Effects of Urban Green and Blue Space on the Diffusion Range of PM2.5 and PM10 Based on LCZ
Abstract
1. Introduction
2. Methodology
2.1. Study Area
2.2. Distribution Simulation of PM2.5 and PM10 in Shanghai
2.3. GBS Data Extraction Based on LCZ
2.4. Sector Buffer Generation
2.5. Landscape Pattern Index Selection
3. Results
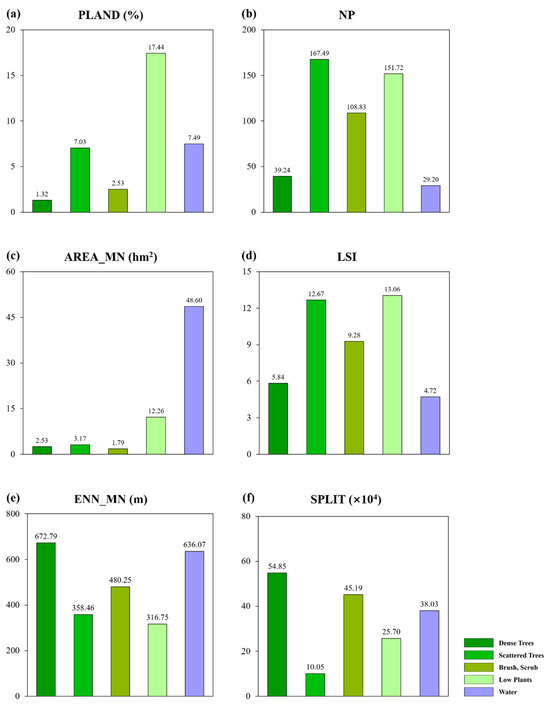
3.1. Descriptive Statistics of GBS Landscape Metrics in Shanghai
3.2. Descriptive Statistics of the PM2.5 and PM10 Concentration
3.3. Descriptive Statistics of the PM2.5 and PM10 Diffusion Distance
3.4. Relationship between GBS and Atmospheric Particulate Matter in Correlation and Stepwise Multiple Regression Equations
4. Discussion
4.1. Complex GBS Morphological Features Will Extend the Diffusion Distance of Atmospheric Particles
4.2. Scattered GBS Spatial Layout Will Increase the Scope of Atmospheric Particulate Matter Pollution
4.3. Scattered GBS Spatial Layout Will Increase the Scope of Atmospheric Particulate Matter Pollution
5. Conclusions
Author Contributions
Funding
Data Availability Statement
Acknowledgments
Conflicts of Interest
Correction Statement
References
- Bodor, K.; Szép, R.; Bodor, Z. The Human Health Risk Assessment of Particulate Air Pollution (PM2.5 and PM10) in Romania. Toxicol. Rep. 2022, 9, 556–562. [Google Scholar] [CrossRef] [PubMed]
- Czwojdzińska, M.; Terpińska, M.; Kuźniarski, A.; Płaczkowska, S.; Piwowar, A. Exposure to PM2.5 and PM10 and COVID-19 Infection Rates and Mortality: A One-Year Observational Study in Poland. Biomed. J. 2021, 44, S25–S36. [Google Scholar] [CrossRef] [PubMed]
- Sielski, J.; Kaziród-Wolski, K.; Jóźwiak, M.A.; Jóźwiak, M. The Influence of Air Pollution by PM2.5, PM10 and Associated Heavy Metals on the Parameters of out-of-Hospital Cardiac Arrest. Sci. Total Environ. 2021, 788, 147541. [Google Scholar] [CrossRef] [PubMed]
- Sarpong, S.A.; Donkoh, R.F.; Konnuba, J.K.S.; Ohene-Agyei, C.; Lee, Y. Analysis of PM2.5, PM10, and Total Suspended Particle Exposure in the Tema Metropolitan Area of Ghana. Atmosphere 2021, 12, 700. [Google Scholar] [CrossRef]
- Karimi, B.; Shokrinezhad, B. Spatial Variation of Ambient PM2.5 and PM10 in the Industrial City of Arak, Iran: A Land-Use Regression. Atmos. Pollut. Res. 2021, 12, 101235. [Google Scholar] [CrossRef]
- Lim, C.H.; Ryu, J.; Choi, Y.; Jeon, S.W.; Lee, W.K. Understanding Global PM2.5 Concentrations and Their Drivers in Recent Decades (1998–2016). Environ. Int. 2020, 144, 106011. [Google Scholar] [CrossRef] [PubMed]
- Han, L.; Zhao, J.; Gao, Y.; Gu, Z.; Xin, K.; Zhang, J. Spatial Distribution Characteristics of PM2.5 and PM10 in Xi’an City Predicted by Land Use Regression Models. Sustain. Cities Soc. 2020, 61, 102329. [Google Scholar] [CrossRef] [PubMed]
- Jandacka, D.; Durcanska, D. Differentiation of Particulate Matter Sources Based on the Chemical Composition of PM10 in Functional Urban Areas. Atmosphere 2019, 10, 583. [Google Scholar] [CrossRef]
