Spatial Prediction of Soil Particle-Size Fractions Using Digital Soil Mapping in the North Eastern Region of India
Abstract
1. Introduction
2. Materials and Methods
2.1. Study Area
2.2. Land Resource Inventory
2.3. Particle Size Analysis
2.4. Data Harmonization
2.5. Environmental Covariates
2.6. Modeling
2.7. Model Evaluation
2.8. Uncertainty Assessment
3. Results and Discussion
3.1. Descriptive Statistics
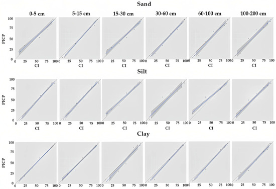
3.2. Performance of Model Prediction and Uncertainty Estimation
3.3. Importance of Environmental Variables
3.4. Spatial Predictions and Their Uncertainty
4. Conclusions
Author Contributions
Funding
Institutional Review Board Statement
Informed Consent Statement
Data Availability Statement
Acknowledgments
Conflicts of Interest
References
- Arrouays, D.; Grundy, M.G.; Hartemink, A.E.; Hempel, J.W.; Heuvelink, G.B.M.; Hong, S.Y.; Lagacherie, P.; Lelyk, G.; McBratney, A.B.; McKenzie, N.J.; et al. Globalsoilmap: Toward a fine-resolution global grid of soil properties. Adv.Agron. 2014, 125, 93–134. [Google Scholar]
- Hengl, T.; de Jesus, J.M.; MacMillan, R.A.; Batjes, N.H.; Heuvelink, G.B.; Ribeiro, E.; Samuel-Rosa, A.; Kempen, B.; Leenaars, J.G.; Walsh, M.G. SoilGrids1km—Global soil information based on automated mapping. PLoS ONE 2014, 9, e105992. [Google Scholar] [CrossRef] [PubMed]
- McBratney, A.B.; Mendonca-Santos, L.; Minasny, B. On digital soil mapping. Geoderma 2003, 117, 3–52. [Google Scholar] [CrossRef]
- Minasny, B.; McBratney, A.B.; Malone, B.P.; Wheeler, I. Digital mapping of soil carbon. Adv. Agron. 2013, 118, 1–47. [Google Scholar]
- Minasny, B.; Hartemink, A.E. Predicting soil properties in the tropics. EarthSci. Rev. 2011, 106, 52–62. [Google Scholar] [CrossRef]
- Dharumarajan, S.; Hegde, R.; Janani, N.; Singh, S.K. The need for digital soil mapping in India. Geoderma Reg. 2019, 16, e00204. [Google Scholar] [CrossRef]
- Hengl, T.; Heuvelink, G.B.; Kempen, B.; Leenaars, J.G.; Walsh, M.G.; Shepherd, K.D.; Sila, A.; MacMillan, R.A.; de Jesus, J.M.; Tamene, L.; et al. Mapping soil properties of Africa at 250 m resolution: Random forests significantly improve current predictions. PLoS ONE 2015, 10, e0125814. [Google Scholar] [CrossRef]
- Zhao, Z.; Chow, T.L.; Rees, H.W.; Yang, Q.; Xing, Z.; Meng, F.R. Predict soil texture distributions using an artificial neural network model. Comput. Electron. Agric. 2009, 65, 36–48. [Google Scholar] [CrossRef]
- Guo, P.-T.; Li, M.-F.; Luo, W.; Tang, Q.-F.; Liu, Z.-W.; Lin, Z.-M. Digital mapping of soil organic matter for rubber plantation at regional scale: An application of random forest plus residuals kriging approach. Geoderma 2015, 237–238, 49–59. [Google Scholar] [CrossRef]
- Taghizadeh-Mehrjardi, R.; Nabiollahi, K.; Kerry, R. Digital mapping of soil organic carbon at multiple depths using different data mining techniques in Baneh region, Iran. Geoderma 2016, 266, 98–110. [Google Scholar] [CrossRef]
- Jena, R.K.; Bandyopadhyay, S.; Pradhan, U.K.; Moharana, P.C.; Kumar, N.; Sharma, G.K.; Roy, P.D.; Ghosh, D.; Ray, P.; Padua, S.; et al. Geospatial Modelling for Delineation of Crop Management Zones Using Local Terrain Attributes and Soil Properties. Remote Sens. 2022, 14, 2101. [Google Scholar] [CrossRef]
