Spatial Patterns and Influencing Factors of People’s Commune Sites: A Case Study of Henan Province, China
Abstract
1. Introduction
2. Literature Review
3. Materials and Methods
3.1. Data Resources
3.2. Study Area
3.3. Methods
3.3.1. Average Nearest Neighbor
3.3.2. Spatial Variability
3.3.3. Kernel Density
3.3.4. Spatial Correlation Indicators
- Global indicators of spatial correlation
- 2.
- Local indicators of spatial association (LISA)
3.3.5. Geodetector
4. Results
4.1. Mathematical Analysis of People’s Commune Sites in Henan Province
4.2. Spatial Pattern Analysis of People’s Commune Sites in Henan Province
4.2.1. Average Nearest Neighbor Analysis
4.2.2. Spatial Variability Analysis
4.2.3. Kernel Density Analysis
4.2.4. Spatial Correlation Analysis
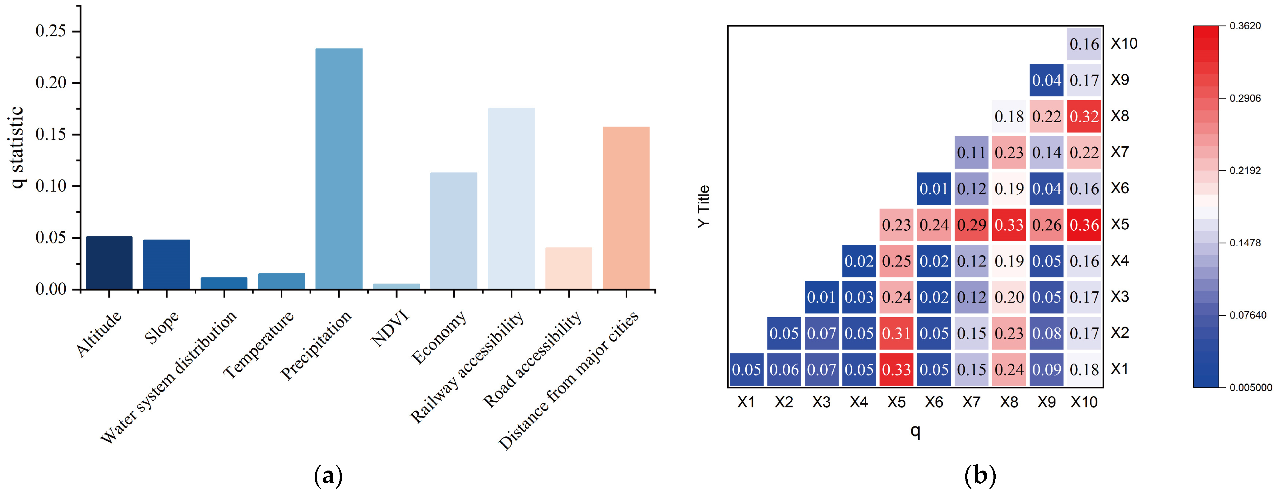
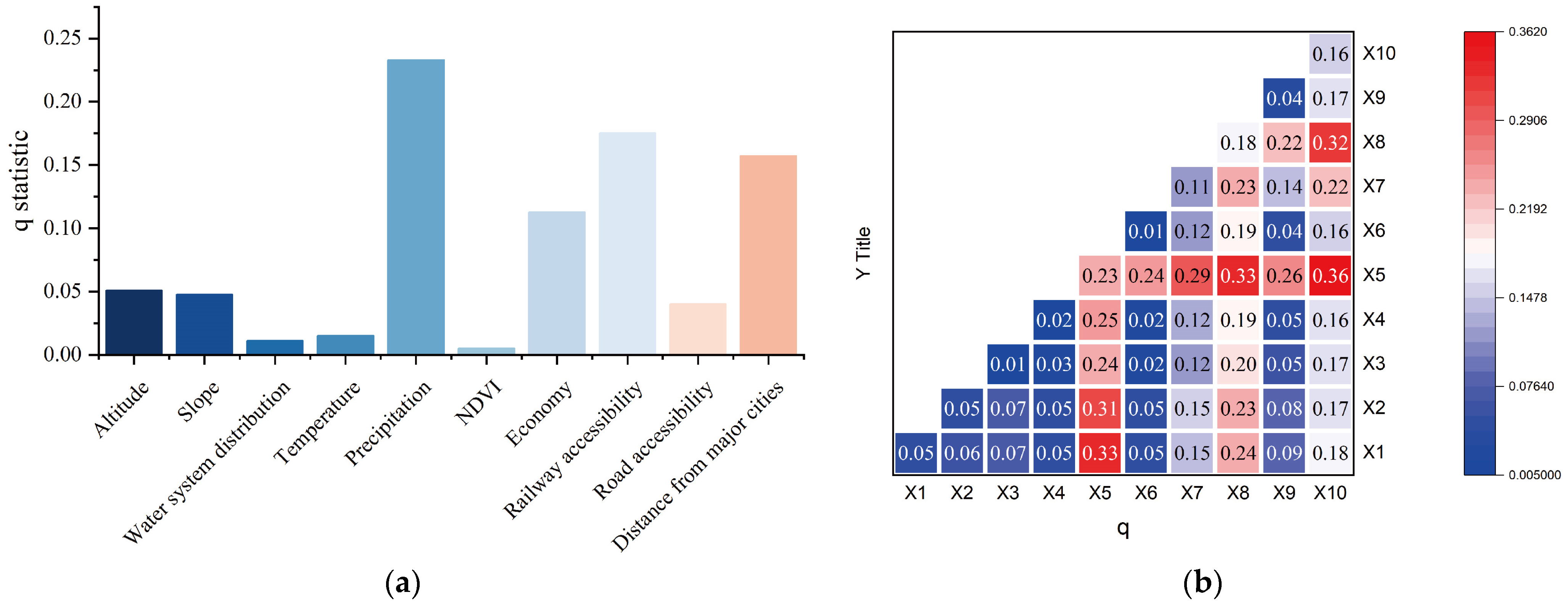
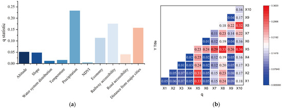
4.3. Influencing Factors of People’s Commune Sites in Henan Province
4.3.1. Natural Factors
- Altitude and slope
- 2.
- Water systems
- 3.
- Temperature and precipitation
- 4.
- Ecological environment
4.3.2. Socioeconomic Factors
- Economic development
- 2.
- Transportation conditions
- 3.
- Major cities
5. Discussion
5.1. Analysis of the Influencing Factors of People’s Commune Sites Spatial Patterns in Henan Province
5.1.1. Main Influencing Factors on the Distribution of People’s Commune Sites
5.1.2. Interaction of Factors Influencing the Spatial Distribution of People’s Commune Sites
5.2. Regionalized and Holistic Strategies for the Conservation and Spatial Governance of People’s Commune Heritage
6. Conclusions
Author Contributions
Funding
Data Availability Statement
Conflicts of Interest
References
- Yu, F.; Nakatani, N. Research on the Methodology of Regional Planning in the Design of People’s Commune. J. Archit. Plan. (Trans. AIJ) 2019, 84, 2669–2677. [Google Scholar] [CrossRef]
- O’Leary, G.; Watson, A. The Role of the People’s Commune in Rural Development in China. Pac. Aff. 1982, 55, 593–612. [Google Scholar] [CrossRef]
- Lu, D. Third World Modernism. J. Archit. Educ. 2013, 60, 40–48. [Google Scholar] [CrossRef]
- Shue, V. The Fate of the Commune. Mod. China 1984, 10, 259–283. [Google Scholar] [CrossRef]
- Hou, L. Ideal Society and ldeal Space: The Concept of Space in Chinese Utopian Thinkings. Urban Plan. Forum 2010, 4, 104–110. [Google Scholar]
