Machine Learning Models for the Spatial Prediction of Gully Erosion Susceptibility in the Piraí Drainage Basin, Paraíba Do Sul Middle Valley, Southeast Brazil
Abstract
1. Introduction
2. Materials and Methods
2.1. Study Area Characterization
2.2. Methodological Procedures
2.2.1. Gully Inventory Data
2.2.2. Multicollinearity in Controlling Factors for Gully Erosion
2.2.3. Thresholding in Controlling Factors for Gully Erosion
2.2.4. Machine Learning Models
- Classification and Regression Tree
- eXtreme Gradient Boosting
- Random Forest
- Support Vector Machine
- Machine Learning Models Implementation
2.2.5. Model Evaluations
2.2.6. Minimum Mapping Unit
3. Results
3.1. Multicollinearity in Controlling Factors for Gully Erosion
3.2. Thresholding in Controlling Factors for Gully Erosion
3.3. Performance of Machine Learning Models
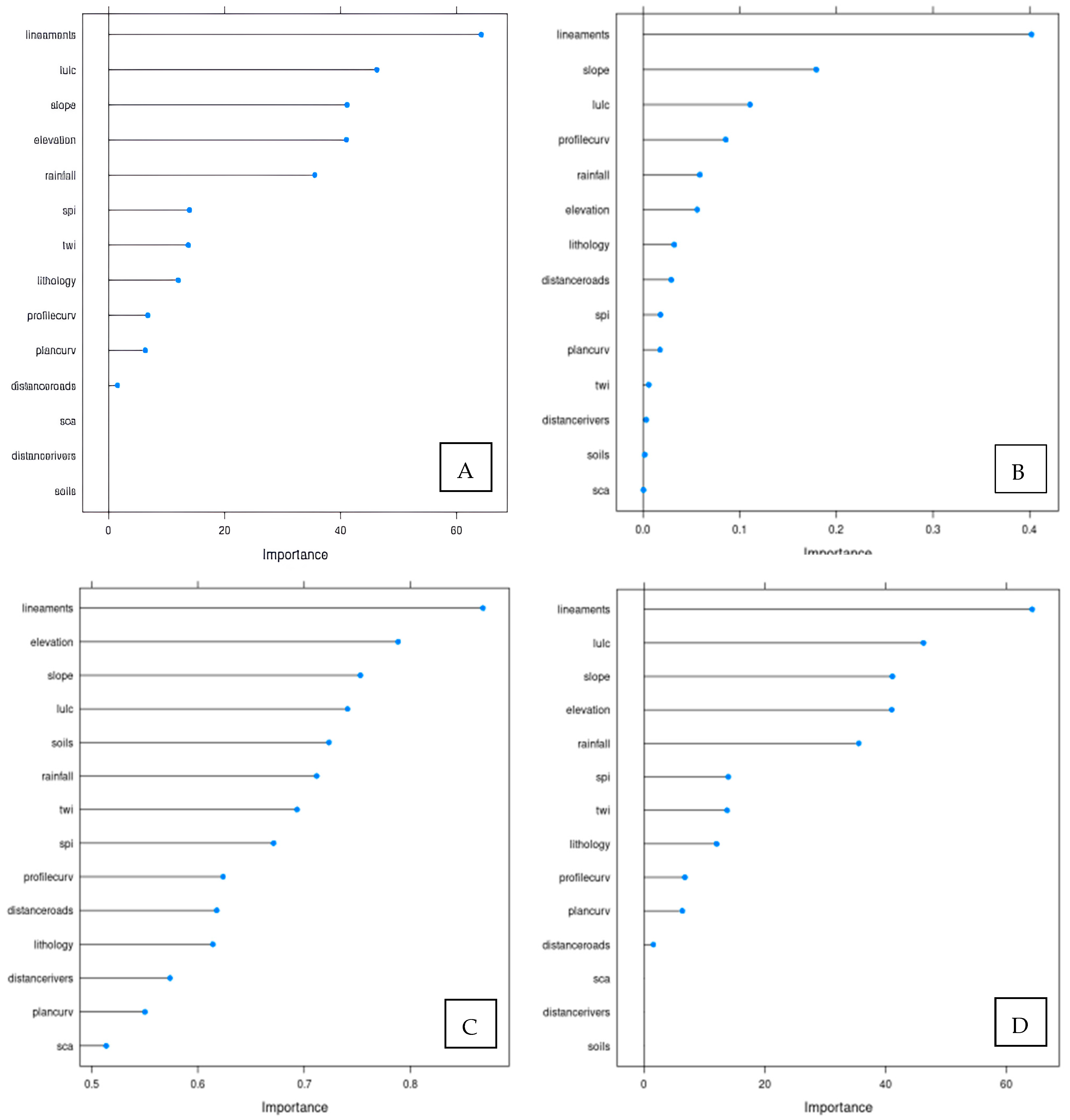
3.4. Variables Importance
3.5. Gully Erosion Susceptibility Mapping
4. Discussion
4.1. Multicollinearity in Controlling Factors for Gully Erosion
4.2. Performance of Machine Learning Models
4.3. Thresholding in Controlling Factors for Gully Erosion
4.4. Variables Importance
4.5. Gully Erosion Susceptibility Mapping
5. Conclusions
Author Contributions
Funding
Data Availability Statement
Acknowledgments
Conflicts of Interest
References
- Guerra, A.J.T.; Fullen, M.A.; Jorge, M.C.O.; Bezerra, J.F.R.; Shokr, M.S. Slope processes, mass movement and soil erosion: A review. Pedosphere 2017, 27, 27–41. [Google Scholar] [CrossRef]
- Soil Science Society of America. Glossary of Soil Science Terms, 2nd ed.; Soil Science Society of America: Madison, WI, USA, 2008. [Google Scholar]
- Fullen, M.A.; Catt, J.A. Soil Management—Problems and Solutions, 1st ed.; Oxford University Press: Oxford, UK, 2004. [Google Scholar]
- Poesen, J.; Torri, D.; Vanwalleghem, T. Gully erosion: Procedures to adopt when modelling soil erosion in landscapes affected by gullying. In Handbook of Erosion Modelling, 1st ed.; Morgan, R., Nearing, M., Eds.; Blackwell Publishing Ltd.: Hoboken, NJ, USA, 2010; pp. 360–386. [Google Scholar]
- Barbosa, W.C.S.; Guerra, A.J.T.; Valladares, G.S. Soil erosion modeling using the revised universal soil loss equation and a geographic information system in a watershed in the northeastern Brazilian Cerrado. Geosciences 2024, 14, 78. [Google Scholar] [CrossRef]
- Phillips, J.D. Laws, place, history and the interpretation of landforms. Earth Surf. Process. Landf. 2016, 42, 347–354. [Google Scholar] [CrossRef]
