Next Article in Journal
Do Land Use and Land Cover Scenarios Support More Integrated Land Use Management?
Previous Article in Journal
Spatiotemporal Evolution of Urban Shrinkage and Its Impact on Urban Resilience in Three Provinces of Northeast China
Previous Article in Special Issue
Grazing as a Management Tool in Mediterranean Pastures: A Meta-Analysis Based on A Literature Review
 
 
Font Type:
Arial Georgia Verdana
Font Size:
Aa Aa Aa
Line Spacing:
Column Width:
Background:
Article

Wildfire Effects on Rangeland Health in Three Thermo-Mediterranean Vegetation Types in a Small Islet of Eastern Aegean Sea

by
Zoi M. Parissi
1,
Apostolos P. Kyriazopoulos
2,
Theodora Apostolia Drakopoulou
1,
Georgios Korakis
2 and
Eleni M. Abraham
1,*
1
Laboratory of Range Science, School of Forestry and Natural Environment, Aristotle University of Thessaloniki, P.O. Box 236, 54124 Thessaloniki, Greece
2
Department of Forestry and Management of the Environment and Natural Resources, Democritus University of Thrace, 193 Pantazidou Str., 68200 Orestiada, Greece
*
Author to whom correspondence should be addressed.
Land 2023, 12(7), 1413; https://doi.org/10.3390/land12071413
Submission received: 11 May 2023 / Revised: 15 June 2023 / Accepted: 6 July 2023 / Published: 14 July 2023

Abstract

Sclerophyllous scrub formations, the main vegetation type in many islands of the Aegean area, provide many goods and services to humans, such as biodiversity, soil protection, and forage for livestock and wildlife. Dominant shrub species of sclerophyllous formations are well adapted to dry season conditions due to various anatomical and physiological mechanisms. As a result, their biomass acts as very flammable, fine fuel, and consequently, wildfires are very common in these ecosystems. Wildfire effects on vegetation and biodiversity in the Mediterranean basin have been studied, and the results are diverse, depending mainly on the vegetation type and frequency of fires. Additionally, post-fire vegetation establishment and structure are critical factors for the implementation of grazing management. The aim of this study was to evaluate the effects of wildfire on species composition, floristic diversity, forage quality, and rangeland health indices related to ecosystem stability and function in three thermo-Mediterranean vegetation types: (1) Sarcopoterium spinosum low formations, (2) low formations of Cistus creticus, and (3) low formations of Cistus creticus in abandoned terraces. The research was conducted on the Oinousses islet, which is located northeast of Chios Island, in May 2013 (one year after the fire). Vegetation sampling was performed along five transects placed in recently burned and adjacent unburned sites of each vegetation type. The plant cover was measured, while the floristic composition, diversity, evenness, and dominance indices were determined for the vegetation data. Additionally, the forage quality was determined in terms of crude protein (CP) and fiber content. The vegetation cover was significantly lower, and the floristic diversity was significantly higher in burned areas in comparison to those in the unburned areas. Woody species, followed by grasses and forbs, dominated in both the burned and unburned areas. However, the percentage of woody species was significantly decreased in the burned areas of Sarcopoterium spinosum and Cistus creticus low formations. On the other hand, the percentage of grasses, forbs, and legumes increased in all cases except in Cistus creticus terraces. The lowest value of the Jaccard Index of similarity between the burned and unburned sites (beta diversity) was observed for Cistus creticus, indicating the effect of fire on the species composition of this vegetation type. The forage quality was found to be improved in all the burned areas, especially in those dominated by Cistus creticus. Finally, fire has a positive impact on the ecosystem’s functions, mainly for Sarcopoterium spinosum low formations.

1. Introduction

Sclerophyllous low scrub formations are common habitats at low and middle altitudes in the eastern Mediterranean and Anatolian areas. They are sub-habitats of the F7.3 European Red List of Habitats [1]. They usually occupy dry sites with shallow limestone (calcareous) soils. According to the EU’s description of the habitats, they are located in the coastal thermo-, meso-, and supra-Mediterranean zones of the Aegean islands, in mainland Greece and the Ionian islands, and in coastal Anatolia and Crete (up to 1200 m a.s.l.) [2]. These habitats, which are also referred to as ‘phrygana’ in Greece and garrigue in other countries [3], are traditionally used for grazing by livestock. They consist mainly of low, thorny, dimorphic shrub species [4]. The aforementioned species have developed an adaptation mechanism to dry thermal conditions in the Mediterranean basin by replacing winter leaves with much smaller summer ones in order to conserve water [5,6]. The most characteristic dominated species are Sarcopoterium spinosum, Cistus creticus, C. salviifolius, Erica manipuliflora, Genista acanthoclada, Phlomis fruticosa, Corydothymu scapitatus, and Euphorbia acanthothamnus [7].
Sclerophyllous scrub formations are very diverse ecosystems. They comprise some of the most species-rich plant communities in the Mediterranean basin and provide many goods and services to humans. Regarding regulating and supporting services [8], they contribute to the regulation of soil quality and protection, carbon sequestration, and provide a habitat for wildlife. Concerning provision services, they provide medicinal and aromatic plants, chemical extracts, and food as the majority of dominated scrubs and many of the understory herbs have medicinal and aromatic properties, e.g., honey from wild herbs, as well as forage for livestock and wildlife [9].
These ecosystems in the Aegean islands have been traditionally used for grazing by livestock. Despite the fact that the main use of these ecosystems is grazing, the dominated phryganic species are unpalatable and/or less desirable for grazing. This means that the main source of forage is the herbaceous species under or among the shrubs. Thus, an increase in the density of the phryganic species will result in a decrease in the availability and quality of the forage. In addition to the reduction of forage availability, this thickening would also result in a decrease in species richness and floristic diversity. Shepherds in these areas know this and use fire as a tool to increase the forage quantity and quality [7]. Additionally, they are among the major fire-prone biomes in the world [10]. Fire in this biome is an essential ecological process and beneficial for the ecosystem’s function [11]. In this respect, grazing and fire are key factors that have interacted with and shaped the structure and function of plant communities in the phryganic ecosystems in the Aegean islands.
However, grazing has drastically decreased in the past few decades in these areas, mainly due to changes in land uses and the increase in tourism. This has led to changes in landscapes and the environment, changes in vegetation composition and structure, decreases in forage quantity and quality, increases in woody vegetation, and the loss of biodiversity, endangering the provision of key ecosystem services [12,13]. Furthermore, the increase in woody vegetation may contribute to an increase in the risk and/or the frequency of wildfires. Fire-prone biomes have a characteristic historical range of variability in frequency, severity, and patchiness of fires [14]. Any change in this historical range due to human intervention can alter the ecosystem’s response to fire [15].
The effect of fire on ecosystem services has been studied mainly in forest ecosystems and for services related to soil stability and fertility [15]. The general view is that fire is a natural disaster and has a negative effect on ecosystem services. On the other hand, these ecosystems can remain stable under grazing and burning [16]. Particularly for post-fire grazing management, the question that arises is: when can it be applied to burned areas? The implementation of grazing management in burned areas directly depends on the establishment and structure of post-fire vegetation. Livestock grazing in burned areas before vegetation is well established could lead to ecosystem degradation. On the other hand, the thickening of vegetation before livestock grazing could make the ecosystem vulnerable to a new fire. However, research about the effect of fire on ecosystems adapted to fire, such as the sclerophyllous low scrub formations, is limited. The sclerophyllous low scrub formation of Aegean islands is assessed at the Least Concern status [2] based on Indicators of quality of the European Red List of Habitats [1]. This is mainly because of the extensive distribution of this habitat in the Eastern Mediterranean, which has not decreased in recent years. However, these ecosystems are highly affected by human activities such as grazing, fire, and cultivation abandonment. Therefore, further research focusing on the quality characteristics of these ecosystems is needed in order to detect the role of human activities in plant communities and how they affect the provision of their services. In this respect, the aim of the present study was to detect the effects of wildfire on species composition, floristic diversity, forage quality, and rangeland health indices related to ecosystem stability and function in three thermo-Mediterranean vegetation types (1) low formations of Sarcopoterium spinosum, (2) low formations of Cistus creticus and (3) low formations of Cistus creticus in abandoned terraces. This information could be a tool for managers to implement grazing plans in the burned areas of these ecosystems.