- Xie, C.; Guo, J.; Yan, L.; Jiang, R.; Liang, A.; Che, S. The Influence of Plant Morphological Structure Characteristics on PM2.5 Retention of Leaves under Different Wind Speeds. Urban For. Urban Green. 2022, 71, 127556. [Google Scholar] [CrossRef]
- Cai, L.; Zhuang, M.; Ren, Y. A Landscape Scale Study in Southeast China Investigating the Effects of Varied Green Space Types on Atmospheric PM2.5 in Mid-Winter. Urban For. Urban Green. 2020, 49, 126607. [Google Scholar] [CrossRef]
- Chen, M.; Dai, F.; Yang, B.; Zhu, S. Effects of Neighborhood Green Space on PM2.5 Mitigation: Evidence from Five Megacities in China. Build. Environ. 2019, 156, 33–45. [Google Scholar] [CrossRef]
- Heo, S.; Bell, M.L. The Influence of Green Space on the Short-Term Effects of Particulate Matter on Hospitalization in the U.S. for 2000–2013. Environ. Res. 2019, 174, 61–68. [Google Scholar] [CrossRef] [PubMed]
- Xie, C.; Kan, L.; Guo, J.; Jin, S.; Li, Z.; Chen, D.; Li, X.; Che, S. A Dynamic Processes Study of PM Retention by Trees under Different Wind Conditions. Environ. Pollut. 2018, 233, 315–322. [Google Scholar] [CrossRef] [PubMed]
- Zhao, M.; Liu, Q.; Xu, F.; Cheng, C. Effects of Greenbelt Plant Configuration on Atmospheric PM2.5 in Beijing. Int. J. Sustain. Dev. World Ecol. 2017, 25, 176–183. [Google Scholar] [CrossRef]
- Jeanjean, A.P.R.; Monks, P.S.; Leigh, R.J. Modelling the Effectiveness of Urban Trees and Grass on PM2.5 Reduction via Dispersion and Deposition at a City Scale. Atmos. Environ. 2016, 147, 1–10. [Google Scholar] [CrossRef]
- Jeanjean, A.; Buccolieri, R.; Eddy, J.; Monks, P.; Leigh, R. Air Quality Affected by Trees in Real Street Canyons: The Case of Marylebone Neighbourhood in Central London. Urban For. Urban Green. 2017, 22, 41–53. [Google Scholar] [CrossRef]
- Liu, J.; Zhu, L.; Wang, H.; Yang, Y.; Liu, J.; Qiu, D.; Ma, W.; Zhang, Z.; Liu, J. Dry Deposition of Particulate Matter at an Urban Forest, Wetland and Lake Surface in Beijing. Atmos. Environ. 2016, 125, 178–187. [Google Scholar] [CrossRef]
- Janhäll, S. Review on Urban Vegetation and Particle Air Pollution—Deposition and Dispersion. Atmos. Environ. 2015, 105, 130–137. [Google Scholar] [CrossRef]
- Tai, A.P.K.; Mickley, L.J.; Jacob, D.J. Correlations between Fine Particulate Matter (PM2.5) and Meteorological Variables in the United States: Implications for the Sensitivity of PM2.5 to Climate Change. Atmos. Environ. 2010, 44, 3976–3984. [Google Scholar] [CrossRef]
- Wang, J.; Xie, C.; Liang, A.; Jiang, R.; Man, Z.; Wu, H.; Che, S. Spatial-Temporal Variation of Air PM2.5 and PM10 within Different Types of Vegetation during Winter in an Urban Riparian Zone of Shanghai. Atmosphere 2021, 12, 1428. [Google Scholar] [CrossRef]
- Ngarambe, J.; Joen, S.J.; Han, C.H.; Yun, G.Y. Exploring the Relationship between Particulate Matter, CO, SO2, NO2, O3 and Urban Heat Island in Seoul, Korea. J. Hazard. Mater. 2021, 403, 123615. [Google Scholar] [CrossRef] [PubMed]