- Ciccolini, U.; Buffalini, M.; Materazzi, M.; Dramis, F. Gully erosion development in drainage basins: A new morphometric approach. Land 2024, 13, 792. [Google Scholar] [CrossRef]
- Guerra, A.J.T.; Bezerra, J.F.R.R.; Jorge, M.C.O. Recuperação de voçorocas e de áreas degradadas, no Brasil e no mundo—Estudo de caso da voçoroca do Sacavém-São Luís—MA. Rev. Bras. Geomorfol. 2023, 24, 1–20. [Google Scholar] [CrossRef]
- Arabameri, A.; Cerda, A.; Tiefenbacher, J.P. Spatial pattern analysis and prediction of gully erosion using novel hybrid model of entropy-weight of evidence. Water 2019, 11, 1129. [Google Scholar] [CrossRef]
- Pourghasemi, H.R.; Sadhavisam, N.; Kariminejad, N.; Collins, A.L. Gully erosion spatial modelling: Role of machine learning algorithms in selection of the best controlling factors and modelling process. Geosci. Front. 2019, 11, 2207–2219. [Google Scholar] [CrossRef]
- Malczewski, J. GIS-based multicriteria decision analysis: A survey of the literature. Int. J. Geogr. Inf. Syst. 2006, 20, 703–726. [Google Scholar] [CrossRef]
- Vojtek, M.; Vojteková, J.; Costache, R.; Pham, Q.B.; Lee, S.; Arshad, A.; Sahoo, S.; Linh, N.T.T.; Anh, D.T. Comparison of multi-criteria-analytical hierarchy process and machine learning-boosted tree models for regional flood susceptibility mapping: A case study from Slovakia. Geomat. Nat. Hazards Risk 2021, 12, 1153–1180. [Google Scholar] [CrossRef]
- Mohebzadeh, H.; Biswas, A.; Rudra, R.; Daggupati, P. Machine learning techniques for gully erosion susceptibility mapping: A review. Geosciences 2022, 12, 429. [Google Scholar] [CrossRef]
- Renard, P.; Alcolea, A.; Ginsbourger, D. Stochastic versus Deterministic Approaches. In Environmental Modelling: Finding Simplicity in Complexity, 2nd ed.; Wainwright, J., Mulligan, M., Eds.; Wiley: Hoboken, NJ, USA, 2013; pp. 133–150. [Google Scholar]
- Lary, D.J.; Alavi, A.H.; Gandomi, A.H.; Walker, A.L. Machine learning in geoscience and remote sensing. Geosci. Front. 2016, 7, 3–10. [Google Scholar] [CrossRef]
- Chuma, G.B.; Mugumaarhahama, Y.; Mond, J.M.; Bagula, E.M.; Ndeko, A.B.; Lucungu, P.B.; Katume, K.; Mushagalusa, G.N.; Schmitz, S. Gully erosion susceptibility mapping using four machine learning methods in Luzinzi watershed, eastern Democratic Republic of Congo. Phys. Chem. Earth Parts A/B/C 2023, 123, 103295. [Google Scholar] [CrossRef]
- Riccomini, C.; Sant’anna, L.G.; Ferrari, A.L. Evolução geológica do Rift continental do sudeste do Brasil. In Geologia do Continente Sul-Americano: Evolução da Obra de Fernando Flávio Marques de Almeida, 1st ed.; Mantesso-Neto, V., Bartorelli, A., Carneiro, C.D.R., Brito-neves, B.B., Eds.; Editora Beca: São Paulo, Brazil, 2004; pp. 383–405. [Google Scholar]