2. Materials and Methods

2.1. The Study Area

The study was conducted in Oinousses islet (38°20′00′′ N, 26°08′00′′ E, 80 m a.s.l.), which is in the Eastern Aegean Sea in May 2013. The islet is located in the sea channel between the NE coast of Chios Island (Greece) and the western coast of Anatolia (Turkey) (Figure 1). Oinousses islet covers an area of 14 km2 and belongs to the NATURA 2000 network. The mean annual temperature is 10.2 °C, and the mean annual precipitation is 556 mm. The climate is classified as Mediterranean, with mild winters and dry, very hot summers, and as Csa, according to the bioclimatogram of Emberger and the Köppen–Geiger classification, respectively [17]. The most important economic activities in the area are livestock production, agriculture, and fishing. Rangelands cover 90.8% of the area, dominated by sclerophyllous scrub vegetation. These semi-natural formations, mainly of garigue–phrygana, have also occupied the abandoned agricultural terraces. The rangelands of Oinousses islet are public and communally grazed by small ruminants, mainly goats with approximately 1000 heads, throughout the year.
A wildfire in the summer of 2012 burned a huge part of the northwestern part of the islet. Three thermo-Mediterranean vegetation types were identified in the burned and the unburned part of the islet: (1) low formations of Sarcopoterium spinosum (S. spinosum), (2) low formations of Cistus creticus (C. creticus), and (3) low formations of C. creticus in abandoned terraces. In each vegetation type, recently burned and adjacent unburned representative sites were selected in the spring of 2013, one year after the wildfire (Figure 2).

2.2. Vegetation Data Collection and Analysis

Due to the homogeneity of the habitats, five experimental transects of 20 m each were established along the contour lines at each site, at a distance of at least 100 m between them. The plant cover was measured at the end of the growing season 2013 in each transect according to the line-and-point method, which is widely used in rangeland studies [18]. Transect lines are placed in a way that every point has a similar elevation. Transects were set up in vegetation, and 100 recordings (per 20 cm) were conducted per transect. A total of 3000 points were recorded. The total number of live plant species hits was the plant cover. The vegetation sampling was conducted at the peak of the flowering season, i.e., May, in order to ensure the presence of a high range of the plant community life forms. The nomenclature of the recorded plant taxa follows Strid and Tan [19,20] and Tutin et al. [21,22,23,24,25]. The floristic composition was calculated from plant cover measurements and classified into four functional plant groups: grasses, legumes, forbs, and woody. Legumes were presented separately from forbs because of their nutritional importance for small ruminants [26]. Floristic diversity, evenness, and dominance were determined for each transect [27] by the number of species, the Shannon–Wiener diversity index (H′), the Simpson diversity index (D), the Buzas and Gibson evenness (E) and the Berger–Parker dominance index (d) [28,29,30].
Additionally, the Jaccard index was estimated by the following formula: Cj = j/(a + b − j), where: j = the number of species common to both sites, a = the number of species in site A, and b = the number of species in site B. All the diversity indices were calculated using PAST vol. 4 [31].

2.3. Development of Indices of Landscape Stability, Composition, and Function

Three ecosystem variables, including landscape composition, landscape function, and landscape stability, were utilized to develop indices of rangeland health based on empirical data collected at the same time next to the five experimental transects from each vegetation type [32,33,34,35].
Six attributes were used to calculate these indices (Table 1). The possible range of each attribute was divided into 5 or 6 ecologically meaningful classes, and each class was then assigned a value according to its perceived effect on composition, function, or stability. The percentage of plant cover, which is a crucial component of composition and stability, was divided into five classes, thus: 0–10%—1, 10–25%—2, 25–50%—3, 50–75%—4, and >75%—5. Accordingly, a site with 65% plant cover would receive a value of 4. For ‘landscape function’, herbage production was divided into five classes, thus: 0–700 kg ha−1—1, 701–1400 kg ha−1—2, 1401–2100 kg ha−1—3, 2101–2800 kg ha−1—4, and >2801 kg ha−1—5, while soil erosion was also divided into five classes: very severe—1, severe—2, moderate—3, slight—4, and insignificant—5. Data on woody species and legumes were used as inputs for the composition and function indices such that a higher score indicated a greater cover of woody and legumes. Data on species richness were also used as inputs for the composition and function indices. ‘Species richness’ was divided into five classes: 1–5 species—1, 6–10 species—2, 11–15 species—3, 16–20 species—4, and >21 species—5. The total score was calculated by adding the score of each attribute.

2.4. Forage Nutritive Value

Forage production was collected by clipping two 0.5 m × 0.5 m squares at 5 and 15 m points of each transect (i.e., 10 squares per treatment) in every burned and unburned plot, at 1 cm above ground, at the end of the growing season during the experimental period. Only annual twigs and leaves of woody species were included. Forage production in the unburned areas was separated into herbage and woody production. These samples were oven-dried at 60 °C for 48 h and weighed [36]. All the herbaceous samples from each vegetation type were ground through a 1-mm screen and analyzed for neutral detergent fiber (NDF) and acid detergent fiber (ADF) with the ANKOM fiber220 analyzer (ANKOM Technology Corporation, Fairport, NY, USA). NDF was estimated with the addition of sulfite, and ADF analysis was sequential to NDF analysis. ADF samples were incubated with 70% sulphuric acid for the determination of acid detergent lignin (ADL) [37] and N using the Kjeldahl procedure [38]. CP was then calculated by multiplying the N content by 6.25. All analyses were carried out on duplicate samples, and results were reported on a DM basis.

2.5. Statistical Analysis

A two-way analysis of variance (ANOVA) was performed to examine the influence of the factor vegetation type and the factor treatment (burned vs. unburned) and their interaction on the univariate measures: (1) plant cover, (2) functional group composition, (3) diversity indices, (4) rangeland health indices, and (5) nutritive value parameters. Data sets consisting of percentage values were arcsine-transformed to degrees prior to analysis [39]. The Tukey–Kramer at the 0.05 probability level was used to detect the differences among means [40]. All statistical analyses were performed using the SPSS statistical package v. 27.0 (IBM Corp. in Armonk, NY, USA). An additional PCA analysis was conducted in order to study the patterns of variation in the datasets of floristic composition. The taxa that were presented to all plots in each site, and they had a percentage of more than 5% in species composition, were included. Biplot was constructed based on PCA output in order to visualize the distribution of burned and unburned sites in relation to floristic composition. The PCA analysis was carried out using the package Vegan (v2.5-6) of R.

3. Results

3.1. Plant Cover—Composition—Floristic Diversity

In total, 47 species were recorded in all the studied sites (Supplementary Table S1). The woody species, followed by grasses and forbs, dominated in both burned and unburned areas. The common species in all the studied sites were Avena barbata, Briza maxima, Trifolium campestre, and Vulpia myuros. According to the PCA, the floristic composition clearly distinguished the burned and unburned sites (Figure 3). This was more obvious for C. creticus and S. spinosum burned and unburned sites located on the right and left side of PCA1, respectively. On the other hand, both the burned and unburned sites of C. creticus terraces were located on the left side of PCA1 and close to all the unburned sites (Figure 3). PC1 and PC2 accounted for 31% and 24% of the total variation, respectively.
The highest Jaccard similarity index was recorded between the burned areas of C. creticus and S. spinosum (Table 2). This is indicative that similar species were established in both areas after the fire. Inversely, burned and unburned sites of C. creticus had the lowest similarity indicating that the fire altered the floristic composition of C. creticus low formations (Table 2).
Significant differences between burned and unburned sites were recorded for plant cover, all the functional plant groups, number of species, Evenness, and the Berger–Parker dominance index (Table 3). Additionally, significant differences for plant cover, forbs, woody species, number of species, Shannon, Evenness, and the Berger–Parker dominance index were recorded among the vegetation types. The interaction of burning and vegetation type was significant for the plant cover, all the functional plant groups apart from legumes, the number of species, Evenness, and the Berger–Parker dominance index (Table 3).
The plant cover (across vegetation types) was found significantly decreased in the burned sites in 2013, i.e., one year after the wildfire. Functional group composition was differentiated between sites. Burning reduced the percentage of woody species while it increased the percentages of the other plant functional groups. There was a trend of higher floristic diversity in the burned sites, as the Shannon index and Evenness were significantly higher, while the Berger–Parker dominance index was significantly lower (Table 4).
Plant cover (across burning) was significantly higher in the S. spinosum phrygana. The percentage of forbs was significantly lower, and this of woody species was significantly higher in the low formations of C. creticus compared to those recorded in the other vegetation types (Table 5). Floristic diversity indices (Number of species, Shannon, Evenness) were significantly lower in the terraces with C. creticus. Berger–Parker index of dominance followed the opposite trend.
Plant cover in the unburned sites did not differ among the vegetation types, while in the burned ones, it was found higher in the S. spinosum low formations (Figure 4).
The percentage of grasses was significantly lower in the terraces with C. creticus than the other vegetation types in the burned area, while in the unburned area, it was higher than that recorded in the S. spinosum low formations. Grass percentage increased in the burned areas with low formations of C. creticus and in S. spinosum but burning did not affect their presence in the terraces with C. creticus (Figure 5a). The percentages of forbs were significantly higher only in the burned sites with low formations of Cistus creticus and with S. spinosum. Grass percentage was higher in the burned low formations of C. creticus compared to the other burned vegetation types, while no significant difference was recorded among the unburned vegetation types (Figure 5b). Woody species percentage was not changed with burning in the terraces with C. creticus, while it decreased in the other vegetation types. It was significantly higher in the burned terraces with C. creticus that in the other burned vegetation types (Figure 5c).
The number of species was significantly reduced only in the burned terraces with C. creticus (Figure 6a). No differences in Evenness were detected among the not burned vegetation types, while in the burned ones, Evenness was significantly higher in the low formations of C. creticus. Only in this vegetation type had burning significantly increase this diversity index (Figure 6b). Berger Parker dominance index was significantly higher in the burned terraces with C. creticus followed by low formations of S. spinosum, while no differences were found among the unburned vegetation types. Burning did not affect this index in the terraces with C. creticus (Figure 6c).

