Abstract
The strategic development of selenium-enriched soil cultivation is essential for effective agricultural land management. This research explores the sustainable utilization of selenium-rich soils in Qiongzhong County, Hainan Island. An extensive evaluation was conducted on 7266 surface soil samples, assessing the selenium concentrations, nutrient levels, heavy metals, pH values, and soil organic matter (SOM). In addition, analyses of 70 samples for organochlorine compounds and PAHs were performed. The results indicated average selenium content of 0.46 mg/kg, with 55.2% of the samples surpassing the selenium enrichment threshold of 0.4 mg/kg. According to the GB15618-2018 standards, 127 samples (1.75%) showed medium or high chromium-associated risks. No contamination from organochlorine compounds or PAHs was found, including the 16 priority-controlled PAHs with an average concentration of 30.3 µg/kg, confirming the soil’s high quality. The correlation and factor analysis identified surface enrichment as the main factor influencing selenium accumulation, presenting minimal environmental risks. Consequently, three categories of selenium-rich soil were defined: selenium-rich, pollution-free, and high-nutrient selenium-rich soil. Recommendations based on the soil characteristics and existing agricultural practices were made for the cultivation of selenium-rich vegetables, rubber, and nuts. This study lays a foundation for the sustainable management of selenium-rich soils, providing insights for further research and decision-making to optimize these resources, thus promoting environmental protection and agricultural sustainability.
1. Introduction
Selenium is an essential micronutrient that is crucial for human health, a deficiency of which is linked to diseases such as Keshan and Kashin–Beck diseases [1,2,3,4,5]. This element also boasts antioxidative, immune-boosting, and anti-cancer properties, justifying its description as the “element of longevity” [6,7,8]. The human intake of selenium predominantly comes from the consumption of selenium-rich crops, the selenium levels of which are contingent upon the soil’s selenium content [9,10,11]. Thus, selenium-rich soil constitutes a significant agricultural asset. While selenium is vital for health, it is important to recognize that excessive intake can lead to toxicity. Selenium toxicity, or selenosis, is characterized by symptoms such as gastrointestinal disturbances, hair loss, and neurological impairments, which can occur at levels above the tolerable upper intake level of approximately 400 µg/day for adults [3,4,6]. Nevertheless, the selenium concentration in Chinese soils falls below the global average, leading to 39–61% of the Chinese population consuming less selenium than the WHO/FAO’s recommended intake of 26–34 μg/day [12,13]. Moreover, the majority of selenium-rich soils are located in hilly regions [14], where the complex terrain complicates cultivation efforts. Therefore, formulating an agricultural strategy to cultivate selenium-rich crops in these areas is imperative to maximize the use of this limited resource and mitigate public health issues associated with selenium deficiency.
The strategy for agricultural planting on selenium-rich soils encompasses the assessment of these soils and the planning of agricultural activities [15,16]. Although previous research has extensively evaluated selenium-rich soils, these studies predominantly focus on the selenium content alone, which is insufficient for comprehensive environmental protection and land use planning [17,18]. An effective evaluation of selenium-rich soils should also consider their physical and chemical properties, including soil attributes, pollutant levels, and nutrient content [19,20,21]. Conversely, agricultural planting plans typically emphasize the land use, slope, crop climate adaptability, and economic potential, while often neglecting the soil’s physical and chemical characteristics [22,23]. The independent nature of studies on soil assessment and agricultural planning may hinder the effective utilization of selenium-rich lands [24]. Integrating these two facets is crucial to devise a coherent strategy that promotes both environmental conservation and the optimal use of agricultural resources.
Qiongzhong County in Hainan Province, previously recognized as a poverty-stricken area due to its limited transportation and economic opportunities, possesses a notably pristine environment characterized by clean air, soil, and water. This region is distinguished by its naturally selenium-rich soil, making it an ideal candidate for the pioneering of green agriculture and stimulation of economic growth [25,26]. However, balancing environmental conservation with the agricultural exploitation of selenium-rich soils presents considerable challenges. To tackle these issues, the present study conducted a comprehensive soil analysis in Qiongzhong County, focusing on the selenium concentrations, heavy metals, organochlorine compounds, polycyclic aromatic hydrocarbons (PAHs), nitrogen, and soil organic matter (SOM). This assessment facilitated the classification of the soil into various selenium-rich categories. The research objectives were multifaceted: to delineate the baseline soil properties in Qiongzhong, including selenium, heavy metals, and organic pollutants; to establish threshold values for selenium-rich soils in China; and to develop a strategic plan for selenium-rich soil utilization in hilly areas like Qiongzhong, which integrates the consideration of the selenium sources, environmental conservation, and soil characteristics. The proposed framework aims to enhance the local agricultural practices, provide critical insights for soil environmental protection, and optimize the use of selenium-rich land resources in hilly regions.
2. Materials and Methods
2.1. Study Area
Qiongzhong County is located north of Wuzhishan in the central part of Hainan Island (Figure 1), with a tropical maritime monsoon climate and annual average rainfall of 2388.2 mm [27]. The terrain mainly comprises mountains and hills, with a few intermountain basins. The soil’s parent material is mainly granite, and the soil type is predominantly mountainous red soil, with sandy loam as the primary texture [25]. The primary land use in Qiongzhong County includes orchards and forests, with a limited amount of cultivated land dedicated to growing rubber, areca nuts, green oranges, and vegetables. The study area, covering 720 km2, is located in the northeastern part of the county, features relatively gentle terrain suitable for agricultural planning, and has very few forested areas.
Figure 1.
Distribution map of the study area’s geographic location, land use, and planting planning units.
2.2. Minimum Planting Planning Unit
Minimizing their size is desirable to ensure practical and environmentally compliant planting planning units. However, achieving higher levels of precision requires greater economic investment in regional agricultural planning. Therefore, the average planting planning unit density in the study area has been designed as 10 per km2, considering the need to balance the economic costs, environmental protection, and agricultural planning.
Since the selenium and heavy metal content in the soil is influenced by factors such as the land use, parent material, soil type, and terrain [10,28], the consideration of these factors is necessary when determining the minimum planting planning units. To this end, adjacent patches with the same land use and an area of less than 0.04 km2 were merged based on the land use map, and they were subsequently overlaid with the parent material type, small watersheds, and land cover type. The minimum planting planning unit was designated, representing the smallest area surrounded by the boundaries of these patches and having the most similar environmental factors. Ultimately, 7266 minimum planting planning units were identified in the study area (Figure 1).
2.3. Survey Records and Soil Sample Collection
Before commencing the survey and soil sample collection, essential details of each planning unit, including the elevation, aspect, and slope, were obtained from the digital elevation model (DEM) data. Subsequently, the corresponding watershed for each planning unit was determined based on the watershed boundary. In contrast, the parent material of each planning unit was identified using information extracted from the geological map. Furthermore, during the on-site investigation and sampling period, we diligently verified and corrected the relevant data for each planning unit, such as the parent material, vegetation cover, and land use (Figure 1). This process was undertaken to ensure the acquisition of the most accurate and realistic information possible.
Soil samples were collected between April and November of 2019 and 2020. To ensure the representativeness of the soil samples for each planning unit, we employed the three-point combination method within a 10–15 m radius around preselected points. The careful removal of surface litter, rocks, and other debris was carried out before collecting three soil subsamples from each location, specifically at depths ranging from 0 to 20 cm. These subsamples were subjected to thorough mixing and homogenization to create composite samples. The composite samples were then securely placed in clean sample bags and stored in a designated area for air-drying. Once adequately dried, the samples underwent sieving through a 2-mm-diameter nylon sieve, preparing them for subsequent physical and chemical analysis.
In cases where notable agricultural activities were observed within the planning units, we collected two additional soil samples specifically to analyze the organochlorine and PAH content. The handling protocol for these samples differed from the previously mentioned methods; they were directly placed in brown glass bottles in the field and stored in a portable refrigerator below 4 °C until transportation to the laboratory for analysis within 7 days. The sampling protocol for the assessment of soil organic compounds generally adhered to a stratified sampling approach under various land use conditions to enhance the samples’ representativeness. Overall, 7266 soil samples were gathered to analyze factors such as selenium and heavy metals, with an additional subset of 70 samples specifically collected to examine the organochlorine and PAH content.