- Lau, K.K.L.; Chung, S.C.; Ren, C. Outdoor Thermal Comfort in Different Urban Settings of Sub-Tropical High-Density Cities: An Approach of Adopting Local Climate Zone (LCZ) Classification. Build. Environ. 2019, 154, 227–238. [Google Scholar] [CrossRef]
- Liu, L.; Lin, Y.; Xiao, Y.; Xue, P.; Shi, L.; Chen, X.; Liu, J. Quantitative Effects of Urban Spatial Characteristics on Outdoor Thermal Comfort Based on the LCZ Scheme. Build. Environ. 2018, 143, 443–460. [Google Scholar] [CrossRef]
- Zhao, L.; Li, T.; Przybysz, A.; Guan, Y.; Ji, P.; Ren, B.; Zhu, C. Effect of Urban Lake Wetlands and Neighboring Urban Greenery on Air PM10 and PM2.5 Mitigation. Build. Environ. 2021, 206, 108291. [Google Scholar] [CrossRef]
- Das, M.; Das, A. Assessing the Relationship between Local Climatic Zones (LCZs) and Land Surface Temperature (LST)—A Case Study of Sriniketan-Santiniketan Planning Area (SSPA), West Bengal, India. Urban Clim. 2020, 32, 100591. [Google Scholar] [CrossRef]
- Zhu, C.; Zeng, Y. Effects of Urban Lake Wetlands on the Spatial and Temporal Distribution of Air PM10 and PM2.5 in the Spring in Wuhan. Urban For. Urban Green. 2018, 31, 142–156. [Google Scholar] [CrossRef]
- Wu, J.; Xie, W.; Li, W.; Li, J. Effects of Urban Landscape Pattern on PM2.5 Pollution—A Beijing Case Study. PLoS ONE 2015, 10, e0142449. [Google Scholar] [CrossRef]
- Chen, Y.; Xie, C.; Jiang, R.; Che, S. Optimization of Ecosystem Services of Shanghai Urban–Suburban Street Trees Based on Low-Carbon Targets. Sustainability 2021, 13, 13251. [Google Scholar] [CrossRef]
- Mullaney, J.; Lucke, T.; Trueman, S.J. A Review of Benefits and Challenges in Growing Street Trees in Paved Urban Environments. Landsc. Urban Plan. 2015, 134, 157–166. [Google Scholar] [CrossRef]
- Buccolieri, R.; Jeanjean, A.P.R.; Gatto, E.; Leigh, R.J. The Impact of Trees on Street Ventilation, NOx and PM2.5 Concentrations across Heights in Marylebone Rd Street Canyon, Central London. Sustain. Cities Soc. 2018, 41, 227–241. [Google Scholar] [CrossRef]
- Li, K.; Li, C.; Liu, M.; Hu, Y.; Wang, H.; Wu, W. Multiscale Analysis of the Effects of Urban Green Infrastructure Landscape Patterns on PM2.5 Concentrations in an Area of Rapid Urbanization. J. Clean. Prod. 2021, 325, 129324. [Google Scholar] [CrossRef]
- Yang, S.; Wu, H.; Chen, J.; Lin, X.; Lu, T. Optimization of PM2.5 Estimation Using Landscape Pattern Information and Land Use Regression Model in Zhejiang, China. Atmosphere 2018, 9, 47. [Google Scholar] [CrossRef]
- Bottalico, F.; Travaglini, D.; Chirici, G.; Garfì, V.; Giannetti, F.; De Marco, A.; Fares, S.; Marchetti, M.; Nocentini, S.; Paoletti, E.; et al. A Spatially-Explicit Method to Assess the Dry Deposition of Air Pollution by Urban Forests in the City of Florence, Italy. Urban For. Urban Green. 2017, 27, 221–234. [Google Scholar] [CrossRef]