- Yu, F.; Zheng, D.; Zhu, Y.; Liu, T.; Tang, G. To the Front: Architectural Education of Research-oriented Design Practice Integrating Vernacular Heritage Research and Space Renovation: Taking the Protection and Renovation of the Great Hall in Beiji Town, Huai’an, Jiangsu Province as an Example. Huazhong Archit. 2024, 42, 167–170. [Google Scholar] [CrossRef]
- Zhang, l. Farewell Ideal-Research on the System of People’s Commune; Shanghai Renmin Press: Shanghai, China, 2016. [Google Scholar]
- Luo, P. A History of Rural People’s Commune; Beijing Renmin Press: Beijing, China, 2016. [Google Scholar]
- Yan, S. People’s Communes: A Microanalysis Based on Accounting Data of Production Team X in Jiangsu Province (1965–81). In Studies on the Chinese Economy During the Mao Era; Okazaki, T., Ed.; Springer: Singapore, 2022; pp. 91–113. [Google Scholar]
- Gui, T.; He, J. A Consideration on Value Determination of Modern Important Historic and Representative Building: Illustrated by the Case of Shangsuan People’s Commune in Yunnan Province. Huazhong Archit. 2014, 32, 159–162. [Google Scholar]
- Cheng, J. Collectivisation, paradox and resistance: The architecture of people’s commune in China. J. Archit. 2023, 27, 913–948. [Google Scholar] [CrossRef]
- Tan, G.; Gao, Y.; Xue, C.Q.L.; Xu, L. ‘Third Front’ construction in China: Planning the industrial towns during the Cold War (1964–1980). Plan. Perspect. 2021, 36, 1149–1171. [Google Scholar] [CrossRef]
- Xiang, B.; Zhao, M. A Brief Review of the Residential Planning of Chinese People’s Commune. J. Urban Reg. Plan. 2020, 12, 93–106. [Google Scholar]
- Ma, X.; Zhang, Y.; Li, Y.; Li, Y.; Lin, F. Spatial–temporal distribution and evolution of the socialist built heritage in China, 1949–1978. Herit. Sci. 2023, 11, 214. [Google Scholar] [CrossRef]
- Ma, X.; Zhang, Y.; Li, Y.; Zhang, M. Basic types and evolutionary characteristics of the socialist built heritage in China, 1949–1978: Bibliometrics analysis of the People’s Daily. Herit. Sci. 2024, 12, 19. [Google Scholar] [CrossRef]
- Li, H. Soviet specialists’s urban planning technical assistance to China, 1949–1959. Plan. Perspect. 2022, 37, 815–839. [Google Scholar] [CrossRef]
- Deng, J. Integrated Development of People’s Commune Production. In An Anthology of Economic Planning and Economic Geography of People’s Communes; Science Publishers: Tianjin, China, 1959. [Google Scholar]
