Analysis of the Trends and Driving Factors of Cultivated Land Utilization Efficiency in Henan Province from 2000 to 2020
Abstract
1. Introduction
2. Materials and Methods
2.1. Materials
2.1.1. Study Area
2.1.2. Data Resources
2.2. Methods
2.2.1. Method for Constructing the CLUI
2.2.2. Method for Analyzing Trends in CLUE
2.2.3. Machine Learning Regression Analysis Model (ANN, RF)
- ANN regression analysis based on genetic algorithm
- 2.
- RF regression analysis based on particle swarm optimization algorithm
2.2.4. Important Analysis of Variables Based on SHAP
3. Results
3.1. Analysis of Spatiotemporal Evolution Characteristics of CLUI
3.1.1. The Overall CLUI Shows a Fluctuating Upward Trend
3.1.2. The CLUI Has Obvious Differences Between Years
3.1.3. There Are Obvious Differences Between Regions in CLUI
3.2. Analysis of Driving Factors for Changes in CLUI
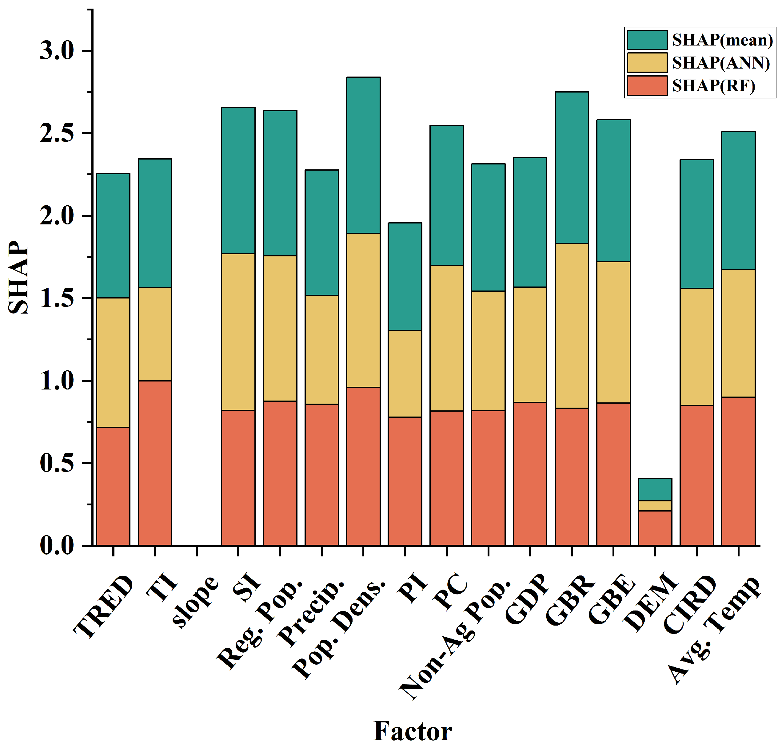
3.2.1. Screening of Main Driving Factors for Changes in CLUI
3.2.2. Analysis of Inter-Annual Changes in Main Driving Factors
3.2.3. Correlation Analysis Between Main Driving Factors and CLUE
4. Discussion
4.1. Impact of Terrain and Climate Factors on CLUE
4.2. Impact of Human Activity Factors on CLUE
4.3. Policy and Management Recommendations
5. Conclusions
Author Contributions
Funding
Data Availability Statement
Conflicts of Interest
Appendix A
| Provincial Municipalities | 2000CLUI | 2020CLUI | Sen’s Slope |
|---|---|---|---|
| Anyang city | 0.0388 | 0.0409 | 0.1331 |
| Hebi city | 0.0901 | 0.0951 | 0.3579 |
| Pu yang city | 0.0647 | 0.0681 | 0.1583 |
| Xinxiang city | 0.0263 | 0.0273 | 0.0832 |
| Jiaozuo city | 0.0565 | 0.0584 | 0.1735 |
| Jiyuan city | 0.3103 | 0.3268 | 1.1702 |
| Zhengzhou city | 0.1433 | 0.1496 | 0.3394 |
| Sanmenxia city | 0.0411 | 0.0438 | 0.1654 |
| Luoyang city | 0.0803 | 0.0843 | 0.2942 |
| Xuchang city | 0.0112 | 0.0115 | 0.0404 |
| Pingdingshan city | 0.0810 | 0.0840 | 0.2933 |
| Zhoukou city | 0.0107 | 0.0106 | 0.0133 |
| Luohe city | 0.0020 | 0.0020 | 0.0067 |
| Zhumadian city | 0.0186 | 0.0191 | 0.0646 |
| Xinyang city | 0.7075 | 0.7206 | 2.4567 |
| Shangqiu city | 0.5141 | 0.5208 | 0.3736 |
| Nanyang city | 0.6071 | 0.6234 | 1.9629 |
| Kaifeng city | 0.0742 | 0.0779 | 0.2139 |
| County-Level Cities | 2000CLUI | 2020CLUI | Sen’s Slope |
|---|---|---|---|
| Linzhou city | 0.2897 | 0.3067 | 0.9606 |
| Anyang city | 0.0388 | 0.0409 | 0.1331 |
| Huixian city | 0.3074 | 0.3197 | 0.7933 |
| Qinyang city | 0.1451 | 0.1496 | 0.3232 |
| Mengzhou city | 0.1599 | 0.1654 | 0.2956 |
| Xingyang city | 0.2237 | 0.2362 | 0.8327 |
| Gongyi city | 0.1476 | 0.1564 | 0.6559 |
| Yima city | 0.0232 | 0.0246 | 0.1017 |
| Yancity city | 0.2336 | 0.2454 | 0.9068 |
| Lingbao city | 0.4597 | 0.4828 | 1.5452 |
| Xinmi city | 0.2425 | 0.2576 | 1.0817 |
| Xinzheng city | 0.2384 | 0.2471 | 0.7253 |
| Dengfeng city | 0.2942 | 0.3096 | 1.3089 |
| Yuzhou city | 0.3900 | 0.4015 | 1.2880 |
| Ruzhou city | 0.4367 | 0.4560 | 1.6331 |
| Changge city | 0.1980 | 0.1998 | 0.3631 |
| Yongcheng city | 0.6452 | 0.6536 | 0.5266 |
| Xiangcheng city | 0.3416 | 0.3415 | 0.3085 |
| Wugang city | 0.1410 | 0.1449 | 0.4829 |
| Dengzhou city | 0.7987 | 0.8141 | 1.5561 |
| Weihui city | 0.2011 | 0.2094 | 0.4857 |
| County | 2000CLUI | 2020CLUI | Sen’s Slope |
|---|---|---|---|
| Anyang county | 0.3792 | 0.3978 | 0.7077 |
| Nanle county | 0.1848 | 0.1934 | 0.1949 |
| Neihuang county | 0.3815 | 0.3958 | 0.6545 |
| Taiqian county | 0.1210 | 0.1279 | 0.1977 |
| Qingfeng county | 0.2891 | 0.3033 | 0.4368 |
| Tangyin county | 0.2134 | 0.2231 | 0.2020 |
| Fan county | 0.1760 | 0.1845 | 0.2239 |
| Xun county | 0.3586 | 0.3776 | 0.4962 |
| Puyang county | 0.4462 | 0.4694 | 0.5741 |
| Hua county | 0.5856 | 0.6177 | 0.6454 |
| Xiuwu county | 0.1324 | 0.1371 | 0.3294 |
| Yanjin county | 0.3080 | 0.3215 | 0.6236 |
| Changyuan county | 0.3173 | 0.3348 | 0.4843 |
| Bo’ai county | 0.1101 | 0.1130 | 0.1934 |
| Huojia county | 0.1490 | 0.1535 | 0.3298 |
| Wuzhi county | 0.2567 | 0.2646 | 0.4358 |
| Wen county | 0.1552 | 0.1595 | 0.2020 |
| Lankao county | 0.3252 | 0.3391 | 0.3864 |
| Zhongmou county | 0.4045 | 0.4151 | 0.4354 |
| Mengjin county | 0.2212 | 0.2344 | 0.9106 |
| Minquan county | 0.3722 | 0.3776 | 0.2120 |
| Qi county | 0.4085 | 0.4228 | 0.8408 |
| Yiyang county | 0.4325 | 0.4541 | 1.8080 |
| Ningling county | 0.2558 | 0.2610 | 0.3522 |
| Yucheng county | 0.4981 | 0.5073 | 0.2937 |
| Luoning county | 0.3813 | 0.4055 | 1.6350 |
| Weishi county | 0.4237 | 0.4347 | 0.9862 |
| Tongxu county | 0.2630 | 0.2710 | 0.6207 |
| Sui county | 0.2893 | 0.2933 | 0.3113 |
| Yichuan county | 0.3129 | 0.3253 | 1.2001 |
| Xiayi county | 0.4639 | 0.4718 | 0.2229 |
| Lushi county | 0.2737 | 0.2950 | 1.2158 |
| Ruyang county | 0.2069 | 0.2170 | 0.8004 |
| Song county | 0.3167 | 0.3364 | 1.3370 |
| Fugou county | 0.3986 | 0.4089 | 0.8341 |
| Taikang county | 0.5898 | 0.6061 | 0.9805 |
| Zhecheng county | 0.3419 | 0.3468 | 0.3051 |
| Yanling county | 0.2950 | 0.3121 | 1.1150 |
| Luanchuan county | 0.1194 | 0.1246 | 0.4287 |
| Jia county | 0.2054 | 0.2103 | 0.6117 |
| Xuchang county | 0.3205 | 0.3275 | 0.7067 |
