Abstract
Global changes have led to significant changes in soil erosion on the Loess Plateau. Soil erosion leads to the degradation of land resources and a decline in soil fertility, adversely affecting agricultural production and the socioeconomic situation. Therefore, revealing the spatiotemporal evolution patterns of soil erosion in the Loess Plateau region and investigating the influencing factors that contribute to soil erosion are crucial for its management and restoration. In this study, the RUSLE monthly model and the Geodetector model were utilized to reveal the spatiotemporal trends of soil erosion in the Loess Plateau from 2000 to 2020 and to determine the dominant influencing factors in different periods. The main results are as follows: (1) From 2000 to 2020, the soil erosion in the Loess Plateau initially weakened and then intensified, indicating that precipitation and precipitation intensity have different effects on surface soil. (2) From 2000 to 2015, the area experiencing slight and mild erosion increased. This is attributed to the increase in vegetation coverage in the Loess Plateau region, which has alleviated soil erosion in the area. (3) From 2000 to 2020, zones of severe soil erosion were mainly located in the cities of Yan’an and Yulin and their surrounding areas. The gravity center of soil erosion shifted northwestward from Yan’an City overall, indicating an improvement in the soil erosion conditions in the Yan’an area. (4) The predominant level of soil erosion across different land-use types was slight erosion, accounting for over 40%. This may be a result of forestry ecological projects that effectively reduce soil loss. (5) In slope zones of 0–5°, slight erosion accounted for the largest area proportion. As the slope increased, the area proportion of severe and extremely severe erosion also increased. This is attributed to the protective role of vegetation on soil in gentle slope areas. (6) From 2000 to 2020, vegetation was the dominant single factor influencing the spatiotemporal changes in soil erosion, while the interactions between vegetation and land use had the largest explanatory power, indicating that changes in land-use types partially affect variations in vegetation coverage. Our research findings could provide important data support for soil erosion control and eco-environment restoration in the Loess Plateau region.
1. Introduction
Soil erosion refers to the process in which the soil surface is eroded and washed away by natural forces such as wind, water, and ice. This process leads to gradual soil loss and degradation, severely impacting the fertility of the land, water quality, and the stability of the ecosystem []. In the Loess Plateau region, soil erosion is particularly prominent due to this area’s rugged terrain, uneven precipitation, and fragile soil texture. Intense rainfall triggers runoff erosion, resulting in significant soil loss. Severe soil erosion leads to a decrease in land fertility, thereby affecting local agricultural production. Furthermore, soil erosion results in reduced vegetation cover and increased land exposure and accelerates the deterioration of the local ecological environment and ecosystem degradation. The Loess Plateau is one of China’s most important ecological regions, where soil erosion has a serious impact on surface water quality and biodiversity, affecting the stability and health of the ecosystem []. Soil erosion may cause socioeconomic problems. For example, river sedimentation in the Loess Plateau region increases the risk of flooding, reduces arable land, and leads to water shortages, all of which can cause difficulties in the lives and productivity of local residents []. Research on the spatial–temporal evolution pattern of soil erosion and its driving mechanisms on the Loess Plateau not only helps to scientifically understand the current ecological environment and issues in the region, but also holds significant importance and value for ecological environmental protection, sustainable agricultural development, water resource conservation, and disaster prevention and mitigation.
The Revised Universal Soil Loss Equation (RUSLE) was established on the basis of the Universal Soil Loss Equation (USLE) in the United States, and it has wide practicality for predicting soil erosion []. In recent years, numerous scholars have conducted in-depth research and analysis on the soil erosion conditions in multiple regions using the RUSLE. Many domestic scholars have also studied the spatiotemporal evolution pattern of soil erosion in the Loess Plateau region and investigated the driving mechanisms of soil erosion from multiple perspectives. For example, they have studied the influence of climate on the degree of soil erosion [], the impact of changes in land-use types on soil erosion [], and the effects of implementing bioengineering measures on the degree of soil erosion. These above studies are of great significance for the prediction, monitoring, and prevention of soil erosion in the Loess Plateau region. Chen et al. [] conducted a quantitative investigation of soil erosion in southern hilly and mountainous areas using GIS technology and the Revised Universal Soil Loss Equation (RUSLE) model. The study revealed the spatial distribution characteristics of soil erosion and their relationship with slope and elevation. Li et al. [] utilized the RUSLE model to calculate the soil erosion modulus in the Yanhe River Basin from 2001 to 2010 and explored the spatiotemporal variation characteristics of the soil erosion modulus in the basin. However, the study assigned values to the P-factor in the RUSLE model based solely on land-use types, lacking consideration of the impact of sedimentation ponds. Zhao et al. [] used the RUSLE and spatial analysis techniques to quantitatively analyze the spatial distribution characteristics of soil erosion and nutrient loss in Anhui Province, revealing that terrain factors such as altitude and slope dominate the spatial distribution of soil erosion intensity in this region. Zhao et al. [] used a random forest regression model to study the changes in soil erosion from 2001 to 2020 and compared predicted values with actual values. However, the study did not include a detailed stratification of the slope factor during extraction, limiting the ability to further investigate the impact of varying slopes on soil erosion. Li et al. [] investigated the characteristics of soil erosion in an entire mining area and subsidence area using the RUSLE and then quantitatively explored the effects of rainfall, terrain, and vegetation on soil erosion. Their study indicated that a key approach to effectively address soil erosion in the Loess Plateau mining areas was to strengthen vegetation restoration in these regions. Liao et al. [] simulated the soil erosion of various abandoned vegetated slopes in the Loess Plateau using different commonly used algorithms for factors in the RUSLE model. Their analysis revealed that improving the R-factor algorithm to be as precise as possible down to sub-rainfall events or daily rainfall can reduce calculation errors associated with the R-factor. The authors also explored the spatial heterogeneity of the impact of different factors on the balance of soil conservation supply and demand based on the geographically weighted regression (GWR) model []. However, the traditional RUSLE model ignored the interactions between vegetation and precipitation. The RUSLE monthly model could better consider this interactive process. In addition, the process of soil erosion in the Loess Plateau has undergone dramatic changes. The trends in soil erosion and the dominant influencing factors are urgent topics to explore.
Soil erosion is a critically important issue globally, significantly impacting agricultural production and other aspects. Many Western scholars utilize the RUSLE model to study ecological issues []. With urban expansion and natural factors at play, land and environmental degradation occur, underscoring the importance of the rational monitoring of soil erosion to provide ecological management measures. Islam et al. conducted a national erosion assessment for Bangladesh using the RUSLE model, integrating data on precipitation, soil, and other factors to identify the most vulnerable regions to erosion. Their study enhances the accuracy and confidence in estimating soil erosion []. Wei et al. utilized the RUSLE model to analyze the distribution of soil erosion factors in the Tianshan region, estimating total erosion and its distribution characteristics []. Mejía-Parada et al. evaluated the applicability of the Revised Universal Soil Loss Equation (RUSLE) model and found it suitable despite potential overestimations on slopes, contrasting it with LS-factor assessments []. Djoukbala et al. applied the RUSLE model to compute soil loss in central Algeria, offering scientific insights for managing erosion and protecting natural environments []. Abdo et al. combined the RUSLE model with GIS and RS technologies to map soil loss in western Syria, supporting soil conservation efforts []. Shin et al. used the RUSLE and SEMMA models to assess soil erosion rates post-wildfire, integrating erosion and slope factors via GIS to quantitatively evaluate erosion in wildfire-prone areas []. Therefore, the RUSLE model proves highly applicable for monitoring soil erosion, contributing to environmental improvement and reduced soil degradation.
In response to the severe soil erosion problem in the Loess Plateau region, this study quantitatively analyzed the temporal and spatial variation patterns of soil erosion in the region from 2000 to 2020 using the modified Revised Universal Soil Loss Equation (RUSLE) monthly model. The study also identified the dominant influencing factors during different periods, providing a sound scientific basis for the management and restoration of soil erosion in the Loess Plateau.
2. Materials and Methods
2.1. Study Area
The Loess Plateau is located in the central–northern part of China (100° E~114° E, 33° N~41° N), covering an area of approximately 640,000 km2 (Figure 1). It spans parts or all of seven provinces and regions: Qinghai, Gansu, Shaanxi, Shanxi, Henan, Inner Mongolia, and Ningxia. The terrain slopes downward in a wave-like pattern from northwest to southeast, with higher elevations in the northwest and lower elevations in the southeast. The region is dominated by a semi-humid and semi-arid climate, with average annual precipitation ranging from 150 to 750 mm. Precipitation decreases gradually from southeast to northwest. The vegetation cover in the Loess Plateau region is relatively sparse, mainly composed of grassland, shrubs, and scattered trees. Limited by insufficient precipitation, poor soil conditions, and human activities, vegetation growth in this area is restricted to some extent. Additionally, the loose soil texture of the Loess Plateau and concentrated and intense rainfall events lead to severe soil erosion issues. These erosive processes have significantly damaged the local ecological environment, agricultural production, and socioeconomic development in the region.