- Dantas, M.E.; Ferreira, C.E.O.; Shinzato, E. Relevo. In Solos do Rio de Janeiro—Gênese, Classificação e Limitações ao Uso Agrícola, 1st ed.; Pereira, M.G., Anjos, L.H.C., Neto, E.C.S., Eds.; Editora Atena: Ponta Grossa, Brazil, 2023; pp. 19–59. [Google Scholar]
- Dantas, M.E. Geomorfologia do estado do Rio de Janeiro. In Projeto Rio de Janeiro, 1st ed.; CPRM–Serviço Geológico do Brasil: Brasilia, Brazil, 2001; pp. 95–195. [Google Scholar]
- Avelar, A.S.; Coelho Netto, A.L. Fraturas e desenvolvimento de unidades geomorfológicas côncavas no Médio Vale do Rio Paraíba do Sul. Rev. Bras. Geociências 1992, 22, 222–227. [Google Scholar] [CrossRef]
- Coelho Netto, A.L. Evolução de cabeceiras de drenagem no médio Vale do Rio Paraíba do Sul (SP/RJ): Bases para um modelo de formação e crescimento da rede de canais sob controle estrutural. Rev. Bras. Geomorfol. 2003, 4, 69–100. [Google Scholar] [CrossRef]
- Carvalho Filho, A.; Lumbreras, J.F.; Wittern, K.P.; Lemos, A.L.; dos Santos, R.D.; Calderano Filho, B.; de Oliveira, R.P.; Aglio, M.L.D.; de Souza, J.S.; Chaffin, C.E.; et al. Levantamento de Reconhecimento de Baixa Intensidade dos Solos do Estado do Rio de Janeiro, 1st ed.; Embrapa Solos: Rio de Janeiro, Brazil, 2003. [Google Scholar]
- Loureiro, H.A.S. Diagnóstico de Erosão por Voçorocas: Experimentos com Geotecnologias e Solos na Bacia do Alto Rio Piraí—Rio Claro-RJ. Ph.D. Thesis, Federal University of Rio de Janeiro, Rio de Janeiro, Brazil, 2019. [Google Scholar]
- Dantas, M.E.; Coelho Netto, A.L. A denudação antropogênica da paisagem: Processos erosivos deposicionais no médio Vale do Rio Paraíba do Sul. In Geografia Histórica do Café no Vale do Rio Paraíba do Sul, 1st ed.; Oliveira, R., Lazos, A., Eds.; Editora Puc-Rio: Rio de Janeiro, Brazil, 2018; pp. 107–126. [Google Scholar]
- Bitar, O.Y. Cartas de Suscetibilidade a Movimentos Gravitacionais de Massa e Inundações—1:25,000 Nota Técnica Explicativa, 1st ed.; IPT–Instituto de Pesquisas Tecnológicas do Estado de São Paulo and CPRM–Serviço Geológico do Brasil: São Paulo, Brazil, 2016. [Google Scholar]
- Baiddah, A.; Krimissa, S.; Hajji, S.; Ismaili, M.; Abdelrahman, K.; El Bouzekraoui, M.; Eloudi, H.; Elaloui, A.; Khouz, A.; Badreldin, N.; et al. Head-cut gully erosion susceptibility mapping in semi-arid region using machine learning methods: Insight from the high atlas, Morocco. Front. Earth Sci. 2023, 11, 1184038. [Google Scholar] [CrossRef]