| Luyi county | 0.4020 | 0.4072 | 0.4686 |
| Baofeng county | 0.2233 | 0.2298 | 0.6540 |
| countygcheng county | 0.3008 | 0.3057 | 0.7324 |
| Lushan county | 0.4105 | 0.4291 | 1.6179 |
| Linying county | 0.2495 | 0.2584 | 0.7220 |
| Xihua county | 0.3920 | 0.4028 | 0.7058 |
| Huaiyang county | 0.4544 | 0.4675 | 1.1663 |
| Dancheng county | 0.4981 | 0.5077 | 0.6915 |
| Xixia county | 0.2296 | 0.2429 | 0.9615 |
| Ye county | 0.4261 | 0.4372 | 1.1198 |
| Yancheng county | 0.3156 | 0.3267 | 0.8203 |
| Shangshui county | 0.4243 | 0.4336 | 0.6740 |
| Nanzhao county | 0.3899 | 0.4089 | 1.7015 |
| Wuyang county | 0.2269 | 0.2328 | 0.5808 |
| Fangcheng county | 0.6735 | 0.6968 | 2.5494 |
| Neicountyg county | 0.3511 | 0.3639 | 1.0518 |
| Shenqiu county | 0.3363 | 0.3369 | 0.2837 |
| Xiping county | 0.3605 | 0.3699 | 0.8089 |
| Shangcai county | 0.4942 | 0.5038 | 1.0119 |
| Xichuan county | 0.4097 | 0.4332 | 1.4168 |
| Zhenping county | 0.4028 | 0.4139 | 1.1402 |
| Suiping county | 0.3666 | 0.3727 | 0.8745 |
| Runan county | 0.5127 | 0.5201 | 1.0989 |
| Pingyu county | 0.4127 | 0.4195 | 0.6488 |
| Biyang county | 0.6483 | 0.6657 | 2.6711 |
| Sheqi county | 0.3835 | 0.3873 | 0.9339 |
| Xincai county | 0.4316 | 0.4361 | 0.4843 |
| Tanghe county | 0.8335 | 0.8388 | 1.9943 |
| Xinye county | 0.3576 | 0.3681 | 1.1977 |
| Zhengyang county | 0.6354 | 0.6252 | 0.3798 |
| Tongbai county | 0.3880 | 0.4086 | 1.6944 |
| Xi county | 0.5883 | 0.5867 | 0.4686 |
| Huaibin county | 0.3817 | 0.3876 | 0.6036 |
| Gushi county | 0.8577 | 0.8801 | 2.7072 |
| Huangchuan county | 0.5658 | 0.5873 | 1.9862 |
| Luoshan county | 0.5529 | 0.5668 | 2.1288 |
| Guangshan county | 0.5523 | 0.5729 | 2.2776 |
| Shangcheng county | 0.4316 | 0.4441 | 1.5271 |
| Xin county | 0.1299 | 0.1350 | 0.5162 |
| Xincountyg county | 0.1506 | 0.1564 | 0.3612 |
| Yuanyang county | 0.3930 | 0.4089 | 0.8080 |
| Queshan county | 0.4910 | 0.5016 | 1.8161 |
| Qi county | 0.1094 | 0.1138 | 0.1735 |
| Mianchi county | 0.2735 | 0.2889 | 1.1502 |
| Xin’an county | 0.2464 | 0.2601 | 1.0989 |
| Shan county | 0.3021 | 0.3223 | 1.2296 |
| Kaifeng county | 0.4904 | 0.5130 | 1.3883 |
| Fengqiu county | 0.3800 | 0.4003 | 0.5841 |
| Provincial Municipalities | Pop. Dens | GBR | SI | Reg. Pop | GBE | PC | Avg. Temp |
|---|---|---|---|---|---|---|---|
| Anyang city | 0.0409 | 0.0001 | 0.0000 | 0.0215 | 0.0002 | 0.0241 | −0.0144 |
| Hebi city | 0.0951 | 0.0093 | 0.0220 | 0.0633 | 0.0094 | 0.0658 | −0.0307 |
| Pu yang city | 0.0681 | 0.0139 | 0.0320 | 0.0291 | 0.0157 | 0.0274 | −0.0074 |
| Xinxiang city | 0.0273 | 0.0109 | 0.0145 | 0.0109 | 0.0108 | 0.0144 | −0.0083 |
| Jiaozuo city | 0.0584 | 0.0020 | 0.0017 | 0.0199 | 0.0020 | 0.0315 | −0.0214 |
| Jiyuan city | 0.3268 | 0.2157 | 0.2287 | 0.0020 | 0.2256 | 0.2246 | −0.1326 |
| Zhengzhou city | 0.1496 | 0.0198 | 0.0272 | 0.0367 | 0.0192 | 0.0612 | −0.0436 |
| Sanmenxia city | 0.0438 | 0.0025 | 0.0026 | 0.0155 | 0.0026 | 0.0299 | −0.0161 |
| Luoyang city | 0.0843 | 0.0098 | 0.0172 | 0.0601 | 0.0098 | 0.0568 | −0.0397 |
| Xuchang city | 0.0115 | 0.0013 | 0.0020 | 0.0047 | 0.0016 | 0.0071 | −0.0034 |
| Pingdingshan city | 0.0840 | 0.0125 | 0.0127 | 0.0569 | 0.0106 | 0.0573 | −0.0224 |
| Zhoukou city | 0.0106 | 0.0001 | 0.0001 | 0.0029 | 0.0001 | 0.0031 | −0.0003 |
| Luohe city | 0.0020 | 0.0003 | 0.0004 | 0.0012 | 0.0003 | 0.0016 | −0.0007 |
| Zhumadian city | 0.0191 | 0.0002 | 0.0002 | 0.0107 | 0.0002 | 0.0129 | −0.0079 |
| Xinyang city | 0.7206 | 0.0049 | 0.0075 | 0.5253 | 0.0061 | 0.5424 | −0.1148 |
| Shangqiu city | 0.5208 | −0.0010 | 0.0008 | 0.1317 | 0.0005 | 0.0886 | −0.1085 |
| Nanyang city | 0.6234 | 0.0116 | 0.0101 | 0.3254 | 0.0114 | 0.3783 | −0.2602 |
| Kaifeng city | 0.0779 | 0.0047 | 0.0069 | 0.0239 | 0.0048 | 0.0393 | −0.0241 |
| County-Level Cities | Pop. Dens | GBR | SI | Reg. Pop | GBE | PC | Avg. Temp |
|---|---|---|---|---|---|---|---|
| Linzhou city | 0.3067 | 0.1671 | 0.1629 | 0.1744 | 0.1690 | 0.1742 | −0.1331 |
| Anyang city | 0.0409 | 0.0001 | 0.0000 | 0.0215 | 0.0002 | 0.0241 | −0.0144 |
| Huixian city | 0.3197 | 0.1589 | 0.1697 | 0.1463 | 0.1476 | 0.1637 | −0.0879 |
| Qinyang city | 0.1496 | 0.0569 | 0.0634 | 0.0544 | 0.0607 | 0.0646 | −0.0162 |
| Mengzhou city | 0.1654 | 0.0506 | 0.0529 | 0.0566 | 0.0516 | 0.0634 | −0.0155 |
| Xingyang city | 0.2362 | 0.1412 | 0.1466 | 0.1115 | 0.1381 | 0.1543 | −0.0956 |
| Gongyi city | 0.1564 | 0.1091 | 0.1175 | 0.0999 | 0.0998 | 0.1290 | −0.0544 |
| Yima city | 0.0246 | 0.0196 | 0.0177 | 0.0129 | 0.0196 | 0.0206 | −0.0132 |
| Yancity city | 0.2454 | 0.0237 | 0.0518 | 0.1709 | 0.0240 | 0.1641 | −0.1092 |
| Lingbao city | 0.4828 | 0.2771 | 0.2592 | 0.1831 | 0.2708 | 0.2812 | −0.0841 |
| Xinmi city | 0.2576 | 0.2117 | 0.2192 | 0.1801 | 0.1971 | 0.2209 | −0.1146 |
| Xinzheng city | 0.2471 | 0.1280 | 0.1357 | 0.1053 | 0.1251 | 0.1294 | −0.0963 |
| Dengfeng city | 0.3096 | 0.2495 | 0.2548 | 0.1871 | 0.2529 | 0.2529 | −0.1447 |
| Yuzhou city | 0.4015 | 0.2337 | 0.2349 | 0.1592 | 0.2490 | 0.2522 | −0.1305 |
| Ruzhou city | 0.4560 | 0.3132 | 0.3173 | 0.3129 | 0.3142 | 0.3141 | −0.2047 |