3.2. Nutritive Value

Significant differences between the burned and the unburned areas were recorded for NDF, ADF, and ADL content (Table 6). Additionally, significant differences in CP and NDF contents were recorded among the vegetation types. The interaction of burning and vegetation type was significant for CP, NDF, and ADF contents (Table 6).
The NDF and the ADF contents (across vegetation types) were higher in the unburned sites, while ADL content was higher in the burned ones (Table 7). As the interaction of burning and vegetation type was not significant for the ADL, the ADL content was higher in the burned sites compared to the unburned for all the vegetation types. Wildfires did not affect the CP content of the vegetation.
CP content was significantly higher in low formations of C. creticus compared to those recorded in the other vegetation types (Table 8). NDF content recorded in low formations of C. creticus in the abandoned terraces was significantly lower than those found in the other vegetation types. There were no significant differences among the vegetation types for ADF and ADL contents.
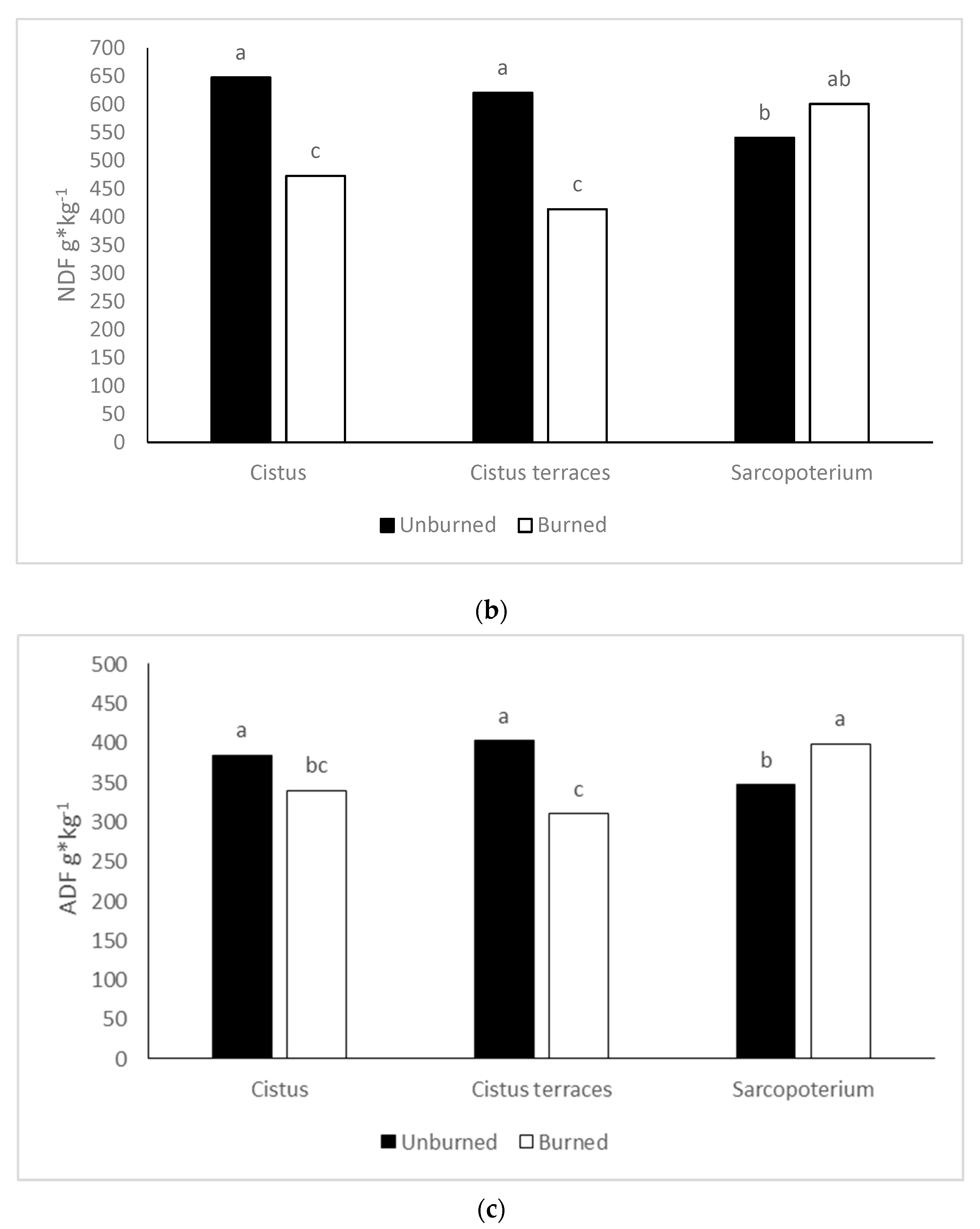
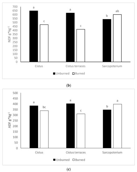
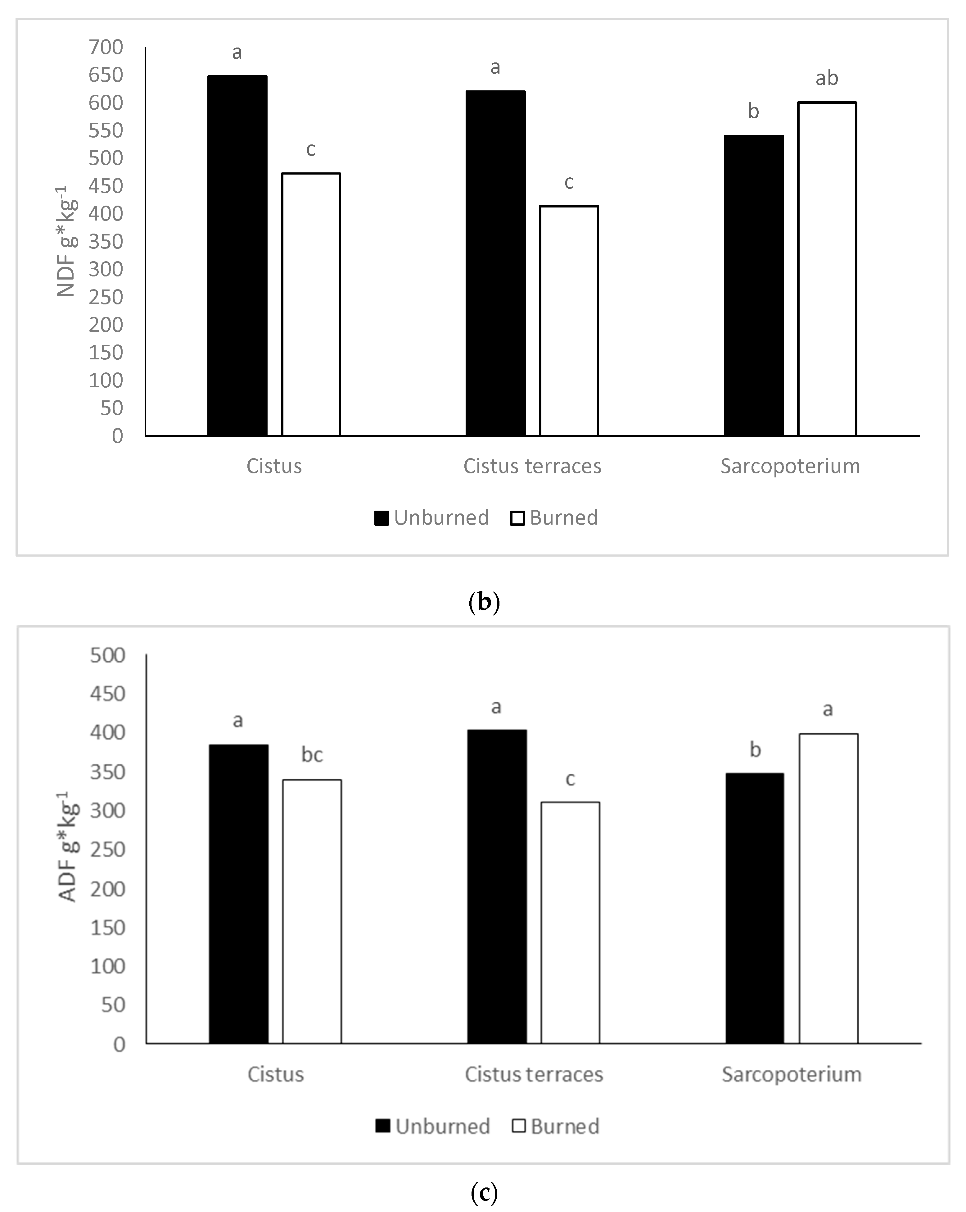
The CP content in both burned and unburned sites was significantly higher in the low formations of C. creticus compared to the other vegetation types. The CP content in the unburned low formations of S. spinosum was higher than that recorded in the burned sites, while no significant differences were detected between burned and unburned sites in the other vegetation types (Figure 7a).
The NDF and ADF contents in both the burned sites dominated by C. creticus were lower than those not burned, while the opposite trend was recorded in the S. spinosum, being, however, significant only for the ADF. The NDF and ADF contents in both unburned sites with C. creticus were significantly higher than that of S. spinosum, while in the burned sites, the results were the opposite (Figure 7b,c).