- Chen, M.; Dai, F.; Yang, B.; Zhu, S. Effects of Urban Green Space Morphological Pattern on Variation of PM2.5 Concentration in the Neighborhoods of Five Chinese Megacities. Build. Environ. 2019, 158, 1–15. [Google Scholar] [CrossRef]
- Li, C.; Zhang, K.; Dai, Z.; Ma, Z.; Liu, X. Investigation of the Impact of Land-Use Distribution on PM2.5 in Weifang: Seasonal Variations. Int. J. Environ. Res. Public Health 2020, 17, 5135. [Google Scholar] [CrossRef]
- Yang, H.; Chen, W.; Liang, Z. Impact of Land Use on PM2.5 Pollution in a Representative City of Middle China. Int. J. Environ. Res. Public Health 2017, 14, 462. [Google Scholar] [CrossRef]
- Jiang, R.; Xie, C.; Man, Z.; Afshari, A.; Che, S. LCZ Method Is More Effective than Traditional LUCC Method in Interpreting the Relationship between Urban Landscape and Atmospheric Particles. Sci. Total Environ. 2023, 869, 161677. [Google Scholar] [CrossRef]
- Bechtel, B.; Alexander, P.J.; Beck, C.; Böhner, J.; Brousse, O.; Ching, J.; Demuzere, M.; Fonte, C.; Gál, T.; Hidalgo, J.; et al. Generating WUDAPT Level 0 Data—Current Status of Production and Evaluation. Urban Clim. 2019, 27, 24–45. [Google Scholar] [CrossRef]
- Yu, Z.; Yang, G.; Zuo, S.; Jørgensen, G.; Koga, M.; Vejre, H. Critical Review on the Cooling Effect of Urban Blue-Green Space: A Threshold-Size Perspective. Urban For. Urban Green. 2020, 49, 126630. [Google Scholar] [CrossRef]
- Du, H.; Cai, W.; Xu, Y.; Wang, Z.; Wang, Y.; Cai, Y. Quantifying the Cool Island Effects of Urban Green Spaces Using Remote Sensing Data. Urban For. Urban Green. 2017, 27, 24–31. [Google Scholar] [CrossRef]
- Bi, S.; Dai, F.; Chen, M.; Xu, S. A New Framework for Analysis of the Morphological Spatial Patterns of Urban Green Space to Reduce PM2.5 Pollution: A Case Study in Wuhan, China. Sustain. Cities Soc. 2022, 82, 103900. [Google Scholar] [CrossRef]
- Li, K.; Li, C.; Hu, Y.; Xiong, Z.; Wang, Y. Quantitative Estimation of the PM2.5 Removal Capacity and Influencing Factors of Urban Green Infrastructure. Sci. Total Environ. 2023, 867, 161476. [Google Scholar] [CrossRef] [PubMed]
- Wu, H.; Yang, C.; Chen, J.; Yang, S.; Lu, T.; Lin, X. Effects of Green Space Landscape Patterns on Particulate Matter in Zhejiang Province, China. Atmos. Pollut. Res. 2018, 9, 923–933. [Google Scholar] [CrossRef]
- Bi, S.; Chen, M.; Dai, F. The Impact of Urban Green Space Morphology on PM2.5 Pollution in Wuhan, China: A Novel Multiscale Spatiotemporal Analytical Framework. Build. Environ. 2022, 221, 109340. [Google Scholar] [CrossRef]
- Lu, D.; Mao, W.; Yang, D.; Zhao, J.; Xu, J. Effects of Land Use and Landscape Pattern on PM2.5 in Yangtze River Delta, China. Atmos. Pollut. Res. 2018, 9, 705–713. [Google Scholar] [CrossRef]
- Yin, Z.; Zhang, Y.; Ma, K. Evaluation of PM2.5 Retention Capacity and Structural Optimization of Urban Park Green Spaces in Beijing. Forests 2022, 13, 415. [Google Scholar] [CrossRef]