| Changge city | 0.1998 | 0.0615 | 0.0712 | 0.0245 | 0.0720 | 0.0944 | −0.0228 |
| Yongcheng city | 0.6536 | 0.0439 | 0.1901 | 0.1956 | 0.0422 | 0.1512 | −0.2089 |
| Xiangcheng city | 0.3415 | 0.0558 | 0.0879 | 0.1006 | 0.0721 | 0.1198 | −0.0962 |
| Wugang city | 0.1449 | 0.0785 | 0.0710 | 0.0947 | 0.0835 | 0.0972 | −0.0359 |
| Dengzhou city | 0.8141 | 0.3668 | 0.2614 | 0.1730 | 0.3593 | 0.3205 | −0.4146 |
| Weihui city | 0.2094 | 0.0751 | 0.0517 | 0.0787 | 0.0726 | 0.0957 | −0.0108 |
| County | Pop. Dens | GBR | SI | Reg. Pop | GBE | PC | Avg. Temp |
|---|---|---|---|---|---|---|---|
| Anyang county | 0.3978 | 0.1072 | 0.1181 | 0.1520 | 0.1038 | 0.1515 | −0.0411 |
| Nanle county | 0.1934 | 0.0017 | 0.0411 | 0.0520 | 0.0169 | 0.0395 | 0.0262 |
| Neihuang county | 0.3958 | 0.0627 | 0.1565 | 0.1749 | 0.0959 | 0.1529 | −0.0035 |
| Taiqian county | 0.1279 | 0.0102 | 0.0435 | 0.0542 | 0.0111 | 0.0446 | 0.0076 |
| Qingfeng county | 0.3033 | 0.0364 | 0.0800 | 0.1074 | 0.0564 | 0.0859 | 0.0046 |
| Tangyin county | 0.2231 | 0.0245 | 0.0654 | 0.0527 | 0.0284 | 0.0380 | 0.0149 |
| Fan county | 0.1845 | 0.0113 | 0.0379 | 0.0687 | 0.0198 | 0.0427 | 0.0130 |
| Xun county | 0.3776 | 0.0858 | 0.0862 | 0.1470 | 0.1077 | 0.1207 | 0.0098 |
| Puyang county | 0.4694 | 0.0560 | 0.1597 | 0.1545 | 0.0591 | 0.1306 | −0.0058 |
| Hua county | 0.6177 | 0.0659 | 0.1201 | 0.1954 | 0.0965 | 0.1345 | 0.0120 |
| Xiuwu county | 0.1371 | 0.0418 | 0.0461 | 0.0508 | 0.0464 | 0.0632 | −0.0274 |
| Yanjin county | 0.3215 | 0.1304 | 0.1373 | 0.1085 | 0.1110 | 0.1299 | −0.0377 |
| Changyuan county | 0.3348 | 0.0415 | 0.0754 | 0.1057 | 0.0678 | 0.1103 | −0.0565 |
| Bo’ai county | 0.1130 | 0.0268 | 0.0260 | 0.0325 | 0.0276 | 0.0349 | −0.0085 |
| Huojia county | 0.1535 | 0.0383 | 0.0627 | 0.0651 | 0.0548 | 0.0734 | −0.0027 |
| Wuzhi county | 0.2646 | 0.0734 | 0.0797 | 0.1036 | 0.0725 | 0.0916 | −0.0071 |
| Wen county | 0.1595 | 0.0385 | 0.0488 | 0.0457 | 0.0421 | 0.0474 | −0.0068 |
| Lankao county | 0.3391 | 0.0139 | 0.0557 | 0.0091 | 0.0300 | 0.0799 | −0.0533 |
| Zhongmou county | 0.4151 | 0.0458 | 0.0567 | 0.0843 | 0.0343 | 0.0677 | −0.0176 |
| Mengjin county | 0.2344 | 0.0084 | 0.0092 | 0.1758 | 0.0088 | 0.1726 | −0.0960 |
| Minquan county | 0.3776 | −0.0286 | 0.0018 | 0.0785 | 0.0128 | 0.0321 | −0.0318 |
| Qi county | 0.4228 | 0.1455 | 0.1735 | 0.1032 | 0.1574 | 0.1615 | −0.1175 |
| Yiyang county | 0.4541 | 0.3350 | 0.3417 | 0.3398 | 0.3370 | 0.3324 | −0.2427 |
| Ningling county | 0.2610 | 0.0288 | 0.0569 | 0.0911 | 0.0525 | 0.0640 | −0.0490 |
| Yucheng county | 0.5073 | −0.0591 | −0.0046 | 0.1257 | −0.0006 | 0.0738 | −0.1199 |
| Luoning county | 0.4055 | 0.3032 | 0.3183 | 0.3043 | 0.3133 | 0.3172 | −0.1162 |
| Weishi county | 0.4347 | 0.1407 | 0.1927 | 0.0931 | 0.1571 | 0.1771 | −0.0781 |
| Tongxu county | 0.2710 | 0.0842 | 0.1210 | 0.0640 | 0.1061 | 0.1277 | −0.0510 |
| Sui county | 0.2933 | 0.0237 | 0.0554 | 0.0885 | 0.0558 | 0.0479 | −0.0301 |
| Yichuan county | 0.3253 | 0.2247 | 0.1923 | 0.2387 | 0.2270 | 0.2169 | −0.1488 |
| Xiayi county | 0.4718 | −0.0632 | −0.0100 | 0.1147 | −0.0134 | 0.0737 | −0.0958 |
| Lushi county | 0.2950 | 0.2403 | 0.2362 | 0.1869 | 0.2379 | 0.2409 | −0.0472 |
| Ruyang county | 0.2170 | 0.1564 | 0.1547 | 0.1574 | 0.1578 | 0.1563 | −0.0990 |
| Song county | 0.3364 | 0.2483 | 0.2246 | 0.2371 | 0.2518 | 0.2460 | −0.1799 |
| Fugou county | 0.4089 | 0.1341 | 0.1625 | 0.1672 | 0.1514 | 0.1785 | −0.0471 |
| Taikang county | 0.6061 | 0.1225 | 0.1342 | 0.2165 | 0.1483 | 0.2139 | −0.1092 |
| Zhecheng county | 0.3468 | 0.0294 | 0.0484 | 0.0799 | 0.0591 | 0.0774 | −0.0883 |
| Yanling county | 0.3121 | 0.1984 | 0.2174 | 0.1250 | 0.2118 | 0.2198 | −0.1066 |
| Luanchuan county | 0.1246 | 0.0753 | 0.0641 | 0.0774 | 0.0819 | 0.0778 | 0.0046 |
| Jia county | 0.2103 | 0.1183 | 0.1232 | 0.1195 | 0.1206 | 0.1200 | −0.0467 |
| Xuchang county | 0.3275 | 0.0808 | 0.1558 | 0.0883 | 0.1232 | 0.1980 | −0.0553 |
| Luyi county | 0.4072 | 0.0896 | 0.1272 | 0.1107 | 0.1120 | 0.1298 | −0.1016 |
| Baofeng county | 0.2298 | 0.1143 | 0.1240 | 0.1305 | 0.1166 | 0.1303 | −0.0627 |
| countygcheng county | 0.3057 | 0.1179 | 0.1602 | 0.0619 | 0.1203 | 0.1639 | −0.0226 |
| Lushan county | 0.4291 | 0.3242 | 0.3305 | 0.3266 | 0.3057 | 0.3319 | −0.1537 |
| Linying county | 0.2584 | 0.0851 | 0.1513 | 0.1202 | 0.1086 | 0.1396 | −0.0387 |
| Xihua county | 0.4028 | 0.1059 | 0.1208 | 0.1454 | 0.1174 | 0.1654 | −0.0371 |
| Huaiyang county | 0.4675 | 0.1600 | 0.1798 | 0.2281 | 0.1819 | 0.2333 | −0.1444 |
| Dancheng county | 0.5077 | 0.1349 | 0.1811 | 0.1343 | 0.1441 | 0.1674 | −0.1388 |
| Xixia county | 0.2429 | 0.1839 | 0.1895 | 0.1718 | 0.1880 | 0.1894 | −0.0942 |
| Ye county | 0.4372 | 0.2286 | 0.2571 | 0.2512 | 0.1975 | 0.2511 | −0.0620 |
| Yancheng county | 0.3267 | 0.0621 | 0.0925 | 0.1365 | 0.0722 | 0.1742 | −0.0607 |
| Shangshui county | 0.4336 | 0.1329 | 0.1162 | 0.1702 | 0.1344 | 0.1841 | −0.0974 |
| Nanzhao county | 0.4089 | 0.3169 | 0.3335 | 0.3276 | 0.3174 | 0.3522 | −0.1802 |
| Wuyang county | 0.2328 | 0.0810 | 0.1184 | 0.1105 | 0.0978 | 0.1354 | −0.0228 |