2.4. Analysis Methods and Quality Control
At the Hunan Geological Experiment and Testing Center, the soil samples underwent analysis for organic chlorides and PAHs. Firstly, the soil samples were dehydrated using a vacuum freeze dryer and then ground into particles smaller than 0.074 mm using an agate mortar. Subsequently, 10 ± 0.01 g of the sample was weighed, mixed with a quantified surrogate, and transferred into a paper sleeve. The paper sleeve was then placed in a Soxhlet extractor reflux tube with 150 mL of an acetone–hexane mixed solvent (volume ratio of 1:1). The sample was extracted for 16–18 h at a reflux rate of 4–6 times per hour. The extracted liquid was then collected, and the solvent was concentrated to 1–2 mL under a specific heating temperature and vacuum degree (around 300 Pa vacuum and 38 °C water bath temperature). After purification with magnesium silicate columns and nitrogen-blowing concentration, the extracted liquid was changed to the n-hexane phase and evaluated for 53 types of organic chlorides (Table 1) by gas chromatography–mass spectrometry (GC-MS).
Table 1.
Types and detection limits (DL) of 53 organic pollutants.
For PAH determination, 10 ± 0.01 g of the powdered sample was placed in a solvent extractor with 60 mL of an acetone–hexane mixed solution (volume ratio of 1:1), heated at 100 °C for 5 min, and then extracted twice with the collected extracted liquid. The extracted liquid was then evaporated, concentrated to 2 mL, and purified with an extraction column. The liquid was concentrated to 1 mL by nitrogen blowing, and GC-MS was used to test for 16 priority control PAHs (Table 2).
Table 2.
Analysis methods (AM) and detection limits (DL) for PAHs, heavy metals, pH, N, Se, and SOM.
The Yanjiao Center Laboratory of the North China Nonferrous Geological Exploration Bureau determined the soil pH, SOM, selenium, heavy metals, and nitrogen elements. To measure the soil pH, 30 g of the sample was used directly, while 50 g was crushed using a planetary mill to a particle size smaller than 0.15 mm for total organic carbon measurement. Additionally, 80 g of the sample was crushed using a planetary mill to a particle size smaller than 0.074 mm for other inorganic element analyses (Table 3).
Table 3.
Summary of basic statistical parameters for soil sample pH, SOM, nitrogen, and heavy metal elements.
Various methods were employed to maximize the advantages of each method and minimize the errors in the analysis process, considering the large number of soil samples and the importance of accuracy, sensitivity, and precision. The analysis methods and detection limits used in this study are presented in Table 1 and Table 2. The sample inorganic element analysis was based on Li et al. (2014) [34]. The analysis process was monitored by duplicate analysis, blank sample analysis, and certified reference material analysis to ensure the quality of the analysis. The relevant processes and results adhered to the industry standards in China [35].
2.5. Data Analysis
The land use and geological map data were sourced from the Hainan Institute of Geological Surveys and are accessible via the Geological Cloud website (https://geocloud.cgs.gov.cn/ (accessed on 4 March 2019)). DEM data were obtained from the Big MAP software (http://www.bigemap.com/ (accessed on 4 March 2019)). Data preprocessing was performed using Microsoft Office Excel 2016. Basic descriptive statistics were calculated using the SPSS software version 23.0. Survey unit establishment, element distribution, and planning maps were created using ArcGIS 10.7 and CorelDRAW 2019. The graphical abstract was generated using DALL·E 3 and refined with CorelDRAW 2019.
3. Results and Discussion
3.1. Main Soil Physicochemical Composition and Selenium Content
The soil pH in the study area ranged from 3.98 to 7.52, with an average of 5.44 (Table 3). Among the total samples, 14.0% displayed a soil pH below 5.0, totaling 1014 samples in this category. Factors such as high temperatures, intense rainfall, nitrogen deposition, the oxidation of sulfide minerals in the soil, and fertilizer application have been identified as contributors to soil acidification in tropical soils [36,37,38,39]. Concerning the soil composition, the nitrogen content ranged from 0.06 to 6.61 g/kg, with an average of 0.93 g/kg. Additionally, the SOM content varied from 1.09 to 135.9 g/kg, averaging 19.0 g/kg (Table 3). The distribution of nitrogen and SOM appeared relatively uniform (Figure 2a,b), closely resembling the average values of surface soils in China [35]. Furthermore, the concentrations of Al2O3, Fe2O3, and CaO in the study area ranged from 0.30% to 28.3% (average: 13.8%), 0.07% to 23.7% (average: 3.81%), and 0.04% to 8.16% (average: 0.28%), respectively. Notably, the Al2O3 levels were higher than the national average for China, while the Fe2O3 and CaO concentrations were significantly lower, resembling the average soil composition of Hainan Island [35,40]. Additionally, the overall concentrations of Al2O3, Fe2O3, and CaO were found to be lower in the northwestern region compared to the central area (Figure 3). This discrepancy could be attributed to the strong hydric and thermal conditions in the study area, which facilitate the substantial leaching of soluble ions such as Ca2⁺ and Mg2⁺, reflecting the influence of the climatic conditions on the soil chemical composition and pH [40].
Figure 2.
Distribution of soil N (a), SOM (b), and Se (c) in the study area.
Figure 3.
Distribution of soil Al2O3 (a), Fe2O3 (b), and CaO (c) in the study area.
The 97% confidence interval for the soil selenium samples in the study area ranged from 0.13 to 1.06 mg/kg, with an average value of 0.46 mg/kg, similar to the median value (Table 3). Both values were higher than the Chinese soil average of 0.174 mg/kg [14] and the selenium concentrations observed in Spain and Tanzania (Table 3). In Hainan, the fertilizers primarily consist of compound types. The average selenium content in Hainan’s compound fertilizers (n = 38), mixed fertilizers (n = 11), and urea (n = 31) is 0.08, 0.06, and 0.13 mg/kg, respectively, which are all relatively low [41]. Furthermore, due to Hainan’s status as an ecological protection zone, the use of various fertilizers is restricted, leading to minimal selenium input from agricultural practices into the soil in the study area.
The analysis revealed that the soil selenium levels were comparatively higher in the northeastern and central–western regions, with other areas exhibiting relatively uniform concentrations (Figure 2c). Nonetheless, variations in the soil Se levels may still be influenced by factors such as the parent rock types, land use, and slope gradients. Among the different soil-forming parent materials, soils derived from slate showed significantly higher Se concentrations than those from other rock types, likely due to the inheritance of high Se levels from the slate parent material (Figure 4a). In terms of land use, the Se levels were relatively high in rubber and areca nut plantations, forest areas, orchards, and tea plantations (Figure 4b), possibly due to greater SOM enrichment in these regions. The slope analysis indicated that the soil Se content showed minimal variation in areas with slopes of less than 4°, while the levels were lower in steeper areas (Figure 4c), likely due to increased leaching on high-angle terrains. Despite these observed variations, the number of high-selenium outlier points was relatively small. This observation is consistent with the region’s low coefficient of variation for soil selenium, recorded at 46.5%, suggesting overall stability in the selenium distribution across the study area.
Figure 4.
Distribution of soil Se content under different parent materials (a), land uses (b), and slopes (c) (blue for sedimentary rock, orange for metamorphic rock, pink for granite; labeled values represent the median).
3.2. Characteristics of Soil Organic Pollutants and Heavy Metals
The analysis of 70 soil samples for organic pollutants revealed that none of the 53 types of organochlorine pesticides were detected. In contrast, the average detection rate for 16 priority-controlled PAHs was 82.5%. The range of total PAHs (∑16PAHs) was 13.8–174.6 ng/g, with an average concentration of 32.1 ng/g (Table 4). Notably, the average PAH level in the Qiongzhong surface soil was significantly lower than those observed in agricultural land in Northwest Fujian (223.9 ng/g) [42] and surface soil in Italian natural reserves (134.8 ng/g) [43] and the Chinese soil background values (126 ng/g) [44]. The low-ring PAHs, including two-ring, three-ring, and four-ring PAHs, were the predominant components of the soil samples, with an average contribution of 18.1%, 27.6%, and 24.6%, respectively. Based on the soil classification system for ∑16PAHs proposed by Maliszewska-Kordybach [45], the PAH content in the Qiongzhong surface soil was categorized as uncontaminated. It was lower than the uncontaminated soil limit observed in the Netherlands (<200.0 ng/g).
Table 4.