3.3. Landscape Indices

Significant differences among vegetation types were recorded only for the stability index of the landscape, while burning affected all the landscape indices except the total score (Table 9). The interaction of burning and vegetation type was significant for the landscape composition and stability indices (Table 9).
The indices of landscape function and stability were decreased by burning, while the landscape composition index was significantly higher in the burned sites (Table 10).
The landscape stability index was significantly higher in the low formations of S. spinosum compared to the other vegetation types (Table 11).
The landscape composition index in the burned sites was significantly lower in the low formations of C. creticus in the abandoned terraces compared to the other vegetation types. At the same time, in the unburned area, no significant differences were detected among vegetation types. Burning reduced the landscape composition index only in the low formations of S. spinosum (Figure 8a).
The landscape composition index in the burned area was significantly higher in the low formations of S. spinosum compared to the other vegetation types, while in the unburned area, no significant differences were found. The landscape composition index was not affected by burning in the low formations of S. spinosum, but it decreased in the other vegetation types (Figure 8b).

4. Discussion

It is well substantiated that wildfires are a common phenomenon in the Mediterranean rangeland ecosystems, and they alter the structure and dynamics of plant communities [41,42]. Many plant species have adapted to fire using two basic mechanisms: (a) by resprouting from alive plants after the fire and (b) by recruiting from seeds [43,44]. As a result, the vegetation in these ecosystems has the ability to recover a few years after the fire [45].
According to the results of the present study, there were no differences in plant cover among the vegetation types of the unburned sites. On the other hand, fire reduced plant cover in all the vegetation types, though in different degrees. Plant cover in the burned formations of S. spinosum was higher than those recorded in the C. creticus formations and the terraces with C. creticus. According to Kazanis and Arianoutsou [46], plant cover post-fire is affected by the woody species cover. Both woody species are post-fire pioneer plants [47,48]. Cistus species are force seeders [49,50]. C. ladanifer has been reported as a species that dominates in burnt areas [49]. It can recover faster even than resprouted species [51], besides the fact that vegetative resprouting has advantages over seed germination in burned environments [52]. S. spinosum can recover by both resprouting and seed germination [53]. The aggressive regrowth and competitive ability of this species resulted in a higher degree of plant cover in the formations of S. spinosum.
The floristic composition was differentiated in the burned sites in relation to the adjacent unburned ones but to a different degree across the three vegetation types. The pre-fire floristic composition was dominated by woody species (around 70%), followed by grasses, forbs, and legumes in all vegetation types. In the post-fire floristic composition, the abundance of woody species decreased, while the abundance of grasses, forbs, and legumes increased in the low formations of C. creticus and S. spinosum. Inversely, in the terraces of Cistus creticus, there were no differences in the abundance of woody species, grasses, and forbs between burned and unburned sites. This resulted in the highest differentiation in terms of the Jaccard similarity index being recorded between burned and unburned sites of C. creticus formation and the lowest in the terraces of C. creticus.
Fire generally contributes to the decline of woody species [54,55] in rangelands. In many cases, prescribed burning is used as a management tool to limit shrub encroachment in grasslands. The reduction of woody species leads to a limitation of competition, which favors the establishment of other functional groups [56,57]. The recovery of woody species after the fire depends on their regeneration capacity [58]. As mentioned above, the regeneration capacity of both species (C. creticus and S. spinosum) is high and has contributed to their quick recovery. Notably, the percentage of S. spinosum in the composition of the vegetation reached about 50% just one year after the fire. In this respect, Papanastasis [59] reported the full recovery of S. spinosum three years after a fire. Furthermore, it should be noted that the faster recovery of Cistus creticus in the terraces compared to the other sites. The abundance of Cistus creticus in terraces was similar before and after the fire. This can be attributed to the specific micro-environment of terraces (soil, light, temperature) that probably favors the germination of the seeds and the establishment of seedlings [60]. Terraces are common in hilly areas and have been built in order to conserve soil and water as well as to increase the arable fields [61]. Finally, the percentage of legumes increased in post-fire vegetation in all the vegetation types. Actually, the percentage of legumes in burned sites was three times more compared to the unburned ones. Probably, fire contributes to the cracking of their hard-coated seeds and accelerates their germination [54,62].
The floristic diversity was higher in the burned sites compared to the unburned ones. There are many reports about the positive effect of fire on floristic diversity in rangelands [63,64,65]. In particular, for fire-prone ecosystems such as the phryganic, fire has been proposed as a major driver of their diversity [66]. This positive effect mainly contributed to the decrease of the competitive woody species and the increase of the other functional groups.
The CP content did not significantly differ between burned and unburned areas. This finding was unexpected as forage in burned areas has higher crude protein than forage in unburned ones [67]. The absence of a response can be an indication that livestock did not graze in these areas in time to benefit from the initial greening up in the burned locations [68]. Another potential explanation is that the effect of time (after one year) evened out the difference in CP content. According to Thapa [69], in research carried out in grasslands in Nepal, there was no difference in the CP content of the post-fire regrowth forage after four months. Although there was a decrease in fiber content, ADL probably increased due to an increase in legumes in the burned areas. This is due to the possible higher content of condensed tannins, which interfere with ADL [70].
On the other hand, the vegetation type (across fire) had different CP content for the Cistus vegetation types. These variations may have developed because of their different growing environment. Temel and Tan [71] reported similar results for the CP content of C. creticus, although they have estimated lower NDF and ADF content for the same species in comparison to this study. According to Gokkus [72], S. spinosum had lower CP content (5.37%) in spring compared to our result but almost double ADL content (15.98%). Generally, the two dominant species, C. creticus and S. spinosum, are not as preferable with low nutritive value. However, both have been affected by wildfire, which had a positive effect on the nutritive value in terms of fiber and CP content in the C. creticus vegetation type but had an adverse effect on the S. spinosum vegetation type [73].
The landscape function and stability were negatively affected by burning. The increased soil erosion and the reduced plant cover recorded in the burned rangeland sites constitute the main reason for the reduced stability index, mainly in the C. creticus formations and the terraces with C. creticus. Increased risk for soil erosion in burned similar vegetation types has been reported [74]. Although legumes’ percentage increased in the burned sites, the reduced herbage production and the increased soil erosion reduced the function index. In contrast, burning benefited the composition index, especially in the formations of S. spinosum, because of the lower woody species cover and the increased floristic diversity. It has to be noted that formations of S. spinosum were favored by burning more than the other vegetation types as the composition index was increased, while the stability index did not affect one year after the fire.
Sarcopoterium spinosum is an unpalatable species [75] and is not consumed by livestock except early in spring, while Cistus creticus is browsed by goats mainly in autumn [76]. Therefore, prescribed burning has been used to combat dense Sarcopoterium spinosum communities and improve rangeland vegetation [45]. The results of the present study confirm that burning can improve the landscape in this vegetation type, as well as the idea that these ecosystems can remain stable when not dense [16].

5. Conclusions

Fire generally had a positive impact on the services provided by these fire-prone ecosystems of Cistus creticus and Sarcopoterium spinosum. The floristic diversity and species evenness were enhanced, while dominance was reduced after the fire. The exception was the abandoned terraces, in which an aggressive presence of the Cistus creticus was recorded. The forage quality and the landscape function slightly improved in the burned sites, which was more evident in the formations of Sarcopoterium spinosum compared to the other vegetation types. The present research confirms the general assumption that a high density of dominant scrubs affects the stability of these ecosystems. In this regard, the goal of management should be to maintain the post-fire status of dominant shrub abundance. Grazing mainly with goats can contribute in this direction. At the same time, the management should take measures to improve the vegetation in the terraces. Otherwise, the thickening of the scrubs combined with the observed variability of climatic conditions (precipitation, temperature) may increase the frequency of fires. This increase can alter the response of these ecosystems to fire and affect their structure and function as well as the services they provide.

Supplementary Materials

The following supporting information can be downloaded at: https://www.mdpi.com/article/10.3390/land12071413/s1, Table S1: The recorded taxa in the unburned and burned sites.