| Fangcheng county | 0.6968 | 0.4195 | 0.4779 | 0.4529 | 0.4356 | 0.4840 | −0.2259 |
| Neicountyg county | 0.3639 | 0.1784 | 0.1787 | 0.1506 | 0.1847 | 0.1893 | −0.1225 |
| Shenqiu county | 0.3369 | 0.0459 | 0.0637 | 0.0940 | 0.0475 | 0.1132 | −0.1009 |
| Xiping county | 0.3699 | 0.1174 | 0.1646 | 0.1607 | 0.1447 | 0.1769 | −0.0750 |
| Shangcai county | 0.5038 | 0.1265 | 0.1921 | 0.2218 | 0.1684 | 0.2460 | −0.0644 |
| Xichuan county | 0.4332 | 0.2208 | 0.2686 | 0.2447 | 0.2774 | 0.2859 | −0.2213 |
| Zhenping county | 0.4139 | 0.2225 | 0.1506 | 0.1582 | 0.2160 | 0.2064 | −0.1743 |
| Suiping county | 0.3727 | 0.1103 | 0.1471 | 0.1641 | 0.1320 | 0.1945 | −0.0704 |
| Runan county | 0.5201 | 0.1432 | 0.1671 | 0.2013 | 0.1663 | 0.2447 | −0.0766 |
| Pingyu county | 0.4195 | 0.0917 | 0.1369 | 0.1976 | 0.1101 | 0.2023 | −0.0629 |
| Biyang county | 0.6657 | 0.3881 | 0.4168 | 0.4201 | 0.3960 | 0.5035 | −0.2752 |
| Sheqi county | 0.3873 | 0.1448 | 0.1906 | 0.1769 | 0.1406 | 0.2031 | −0.0437 |
| Xincai county | 0.4361 | 0.0079 | 0.0829 | 0.1710 | 0.0875 | 0.1476 | −0.1115 |
| Tanghe county | 0.8388 | 0.3594 | 0.4235 | 0.3181 | 0.3377 | 0.4525 | −0.1420 |
| Xinye county | 0.3681 | 0.2308 | 0.1399 | 0.1443 | 0.2224 | 0.2001 | −0.2099 |
| Zhengyang county | 0.6252 | −0.0026 | 0.0217 | 0.1214 | 0.0667 | 0.1702 | 0.0066 |
| Tongbai county | 0.4086 | 0.3150 | 0.3062 | 0.3029 | 0.3067 | 0.3410 | −0.1807 |
| Xi county | 0.5867 | −0.0132 | 0.1039 | 0.1694 | −0.0070 | 0.1829 | −0.0689 |
| Huaibin county | 0.3876 | 0.0436 | 0.0970 | 0.1668 | 0.0783 | 0.1776 | −0.0624 |
| Gushi county | 0.8801 | 0.3667 | 0.4394 | 0.5508 | 0.4203 | 0.5841 | −0.1125 |
| Huangchuan county | 0.5873 | 0.3219 | 0.3473 | 0.4174 | 0.3025 | 0.4264 | −0.0380 |
| Luoshan county | 0.5668 | 0.3181 | 0.3560 | 0.4294 | 0.3424 | 0.4318 | −0.0168 |
| Guangshan county | 0.5729 | 0.3876 | 0.4225 | 0.4497 | 0.3730 | 0.4527 | −0.0160 |
| Shangcheng county | 0.4441 | 0.2357 | 0.2518 | 0.2949 | 0.2543 | 0.2972 | 0.0094 |
| Xin county | 0.1350 | 0.0825 | 0.0916 | 0.0950 | 0.0909 | 0.0972 | 0.0197 |
| Xincountyg county | 0.1564 | 0.0556 | 0.0736 | 0.0588 | 0.0561 | 0.0729 | −0.0153 |
| Yuanyang county | 0.4089 | 0.0589 | 0.1379 | 0.1359 | 0.0939 | 0.1801 | −0.0004 |
| Queshan county | 0.5016 | 0.2040 | 0.2493 | 0.2780 | 0.2281 | 0.3495 | −0.1864 |
| Qi county | 0.1138 | 0.0295 | 0.0402 | 0.0433 | 0.0357 | 0.0385 | −0.0059 |
| Mianchi county | 0.2889 | 0.2022 | 0.2173 | 0.1297 | 0.2059 | 0.2122 | −0.1373 |
| Xin’an county | 0.2601 | 0.2104 | 0.2143 | 0.2219 | 0.2158 | 0.2200 | −0.1316 |
| Shan county | 0.3223 | 0.2149 | 0.2253 | 0.1394 | 0.2197 | 0.2347 | −0.1031 |
| Kaifeng county | 0.5130 | 0.1958 | 0.2241 | 0.1386 | 0.1994 | 0.2726 | −0.1473 |
| Fengqiu county | 0.4003 | 0.0753 | 0.0925 | 0.1161 | 0.0851 | 0.1443 | −0.0169 |
References
- Yu, Y.; Lin, J.; Zhou, P.; Zheng, S.; Li, Z. Cultivated Land Input Behavior of Different Types of Rural Households and Its Impact on Cultivated Land-Use Efficiency: A Case Study of the Yimeng Mountain Area, China. Int. J. Environ. Res. Public Health 2022, 19, 14870. [Google Scholar] [CrossRef]
- Wei, X.; Liu, L.; Yuan, C.; Xia, Z. Determining urban–rural coordinated development in major grain-producing areas based on urbanization and cultivated land use efficiency coordination level: A case study in Hunan Province, China. Front. Environ. Sci. 2023, 10, 1091898. [Google Scholar] [CrossRef]
- Zhang, J.; Hao, X.; Li, X.; Fan, X.; Zhang, S. Evaluation and regulation strategy for ecological security in the Tarim River Basin based on the ecological footprint. J. Clean. Prod. 2024, 435, 140488. [Google Scholar] [CrossRef]
- Tang, H.; Wu, Y.; Chen, J.; Deng, L.; Zeng, M. How Does Change in Rural Residential Land Affect Cultivated Land Use Efficiency? An Empirical Study Based on 42 Cities in the Middle Reaches of the Yangtze River. Land 2022, 11, 2263. [Google Scholar] [CrossRef]
- Li, L.; Li, X.; Fan, H.; Lu, J.; Wang, X.; Zhai, T. Quantifying and Zoning Ecological Compensation for Cultivated Land in Intensive Agricultural Areas: A Case Study in Henan Province, China. Land 2024, 13, 1720. [Google Scholar] [CrossRef]
- Wang, Y.; Wu, X.; Zhu, H. Spatio-Temporal Pattern and Spatial Disequilibrium of Cultivated Land Use Efficiency in China: An Empirical Study Based on 342 Prefecture-Level Cities. Land 2022, 11, 1763. [Google Scholar] [CrossRef]
- Xiao, P.; Xu, J.; Yu, Z.; Qian, P.; Lu, M.; Ma, C. Spatiotemporal Pattern Differentiation and Influencing Factors of Cultivated Land Use Efficiency in Hubei Province under Carbon Emission Constraints. Sustainability 2022, 14, 7042. [Google Scholar] [CrossRef]
- Feng, X.; Gao, J.; Sriboonjit, J.; Wang, Z.; Liu, J.; Sriboonchitta, S. The Impact of Urbanization on Cultivated Land Use Efficiency in the Yangtze River Economic Belt in China. Agriculture 2023, 13, 666. [Google Scholar] [CrossRef]
- Su, D.; Cao, Y.; Wang, J.; Fang, X.; Wu, Q. Toward constructing an eco-account of cultivated land by quantifying the resources flow and eco-asset transfer in China. Land Use Policy 2023, 132, 106822. [Google Scholar] [CrossRef]