Concentrations of PAHs in surface soil.
The statistical data for eight heavy metals within the study area are presented in Table 3. The mean concentrations of the heavy metals As, Cd, Cr, Cu, Hg, Ni, Pb, and Zn were determined to be 3.72, 0.056, 36.8, 8.88, 0.030, 10.4, 31.8, and 53.8 mg/kg, respectively. These values closely align with the soil baseline values for Hainan Island [29]. Except for Pb, all heavy metals exhibited values lower than the established Chinese background levels [30]. Based on the classification criteria for heavy metals, 127 soil samples (1.75%) were identified as having medium- or high-risk levels due to elevated chromium concentrations; see Table 3. Previous source identification studies of heavy metal pollution indicated that natural sources, particularly those associated with the weathering of acidic granite, are the primary contributors to regional heavy metal levels [46].
The levels of organochlorine and 16 PAHs in the Qiongzhong soil were found to be lower than the global average, as reported by Maliszewska-Kordybach et al. (1996) [45]. This could have been due to reduced human activity or the high temperatures and rainfall on Hainan Island, which may have increased the volatility of organic pollutants. Consequently, this resulted in lower residual concentrations or levels below the detection limits in the soil. However, the low presence of organochlorines, PAHs, and heavy metals in Qiongzhong’s soil suggests favorable environmental quality.
3.3. Criteria for Classification of Selenium-Rich Soils
Understanding the geochemical background values of selenium in soil is crucial in distinguishing whether soil is selenium-rich. Selenium is a trace element in soil, typically ranging between 0.01 and 2 mg/kg [13]. However, regional variations in the parent materials and climate contribute to significant variability in the soil selenium content [14,47]. For example, the average soil selenium content in the continental United States, the United Kingdom, and Japan is 0.26 mg/kg, 0.60 mg/kg, and 0.70 mg/kg, respectively [13]. The soil selenium’s global background value is 0.4 mg/kg [12]. Unfortunately, China’s geometric mean for soil selenium is only 0.174 mg/kg [14], considerably lower than the global average.
To address this, Tan (1989) [48] developed a criterion for selenium-rich soils based on the distribution of soil selenium levels across different geographical landscapes in China. They adopted a threshold of greater than 0.4 mg/kg as the standard for soil selenium content, which is justifiable considering the generally low background selenium concentrations in Chinese soils. Furthermore, extensive investigations have shown that soil selenium content exceeding 0.4 mg/kg leads to higher selenium levels in crops grown in the soil [13], validating this standard.
However, when aiming to cultivate selenium-rich crops, the bioavailability of soil selenium becomes more representative than the total soil selenium content [17,49]. Conducting direct tests on the soil selenium bioavailability in large-scale investigations can be costly. Nevertheless, the soil selenium bioavailability is often positively correlated with the soil pH [25,50]. Therefore, some studies have implemented appropriate adjustments based on the soil pH at the 0.4 mg/kg threshold for selenium-rich soils [51,52], thereby considering the bioavailability of soil selenium to some extent and reducing the investigation costs.
In this study, we assessed the selenium status of the land based on the soil selenium content and other physicochemical conditions. We classified selenium-rich land into three categories: selenium-rich land, pollution-free land, and high-nutrient selenium-rich land (Figure 5).
Figure 5.
Criteria for classification of selenium-rich soils.
3.3.1. Selenium-Rich Soils
Tan et al. (2002) [3] proposed reference thresholds for the soil selenium content based on their research on Keshan disease and Kashin–Beck disease in China. These thresholds are categorized as deficiency (<0.125 mg/kg), marginal levels (0.123–0.175 mg/kg), and excess levels (>3 mg/kg). Subsequently, the Chinese industry standard was established using the total soil selenium as the basis [35]. According to this standard, soils with selenium levels below 0.125 mg/kg are classified as selenium-deficient, those ranging from 0.125 to 0.175 mg/kg as potentially selenium-deficient, those ranging from 0.175 to 0.4 mg/kg as potentially selenium-rich, and those with selenium content greater than 0.4 mg/kg but less than 3 mg/kg as selenium-rich soils [35]. This widely accepted standard is extensively employed for the evaluation of soil selenium in agricultural production and soil quality [50,53,54,55]. Our study also considered selenium’s bioavailability and included soils with a pH greater than 7.5 and selenium content ranging from 0.3 to 3 mg/kg as selenium-rich soils (Figure 5).
3.3.2. Pollution-Free Selenium-Rich Soils
The accumulation of selenium in soils is often associated with other potentially toxic elements, such as heavy metals, including Cr, Ni, Cu, and Zn, in basalt selenium-rich soil areas, as well as the high Cd content in black shale, phosphate rock, and coal-bearing strata with selenium-rich soils [13,55,56,57]. These elements can affect human health by contaminating the soil [58]. Therefore, before evaluating selenium-rich soils, it is necessary to assess their heavy metal pollution [19].
The development and utilization of selenium-rich soils need to avoid heavy metal pollution and organic matter pollution. Therefore, heavy metals, organochlorine, and PAHs were evaluated according to the national standards based on evaluating selenium-rich soils (Figure 5). Soils with pollutant levels below the screening values were classified as non-risk, those between the screening values and control values were classified as having a controllable risk level, and those above the control values were classified as having a high risk level. Soils that meet the standards for selenium-rich soils and are classified as non-risk soils for heavy metals, organochlorine, and PAHs are classified as pollution-free selenium-rich soils.
3.3.3. High-Nutrient Selenium-Rich Soils
Selenium-rich soils are commonly used in agricultural planning, as crop growth necessitates substantial nutrients, such as N, P, K, and SOM [58]. Relying solely on fertilization introduces external pollutants [59]. Therefore, in evaluating selenium-rich soils, it is more appropriate to consider the natural content of N, P, K, and SOM present in the soil. By building upon the pollution-free selenium-rich soils, soils meeting specific criteria in terms of their natural N, P, K, and organic matter content can be classified as high-nutrient selenium-rich soils, thereby reducing the need for fertilizers. However, constrained by economic considerations, this study specifically concentrated on analyzing two soil nutrients: total nitrogen and SOM. Therefore, soils meeting the NYT391-2021 [60] standard regarding their total nitrogen and SOM content were categorized as high-nutrient selenium-rich soils. This classification standard is based on different land use types with the soil total nitrogen surpassing 1.0 or 1.2 g/kg and SOM exceeding 15, 20, 25, or 30 g/kg (Figure 5).
3.4. Selenium-Rich Soil Status in Qiongzhong
According to the standard criteria for selenium-enriched soil, only 1.2% of the soil in the study area was found to be selenium-deficient (<0.125 mg/kg), with excessive selenium levels observed in just one sample (3.36 mg/kg) [3]. Additionally, 55.2% of the soil was classified as selenium-enriched (Figure 6b). These findings demonstrate that a significant portion of Qiongzhong’s soil is indeed selenium-enriched, highlighting the abundant presence of this element.
Figure 6.
Risk classification of soil contaminants (a) and selenium-enriched types (b) in Qiongzhong planting units.
Applying the pollution-free selenium-enriched standard, over 99% of the selenium-enriched soil in the study area can be classified as pollution-free (Figure 6b). This classification is attributed to the organic pollutants in the area falling below the pollution threshold. Furthermore, points of medium and high risk associated with heavy metals are exceptionally limited, primarily in non-selenium-rich zones (Figure 6).
According to the high-nutrient selenium-enriched standard, only 33.8% of the soils in the study area are classified as high-nutrient selenium-enriched soil (Figure 6b). This indicates that although selenium’s abundance is notable in Qiongzhong’s soil, the nutrient enrichment is relatively modest. Conducting additional tests for phosphorus, potassium, and similar components may lead to a decrease in the proportion of high-nutrient selenium. This underscores the scarcity of high-nutrient selenium soil in selenium-rich regions, emphasizing its increased value, particularly in other geographic areas.
3.5. Soil Selenium Sources
The source of soil selenium significantly influences its biological effectiveness and serves as the foundation for the planning of selenium-rich soil resources. Soil selenium originates from natural and anthropogenic sources [61,62]. Natural sources include rock weathering, volcanic eruptions, and soil formation. In contrast, anthropogenic sources involve fossil fuel combustion, mining and smelting, and the use of fertilizers and pesticides in agriculture [63,64,65]. Zhou et al. (2020) [13] classified selenium-rich soil into three categories based on the selenium source, namely high geological background, secondary enrichment, and anthropogenic emissions, which may intersect.