Figure 1.
Overview map of the study area.
2.2. Data Source and Preprocessing
NDVI data from 2000 to 2020 were sourced from MOD13Q1 with a spatial resolution of 250 m and a temporal resolution of 16 days. These datasets were resampled and synthesized using maximum-value compositing to obtain the monthly NDVI from 2000 to 2020. Soil data with a 1 km resolution were obtained from the Soil Research Institute of the Chinese Academy of Sciences in Nanjing. Digital Elevation Model (DEM) data were acquired from the SRTM dataset with a spatial resolution of 90 m and were subsequently processed through resampling, clipping, and projection adjustments. Land-use-type data at a scale of 1:100,000 were obtained from the Institute of Geographic Sciences and Natural Resources Research of the Chinese Academy of Sciences. This dataset included six primary land-use types: cropland, forestland, grassland, water bodies, built-up areas, and unused land.
2.3. Methods
2.3.1. RUSLE Monthly Model
The RUSLE model [], derived from the United States’ Universal Soil Loss Equation (USLE), is one of the most widely applied soil erosion models globally. This study employed the RUSLE monthly model to estimate soil erosion in the Loess Plateau region, China. The calculation formula is as follows:
where A represents the soil erosion modulus in t/(km2·a); R stands for the rainfall erosivity factor in (MJ·mm)/(km2·h·a); K denotes the soil erodibility factor in (t·km2·h)(km2·MJ·mm); LS represents the topographic factor, with L as the slope length factor and S as the slope steepness factor; C is the vegetation cover factor; and P represents the conservation practice factor.
- (1)
- Rainfall erosivity factor R
Rainfall erosivity refers to the potential of rainfall to cause soil erosion, reflecting the impact of rainfall and runoff on soil erosion, which is related to the amount and intensity of precipitation []. In this study, the rainfall erosivity factor R in the Loess Plateau region was calculated based on the improved rainfall erosivity model proposed by Liu et al. [] and others, using the following formulas:
where denotes the rainfall erosivity for the k-th month in (MJ·mm)/(km2·h·a); N is the length of the data sequence; m represents the number of erosive rainfall days in the i-th year for the k-th month; refers to the erosive rainfall amount for the j-th occurrence in the i-th year for the k-th month (mm); α and β are parameters of the erosion model; is the multi-year average value of erosive rainfall (mm); and daily rainfall ≥ 12 mm is defined as erosive rainfall.
- (2)
- Soil erodibility factor K
The soil erodibility factor K reflects the susceptibility of soil to erosion when subjected to rainfall and runoff, measuring the soil’s sensitivity to erosion []. The EPIC model is widely used for calculating the soil erodibility factor K, with the formula as follows:
where is the percentage of sand content in the soil; is the percentage of silt content in the soil; is the percentage of clay content in the soil; and is the percentage of organic carbon in the soil. .
- (3)
- Slope length–slope steepness factor LS
The slope length–slope steepness factor LS is used to assess the impact of topography on soil erosion. In general, longer slope lengths and steeper slopes indicate a greater potential for soil erosion. The calculation formula is as follows:
where L represents the slope length factor and denotes the slope length (m).
where S is the slope steepness factor, and θ represents the slope angle.
- (4)
- Vegetation cover and management factor (C)
The C-factor is the ratio of the soil erosion rate to the erosion rate of bare land (without vegetation cover). Its value typically ranges from 0 to 1, with smaller values indicating better suppression of soil erosion by vegetation cover and management practices. In this study, the value of the C-factor is calculated using the method proposed by Cai et al. []. The calculation formula is as follows:
where represents the vegetation cover factor, calculated using the following formula:
where NDVI stands for the Normalized Difference Vegetation Index; represents the vegetation index value in the absence of vegetation cover; and represents the vegetation index value under full vegetation cover.
- (5)
- Conservation practice factor P
The conservation practice factor P represents the ratio of soil erosion under actual soil conservation measures to the erosion on bare land without any measures. The value of P typically ranges from 0 to 1, with smaller values indicating better effectiveness of the conservation measures in reducing soil erosion. In this study, the values of the P-factor for different land-use types are derived based on land-use types in the Loess Plateau region and relevant research findings []. The assignment of p-values is shown in Table 1.