- Viana, D.F.; Gill, D.; Zvoleff, A.; Krueck, N.C.; Zamborain-Mason, J.; Free, C.M.; Shepon, A.; Grieco, D.; Schmidhuber, J.; Mascia, M.B.; et al. Sustainable-use marine protected areas to improve human nutrition. Nat. Commun. 2024, 15, 7716. [Google Scholar] [CrossRef]
- Wang, C.; You, Y.; Huang, W.; Zhan, J. The high-value and sustainable utilization of grape pomace: A review. Food Chem. X 2024, 24, 101845. [Google Scholar] [CrossRef] [PubMed]
- Lu, S.; Liu, F.; Ye, Y.; Tang, J.; Li, P.; Lin, W.; Ma, R.; Wang, J. Analysis of the Spatio-Temporal Characteristics of Winter Surface Urban Heat Island: A Case Study in Beijing, China. J. Earth Sci. 2024, 35, 1640–1653. [Google Scholar] [CrossRef]
- Meng, P.; Shen, J.; Shen, C.; Li, J.; Kang, J.; Li, T. Construction engineering in China under green Transition: Policy research Topic clusters and development forecasts. Energy Build. 2024, 323, 114758. [Google Scholar] [CrossRef]
- Yingying, W.; Yibin, W.; Fei, L. Dynamics of agricultural system vulnerability to climate change and the externalities of its mitigation in China. Mitig. Adapt. Strateg. Glob. Chang. 2024, 29, 1–26. [Google Scholar] [CrossRef]
- Li, Y.; Gao, G.; Wen, J.; Zhao, N.; Du, G.; Stanny, M. The measurement of agricultural disaster vulnerability in China and implications for land-supported agricultural resilience building. Land Use Policy 2025, 148, 107400. [Google Scholar] [CrossRef]
- Jiang, D.; Gao, H.; He, S.; Huang, Y.; Liu, J. A Negative-carbon Planning Method for Agricultural Rural Industrial Park Integrated Energy System Considering Biomass Energy and Modern Agricultural Facilities. J. Clean. Prod. 2024, 479, 143837. [Google Scholar] [CrossRef]
- Zhang, J.; Zhang, P.; Liu, Y.; Lu, S.; Wu, G. An analysis of the spatiotemporal evolution and driving force of cultivated land green utilization in karst region of southwest China. J. Clean. Prod. 2024, 434, 140002. [Google Scholar] [CrossRef]
- Rosinger, C.; Bodner, G.; Forer, V.; Sandén, H.; Weninger, T.; Zeiser, A.; Mentler, A.; Keiblinger, K.M. Changes in microbial physiology and carbon-use efficiency upon improving soil habitat conditions in conservation farming systems. Agric. Ecosyst. Environ. 2025, 377, 109246. [Google Scholar] [CrossRef]
- Lin, Q.; Bai, S.; Qi, R. Cultivated Land Green Use Efficiency and Its Influencing Factors: A Case Study of 39 Cities in the Yangtze River Basin of China. Sustainability 2024, 16, 29. [Google Scholar] [CrossRef]
- Hu, X.; Dong, C.; Zhang, Y. Impacts of Cropland Utilization Patterns on the Sustainable Use Efficiency of Cropland Based on the Human–Land Perspective. Land 2024, 13, 863. [Google Scholar] [CrossRef]
- Lu, Y.; He, T.; Yue, W.; Li, M.; Shan, Z.; Zhang, M. Does cropland threaten urban land use efficiency in the peri-urban area? Evidence from metropolitan areas in China. Appl. Geogr. 2023, 161, 103124. [Google Scholar] [CrossRef]
- Zhang, P.; Li, Y.; Yuan, X.; Zhao, Y. Effects of Off-Farm Employment on the Eco-Efficiency of Cultivated Land Use: Evidence from the North China Plain. Land 2024, 13, 1538. [Google Scholar] [CrossRef]
- Tripathi, S.C.; Venkatesh, K.; Meena, R.P.; Chander, S.; Singh, G.P. Sustainable intensification of maize and wheat cropping system through pulse intercropping. Sci. Rep. 2021, 11, 18805. [Google Scholar] [CrossRef]
- Dong, X.; Liu, S. Spatiotemporal differences, dynamic evolution and trend of cultivated land use efficiency: Based on three food functional areas. Heliyon 2024, 10, e27249. [Google Scholar] [CrossRef]
- Lu, M.; Qi, Y.; Zhang, J.; Zhu, D. The Impact of Rural Credit on Cultivated Land Use Efficiency: An Empirical Analysis Using China Rural Revitalization Survey Data. Land 2023, 12, 1969. [Google Scholar] [CrossRef]
- Hu, X.; Wang, Y.; Qiu, D.; He, L. Comparison of Prolamins from Different Cereals Based on Structure and Functionality. J. Cereal Sci. 2024, 120, 104052. [Google Scholar] [CrossRef]
- Ma, F.; Zhou, J.; Du, C. Controlled release urea altered the paddy soil heterogeneity at mesoscale qualified by laser induced breakdown spectroscopy. Geoderma 2024, 451, 117063. [Google Scholar] [CrossRef]
- Özdemir, S. Effects of environmental variables on taxonomic diversity and grouping of plant communities in the Mediterranean region (Antalya). Eur. J. For. Res. 2024, 143, 1903–1914. [Google Scholar] [CrossRef]
- Xie, L.; Huang, J.; Zhu, X.; Yang, F.; Peng, F.; Pang, Q.; Jing, Y.; Tian, L.; Jin, J.; Hu, G.; et al. Simplification and simulation of evaluation process for low efficiency constructed wetlands based on principal component analysis and machine learning. Sci. Total Environ. 2024, 955, 176873. [Google Scholar] [CrossRef] [PubMed]
- Wu, M.; Wei, X.; Ge, W.; Chen, G.; Zheng, D.; Zhao, Y.; Chen, M.; Xin, Y. Analyzing the spatial scale effects of urban elements on urban flooding based on multiscale geographically weighted regression. J. Hydrol. 2024, 645, 132178. [Google Scholar] [CrossRef]
- Cai, J.; Li, Y.; Hu, W.; Jing, H.; Mi, B.; Pei, L.; Zhao, Y.; Yan, H.; Chen, F. Geographically weighted accelerated failure time model for spatial survival data: Application to ovarian cancer survival data in New Jersey. BMC Med. Res. Methodol. 2024, 24, 239. [Google Scholar] [CrossRef] [PubMed]
