project, human activities dominate the temporal changes in the RSEI in Chongqing.
Author Contributions
Conceptualization, Y.L., T.Z. and W.Y.; methodology, Y.L.; software, Y.L.; validation, T.Z. and W.Y.; formal analysis, Y.L.; Writing—original draft, Y.L.; writing—review & editing, T.Z. and W.Y.; visualization, Y.L.; supervision, T.Z. and W.Y.; funding acquisition, Y.L and W.Y. All authors have read and agreed to the published version of the manuscript.
Funding
This work was supported by Sichuan Science and Technology Program (2023NSFSC1916), the National Natural Science Foundation of China (42371333), National Key Research and Development Program (2022YFB3903503), and Chongqing Municipal Training Program of Innovation and Entrepreneurship for Undergraduates (S202310635097).
Data Availability Statement
Data are contained within the article.
Acknowledgments
The authors are grateful for the financial support provided by Sichuan Science and Technology Program (2023NSFSC1916), the National Natural Science Foundation of China (42371333), National Key Research and Development Program (2022YFB3903503), and project S202310635097 supported by Chongqing Municipal Training Program of Innovation and Entrepreneurship for Undergraduates. Thank you for the support from the School of Geographical Sciences, Southwest University. Thank all anonymous reviewers and editors for their comments and help.
Conflicts of Interest
The authors declare no conflicts of interest.
References
- Li, H.; Jing, H.T.; Yan, G.D.; Guo, H.C.; Luan, W.F. Long-Term Ecological Environment Quality Evaluation and Its Driving Mechanism in Luoyang City. Sustainability 2023, 15, 11866. [Google Scholar] [CrossRef]
- Zhong, Q.; Li, Z.; He, Y. Coupling Evaluation and Spatial-Temporal Evolution of Land Ecosystem Services and Economic-Social Development in a City Group: The Case Study of the Chengdu-Chongqing City Group. Int. J. Environ. Res. Public Health 2023, 20, 5095. [Google Scholar] [CrossRef] [PubMed]
- Fan, J. Scientific Basis of China’s Main Functional Zoning. Acta Geogr. Sin. 2007, 04, 339–350. (In Chinese) [Google Scholar]
- Chen, Y.; Cai, H.; Chen, Y. Spatial Correlation and Interaction Effect Intensity between Territorial Spatial Ecological Quality and New Urbanization Level in Nanchang Metropolitan Area, China. Ecol. Indic. 2023, 156, 111163. [Google Scholar] [CrossRef]
- Han, S.S.; Wang, Y. City Profile—Chongqing. Cities 2001, 18, 115–125. [Google Scholar] [CrossRef]
- Smith, N.R.Z. Urban Furnace: The Making of a Chinese City. Ph.D. Thesis, Harvard University, Cambridge, MA, USA, 2015. [Google Scholar]
- Wang, X.; Wang, S.L.; Dong, N.Y. Study on Influencing Factors and Spatial Spillover of Regional Carbon Emission Intensity under the Background of Carbon Peak—A Case Study of Chongqing. Soft Sci. 2022, 36, 97–103. (In Chinese) [Google Scholar]
- Zhang, C.Y.; Yang, S.K.; Dong, X.H.; Zhao, C.M.; Bo, H.J.; Liu, J. Research on the Spatiotemporal Evolution and Influencing Factors of Ecological Environment Quality in the Upper Reaches of the Yangtze River Based on RSEI Index. Soil Water Conserv. Res. 2023, 30, 356–363. (In Chinese) [Google Scholar]
