The Loss and Recovery Potential of Net Ecosystem Productivity in Mining Areas: A Global Assessment Based on Data for 2000–2020
Abstract
1. Introduction
2. Materials and Methods
2.1. Data Sources
2.1.1. Global Mining Areas
2.1.2. Net Ecosystem Productivity
2.1.3. Influencing Factors
| Type of Indicator | Indicator | Units | Data Sources |
|---|---|---|---|
| Climate indicators | Standardized precipitation evapotranspiration index | Standard deviation | SPEIbase dataset |
| Annual precipitation | Mm | http://www.geodata.cn (Accessed on 10 September 2024) | |
| Maximum temperature | °C | http://www.geodata.cn (Accessed on 10 September 2024) | |
| Minimum temperature | °C | http://www.geodata.cn (Accessed on 10 September 2024) | |
| Ecological indicators | Average gross primary productivity within the 2 km buffer zone of mining area | kg C m−2 year−1 | VODCA2GPP dataset |
| Soil organic carbon | kg m−3 | https://data.apps.fao.org/glosis (Accessed on 10 September 2024) | |
| Average elevation | M | https://www.gebco.net (Accessed on 10 September 2024) | |
| Average slope | ° | Calculated using DEM | |
| Economic indicators | Mining area | km2 | Calculated from mine vectors |
| Population density | people km−2 | http://ghsl.jrc.ec.europa.eu/index.php (Accessed on 10 September 2024) | |
| Gross domestic product of mining area | billion CNY | Datasets released by Chen and Gao [33] |
2.2. Methods
2.2.1. Assessment of the Loss of NEP
2.2.2. Prediction of the NEP Recovery Potential
3. Results
3.1. Change in the NEP in the Global Mining Areas During 2000–2020
3.2. Loss of NEP in the Global Mining Areas During 2000–2020
3.3. NEP Recovery Potential in Global Mining Areas
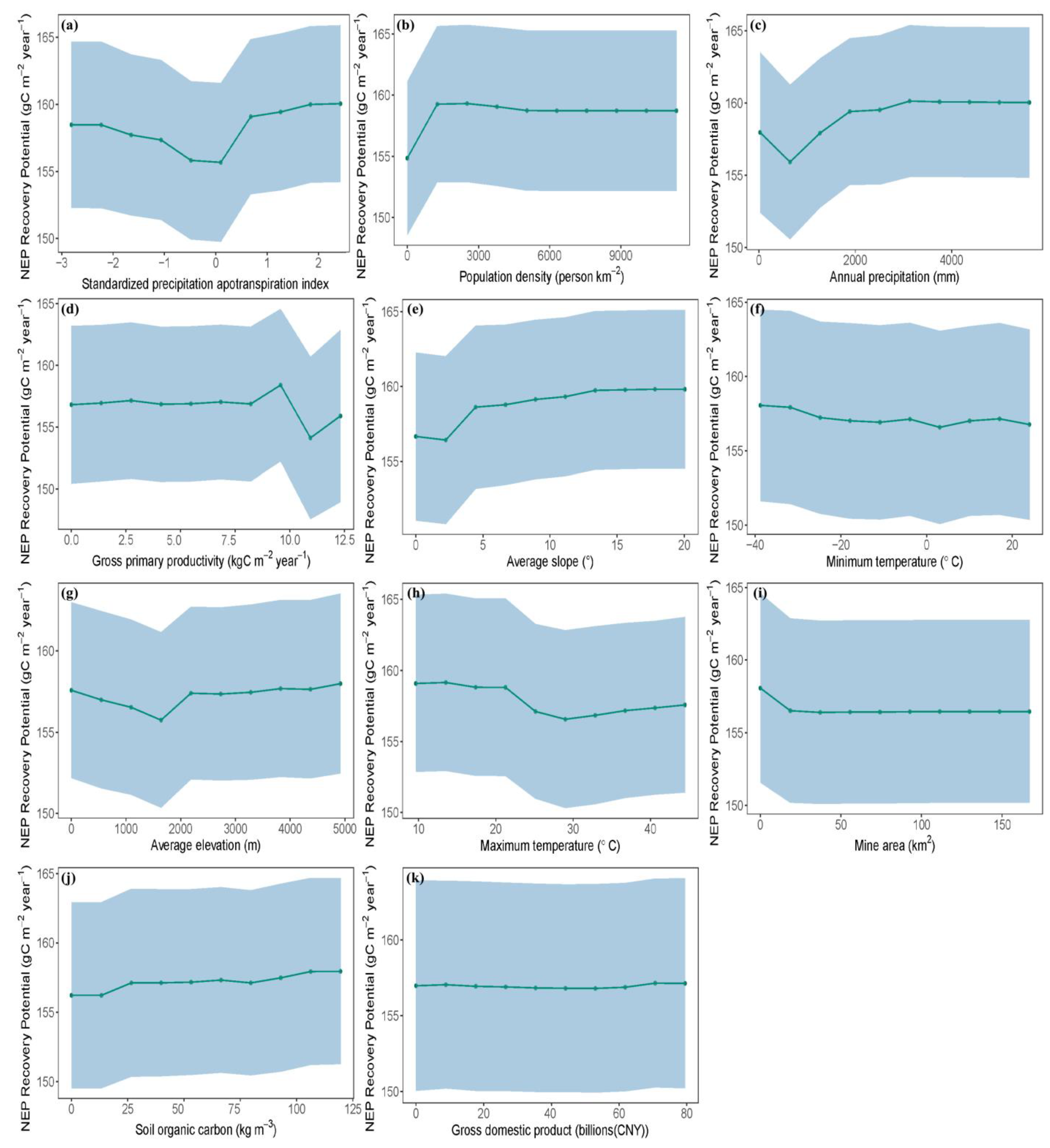
3.4. Driving Factors of NEP Recovery in Global Mining Areas
4. Discussion
4.1. Implications for Mine Ecosystem Management
4.2. Limitations and Future Work
5. Conclusions
Author Contributions
Funding
Data Availability Statement
Conflicts of Interest
References
- Buotte, P.C.; Law, B.E.; Ripple, W.J.; Berner, L.T. Carbon sequestration and biodiversity co-benefits of preserving forests in the western United States. Ecol. Appl. 2020, 30, e02039. [Google Scholar] [CrossRef] [PubMed]