Table 1.
Assignment of P-factor values.
2.3.2. Gravity Center
In the study of soil erosion, calculating the centroid can help us to analyze the spatial variation in soil erosion. The centroid is the average spatial position of the erosion values across all grids. By calculating the centroid of soil erosion, one can analyze the spatial distribution and trends in soil erosion. This is valuable for formulating prevention measures, optimizing land use, and assessing environmental impacts. The calculation formulas are as follows:
where vi is the erosion value of the i-th grid; xi is the x-coordinate of the i-th grid; and yi is the y-coordinate of the i-th grid.
2.3.3. Geodetector
The Geodetector model is an effective tool for detecting spatial heterogeneity and identifying influencing factors. The Geodetector model can be used to analyze the spatial heterogeneity of soil erosion in the Loess Plateau region and evaluate the extent to which a factor explains the spatial heterogeneity of soil erosion. This method measures the explanatory power of the factor on spatial heterogeneity by calculating the q-value.
where L is the number of strata of factor X; N is the total number of samples in the entire region; Nh is the number of samples in the h-th stratum; is the variance of the attribute Y in the entire region; and is the variance of attribute Y in the h-th stratum.
The q-value ranges from 0 to 1 and is used to quantify the explanatory power of factor X on the spatial heterogeneity of attribute Y. Specifically, the larger the q-value, the more pronounced the spatial heterogeneity of Y, indicating that the factor X has a stronger explanatory power for soil erosion; conversely, the smaller the q-value, the weaker the explanatory power. A simple transformation of the q-value follows a non-central F distribution.
where is a non-central parameter and is the mean value of layer h. Significance testing can be performed using table lookup or Geodetector_2018 software.
Interaction detection is used to evaluate the combined impact of multiple factors on attribute Y. The specific steps are as follows:
Calculate the q-value for the single factors X1 and X2 on Y, denoted as q(X1) and q(X2), respectively. Then, calculate the q-value for the interaction of X1 and X2, denoted as q(X1∩X2). Compare the magnitudes of q(X1), q(X2), and q(X1∩X2) to determine the type of interaction: if q(X1∩X2) < min[q(X1), q(X2)], it indicates that the combined effect of the two factors has reduced the explanatory power on Y; if min[q(X1), q(X2)] < q(X1∩X2) < max[q(X1), q(X2)], it suggests that the explanatory power of the combined effect lies between that of the two single factors; if q(X1∩X2) > max[q(X1), q(X2)], it indicates that the combined effect of the two factors has strengthened the explanatory power on Y; if q(X1∩X2) = q(X1) + q(X2), it means that the effects of the two factors are independent of each other; and if q(X1∩X2) > q(X1) + q(X2), it suggests that the combined effect of the two factors has significantly enhanced the explanatory power on Y.
By using Geodetector software, it is possible to systematically evaluate and explain the influence of multiple factors on spatial variation phenomena such as soil erosion, revealing the driving mechanisms of soil erosion in the Loess Plateau region.
3. Results
3.1. Spatiotemporal Variation Distribution of Model Factors
The RUSLE model used in this study estimates soil erosion in the Loess Plateau region based on the rainfall erosivity factor (R), vegetation cover and management factor (C), soil erodibility factor (K), slope length and steepness factor (LS), and conservation practice factor (P). As shown in Figure 2, the R-values exhibit a decreasing trend from southeast to northwest, with high-value areas primarily concentrated in Luoyang, Xi’an, and Jincheng and their surrounding cities. The LS-factor ranges from 0 to 54, with its spatial distribution decreasing from southeast to northwest, generally mirroring the slope distribution in the study area. The P-factor values are mainly determined by land-use type: the p-values for grasslands with high, medium, and low coverage are 1, 0.8, and 0.8, respectively; paddy fields have a p-value of 0.15; drylands have a p-value of 0.35; forests, shrublands, and sparse forests all have a p-value of 1; other forested areas are assigned a p-value of 0.85; built-up areas and unused land have a p-value of 1; and water bodies have a p-value of 0. The C-factor is influenced by vegetation cover, with higher vegetation cover in the eastern and southern regions leading to lower C-values, while the central, northern, and northwestern regions have lower vegetation cover, resulting in higher C-values. The K-factor shows a spatial distribution decreasing from southeast to northwest, with low-value areas mainly found in Dongsheng City.

Figure 2.
Spatiotemporal distribution map of model factors: (a) R-factor; (b) LS-factor; (c) P-factor; (d) C-factor; (e) K-factor.
3.2. Analysis of Soil Erosion Patterns in the Loess Plateau
3.2.1. Spatial Distribution Pattern of Soil Erosion in the Loess Plateau
This study calculates the soil erosion modulus in the Loess Plateau region from 2000 to 2020 based on the RUSLE model. It categorizes the soil erosion modulus into six levels according to the Standards for Classification and Gradation of Soil Erosion (SL190-2007, Beijing, China, 2008), as shown in Table 2.

Table 2.
Classification standards for soil erosion grades.
As shown in Figure 3, the spatial distribution pattern of soil erosion in the Loess Plateau from 2000 to 2020 was generally consistent, but the intensity of the soil erosion varied across different regions. The average soil erosion modulus in the Loess Plateau for the years 2000, 2005, 2010, 2015, and 2020 was 7044.66, 7391.80, 5900.13, 3756.40, and 7184.81 t·(km2·a)⁻1, respectively. Overall, the soil erosion exhibited an overall change process of “intensification–weakening–intensification”. Slight erosion zones were primarily distributed in the western and northern parts of the Loess Plateau, such as Dongsheng City and Linhe City. Mild and moderate erosion zones were mostly distributed in transitional areas between slight and intense erosion, such as Yulin City and Guyuan County. Extreme and severe erosion zones were mainly concentrated in Xifeng City, Yan’an City, Linfen City, and Guyuan County and their surrounding areas.

Figure 3.
Distribution of soil erosion intensity in the Loess Plateau: (a) 2000; (b) 2005; (c) 2010; (d) 2015; (e) 2020.
As shown in Figure 4, the proportion of the area with slight erosion in the Loess Plateau region from 2000 to 2020 was the highest, at 49.17% to 62.27% of the total area, respectively. The severe erosion zones had the second-largest area, accounting for 8.06% to 17.26% of the total area, respectively. From 2000 to 2015, the area with slight erosion continued to increase, while that with severe erosion consistently decreased. The remaining erosion categories exhibited fluctuating changes with small variations. However, from 2015 to 2020, the area with slight erosion decreased from 62.27% to 52.54%, while that with severe erosion increased from 8.06% to 17.16%.

Figure 4.
Proportion of areas with different levels of erosion intensity.
As shown in Figure 5 and Table 3, from 2000 to 2020, the proportions of different amounts of erosion levels in the Loess Plateau were ranked from highest to lowest by erosion intensity as follows: slight erosion, mild erosion, moderate erosion, intensive erosion, extreme erosion, and severe erosion. Although the proportion of the area with slight erosion was the highest, the total amount of erosion was smaller.

Figure 5.
Proportion of areas with different erosion amounts with different levels of erosion intensity.

