Decoding Land Use Conflicts: Spatiotemporal Analysis and Constraint Diagnosis from the Perspectives of Production–Living–Ecological Functions
Abstract
1. Introduction
2. Methodology
2.1. Study Area
2.2. Data Sources
2.3. Theoretical Framework
2.4. Methods
2.4.1. Evaluation Framework of Land Use Conflict
2.4.2. Land Use Conflict Evaluation Model
2.4.3. Constraint Factor Diagnosis Model
3. Results
3.1. Spatiotemporal Evolution Analysis of Land Use Conflicts in Hubei
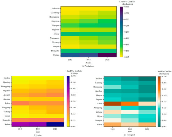
3.1.1. Production Perspective
| City | 2010 | 2015 | 2020 |
|---|---|---|---|
| Wuhan | 0.185 | 0.239 | 0.316 |
| Huangshi | 0.124 | 0.131 | 0.135 |
| Shiyan | 0.105 | 0.106 | 0.110 |
| Yichang | 0.094 | 0.101 | 0.105 |
| Xiangyang | 0.079 | 0.081 | 0.082 |
| Ezhou | 0.123 | 0.135 | 0.144 |
| Jingmen | 0.067 | 0.064 | 0.059 |
| Xiaogan | 0.077 | 0.087 | 0.095 |
| Jingzhou | 0.053 | 0.057 | 0.060 |
| Huanggang | 0.074 | 0.073 | 0.070 |
| Xianning | 0.082 | 0.088 | 0.091 |
| Suizhou | 0.060 | 0.059 | 0.057 |


3.1.2. Living Perspective
| City | 2010 | 2015 | 2020 |
|---|---|---|---|
| Wuhan | 0.295 | 0.302 | 0.369 |
| Huangshi | 0.181 | 0.187 | 0.183 |
| Shiyan | 0.105 | 0.112 | 0.109 |
| Yichang | 0.114 | 0.123 | 0.142 |
| Xiangyang | 0.116 | 0.132 | 0.147 |
| Ezhou | 0.183 | 0.169 | 0.171 |
| Jingmen | 0.123 | 0.128 | 0.128 |
| Xiaogan | 0.152 | 0.162 | 0.176 |
| Jingzhou | 0.133 | 0.144 | 0.156 |
| Huanggang | 0.115 | 0.122 | 0.127 |
| Xianning | 0.107 | 0.113 | 0.125 |
| Suizhou | 0.097 | 0.100 | 0.098 |
3.1.3. Ecological Perspective
| City | 2010 | 2015 | 2020 |
|---|---|---|---|
| Wuhan | 0.170 | 0.156 | 0.167 |
| Huangshi | 0.144 | 0.134 | 0.117 |
| Shiyan | 0.132 | 0.127 | 0.122 |
| Yichang | 0.153 | 0.143 | 0.128 |
| Xiangyang | 0.132 | 0.119 | 0.100 |
| Ezhou | 0.225 | 0.192 | 0.153 |
| Jingmen | 0.120 | 0.101 | 0.079 |
| Xiaogan | 0.107 | 0.104 | 0.095 |
| Jingzhou | 0.092 | 0.089 | 0.079 |
| Huanggang | 0.130 | 0.106 | 0.078 |
| Xianning | 0.107 | 0.100 | 0.089 |
| Suizhou | 0.097 | 0.081 | 0.064 |
3.2. Constraint Diagnosis of Land Use Conflict in Hubei
3.2.1. Production Perspective
3.2.2. Living Perspective
3.2.3. Ecological Perspective
4. Discussion
4.1. Theoretical Contributions
4.2. Comparisons of Related Studies
4.3. Policy Implications
4.4. Research Limitations and Future Research Directions
5. Conclusions
Author Contributions
Funding
Data Availability Statement
Conflicts of Interest
References
- Han, B.; Jin, X.; Zhao, Q.; Chen, H. Spatiotemporal Patterns and Mechanisms of Land-Use Conflicts Affecting High-Quality Development in China. Appl. Geogr. 2023, 155, 102972. [Google Scholar] [CrossRef]
- Bao, W.; Yang, Y.; Zou, L. How to Reconcile Land Use Conflicts in Mega Urban Agglomeration? A Scenario-Based Study in the Beijing-Tianjin-Hebei Region, China. J. Environ. Manag. 2021, 296, 113168. [Google Scholar] [CrossRef] [PubMed]
- Li, J.; Bai, Y.; Alatalo, J.M. Impacts of Rural Tourism-Driven Land Use Change on Ecosystems Services Provision in Erhai Lake Basin, China. Ecosyst. Serv. 2020, 42, 101081. [Google Scholar] [CrossRef]
- Xu, D.; Deng, X.; Guo, S.; Liu, S. Labor Migration and Farmland Abandonment in Rural China: Empirical Results and Policy Implications. J. Environ. Manag. 2019, 232, 738–750. [Google Scholar] [CrossRef]
- Jiang, S.; Meng, J.; Zhu, L.; Cheng, H. Spatial-Temporal Pattern of Land Use Conflict in China and Its Multilevel Driving Mechanisms. Sci. Total Environ. 2021, 801, 149697. [Google Scholar] [CrossRef]
- Cui, X.; Deng, W.; Yang, J.; Huang, W.; de Vries, W.T. Construction and Optimization of Ecological Security Patterns Based on Social Equity Perspective: A Case Study in Wuhan, China. Ecol. Indic. 2022, 136, 108714. [Google Scholar] [CrossRef]
- Ahmad, Y.; Zahra, R.; Ali, C. Transformations in Urban Gardens: Neoliberal Influences and Land Use Conflicts in Shiraz’s Qasr al-Dasht Gardens. Land Use Policy 2024, 146, 107311. [Google Scholar] [CrossRef]
- Karimi, A.; Hockings, M. A Social-Ecological Approach to Land-Use Conflict to Inform Regional and Conservation Planning and Management. Landsc. Ecol. 2018, 33, 691–710. [Google Scholar] [CrossRef]
- Dong, G.; Ge, Y.; Jia, H.; Sun, C.; Pan, S. Land Use Multi-Suitability, Land Resource Scarcity and Diversity of Human Needs: A New Framework for Land Use Conflict Identification. Land 2021, 10, 1003. [Google Scholar] [CrossRef]
- Cui, X.; Huang, L. Integrating Ecosystem Services and Ecological Risks for Urban Ecological Zoning: A Case Study of Wuhan City, China. Hum. Ecol. Risk Assess. Int. J. 2023, 29, 1299–1317. [Google Scholar] [CrossRef]