Areas with a high geological background, characterized by the presence of selenium-rich phosphorite, organic-rich black shale, coal and coal-bearing strata, or metal sulfide mineralization, typically host soils with exceptionally high selenium content due to weathering processes [13,66]. In China, the selenium-rich soils in Enshi, Hubei are associated with black shale [9,67], while those in Ziyang, Shaanxi develop above carbonaceous slate [68]. In Guangxi, these soils develop on limestone and clasolite [69]. The selenium-rich nature of these soils is closely linked to the regional parent material, and those related to black rock series strata and mineralization often exhibit a strong correlation with heavy metal elements, such as selenium and cadmium [13,66]. Therefore, it is essential to consider these selenium-rich soils during soil planning.
Secondary enrichment refers to the formation of selenium-rich areas during soil formation, as selenium is easily adsorbed and forms insoluble compounds with iron and aluminum oxides, such as Fe2(OH)4SeO3, which are not able to migrate [13]. These selenium-rich areas are extensively distributed in the red soil regions of southern mountainous areas, and the soil selenium is typically closely associated with the SOM, pH, iron–aluminum oxides, and clay components [49,69,70]. Gong et al. (2022) [47] observed a significant positive correlation between the selenium in the surface soil of Hainan Island and the precipitation, pH, SOM, and iron, suggesting a close relationship between selenium in Hainan soil and the natural source of secondary enrichment during soil formation.
Additionally, human activities, such as coal mining, soil fertilization, and wastewater irrigation, have been recognized as contributing factors to the rise in soil selenium levels [13,70,71]. Therefore, the increase in soil selenium levels cannot be attributed solely to a single factor but to a combination of elements, such as the parent material, soil formation processes, and contemporary human activities.
Correlation analysis can provide an initial assessment of the sources of soil selenium and other chemical components. The Pearson correlation matrix indicates that soil selenium is significantly positively correlated with Hg, SOM, Al2O3, Fe2O3, and the elevation and significantly negatively correlated with the pH (p < 0.01) (Figure 7). Among the heavy metals, Cr, Cu, Ni, and Zn show positive correlations with CaO and Fe2O3, indicating a likely common source (Figure 7). The low correlation coefficients between Se, Hg, and other metal elements indicate distinct sources for these elements.
Figure 7.
Pearson correlation coefficients among soil Se and physicochemical properties in soil. * p < 0.05, ** p < 0.01.
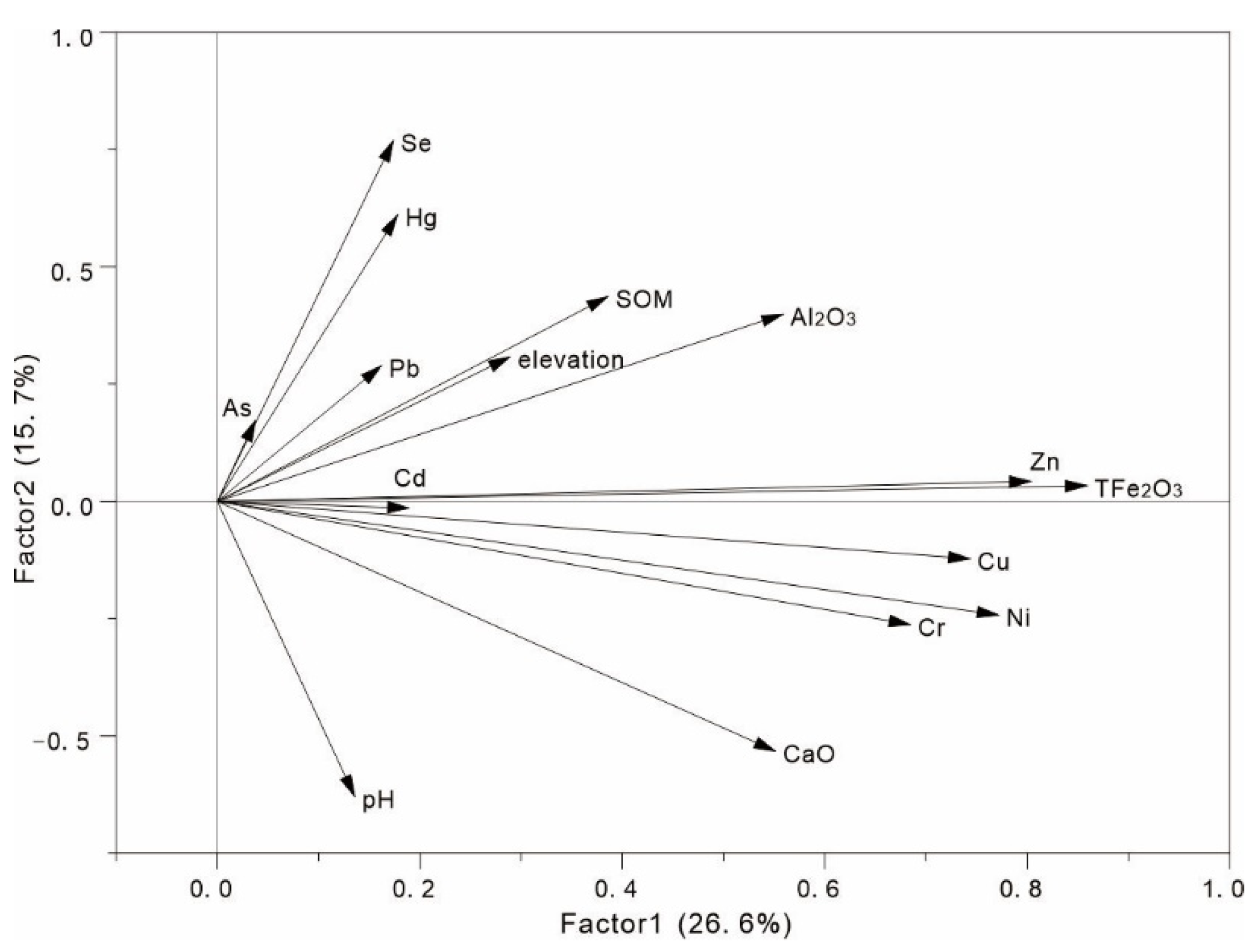
Factor analyses can further confirm the sources and relative contributions of soil elements. The KMO test result for the Qiongzhong sample data was 0.718 (greater than 0.5). Bartlett’s sphericity test yielded a statistic of 43,246 with a p-value of less than 0.01, affirming the suitability of factor analysis in obtaining meaningful results. Factor analysis was conducted on 7266 samples, standardized by the maximum variance, to extract the most significant factors from 15 soil physicochemical indicators. The principal component analysis identified two primary factors. Factor 1 is characterized by high loadings of Cr, Cu, Ni, Zn, CaO, and Fe2O3 (Figure 8). These elements are closely related to the granite background of Qiongzhong, suggesting that Factor 1 mainly reflects the regional geological background. Factor 2 shows the high loadings of Se, Hg, SOM, Al2O3, Fe2O3, and the elevation (Figure 8). Hg is typically associated with atmospheric deposition. The elevation in Qiongzhong is generally less than 2000 m, where the rainfall increases with the altitude [25], potentially influencing the deposition of Se and Hg. Al2O3 and Fe2O3 can indicate soil clay and magnetic components, which, along with SOM, may adsorb selenium and Hg-enriched particles. Additionally, higher pH levels enhance plants’ selenium uptake [72], reducing the soil selenium content and explaining the observed negative correlation between the soil pH and Se. These dominant factors represent the regional geological background and element enrichment during soil formation. The enrichment of Se is closely associated with the soil Al2O3, Fe2O3, SOM, and pH levels.
Figure 8.
Factor loading diagram of physicochemical properties in the agricultural soil of Qiongzhong.