- Li, Z.; Liu, Q.; Yan, K.; Xiong, D.; Xu, P.; Yan, Y.; Lin, L. Cooling effects of urban parks under various ecological factors. Urban Clim. 2024, 58, 10213. [Google Scholar] [CrossRef]
- Sun, C.; Xia, E.; Huang, J.-y.; Tong, H. Coupling and coordination of food security and agricultural carbon emission efficiency: Changing trends, influencing factors, and different government priority scenarios. J. Environ. Manag. 2024, 370, 122533. [Google Scholar] [CrossRef]
- Huang, X.; Liu, Y.; Stouffs, R. Human-earth system dynamics in China’s land use pattern transformation amidst climate fluctuations and human activities. Sci. Total Environ. 2024, 954, 176013. [Google Scholar] [CrossRef] [PubMed]
- Liang, X.; Jin, X.; Han, B.; Sun, R.; Xu, W.; Li, H.; He, J.; Li, J. China’s food security situation and key questions in the new era: A perspective of farmland protection. J. Geogr. Sci. 2022, 32, 1001–1019. [Google Scholar] [CrossRef]
- Biswal, A.K.; Jenamani, M.; Kumar, S.K. Product subsidy and expected consumption with inventory inaccuracy: Implications of RFID adoption in Indian public distribution system. Comput. Ind. Eng. 2021, 159, 107527. [Google Scholar] [CrossRef]
- Kawabata, M.; Berardo, A.; Mattei, P.; de Pee, S. Food security and nutrition challenges in Tajikistan: Opportunities for a systems approach. Food Policy 2020, 96, 101872. [Google Scholar] [CrossRef]
- Zhu, X.; Yuan, X.; Zhang, Y.; Liu, H.; Wang, J.; Sun, B. The global concern of food security during the COVID-19 pandemic: Impacts and perspectives on food security. Food Chem. 2022, 370, 130830. [Google Scholar] [CrossRef] [PubMed]
- Jiang, B.; Tang, W.; Li, M.; Yang, G.; Deng, X.; Cui, L. Assessing Land Resource Carrying Capacity in China’s Main Grain-Producing Areas: Spatial–Temporal Evolution, Coupling Coordination, and Obstacle Factors. Sustainability 2023, 15, 16699. [Google Scholar] [CrossRef]
- Geng, F.; Zhang, J.; Miao, C.; Shang, W.; Yuan, L. Assessment on the Urbanization Quality of China’s Main Grain-Producing Areas under the SDGs. Land 2022, 11, 1163. [Google Scholar] [CrossRef]
- Zou, S.; Zhang, L.; Huang, X.; Osei, F.; Ou, G. Early ecological security warning of cultivated lands using RF-MLP integration model: A case study on China’s main grain-producing areas. Ecol. Indic. 2022, 141, 109059. [Google Scholar] [CrossRef]
- He, H.; Guo, F.; Li, L.; Ding, R. Coupling relationship and development patterns of agricultural emission reduction, carbon sequestration, and food security. Sci. Total Environ. 2024, 955, 176810. [Google Scholar] [CrossRef] [PubMed]
- Li, Y.; You, X.; Sun, X.; Chen, J. Dynamic Assessment and Pathway Optimization of Agricultural Modernization in China Under the Sustainability Framework: An Empirical Study Based on Dynamic QCA Analysis. J. Clean. Prod. 2024, 479, 144072. [Google Scholar] [CrossRef]
- Wang, S.; Jin, M.; Liu, L.; Cao, F. Impacts of China’s Main Grain-Producing Areas on Agricultural Carbon Emissions: A Sustainable Development Perspective. Sustainability 2024, 16, 4607. [Google Scholar] [CrossRef]
- Li, C.; Wang, X.; Ji, Z.; Li, L.; Guan, X. Optimizing the Use of Cultivated Land in China’s Main Grain-Producing Areas from the Dual Perspective of Ecological Security and Leading-Function Zoning. Int. J. Environ. Res. Public Health 2022, 19, 13630. [Google Scholar] [CrossRef]
- Zhang, D.; Wang, H.; Lou, S. Research on grain production efficiency in China’s main grain-producing areas from the perspective of grain subsidy. Environ. Technol. Innov. 2021, 22, 101530. [Google Scholar] [CrossRef]
- Mohammed, S.; Arshad, S.; Bashir, B.; Ata, B.; Al-Dalahmeh, M.; Alsalman, A.; Ali, H.; Alhennawi, S.; Kiwan, S.; Harsanyi, E. Evaluating machine learning performance in predicting sodium adsorption ratio for sustainable soil-water management in the eastern Mediterranean. J. Environ. Manag. 2024, 370, 122640. [Google Scholar] [CrossRef]
- Morovati, K.; Tian, F.; Pokhrel, Y.; Someth, P.; Shi, L.; Zhang, K.; Nakhaei, P.; Ly, S. Fishery and agriculture amidst human activities and climate change in the Mekong River: A review of gaps in data and effective approaches towards sustainable development. J. Hydrol. 2024, 644, 132043. [Google Scholar] [CrossRef]
- Li, J.; Ye, Q.; Chen, W.; Kong, X.; Bi, Q.; Lu, J.; Cai, E.; Wei, H.; Feng, X.; Guo, Y. An Analysis Method of Quantitative Coupling Rationality between Urban–Rural Construction Land and Population: A Case Study of Henan Province in China. Land 2022, 11, 735. [Google Scholar] [CrossRef]
- Wei, H.; Wang, Y.; Liu, J.; Zhang, J.; Cao, Y. Coordinated development of cultivated land use and ecological protection in cities along the main stream of the Yellow River in Henan Province, China. Ecol. Indic. 2023, 156, 111143. [Google Scholar] [CrossRef]
- Adhikari, S.; Zhou, W.; Dou, Z.; Sakib, N.; Ma, R.; Chaudhari, B.; Liu, B. Analysis of Flash Drought and Its Impact on Forest Normalized Difference Vegetation Index (NDVI) in Northeast China from 2000 to 2020. Atmosphere 2024, 15, 818. [Google Scholar] [CrossRef]