- Wei, F.; Wang, C.; Wei, N. Institutions and Space: The Planning Analysis of People’s Commune in Henan Suiping County under the Background of Great Leaps Forward. Archit. J. 2022, S2, 156–161. [Google Scholar]
- Yuan, Y. A Discussion on the Planning and Practice of Rural People’s Communes 1958–1962. Master’s Thesis, Chongqing University, College of Architecture and Urban Planning of Chongqing University, Chongqing, China, 2016. [Google Scholar]
- Kaifeng Normal College, Department of Geography, in the Chayashan People’s Commune Survey Planning Group; Institute of Geography, Henan Branch, Chinese Academy of Sciences. Geography of the Chayashan People’s Commune; The Commercial Press: Shangai, China, 1959. [Google Scholar]
- Bureau of Land Use, M. o. A.; People’s Republic of China. A Better Life Is Not Far Away, Promoting the Early Realization of Planning: Heilongjiang Changshou People’s Commune: Comprehensive Planning for 1958–1962 (Preliminary Draft). Sel. People’s Commune Plans (First Ser.) 1958, 1, 37–53. [Google Scholar]
- Wuhan Institute of Water Conservancy and Electric Power, Agricultural Water Conservancy Teaching and Research Group. People’s Commune Water Planning; Water Conservancy and Electric Power Press: Beijing, China, 1959. [Google Scholar]
- Chinese Academy of Agricultural Sciences, Jiangsu Branch. People’s Commune Soil Survey Land Planning Handout; Agricultural Press: Shanghai, China, 1960. [Google Scholar]
- Wu, R.; Gao, L.; Chen, R. People’s Commune Industrial Configuration. In An Anthology of Economic Planning and Economic Geography of People’s Communes; Science Publishers: Tianjin, China, 1959. [Google Scholar]
- Zhang, G. A few principles for configuring the people’s commune transport network. In An Anthology of Economic Planning and Economic Geography of People’s Communes; Science Publishers: Tianjin, China, 1959. [Google Scholar]
- Fang, S.; Zhao, Y.; Liu, X.; Yang, Y. Quantitative characteristics and influencing factors of Tibetan Buddhist religious space with monasteries as the carrier: A case study of U-Tsang, China. Herit. Sci. 2024, 12, 93. [Google Scholar] [CrossRef]
- Li, C.; Qian, Y.; Li, Z.; Tong, T. Identifying factors influencing the spatial distribution of minority cultural heritage in Southwest China. Herit. Sci. 2024, 12, 117. [Google Scholar] [CrossRef]