An investigation of the parent materials reveals that the presence of selenium-rich soil in Qiongzhong is not associated with high geological backgrounds, such as coal-bearing strata or black shale formations. Additionally, evidence of current or historical mining activities or wastewater irrigation in the surrounding areas must be found. The analysis results also demonstrate that the selenium enrichment in the study area’s soil does not coincide with the accumulation of heavy metals (Figure 7). The presence of weakly acidic soil conditions facilitates the preservation of selenite in the soil, where selenium preferentially enters low-molecular-weight humic substances [73]. The selenium enrichment in the Qiongzhong soils is likely due to enhanced leaching processes from high rainfall, leading to selenium accumulation during soil formation and its adsorption by soil clay components, magnetic components, and SOM. While further evidence is needed to fully support this hypothesis, the high geological background and anthropogenic inputs can be ruled out as sources. The formation of selenium-rich soil through secondary enrichment processes in Qiongzhong does not pose an ecological risk. Considering the derived selenium-rich soils from granite in the Qiongzhong region, they represent valuable land resources with significant potential for future advancements in selenium-enriched agriculture.
3.6. Basis for Planting Plan
After mitigating the risks associated with selenium sources, a systematic screening of planting planning units becomes imperative. The pre-planting process involves selecting and evaluating contaminated soils with Se, heavy metals, and organic pollutants for remediation. Non-contaminated soils are then designated for planting. Areas with favorable planting conditions maintain the existing planting situation, while unplanted wasteland or areas with less optimal conditions undergo careful planning. Suitable crops are chosen based on their economic value, limited environmental impact, and compatibility with the local climatic conditions.
Different crops have specific requirements for growth environments. For example, rubber is unsuitable for planting in low-humidity areas and thrives best in acidic sandy loam soils with deep, fertile, and well-drained layers [74]. Betel nut requires light during various growth periods and prefers fertile sandy loam or loam soils with deep layers and rich organic matter [75]. Oranges thrive in transitional zones between mountainous areas and basins, particularly on sunny slopes close to water sources [76].
Considering the planting conditions in the Qiongzhong region, the selected crops include selenium-rich fruits, selenium-rich vegetables, betel nuts, and rubber. These crops are classified into the following five planning types: the strict control zone; the development suggestion zone for selenium-rich fruit (primarily green orange) planting; the development suggestion zone for selenium-rich vegetables; the betel nut planting maintenance/development suggestion zone; and the rubber planting maintenance/development suggestion zone.
3.6.1. Strict Control Zone
In the planned unit, if any tested pollutant in the soil is assessed as having a high risk level, the soil in the unit will be re-sampled and investigated for pollution sources and then controlled and treated.
3.6.2. Development Suggestion Zone for Selenium-Rich Fruit (Primarily Green Orange) Planting
The land use type in the planning unit is orchard or forest land, and the soil has reached the level of pollution-free selenium richness. According to the requirements of green orange planting for soil, further optimization is carried out for the selected area based on the conditions, such as the optimal location being in transitional zones between mountainous areas and basins and sunny slopes being better than shady ones.
3.6.3. Development Suggestion Zone for Selenium-Rich Vegetables
The land use type in the planned unit is cropland or grassland, and the soil has reached the level of high-nutrient selenium richness, with a slope below 15° in the unit.
3.6.4. Betel Nut Planting Maintenance/Development Suggestion Zone
The land use type in the planned unit is orchard or forest land, with a soil thickness greater than 1.5 m, relatively high SOM content (>10 g/kg), and a soil texture consisting of loam or sandy loam, while the pollutants in the soil are classified as having a non-risk level.
3.6.5. Rubber Planting Maintenance/Development Suggestion Zone
The land use type in the planned unit is orchard or forest land, except for selenium-rich soil areas, and the soil is acidic (pH < 7).
3.7. Soil and Crop Planting Planning
Agricultural product planting planning has been proposed based on the evaluation of the soil pollution and the current agricultural product types in the Qiongzhong region. The main criteria for division are the selenium richness of the planning unit and the type of selenium enrichment. As depicted in Figure 9a, the proposed development area for selenium-rich fruits is preliminarily estimated to be 86.0 km2 (733 planting units), distributed throughout Limushan Town, the Litchi Head Village to Wushi area in Wanling Town, and the town center of Heping. The proposed development area for selenium-rich peanuts and fruit vegetables is 24.5 km2 (455 planting units, Figure 9a), which is relatively scattered due to the topographical and geological conditions in the mountainous areas of Qiongzhong, but it is mainly distributed between Wanling and Wushi. The strictly controlled area for the development of edible agricultural products covers 1.2 km2 (11 planting units, Figure 9a), dispersed across areas that do not contain large-scale heavy metal-polluted soil. The suggested area for rubber plantation preservation/development reaches a total of 193.3 km2 (4858 planting units, Figure 9b), while, for betel nut plantation preservation/development, it is 134.7 km2 (1693 planting units, Figure 9b).
Figure 9.
Planning for selenium-enriched crops (a) and economic crops (b) in Qiongzhong.
The local government has acknowledged and recognized the soil environment and selenium enrichment results in the Qiongzhong area. After supplementing data on water bodies and crops, certain areas have received industry certification for selenium-enriched soils [77]. However, there are still several shortcomings. Firstly, it is crucial to conduct environmental evaluations of soil pollutants before assessing and planning selenium-enriched soils. Soil pollutants are not limited to heavy metals, organochlorines, and PAHs. Various emerging pollutants have been discovered in many agricultural areas due to human activities [78,79]. Therefore, dynamic monitoring is necessary to prioritize soil environmental safety during land planning. Secondly, the significance of selenium-enriched soils lies in guiding the production of natural selenium-rich agricultural products. However, the selenium content of crops is primarily determined by the available selenium content in the soil and the crop’s absorption capacity [80,81]. Strengthening research on the bioavailability and sources of selenium in soil and formulating selenium industry standards aligned with local development would be more scientifically effective. Finally, planning for selenium-enriched soil resources is not solely a natural science issue but also involves socioeconomic factors. During planning, it is essential to fully consider the local economic development, population distribution, resource utilization, and other relevant factors. Environmental protection departments, agricultural departments, natural resource departments, and other stakeholders should collaborate to formulate planning schemes.
4. Conclusions
This work presents a valuable case study on the planning and utilization of selenium-rich soils in hilly regions. Prior to the planning process, comprehensive soil environmental evaluations are essential. The study area exhibited favorable soil conditions, boasting average selenium content of 0.46 mg/kg. Diverse selenium-rich soils were identified based on various criteria, including the selenium content, pH, heavy metals, organic pollutants, nitrogen, and SOM content. Notably, selenium-rich soils, pollution-free selenium-rich soils, and high-nutrient selenium-rich soils constitute 55.2%, 55.2%, and 33.2%, respectively.
Building upon this classification, and considering the current crop types in the Qiongzhong area, this study provides strategic suggestions for the planning and utilization of selenium-rich soils and their respective types. This offers guidance for the scientific development of selenium-rich land resources, particularly emphasizing the cultivation of sustainable green selenium-rich agricultural products. These insights contribute to a more nuanced understanding of the soil management and agricultural practices in selenium-rich regions.
Author Contributions
Conceptualization, sample collection and pre-processing, data analysis, visualization, writing—original draft, review and editing, J.Y. and J.G. (Jingjing Gong); data analysis, K.L.; sample collection and pre-processing, Z.W., J.G. (Jianweng Gao) and S.H.; project administration and review, Q.Z.; funding acquisition, Z.D. and Y.L. All authors have read and agreed to the published version of the manuscript.
Funding
This work was supported by the Science & Technology Fundamental Resources Investigation Program (Grant No. 2022FY101800), the National Nonprofit Institute Research Grant of IGGE (Grant No. AS2023D01), the China Geological Survey Program (Grant Nos. DD20230309, DD20242247 and DD20190305) and the National Natural Science Foundation of China (Grant No. 42002105).
Data Availability Statement
The raw data are available upon request from the corresponding author and can be accessed only after obtaining approval from the affiliated institution.
Acknowledgments
We would like to express our sincere gratitude to everyone who contributed their efforts during this research, supporting the soil environment investigation as part of the poverty alleviation mission in Qiongzhong County. Every contribution, from the collection to the analysis of each sample, has contributed to the overall understanding of the soil environment background in Qiongzhong. We are immensely grateful for the dedication and commitment of all those involved in this project.
Conflicts of Interest
The authors declare no conflicts of interest.