- Peng, H.; Zhang, X.; Ren, W.; He, J. Spatial Pattern and Driving Factors of Cropland Ecosystem Services in a Major Grain-Producing Region: A Production-Living-Ecology Perspective. Ecol. Indic. 2023, 155, 111024. [Google Scholar] [CrossRef]
- Chen, H.; Yang, Q.; Su, K.; Zhang, H.; Lu, D.; Xiang, H.; Zhou, L. Identification and Optimization of Production-Living-Ecological Space in an Ecological Foundation Area in the Upper Reaches of the Yangtze River: A Case Study of Jiangjin District of Chongqing, China. Land 2021, 10, 863. [Google Scholar] [CrossRef]
- Deng, Y.; Yang, R. Influence Mechanism of Production-Living-Ecological Space Changes in the Urbanization Process of Guangdong Province, China. Land 2021, 10, 1357. [Google Scholar] [CrossRef]
- Zou, L.; Liu, Y.; Wang, J.; Yang, Y. An Analysis of Land Use Conflict Potentials Based on Ecological-Production-Living Function in the Southeast Coastal Area of China. Ecol. Indic. 2021, 122, 107297. [Google Scholar] [CrossRef]
- Stepanova, O.; Polk, M.; Saldert, H. Understanding Mechanisms of Conflict Resolution beyond Collaboration: An Interdisciplinary Typology of Knowledge Types and Their Integration in Practice. Sustain. Sci. 2020, 15, 263–279. [Google Scholar] [CrossRef]
- Lu, X.; Ke, S. Evaluating the Effectiveness of Sustainable Urban Land Use in China from the Perspective of Sustainable Urbanization. Habitat Int. 2018, 77, 90–98. [Google Scholar] [CrossRef]
- Milczarek-Andrzejewska, D.; Zawalińska, K.; Czarnecki, A. Land-Use Conflicts and the Common Agricultural Policy: Evidence from Poland. Land Use Policy 2018, 73, 423–433. [Google Scholar] [CrossRef]
- Chen, L.; Cai, H. Study on Land Use Conflict Identification and Territorial Spatial Zoning Control in Rao River Basin, Jiangxi Province, China. Ecol. Indic. 2022, 145, 109594. [Google Scholar] [CrossRef]
- Bekele, A.E.; Drabik, D.; Dries, L.; Heijman, W. Large-Scale Land Investments and Land-Use Conflicts in the Agro-Pastoral Areas of Ethiopia. Land Use Policy 2022, 119, 106166. [Google Scholar] [CrossRef]
- Adhami, M.; Sadeghi, S.H.; Sheikhmohammady, M. Making Competent Land Use Policy Using a Co-Management Framework. Land Use Policy 2018, 72, 171–180. [Google Scholar] [CrossRef]
- Dietz, K.; Engels, B. Analysing Land Conflicts in Times of Global Crises. Geoforum 2020, 111, 208–217. [Google Scholar] [CrossRef]
- Ma, W.; Jiang, G.; Chen, Y.; Qu, Y.; Zhou, T.; Li, W. How Feasible Is Regional Integration for Reconciling Land Use Conflicts across the Urban–Rural Interface? Evidence from Beijing–Tianjin–Hebei Metropolitan Region in China. Land Use Policy 2020, 92, 104433. [Google Scholar] [CrossRef]
- You, H.; Zhang, J.; Song, Y. Assessing Conflict of Farmland Institutions Using Credibility Theory: Implications for Socially Acceptable Land Use. Land Use Policy 2022, 112, 105817. [Google Scholar] [CrossRef]
- Aghmashhadi, A.H.; Zahedi, S.; Kazemi, A.; Fürst, C.; Cirella, G.T. Conflict Analysis of Physical Industrial Land Development Policy Using Game Theory and Graph Model for Conflict Resolution in Markazi Province. Land 2022, 11, 501. [Google Scholar] [CrossRef]
- Sinthumule, N.I.; Ratshivhadelo, T.; Nelwamondo, T. Stakeholder Perspectives on Land-Use Conflicts in the South African Section of the Greater Mapungubwe Transfrontier Conservation Area. J. Land Use Sci. 2020, 15, 11–24. [Google Scholar] [CrossRef]
- Elomina, J.; Živojinović, I. Systematic Literature Review of Land Use Conflicts in Northern Sweden—Lessons Learned and Ways Forward. Resources 2024, 13, 77. [Google Scholar] [CrossRef]
- Zhou, D.; Lin, Z.; Lim, S.H. Spatial Characteristics and Risk Factor Identification for Land Use Spatial Conflicts in a Rapid Urbanization Region in China. Environ. Monit. Assess. 2019, 191, 677. [Google Scholar] [CrossRef]
- Cui, J.; Kong, X.; Chen, J.; Sun, J.; Zhu, Y. Spatially Explicit Evaluation and Driving Factor Identification of Land Use Conflict in Yangtze River Economic Belt. Land 2021, 10, 43. [Google Scholar] [CrossRef]
- Dong, G.; Liu, Z.; Niu, Y.; Jiang, W. Identification of Land Use Conflicts in Shandong Province from an Ecological Security Perspective. Land 2022, 11, 2196. [Google Scholar] [CrossRef]
- Zuo, Q.; Zhou, Y.; Wang, L.; Li, Q.; Liu, J. Impacts of Future Land Use Changes on Land Use Conflicts Based on Multiple Scenarios in the Central Mountain Region, China. Ecol. Indic. 2022, 137, 108743. [Google Scholar] [CrossRef]