Author Contributions

Conceptualization, E.M.A. and A.P.K.; methodology, E.M.A., A.P.K., G.K. and Z.M.P.; software, A.P.K. and T.A.D.; formal analysis, E.M.A. and A.P.K.; data curation, G.K., A.P.K. and E.M.A.; writing—original draft preparation, E.M.A., A.P.K. and Z.M.P.; writing—review and editing, E.M.A., A.P.K., T.A.D. and Z.M.P.; visualization, T.A.D.; supervision, E.M.A. All authors have read and agreed to the published version of the manuscript.

Funding

This research was funded by [Nikos and Foteini Diamantara] grant number [5000].

Data Availability Statement

The data presented in this study are available in figures, tables, and supplementary tables provided in the manuscript.

Acknowledgments

The authors wish to acknowledge the financial support received from Nikos and Foteini Diamantara in memory of their parents, Anastasios and Despoina. Furthermore, we wish to acknowledge Dimitrios Chouvardas for his assistance in the building of maps.

Conflicts of Interest

The authors declare no conflict of interest.

References

  1. Janssen, J.; Rodwell, J.; García Criado, M.; Gubbay, S.; Haynes, T.; Nieto, A.; Sanders, N.; Landucci, F.; Loidi, J.; Ssymank, A.; et al. European Red List of Habitats Part 2. In Terrestrial and Freshwater Habitats; Publications Office of the European Union: Luxembourg, 2016; p. 37. [Google Scholar] [CrossRef]
  2. Available online: https://forum.eionet.europa.eu (accessed on 12 April 2023).
  3. Vargas, P. The Mediterranean floristic region: High diversity of plants and vegetation types. In Encyclopedia of the World′s Biomes. Grasslands and Shrublands; Di Paolo, D., Ed.; Elsevier: San Diego, CA, USA, 2020; pp. 602–616. [Google Scholar]
  4. Margaris, N.S. Adaptive strategies in plants dominating Mediterranean-type ecosystems. In Mediterranean-Type Shrublands-Ecosystems of the World 11; Di Castri, F., Goodall, D.W., Specht, R.L., Eds.; Elsevier Scientific Publ.: Amsterdam, The Netherlands, 1981; pp. 309–315. [Google Scholar]
  5. Kypasissis, A.; Manetas, Y. Seasonal leaf dimorphism in a semi deciduous Mediterranean shrub: Ecophysiological comparisons between winter and summer leaves. ActaOecologica 1993, 14, 23–32. [Google Scholar]
  6. Kyparissis, A.; Grammatikopoulos, G.; Manetas, Y. Leaf demography and photosynthesis as affected by the environment in the drought semi deciduous Mediterranean shrub Phlomis fruticosa L. ActaOecologica 1997, 8, 543–555. [Google Scholar] [CrossRef]
  7. Papanastasis, V.P. Traditional vs contemporary management of Mediterranean vegetation: The case of the island of Crete. J. Biol. Res. 2004, 1, 39–46. [Google Scholar]
  8. MEA (Millennium Ecosystem Assessment). Ecosystems and Human Well-Being: Synthesis; Island Press: Washington, DC, USA, 2005. [Google Scholar]
  9. Smith-Ramνrez, C.; Grez, A.; Galleguillos, M.; Cerda, C.; Ocampo-Melgar, A.; Miranda, M.D.; Muñoz, A.A.; Rendón-Funes, A.; Díaz, I.; Cifuentes, C.; et al. Ecosystem services of Chilean sclerophyllous forests and shrublands on the verge of collapse: A review. J. Arid Environ. 2023, 211, 104927. [Google Scholar] [CrossRef]
  10. Bond, W.J.; Woodward, F.I.; Midgley, G.F. The global distribution of ecosystems in a world without fire. New Phytol. 2005, 165, 525–538. [Google Scholar] [CrossRef]
  11. Keeley, J.E.; Pausas, J. Distinguishing disturbance from perturbations in fire-prone ecosystems. Int. J. Wildland Fire 2019, 28, 282–287. [Google Scholar] [CrossRef]
  12. Terres, J.M.; Scacchiafichi, L.N.; Wania, A.; Ambar, M.; Anguiano, E.; Buckwell, A.; Coppola, A.; Gocht, A.; Nordström Källström, H.; Pointereau, P.; et al. Farmland abandonment in Europe: Identification of drivers and indicators, and development of a composite indicator of risk. Land Use Policy 2015, 49, 20–34. [Google Scholar] [CrossRef]
  13. Celaya, R.; Ferreira, L.M.M.; Lorenzo, J.M.; Echegaray, N.; Crecente, S.; Serrano, E.; Busqué, J. Livestock management for the delivery of ecosystem services in fire-prone shrublands of Atlantic Iberia. Sustainability 2020, 14, 2775. [Google Scholar] [CrossRef]
  14. Safford, H.D.; Hayward, G.; Heller, N.; Wiens, J.A. Climate change and historical ecology: Can the past still inform the future? In Historical Environmental Variation in Conservation and Natural Resource Management, 1st ed.; Wiens, J.A., Hayward, G., Safford, H.D., Giffen, C.M., Eds.; John Wiley and Sons: New York, NY, USA, 2012; pp. 46–62. [Google Scholar]
  15. Pausas, J.; Keeley, J.E. Wildfires as an ecosystem service. Front. Ecol. Env. 2019, 17, 289–295. [Google Scholar] [CrossRef]
  16. Pausas, J.G.; Bond, W.J. Alternative biome states in terrestrial ecosystems. Trends Plant Sci. 2020, 25, 250–263. [Google Scholar] [CrossRef]
  17. Panitsa, M.; Dimopoulos, P.; Iatrou, G.; Tzanoudakis, D. Contribution to the study of the Greek flora. Flora and vegetation of the Enousses (Oinousses) islands (E. Aegean area). FLORA 1994, 189, 69–78. [Google Scholar] [CrossRef]
  18. Cook, C.W.; Stubbendieck, J. Range Research: Basic Problems and Techniques; Society for Range Management: Denver, CO, USA, 1986; 341p. [Google Scholar]
  19. Flora Hellenica Volume 1; Strid, A., Tan, K., Eds.; Koeltz Scientific Books: Königstein, Germany, 1997; p. 547. [Google Scholar]
  20. Flora Hellenica Volume 2; Strid, A., Tan, K., Eds.; A. R. G. Gantner Verlag K. G.: Rugell, Liechtenstein, 2002; p. 511. [Google Scholar]
  21. Flora Europaea Volume 2; Tutin, T.G., Burges, N.A., Chater, A.O., Edmonson, J.R., Heywood, V.H., Moore, D.M., Valentine, D.H., Walters, S.M., Webb, D.A., Eds.; Cambridge University Press: Cambridge, UK, 1968; p. 469. [Google Scholar]
  22. Flora Europaea Volume 3; Tutin, T.G., Burges, N.A., Chater, A.O., Edmonson, J.R., Heywood, V.H., Moore, D.M., Valentine, D.H., Walters, S.M., Webb, D.A., Eds.; Cambridge University Press: Cambridge, UK, 1972; p. 385. [Google Scholar]
  23. Flora Europaea Volume 4; Tutin, T.G., Burges, N.A., Chater, A.O., Edmonson, J.R., Heywood, V.H., Moore, D.M., Valentine, D.H., Walters, S.M., Webb, D.A., Eds.; Cambridge University Press: Cambridge, UK, 1976; p. 452. [Google Scholar]
  24. Flora Europaea Volume 5; Tutin, T.G., Burges, N.A., Chater, A.O., Edmonson, J.R., Heywood, V.H., Moore, D.M., Valentine, D.H., Walters, S.M., Webb, D.A., Eds.; Cambridge University Press: Cambridge, UK, 1980; p. 505. [Google Scholar]
  25. Flora Europaea, Volume 1, 2nd ed; Tutin, T.G., Burges, N.A., Chater, A.O., Edmonson, J.R., Heywood, V.H., Moore, D.M., Valentine, D.H., Walters, S.M., Webb, D.A., Eds.; Cambridge University Press: Cambridge, UK, 1993; p. 581. [Google Scholar]
  26. Karatassiou, M.; Parissi, Z.M.; Panajiotidis, S.; Stergiou, A. Impact of Grazing on Diversity of Semi-Arid Rangelands in Crete Island in the Context of Climatic Change. Plants 2022, 11, 982. [Google Scholar] [CrossRef] [PubMed]
  27. Abraham, E.M.; Aftzalanidou, A.; Ganopoulos, I.; Osathanunkul, M.; Xanthopoulou, A.; Avramidou, E.; Sarrou, E.; Aravanopoulos, F.; Madesis, P. Genetic diversity of Thymus sibthorpii Bentham in mountainous natural grasslands of Northern Greece as related to local factors and plant community structure. Ind. Crops Prod. 2018, 111, 651–659. [Google Scholar] [CrossRef]
  28. Henderson, P.A. Practical Methods in Ecology; John Wiley & Sons: Hoboken, NJ, USA, 2009. [Google Scholar]
  29. Magurran, A.E. Measuring biological diversity. Curr. Biol. 2021, 31, 1174–1177. [Google Scholar] [CrossRef] [PubMed]
  30. Magurran, A.E.; McGill, B.J. Biological Diversity: Frontiers in Measurement and Assessment; OUP Oxford: Oxford, UK, 2010. [Google Scholar]
  31. Hammer, O.; Harper, D.A.T.; Ryan, P.D. PAST: Palaeontological statistics software package for education and data analysis. Palaeontol. Electron. 2001, 4, 9. Available online: http://palaeo-electronica.org/2001_1/past/issue1_01.htm (accessed on 14 April 2014).
  32. Pellant, M.; Pyke, D.A.; Shaver, P.; Herrick, J.E. Interpreting Indicators of Rangeland Health: Version 4; US Department of the Interior, Bureau of Land Management; National Science and Technology Center, Branch of Publishing Services: Denver, CO, USA, 2005.
  33. Eldridge, D.J.; Koen, T.B. Detecting environmental change in eastern Australia: Rangeland health in the semi-arid woodlands. Sci. Total Environ. 2003, 310, 211–219. [Google Scholar] [CrossRef]
  34. Noss, R.F. Indicators for Monitoring Biodiversity: A Hierarchical Approach. Conserv. Biol. 1990, 4, 355–364. [Google Scholar] [CrossRef]
  35. Kyriazopoulos, A.P.; Karatassiou, M.; Parissi, Z.M.; Abraham, E.M.; Sklavou, P. Effects of Ski-Resort Activities and Transhumance Livestock Grazing on Rangeland Ecosystems of Mountain Zireia, Southern Greece. Land 2022, 11, 1462. [Google Scholar] [CrossRef]
  36. Zaklouta, M.; Hilali, M.; Nefzaoui, A.; Haylani, M. Animal Nutrition and Product Quality Laboratory Manual; ICARDA: Aleppo, Syria, 2011; pp. viii + 92. [Google Scholar]
  37. Van Soest, P.J.; Robertson, J.B.; Lewis, B.A. Methods for dietary fiber, neutral detergent fiber, and nonstarch polysaccharides in relation to animal nutrition. J. Dairy Sci. 1991, 74, 3583–3597. [Google Scholar] [CrossRef]
  38. AOAC. Official Methods of Analysis, 17th ed.; Association of Official Analytical Chemists: Washington, DC, USA, 2002. [Google Scholar]
  39. Snedecor, G.W.; Cochran, W.G. Statistical Methods, 8th ed.; Iowa State Univ. Press: Ames, IA, USA, 1989; Volume 54, pp. 71–82. [Google Scholar]
  40. Steel, R.G.D.; Torrie, J.H. Principles and Procedures of Statistics, a Biometrical Approach, 2nd ed.; McGraw-Hill Kogakusha, Ltd.: New York, NY, USA, 1980. [Google Scholar]
  41. Whelan, R.J. The Ecology of Fire; Cambridge University Press: Cambridge, UK, 1995. [Google Scholar]
  42. Bond, W.J.; van Wilgen, B.W. Fire and Plants; Chapman & Hall: London, UK, 1996. [Google Scholar]