Table 3.
Erosion area and amount in the Loess Plateau from 2000 to 2020.
3.2.2. Distribution of Levels of Soil Erosion Intensity in Different Land-Use Types
From 2000 to 2020, slight erosion zones accounted for the highest proportion of the total area in various land-use types, while intensive, extreme, and severe erosion zones were mainly located in cultivated land, grassland, and forest areas (Figure 6). Slight and moderate erosion zones were mainly distributed across different land-use types, but with relatively low proportions of the total area. Cultivated land, forest land, and grassland were the main land-use types where soil erosion intensity changed significantly on the Loess Plateau. From 2000 to 2015, the proportion of areas with different erosion intensities in the same land-use type showed a decreasing trend. The most significant reductions in the area with severe erosion occurred in forest and grassland. However, there was a rebound in 2020, with a significant increase in the area with severe erosion in forest and grassland. Soil erosion intensification is influenced by various factors. Despite the increase in forest and grassland areas in the Loess Plateau region, helping to reduce soil erosion, the issue may still worsen in the short term due to factors such as the quality of vegetation restoration, natural elements, soil characteristics, and human activities. According to data from the “China Statistical Yearbook”, forests cover approximately 20% of the study area. Forest vegetation types in the Loess Plateau include pine forests, cypress forests, and mixed forests. Pine forests are widespread and the most common forest type in the Loess Plateau. The land-use types in the Loess Plateau are shown in Figure 7.

Figure 6.
Proportion of areas with different erosion intensities in different land-use types from 2000 to 2020: (a) 2000; (b) 2005; (c) 2010; (d) 2015; (e) 2020.

Figure 7.
Loess Plateau land-use-type distribution map.
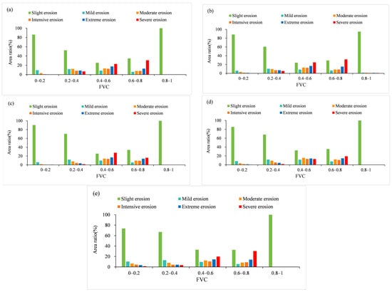
3.2.3. Distribution of Soil Erosion Intensity Under Different Vegetation Coverages
In this study, vegetation cover values in the Loess Plateau region were classified based on the vegetation coverage status into five zones: 0–0.2, 0.2–0.4, 0.4–0.6, 0.6–0.8, and 0.8–1. As shown in Figure 8, in 2000, slight erosion was primarily concentrated in the 0–0.2 coverage range, accounting for 86.05%. By 2015, the area of severe erosion decreased to the lowest level, with almost no severe erosion occurring in the 0–0.2, 0.2–0.4, and 0.8–1 coverage ranges. In 2020, the area of slight erosion within the 0–0.2 coverage range decreased to 73.63%, showing a significant decline. Overall, slight and mild erosion were primarily concentrated in areas with low vegetation cover, and their extent decreased as vegetation coverage increased. In contrast, moderate, intensive, extreme, and severe erosion types were mainly concentrated in areas within the 0.4–0.8 coverage range.

Figure 8.
Erosion intensity under different vegetation coverages from 2000 to 2020: (a) 2000; (b) 2005; (c) 2010; (d) 2015; (e) 2020.
3.2.4. Distribution of Soil Erosion Intensity on Different Slopes
In this study, the slopes in the Loess Plateau region were classified into five categories based on their gradient ranges: 0–5°, 5–10°, 10–15°, 15–20°, and >20°. As shown in Figure 9 and Table 4, the slight erosion zone accounted for the highest proportion of the total area across all slope categories, with each exceeding 40% of the total area. Within the zones of 5°–10°, slight erosion still accounted for the highest proportion of the area, but the proportion of areas with extreme and severe erosion increased significantly by 3.41% and 11.06%, respectively. The proportion of areas with moderate, intensive, and extreme erosion also showed a slight increasing trend. In zones with a slope of >10°, the proportion of areas with severe and extreme erosion showed an overall increasing trend with increased slope.

Figure 9.
Proportion of areas with different erosion intensities on different slopes.

Table 4.
Erosion conditions on different slopes.
3.2.5. Mitigation of Soil Erosion Gravity Center
The gravity center model is used to determine the concentration and location of a phenomenon in geographical space []. By analyzing the distribution and changes in the gravity center of soil erosion in the Loess Plateau over the past 20 years, the bias and unevenness of the increments and aggravation rates of soil erosion in different regions of the Loess Plateau were more intuitively revealed during various historical periods. As shown in Figure 10a, the gravity center of soil erosion in the Loess Plateau from 2000 to 2020 was mainly concentrated within Yan’an City, indicating that the erosion amount in the central and southern parts of the Loess Plateau was higher than in the northern regions over the 20-year period.

Figure 10.
Distribution of the soil erosion gravity center from 2000 to 2020. (a) Centroid distribution; (b) centroid trend.
As shown in Figure 10b, the gravity center of soil erosion in the Loess Plateau showed a significant shift from 2000 to 2020. Compared to 2000, the gravity center in 2005 moved northwestward, located in Ganquan County, indicating that the increment and aggravation rate of soil erosion in the northwestern part of the Loess Plateau were higher than in the southeastern part. From 2005 to 2010, the erosion center continued to migrate northwestward, being located in Zhidan County. In 2015, compared to 2010, the gravity center mitigated northeastward, appearing in the northern part of Ansai County. By 2020, compared to 2015, the gravity center had migrated southwestward, being located near Wuqi County. Overall, over the past 20 years, the gravity center of soil erosion in the Loess Plateau showed an overall trend of migrating northwestward.
3.2.6. Transfer Among Different Levels of Soil Erosion
As shown in Figure 11 and Table 5, from 2000 to 2005, the areas with slight erosion, mild erosion, and moderate erosion in the Loess Plateau region decreased by 2483 km2, 4350 km2, and 4143 km2, respectively. Slight erosion mainly shifted to severe erosion and mild erosion, with transitional areas of 8548 km2 and 6600 km2, respectively. Mild erosion mainly shifted to moderate erosion, with a transitional area of 10,346 km2. Most of the moderate erosion shifted to intensive erosion, with a transitional area of 15,774 km2. The areas with extreme erosion and severe erosion increased by 1716 km2 and 8789 km2, respectively.

Figure 11.
Area transfer of soil erosion intensity from 2000 to 2005.

Table 5.
Area transfer of different soil erosion intensities from 2000 to 2005.
As shown in Figure 12 and Table 6, from 2005 to 2010, the area with slight erosion increased by 33,445 km2. The zones of various erosion intensities, except for slight erosion, all shifted to slight erosion to varying degrees. The transitional area from severe erosion to slight erosion was the largest, at 20,761 km2. The areas with mild erosion, moderate erosion, and intensive erosion decreased by 1089 km2, 1460 km2, and 2305 km2, respectively. However, some areas with mild erosion, moderate erosion, and intensive erosion shifted to higher levels of erosion intensity. The area with severe erosion decreased by 21,126 km2, with a transitional area of 20,761 km2 to slight erosion and 12,480 km2 to extreme erosion.

Figure 12.
Area transfer of soil erosion intensity from 2005 to 2010.