- Bammou, Y.; Benzougagh, B.; Abdessalam, O.; Brahim, I.; Kader, S.; Spalevic, V.; Sestras, P.; Ercisli, S. Machine learning models for gully erosion susceptibility assessment in the Tensift catchment, Haouz Plain, Morocco for sustainable development. J. Afr. Earth Sci. 2024, 213, 105229. [Google Scholar] [CrossRef]
- Ghorbanzadeh, O.; Blaschke, T.; Aryal, J.; Gholaminia, K. A new GIS-based technique using an adaptive neuro-fuzzy inference system for land subsidence susceptibility mapping. J. Spat. Sci. 2020, 65, 401–418. [Google Scholar] [CrossRef]
- Pal, S.C.; Arabameri, A.; Blaschke, T.; Chowdhuri, I.; Saha, A.; Chakrabortty, R.; Lee, S.; Band, S.S. Ensemble of machine-learning methods for predicting gully erosion susceptibility. Remote Sens. 2020, 12, 3675. [Google Scholar] [CrossRef]
- Roy, J.; Saha, S. Ensemble hybrid machine learning methods for gully erosion susceptibility mapping: K-fold cross validation approach. Artif. Intelli. Geosci 2022, 3, 28–45. [Google Scholar] [CrossRef]
- Hawker, L.; Uhe, P.; Paulo, L.; Sosa, J.; Savage, J.; Sampson, C.; Neal, J. A 30 m global map of elevation with forests and buildings removed. Environ. Res. Lett 2022, 17, 24016. [Google Scholar] [CrossRef]
- Lindsay, J.B.; Creed, I.F. Removal of artifact depressions from digital elevation models: Towards a minimum impact approach. Hydrol. Process. 2005, 19, 3113–3126. [Google Scholar] [CrossRef]
- Reuter, H.I.; Hengl, T.; Gessler, P.; Soille, P. Preparation of DEMs for geomorphometric analysis. In Geomorphometry: Concepts, Software, Applications, 1st ed.; Hengl, T., Reuter, H.I., Eds.; Elsevier: Amsterdam, The Netherlands, 2009; pp. 87–120. [Google Scholar]
- Pike, R.J.; Evans, I.; Hengl, T. Geomorphometry: A brief guide. In Geomorphometry: Concepts, Software, Applications, 1st ed.; Hengl, T., Reuter, H.I., Eds.; Elsevier: Amsterdam, The Netherlands, 2009; pp. 3–30. [Google Scholar]
- Franklin, S.E. Interpretation and use of geomorphometry in remote sensing: A guide and review of integrated applications. Int. J. Remote Sens. 2020, 41, 7700–7733. [Google Scholar] [CrossRef]
- Evans, I.S. General geomorphometry, derivatives of altitude, and descriptive statistics. In Spatial Analysis in Geomorphology, 1st ed.; Chorley, R.J., Ed.; Harper & Row: New York, NY, USA, 1972; pp. 17–90. [Google Scholar]
- Ahnert, F. Functional relationships between denudation, relief, and uplift in large, mid-latitude drainage basins. Am. J. Sci. 1970, 268, 243–263. [Google Scholar] [CrossRef]