- Calvin, K.; Dasgupta, D.; Krinner, G.; Mukherji, A.; Thorne, P.W.; Trisos, C.; Romero, J.; Aldunce, P.; Barrett, K.; Blanco, G.; et al. 2023: Climate Change 2023: Synthesis Report. Contribution of Working Groups I, II and III to the Sixth Assessment Report of the Intergovernmental Panel on Climate Change; Core Writing Team, Lee, H., Romero, J., Eds.; Intergovernmental Panel on Climate Change (IPCC): Geneva, Switzerland, 2023. [Google Scholar]
- de Chazournes, L.B. Kyoto Protocol to the United Nations Framework Convention on Climate Change; Kyoto Protocol: Kyoto, Japan, 1997. [Google Scholar]
- Lyu, J.; Fu, X.; Lu, C.; Zhang, Y.; Luo, P.; Guo, P.; Huo, A.; Zhou, M. Quantitative assessment of spatiotemporal dynamics in vegetation NPP, NEP and carbon sink capacity in the Weihe River Basin from 2001 to 2020. J. Clean. Prod. 2023, 428, 139384. [Google Scholar] [CrossRef]
- Mohamed, M.A.A.; Babiker, I.S.; Chen, Z.M.; Ikeda, K.; Ohta, K.; Kato, K. The role of climate variability in the inter-annual variation of terrestrial net primary production (NPP). Sci. Total Environ. 2004, 332, 123–137. [Google Scholar] [CrossRef] [PubMed]
- Locatelli, F.; Fishbane, S.; Block, G.A.; Macdougall, I.C. Targeting Hypoxia-Inducible Factors for the Treatment of Anemia in Chronic Kidney Disease Patients. Am. J. Nephrol. 2017, 45, 187–199. [Google Scholar] [CrossRef]
- Zhao, J.; Ma, J.; Zhu, Y. Evaluating impacts of climate change on net ecosystem productivity (NEP) of global different forest types based on an individual tree-based model FORCCHN and remote sensing. Glob. Planet. Chang. 2019, 182, 103010. [Google Scholar] [CrossRef]
- Zhang, C.; Bai, Q.; Han, P. A review of water rock interaction in underground coal mining: Problems and analysis. Bull. Eng. Geol. Environ. 2023, 82, 157. [Google Scholar] [CrossRef]
- Xu, D.; Zhao, Y.; Jiang, Y.; Zhang, C.; Sun, B.; He, X. Using improved edge detection method to detect mining-induced ground fissures identified by unmanned aerial vehicle remote sensing. Remote Sens. 2021, 13, 3652. [Google Scholar] [CrossRef]