- Kang, Y.; Cui, H. Urbanization and Ecological Environmental Coordination Analysis of Five Major Urban Agglomerations. J. Guangzhou Univ. (Nat. Sci. Ed.) 2023, 22, 49–56. (In Chinese) [Google Scholar]
- Wang, Y.X.; Xu, Y.Y.; Yang, J.J.; Chen, Y.X.; Wei, J.X.; Zhou, J.; Zhang, W.L.; Cheng, W.X. Dynamic Monitoring and Spatial-Temporal Pattern Evolution Analysis of Ecological Environment Quality in Chongqing Based on Landsat. Acta Ecol. Sin. 2023, 43, 6278–6292. (In Chinese) [Google Scholar]
- Huang, H.P.; Li, Q.Z.; Zhang, Y. A High-Resolution Remote-Sensing-Based Method for Urban Ecological Quality Evaluation. Front. Environ. Sci. 2022, 10, 765604. [Google Scholar] [CrossRef]
- Sun, C.J.; Li, X.M.; Zhang, W.Q.; Chen, W.; Wang, J.R. Ecological Security Assessment of Poverty-Stricken Areas in Lvliangshan Based on Remote Sensing Information. China Environ. Sci. 2019, 39, 5352–5360. (In Chinese) [Google Scholar]
- Cui, R.H.; Han, J.Z.; Hu, Z.Q. Assessment of Spatial Temporal Changes of Ecological Environment Quality: A Case Study in Huaibei City, China. Land 2022, 11, 944. [Google Scholar] [CrossRef]
- Gong, C.; Lyu, F.; Wang, Y. Spatiotemporal Change and Drivers of Ecosystem Quality in the Loess Plateau Based on RSEI: A Case Study of Shanxi, China. Ecol. Indic. 2023, 155, 111060. [Google Scholar] [CrossRef]
- Yao, K.X.; Halike, A.; Chen, L.M.; Wei, Q.Q. Spatiotemporal Changes of Eco-Environmental Quality Based on Remote Sensing-Based Ecological Index in the Hotan Oasis, Xinjiang. J. Arid Land 2022, 14, 262–283. [Google Scholar] [CrossRef]
- Yue, H.; Liu, Y.; Li, Y.; Lu, Y. Eco-Environmental Quality Assessment in China’s 35 Major Cities Based on Remote Sensing Ecological Index. IEEE Access 2019, 7, 51295–51311. [Google Scholar] [CrossRef]
- Yuan, B.; Fu, L.; Zou, Y.; Zhang, S.; Chen, X.; Li, F.; Deng, Z.; Xie, Y. Spatiotemporal Change Detection of Ecological Quality and the Associated Affecting Factors in Dongting Lake Basin, Based on RSEI. J. Clean. Prod. 2021, 302, 126995. [Google Scholar] [CrossRef]
- Wu, S.P.; Gao, X.; Lei, J.Q.; Zhou, N.; Guo, Z.K.; Shang, B.J. Ecological Environment Quality Evaluation of the Sahel Region in Africa Based on Remote Sensing Ecological Index. J. Arid Land 2022, 14, 14–33. [Google Scholar] [CrossRef]
- Zhang, C.K.; Zhang, H.Y.; Tian, S.J. Phenology-Assisted Supervised Paddy Rice Mapping with the Landsat Imagery on Google Earth Engine: Experiments in Heilongjiang Province of China from 1990 to 2020. Comput. Electron. Agric. 2023, 212, 108105. [Google Scholar] [CrossRef]
- Wen, X.L.; Ming, Y.L.; Gao, Y.G.; Hu, X.Y. Dynamic Monitoring and Analysis of Ecological Quality of Pingtan Comprehensive Experimental Zone, a New Type of Sea Island City, Based on RSEI. Sustainability 2020, 12, 21. [Google Scholar] [CrossRef]
- Zhang, Y.; She, J.; Long, X.; Zhang, M. Spatio-Temporal Evolution and Driving Factors of Eco-Environmental Quality Based on RSEI in Chang-Zhu-Tan Metropolitan Circle, Central China. Ecol. Indic. 2022, 144, 109436. [Google Scholar] [CrossRef]
- Zhang, K.L.; Feng, R.R.; Zhang, Z.C.; Deng, C.; Zhang, H.J.; Liu, K. Exploring the Driving Factors of Remote Sensing Ecological Index Changes from the Perspective of Geospatial Differentiation: A Case Study of the Weihe River Basin, China. Int. J. Environ. Res. Public Health 2022, 19, 10930. [Google Scholar] [CrossRef]