Table 6.
Area transfer of different soil erosion intensities from 2005 to 2010.
As shown in Figure 13 and Table 7, compared to 2010, soil erosion was significantly improved. The area with slight erosion increased substantially by 51,373 km2, while that of intensive erosion, extreme erosion, and severe erosion decreased by 4084 km2, 11,451 km2, and 38,430 km2, respectively. Most of the reduction in the area with intensive erosion was associated with a shift toward moderate erosion. The area with extreme erosion mainly shifted toward intensive erosion and slight erosion, at 10,441 km2 and 16,733 km2, respectively. The regions experiencing severe erosion exhibited the most notable transitions to slight erosion and extreme erosion, with transitions of 24,509 km2 and 16,310 km2, respectively.

Figure 13.
Area transfer of soil erosion intensity from 2010 to 2015.

Table 7.
Area transfer of different soil erosion intensities from 2010 to 2015.
As shown in Figure 14 and Table 8, from 2015 to 2020, the areas with slight erosion, mild erosion, and moderate erosion all decreased to varying degrees. The area with slight erosion decreased by 62,437 km2, while those with mild erosion and moderate erosion decreased by 2776 km2 and 5990 km2, respectively. The areas with extreme erosion and severe erosion increased significantly, by 12,516 km2 and 59,114 km2, respectively. All levels of erosion intensity shifted toward severe and extreme erosion, indicating an aggravation trend in soil erosion during the period of 2015–2020.

Figure 14.
Area transfer of soil erosion intensity from 2015 to 2020.

Table 8.
Area transfer of different soil erosion intensities from 2015 to 2020.
3.3. Soil Erosion in the Loess Plateau During Different Historical Periods
3.3.1. Single-Factor Analysis
Elevation, vegetation, precipitation (Figure 15), land-use types, and topography all had significant impacts on soil erosion in the Loess Plateau region. The results of the single-factor analysis (Figure 16) indicated that, from 2000 to 2020, the q-values of the influencing factors of soil erosion, ranked from largest to smallest, were as follows: vegetation > land-use types > precipitation > topography > elevation. The q-value of vegetation was the largest, at 0.500, in 2010, and continued to increase to 0.558 in 2015. The impact of precipitation on soil erosion fluctuated across different years, dropping to its lowest value of 0.094 in 2010 but reaching its highest value of 0.196 in 2020. The impact of land-use types and topography on soil erosion remained relatively stable overall. Elevation had the smallest explanatory power for soil erosion, with its maximum q-value being only 0.022.

Figure 15.
Changes in annual average precipitation level in the Loess Plateau from 2000 to 2020.

Figure 16.
q-values for single factors from 2000 to 2020.
3.3.2. Interactive Factors
As shown in Figure 17, from 2000 to 2020, the interactions of two factors had greater impacts than single factors, with strong interactive influences observed between vegetation and elevation, land-use types, precipitation, and topography. Among them, the interaction between vegetation and land-use types was the greatest, exhibiting nonlinear enhancement, with a maximum q-value of 0.781. The interaction between vegetation and topography showed a dual-factor enhancement, with a maximum q-value of 0.572, indicating that both factors jointly had significant impacts on soil erosion. The interaction effect between vegetation coverage and precipitation also had very significant impacts on soil erosion, with a maximum q-value of 0.564.