- Cieślak, I. Identification of Areas Exposed to Land Use Conflict with the Use of Multiple-Criteria Decision-Making Methods. Land Use Policy 2019, 89, 104225. [Google Scholar] [CrossRef]
- Wang, J.; Qu, L.; Li, Y.; Feng, W. Identifying the Structure of Rural Regional System and Implications for Rural Revitalization: A Case Study of Yanchi County in Northern China. Land Use Policy 2023, 124, 106436. [Google Scholar] [CrossRef]
- Hjalager, A.-M. Land-Use Conflicts in Coastal Tourism and the Quest for Governance Innovations. Land Use Policy 2020, 94, 104566. [Google Scholar] [CrossRef]
- Kalabamu, F.T. Land Tenure Reforms and Persistence of Land Conflicts in Sub-Saharan Africa—The Case of Botswana. Land Use Policy 2019, 81, 337–345. [Google Scholar] [CrossRef]
- Cruz-Daraviña, P.A.; Bocarejo Suescún, J.P. Freight Operations in City Centers: A Land Use Conflict in Urban Planning. Land Use Policy 2021, 108, 105575. [Google Scholar] [CrossRef]
- Živojinović, I.; Elomina, J.; Pülzl, H.; Calanasan, K.; Dabić, I.; Ólafsdóttir, R.; Siikavuopio, S.; Iversen, A.; Robertsen, R.; Bjerke, J.; et al. Exploring Land Use Conflicts Arising from Economic Activities and Their Impacts on Local Communities in the European Arctic. J. Land Use Sci. 2024, 19, 186–210. [Google Scholar] [CrossRef]
- Yang, Y.; Bao, W.; Liu, Y. Coupling Coordination Analysis of Rural Production-Living-Ecological Space in the Beijing-Tianjin-Hebei Region. Ecol. Indic. 2020, 117, 106512. [Google Scholar] [CrossRef]
- Wang, D.; Li, Y.; Yang, X.; Zhang, Z.; Gao, S.; Zhou, Q.; Zhuo, Y.; Wen, X.; Guo, Z. Evaluating Urban Ecological Civilization and Its Obstacle Factors Based on Integrated Model of PSR-EVW-TOPSIS: A Case Study of 13 Cities in Jiangsu Province, China. Ecol. Indic. 2021, 133, 108431. [Google Scholar] [CrossRef]
- Lin, G.; Fu, J.; Jiang, D. Production–Living–Ecological Conflict Identification Using a Multiscale Integration Model Based on Spatial Suitability Analysis and Sustainable Development Evaluation: A Case Study of Ningbo, China. Land 2021, 10, 383. [Google Scholar] [CrossRef]
- Chen, Z.; Tang, C.; Liu, B.; Liu, P.; Zhang, X. Can Socialized Services Reduce Agricultural Carbon Emissions in the Context of Appropriate Scale Land Management? Front. Environ. Sci. 2022, 10, 1039760. [Google Scholar] [CrossRef]
- Xue, Z.; Zhen, L.; Miah, M.G.; Shoyama, K. Impact Assessment of Land Use Functions on the Sustainable Regional Development of Representative Asian Countries—A Comparative Study in Bangladesh, China and Japan. Sci. Total Environ. 2019, 694, 133689. [Google Scholar] [CrossRef] [PubMed]
- Liang, T.; Du, P.; Yang, F.; Su, Y.; Luo, Y.; Wu, Y.; Wen, C. Potential Land-Use Conflicts in the Urban Center of Chongqing Based on the “Production–Living–Ecological Space” Perspective. Land 2022, 11, 1415. [Google Scholar] [CrossRef]
- Zong, S.; Hu, Y.; Bai, Y.; Guo, Z.; Wang, J. Analysis of the Distribution Characteristics and Driving Factors of Land Use Conflict Potentials in the Bohai Rim Coastal Zone. Ocean Coast. Manag. 2022, 226, 106260. [Google Scholar] [CrossRef]
- Zhao, Y.W.; Zhou, L.Q.; Dong, B.Q.; Dai, C. Health Assessment for Urban Rivers Based on the Pressure, State and Response Framework—A Case Study of the Shiwuli River. Ecol. Indic. 2019, 99, 324–331. [Google Scholar] [CrossRef]
- Xiao, P.; Xu, J.; Zhao, C. Conflict Identification and Zoning Optimization of “Production-Living-Ecological” Space. Int. J. Environ. Res. Public Health 2022, 19, 7990. [Google Scholar] [CrossRef]
- Xi, F.; Wang, R.; Shi, J.; Zhang, J.; Yu, Y.; Wang, N.; Wang, Z. Spatio-Temporal Pattern and Conflict Identification of Production–Living–Ecological Space in the Yellow River Basin. Land 2022, 11, 744. [Google Scholar] [CrossRef]
- Zhang, Y.; Long, H.; Tu, S.; Ge, D.; Ma, L.; Wang, L. Spatial Identification of Land Use Functions and Their Tradeoffs/Synergies in China: Implications for Sustainable Land Management. Ecol. Indic. 2019, 107, 105550. [Google Scholar] [CrossRef]
- Chen, Y.; Zhu, M.; Lu, J.; Zhou, Q.; Ma, W. Evaluation of Ecological City and Analysis of Obstacle Factors under the Background of High-Quality Development: Taking Cities in the Yellow River Basin as Examples. Ecol. Indic. 2020, 118, 106771. [Google Scholar] [CrossRef]
- Yu, Z.; Xu, E.; Zhang, H.; Shang, E. Spatio-Temporal Coordination and Conflict of Production-Living-Ecology Land Functions in the Beijing-Tianjin-Hebei Region, China. Land 2020, 9, 170. [Google Scholar] [CrossRef]
- Yang, S.; Song, S.; Li, F.; Yu, G.; He, G.; Cui, H.; Wang, R.; Sun, B.; Du, D.; Chen, G.; et al. Evaluating Farmland Ecosystem Resilience and Its Obstacle Factors in Ethiopia. Ecol. Indic. 2023, 146, 109900. [Google Scholar] [CrossRef]