References
- Hou, J.; Zhu, L.; Chen, C.; Feng, H.; Li, D.; Sun, S.; Xing, Z.; Wan, X.; Wang, X.; Li, F.; et al. Association of selenium levels with the prevention and control of keshan disease: A cross-sectional study. J. Trace Elem. Med. Biol. 2021, 68, 126832. [Google Scholar] [CrossRef] [PubMed]
- Ning, Y.; Hu, M.; Chen, S.; Zhang, F.; Yang, X.; Zhang, Q.; Gong, Y.; Huang, R.; Liu, Y.; Chen, F.; et al. Investigation of selenium nutritional status and dietary pattern among children in Kashin-beck disease endemic areas in Shaanxi province, China using duplicate portion sampling method. Environ. Int. 2022, 164, 107255. [Google Scholar] [CrossRef] [PubMed]
- Tan, J.A.; Zhu, W.Y.; Wang, W.Y.; Li, R.B.; Hou, S.F.; Wang, D.C.; Yang, L.S. Selenium in soil and endemic diseases in China. Sci. Total Environ. 2002, 284, 227–235. [Google Scholar] [CrossRef] [PubMed]
- Werkneh, A.A.; Gebretsadik, G.G.; Gebru, S.B. Review on environmental selenium: Occurrence, public health implications and biological treatment strategies. Environ. Chall. 2023, 11, 100698. [Google Scholar] [CrossRef]
- Liu, R.; Zhou, W.; Yu, D.; Shang, G.; Zhou, Y.; Xu, Z.; Tang, D.; Cui, H.; Liao, C. Spatial distribution and enrichment characteristics of selenium in paddy soil and rice around the Dongting lake. Environ. Pollut. 2024, 359, 124552. [Google Scholar] [CrossRef]
- Lv, Y.; Wei, Y.; Zhou, J.; Xue, K.; Guo, Y.; Liu, Y.; Ju, A.; Wu, B.; Zhao, F.; Chen, C.; et al. Human biomonitoring of toxic and essential metals in younger elderly, octogenarians, nonagenarians and centenarians: Analysis of the healthy ageing and biomarkers cohort study (Habcs) in China. Environ. Int. 2021, 156, 106717. [Google Scholar] [CrossRef]
- Rua, R.M.; Nogales, F.; Carreras, O.; Ojeda, M.L. Selenium, selenoproteins and cancer of the thyroid. J. Trace Elem. Med. Biol. 2023, 76, 127115. [Google Scholar] [CrossRef]
- Vinciguerra, M. Selenium improves hippocampus health. Nat. Aging 2022, 2, 188. [Google Scholar] [CrossRef]
- Li, M.; Yang, B.; Ju, Z.; Qiu, L.; Xu, K.; Wang, M.; Chen, C.; Zhang, K.; Zhang, Z.; Xiang, S.; et al. Do high soil geochemical backgrounds of selenium and associated heavy metals affect human hepatic and renal health? Evidence from Enshi county, China. Sci. Total Environ. 2023, 883, 163717. [Google Scholar] [CrossRef]
- Ngigi, P.B.; Du Laing, G.; Masinde, P.W.; Lachat, C. Selenium deficiency risk in central Kenya highlands: An assessment from the soil to the body. Environ. Geochem. Health 2020, 42, 2233–2250. [Google Scholar] [CrossRef]
- Tolu, J.; Bouchet, S.; Helfenstein, J.; Hausheer, O.; Chékifi, S.; Frossard, E.; Tamburini, F.; Chadwick, O.A.; Winkel, L.H.E. Understanding soil selenium accumulation and bioavailability through size resolved and elemental characterization of soil extracts. Nat. Commun. 2022, 13, 6974. [Google Scholar] [CrossRef]
- Dinh, Q.T.; Cui, Z.; Huang, J.; Tran, T.A.T.; Wang, D.; Yang, W.; Zhou, F.; Wang, M.; Yu, D.; Liang, D. Selenium distribution in the Chinese environment and its relationship with human health: A review. Environ. Int. 2018, 112, 294–309. [Google Scholar] [CrossRef] [PubMed]
- Zhou, G. Research progress of selenium-enriched land resources and evaluation methods. Rock Miner. Anal. 2020, 39, 319–336. [Google Scholar] [CrossRef]
- Liu, H.; Wang, X.; Zhang, B.; Han, Z.; Wang, W.; Chi, Q.; Zhou, J.; Nie, L.; Xu, S.; Liu, D.; et al. Concentration and distribution of selenium in soils of mainland China, and implications for human health. J. Geochem. Explor. 2021, 220, 106654. [Google Scholar] [CrossRef]
- Li, T.; Jia, L.; Zhu, X.; Zhang, X. Geochemical evaluation of the land quality and classification of the selenium-rich soils in Chengyue area, Leizhou peninsula. Earth Environ. 2022, 50, 481–489. [Google Scholar]
- Liang, R.; Song, S.; Shi, Y.; Shi, Y.; Lu, Y.; Zheng, X.; Xu, X.; Wang, Y.; Han, X. Comprehensive assessment of regional selenium resources in soils based on the analytic hierarchy process: Assessment system construction and case demonstration. Sci. Total Environ. 2017, 605–606, 618–625. [Google Scholar] [CrossRef]
- Liu, Y.; Jiang, B.; Zhang, H.; Sun, Z.; Wang, S. Geochemical characteristics of selenium in surface soil of Qingzhou, Shandong. Geoscience 2022, 36, 933–940. [Google Scholar] [CrossRef]
- Zhang, J.; Ge, W.; Xing, C.; Liu, Y.; Shen, X.; Zhao, B.; Chen, X.; Xu, Y.; Zhou, S. Ecological risk assessment of potentially toxic elements in selenium-rich soil with different land-use types. Environ. Geochem. Health 2023, 45, 5323–5341. [Google Scholar] [CrossRef]
- Liu, Y.; Liu, S.; Zhao, W.; Xia, C.; Wu, M.; Wang, Q.; Wang, Z.; Jiang, Y.; Zuza, A.V.; Tian, X. Assessment of heavy metals should be performed before the development of the selenium-rich soil: A case study in China. Environ. Res. 2022, 210, 112990. [Google Scholar] [CrossRef] [PubMed]
- Yang, X.; Cai, H.; Zhang, X.; He, Q.; Chen, L. Study on comprehensive evaluation and zoning of selenium-enriched arable land quality: A case study of Yuanzhou district, Yichun. Acta Agric. Univ. Jiangxiensis 2023, 45, 482–493. [Google Scholar]
- Yu, Z.; Kuang, L.; Jiang, Y.; Li, W.; Zhang, J.; Zhou, Y.; Guo, X.; Ye, Y. Soil attributes are more important than others in shaping the diversity of cultivated land quality types, southern China. Ecol. Indic. 2024, 166, 112472. [Google Scholar] [CrossRef]
- Zhao, F.; Chen, Y. Planning of white tea planting at Tongling city based on GIS spatial analysis. Mod. Surv. Mapp. 2020, 43, 31–33. [Google Scholar] [CrossRef]
- Zhou, C.; Liu, X.; Yu, H.; Lei, B. Decision making support system of regional agricultural planning: Development based on GIS. Chin. Agric. Sci. Bull. 2019, 35, 143–149. [Google Scholar]
- Tang, Z.; Zhan, L.; Zhang, X.; Chen, G.; Zhou, M.; Tian, F.; Liu, H.; Zhang, J.; Hang, M. Comprehensive evaluation of selenium-enriched land resources in Changting. Rock Miner. Anal. 2024, 43, 592–602. [Google Scholar]
- Gong, J.; Gao, J.; Yang, J.; Wu, H.; Tang, S.; Ma, S. Distribution and influencing factors of soil selenium and iodine in Limushan-Wanling, Qiongzhong area. Bull. Geol. Sci. Technol. 2021, 40, 255–267. [Google Scholar]
- Li, Q.; Zhang, Y.; Xin, Q.; Hu, D.; Ma, S.; Cui, Z.; Tu, B.; Ke, X.; Chen, S.; Peng, K.; et al. Exploration and practice of geological survey for supporting and serving the ecological civilization construction in Hainan province. South China Geol. 2022, 38, 209–225. [Google Scholar]
- Wu, S.; Xing, C.; Zhu, J. Analysis of climate characteristics in Hainan island. J. Trop. Biol. 2022, 13, 315–323. [Google Scholar]
- Jones, G.D.; Droz, B.; Greve, P.; Gottschalk, P.; Poffet, D.; Mcgrath, S.P.; Seneviratne, S.I.; Smith, P.; Winkel, L.H.E. Selenium deficiency risk predicted to increase under future climate change. Proc. Natl. Acad. Sci. USA 2017, 114, 2848–2853. [Google Scholar] [CrossRef]
- Sun, Y.; Yang, J.; Li, K.; Gong, J.; Gao, J.; Wang, Z.; Cai, Y.; Zhao, K.; Hu, S.; Fu, Y.; et al. Differentiating environmental scenarios to establish geochemical baseline values for heavy metals in soil: A case study of Hainan island, China. Sci. Total Environ. 2023, 898, 165634. [Google Scholar] [CrossRef]
- Chi, Q.; Yan, M. Concentration of chemical elements of soils in China. In Handbook of Elemental Abundance for Applied Geochemistry; Geological Publishing House: Beijing, China, 2007; pp. 82–83. [Google Scholar]
- Roca-Perez, L.; Gil, C.; Cervera, M.L.; Gonzálvez, A.; Ramos-Miras, J.; Pons, V.; Bech, J.; Boluda, R. Selenium and heavy metals content in some Mediterranean soils. J. Geochem. Explor. 2010, 107, 110–116. [Google Scholar] [CrossRef]
- Mng’ong’o, M.; Comber, S.; Munishi, L.K.; Ndakidemi, P.A.; Blake, W.; Hutchinson, T.H. Potentially toxic elements status and distribution in Usangu agroecosystem, Tanzania. Environ. Chall. 2021, 4, 100200. [Google Scholar] [CrossRef]
- GB15618—2018; Soil Environmental Quality-Risk Control Standard for Soil Contamination of Agricultural Land. Ministry of Ecology and Environment, PRC: Beijing, China, 2018.