- Zhang, S.; Chi, L.; Zhang, T.; Ju, H. Spatial pattern and influencing factors of land border cultural heritage in China. Herit. Sci. 2023, 11, 187. [Google Scholar] [CrossRef]
- Liu, W.; Xue, Y.; Shang, C. Spatial distribution analysis and driving factors of traditional villages in Henan province: A comprehensive approach via geospatial techniques and statistical models. Herit. Sci. 2023, 11, 185. [Google Scholar] [CrossRef]
- Ji, Z.; Xu, Y.; Sun, M.; Liu, C.; Lu, L.; Huang, A.; Duan, Y.; Liu, L. Spatiotemporal characteristics and dynamic mechanism of rural settlements based on typical transects: A case study of Zhangjiakou City, China. Habitat Int. 2022, 123, 102545. [Google Scholar] [CrossRef]
- Hou, L. Production First, Livelihood Second. In Oil Spaces; Brill: Boston, MA, USA, 2021; pp. 194–208. [Google Scholar]
- Zhang, B. Historic Urban and Rural Settlements: A New Category towards Regional and Integral Conservation of Cultural Heritage. Urban Plan. Forum 2015, 6, 5–11. [Google Scholar] [CrossRef]
- Di Giovine, M.A. The Heritage-Scape: UNESCO, World Heritage, and Tourism; Lexington Books: Lanham, MD, USA, 2008. [Google Scholar]
- Günlü, E.; Pırnar, İ.; Yağcı, K. Preserving cultural heritage and possible impacts on regional development: Case of Izmir. Int. J. Emerg. Transit. Econ. 2009, 2, 213–229. [Google Scholar]
- CIIC. The ICOMOS Charter on Cultural Routes. 2016. Available online: https://www.icomos.org/images/DOCUMENTS/Charters/culturalroutes_f.pdf (accessed on 15 May 2024).
- Shao, Y.; Huang, Y. Planning and Governance of Regional Historical and Cultural Space Conservation and Development: A Case Study of the Loire Valley in France. Urban Plan. Int. 2022, 37, 111–121. [Google Scholar] [CrossRef]
- Huang, Y.; Yang, S. Spatio-temporal evolution and distribution of cultural heritage sites along the Suzhou canal of China. Herit. Sci. 2023, 11, 188. [Google Scholar] [CrossRef]
- Nakatani, N.; Shoji, K.; Suzuki, A. The Part 1 of Research on “Millennium Village”: A Study on the Methodology of Candidate Sites of “Millennium Village” and the Current Location characteristics of the Sites Recorded in the Heian Period’s Literature “Wamyô Ruiju Shô”. J. Archit. Plann. AIJ 2022, 87, 221–231. [Google Scholar] [CrossRef]
- ICOMOS. The Evaluation in the Val de Loire of Nomination File 933. 1998. Available online: https://whc.unesco.org/uploads/nominations/933.pdf (accessed on 15 May 2024).