- Ye, Q.Q.; Wei, R.; Zhang, P.P. A Conflict Identification Method of Urban, Agricultural and Ecological Spaces Based on the Space Conversion Matrix. Sustainability 2018, 10, 3502. [Google Scholar] [CrossRef]
- Wan, J.L.; Liu, Y.F.; Zhang, X.L. Conflict in informal rural construction land transfer practices in China: A case of Hubei. Land Use Policy 2021, 109, 105573. [Google Scholar]
- Zhou, H.; Chen, Y.; Tian, R.Y. Land-Use Conflict Identification from the Perspective of Construction Space Expansion: An Evaluation Method Based on ‘Likelihood-Exposure-Consequence’. ISPRS Int. J. Geo-Inf. 2021, 10, 433. [Google Scholar] [CrossRef]
- He, N.; Zhou, Y.; Wang, L.; Li, Q.; Zuo, Q.; Liu, J.Y. Spatiotemporal differentiation and the coupling analysis of ecosystem service value with land use change in Hubei Province, China. Ecol. Indic. 2022, 145, 109693. [Google Scholar] [CrossRef]





| Study Scales | Areas | Methods | Influencing Factors | Literature |
|---|---|---|---|---|
| Nation | China | Ecological risk assessment | Population density and altitude | [5] |
| Denmark | Systematic Literature review | Potential benefits of stakeholders | [26] | |
| Botswana | Media content analysis | Infrastructure alteration and landscape modification | [33] | |
| Sweden | Desktop surveys | Land tenure reforms | [34] | |
| Urban agglomeration | Beijing-Tianjin-Hebei region, China | Weighted scoring method | Public participation and new type of urbanization | [22] |
| Urban agglomeration around Hangzhou Bay, China | Land use spatial conflicts index | Per capita GDP and distances to urban centers | [27] | |
| Province | Shandong, China | Spatial overlay analysis of arable land and construction land | Ecological security pattern | [29] |
| Chongqing, China | Landscape ecological risk assessment | The population agglomeration and regional economic development positioning | [42] | |
| City | Shiraz, Iran | Qualitative methodology | Pervasive influence of neoliberal urban planning and management discourse | [7] |
| Jinan, China | Linear weighted sum model | Land resource scarcity and diversity of human needs | [9] | |
| Enshi, China | Land use conflicts strength model | Future land use changes | [30] | |
| Cali, Colombia | Multi-actor multi-criteria analysis | Tax benefits and logistic land use implementation | [35] | |
| Ningbo, China | PLES suitability evaluation | Urban expansion | [39] | |
| Rural Area | Rural Ethiopia | Variable assignment | Rangeland scarcity and insecure land tenure | [19] |
| Rural Poland | Multiple criteria decision-making methods | Urbanization rate | [31] | |
| Country | Jiangjin, China | Coupled evaluation model of production–living–ecological functions | Coordinated spatial development | [12] |
| Yanchi, China | Pole–Field–Zone–Network | Detailed division of functional zones | [32] | |
| Watersheds | Rao River Basin, China | Multi-objective land use suitability evaluation method | Territorial spatial zoning control | [18] |
| Yangtze River Economic Belt, China | Combined calculation of land conflicts in ecology and construction, ecology and agriculture, and agriculture and construction | Total population, per capita GDP, number of mobile phone users, and road density | [28] | |
| Basin | Baffle Basin, Australia | Combined value and preference method | Social-ecological associations | [8] |
| Conservation Area | Greater Mapungubwe Transfrontier Conservation Area, South African | Field Interview method | Number of Stakeholders | [25] |
| Coastal Zone | Bohai Rim coastal zone, China | Multi-criteria evaluation system | Land reclamation index and economic density | [43] |
| Communities | Local communities in the European Arctic | Semi-structured interviews | Participation of various actors | [36] |
| Target Level | Criterion Level | Indicators | Units | Factor Attributes | Weights |
|---|---|---|---|---|---|
| Production Perspective | Pressure Indicators (0.539) | Population Density (A1) | People/km2 | + | 0.156 |
| Urbanization Rate (A2) | % | + | 0.072 | ||
| Average Land GDP (A3) | Ten Thousand RMB/km2 | + | 0.311 | ||
| State Indicators (0.179) | The Proportion of Secondary Industry Output Value (A4) | % | + | 0.054 | |
| The Proportion of Tertiary Industry Output Value (A5) | % | + | 0.072 | ||
| Total Grain Yield (A6) | Ten Thousand Tons | − | 0.053 | ||
| Response Indicators (0.282) | The Level of Agricultural Mechaniza -tion Per Unit of Arable Land Area (A7) | Ten Thousand Kilowatts/km2 | − | 0.043 | |