- Brown, D.J.; Clayton, M.K.; McSweeney, K. Potential terrain controls on soil color, texture contrast and grain-size deposition for the original catena landscape in Uganda. Geoderma 2004, 122, 51–72. [Google Scholar] [CrossRef]
- Heuvelink, G.; Huisman, J. Choosing Between Abrupt and Gradual Spatial Variation? In Quantifying Spatial Uncertainty in Natural Resources: Theory and Applications for GIS and Remote Sensing; CRC Press: Boca Raton, FL, USA, 2000; pp. 111–117. [Google Scholar]
- Adhikari, K.; Kheir, R.B.; Greve, M.B.; Bocher, P.K.; Malone, B.P.; Minasny, B.; McBratney, A.B.; Greve, M.H. High-resolution 3-D mapping of soil texture in Denmark. Soil Sci. Soc. Am. J. 2013, 77, 860–876. [Google Scholar] [CrossRef]
- Akpa, S.I.C.; Odeh, I.O.A.; Bishop, T.F.A.; Hartemink, A.E. Digital mapping of soil particle-size fractions for Nigeria. Soil Sci. Soc. Am. J. 2014, 78, 1953–1966. [Google Scholar] [CrossRef]
- Chagas, C.d.S.; de Carvalho Junior, W.; Bhering, S.B.; CalderanoFilho, B. Spatial prediction of soil surface texture in a semiarid region using random forest and multiple linear regressions. Catena 2016, 139, 232–240. [Google Scholar] [CrossRef]
- Jenny, H. Factors of Soil Formation: A System of Quantitative Pedology; Dover Publications: New York, NY, USA, 1941; 281p. [Google Scholar]
- Selige, T.; Boehner, J.; Schmidhalter, U. High resolution topsoil mapping using hyperspectral image and field data in multivariate regression modeling procedures. Geoderma 2006, 136, 235–244. [Google Scholar] [CrossRef]
- Lagacherie, P.; Baret, F.; Feret, J.-B.; Netto, J.M.; Robbez-Masson, J.M. Estimation of soil clay and calcium carbonate using laboratory, field and airborne hyperspectral measurements. Remote Sens. Environ. 2008, 112, 825–835. [Google Scholar] [CrossRef]
- Ouerghemmi, W.; Gomez, C.; Naceur, S.; Lagacherie, P. Semi-blind source separation for the estimation of the clay content over semi-vegetated areas using VNIR/SWIR hyperspectral airborne data. Remote Sens. Environ. 2016, 181, 251–263. [Google Scholar] [CrossRef]
- Ben-Dor, E. Quantitative remote sensing of soil properties. Adv. Agron. 2022, 75, 173–243. [Google Scholar]
- Mulder, V.; de Bruin, S.; Schaepman, M.; Mayr, T. The use of remote sensing in soil and terrain mapping—A review. Geoderma 2011, 62, 1–19. [Google Scholar] [CrossRef]
- Niang, M.; Nolin, M.; Jego, G.; Perron, I. Digital mapping of soil texture using RADARSAT-2 polarimetric synthetic aperture radar data. Soil Sci. Soc. Am. J. 2014, 78, 673–684. [Google Scholar] [CrossRef]
- Zeng, C.; Yang, L.; Zhu, A.X.; Rossiter, D.G.; Liu, J.; Liu, J.; Qin, C.; Wang, D. Mapping soil organic matter concentration at different scales using a mixed geographically weighted regression method. Geoderma 2016, 281, 69–82. [Google Scholar] [CrossRef]
- Ratnayake, R.R.; Karunaratne, S.B.; Lessels, J.S.; Yogenthiran, N.; Rajapaksha, R.P.S.K.; Gnanavelrajah, N. Digital soil mapping of organic carbon concentration in paddy growing soils of Northern Sri Lanka. Geoderma Reg. 2016, 7, 167–176. [Google Scholar] [CrossRef]