- Ahnert, F. Local relief and the height limits of mountain ranges. Am. J. Sci 1984, 284, 1035–1055. [Google Scholar] [CrossRef]
- Speight, J.G. A parametric approach to landform regions. In Progress in Geomorphology, 1st ed.; Institute of British Geographers: London, UK, 1974; Alden & Mowbray Ltd. at the Alden Press: Oxford, UK, 1994; pp. 213–230. [Google Scholar]
- Florinsky, I.V. Topographic Surface and Its Characterization. In Digital Terrain Analysis in Soil Science and Geology, 2nd ed.; Florinsky, I.V., Ed.; Elsevier: Amsterdam, The Netherlands, 2016; pp. 7–76. [Google Scholar]
- Desmet, P.J.J.; Govers, G. A GIS procedure for automatically calculating the USLE LS Factor on topographically complex landscape units. J. Soil Water Conserv. 1996, 51, 427–433. [Google Scholar]
- Shary, P.A.; Sharaya, L.S.; Mitusov, A.V. Fundamental quantitative methods of land surface analysis. Geoderma 2002, 107, 1–32. [Google Scholar] [CrossRef]
- Moore, I.D.; Grayson, R.B.; Ladson, A.R. Digital terrain modelling: A review of hydrological, geomorphological and biological applications. Hydrol. Process. 1991, 5, 3–30. [Google Scholar] [CrossRef]
- Sanchez, E.F.; Alvarez, C.I. Prioritization of Hydrological Restoration Areas Using AHP and GIS in Dulcepamba River Basin in Bolivar–Ecuador. Hydrology 2024, 11, 81. [Google Scholar] [CrossRef]
- Riley, S.J.; DeGloria, S.D.; Elliot, R. A terrain ruggedness index that quantifies topographic heterogeneity. Int. J. Sci. 1999, 5, 23–27. [Google Scholar]
- Beven, K.J.; Kirkby, M.J. A physically-based variable contributing area model of basin hydrology. Hydrol. Sci. Bull. 1979, 24, 43–69. [Google Scholar] [CrossRef]
- Grabs, T.; Seibert, J.; Bishop, K.; Laudon, H. Modeling spatial patterns of saturated areas: A comparison of the topographic wetness index and a dynamic distributed model. J. Hydrol. 2009, 373, 15–23. [Google Scholar] [CrossRef]
- Al-Bawi, A.J.; Al-Abadi, A.M.; Pradhan, B.; Alamri, A.M. Assessing gully erosion susceptibility using topographic derived attributes, multi-criteria decision-making, and machine learning classifiers. Geomat. Nat. Hazards Risk 2021, 12, 3035–3062. [Google Scholar] [CrossRef]
- Heilbron, M.; Almeida, J.C.H.; Eirado, L.G. Geologia e Recursos Minerais do Estado do Rio de Janeiro, 1st ed.; CPRM: Brasilia, Brazil, 2016. [Google Scholar]
- Instituto Estadual do Ambiente. Mapeamento de Uso do Solo e Cobertura Vegetal. 2018. Available online: https://visualizador.inde.gov.br/ (accessed on 8 June 2024).