Figure 17.
Interactive factor analysis from 2000 to 2020: (a) 2000; (b) 2005; (c) 2010; (d) 2015; (e) 2020.
4. Discussion
4.1. Changes in Soil Erosion Patterns in the Loess Plateau
During the period of 2000–2020, the soil erosion in the Loess Plateau region mainly showed an overall trend of “intensification–weakening–intensification”. The spatial distribution pattern of soil erosion remained largely consistent over the 20-year period, but the intensity of the soil erosion varied across different years. From 2000 to 2020, slight erosion zones occupied the largest area, mainly distributed in the western and northern parts of the Loess Plateau, such as Dongsheng City, Linhe City, and Wuzhong City. In these areas, there was scarce precipitation, and its splashing and flushing capacity on the surface soil was relatively weak. Moreover, these regions have gentle slopes and minimal surface runoff, resulting in relatively slight soil erosion []. Mild and moderate erosion zones were mainly concentrated in the central and southern parts of the Loess Plateau, such as Yulin City and Guyuan County. Intensive and severe erosion zones were concentrated in areas such as Xifeng City, the northern part of Yan’an City, Linfen City, and the western part of Lishi County. These areas are mostly located in hilly and gully regions with complex terrain, loose soil, and poor soil stability. Additionally, the precipitation was abundant and concentrated from June to August in these above regions, being conductive to soil erosion [].
From the perspective of erosion intensity changes, from 2000 to 2015, there was a notable increase in the area of slight and mild erosion, while that of extreme and severe erosion decreased, indicating an overall improvement in soil erosion conditions in the Loess Plateau. This trend was particularly evident in cities such as Yan’an and Yulin in the central Loess Plateau, as well as cities such as Lanzhou and Tianshui in the south, attributed to a series of forestry and ecological engineering measures implemented in the past. The increase in vegetation cover across the Loess Plateau helped to alleviate soil erosion []. Additionally, terrace construction and slope management played significant roles in soil and water conservation efforts in the region []. However, in 2020, there was a rebound in soil erosion. The areas of extreme and severe erosion significantly expanded, while those of slight erosion decreased. The extreme and severe erosion zones were concentrated in Yan’an, Xifeng, and the southwestern counties of the Loess Plateau. The aggravation of soil erosion might be linked to increased precipitation intensity and frequency resulting from extreme weather events [].
During 2000–2020, slight erosion zones predominated across all land-use categories. Soil erosion was primarily concentrated in cropland, forests, and grassland during this period. Specifically, from 2010 to 2020, compared to previous years, there was a decrease in the areas with extreme and severe erosion for cropland, forests, and grassland, with noticeable improvements in soil erosion conditions in forests. This improvement was attributed to forestry ecological projects, including the construction of check-dams in forests, which effectively reduces soil erosion [].
The gravity centers of soil erosion in the Loess Plateau region were mainly concentrated in Yan’an City and Yulin City. Over the past 20 years, the center of soil erosion has shown a trend of shifting northwestward from Yan’an City, indicating an improvement in soil erosion conditions in the Yan’an area. Over the past 20 years, the country has carried out ecological environmental management in the hilly and gully regions of the Loess Plateau []. Yan’an City was a key area for these efforts, where a series of forestry ecological projects and slope farmland management measures, such as the construction of terraces, were implemented, resulting in significant improvements in local soil erosion conditions [].
In different slope zones, slight erosion predominates, and soil erosion intensifies with increasing slope gradient. The severity of soil erosion increases accordingly, being especially significant in areas with steep slopes, consistent with the findings of Zhao et al. []. Slight erosion predominates in low-slope areas. This is because vegetation in gentle-slope areas provides good protection for the soil and has a strong interception effect on surface runoff, thus reducing soil scouring []. However, in steep-slope areas, the increase in the slope leads to higher surface runoff speed after precipitation, and the soil cohesion and stability are relatively poor, directly increasing the erosion potential on the soil.
4.2. Reasons for Soil Erosion Changes in the Loess Plateau over the Past 20 Years
The single-factor analysis indicated that from 2000 to 2020, the influence of various factors on soil erosion can be ranked in descending order: vegetation, land-use type, precipitation, topography, and altitude. The impact of vegetation on soil erosion initially increased and then decreased. During this period, due to the implementation of ecological projects such as afforestation and the conversion of cropland to forest and grassland, there were significant improvements in soil erosion conditions on the Loess Plateau []. The effect of precipitation on soil erosion fluctuated across different years, with changes in precipitation patterns and intensity having a notable impact on soil erosion. Extreme precipitation events, in particular, can increase the risk of soil erosion []. To address changes in extreme precipitation, the establishment of soil and water conservation projects and the control of surface runoff are particularly important for improving soil erosion conditions []. The effect of land-use types on soil erosion remained relatively stable overall, with the impact primarily seen in the transition from cropland to grassland and forest land. The influence of topography on soil erosion showed a gradual declining trend overall. On the Loess Plateau, slope gradient and slope length are key geomorphological factors that determine the energy of slope runoff and affect erosion []. Between 2000 and 2020, various measures and improvements for managing sloping farmland, such as the construction of terraces and vegetation restoration, positively contributed to reducing soil erosion [].
From 2000 to 2020, the influence of double-factor interactions was greater than that of single factors, with the interaction between vegetation and land-use type having the most significant impact, characterized by nonlinear enhancement. Changes in land-use types affected changes in vegetation cover to some extent. In the past 20 years, a series of forestry ecological projects have been implemented on the Loess Plateau, which not only increased the vegetation cover in the region, but also led to a transition in land-use types from cropland to forest land and grassland []. The interaction between vegetation and topography also exhibited a dual-factor enhancement, indicating that, along with increasing vegetation cover, the implementation of slope improvement and management projects should also be emphasized. For example, constructing terracing projects in areas with steep slopes could effectively mitigate the impact of slope gradient and slope length on soil erosion and could also be more conducive to vegetation growth []. In areas with steep slopes, good vegetation cover could further enhance soil stability, thereby reducing the impact of slope on soil erosion. The interaction between vegetation cover and precipitation also significantly affected soil erosion. The spatial distribution patterns of precipitation and vegetation cover on the Loess Plateau were similar, with both showing a gradual decrease from southeast to northwest. In regions with higher precipitation, strengthening vegetation restoration could reduce surface runoff and decrease the scouring effect of heavy rain on surface soil, effectively alleviating the impact of precipitation on soil erosion [].