- Wang, J.F.; Xu, C.D. Geographic Detectors: Principles and Prospects. Acta Geogr. Sin. 2017, 72, 116–134. (In Chinese) [Google Scholar]
- Gou, R.K.; Zhao, J. Eco-Environmental Quality Monitoring in Beijing, China, Using an RSEI-Based Approach Combined with Random Forest Algorithms. IEEE Access 2020, 8, 196657–196666. [Google Scholar] [CrossRef]
- Zhang, X.M.; Fan, H.B.; Zhou, C.H.; Sun, L.; Xu, C.Q.; Lv, T.G.; Ranagalage, M. Spatiotemporal Change in Ecological Quality and Its Influencing Factors in the Dongjiangyuan Region, China. Environ. Sci. Pollut. Res. 2023, 30, 69533–69549. [Google Scholar] [CrossRef] [PubMed]
- Wang, J.; Wang, J.; Xu, J.Q. Spatio-Temporal Variation and Prediction of Ecological Quality Based on Remote Sensing Ecological Index—A Case Study of Zhanjiang City, China. Front. Ecol. Evol. 2023, 11, 1153342. [Google Scholar] [CrossRef]
- Sims, K.; Reith, A.; Bright, E.; McKee, J.; Rose, A. LandScan Global 2021 [Data Set]; Oak Ridge National Laboratory: Oak Ridge, TN, USA, 2021. [Google Scholar]
- Weber, E.; Moehl, J.; Weston, S.; Rose, A.; Brelsford, C.; Hauser, T. LandScan USA 2021 [Data Set]; Oak Ridge National Laboratory: Oak Ridge, TN, USA, 2021. [Google Scholar]
- Yang, J.; Huang, X. The 30 m Annual Land Cover Dataset and Its Dynamics in China from 1990 to 2019. Earth Syst. Sci. Data 2022, 13, 3907–3925. [Google Scholar] [CrossRef]
- Cui, Y.Z.; Shi, K.F.; Jiang, L.; Qiu, L.F.; Wu, S.H. Identifying and Evaluating the Nighttime Economy in China Using Multisource Data. Ieee Geosci. Remote Sens. Lett. 2021, 18, 1906–1910. [Google Scholar] [CrossRef]
- Peng, S. 1-km Monthly Mean Temperature Dataset for China (1901–2022); National Tibetan Plateau Data Center: Beijing, China, 2019. [Google Scholar]
- Peng, S. 1-km Monthly Precipitation Dataset for China (1901–2022); National Tibetan Plateau/Third Pole Environment Data Center: Beijing, China, 2020. [Google Scholar]
- Xu, H.Q. Creation and Application of Urban Remote Sensing Ecological Index. Acta Ecol. Sin. 2013, 33, 7853–7862. (In Chinese) [Google Scholar]
- Xu, H.Q. Research on the Extraction of Water Body Information Using Improved Normalized Difference Water Index (MNDWI). J. Remote Sens. 2005, 05, 589–595. (In Chinese) [Google Scholar]
- Benmecheta, A.; Abdellaoui, A.; Hamou, A. A Comparative Study of Land Surface Temperature Retrieval Methods from Remote Sensing Data. Can. J. Remote Sens. 2013, 39, 59–73. [Google Scholar] [CrossRef]
- Zhu, X.M.; Song, X.N.; Leng, P.; Guo, D.; Cai, S.H. Impact of Atmospheric Correction on Spatial Heterogeneity Relations Between Land Surface Temperature and Biophysical Compositions. IEEE Trans. Geosci. Remote Sens. 2021, 59, 2680–2697. [Google Scholar] [CrossRef]
- Theil, H. A rank-invariant method of linear and polynomial regression analysis (parts 1–3). Ned. Akad. Wetensch. Proc. Ser. A 1950, 53, 1397–1412. [Google Scholar]
- Sen, P.K. Estimates of the regression coefficient based on Kendall’s tau. J. Am. Stat. Assoc. 1968, 63, 1379–1389. [Google Scholar] [CrossRef]
- Conover, W.J. Statistical Methods Based on Ranks: Practical Nonparametric Statistics, 2nd ed.; John Wiley & Sons: New York, NY, USA, 1980. [Google Scholar]