  43. Paula, S.; Pausas, J.G. Burning seeds: Germinative response to heat treatments in relation to resprouting ability. J. Ecol. 2008, 96, 543–552. [Google Scholar] [CrossRef]
  44. Valbuena, L.; Taboada, A.; Tárrega, R.; De la Rosa, A.; Calvo, L. Germination response of woody species to laboratory-simulated fire severity and airborne nitrogen deposition: A post-fire recovery strategy perspective. Plant Ecol. 2019, 220, 1057–1069. [Google Scholar] [CrossRef]
  45. Perevolotsky, A.; Ne’eman, G.; Yonatan, R.; Henkin, Z. Resilience of prickly burnet to management in east Mediterranean rangelands. J. Range Manag. 2001, 54, 561–566. [Google Scholar] [CrossRef]
  46. Kazanis, D.; Arianoutsou, M. Long-term post-fire vegetation dynamics in Pinus halepensis forests of Central Greece: A functional group approach. Plant Ecol. 2004, 171, 101–121. [Google Scholar] [CrossRef]
  47. Tavşanoǧlu, Ç.; Gürkan, B. Post-fire dynamics of Cistus spp. in a Pinus brutia forest. Turkish J. Bot. 2005, 29, 337–343. [Google Scholar]
  48. Alatürk, F.; Gökkuş, A.; Özaslan Parlak, A.; Baytekin, H.; Tölü, C. Effects of Prickly Burnet (Sarcopoterium spinosum (L.) Spach.) Control and Sheep Grazing on Hay Yield and Quality on Gökçeada Island, Turkey. Animals 2022, 12, 3073. [Google Scholar] [CrossRef] [PubMed]
  49. Roy, J.; Sonie, L. Germination and population dynamics of Cistus species in relation to fire. J. Appl. Ecol. 1992, 29, 647–655. [Google Scholar] [CrossRef]
  50. Aguayo-Villalba, A.Á.; Álvarez-Gómez, C.M.; Aisa-Ahmed, M.; Barroso-Rodriguez, L.M.; Camacho-Lopez, S.; Cocero-Ramirez, A.; Sanchez, C. Effect of fire on viability and germination behaviour of Cistus ladanifer and Cistus salvifolius seeds. Folia Geobot. 2021, 56, 215–225. [Google Scholar] [CrossRef]
  51. Calvo, L.; Tárrega, R.; Luis, E.; Valbuena, L.; Marcos, E. Recovery after Experimental Cutting and Burning in Three Shrub Communities with Different Dominant Species. Plant Ecol. 2005, 180, 175–185. [Google Scholar] [CrossRef]
  52. Naveh, Z. The role of fire as an evolutionary and ecological factor on the landscapes and vegetation of Mt. Carmel. J. Mediterr. Ecol. 1999, 1, 11–25. [Google Scholar]
  53. Seligman, N.; Henkin, Z. Persistence in Sarcopoterium spinosum dwarf-shrub communities. Plant Ecol. 2003, 161, 95–117. [Google Scholar] [CrossRef]
  54. Stavi, I. Wildfires in Grasslands and Shrublands: A Review of Impacts on Vegetation, Soil, Hydrology, and Geomorphology. Water 2019, 11, 1042. [Google Scholar] [CrossRef]
  55. Paudel, A.; Markwith, S.H.; Konchar, K.; Shrestha, M.; Ghimire, S.K. Anthropogenic fire, vegetation structure and ethnobotanical uses in an alpine shrubland of Nepal’s Himalaya. Int. J. Wildland Fire 2020, 29, 201–214. [Google Scholar] [CrossRef]
  56. Vilà-Cabrera, A.; Saura-Mas, S.; Lloret, F. Effects of fire frequency on species composition in a Mediterranean shrubland. Ecoscience 2008, 15, 519–528. [Google Scholar] [CrossRef]
  57. Eugenio, M.; Lloret, F. Effects of repeated burning on Mediterranean communities of the northeastern Iberian Peninsula. J. Veg. Sci. 2006, 17, 755–764. [Google Scholar] [CrossRef]
  58. Delitti, W.; Ferran, A.; Trabaud, L.; Vallejo, V.R. Effects of fire recurrence in Quercus coccifera L. shrublands of the Valencia region (Spain): I. Plant composition and productivity. Plant Ecol. 2005, 177, 57–70. [Google Scholar] [CrossRef]
  59. Papanastasis, V.P. Effects of season and frequency of burning on a phryganic rangeland in Greece. J. Range Manag. 1980, 34, 251–255. [Google Scholar] [CrossRef]
  60. Luna, B.; Piñas-Bonilla, P.; Zavala, G.; Pérez, B. Effects of light and temperature on seed germination of eight Cistus species. Seed Sci. Res. 2022, 32, 86–93. [Google Scholar] [CrossRef]
  61. Cao, Y.; Wu, Y.; Zhang, Y.; Tian, J. Landscape pattern and sustainability of a 1300-year-old agricultural landscape in subtropical mountain areas, Southwestern China. Int. J. Sustain. Dev. World Ecol. 2020, 20, 349–357. [Google Scholar] [CrossRef]
  62. Fidelis, A.; Daibes, L.F.; Martins, A.R. To resist or to germinate? The effect of fire on legume seeds in Brazilian subtropical grasslands. Acta Bot. Bras. 2016, 30, 47–151. [Google Scholar] [CrossRef]
  63. Reilly, M.J.; Wimberly, M.C.; Newell, C.L. Wildfire effects on plant species richness at multiple spatial scales in forest communities of the southern Appalachians. J. Ecol. 2006, 94, 118–130. [Google Scholar] [CrossRef]
  64. Twidwell, D.; Rogers, W.E.; McMahon, E.A.; Thomas, B.R.; Kreuter, U.P.; Blankenship, T.L. Prescribed extreme fire effects on richness and invasion in Coastal Prairie. Invasive Plant Sci. Manag. 2012, 5, 330–340. [Google Scholar] [CrossRef]
  65. Bowles, M.L.; Jones, M.D. Repeated burning of eastern tallgrass prairie increases richness and diversity, stabilizing late successional vegetation. Ecol. Appl. 2013, 23, 464–478. [Google Scholar] [CrossRef]
  66. He, T.; Lamont, B.B.; Pausas, J.G. Fire as a key driver of Earth’s biodiversity. Biol. Rev. 2019, 94, 1983–2010. [Google Scholar] [CrossRef] [PubMed]
  67. Scasta, J.D.; Duchardt, C.; Engle, D.M.; Miller, J.R.; Debinski, D.M.; Harr, R.N. Constraints to restoring fire and grazing ecological processes to optimize grassland vegetation structural diversity. Ecol. Eng. 2016, 95, 865–875. [Google Scholar] [CrossRef]
  68. Spiess, J.W.; McGranahan, D.A.; Geaumont, B.; Sedivec, K.; Lakey, M.; Berti, M.; Hovick, T.J.; Limb, R.F. Patch-Burning Buffers Forage Resources and Livestock Performance to Mitigate Drought in the Northern Great Plains. Rangel. Ecol. Manag. 2020, 73, 473–481. [Google Scholar] [CrossRef]
  69. Thapa, S.K.; Hof, A.R.; Subedi, N.; Joshi, L.R.; Prins, H.H.T. Fire and forage quality: Postfire regrowth quality and pyric herbivory in subtropical grasslands of Nepal. Ecol. Evol. 2022, 12, 8794. [Google Scholar] [CrossRef]
  70. Marles, M.A.S.; Coulman, B.E.; Bett, K.E. Interference of Condensed Tannin in Lignin Analyses of Dry Bean and Forage Crops. J. Agric. Food Chem. 2008, 56, 9797–9802. [Google Scholar] [CrossRef] [PubMed]
  71. Temel, S.; Manzhi, T. Fodder values of shrub species in maquis in different altitudes and slope aspects. Plant Sci. 2011, 21, 508–512. [Google Scholar]
  72. Gökkuş, A.; Alatürk, F.; Ali, B.; Çoban, V. Seasonal Variation of the Nutrient Contents of Sarcopoterium spinosum (L.) Spach. J. Tekirdag Agric. Fac. 2017, 91–98. [Google Scholar]
  73. Abraham, E.M.; Parissi, Z.M.; Kyriazopoulos, A.P.; Korakis, G.; Papaioannou, P. Wildfire effects on species composition and nutritive value in different thermo-Mediterranean vegetation types. Options Mediterr. Ser. A 2014, 109, 479–482. [Google Scholar]
  74. Magaña Ugarte, R.; Redondo García, M.M.; Sánchez-Mata, D. Evaluating the post-fire natural regeneration of Mediterranean-type scrublands in Central Spain. Mediterr. Bot. 2021, 42, 67331. [Google Scholar] [CrossRef]
  75. Özaslan Parlak, A.; Gökkus, A.; Hakyemez, B.H.; Baytekin, H. Forage quality of deciduous woody and herbaceous species throughout a year in Mediterranean shrublands of Western Turkey. J. Anim. Plant Sci. 2011, 21, 513–518. [Google Scholar]
  76. Manousidis, T.; Kyriazopoulos, A.P.; Parissi, Z.M.; Abraham, E.M.; Korakis, G.; Abas, Z. Grazing behavior, forage selection and diet composition of goats in a Mediterranean woody range rangeland. Small Rumin. Res. 2016, 145, 142–153. [Google Scholar] [CrossRef]
Figure 1. The study area in the Oinousses islet.
Figure 1. The study area in the Oinousses islet.
Land 12 01413 g001aLand 12 01413 g001b
Figure 2. (a) Burned and the adjustment unburned area in Cistus creticus low formations; (b) Burned abandoned terraces with Cistus creticus.
Figure 2. (a) Burned and the adjustment unburned area in Cistus creticus low formations; (b) Burned abandoned terraces with Cistus creticus.
Land 12 01413 g002
Figure 3. Biplot of principal component analysis based on the floristic composition in vegetation types (1) Sarcopoterium spinosum (Sarcop), (2) low formations of Cistus creticus (Cistus), and (3) low formations of Cistus creticus in abandoned terraces (CistusT) in burned (Black dot) and adjacent unburned sites (Blue dot). AirEl: Aira elegantissima, AntOd: Anthoxanthum odoratum, AveBa: Avena barbata, BitBi: Bituminaria bituminosa, BriMa: Briza maxima, BroSc: Bromus scoparious, CarPy: Cardus pycnocephalus, CerGl: Cerastium glomeratum, CisCr: Cistus creticus, CisSa: Cistus salviifolius, CreCo: Crepis commutate, DacGl: Dactylis glomerata, EriMa: Erica manipuliflora, FilGa: Filago gallica, GasVe: Gastridium ventricosum, HorMu: Hordeum murinum, LagOv: Lagurus ovatus, LavSt: Lavandula stoechas, LotPe: Lotus peregrinus, OrnCo: Ornithopus compressus, PetDu: Petrorhagia dubia, PisLe: Pistacia lentiscus, PlaLa: Plantago lanceolata, PlaWe: Plantago weldenii, SarSp: Sarcopoterium spinosum, SheAr: Sheradia arvensis, SilGa: Silene gallica, TarS: Taraxacum sp, TriAn: Trifolium angustifolium, TriAr: Trifolium arvensis, TriCa: Trifolium campestre, TriSt: Trifolium stellatum, TubGu: Tuberaria guttata, VicVi: Vicia villosa, VulMy: Vulpia myuros.
Figure 3. Biplot of principal component analysis based on the floristic composition in vegetation types (1) Sarcopoterium spinosum (Sarcop), (2) low formations of Cistus creticus (Cistus), and (3) low formations of Cistus creticus in abandoned terraces (CistusT) in burned (Black dot) and adjacent unburned sites (Blue dot). AirEl: Aira elegantissima, AntOd: Anthoxanthum odoratum, AveBa: Avena barbata, BitBi: Bituminaria bituminosa, BriMa: Briza maxima, BroSc: Bromus scoparious, CarPy: Cardus pycnocephalus, CerGl: Cerastium glomeratum, CisCr: Cistus creticus, CisSa: Cistus salviifolius, CreCo: Crepis commutate, DacGl: Dactylis glomerata, EriMa: Erica manipuliflora, FilGa: Filago gallica, GasVe: Gastridium ventricosum, HorMu: Hordeum murinum, LagOv: Lagurus ovatus, LavSt: Lavandula stoechas, LotPe: Lotus peregrinus, OrnCo: Ornithopus compressus, PetDu: Petrorhagia dubia, PisLe: Pistacia lentiscus, PlaLa: Plantago lanceolata, PlaWe: Plantago weldenii, SarSp: Sarcopoterium spinosum, SheAr: Sheradia arvensis, SilGa: Silene gallica, TarS: Taraxacum sp, TriAn: Trifolium angustifolium, TriAr: Trifolium arvensis, TriCa: Trifolium campestre, TriSt: Trifolium stellatum, TubGu: Tuberaria guttata, VicVi: Vicia villosa, VulMy: Vulpia myuros.