- Camera, C.; ZomeniaZomeni, Z.; Jay, S.; Noller, J.S.; Andreas, M.; Zissimos, A.M.; Christoforou, I.C.; Bruggeman, A. A high resolution map of soil types and physical properties for Cyprus: A digital soil mapping optimization. Geoderma 2017, 285, 35–49. [Google Scholar] [CrossRef]
- Vagen, T.G.; Leigh, A.; Winowiecki, L.A.; Tondoh, J.E.; Desta, L.T.; Gumbricht, T. Mapping of soil properties and land degradation risk in Africa using MODIS reflectance. Geoderma 2016, 263, 216–225. [Google Scholar] [CrossRef]
- Wang, D.C.; Zhang, G.L.; Zhao, M.S.; Pan, X.Z.; Zhao, Y.G.; Li, D.C.; Macmillan, B. Retrieval and mapping of soil texture based on land surface diurnal temperature range data from MODIS. PLoS ONE 2015, 10, e0129977. [Google Scholar] [CrossRef]
- Wälder, K.; Wälder, O.; Rinklebe, J.; Menz, J. Estimation of soil properties with geostatiscal methods in floodplains. Arch. Agron. Soil Sci. 2008, 54, 275–295. [Google Scholar] [CrossRef]
- Singh, R.S.; Baruah, U.; Sarkar, D.; Butte, P.S.; Gajbhiye, K.S. Soil Series of Meghalaya; National Bureau of Soil Survey and Land Use Planning: Nagpur, India, 2005; p. 86. [Google Scholar]
- Singh, R.S.; Maji, A.K.; Sehgal, J.; Velayutham, M. Soils of Meghalaya for Optimising Land Use Planning; National Bureau of Soil Survey and Land Use Planning: Nagpur, India, 1999; p. 29. [Google Scholar]
- Soil Survey Staff. Keys to Soil Taxonomy, 12th ed.; U.S.D.A.—Natural Resources Conservation Service: Washington, DC, USA, 2014. [Google Scholar]
- Jena, R.K.; Padua, S.; Bandyopadhyay, S.; Ramachandran, S.; Ray, P.; Deb Roy, P.; Chatterjee, S.; Sah, K.D.; Baruah, U.; Singh, S.K.; et al. Land Resource Inventory of Ri-Bhoi District, Meghalaya at 1: 10000 Scales for Optimal Agricultural Land Use Planning Using Geospatial Technique; Report No. 1124; ICAR-National Bureau of Soil Survey and Land Use Planning: Nagpur, India, 2020; pp. 1–231. [Google Scholar]
- Jackson, M.L. Soil Chemical Analysis; Prentice Hall of India Private Limited: New Delhi, India, 1973; p. 498. [Google Scholar]
- Corral-Pazos-de-Provens, E.; Rapp-Arrarás, Í.; Domingo-Santos, J.M. Estimating Textural Fractions of the USDA Using Those of the International System: A Quantile Approach. Geoderma 2022, 416, 115783. [Google Scholar] [CrossRef]
- Bishop, T.F.A.; McBratney, A.B.; Laslett, G.M. Modeling soil attribute depth functions with equal-area quadratic smoothing splines. Geoderma 1999, 91, 27–45. [Google Scholar] [CrossRef]
- Malone, B.P.; McBratney, A.; Minasny, B.; Laslett, G. Mapping continuous depth functions of soil carbon storage and available water capacity. Geoderma 2009, 154, 138–152. [Google Scholar] [CrossRef]
- O’Brien, L. Mpspline2: Mass-Preserving Spline Functions for Soil Data. 2022. Available online: https://CRAN.R-project.org/package=mpspline2 (accessed on 25 December 2022).
- Hijmans, R.J.; Cameron, S.E.; Parra, J.L.; Jones, P.G.; Jarvis, A. Very high resolution interpolated climate surfaces for global land areas. Int. J. Climatol. 2005, 25, 1965–1978. [Google Scholar] [CrossRef]
- Liaw, A.; Wiener, M. Classification and regression by random forest. R News 2002, 2, 18–22. [Google Scholar]
- R Core Team. R: A Language and Environment for Statistical Computing; R Foundation for Statistical Computing: Vienna, Austria, 2019; Available online: https://www.R-project.org/ (accessed on 31 January 2023).