| Land Reclamation Rate (A8) | % | − | 0.088 | ||
| Effective Irrigation Rate (A9) | % | − | 0.151 | ||
| Living Perspective | Pressure Indicators (0.595) | Population Density (B1) | People/km2 | + | 0.284 |
| Urbanization Rate (B2) | % | + | 0.130 | ||
| Average Land Real Estate Development Investment (B3) | Ten Thousand RMB/km2 | + | 0.181 | ||
| State Indicators (0.234) | Per Capita GDP (B4) | Ten Thousand RMB Per Person | − | 0.065 | |
| The Proportion of Tertiary Industry Output Value (B5) | % | − | 0.058 | ||
| Per Capita Urban Residential Area (B6) | Square Meters Per Person | − | 0.111 | ||
| Response Indicators (0.171) | Per Capita Disposable Income of Urban Residents (B7) | RMB | − | 0.063 | |
| Per Capita Disposable Income of Rural Residents (B8) | RMB | − | 0.082 | ||
| Fiscal Expenditure (B9) | One Hundred Million RMB | − | 0.026 | ||
| Ecological Perspective | Pressure Indicators (0.467) | Population Density (C1) | People/km2 | + | 0.194 |
| Urbanization Rate (C2) | % | + | 0.089 | ||
| Average Land Fertilizer Input (C3) | t/km2 | + | 0.184 | ||
| State Indicators (0.219) | The Proportion of Secondary Industry Output Value (C4) | % | + | 0.066 | |
| The Proportion of Tertiary Industry Output Value (C5) | % | − | 0.039 | ||
| Forest Coverage Rate (C6) | % | − | 0.114 | ||
| Response Indicators (0.314) | Land Reclamation Rate (C7) | % | − | 0.109 | |
| Effective Irrigation Rate (C8) | % | − | 0.187 | ||
| Fiscal Expenditure (C9) | One Hundred Million RMB | − | 0.018 |
| City | 2010 | 2015 | 2020 | ||||||
|---|---|---|---|---|---|---|---|---|---|
| 1 | 2 | 3 | 1 | 2 | 3 | 1 | 2 | 3 | |
| Wuhan | average land GDP | effective irrigation rate | population density | effective irrigation rate | average land GDP | land reclamation rate | effective irrigation rate | land reclamation rate | proportion of secondary industry output value |
| (A3) | (A9) | (A1) | (A9) | (A3) | (A8) | (A9) | (A8) | (A4) | |
| 41.407 | 23.040 | 10.803 | 30.704 | 24.515 | 12.757 | 44.213 | 24.879 | 15.527 | |
| Huangshi | average land GDP | population density | effective irrigation rate | average land GDP | population density | effective irrigation rate | average land GDP | population density | effective irrigation rate |
| (A3) | (A1) | (A9) | (A3) | (A1) | (A9) | (A3) | (A1) | (A9) | |
| 48.094 | 16.955 | 11.152 | 44.096 | 17.426 | 12.750 | 41.097 | 17.562 | 14.860 | |
| Shiyan | average land GDP | population density | urbanization rate | average land GDP | population density | urbanization rate | average land GDP | population density | urbanization rate |
| (A3) | (A1) | (A2) | (A3) | (A1) | (A2) | (A3) | (A1) | (A2) | |
| 51.448 | 25.520 | 9.484 | 49.805 | 25.198 | 7.645 | 49.434 | 25.598 | 6.610 | |
| Yichang | average land GDP | population density | the proportion of tertiary industry output value | average land GDP | population density | the proportion of tertiary industry output value | average land GDP | population density | effective irrigation rate |
| (A3) | (A1) | (A5) | (A3) | (A1) | (A5) | (A3) | (A1) | (A9) | |
| 46.125 | 22.620 | 9.928 | 44.078 | 22.822 | 8.827 | 42.644 | 22.850 | 8.856 | |
| Xiangyang | average land GDP | population density | effective irrigation rate | average land GDP | population density | effective irrigation rate | average land GDP | population density | effective irrigation rate |
| (A3) | (A1) | (A9) | (A3) | (A1) | (A9) | (A3) | (A1) | (A9) | |
| 41.050 | 18.362 | 9.643 | 37.972 | 18.191 | 11.192 | 35.687 | 18.236 | 12.406 | |
| Ezhou | average land GDP | effective irrigation rate | population density | average land GDP | effective irrigation rate | population density | average land GDP | effective irrigation rate | population density |
| (A3) | (A9) | (A1) | (A3) | (A9) | (A1) | (A3) | (A9) | (A1) | |
| 42.849 | 16.122 | 13.502 | 37.656 | 19.425 | 14.101 | 31.999 | 22.303 | 14.263 | |
| Jingmen | average land GDP | population density | effective irrigation rate | average land GDP | population density | effective irrigation rate | average land GDP | effective irrigation rate | population density |
| (A3) | (A1) | (A9) | (A3) | (A1) | (A9) | (A3) | (A9) | (A1) | |
| 39.681 | 18.531 | 14.066 | 37.379 | 18.345 | 16.174 | 35.004 | 17.914 | 17.857 | |
| Xiaogan | average land GDP | effective irrigation rate | population density | average land GDP | effective irrigation rate | population density | average land GDP | effective irrigation rate | population density |
| (A3) | (A9) | (A1) | (A3) | (A9) | (A1) | (A3) | (A9) | (A1) | |