- Krzyszowska, W.A. Sustainable reclamation practices for a large surface coal mine in shortgrass prairie, semiarid environment (Wyoming, USA): Case study. Int. J. Coal Sci. Technol. 2022, 9, 32. [Google Scholar] [CrossRef]
- Townsend, P.A.; Helmers, D.P.; Kingdon, C.C.; McNeil, B.E.; de Beurs, K.M.; Eshleman, K.N. Changes in the extent of surface mining and reclamation in the Central Appalachians detected using a 1976–2006 Landsat time series. Remote Sens. Environ. 2009, 113, 62–72. [Google Scholar] [CrossRef]
- Butt, N.; Beyer, H.L.; Bennett, J.R.; Biggs, D.; Maggini, R.; Mills, M.; Renwick, A.R.; Seabrook, L.M.; Possingham, H.P. Biodiversity Risks from Fossil Fuel Extraction. Science 2013, 342, 425–426. [Google Scholar] [CrossRef]
- Harfoot, M.B.J.; Tittensor, D.P.; Knight, S.; Arnell, A.P.; Blyth, S.; Brooks, S.; Butchart, S.H.M.; Hutton, J.; Jones, M.I.; Kapos, V.; et al. Present and future biodiversity risks from fossil fuel exploitation. Conserv. Lett. 2018, 11, e12448. [Google Scholar] [CrossRef]
- Owen, J.R.; Kemp, D. Mining-induced displacement and resettlement: A critical appraisal. J. Clean. Prod. 2015, 87, 478–488. [Google Scholar] [CrossRef]
- Yang, Y.; Dong, J.; Tang, J.; Zhao, J.; Lei, S.; Zhang, S.; Chen, F. Mapping Foliar C, N, and P Concentrations in An Ecological Restoration Area with Mixed Plant Communities Based on LiDAR and Hyperspectral Data. Remote Sens. 2024, 16, 1624. [Google Scholar] [CrossRef]
- Latifovic, R.; Fytas, K.; Chen, J.; Paraszczak, J. Assessing land cover change resulting from large surface mining development. Int. J. Appl. Earth Obs. Geoinf. 2005, 7, 29–48. [Google Scholar] [CrossRef]
- Waring, R.H.; Coops, N.C.; Running, S.W. Predicting satellite-derived patterns of large-scale disturbances in forests of the Pacific Northwest Region in response to recent climatic variation. Remote Sens. Environ. 2011, 115, 3554–3566. [Google Scholar] [CrossRef]
- Ma, Q.; He, C.; Fang, X. A rapid method for quantifying landscape-scale vegetation disturbances by surface coal mining in arid and semiarid regions. Landsc. Ecol. 2018, 33, 2061–2070. [Google Scholar] [CrossRef]
- Qiu, S.; Yu, Q.; Niu, T.; Fang, M.; Guo, H.; Liu, H.; Li, S.; Zhang, J. Restoration and renewal of ecological spatial network in mining cities for the purpose of enhancing carbon Sinks: The case of Xuzhou, China. Ecol. Indic. 2022, 143, 109313. [Google Scholar] [CrossRef]