- Solomatine, D.P.; Shrestha, D.L. A novel method to estimate model uncertainty using machine learning techniques. Water Resour. Res. 2009, 45. [Google Scholar] [CrossRef]
- Malone, B.P.; McBratney, A.B.; Minasny, B. Empirical estimates of uncertainty for mapping continuous depth functions of soil attributes. Geoderma 2011, 160, 614–626. [Google Scholar] [CrossRef]
- Dharumarajan, S.; Kalaiselvi, B.; Suputhra, A.; Lalitha, M.; Vasundhara, R.; Anil Kumar, K.S.; Nair, K.M.; Hegde, R.; Singh, S.K.; Lagacherie, P. Digital soil mapping of soil organic carbon stocks in Western Ghats, South India. Geoderma Reg. 2021, 25, e00387. [Google Scholar] [CrossRef]
- Thompson, J.A.; Pena-Yewtukhiw, E.M.; Grove, J.H. Soil-landscape modelling across a physiographic region: Topographic patterns and model transportability. Geoderma 2006, 133, 57–70. [Google Scholar] [CrossRef]
- Malone, B.P.; Searle, R. Updating the Australian digital soil texture mapping: Part Re-calibration of field soil texture class centroids. Soil Res. 2021, 59, 419–434. [Google Scholar] [CrossRef]
- Rudiyanto; Minasny, B.; Setiawan, B.I.; Arif, C.; Saptomo, S.K.; Chadirin, Y. Digital mapping for cost- effective and accurate prediction of the depth and carbon stocks in Indonesian peatlands. Geoderma 2016, 117, 3–52. [Google Scholar] [CrossRef]
- Pahlavan-Rad, M.R.; Akbarimoghaddam, A. Spatial variability of soil texture fractions and pH in a flood plain (case study from eastern Iran). Catena 2018, 160, 275–281. [Google Scholar] [CrossRef]
- Wubie, M.A.; Assen, M. Effects of land coverchanges and slope gradient on soil quality in the Gumarawatershed, Lake Tana basin of North–West Ethiopia. Model. Earth Syst. Environ. 2020, 6, 85–97. [Google Scholar] [CrossRef]









| Soil Forming Factors | Predictor | Abbreviation | Resolution | Min. | Max. | Mean |
|---|---|---|---|---|---|---|
| Relief | Elevation (m) | Elevation | 30 m | 76.0 | 1092.0 | 637.2 |
| Slope | Slope | 0.0 | 0.5 | 0.1 | ||
| Aspect | Aspect | 0.0 | 6.2 | 3.1 | ||
| Topographic Positioning Index | TPI | 4.4 | 88.5 | 26.1 | ||
| Topographic Wetness index | TWI | 6.2 | 18.2 | 10.6 | ||
| LS-factor | LSF | 0.0 | 16.2 | 2.2 | ||
| Channel Network Base Level | CNBL | 76.0 | 845.7 | 545.5 | ||
| Multi-resolution Index of Valley Bottom Flatness | MRVBF | 0.0 | 3.4 | 1.2 | ||
| Multi-resolution Ridge Top Flatness | MRRTF | 0.0 | 3.7 | 0.4 | ||
| Relative slope position | RSP | 0.0 | 1.0 | 0.4 | ||
| Valley Depth | VD | 0.0 | 417.6 | 137.8 | ||
| Vertical Distance to Channel | VDC | 0.0 | 303.2 | 99.5 | ||
| Local Curvature | LC | −1.2 | 1.2 | −0.2 | ||
| Downslope Curvature | DC | −1.1 | 0.2 | −0.4 | ||
| Upslope Curvature | USC | 0.1 | 1.2 | 0.2 | ||
| Convergence Index | CI | −58.2 | 70.6 | −5.4 | ||