| 39.259 | 17.326 | 13.221 | 38.266 | 18.631 | 13.688 | 36.605 | 20.162 | 14.043 | |
| Jingzhou | average land GDP | effective irrigation rate | population density | average land GDP | effective irrigation rate | population density | average land GDP | effective irrigation rate | population density |
| (A3) | (A9) | (A1) | (A3) | (A9) | (A1) | (A3) | (A9) | (A1) | |
| 36.435 | 16.355 | 13.873 | 35.215 | 16.971 | 14.120 | 33.721 | 17.803 | 14.397 | |
| Huanggang | average land GDP | population density | effective irrigation rate | average land GDP | population density | effective irrigation rate | average land GDP | population density | effective irrigation rate |
| (A3) | (A1) | (A9) | (A3) | (A1) | (A9) | (A3) | (A1) | (A9) | |
| 40.798 | 16.127 | 11.481 | 39.077 | 16.199 | 13.062 | 37.486 | 16.198 | 14.687 | |
| Xianning | average land GDP | population density | average land GDP | average land GDP | population density | effective irrigation rate | average land GDP | population density | effective irrigation rate |
| (A3) | (A1) | (A3) | (A3) | (A1) | (A9) | (A3) | (A1) | (A9) | |
| 43.562 | 19.247 | 10.502 | 42.674 | 19.597 | 11.924 | 40.936 | 19.684 | 13.121 | |
| Suizhou | average land GDP | population density | effective irrigation rate | average land GDP | population density | effective irrigation rate | average land GDP | effective irrigation rate | population density |
| (A3) | (A1) | (A9) | (A3) | (A1) | (A9) | (A3) | (A9) | (A1) | |
| 39.674 | 18.016 | 17.047 | 38.100 | 17.853 | 17.477 | 36.436 | 18.007 | 17.665 | |
| City | 2010 | 2015 | 2020 | ||||||
|---|---|---|---|---|---|---|---|---|---|
| 1 | 2 | 3 | 1 | 2 | 3 | 1 | 2 | 3 | |
| Wuhan | population density | average land real estate development investment | the proportion of tertiary industry output value | population density | per capita GDP | per capita disposable income of rural residents | per capita disposable income of rural residents | per capita GDP | per capita disposable income of urban residents |
| (B1) | (B3) | (B5) | (B1) | (B4) | (B8) | (B8) | (B4) | (B7) | |
| 35.041 | 30.505 | 13.110 | 26.659 | 13.060 | 13.047 | 24.141 | 19.278 | 18.557 | |
| Huang shi | population density | average land real estate development investment | urbanization rate | population density | average land real estate development investment | urbanization rate | population density | average land real estate development investment | per capita GDP |
| (B1) | (B3) | (B2) | (B1) | (B3) | (B2) | (B1) | (B3) | (B8) | |
| 40.870 | 33.294 | 15.702 | 38.682 | 25.336 | 11.968 | 34.879 | 19.635 | 8.998 | |
| Shiyan | population density | average land real estate development investment | urbanization rate | population density | average land real estate development investment | urbanization rate | population density | average land real estate development investment | Urbanization rate |
| (B1) | (B3) | (B2) | (B1) | (B3) | (B2) | (B1) | (B3) | (B2) | |
| 48.082 | 27.290 | 17.868 | 45.941 | 23.373 | 13.939 | 42.399 | 19.762 | 10.948 | |
| Yichang | population density | average land real estate development investment | urbanization rate | population density | average land real estate development investment | urbanization rate | population density | per capita urban residential area | average land real estate development investment |
| (B1) | (B3) | (B2) | (B1) | (B3) | (B2) | (B1) | (B6) | (B3) | |
| 45.662 | 25.449 | 15.711 | 42.219 | 17.076 | 12.639 | 40.969 | 11.994 | 10.154 | |
| Xiang yang | population density | average land real estate development investment | urbanization rate | population density | average land real estate development investment | per capita urban residential area | population density | per capita urban residential area | average land real estate development investment |
| (B1) | (B3) | (B2) | (B1) | (B3) | (B6) | (B1) | (B6) | (B3) | |
| 40.513 | 25.449 | 15.196 | 38.710 | 17.216 | 15.771 | 37.671 | 16.316 | 10.740 | |
| Ezhou | average land real estate development investment | population density | urbanization rate | average land real estate development investment | population density | per capita urban residential area | population density | average land real estate development investment | per capita urban residential area |
| (B3) | (B1) | (B2) | (B3) | (B1) | (B6) | (B1) | (B3) | (B6) | |
| 39.032 | 34.426 | 14.873 | 29.329 | 28.991 | 13.690 | 26.774 | 22.615 | 16.239 | |
| Jingmen | population density | average land real estate development investment | urbanization rate | population density | average land real estate development investment | urbanization rate | population density | average land real estate development investment | per capita GDP |