- Instituto Brasileiro de Geografia e Estatística. Base Comum Vetorial do Estado do Rio de Janeiro Versão 2018 edgv 3.0. Available online: https://www.ibge.gov.br/geociencias/downloads-geociencias.html?caminho=cartas_e_mapas/bases_cartograficas_continuas/bc25/rj/versao2018_edgv_3.0/ (accessed on 8 June 2024).
- Fick, S.E.; Hijmans, R.J. WorldClim 2: New 1 km spatial resolution climate surfaces for global land areas. Int. J. Climatol. 2017, 37, 4302–4315. [Google Scholar] [CrossRef]
- Gayen, A.; Pourghasemi, H.R.; Saha, S.; Keesstra, S.; Bai, S. Gully erosion susceptibility assessment and management of haz-ard-prone areas in India using different machine learning algorithms. Sci. Total Environ. 2019, 668, 124–138. [Google Scholar] [CrossRef]
- Arabameri, A.; Chandra Pal, S.; Costache, R.; Saha, A.; Rezaie, F.; Seyed Danesh, A.; Pradhan, B.; Lee, S.; Hoang, N.D. Prediction of gully erosion susceptibility mapping using novel ensemble machine learning algorithms. Geomat. Nat. Hazards Risk 2021, 12, 469–498. [Google Scholar] [CrossRef]
- Hasanuzzaman, M.D.; Adhikary, P.P.; Shit, P.K. Gully erosion susceptibility mapping and prioritization of gully-dominant sub-watersheds using machine learning algorithms: Evidence from the Silabati River (tropical river, India). Adv. Space Res. 2024, 73, 1653–1666. [Google Scholar] [CrossRef]
- Were, K.; Kebeney, S.; Churu, H.; Mutio, J.M.; Njoroge, R.; Mugaa, D.; Alkamoi, B.; Ng’etich, W.; Singh, B.R. Spatial Prediction and Mapping of Gully Erosion Susceptibility Using Machine Learning Techniques in a Degraded Semi-Arid Region of Kenya. Land 2023, 12, 890. [Google Scholar] [CrossRef]
- Huang, D.; Su, L.; Zhou, L.; Tian, Y.; Fan, H. Assessment of gully erosion susceptibility using different DEM-derived topographic factors in the black soil region of Northeast China. Int. Soil Water Conserv. Res. 2023, 11, 97–111. [Google Scholar] [CrossRef]
- Krzywinski, M.; Altman, N. Classification and regression trees. Nat. Methods 2017, 14, 757–758. [Google Scholar] [CrossRef]
- Zafar, Z.; Zubair, M.; Zha, Y.; Fahd, S.; Nadeem, A.A. Performance assessment of machine learning algorithms for mapping of land use/land cover using remote sensing data. Egypt. J. Remote Sens. Space Sci. 2024, 27, 216–226. [Google Scholar] [CrossRef]
- Chen, T.Q.; Guestrin, C. Xgboost: A scalable tree boosting system. In Proceedings of the 22nd ACM SIGKDD International Conference on Knowledge Discovery and Data Mining, San Francisco, CA, USA, 13–17 August 2016; pp. 785–794. [Google Scholar]
- Witten, H.; Frank, E.; Hall, M.A. Data Mining Practical Machine Learning Tools and Techniques, 4th ed.; Morgan Kaufmann Publishers: Burlington, MA, USA, 2018. [Google Scholar]
- Breiman, L. Random Forests. Mach. Learn. 2001, 45, 5–32. [Google Scholar] [CrossRef]