| Local Downslope Curvature | LDC | −0.8 | 1.3 | 0.1 | ||
| Local Upslope Curvature | LUC | −1.3 | −0.1 | −0.5 | ||
| Vegetation | Normalized Difference Vegetation Index—Rabi | NDVI_R | 250 m _16 days | 3919.5 | 7188.8 | 5880.7 |
| Normalized Difference Vegetation Index—Summer | NDVI_S | 4246.7 | 6722.1 | 5773.7 | ||
| Normalized Difference Vegetation Index—Kharif | NDVI_K | 5706.1 | 7933.0 | 6983.3 | ||
| Climate | Annual Mean Temperature (°C) | BIO1 | 1 km | 18.5 | 23.8 | 20.9 |
| Mean Diurnal Range (Mean of monthly (max temp − min temp)) (°C) | BIO2 | −0.4 | 8.9 | 8.3 | ||
| Isothermality (Bio_2/Bio_7) (× 100) | BIO3 | −1.3 | 46.5 | 44.5 | ||
| Temperature Seasonality (standard deviation × 100) (°C) | BIO4 | −0.8 | 382.9 | 364.5 | ||
| Max Temperature of Warmest Month (°C) | BIO5 | 0.0 | 32.6 | 29.2 | ||
| Min Temperature of Coldest Month (°C) | BIO6 | −4.2 | 13.6 | 10.5 | ||
| Temperature Annual Range (BIO5-BIO6) (°C) | BIO7 | 18.0 | 87.0 | 19.6 | ||
| Mean Temperature of Wettest Quarter (°C) | BIO8 | 21.8 | 6310.7 | 91.2 | ||
| Mean Temperature of Driest Quarter (°C) | BIO9 | 13.3 | 5958.4 | 78.7 | ||
| Mean Temperature of Warmest Quarter (°C) | BIO10 | 21.8 | 7090.0 | 99.5 | ||
| Mean Temperature of Coldest Quarter (°C) | BIO11 | 13.3 | 91.5 | 16.3 | ||
| Annual Precipitation (mm) | BIO12 | 25.9 | 4559.0 | 3392.9 | ||
| Precipitation of Wettest Month (mm) | BIO13 | 460.0 | 1177.0 | 848.7 | ||
| Precipitation of Driest Month (mm) | BIO14 | 6.0 | 9.0 | 7.1 | ||
| Precipitation Seasonality (Coefficient of Variation) (mm) | BIO15 | 90.3 | 106.2 | 101.8 | ||
| Precipitation of Wettest Quarter (mm) | BIO16 | 1173.0 | 2914.0 | 2137.8 | ||
| Precipitation of Driest Quarter (mm) | BIO17 | 35.0 | 45.0 | 40.7 | ||
| Precipitation of Warmest Quarter (mm) | BIO18 | 1030.0 | 2914.0 | 2130.2 | ||
| Precipitation of Coldest Quarter (mm) | BIO19 | 35.0 | 45.0 | 40.7 |
| Depth (cm) | Min (%) | Max (%) | Mean (%) | Median (%) | SD (%) | CV (%) | Skewness | Kurtosis |
|---|---|---|---|---|---|---|---|---|
| Sand | ||||||||
| 0–5 | 2.93 | 72.29 | 28.81 | 25.32 | 14.73 | 51.14 | 0.96 | 0.54 |
| 5–15 | 3.01 | 70.73 | 28.67 | 25.40 | 14.55 | 50.74 | 0.96 | 0.58 |
| 15–30 | 8.28 | 70.04 | 27.98 | 24.85 | 13.94 | 49.83 | 0.96 | 0.56 |
| 30–60 | 3.90 | 72.65 | 27.68 | 25.73 | 14.93 | 53.94 | 1.09 | 0.98 |
| 60–100 | 1.94 | 87.22 | 32.32 | 26.65 | 19.48 | 60.28 | 1.09 | 0.62 |
| 100–200 | 1.57 | 95.03 | 35.56 | 28.36 | 22.85 | 64.24 | 0.94 | −0.04 |
| Silt | ||||||||
| 0–5 | 7.13 | 67.26 | 32.11 | 30.32 | 11.44 | 35.64 | 0.20 | −0.04 |
| 5–15 | 7.23 | 67.32 | 32.06 | 31.37 | 11.32 | 35.32 | 0.23 | 0.06 |
| 15–30 | 6.97 | 67.76 | 30.66 | 30.61 | 11.19 | 36.49 | 0.53 | 0.57 |
| 30–60 | 7.48 | 65.62 | 28.69 | 27.60 | 11.33 | 39.49 | 0.64 | 0.62 |