| (B1) | (B3) | (B2) | (B1) | (B3) | (B2) | (B1) | (B3) | (B8) | |
| 46.500 | 28.145 | 16.339 | 43.112 | 21.548 | 12.158 | 39.756 | 16.234 | 9.811 | |
| Xiaogan | population density | average land real estate development investment | urbanization rate | population density | average land real estate development investment | urbanization rate | population density | average land real estate development investment | Urbanization rate |
| (B1) | (B3) | (B2) | (B1) | (B3) | (B2) | (B1) | (B3) | (B2) | |
| 36.134 | 33.174 | 20.561 | 34.216 | 26.039 | 15.697 | 32.992 | 19.139 | 11.753 | |
| Jingzhou | population density | average land real estate development investment | urbanization rate | population density | average land real estate development investment | urbanization rate | population density | average land real estate development investment | per capita urban residential area |
| (B1) | (B3) | (B2) | (B1) | (B3) | (B2) | (B1) | (B3) | (B6) | |
| 38.446 | 28.813 | 21.029 | 36.436 | 21.674 | 15.917 | 35.488 | 15.464 | 13.742 | |
| Huang gang | population density | average land real estate development investment | urbanization rate | population density | average land real estate development investment | urbanization rate | population density | average land real estate development investment | Urbanization rate |
| (B1) | (B3) | (B2) | (B1) | (B3) | (B2) | (B1) | (B3) | (B2) | |
| 37.926 | 28.161 | 22.329 | 36.484 | 22.452 | 18.272 | 34.869 | 17.548 | 14.885 | |
| Xianning | population density | average land real estate development investment | urbanization rate | population density | average land real estate development investment | urbanization rate | population density | average land real estate development investment | Urbanization rate |
| (B1) | (B3) | (B2) | (B1) | (B3) | (B2) | (B1) | (B3) | (B2) | |
| 41.855 | 28.852 | 19.521 | 38.604 | 22.161 | 15.034 | 37.693 | 17.455 | 11.915 | |
| Suizhou | population density | average land real estate development investment | urbanization rate | population density | average land real estate development investment | urbanization rate | population density | average land real estate development investment | per capita urban residential area |
| (B1) | (B3) | (B2) | (B1) | (B3) | (B2) | (B1) | (B3) | (B6) | |
| 41.176 | 26.612 | 19.815 | 38.406 | 22.351 | 15.475 | 36.091 | 19.022 | 12.772 | |
| City | 2010 | 2015 | 2020 | ||||||
|---|---|---|---|---|---|---|---|---|---|
| 1 | 2 | 3 | 1 | 2 | 3 | 1 | 2 | 3 | |
| Wuhan | average land fertilizer input | effective irrigation rate | population density | effective irrigation rate | average land fertilizer input | land reclamation rate | effective irrigation rate | average land fertilizer input | land reclamation rate |
| (C3) | (C8) | (C1) | (C8) | (C3) | (C7) | (C8) | (C3) | (C7) | |
| 30.749 | 29.151 | 13.669 | 29.686 | 28.769 | 12.334 | 31.090 | 29.306 | 17.493 | |
| Huangshi | average land fertilizer input | population density | effective irrigation rate | average land fertilizer input | population density | effective irrigation rate | average land fertilizer input | population density | effective irrigation rate |
| (C3) | (C1) | (C8) | (C3) | (C1) | (C8) | (C3) | (C1) | (C8) | |
| 31.592 | 23.354 | 15.360 | 30.104 | 22.428 | 16.410 | 28.264 | 20.683 | 17.501 | |
| Shiyan | population density | average land fertilizer input | forest coverage rate | population density | average land fertilizer input | forest coverage rate | population density | average land fertilizer input | forest coverage rate |
| (C1) | (C3) | (C6) | (C1) | (C3) | (C6) | (C1) | (C3) | (C6) | |
| 33.049 | 28.171 | 18.981 | 31.840 | 27.709 | 18.454 | 30.745 | 26.856 | 18.162 | |
| Yichang | population density | forest coverage rate | Urbanization rate | population density | average land fertilizer input | forest coverage rate | population density | average land fertilizer input | forest coverage rate |
| (C1) | (C6) | (C2) | (C1) | (C3) | (C6) | (C1) | (C3) | (C6) | |
| 34.642 | 19.231 | 11.920 | 32.656 | 20.260 | 18.724 | 30.023 | 21.188 | 17.891 | |
| Xiangyang | population density | average land fertilizer input | effective irrigation rate | population density | average land fertilizer input | effective irrigation rate | population density | average land fertilizer input | effective irrigation rate |
| (C1) | (C3) | (C8) | (C1) | (C3) | (C8) | (C1) | (C3) | (C8) | |