- Xu, Z.; Hou, H.; Zhang, S.; Ding, Z.; Ma, C.; Gong, Y.; Liu, Y. Effects of mining activity and climatic change on ecological losses in coal mining areas. Trans. Chin. Soc. Agric. Eng. 2012, 28, 232–240. [Google Scholar]
- Hou, H.; Zhang, S.; Ding, Z.; Gong, Y.; Ma, C. Study on the measurement of ecological loss based on the net primary productivity in coal mines. J. China Coal Soc. 2012, 37, 445–451. [Google Scholar]
- Sonter, L.J.; Dade, M.C.; Watson, J.E.M.; Valenta, R.K. Renewable energy production will exacerbate mining threats to biodiversity. Nat. Commun. 2020, 11, 4174. [Google Scholar] [CrossRef]
- Akala, V.A.; Lal, R. Potential of Mine Land Reclamation for Soil Organic Carbon Sequestration in Ohio. Land Degrad. Dev. 2000, 11, 289–297. [Google Scholar] [CrossRef]
- Chen, F.; Zhu, Y.; Bi, Y.; Yang, Y.; Ma, J.; Peng, S. High-priority actions to improve carbon sequestration potential for mining ecological restoration in China. Engineering. 2024, in press. [CrossRef]
- Werner, T.T.; Mudd, G.M.; Schipper, A.M.; Huijbregts, M.A.J.; Taneja, L.; Northey, S.A. Global-scale remote sensing of mine areas and analysis of factors explaining their extent. Glob. Environ. Chang. 2020, 60, 102007. [Google Scholar] [CrossRef]
- Maus, V.; Giljum, S.; Gutschlhofer, J.; da Silva, D.M.; Probst, M.; Gass, S.L.B.; Luckeneder, S.; Lieber, M.; McCallum, I. A global-scale data set of mining areas. Sci. Data 2020, 7, 289. [Google Scholar] [CrossRef]
- Maus, V.; Giljum, S.; da Silva, D.M.; Gutschlhofer, J.; da Rosa, R.P.; Luckeneder, S.; Gass, S.L.B.; Lieber, M.; McCallum, I. An update on global mining land use. Sci. Data 2022, 9, 433. [Google Scholar] [CrossRef]
- Huang, N.; Wang, L.; Zhang, Y.L.; Gao, S.; Niu, Z. Estimating the net ecosystem exchange at global FLUXNET sites using a random forest model. J. Sel. Top. Appl. Earth Obs. Remote Sens. 2021, 14, 9826–9836. [Google Scholar] [CrossRef]
- Beguería, S.; Vicente Serrano, S.M.; Reig-Gracia, F.; Latorre Garcés, B. SPEIbase, Version 2.8; DIGITAL.CSIC.; Spanish National Research Council: Madrid, Spain, 2023.