Land 12 01413 g003
Figure 4. Effects of burning and vegetation type on the plant cover. Columns followed by the same letter are not significantly different (p > 0.05).
Figure 4. Effects of burning and vegetation type on the plant cover. Columns followed by the same letter are not significantly different (p > 0.05).
Land 12 01413 g004
Figure 5. (a) Effects of location and year on grasses percentage. Columns followed by the same letter are not significantly different (p > 0.05). (b) Effects of location and year on forbs percentage. Columns followed by the same letter are not significantly different (p > 0.05). (c) Effects of location and year on woody species percentage. Columns followed by the same letter are not significantly different (p > 0.05).
Figure 5. (a) Effects of location and year on grasses percentage. Columns followed by the same letter are not significantly different (p > 0.05). (b) Effects of location and year on forbs percentage. Columns followed by the same letter are not significantly different (p > 0.05). (c) Effects of location and year on woody species percentage. Columns followed by the same letter are not significantly different (p > 0.05).
Land 12 01413 g005
Figure 6. (a) Effects of location and year on the number of species. Columns followed by the same letter are not significantly different (p > 0.05). (b) Effects of location and year on evenness of species. Columns followed by the same letter are not significantly different (p > 0.05). (c) Effects of location and year on Berger–Parker dominance index. Columns followed by the same letter are not significantly different (p > 0.05).
Figure 6. (a) Effects of location and year on the number of species. Columns followed by the same letter are not significantly different (p > 0.05). (b) Effects of location and year on evenness of species. Columns followed by the same letter are not significantly different (p > 0.05). (c) Effects of location and year on Berger–Parker dominance index. Columns followed by the same letter are not significantly different (p > 0.05).
Land 12 01413 g006aLand 12 01413 g006b
Figure 7. (a) Effects of burning and vegetation type on the CP content. Columns followed by the same letter are not significantly different (p > 0.05). (b) Effects of burning and vegetation type on the NDF content. Columns followed by the same letter are not significantly different (p > 0.05). (c) Effects of burning and vegetation type on the ADF content. Columns followed by the same letter are not significantly different (p > 0.05).
Figure 7. (a) Effects of burning and vegetation type on the CP content. Columns followed by the same letter are not significantly different (p > 0.05). (b) Effects of burning and vegetation type on the NDF content. Columns followed by the same letter are not significantly different (p > 0.05). (c) Effects of burning and vegetation type on the ADF content. Columns followed by the same letter are not significantly different (p > 0.05).
Land 12 01413 g007aLand 12 01413 g007b
Figure 8. (a) Effects of location and year on landscape composition index. Columns followed by the same letter are not significantly different (p > 0.05). (b) Effects of location and year on landscape stability index. Columns followed by the same letter are not significantly different (p > 0.05).
Figure 8. (a) Effects of location and year on landscape composition index. Columns followed by the same letter are not significantly different (p > 0.05). (b) Effects of location and year on landscape stability index. Columns followed by the same letter are not significantly different (p > 0.05).
Land 12 01413 g008aLand 12 01413 g008b
Table 1. Attributes, possible scores, and maximum scores used for calculating indices of landscape composition, function, and stability.
Table 1. Attributes, possible scores, and maximum scores used for calculating indices of landscape composition, function, and stability.
AttributesLandscape Indices
CompositionFunctionStability
Plant cover (%)1–5 1–5
Woody cover (%)1–5
Species richness1–5
Erosion 1–51–5
Herbage production 1–5
Legumes (%) 0–5
Range of scores3–152–152–10
Total score5–30
Table 2. Values of Jaccard similarity index between the study areas.
Table 2. Values of Jaccard similarity index between the study areas.
CisUn *CisTUn *SarcoUn *CisBur *CisTBur *SacroBur *
CisUn1
CisTUn0.3681
SarcoUn0.3090.3931
CisBur0.2540.3390.2461
CisTBur0.2710.3400.3220.3081
SarcoBur0.2920.3110.3790.4730.3521
* CisUn: Cistus creticus Unburned, CisBur: Cistus creticus Burned, CisTUn: Cistus creticus Terraces Unburned, CisTBur: Cistus creticus Terraces Burned, SarcoUn: Sarcopoterium spinosum Unburned, SarcoBur: Sarcopoterium spinosum Burned
Table 3. Statistical significance of F ratios from the analysis of variance for plant cover, functional group composition, and diversity indices.
Table 3. Statistical significance of F ratios from the analysis of variance for plant cover, functional group composition, and diversity indices.
BurningVegetation TypeB*V
Plant cover***
Grasses*NS*
Legumes*NSNS
Forbs***
Woody***
Number of speciesNS**
Shannon (H)**NS
Simpson (D)NSNSNS
Evenness (e^H/S)***
Berger–Parker***
* Significant (F Test at p ≤ 0.05); NS p > 0.05
Table 4. Effects of burning (across vegetation types) on plant cover, functional group composition, and diversity indices.
Table 4. Effects of burning (across vegetation types) on plant cover, functional group composition, and diversity indices.
UnburnedBurned
Plant cover (%)90.5 a *56.3 b
Grasses 16.4 b27.5 a
Legumes 3.4 b9.6 a
Forbs 9.3 b16.3 a
Woody 70.9 a46.6 b
Number of species16.0 a15.0 a
Shannon (H)1.7 b2.0 a
Simpson (D)1.7 a1.3 a
Evenness (e^H/S)0.37 b0.58 a
Berger–Parker0.53 a0.39 b
* Means within each row followed by the same letter are not significantly different (p > 0.05).
Table 5. Effects of vegetation type (across burning) on plant cover, functional group composition, and diversity indices.
Table 5. Effects of vegetation type (across burning) on plant cover, functional group composition, and diversity indices.
CistusCistus TerracesSarcopoterium
Plant cover (%)68.1 b *68.2 b83.9 a
Grasses 26.7 a18.3 a20.8 a
Legumes 6.3 a9.2 a4.0 a
Forbs 18.4 a9.0 b10.9 b
Woody 48.6 b63.4 a64.3 a
Number of species17 a13 b17 a
Shannon (H)2.1 a1.7 b1.9 a
Simpson (D)1.4 a1.7 a1.4 a
Evenness (e^H/S)0.53 a0.43 b0.43 b
Berger–Parker0.40 b0.56 a0.44 b
* Means within each row followed by the same letter are not significantly different (p > 0.05).
Table 6. Statistical significance of F ratios from the analysis of variance for chemical composition.
Table 6. Statistical significance of F ratios from the analysis of variance for chemical composition.
BurningVegetation TypeB*V
CPNS**
NDF***
ADF*NS*
ADL*NSNS
* Significant (F Test at p ≤ 0.05); NS p > 0.05
Table 7. Effects of burning (across vegetation types) on chemical composition.
Table 7. Effects of burning (across vegetation types) on chemical composition.
UnburnedBurned
CP97.5 a *90.7 a
NDF602.9 a495.5 b
ADF378.4 a349.6 b
ADL69.7 b96.2 a
* Means within each row followed by the same letter are not significantly different (p > 0.05).
Table 8. Effects of vegetation type (across burning) on chemical composition.
Table 8. Effects of vegetation type (across burning) on chemical composition.
CistusCistus TerracesSarcopoterium
CP106.6 a *87.9 b83.3 b
NDF560.0 ab517.0 b570.5 a
ADF362.2 a356.8 a373.0 a
ADL79.1 a81.0 a83.0 a
* Means within each row followed by the same letter are not significantly different (p > 0.05).
Table 9. Statistical significance of F ratios from the analysis of variance for indices of landscape composition, function, and stability.
Table 9. Statistical significance of F ratios from the analysis of variance for indices of landscape composition, function, and stability.
BurningVegetation TypeB*V
Total scoreNSNSNS
Composition*NS*
Function*NSNS
Stability***
* Significant (F Test at p ≤ 0.05); NS p > 0.05
Table 10. Effects of burning (across vegetation types) on indices of landscape composition, function, and stability.
Table 10. Effects of burning (across vegetation types) on indices of landscape composition, function, and stability.
UnburnedBurned
Total score 18.3 a17.3 a
Composition10.0 b10.9 a
Function8.3 a6.4 b
Stability9.6 a7.5 b
Means within each row followed by the same letter are not significantly different (p > 0.05).
Table 11. Effects of vegetation type (across burning) on the indices of landscape composition, function, and stability.
Table 11. Effects of vegetation type (across burning) on the indices of landscape composition, function, and stability.
CistusCistus TerracesSarcopoterium
Total score18.5 a *17.4 a17.6 a
Composition11.0 a9.8 a10.6 a
Function7.5 a7.6 a7.0 a
Stability8.2 b8.2 b9.3 a
* Means within each row followed by the same letter are not significantly different (p > 0.05).
Disclaimer/Publisher’s Note: The statements, opinions and data contained in all publications are solely those of the individual author(s) and contributor(s) and not of MDPI and/or the editor(s). MDPI and/or the editor(s) disclaim responsibility for any injury to people or property resulting from any ideas, methods, instructions or products referred to in the content.