| 28.393 | 20.351 | 14.911 | 26.387 | 19.398 | 16.236 | 24.491 | 19.160 | 16.661 | |
| Ezhou | effective irrigation rate | population density | land reclamation rate | effective irrigation rate | population density | land reclamation rate | effective irrigation rate | population density | land reclamation rate |
| (C8) | (C1) | (C7) | (C8) | (C1) | (C7) | (C8) | (C1) | (C7) | |
| 34.737 | 29.092 | 18.244 | 33.355 | 24.213 | 16.276 | 31.141 | 19.913 | 17.911 | |
| Jingmen | population density | effective irrigation rate | average land fertilizer input | population density | effective irrigation rate | average land fertilizer input | effective irrigation rate | population density | average land fertilizer input |
| (C1) | (C8) | (C3) | (C1) | (C8) | (C3) | (C8) | (C1) | (C3) | |
| 28.777 | 21.845 | 20.687 | 26.549 | 23.406 | 20.954 | 24.350 | 24.272 | 20.593 | |
| Xiaogan | effective irrigation rate | average land fertilizer input | population density | effective irrigation rate | average land fertilizer input | population density | effective irrigation rate | average land fertilizer input | population density |
| (C8) | (C3) | (C1) | (C8) | (C3) | (C1) | (C8) | (C3) | (C1) | |
| 24.911 | 23.637 | 19.010 | 25.628 | 23.589 | 18.828 | 26.040 | 24.113 | 18.137 | |
| Jingzhou | effective irrigation rate | average land fertilizer input | population density | effective irrigation rate | average land fertilizer input | population density | effective irrigation rate | average land fertilizer input | population density |
| (C8) | (C3) | (C1) | (C8) | (C3) | (C1) | (C8) | (C3) | (C1) | |
| 24.636 | 22.947 | 20.896 | 24.991 | 22.957 | 20.794 | 24.997 | 22.948 | 20.215 | |
| Huanggang | population density | average land fertilizer input | effective irrigation rate | population density | average land fertilizer input | effective irrigation rate | average land fertilizer input | population density | effective irrigation rate |
| (C1) | (C3) | (C8) | (C1) | (C3) | (C8) | (C3) | (C1) | (C8) | |
| 25.011 | 18.698 | 17.808 | 22.572 | 19.346 | 18.201 | 20.963 | 20.450 | 18.543 | |
| Xianning | population density | average land fertilizer input | effective irrigation rate | average land fertilizer input | population density | effective irrigation rate | average land fertilizer input | population density | effective irrigation rate |
| (C1) | (C3) | (C8) | (C3) | (C1) | (C8) | (C3) | (C1) | (C8) | |
| 25.834 | 25.433 | 14.097 | 25.259 | 24.937 | 15.173 | 24.711 | 23.667 | 15.775 | |
| Suizhou | population density | effective irrigation rate | average land fertilizer input | population density | effective irrigation rate | average land fertilizer input | effective irrigation rate | population density | average land fertilizer input |
| (C1) | (C8) | (C3) | (C1) | (C8) | (C3) | (C8) | (C1) | (C3) | |
| 24.930 | 23.588 | 18.765 | 23.294 | 22.803 | 19.259 | 22.421 | 21.995 | 19.835 | |
Disclaimer/Publisher’s Note: The statements, opinions and data contained in all publications are solely those of the individual author(s) and contributor(s) and not of MDPI and/or the editor(s). MDPI and/or the editor(s) disclaim responsibility for any injury to people or property resulting from any ideas, methods, instructions or products referred to in the content. |
© 2024 by the authors. Licensee MDPI, Basel, Switzerland. This article is an open access article distributed under the terms and conditions of the Creative Commons Attribution (CC BY) license (https://creativecommons.org/licenses/by/4.0/).
Share and Cite
Liu, Y.; Xu, R.; Yang, J.; Xie, X.; Cui, X. Decoding Land Use Conflicts: Spatiotemporal Analysis and Constraint Diagnosis from the Perspectives of Production–Living–Ecological Functions. Land 2024, 13, 2187. https://doi.org/10.3390/land13122187
Liu Y, Xu R, Yang J, Xie X, Cui X. Decoding Land Use Conflicts: Spatiotemporal Analysis and Constraint Diagnosis from the Perspectives of Production–Living–Ecological Functions. Land. 2024; 13(12):2187. https://doi.org/10.3390/land13122187
Chicago/Turabian StyleLiu, Yong, Rui Xu, Jixin Yang, Xinpeng Xie, and Xufeng Cui. 2024. "Decoding Land Use Conflicts: Spatiotemporal Analysis and Constraint Diagnosis from the Perspectives of Production–Living–Ecological Functions" Land 13, no. 12: 2187. https://doi.org/10.3390/land13122187
APA StyleLiu, Y., Xu, R., Yang, J., Xie, X., & Cui, X. (2024). Decoding Land Use Conflicts: Spatiotemporal Analysis and Constraint Diagnosis from the Perspectives of Production–Living–Ecological Functions. Land, 13(12), 2187. https://doi.org/10.3390/land13122187