- Wild, B.; Teubner, I.; Mösinger, L.; Zotta, R.-M.; Forkel, M.; van der Schalie, R.; Sitch, S.; Dorigo, W.A. VODCA2GPP—A new, global, long-term (1988–2020) gross primary production dataset from microwave remote sensing. Earth Syst. Sci. Data 2021, 14, 1063–1085. [Google Scholar] [CrossRef]
- Teubner, I.E.; Forkel, M.; Camps-Valls, G.; Jung, M.; Miralles, D.G.; Tramontana, G.; van der Schalie, R.; Vreugdenhil, M.; Mösinger, L.; Dorigo, W.A. A carbon sink-driven approach to estimate gross primary production from microwave satellite observations. Remote Sens. Environ. 2019, 229, 100–113. [Google Scholar] [CrossRef]
- Teubner, I.E.; Forkel, M.; Wild, B.; Mösinger, L.; Dorigo, W. Impact of temperature and water availability on microwave-derived gross primary production. Biogeosci. Discuss. 2020, 18, 3285–3308. [Google Scholar] [CrossRef]
- Chen, J.; Gao, M.; Cheng, S.; Hou, W.; Song, M.; Liu, X.; Liu, Y. Global 1 km × 1 km gridded revised real gross domestic product and electricity consumption during 1992–2019 based on calibrated nighttime light data. Sci. Data 2022, 9, 202. [Google Scholar] [CrossRef]
- Le, T.D.H.; Kattwinkel, M.; Schützenmeister, K.; Olson, J.R.; Hawkins, C.P.; Schäfer, R.B. Predicting current and future background ion concentrations in German surface water under climate change. Philos. Trans. R. Soc. B Biol. Sci. 2018, 374, 20180004. [Google Scholar] [CrossRef] [PubMed]
- Zhai, P.; Yu, R.; Guo, Y.; Li, Q.; Ren, X.; Wang, Y.; Xu, W.; Liu, Y.; Ding, Y. The strong El Niño of 2015/16 and its dominant impacts on global and China’s climate. J. Meteorol. Res. 2016, 30, 283–297. [Google Scholar] [CrossRef]
- Wei, X.; Yang, J.; Luo, P.; Lin, L.; Lin, K.; Guan, J. Assessment of the variation and influencing factors of vegetation NPP and carbon sink capacity under different natural conditions. Ecol. Indic. 2022, 138, 108834. [Google Scholar] [CrossRef]
- Ahirwal, J.; Maiti, S.K.; Singh, A.K. Changes in ecosystem carbon pool and soil CO2 flux following post-mine reclamation in dry tropical environment, India. Sci. Total Environ. 2017, 583, 153–162. [Google Scholar] [CrossRef] [PubMed]
- Chen, F.; Zhu, Y.; Ma, J.; Dong, W.; You, Y.; Yang, Y. Mechanism, potential and regulation of carbon sequestration and sink enhancement in ecological restoration of mining areas in the Loess Plateau. Coal Sci. Technol. 2023, 51, 502–513. [Google Scholar]
- Winjum, J.K.; Schroeder, P.E. Forest plantations of the world: Their extent, ecological attributes, and carbon storage. Agric. For. Meteorol. 1997, 84, 153–167. [Google Scholar] [CrossRef]
- Metsaranta, J.M.; Beauchemin, S.; Langley, S.; Tisch, B.; Dale, P. Assessing the long-term ecosystem productivity benefits and potential impacts of forests re-established on a mine tailings site. Forests 2018, 9, 707. [Google Scholar] [CrossRef]
- Chen, F.; Liu, Y.; Guo, J.; Bai, H.; Wu, Z.; Liu, Y.; Li, R. Assessing Carbon Sink Capacity in Coal Mining Areas: A Case Study from Taiyuan City. China Atmos. 2024, 15, 765. [Google Scholar] [CrossRef]
- Adeli, A.; Brooks, J.P.; Read, J.J.; McGrew, R.; Jenkins, J.N. Post-reclamation Age Effects on Soil Physical Properties and Microbial Activity Under Forest and Pasture Ecosystems. Commun. Soil Sci. Plant Anal. 2019, 50, 20–34. [Google Scholar] [CrossRef]
- Duque, J.F.M.; Pedraza, J.; Díez, A.; Sanz, M.A.; Carrasco, R.M. A geomorphological design for the rehabilitation of an abandoned sand quarry in central Spain. Landsc. Urban Plan. 1998, 42, 1–14. [Google Scholar] [CrossRef]