- Ju, Y.; Dronova, I.; Ma, Q.; Lin, J.; Moran, M.; Gouveia, N.; Hu, H.; Yin, H.; Shang, H. Assessing Normalized Difference Vegetation Index as a Proxy of Urban Greenspace Exposure. Urban For. Urban Green. 2024, 99, 128454. [Google Scholar] [CrossRef]
- Reyes-Avila, A.D.; Baxter, R.A. Assessment of urbanization impacts in Tegucigalpa urban greenness via normalized difference vegetation index. Trees For. People 2024, 18, 100680. [Google Scholar] [CrossRef]
- García, L.; Veneros, J.; Oliva-Cruz, M.; Olivares, N.; Chavez, S.G.; Rojas-Briceño, N.B. Construction of Linear Models for the Normalized Vegetation Index (NDVI) for Coffee Crops in Peru Based on Historical Atmospheric Variables from the Climate Engine Platform. Atmosphere 2024, 15, 923. [Google Scholar] [CrossRef]
- Singh, S.; Kumar, P.; Parijat, R.; Gonengcil, B.; Rai, A. Establishing the relationship between land use land cover, normalized difference vegetation index and land surface temperature: A case of Lower Son River Basin, India. Geogr. Sustain. 2024, 5, 265–275. [Google Scholar] [CrossRef]
- Rahaman, S.; Tu, X.; Ahmad, K.; Qadeer, A. A real-time assessment of hazardous atmospheric pollutants across cities in China and India. J. Hazard. Mater. 2024, 479, 135711. [Google Scholar] [CrossRef]
- Mukherjee, A.; Panda, J.; Choudhury, A.; Singh, S.; Bhattacharyya, S. Analyzing urban footprints over four coastal cities of India and the association with rainfall and temperature using deep learning models. Urban Clim. 2024, 57, 102123. [Google Scholar] [CrossRef]
- Ying, O.; Yang, J.; Huang, Y.; Leininger, T.D.; Chastain, D. Evidence of higher evapotranspiration in croplands than in forestlands in four Mississippi watersheds over the past decade. Agric. Water Manag. 2024, 302, 108992. [Google Scholar]
- Ahmed, M.A.M.; Zubair, S.M. A generalized artificial neural network approach to model multiple-extraction humidification-dehumidification systems. Int. Commun. Heat Mass Transf. 2024, 159, 108188. [Google Scholar] [CrossRef]
- Gao, W.; Liao, Y.; Chen, Y.; Lai, C.; He, S.; Wang, Z. Enhancing transparency in data-driven urban pluvial flood prediction using an explainable CNN model. J. Hydrol. 2024, 645, 132228. [Google Scholar] [CrossRef]
- Guo, Y.; Cheng, L.; Ding, A.; Yuan, Y.; Li, Z.; Hou, Y.; Ren, L.; Zhang, S. Geodetector model-based quantitative analysis of vegetation change characteristics and driving forces: A case study in the Yongding River basin in China. Int. J. Appl. Earth Obs. Geoinf. 2024, 132, 104027. [Google Scholar] [CrossRef]
- Patriota, E.G.; Bertrand, G.F.; Almeida, C.d.N.; Claudino, C.M.d.A.; Coelho, V.H.R. Heat the road again! Twenty years of surface urban heat island intensity (SUHII) evolution and forcings in 21 tropical metropolitan regions in Brazil from remote sensing analyses. Sustain. Cities Soc. 2024, 113, 105629. [Google Scholar] [CrossRef]
- Li, J.; Feng, Y.; Tan, C.; Hai, Y.; Hu, Z.; Li, Z.; Liu, J.; Wang, H.; Li, C.; Tang, W. Genetic structure and dynamic population diversity of Phytophthora infestans during 2010–2021 in Yunnan, China. J. Plant Pathol. 2024. [Google Scholar] [CrossRef]
- Li, S.; Xia, S.-w.; Nakamura, A.; Yang, X. Regional and local patterns of soil arthropod diversity are explained by different processes in southwest China. Catena 2024, 246, 108426. [Google Scholar] [CrossRef]
- Bi, C.; Yang, K.; Zhang, S.; Zeng, W.; Liu, J.; Rao, Y.; Ma, Y.; Yang, X. Simulation and analysis of afforestation potential areas under different development scenarios in Yunnan Province, China. Ecol. Indic. 2024, 167, 112695. [Google Scholar] [CrossRef]
- Sun, L. Impact of Cultivated Land-use Change on the Cultivated Land Pressure in Jilin Province of China from 1980 to 2015. J. Resour. Ecol. 2023, 14, 581–590. [Google Scholar]
- Deng, Y.; Jiang, L.; Xu, L.; Hao, X.; Zhang, S.; Xu, M.; Zhu, P.; Fu, S.; Liang, Y.; Yin, H.; et al. Spatial distribution and risk assessment of heavy metals in contaminated paddy fields—A case study in Xiangtan City, southern China. Ecotoxicol. Environ. Saf. 2019, 171, 281–289. [Google Scholar] [CrossRef]
- Li, S.; Zhang, Y.; Liu, X.; Liu, J.; Liu, G.; Yan, D.; Wu, W. The economic, health, and environmental impacts of both visible and invisible maize losses in Jilin, China. J. Clean. Prod. 2024, 476, 143770. [Google Scholar] [CrossRef]
- Qian, B.; Shao, C.; Yang, F. Spatial suitability evaluation of the conversion and utilization of crop straw resources in China. Impact Assess. Rev. 2024, 105, 107438. [Google Scholar] [CrossRef]
- Yang, G.; Li, S.; Wang, H.; Wang, L. Study on agricultural cultivation development layout based on the matching characteristic of water and land resources in North China Plain. Agric. Water Manag. 2022, 259, 107272. [Google Scholar] [CrossRef]
- Guo, P.; Zhang, F.; Wang, H. The response of ecosystem service value to land use change in the middle and lower Yellow River: A case study of the Henan section. Ecol. Indic. 2022, 140, 109019. [Google Scholar] [CrossRef]
- Islam, M.Z. Why does Australia need to mitigate food loss and waste to ensure food security? Sustain. Dev. 2024, 32, 5208–5223. [Google Scholar] [CrossRef]