- Mann, H.B. Non-parametric tests against trend. Econometrica 1945, 13, 163–171. [Google Scholar] [CrossRef]
- Kendall, M.G. Rank Correlation Methods, 4th ed.; Charles Griffin: London, UK, 1975. [Google Scholar]
- Gilbert, R.O. Statistical Methods for Environmental Pollution Monitoring; Wiley: New York, NY, USA, 1987. [Google Scholar]
- Pan, X.R.; Long, J.; Xu, Y.Y. Causes and Control Measures of Soil Erosion in the Middle and Lower Reaches of the Jialing River. Agric. Eng. Technol. 2018, 38, 28. (In Chinese) [Google Scholar]
- Zhang, T.; Xue, D.J.; Duan, J.L.; Yang, L. Spatiotemporal Characteristics of Vegetation Cover in the Jialing River Basin from 2000 to 2019 and Its Response to Climate Change. Resour. Environ. Yangtze Basin 2021, 30, 1110–1120. (In Chinese) [Google Scholar]
- Yang, X.D. Evaluation of the Effectiveness of Returning Farmland to Forest Project in Western China. Ph.D. Thesis, Beijing Forestry University, Beijing, China, 2004. (In Chinese). [Google Scholar]
- He, J.Y.; Jiang, X.H.; Lei, Y.X.; Cai, W.J.; Zhang, J.J. Temporal and Spatial Variation and Driving Forces of Soil Erosion on the Loess Plateau Before and After the Implementation of the Grain-for-Green Project: A Case Study in the Yanhe River Basin, China. Int. J. Environ. Res. Public Health 2022, 19, 8446. [Google Scholar] [CrossRef] [PubMed]
- Liu, S.H.; Zhang, H.; Ding, Z.M.; Yao, S.B. Cost-Effectiveness and Optimization of the Forest Types Investment Structure of the Grain for Green Project: A Case Study of Shaanxi Province, China. Scand. J. For. Res. 2022, 37, 241–253. [Google Scholar] [CrossRef]
- Gao, L.; Yang, X.; Hu, H.; Lü, X.; Hou, G.; Delang, C.; Wang, X.; Chen, F. Ecological and Economic Benefits Analysis of Chongqing’s Returning Farmland to Forest Project. Soil Water Conserv. Res. 2019, 26, 353–358. (In Chinese) [Google Scholar]
- Wu, X.B.; Fan, X.Y.; Liu, X.J.; Xiao, L.; Ma, Q.M.; He, N.; Gao, S.Z.; Qiao, Y.T. Spatiotemporal Changes in Ecological Environment Quality of Chengyu Urban Agglomeration Based on Google Earth Engine Platform. Chin. J. Ecol. 2023, 42, 759–768. (In Chinese) [Google Scholar]
- Ren, Y.N.; Zhou, T.G.; Li, H.Z.; Xie, S.L.; Yin, Z.N. Urban Ecological Environment Pattern in the Main Urban Area of Chongqing Based on Remote Sensing and POI Data. Prog. Geophys. 2021, 36, 766–778. (In Chinese) [Google Scholar]
- Zhang, B.; Wang, D.; Wang, G.G.; Ma, Q.; Zhang, G.B.; Ji, D.M. Vegetation Cover Changes and Their Relationship with Climatic Factors in the Southwestern Region of China in the Past 14 Years. Resour. Environ. Yangtze Basin 2015, 24, 956–964. (In Chinese) [Google Scholar]
Disclaimer/Publisher’s Note: The statements, opinions and data contained in all publications are solely those of the individual author(s) and contributor(s) and not of MDPI and/or the editor(s). MDPI and/or the editor(s) disclaim responsibility for any injury to people or property resulting from any ideas, methods, instructions or products referred to in the content. |
© 2024 by the authors. Licensee MDPI, Basel, Switzerland. This article is an open access article distributed under the terms and conditions of the Creative Commons Attribution (CC BY) license (https://creativecommons.org/licenses/by/4.0/).