- Ussiri, D.A.N.; Lal, R. Carbon Sequestration in Reclaimed Minesoils. Crit. Rev. Plant Sci. 2005, 24, 151–165. [Google Scholar] [CrossRef]
- Pietrzykowski, M.; Daniels, W.L. Estimation of carbon sequestration by pine (Pinus sylvestris L.) ecosystems developed on reforested post-mining sites in Poland on differing mine soil substrates. Ecol. Eng. 2014, 73, 209–218. [Google Scholar] [CrossRef]
- Ussiri, D.A.N.; Guzman, J.G.; Lal, R.; Somireddy, U. Bioenergy crop production on reclaimed mine land in the North Appalachian region, USA. Biomass Bioenergy 2019, 125, 188–195. [Google Scholar] [CrossRef]
- Zipper, C.E.; Burger, J.A.; Barton, C.D.; Skousen, J.G. Rebuilding Soils on Mined Land for Native Forests in Appalachia. Soil Sci. Soc. Am. J. 2013, 77, 337–349. [Google Scholar] [CrossRef]
- Martín-Moreno, C.; Martín Duque, J.F.; Nicolau Ibarra, J.M.; Hernando Rodríguez, N.; Sanz Santos, M.Á.; Sánchez Castillo, L. Effects of Topography and Surface Soil Cover on Erosion for Mining Reclamation: The Experimental Spoil Heap at El Machorro Mine (Central Spain). Land Degrad. Dev. 2016, 27, 145–159. [Google Scholar] [CrossRef]
- Nehring, M.; Cheng, X. An investigation into the impact of mine closure and its associated cost on life of mine planning and resource recovery. J. Clean. Prod. 2016, 127, 228–239. [Google Scholar] [CrossRef]











| Statistics | Asia | Africa | Europe | Oceania | North America | South America | |
|---|---|---|---|---|---|---|---|
| NEP change | Mean value (g C m−2 year−1) | −14.5 | −10.9 | 5.8 | −3.4 | −14.4 | −28.6 |
| Standard deviation | 203.6 | 159.5 | 201.9 | 52.4 | 208.6 | 220.0 | |
| Skewness | 0.00 | 0.23 | −0.02 | −0.85 | −0.06 | 0.04 | |
| NEP recovery potential | Mean value (g C m−2 year−1) | 11.4 | 12.3 | 10.6 | 15.9 | 12.1 | 16.1 |
| Standard deviation | 50.2 | 48.0 | 48.4 | 51.8 | 48.8 | 50.1 | |
| Skewness | 0.08 | 0.2 | 0.24 | 0.38 | 0.14 | 0.32 | |
Disclaimer/Publisher’s Note: The statements, opinions and data contained in all publications are solely those of the individual author(s) and contributor(s) and not of MDPI and/or the editor(s). MDPI and/or the editor(s) disclaim responsibility for any injury to people or property resulting from any ideas, methods, instructions or products referred to in the content. |
© 2024 by the authors. Licensee MDPI, Basel, Switzerland. This article is an open access article distributed under the terms and conditions of the Creative Commons Attribution (CC BY) license (https://creativecommons.org/licenses/by/4.0/).
Share and Cite
Yang, Y.; Gong, R.; Liu, S.; Wu, Q.; Chen, F. The Loss and Recovery Potential of Net Ecosystem Productivity in Mining Areas: A Global Assessment Based on Data for 2000–2020. Land 2024, 13, 1913. https://doi.org/10.3390/land13111913
Yang Y, Gong R, Liu S, Wu Q, Chen F. The Loss and Recovery Potential of Net Ecosystem Productivity in Mining Areas: A Global Assessment Based on Data for 2000–2020. Land. 2024; 13(11):1913. https://doi.org/10.3390/land13111913
Chicago/Turabian StyleYang, Yongjun, Renjie Gong, Shuaihui Liu, Qinyu Wu, and Fu Chen. 2024. "The Loss and Recovery Potential of Net Ecosystem Productivity in Mining Areas: A Global Assessment Based on Data for 2000–2020" Land 13, no. 11: 1913. https://doi.org/10.3390/land13111913
APA StyleYang, Y., Gong, R., Liu, S., Wu, Q., & Chen, F. (2024). The Loss and Recovery Potential of Net Ecosystem Productivity in Mining Areas: A Global Assessment Based on Data for 2000–2020. Land, 13(11), 1913. https://doi.org/10.3390/land13111913