- Pal, M.; Mather, P.M. Support vector machines for classification in remote sensing. Int. J. Remote Sens. 2005, 26, 1007–1011. [Google Scholar] [CrossRef]
- Wang, L.; Yan, J.; Mu, L.; Huang, L. Knowledge discovery from remote sensing images: A review. WIREs Data. Min. Knowl. 2020, 10, 1–31. [Google Scholar] [CrossRef]
- De Smith, M.J.; Goodchild, M.F.; Longley, P.A. Univariate classification schemes. In Geospatial Analysis—A Comprehensive Guide, 7th ed.; Winchelsea Press: Winchelsea, East Sussex, England, 2024. [Google Scholar]
- Maxwell, A.E.; Warner, T.A.; Guillén, L.A. Accuracy assessment in convolutional neural network-based Deep Learning remote sensing studies—Part 1: Literature review. Remote Sens. 2021, 13, 2450. [Google Scholar] [CrossRef]
- Sammut, C.; Webb, G.I. Encyclopedia of Machine Learning and Data Mining, 2nd ed.; Springer: New York, NY, USA, 2017. [Google Scholar]
- Buckley, A.R. Minimum Mapping Unit (MMU). In Encyclopedia of Geographic Information Science, 1st ed.; Kemp, K.K., Ed.; SAGE Research Methods: London, UK, 2008; pp. 287–288. [Google Scholar]
- Spínola, D.N.; Filho, E.I.F.; Portes, R.C.; Resck, B.C. Comparação entre dois métodos de generalização cartográfica semi-automática em ambiente matricial. In Proceedings of the XV Simpósio Brasileiro de Sensoriamento Remoto, Curitiba, Brazil, 30 April–5 May 2011; pp. 2294–2301. [Google Scholar]





| Controlling Factors | VIF | TOL |
|---|---|---|
| Elevation | 4.7 | 0.21 |
| Distance to Rivers | 1.20 | 0.83 |
| Distance to Roads | 1.26 | 0.79 |
| Land Use and Land Cover | 1.17 | 0.85 |
| Lineaments | 1.3 | 0.77 |
| Lithology | 1.09 | 0.92 |
| Plan Curvature | 1.08 | 0.92 |
| Profile Curvature | 1.20 | 0.83 |
| Rainfall | 3.21 | 0.31 |
| Slope | 4.32 | 0.23 |
| Specific Contributing Area | 3.21 | 0.31 |
| Stream Power Index | 4.17 | 0.24 |
| Soils | 1.72 | 0.58 |
| Topographic Wetness Index | 2.74 | 0.36 |
| Controlling Factors | Mean | Min | Max | Mode |
|---|---|---|---|---|
| Elevation | 448.15 m | 383.71 m | 592.14 m | - |
| Distance to Rivers | - | - | - | 0–100 m |
| Distance to Roads | - | - | - | 0–100 m |
| Land Use and Land Cover | - | - | - | Pasture |
| Lineaments | 164,242.59 px/km2 | 0 px/km2 | 200,902.26 px/km2 | - |
| Lithology | - | - | - | Rio Turvo Suite |
| Plan Curvature | 0.0022 m−1 | −0.0226 m−1 | 0.0255 m−1 | - |
| Profile Curvature | 0.0004 m−1 | −0.0059°/m | 0.0043°/m | - |
| Rainfall | 1205.48 mm | 1172.38 mm | 1272.87 mm | - |
| Slope | 22.63° | 6.09° | 33.07° | - |
| Specific Contributing Area | 45.05 m2/m | 29.12 m2/m | 232.96 m2/m | - |
| Stream Power Index | 18.46 | 3.11 | 108.22 | - |
| Soils | - | - | - | Red–Yellow Argisols |
| Topographic Wetness Index | 4.53 | 3.80 | 6.62 | - |
| Performance Metrics | |||||
|---|---|---|---|---|---|
| Model | Accuracy | Precision | Recall | F1-Score | |
| CART | Non-Eroded | 0.851 | 0.866 | 0.829 | 0.847 |