- Li, M.; Xi, X.; Xiao, G.; Cheng, H.; Yang, Z.; Zhou, G.; Ye, J.; Li, Z. National multi-purpose regional geochemical survey in China. J. Geochem. Explor. 2014, 139, 21–30. [Google Scholar] [CrossRef]
- DZ/T 0295-2016; Specification of Land Quality Geochemical Assessment. Ministry of Land and Resources of the People’s Republic of China (MLRPRC). Geological Publishing House: Beijing, China, 2016.
- Francioli, D.; Schulz, E.; Lentendu, G.; Wubet, T.; Buscot, F.; Reitz, T. Mineral vs. organic amendments: Microbial community structure, activity and abundance of agriculturally relevant microbes are driven by long-term fertilization strategies. Front. Microbiol. 2016, 7, 1446. [Google Scholar] [CrossRef]
- Lu, X.; Mao, Q.; Gilliam, F.S.; Luo, Y.; Mo, J. Nitrogen deposition contributes to soil acidification in tropical ecosystems. Glob. Chang. Biol. 2014, 20, 3790–3801. [Google Scholar] [CrossRef]
- Zhang, Y.; He, X.; Liang, H.; Zhao, J.; Zhang, Y.; Xu, C.; Shi, X. Long-term tobacco plantation induces soil acidification and soil base cation loss. Environ. Sci. Pollut. Res. Int. 2016, 23, 5442–5450. [Google Scholar] [CrossRef]
- Zhou, B.; Qiu, L.; Zhang, L.; Zhang, X.; Chen, C.; Xing, S. Study on driving factors of soil acidification based on grey correlation-structure equation model. Acta Pedol. Sin. 2018, 55, 1233–1242. [Google Scholar]
- Hou, Q.; Yang, Z.; Yu, T.; Xia, X.; Cheng, H. Chinese Soil Geochemical Parameters; Geological Publishing House: Beijing, China, 2020. [Google Scholar]
- Guo, Y.P.; Yang, Y.; Zhang, G.C. Geochemical Assessment of Land Quality in Hainan Province; Hainan Geological Survey: Haikou, China, 2011. [Google Scholar]
- Ding, Y.; Huang, H.; Zhang, Y.; Zheng, H.; Zeng, F.; Chen, W.; Qu, C.; Li, X.; Xing, X.; Qi, S. Polycyclic aromatic hydrocarbons in agricultural soils from northwest Fujian, southeast China: Spatial distribution, source apportionment, and toxicity evaluation. J. Geochem. Explor. 2018, 195, 121–129. [Google Scholar] [CrossRef]
- Orecchio, S. Assessment of polycyclic aromatic hydrocarbons (PAHs) in soil of a natural reserve (Isola delle Femmine) (Italy) located in front of a plant for the production of cement. J. Hazard. Mater. 2010, 173, 358–368. [Google Scholar] [CrossRef]
- Ma, W.; Liu, L.; Tian, C.; Qi, H.; Jia, H.; Song, W.; Li, Y. Polycyclic aromatic hydrocarbons in Chinese surface soil: Occurrence and distribution. Environ. Sci. Pollut. Res. Int. 2015, 22, 4190–4200. [Google Scholar] [CrossRef] [PubMed]
- Maliszewska-Kordybach, B. Polycyclic aromatic hydrocarbons in agricultural soils in Poland: Preliminary proposals for criteria to evaluate the level of soil contamination. Appl. Geochem. 1996, 11, 121–127. [Google Scholar] [CrossRef]
- Gong, J.; Gao, J.; Wu, H.; Lin, L.; Yang, J.; Tang, S.; Wang, Z.; Duan, Z.; Fu, Y.; Cai, Y. Heavy metal spatial distribution, source analysis, and ecological risks in the central hilly area of Hainan Island, China: Results from a high-density soil survey. Environ. Geochem. Health 2024, 46, 210. [Google Scholar] [CrossRef] [PubMed]
- Gong, J.; Yang, J.; Wu, H.; Gao, J.; Tang, S.; Ma, S. Spatial distribution and environmental impact factors of soil selenium in Hainan Island, China. Sci. Total Environ. 2022, 811, 151329. [Google Scholar] [CrossRef]
- Tan, J. The Atlas of Endemic Diseases and Their Environments in the People’s Republic of China; Science Press: Beijing, China, 1989. [Google Scholar]
- Liu, Y.; Tian, X.; Liu, R.; Liu, S.; Zuza, A.V. Key driving factors of selenium-enriched soil in the low-se geological belt: A case study in red beds of Sichuan Basin, China. Catena 2021, 196, 104926. [Google Scholar] [CrossRef]
- Liu, W.; Wu, Y.; Zhong, Y.; Zhao, H. Concentrations, distribution and influencing factors of selenium (Se) in soil of arid and semi-arid climate: A case from Zhangye-Yongchang region, north-western China. J. Geochem. Explor. 2023, 250, 107239. [Google Scholar] [CrossRef]
- Liu, N.N.; Wang, M.; Zhou, F. Selenium bioavailability in soil-wheat system and its dominant influential factors: A field study in Shaanxi Province, China. Sci. Total Environ. 2021, 770, 144664. [Google Scholar] [CrossRef]
- Wang, H.; Zeng, D.; Guo, Z.; Cheng, X.; Peng, M.; Sun, Y. Selenium threshold for the delimitation of natural selenium-enriched land. Environ. Sci. 2021, 42, 333–342. [Google Scholar]
- Chen, Z.; Xu, J.; Yang, S.; Hou, Z.; Yang, F.; Zhang, F.; Yu, L. Spatio-temporal distribution and influencing factors of selenium in soil-crop system from the plateau basin region, northeastern Yunnan. China Environ. Sci. 2023, 43, 781–792. [Google Scholar]
- Wang, Y.; Ma, Y.; Wang, Z. Threshold of Se-rich soil based on available Se and influencing factors of available Se. Environ. Sci. 2023, 44, 395–404. [Google Scholar] [CrossRef]
- Zhong, X.; Gan, Y.; Deng, Y. Distribution, origin and speciation of soil selenium in the black soil region of northeast China. Environ. Geochem. Health 2021, 43, 1257–1271. [Google Scholar] [CrossRef] [PubMed]
- Phares, C.A.; Amoakwah, E.; Danquah, A.; Afrifa, A.; Beyaw, L.R.; Frimpong, K.A. Biochar and NPK fertilizer co-applied with plant growth promoting bacteria (PGPB) enhanced maize grain yield and nutrient use efficiency of inorganic fertilizer. J. Agric. Food Res. 2022, 10, 100434. [Google Scholar] [CrossRef]
- Zhang, H.; Xie, S.; Bao, Z.; Carranza, E.J.M.; Tian, H.; Wei, C. Synergistic inhibitory effect of selenium, iron, and humic acid on cadmium uptake in rice (Oryza sativa L.) seedlings in hydroponic culture. Environ. Sci. Pollut. Res. Int. 2021, 28, 64652–64665. [Google Scholar] [CrossRef] [PubMed]
- Yang, J.; Sun, Y.; Wang, Z.; Gong, J.; Gao, J.; Tang, S.; Ma, S.; Duan, Z. Heavy metal pollution in agricultural soils of a typical volcanic area: Risk assessment and source appointment. Chemosphere 2022, 304, 135340. [Google Scholar] [CrossRef] [PubMed]
- Zhou, S.; Su, S.; Meng, L.; Liu, X.; Zhang, H.; Bi, X. Potentially toxic trace element pollution in long-term fertilized agricultural soils in China: A meta-analysis. Sci. Total Environ. 2021, 789, 147967. [Google Scholar] [CrossRef]
- NY/T 391–2021; Green Food-Environmental Quality for Production Area. Ministry of Agriculture and Rural Affairs of the People’s Republic of China: Beijing, China, 2021.