- Chu, D.; Huang, C.; Lin, F. Spatio-temporal evolution characteristics of cultural heritage sites and their relationship with natural and cultural environment in the northern Fujian, China. Herit. Sci. 2024, 12, 210. [Google Scholar] [CrossRef]
- Li, J.; Xu, T.; Gu, X.; Lin, J.; Li, M.; Tao, P.; Dong, X.; Yao, P.; Shao, M. Scene clusters, causes, spatial patterns and strategies in the cultural landscape heritage of Tang Poetry Road in Eastern Zhejiang based on text mining. Herit. Sci. 2023, 11, 212. [Google Scholar] [CrossRef]
- Zhang, J. Conservation of the Heritage Network of Chinese Historic Cities. Shanghai Urban Plan. Rev. 2015, 05, 23–29. [Google Scholar]
- He, Y.; Deng, W.; Li, J.; Zhai, S. Research on regional types and clustered conservation strategy of ancient villages and towns in Shanxi. City Plan. Rev. 2016, 40, 85–93. [Google Scholar]
- Lovie, P. Coefficient of Variation; John Wiley & Sons, Ltd.: Hoboken, NJ, USA, 2005. [Google Scholar]
- Wang, Q.; Bing, H.; Wang, S.; Xu, Q. Study on the Spatial Distribution Characteristics and Influencing Factors of Famous Historical and Cultural Towns or Villages in Hubei Province, China. Sustainability 2022, 14, 13735. [Google Scholar] [CrossRef]
- Liu, X.; Bao, Y.; Wang, Y.; Zhang, D.; Hu, M.; Wu, X.; Wen, J.; Li, S.; Sun, M. Spatiotemporal variation characteristics of sediment nutrient load from the soil erosion of the Yangtze River Basin of China from 1901 to 2010. Ecol. Indic. 2023, 150, 110206. [Google Scholar] [CrossRef]
- Wang, J.; Xu, C. Geodetector: Principle and prospective. Acta Geogr. Sin. 2017, 72, 116–134. [Google Scholar]
- Gerrard, J. Mountain Environments: An Examination of the Physical Geography of Mountains; MIT Press: Cambridge, MA, USA, 1990. [Google Scholar]
- Fang, Y.; Jawitz, J.W. The evolution of human population distance to water in the USA from 1790 to 2010. Nat. Commun. 2019, 10, 430. [Google Scholar] [CrossRef] [PubMed]
- Black, R.; Adger, W.N.; Arnell, N.W.; Dercon, S.; Geddes, A.; Thomas, D. The effect of environmental change on human migration. Glob. Environ. Chang. 2011, 21, S3–S11. [Google Scholar] [CrossRef]
- Bond, W.J. Open Ecosystems: Ecology and Evolution Beyond the Forest Edge; Oxford University Press: Oxford, UK, 2019. [Google Scholar]
- Tan, G.; Jia, Y. The Conceptual Definition of Vernacular Built Heritage and Its Conservation Strategy from a Historical Perspective. Herit. Archit. 2018, 1, 22–31. [Google Scholar] [CrossRef]
- Yu, K. Three recommendations on the prevention of possible damage caused by the construction of new rural areas, the preservation of vernacular cultural landscapes and the preservation of industrial heritage. Chin. Landsc. Archit. 2006, 8, 8–12. [Google Scholar]
- Lu, D. Valletta Principles for the Maintenance and Management of Historic Towns and Urban Areas (adopted by the 17th Plenary Session of ICOMOS on 28 November 2011). Herit. Archit. 2017, 3, 104–111. [Google Scholar] [CrossRef]










| Data Name | Time | Data Source |
|---|---|---|
| People’s commune data | 1965 | Overview of People’s Commune, local chronicles, and field trips |
| DEM | 2000 * | RESDC (http://www.resdc.cn, accessed on 1 May 2024) |
| River | 1970 | Map of Henan Province |
| Precipitation | 1960 | RESDC (http://www.resdc.cn) |
| Temperature | 1960 | RESDC (http://www.resdc.cn) |