4.3. Impact of Vegetation Types on Soil Erosion in the Loess Plateau
Vegetation is one of the most important elements in the biosphere. It is the core element that supports the life of many other organisms, serves as the engine providing ecosystem functions for life on Earth, and regulates landform and atmospheric processes [].
The vegetation types on the Loess Plateau mainly include grasslands and secondary vegetation. Due to the long-term influence of natural and human activities, natural vegetation has been severely damaged, and in most areas, it no longer exists. Only in some mountainous regions can secondary vegetation still be found. This secondary vegetation has mostly regrown under human disturbance rather than through natural succession. Due to the soil characteristics of the Loess Plateau, plant growth is limited. The soil has high permeability, which makes it difficult for plant roots to penetrate deeply and anchor themselves, thereby hindering vegetation growth. As a result, soil erosion is aggravated []. The potential vegetation types on the Loess Plateau mainly include grasslands and forests. Grasslands are primarily concentrated in the northern and northwestern regions of the plateau, while forests are mainly distributed in the southern regions. Within the potential forest areas, temperate deciduous broadleaf forests and cold–temperate evergreen coniferous forests dominate. As climate change progresses, the area covered by potential forests has declined, while the area covered by potential grasslands has increased. The vegetation distribution on the Loess Plateau follows a zonal pattern, with a general trend of transition from forests to grasslands from south to north []. In the southern plains of the Loess Plateau, the habitat suitability for potential temperate deciduous broadleaf forests is relatively high, while the habitat suitability for potential grasslands in the northern and northeastern regions is lower. As vegetation is the most significant factor influencing soil erosion on the Loess Plateau, this information provides a scientific basis for vegetation restoration and ecological construction on the plateau, which can help alleviate soil erosion in the region.
5. Conclusions
Using the RUSLE monthly model, the gravity center model, and the Geodetector model, the spatiotemporal variation patterns of soil erosion and its driving factors from 2000 to 2020 were analyzed and determined. The research conclusions were as follows:
(1) In the Loess Plateau region, the average soil erosion modulus in 2000, 2005, 2010, 2015, and 2020 was 7044.66, 7391.80, 5900.13, 3756.40, and 7184.81 t·(km2·a)⁻1, respectively. Overall, there was a trend of initial weakening followed by an intensification of soil erosion, which is related to policy efforts and climate change.
(2) From 2000 to 2020, the gravity centers of soil erosion in the Loess Plateau were primarily concentrated in Yan’an City. Over the 20-year period, the gravity centers of soil erosion generally shifted northwestward, indicating that the increment and aggravation rate of soil erosion in the northwest region of the Loess Plateau were higher than in the southeast region.
(3) Land under cultivation, forested areas, and grassland are the primary zones where soil erosion levels change in the Loess Plateau region. Conversely, erosion levels remain relatively stable in water bodies, urban areas, and unused land. As slope steepness increases, soil erosion intensifies, particularly in high-slope areas where severe and extremely severe erosion increases.
(4) As the slope increases, soil erosion tends to worsen, especially in steep areas where the proportion of severe and extremely severe erosion increases. In regions with steeper slopes, water runoff accelerates, leading to a broader extent of soil erosion.
In this study, we have only considered the effects of vegetation, precipitation, land-use types, topography, and elevation on soil erosion, while factors such as soil texture and human activities have not been explored. Future research should further investigate the interactions between different driving factors and their combined impact on soil erosion. In particular, research on extreme weather events should be emphasized, as it will help improve predictions and management of soil erosion risks.
Author Contributions
Conceptualization, methodology, and writing—original draft preparation: P.L. Investigation, supervision, project administration, and funding acquisition: B.G. and R.Z. Methodology and writing—original draft preparation: L.W. All authors have read and agreed to the published version of the manuscript.
Funding
This research was funded by the National Natural Science Foundation of China (grant numbers: 42101306, 42471329, 42301102), the Scientific Innovation Project for Young Scientists in Shandong Provincial Universities (grant number: 2022KJ224), the Natural Science Foundation of Shandong Province (grant number: ZR2021MD047), and the Gansu Youth Science and Technology Fund Program (grant number 24JRRA100).
Data Availability Statement
Data are contained within this article.
Conflicts of Interest
The authors declare no conflicts of interest.
References
- Yang, Z.S. On Delimitation of Soil and Water Loss, Erosion as well as Relevant Concepts. Mt. Res. 2001, 5, 436–445. [Google Scholar]
- Liu, Y.X.; Zheng, M.T.; Li, J.Y.; Liu, Y.X.; Hu, Y.; Xie, G.; Shen, W.B. Soil erosion situation of Baiyu Mountain in northern Shaanxi province based on CSLE. Sci. Soil Water Conserv. 2024, 22, 1–12. [Google Scholar]
- Shi, D.M. Effects of Soil Erosion on Ecological Environment and lts Countermeasures. J. Soil Water Conserv. 1991, 3, 26–34. [Google Scholar]
- Chen, Y.M.; Liu, G.B.; Zheng, F.L.; Zhang, W. Proceeding and Application on Soil Erosion Model of RUSLE. Res. Soil Water Conserv. 2004, 4, 80–83. [Google Scholar]
- Liu, Y.J.; Cheng, J.H.; Zhang, Y.J. Nonlinear Response of Soil Erosion in the Tibetan Plateau to Cliamte Change and Ecological Policies. Res. Soil Water Conserv. 2024, 31, 126–134. [Google Scholar]
- Chen, M.; Wang, X.Q.; Lin, J.L.; Yue, H.; Zhou, W.D.; Jiang, H. Quantitative Effects of Land Use and Vegetation Cover Changes on Soil Erosion in Changting County in Recent 30 Years. J. Soil Water Conserv. 2023, 37, 168–177+188. [Google Scholar]
- Chen, S.X.; Yang, X.H.; Xiao, L.L.; Cai, H.Y. Study of Soil Erosion in the Southern Hillside Area of China Based on RUSLE Model. Resour. Sci. 2014, 36, 1288–1297. [Google Scholar]
- Li, T.H.; Zheng, L.N. Soil Erosion Changes in the Yanhe Watershed from 2001 to 2010 Based on RUSLE Model. J. Nat. Resour. 2012, 27, 1164–1175. [Google Scholar]
- Zhao, M.S.; Li, D.C.; Zhang, G.L.; Cheng, X.F. Evaluation of Soil Erosion and Soil Nutrient Loss in Anhui Province Based on RUSLE Model. Acta Pedol. Sin. 2016, 53, 28–38. [Google Scholar]
- Zhao, Q.; Qin, F.C.; Zhang, H.; Dong, X.Y.; Li, Y.; Zhou, Q. Characterization of Spatial and Temporal Distribution of Soil Erosion on the Loess Plateau of Inner Mongolia and Analysis of its Influencing Factors. J. Southwest For. Univ. (Nat. Sci.) 2024, 44, 82–92. [Google Scholar]
- Li, P.F.; Huang, L.L.; Zang, Y.Z.; Hu, J.F.; Zhang, X.C.; Bai, X.; Yao, W.Q. Spatiotemporal patterns of soil erosion and its relationship with environmental changes in the Binchang mining areas on the Loess Plateau of China. Trans. Chin. Soc. Agric. Eng. 2024, 40, 158–167. [Google Scholar]
- Liao, J.; Jiao, J.Y.; Yan, Z.; Li, J.J.; Zhang, S.J. SimulationEffect Analysis of RUSLE Model on Slope Soil Erosion Restored by Reclaimed Vegetation in Loess Plateau. J. Soil Water Conserv. 2024, 38, 97–108. [Google Scholar]
- Gao, J.B.; Wang, H. Spatio-temporal Tradeoff of Karst Water Yield and Soil Erosion Based on GWR Model: A Case Study in Sancha River Basin of Guizhou Province, China. Mt. Res. 2019, 37, 518–527. [Google Scholar]