| 60–100 | 2.48 | 57.46 | 25.83 | 24.60 | 10.78 | 41.72 | 0.32 | 0.02 |
| 100–200 | 0.80 | 58.53 | 24.46 | 23.98 | 11.43 | 46.74 | 0.00 | −0.04 |
| Clay | ||||||||
| 0–5 | 18.51 | 55.05 | 39.08 | 39.50 | 9.06 | 23.18 | −0.24 | −0.70 |
| 5–15 | 18.47 | 54.89 | 39.27 | 39.73 | 8.84 | 22.52 | −0.28 | −0.60 |
| 15–30 | 18.41 | 57.86 | 41.35 | 42.90 | 9.17 | 22.18 | −0.47 | −0.40 |
| 30–60 | 17.09 | 63.73 | 43.62 | 45.23 | 10.64 | 24.40 | −0.56 | −0.29 |
| 60–100 | 7.91 | 62.48 | 41.89 | 44.40 | 12.94 | 30.89 | −0.82 | 0.02 |
| 100–200 | 3.46 | 69.67 | 39.99 | 43.86 | 14.84 | 37.10 | −0.67 | −0.43 |
| Covariates | Sand | Silt | Clay |
|---|---|---|---|
| Aspect | 0.156 | −0.064 | −0.173 |
| BIO1 | 0.181 | −0.101 | −0.169 |
| BIO2 | −0.204 * | 0.004 | 0.332 ** |
| BIO3 | −0.198 | 0.056 | 0.256 * |
| BIO4 | −0.011 | −0.044 | 0.074 |
| BIO5 | 0.154 | −0.088 | −0.141 |
| BIO6 | 0.200 | −0.092 | −0.212 * |
| BIO7 | −0.021 | −0.051 | 0.099 |
| BIO8 | 0.164 | −0.094 | −0.150 |
| BIO9 | 0.195 | −0.101 | −0.192 |
| BIO10 | 0.163 | −0.093 | −0.149 |
| BIO11 | 0.195 | −0.101 | −0.192 |
| BIO12 | −0.059 | 0.085 | −0.011 |
| BIO13 | −0.043 | 0.072 | −0.021 |
| BIO14 | 0.025 | 0.116 | −0.190 |
| BIO15 | −0.096 | 0.033 | 0.118 |
| BIO16 | −0.076 | 0.087 | 0.014 |
| BIO17 | 0.243 * | −0.103 | −0.267 ** |
| BIO18 | −0.068 | 0.078 | 0.013 |
| BIO19 | 0.243 * | −0.103 | −0.267 ** |
| CI | 0.021 | −0.047 | 0.026 |
| CNBL | −0.222 * | 0.156 | 0.167 |
| DC | −0.051 | 0.016 | 0.064 |
| Elevation | −0.167 | 0.113 | 0.131 |
| LC | −0.084 | 0.054 | 0.069 |
| LDC | −0.083 | 0.037 | 0.089 |
| LSF | 0.026 | 0.066 | −0.128 |
| LUC | −0.234 * | 0.113 | 0.240 * |
| MRRTF | −0.008 | −0.005 | 0.020 |
| MRVBF | −0.042 | −0.111 | 0.212 * |
| NDVI_K | 0.155 | −0.149 | −0.063 |
| NDVI_R | 0.157 | −0.236 * | 0.045 |
| NDVI_S | 0.163 | −0.144 | −0.083 |
| RSP | 0.161 | −0.108 | −0.125 |
| Slope | −0.112 | 0.228 * | −0.108 |
| TPI | −0.041 | 0.149 | −0.124 |
| TWI | 0.245 * | −0.238 * | −0.098 |
| USC | −0.078 | 0.085 | 0.020 |
| VD | −0.119 | 0.102 | 0.064 |
| VDC | 0.178 | −0.137 | −0.115 |
| Depth (cm) | R2 | CCC | RMSE | ME | RRMSE |
|---|---|---|---|---|---|
| Sand | |||||
| 0–5 | 0.30 ± 0.02 | 0.35 ± 0.01 | 11.20 ± 0.07 | 7.51 ± 0.14 | 0.39 |
| 5–15 | 0.28 ± 0.02 | 0.34 ± 0.01 | 11.10 ± 0.14 | 7.23 ± 0.13 | 0.38 |
| 15–30 | 0.21 ± 0.01 | 0.29 ± 0.01 | 10.70 ± 0.12 | 7.06 ± 0.09 | 0.38 |
| 30–60 | 0.02 ± 0.01 | 0.06 ± 0.01 | 15.20 ± 0.17 | 9.62 ± 0.19 | 0.55 |
| 60–100 | 0.02 ± 0.01 | 0.01 ± 0.01 | 21.50 ± 0.05 | 10.26 ± 0.13 | 0.66 |
| 100–200 | 0.14 ± 0.02 | 0.12 ± 0.02 | 20.80 ± 0.26 | 4.18 ± 0.34 | 0.58 |
| Silt | |||||
| 0–5 | 0.28 ± 0.02 | 0.29 ± 0.01 | 11.30 ± 0.11 | −5.17 ± 0.05 | 0.35 |
| 5–15 | 0.28 ± 0.02 | 0.29 ± 0.01 | 11.20 ± 0.14 | −5.17 ± 0.08 | 0.35 |