- Chen, L.; Zhou, G.; Feng, B.; Wang, C.; Luo, Y.; Li, F.; Shen, C.; Ma, D.; Zhang, C.; Zhang, J. Saline-alkali land reclamation boosts topsoil carbon storage by preferentially accumulating plant-derived carbon. Sci. Bull. 2024, 69, 2948–2958. [Google Scholar] [CrossRef]
- Ahmad, T.; Ahsan, S.; Farooq, M.A.; Gulzar, M.; Mubben, M.; Hussain, A.; Ahmed, A.; Asif, A.; Kauser, S.; Najam, A.; et al. Role of Smart Agriculture Techniques in Food Security: A Systematic Review. J. Agron. Crop Sci. 2024, 210, 12758. [Google Scholar] [CrossRef]
- Lyu, Y.; Wang, P.; Bai, X.; Xuecao, L.; Ye, X.; Hu, Y.; Zhang, J. Machine Learning Techniques and Interpretability for Maize Yield Estimation Using Time-Series Images of Modis and Multi-Source Data. Comput. Electron. Agric. 2024, 222, 109063. [Google Scholar] [CrossRef]
- Li, X.; Pan, Y.; Zhu, C.; Tang, L.; Bai, Z.; Liu, Y.; Gu, X.; Gao, Y.; Zhou, Y.; Gao, B. Priority areas identification for arable soil pollution prevention based on the accumulative risk of heavy metals. Sci. Total Environ. 2024, 954, 176440. [Google Scholar] [CrossRef] [PubMed]









| Factor Type | Factor | Unit | Data Sources |
|---|---|---|---|
| Topographic factors (TF) | Digital Elevation Model (DEM) | m | NASA EARTHDATA https://nasadaacs.eos.nasa.gov/ (accessed on 7 October 2024) |
| Slope | ° | / | |
| Climate factors (CF) | Precipitation (Precip.) | mm | Institute of Tibetan Plateau Research Chinese Academy of Sciences https://data.tpdc.ac.cn/ (accessed on 7 October 2024) |
| Average temperature (Avg. Temp) | °C | ||
| Human activity factors (HF) | Power Consumption (PC) | kWh | Scientific Data https://doi.org/10.6084/m9.figshare.17004523.v1 (accessed on 7 October 2024) |
| Primary Industry (PI) | ten thousand yuan (CNY) | China County Statistical Yearbook | |
| Secondary Industry (SI) | ten thousand yuan (CNY) | ||
| Tertiary Industry (TI) | ten thousand yuan (CNY) | ||
| Gross Domestic Product (GDP) | ten thousand yuan (CNY) | ||
| Population Density (Pop. Dens.) | people/km2 | ||
| Non-Agricultural Population (Non-Ag Pop.) | ten thousand people | ||
| Registered Population (Reg. Pop.) | ten thousand people | ||
| General Budget Expenditure of Local Finance (GBE) | ten thousand yuan (CNY) | China City Statistical Yearbook | |
| General Budget Revenue of Local Finance (GBR) | ten thousand yuan (CNY) | ||
| Completed Investment in Residential development (CIRD) | ten thousand square meters (m2) | ||
| Total Amount of Real Estate Development (TRED) | ten thousand square meters (m2) |
| Sen (Reclassify) | MK (Reclassify) | Sen-MK (Reclassify) | Trend of CLUI |
|---|---|---|---|
| ≥0.1 (1) | ≥0.1 (1) | −4 | extreme decrease |
| −3 | significant decrease | ||
| 0.05–0.1 (2) | −2 | moderate decrease | |
| −0.1–0.1 (0) | −1 | slight decrease | |
| 0 | remains stable | ||
| 0.01–0.05 (3) | 1 | slight increase | |
| ≤0.1 (−1) | 2 | moderate increase | |
| ≤0.01 (4) | 3 | significant increase | |
| 4 | extreme increase |
| ANN Model Parameter | Before Optimization | After Optimization |
|---|---|---|
| Hidden Layer Size | 10 | 5 |
| Learning Rate | 0.05 | 0.0214 |
| Momentum | 0.9 | 0.191 |
| Regularization | 0.01 | 0.0875 |
| RMSE | 0.007 | 0.001 |
| R2 | 0.48 | 0.78 |
| RF Model Parameter | Before Optimization | After Optimization |
|---|---|---|
| number of trees | 100 | 54 |
| min leaf size | 5 | 1 |
| max depth | 20 | 50 |
| num predictors to sample | 16 | 8 |
| Learning Rate | 0.1 | 0.5 |
| RMSE | 0.00007 | 0.000002 |
| R2 | 0.74 | 0.94 |
Disclaimer/Publisher’s Note: The statements, opinions and data contained in all publications are solely those of the individual author(s) and contributor(s) and not of MDPI and/or the editor(s). MDPI and/or the editor(s) disclaim responsibility for any injury to people or property resulting from any ideas, methods, instructions or products referred to in the content. |
© 2024 by the authors. Licensee MDPI, Basel, Switzerland. This article is an open access article distributed under the terms and conditions of the Creative Commons Attribution (CC BY) license (https://creativecommons.org/licenses/by/4.0/).
Share and Cite
Zhang, H.; Zhu, C.; Jiao, T.; Luo, K.; Ma, X.; Wang, M. Analysis of the Trends and Driving Factors of Cultivated Land Utilization Efficiency in Henan Province from 2000 to 2020. Land 2024, 13, 2109. https://doi.org/10.3390/land13122109
Zhang H, Zhu C, Jiao T, Luo K, Ma X, Wang M. Analysis of the Trends and Driving Factors of Cultivated Land Utilization Efficiency in Henan Province from 2000 to 2020. Land. 2024; 13(12):2109. https://doi.org/10.3390/land13122109
Chicago/Turabian StyleZhang, Henggang, Chenhui Zhu, Tianyu Jiao, Kaiyue Luo, Xu Ma, and Mingyu Wang. 2024. "Analysis of the Trends and Driving Factors of Cultivated Land Utilization Efficiency in Henan Province from 2000 to 2020" Land 13, no. 12: 2109. https://doi.org/10.3390/land13122109
APA StyleZhang, H., Zhu, C., Jiao, T., Luo, K., Ma, X., & Wang, M. (2024). Analysis of the Trends and Driving Factors of Cultivated Land Utilization Efficiency in Henan Province from 2000 to 2020. Land, 13(12), 2109. https://doi.org/10.3390/land13122109