- Jia, M.; Zhang, Y.; Huang, B.; Zhang, H. Source apportionment of selenium and influence factors on its bioavailability in intensively managed greenhouse soil: A case study in the east bank of the Dianchi Lake, China. Ecotoxicol. Environ. Saf. 2019, 170, 238–245. [Google Scholar] [CrossRef] [PubMed]
- Sakan, S.; Sakan, N.; Anđelković, I.; Trifunović, S.; Đorđević, D. Study of potential harmful elements (arsenic, mercury and selenium) in surface sediments from Serbian rivers and artificial lakes. J. Geochem. Explor. 2017, 180, 24–34. [Google Scholar] [CrossRef]
- El-Ramady, H.R.; Domokos-Szabolcsy, É.; Shalaby, T.A.; Prokisch, J.; Fári, M. Selenium in agriculture: Water, air, soil, plants, food, animals and nanoselenium. In CO2 Sequestration, Biofuels and Depollution; Lichtfouse, E., Schwarzbauer, J., Robert, D., Eds.; Springer International Publishing: Cham, Switzerland, 2015; pp. 153–232. [Google Scholar]
- El-Ramady, H.; Omara, A.E.; El-Sakhawy, T.; Prokisch, J.; Brevik, E.C. Sources of selenium and nano-selenium in soils and plants. In Selenium and Nano-Selenium in Environmental Stress Management and Crop Quality Improvement; Hossain, M.A., Ahammed, G.J., Kolbert, Z., El-Ramady, H., Islam, T., Schiavon, M., Eds.; Springer International Publishing, Cham, Switzerland, 2022; pp. 1–24.
- Yang, J.; Fu, Y.; Gong, Q.; Ma, S.; Gong, J.; Gao, J.; Wang, Z.; Cai, Y.; Tang, S. Contamination assessment, source apportionment and associated health risks of PTEs in agricultural soil under five land-use patterns in Sanya, China. China Geol. 2024, 7, 469–479. [Google Scholar] [CrossRef]
- Yang, R.; He, Y.; Luo, L.; Zhu, M.; Zan, S.; Guo, F.; Wang, B.; Yang, B. The interaction between selenium and cadmium in the soil-rice-human continuum in an area with high geological background of selenium and cadmium. Ecotoxicol. Environ. Saf. 2021, 222, 112516. [Google Scholar] [CrossRef]
- Li, M.; Yang, B.; Xu, K.; Zheng, D.; Tian, J. Distribution of Se in the rocks, soil, water and crops in Enshi county, China. Appl. Geochem. 2020, 122, 104707. [Google Scholar] [CrossRef]
- Tian, H.; Xie, S.; Carranza, E.J.M.; Bao, Z.; Zhang, H.; Wu, S.; Wei, C.; Ma, Z. Distributions of selenium and related elements in high pyrite and Se-enriched rocks from Ziyang, central China. J. Geochem. Explor. 2020, 212, 106506. [Google Scholar] [CrossRef]
- Xiao, K.; Lu, L.; Tang, J.; Chen, H.; Li, D.; Liu, Y. Parent material modulates land use effects on soil selenium bioavailability in a selenium-enriched region of southwest China. Geoderma 2020, 376, 114554. [Google Scholar] [CrossRef]
- Gong, J.; Yang, J.; Wu, H.; Fu, Y.; Gao, J.; Tang, S.; Ma, S. Distribution of soil selenium and its relationship with parent rocks in Chengmai county, Hainan island, China. Appl. Geochem. 2022, 136, 105147. [Google Scholar] [CrossRef]
- Wang, D. Source Apportionment and Land Planning for Soil Selenium of Typical Selenium-Rich Area in Shandong. Ph.D. Thesis, China University of Geosciences, Beijing, China, 2018. [Google Scholar]
- Deng, X.; Zhao, Z.; Lv, C.; Zhang, Z.; Yuan, L.; Liu, X. Effects of sulfur application on selenium uptake and seed selenium speciation in soybean (Glycine max L.) grown in different soil types. Ecotoxicol. Environ. Saf. 2021, 209, 111790. [Google Scholar] [CrossRef]
- Li, Y.; Ju, S.; Huang, J.; Wu, H.; Lin, Z.; Wang, Y.; Jin, H.; Ma, S.; Zhang, B. Novel multifunctional natural selenium supplement development, in vitro and in vivo analysis, and risk-benefit assessment: Selenium-enriched chicory as a case study. J. Clean. Prod. 2023, 382, 135273. [Google Scholar] [CrossRef]
- Deng, B. The cultivation technology of natural rubber. Agric. Technol. 2017, 37, 168. [Google Scholar]
- Liu, F.; Fu, D.; Zhou, H.; Huang, L.; Liu, L. Research advances in cultivation technology of arecanut. Chin. J. Trop. Agric. 2022, 42, 16–21. [Google Scholar]
- Wang, Z. Research on the suitability of orange planting land use based on multi-source data fusion. J. Gansu Sci. 2021, 33, 16–25. [Google Scholar] [CrossRef]
- Geological Society of China (GSC). The Natural Selenium-Enriched Area in Wanling Town, Qiongzhong County, Hainan Province. GSC, 2021. Available online: http://www.geosociety.org.cn/fxtd/?catefield=Zng=&catefieldgory=ZGV0YWls&catefieldshortgory=MjA=&catefieldshowgory=YXJlYTE (accessed on 16 August 2021).
- Chen, S.; Jiao, X.; Gai, N.; Li, X.; Wang, X.; Lu, G.; Piao, H.; Rao, Z.; Yang, Y. Perfluorinated compounds in soil, surface water, and groundwater from rural areas in eastern China. Environ. Pollut. 2016, 211, 124–131. [Google Scholar] [CrossRef]
- Xu, L.; Chen, Y.; Feng, A.; Shi, X.; Feng, Y.; Yang, Y.; Wang, Y.; Wu, Z.; Zou, Z.; Ma, W.; et al. Study on detection method of microplastics in farmland soil based on hyperspectral imaging technology. Environ. Res. 2023, 232, 116389. [Google Scholar] [CrossRef]
- Fu, M.; Huang, B.; Jia, M.; Hu, W.; Sun, W.; Weindorf, D.C.; Chang, Q. Effect of intensive greenhouse vegetable cultivation on selenium availability in soil. Pedosphere 2015, 25, 343–350. [Google Scholar] [CrossRef]
- Zhang, M.; Xing, G.; Tang, S.; Pang, Y.; Yi, Q.; Huang, Q.; Huang, X.; Huang, J.; Li, P.; Fu, H. Improving soil selenium availability as a strategy to promote selenium uptake by high-Se rice cultivar. Environ. Exp. Bot. 2019, 163, 45–54. [Google Scholar] [CrossRef]
Disclaimer/Publisher’s Note: The statements, opinions and data contained in all publications are solely those of the individual author(s) and contributor(s) and not of MDPI and/or the editor(s). MDPI and/or the editor(s) disclaim responsibility for any injury to people or property resulting from any ideas, methods, instructions or products referred to in the content. |
© 2024 by the authors. Licensee MDPI, Basel, Switzerland. This article is an open access article distributed under the terms and conditions of the Creative Commons Attribution (CC BY) license (https://creativecommons.org/licenses/by/4.0/).