| 15–30 | 0.22 ± 0.02 | 0.28 ± 0.02 | 11.70 ± 0.19 | −4.23 ± 0.18 | 0.38 |
| 30–60 | 0.26 ± 0.01 | 0.26 ± 0.01 | 11.50 ± 0.07 | −5.99 ± 0.05 | 0.40 |
| 60–100 | 0.03 ± 0.01 | 0.09 ± 0.01 | 13.60 ± 0.08 | −6.86 ± 0.11 | 0.52 |
| 100–200 | 0.01 ± 0.00 | −0.02 ± 0.01 | 9.90 ± 0.08 | 1.62 ± 0.14 | 0.40 |
| Clay | |||||
| 0–5 | 0.25 ± 0.02 | 0.34 ± 0.01 | 7.80 ± 0.09 | −1.42 ± 0.12 | 0.20 |
| 5–15 | 0.26 ± 0.02 | 0.33 ± 0.01 | 7.80 ± 0.08 | −1.44 ± 0.06 | 0.19 |
| 15–30 | 0.11 ± 0.01 | 0.17 ± 0.01 | 9.30 ± 0.03 | −2.04 ± 0.07 | 0.22 |
| 30–60 | 0.05 ± 0.01 | 0.11 ± 0.02 | 10.70 ± 0.13 | −3.03 ± 0.1 | 0.24 |
| 60–100 | 0.01 ± 0.00 | 0.02 ± 0.01 | 12.50 ± 0.14 | −2.59 ± 0.21 | 0.29 |
| 100–200 | 0.04 ± 0.01 | −0.09 ± 0.01 | 15.30 ± 0.08 | −6.82 ± 0.09 | 0.38 |
Disclaimer/Publisher’s Note: The statements, opinions and data contained in all publications are solely those of the individual author(s) and contributor(s) and not of MDPI and/or the editor(s). MDPI and/or the editor(s) disclaim responsibility for any injury to people or property resulting from any ideas, methods, instructions or products referred to in the content. |
© 2023 by the authors. Licensee MDPI, Basel, Switzerland. This article is an open access article distributed under the terms and conditions of the Creative Commons Attribution (CC BY) license (https://creativecommons.org/licenses/by/4.0/).
Share and Cite
Jena, R.K.; Moharana, P.C.; Dharumarajan, S.; Sharma, G.K.; Ray, P.; Deb Roy, P.; Ghosh, D.; Das, B.; Alsuhaibani, A.M.; Gaber, A.; et al. Spatial Prediction of Soil Particle-Size Fractions Using Digital Soil Mapping in the North Eastern Region of India. Land 2023, 12, 1295. https://doi.org/10.3390/land12071295
Jena RK, Moharana PC, Dharumarajan S, Sharma GK, Ray P, Deb Roy P, Ghosh D, Das B, Alsuhaibani AM, Gaber A, et al. Spatial Prediction of Soil Particle-Size Fractions Using Digital Soil Mapping in the North Eastern Region of India. Land. 2023; 12(7):1295. https://doi.org/10.3390/land12071295
Chicago/Turabian StyleJena, Roomesh Kumar, Pravash Chandra Moharana, Subramanian Dharumarajan, Gulshan Kumar Sharma, Prasenjit Ray, Partha Deb Roy, Dibakar Ghosh, Bachaspati Das, Amnah Mohammed Alsuhaibani, Ahmed Gaber, and et al. 2023. "Spatial Prediction of Soil Particle-Size Fractions Using Digital Soil Mapping in the North Eastern Region of India" Land 12, no. 7: 1295. https://doi.org/10.3390/land12071295
APA StyleJena, R. K., Moharana, P. C., Dharumarajan, S., Sharma, G. K., Ray, P., Deb Roy, P., Ghosh, D., Das, B., Alsuhaibani, A. M., Gaber, A., & Hossain, A. (2023). Spatial Prediction of Soil Particle-Size Fractions Using Digital Soil Mapping in the North Eastern Region of India. Land, 12(7), 1295. https://doi.org/10.3390/land12071295