- Islam, M.R.; Jaafar, W.Z.W.; Hin, L.S.; Osman, N.; Karim, M.R. Development of an erosion model for Langat River Basin, Malaysia, adapting GIS and RS in RUSLE. Appl. Water Sci. 2020, 10, 165. [Google Scholar] [CrossRef]
- Islam, M.R.; Imran, H.M.; Islam, M.R.; Saha, G.C. A RUSLE-based comprehensive strategy to assess soil erosion in a riverine country, Bangladesh. Environ. Earth Sci. 2024, 83, 1866–6280. [Google Scholar] [CrossRef]
- Wei, W.; Liu, Y.; Zhang, L.; Li, L.H. Distribution assessment of soil erosion with revised RUSLE model in Tianshan Mountains. J. Mt. Sci. 2024, 21, 850–866. [Google Scholar] [CrossRef]
- Mejía-Parada, C.; Mora-Ruiz, V.; Vallejo-Borda, J.A.; Arrieta-Baldovino, J. Influence of LS Factor Overestimation Soil Loss on RUSLE Model for Complex Topographies. J. Indian Soc. Remote Sens. 2024, 52, 1661–1674. [Google Scholar] [CrossRef]
- Djoukbala, O.; Mazour, M.; Hasbaia, M.; Benseiama, O. Estimating of water erosion in semiarid regions using RUSLE equation under GIS environment. Environ. Earth Sci. 2018, 77, 345. [Google Scholar] [CrossRef]
- Abdo, H.; Salloum, J. Mapping the soil loss in Marqya basin: Syria using RUSLE model in GIS and RS techniques. Environ. Earth Sci. 2017, 76, 114. [Google Scholar] [CrossRef]
- Shin, S.S.; Park, S.D.; Kim, G. Applicability Comparison of GIS-Based RUSLE and SEMMA for Risk Assessment of Soil Erosion in Wildfire Watersheds. Remote Sens. 2024, 16, 932. [Google Scholar] [CrossRef]
- Renard, K.G. Predicting Soil Erosion by Walter: A Guideto Conservation Planning with the Revised Universal Soil Loss Equation (RUSLE); National Technical Information Service: Springfield, VA, USA, 1997. [Google Scholar]
- Liu, B.T.; Tao, H.P.; Song, C.F.; Guo, B.; Shi, Z.; Zhang, C.; Kong, B.; He, B. Temporal and spatial variations of rainfall erosivity in China during 1960 to 2009. Geogr. Res. 2013, 32, 245–256. [Google Scholar]
- Liu, B.T.; Song, C.F.; Shi, Z.; Tao, H.P. Soil Loss Equation of Lushan Earthquake Area. J. Chang. River Sci. Res. Inst. 2016, 33, 15–19. [Google Scholar]
- Cai, C.F.; Ding, S.W.; Shi, Z.H.; Huang, L.; Zhang, G.Y. Study of Applying USLE and Geographical Information System IlDRISl to Predict Soil Erosion in Small Watershed. J. Soil Water Conserv. 2000, 2, 19–24. [Google Scholar]
- Ru, H.; Zhang, J.J.; Li, Y.T.; Yang, Z.R.; Feng, H.C. Fractal Features of Soil Particle Size Distributions and lts Effect on Soil Erosion of Loess Plateau. Trans. Chin. Soc. Agric. Mach. 2015, 46, 176–182. [Google Scholar]
- Liu, L.; Xue, L.P.; Cui, F.; Liu, Y.; Wang, X.P. Influence of gully type and slope composition on the gravity erosion of typical small basins in the hilly and gully areas of the Loess Plateau. Sci. Soil Water Conserv. 2024, 22, 63–71. [Google Scholar]
- Tian, P.; Ren, Y.L.; Chen, Y. Research Progress on Identification and Extraction Methods of Soil and Water Conservation Measures. J. Soil Water Conserv. 2024, 12, 25–34. [Google Scholar]
- Zhang, Y.; Shi, F.H.; Zhang, Y.; Li, M.; Cui, G.Y.; Liu, Z.Z. Temporal and Spatial Changes and Driving Factors of Soil Erosion in the Middle Reaches of the Yellow River. Res. Soil Water Conserv. 2023, 30, 1–12. [Google Scholar]
- Bai, L.L.; Shi, P.; Li, Z.B.; Li, P.; Wang, W.; Zhao, Z.; Dong, J.B. Synergistic effects of terraces and check dams on runoff and sediment yields in a slope-gully system in Loess Plateau. Trans. Chin. Soc. Agric. Eng. 2023, 39, 96–104. [Google Scholar]
- Gao, P.; Mu, X.M.; Liu, P.L.; Xin, X.G. Effects of Different Types of Land-uses and Rainfall Intensities on Soil Infiltration in Loess Plateau of China. Bull. Soil Water Conserv. 2006, 26, 1–5. [Google Scholar]
- Li, T.; Luo, Y.; Lv, Y.H. Conservation and restoration patterns and their ecological effects of the different scale ecosystems in the loess plateau. Environ. Ecol. 2019, 1, 80–83+90. [Google Scholar]
- Zhu, N.; Liu, H.; Wang, J.N.; Su, X.; Shi, N.; Luo, D.L.; Gai, A.H. Research Progress on Ecological Restoration of Landslide Damaged Land in Typical Loess Hilly Region of Loess Plateau. Pratacultural Sci. 2024, 4, 12–20. [Google Scholar]
- Chu, C.S.; Liu, B.X. Study on the Ecological and Environmental Problems and Countermeasures of Ecological Conservation and Restoration in Shanxi Provincial Loess Plateau. Res. Dev. 2019, 5, 125–131. [Google Scholar]
- Wang, J.N.; Sun, G.; Shi, F.S.; Xu, J.C.; Wu, Y.; Wu, N. Runoff and Soil Loss of a Typical Subtropical Forest Stricken by Wenchuan Earthquake. Chin. J. Appl. Environ. Biol. 2013, 19, 766–773. [Google Scholar] [CrossRef]
- Wang, R.J.; Zhang, J.F. Roles of Vegetation Buffer Zones on Non-point Source Pollution Control in Water Source Areas. Chin. J. Soil Sci. 2022, 53, 981–988. [Google Scholar]
- Li, Y.X.; Zhu, Q.K.; Shi, R.Y.; Gou, Q.P. Spatial and temporal changes of vegetation cover and its influencing factors in the Loess Plateau from 2000 to 2018. Sci. Soil Water Conserv. 2021, 19, 60–68. [Google Scholar]
- Cheng, L.; Hou, F.C. Study on impact of vegetation and climate on soil erosion changes in the Loess Plateau. Tech. Superv. Water Resour. 2024, 4, 177–181. [Google Scholar]
- Zhang, Q.; Liu, R.; Zhang, J.; Zheng, D.Y.; Zhang, L.L.; Zheng, C.G. Effects of land use on river water quality at multiple spatial and temporal scales in the Three Gorges Reservoir area under extreme weather conditions. J. Lake Sci. 2024, 36, 1096–1114. [Google Scholar]
- Wei, T.X.; Zhu, J.Z. Effects of slope length and grade on soil erosion in the gully regions in Loess Plateau. J. Beijing For. Univ. 2002, 1, 59–62. [Google Scholar]
- Zhao, Y.; Zhang, Y.E.; Wang, Z.Y.; Zhang, G.J.; Xin, Y.; Liu, B.; Wei, X.Y. Response of water and sediment to ecological construction of soil and water conservation in the typical watersheds of the Loess Plateau. Sci. Soil Water Conserv. 2024, 22, 21–26. [Google Scholar]
- Liu, Y.; Song, J.X.; Xing, L.T.; Huang, Y.L.; Gao, J.Q.; Li, X.X.; Cao, C.J.; Shi, A.Y. The impact of vegetation changes on soil erosion in the Loess Plateau. J. Northwest Univ. (Nat. Sci. Ed.) 2024, 54, 398–412. [Google Scholar]
- Gao, Y.F.; Zhang, Z.Z.; Zhang, Z.G. Slope farmland converted to terraces is effective to reduce non-point source pollution in Loess Plateau. Soil Water Conserv. Sci. Technol. Shanxi 2022, 4, 27–28+41. [Google Scholar]
- Wu, C.X.; Weng, X.X.; Xu, R.R.; Gao, P.; Mu, X.M.; Zhao, G.J. Changes in soil conservation function before and after the Grain for Green project in the Weihe River Basin. Sci. Soil Water Conserv. 2024, 22, 102–108. [Google Scholar]
- Mucina, L.; Bültmann, H.; Dierßen, K.; Theurillat, J.; Raus, T.; Čarni, A.; Šumberová, K.; Willner, W.; Dengler, J.; García, R.G.; et al. Vegetation of Europe: Hierarchical floristic classification system of vascular plant, bryophyte, lichen, and algal communities. Appl. Veg. Sci. 2016, 19 (Suppl. S1), 3–264. [Google Scholar] [CrossRef]
- Chen, H.; Wang, D.D.; Cui, Q.K.; Wang, B.; Liu, J.E.; Li, Z.B. Effects of canopy and root of grassland vegetation on erosion processes of the Loess Plateau. Acta Ecol. Sin. 2024, 44, 6841–6853. [Google Scholar]
- Yang, Y.; Zhou, D.C.; Gong, Z.N.; Liu, Z.Y.; Zhang, L.X. Ecological Vulnerability and Its Drivers of the Loess Plateau Based on Vegetation Productivity. Ecol. Environ. Sci. 2022, 31, 1951–1958. [Google Scholar]
Disclaimer/Publisher’s Note: The statements, opinions and data contained in all publications are solely those of the individual author(s) and contributor(s) and not of MDPI and/or the editor(s). MDPI and/or the editor(s) disclaim responsibility for any injury to people or property resulting from any ideas, methods, instructions or products referred to in the content. |
© 2024 by the authors. Licensee MDPI, Basel, Switzerland. This article is an open access article distributed under the terms and conditions of the Creative Commons Attribution (CC BY) license (https://creativecommons.org/licenses/by/4.0/).