Share and Cite

MDPI and ACS Style

Parissi, Z.M.; Kyriazopoulos, A.P.; Drakopoulou, T.A.; Korakis, G.; Abraham, E.M. Wildfire Effects on Rangeland Health in Three Thermo-Mediterranean Vegetation Types in a Small Islet of Eastern Aegean Sea. Land 2023, 12, 1413. https://doi.org/10.3390/land12071413

AMA Style

Parissi ZM, Kyriazopoulos AP, Drakopoulou TA, Korakis G, Abraham EM. Wildfire Effects on Rangeland Health in Three Thermo-Mediterranean Vegetation Types in a Small Islet of Eastern Aegean Sea. Land. 2023; 12(7):1413. https://doi.org/10.3390/land12071413

Chicago/Turabian Style

Parissi, Zoi M., Apostolos P. Kyriazopoulos, Theodora Apostolia Drakopoulou, Georgios Korakis, and Eleni M. Abraham. 2023. "Wildfire Effects on Rangeland Health in Three Thermo-Mediterranean Vegetation Types in a Small Islet of Eastern Aegean Sea" Land 12, no. 7: 1413. https://doi.org/10.3390/land12071413

APA Style

Parissi, Z. M., Kyriazopoulos, A. P., Drakopoulou, T. A., Korakis, G., & Abraham, E. M. (2023). Wildfire Effects on Rangeland Health in Three Thermo-Mediterranean Vegetation Types in a Small Islet of Eastern Aegean Sea. Land, 12(7), 1413. https://doi.org/10.3390/land12071413

Note that from the first issue of 2016, this journal uses article numbers instead of page numbers. See further details here.

Article Metrics

Back to TopTop