| Eroded | 0.836 | 0.873 | 0.854 | ||
| XGBoost | Non-Eroded | 0.882 | 0.909 | 0.851 | 0.879 |
| Eroded | 0.860 | 0.914 | 0.886 | ||
| RF | Non-Eroded | 0.882 | 0.891 | 0.872 | 0.881 |
| Eroded | 0.875 | 0.893 | 0.884 | ||
| SVM | Non-Eroded | 0.861 | 0.904 | 0.808 | 0.853 |
| Eroded | 0.826 | 0.914 | 0.868 | ||
| Gully Erosion Susceptibility | ||||||
|---|---|---|---|---|---|---|
| Model | Very Low | Low | Intermediate | High | Very High | |
| CART | Percent (%) | 43.31 | 35.03 | 4.89 | 8.11 | 9.16 |
| Area (Km2) | 441.68 | 357.23 | 49.92 | 82.68 | 93.47 | |
| XGBoost | Percent (%) | 83.08 | 5.89 | 2.07 | 2.36 | 7.11 |
| Area (Km2) | 847.34 | 60.04 | 21.11 | 24.03 | 72.47 | |
| RF | Percent (%) | 41.02 | 30.23 | 17.23 | 7.88 | 3.63 |
| Area (Km2) | 418.40 | 308.25 | 180.82 | 80.39 | 37.02 | |
| SVM | Percent (%) | 61.83 | 22.13 | 4.62 | 3.71 | 8.21 |
| Area (Km2) | 630.58 | 225.72 | 47.11 | 37.83 | 83.75 | |
Disclaimer/Publisher’s Note: The statements, opinions and data contained in all publications are solely those of the individual author(s) and contributor(s) and not of MDPI and/or the editor(s). MDPI and/or the editor(s) disclaim responsibility for any injury to people or property resulting from any ideas, methods, instructions or products referred to in the content. |
© 2024 by the authors. Licensee MDPI, Basel, Switzerland. This article is an open access article distributed under the terms and conditions of the Creative Commons Attribution (CC BY) license (https://creativecommons.org/licenses/by/4.0/).
Share and Cite
Filho, J.d.P.M.; Guerra, A.J.T.; Cruz, C.B.M.; Jorge, M.d.C.O.; Booth, C.A. Machine Learning Models for the Spatial Prediction of Gully Erosion Susceptibility in the Piraí Drainage Basin, Paraíba Do Sul Middle Valley, Southeast Brazil. Land 2024, 13, 1665. https://doi.org/10.3390/land13101665
Filho JdPM, Guerra AJT, Cruz CBM, Jorge MdCO, Booth CA. Machine Learning Models for the Spatial Prediction of Gully Erosion Susceptibility in the Piraí Drainage Basin, Paraíba Do Sul Middle Valley, Southeast Brazil. Land. 2024; 13(10):1665. https://doi.org/10.3390/land13101665
Chicago/Turabian StyleFilho, Jorge da Paixão Marques, Antônio José Teixeira Guerra, Carla Bernadete Madureira Cruz, Maria do Carmo Oliveira Jorge, and Colin A. Booth. 2024. "Machine Learning Models for the Spatial Prediction of Gully Erosion Susceptibility in the Piraí Drainage Basin, Paraíba Do Sul Middle Valley, Southeast Brazil" Land 13, no. 10: 1665. https://doi.org/10.3390/land13101665
APA StyleFilho, J. d. P. M., Guerra, A. J. T., Cruz, C. B. M., Jorge, M. d. C. O., & Booth, C. A. (2024). Machine Learning Models for the Spatial Prediction of Gully Erosion Susceptibility in the Piraí Drainage Basin, Paraíba Do Sul Middle Valley, Southeast Brazil. Land, 13(10), 1665. https://doi.org/10.3390/land13101665