| NDVI | 1981 | RESDC (http://www.resdc.cn) |
| Nighttime light data | 1984 * | GRDC (http://www.gis5g.com/data/dgsj?id=247, accessed on 15 May 2024) |
| Railway | 1970 | Map of Henan Province |
| Road | 1970 | Map of Henan Province |
| Major city | 1965 | https://mzt.henan.gov.cn/2009/08-06/942858.html, accessed on 1 May 2024 |
| Number | City Name | Total Number 1 | Agriculture-Oriented Communes | Industry-Oriented Communes | Integrated Communes |
|---|---|---|---|---|---|
| 1 | Luoyang | 37 | 26 | 2 | 3 |
| 2 | Zhengzhou | 36 | 21 | 2 | 1 |
| 3 | Kaifeng | 27 | 18 | 4 | 0 |
| 4 | Xuchang | 25 | 18 | 2 | 1 |
| 5 | Anyang | 25 | 16 | 0 | 3 |
| 6 | Shangqiu | 23 | 16 | 1 | 0 |
| 7 | Nanyang | 23 | 15 | 2 | 1 |
| 8 | Pingdingshan | 20 | 14 | 0 | 2 |
| 9 | Xinxiang | 19 | 14 | 3 | 0 |
| 10 | Zhoukou | 18 | 14 | 0 | 1 |
| 11 | Xinyang | 16 | 13 | 1 | 1 |
| 12 | Luohe | 13 | 7 | 0 | 2 |
| 13 | Jiaozuo | 13 | 10 | 0 | 2 |
| 14 | Zhumadian | 11 | 8 | 0 | 0 |
| 15 | Sanmenxia | 9 | 7 | 0 | 0 |
| 16 | Puyang | 6 | 6 | 0 | 0 |
| 17 | Hebi | 4 | 2 | 0 | 0 |
| 18 | Jiyuan | 2 | 2 |
| Indicators | Detection Factors | Explanation of Indicators |
|---|---|---|
| Natural factors | X1 Altitude | The altitude of people’s commune (m) |
| X2 Slope | The slope of a people’s commune (°) | |
| X3 Water system distribution | Distance from a water system (m) | |
| X4 Temperature | The temperature of a people’s commune (°C) | |
| X5 Precipitation | The precipitation of a people’s commune (mm) | |
| X6 NDVI | Vegetation index | |
| Human factors | X7 Economy | Nighttime Lighting Index |
| X8 Railway accessibility | Distance from a railway (m) | |
| X9 Road accessibility | Distance from a road (m) | |
| X10 Distance from major cities | Distance from a main administrative unit (m) |
Disclaimer/Publisher’s Note: The statements, opinions and data contained in all publications are solely those of the individual author(s) and contributor(s) and not of MDPI and/or the editor(s). MDPI and/or the editor(s) disclaim responsibility for any injury to people or property resulting from any ideas, methods, instructions or products referred to in the content. |
© 2024 by the authors. Licensee MDPI, Basel, Switzerland. This article is an open access article distributed under the terms and conditions of the Creative Commons Attribution (CC BY) license (https://creativecommons.org/licenses/by/4.0/).
Share and Cite
Zhu, Y.; Tian, Y.; Tang, G.; Zheng, D.; Yu, F. Spatial Patterns and Influencing Factors of People’s Commune Sites: A Case Study of Henan Province, China. Land 2024, 13, 1860. https://doi.org/10.3390/land13111860
Zhu Y, Tian Y, Tang G, Zheng D, Yu F. Spatial Patterns and Influencing Factors of People’s Commune Sites: A Case Study of Henan Province, China. Land. 2024; 13(11):1860. https://doi.org/10.3390/land13111860
Chicago/Turabian StyleZhu, Yi, Yasi Tian, Guoyan Tang, Dantong Zheng, and Fei Yu. 2024. "Spatial Patterns and Influencing Factors of People’s Commune Sites: A Case Study of Henan Province, China" Land 13, no. 11: 1860. https://doi.org/10.3390/land13111860
APA StyleZhu, Y., Tian, Y., Tang, G., Zheng, D., & Yu, F. (2024). Spatial Patterns and Influencing Factors of People’s Commune Sites: A Case Study of Henan Province, China. Land, 13(11), 1860. https://doi.org/10.3390/land13111860