- Wang, Y.; Goldewijk, K.; Chen, W.; Wang, J.; Ren, X.; Chen, Y.; Ke, X.; Min, M.; Zhang, Y.; Dai, Y.; et al. Do We Need More Urban Green Space to Alleviate PM2.5 Pollution? A Case Study in Wuhan, China. Land 2022, 11, 776. [Google Scholar] [CrossRef]
- Liang, L.; Gong, P. Urban and Air Pollution: A Multi-City Study of Long-Term Effects of Urban Landscape Patterns on Air Quality Trends. Sci. Rep. 2020, 10, 18618. [Google Scholar] [CrossRef]
- Heshani, A.L.S.; Winijkul, E. Numerical Simulations of the Effects of Green Infrastructure on PM2.5 Dispersion in an Urban Park in Bangkok, Thailand. Heliyon 2022, 8, e10475. [Google Scholar] [CrossRef]
- Liu, C.; Dai, A.; Zhang, H.; Sheng, Q.; Zhu, Z. Study on the Correlation Mechanism between the Living Vegetation Volume of Urban Road Plantings and PM2.5 Concentrations. Sustainability 2023, 15, 4653. [Google Scholar] [CrossRef]
- Chen, Z.; Chen, D.; Zhao, C.; Kwan, M.-p.; Cai, J.; Zhuang, Y.; Zhao, B.; Wang, X.; Chen, B.; Yang, J.; et al. Influence of Meteorological Conditions on PM2.5 Concentrations across China: A Review of Methodology and Mechanism. Environ. Int. 2020, 139, 105558. [Google Scholar] [CrossRef] [PubMed]
- Toro Araya, R.; Kvakić, M.; Klaić, Z.B.; Koračin, D.; Morales S, R.G.E.; Leiva-Guzmán, M.A. Exploring Atmospheric Stagnation during a Severe Particulate Matter Air Pollution Episode over Complex Terrain in Santiago, Chile. Environ. Pollut. 2019, 244, 705–714. [Google Scholar] [CrossRef] [PubMed]






| Metrics | Description | |
|---|---|---|
| Morphological Structure | PLAND (%) | The proportion of the corresponding GBS type area to the total landscape area. |
| NP | Total plaque number for every GBS type. | |
| AREA_MN (hm2) | Average area of the same type plaques. | |
| LSI | The complexity of the plaque shape with the same type. | |
| Spatial Configuration | ENN_MN (m) | Indicates the distance between plaque edges and briefly describes the aggregation of plaques. |
| SPLIT | The degree of dispersion among plaques of the same type. |
| GBS | PLAND | NP | LSI | AREA_MN | ENN_MN | SPLIT |
|---|---|---|---|---|---|---|
| LP | −0.071 | 0.840 ** | 0.857 ** | −0.079 | −0.083 | 0.039 |
| BS | −0.101 | 0.829 ** | 0.879 ** | 0.029 | −0.131 | 0.012 |
| DT | −0.170 | 0.799 ** | 0.825 ** | 0.131 | −0.134 | 0.069 |
| ST | −0.080 | 0.831 ** | 0.861 ** | 0.052 | −0.144 | 0.004 |
| WA | −0.065 | 0.843 ** | 0.849 ** | 0.020 | −0.058 | −0.036 |
| GBS | PLAND | NP | LSI | AREA_MN | ENN_MN | SPLIT |
|---|---|---|---|---|---|---|
| LP | −0.085 | 0.896 ** | 0.901 ** | −0.065 | −0.137 | −0.027 |
| BS | −0.143 | 0.898 ** | 0.927 ** | −0.004 | −0.172 | 0.052 |
| DT | −0.118 | 0.835 ** | 0.879 ** | −0.033 | −0.200 * | 0.043 |
| ST | −0.134 | 0.898 ** | 0.925 ** | −0.111 | −0.160 | 0.026 |
| WA | −0.036 | 0.867 ** | 0.830 ** | −0.039 | −0.114 | −0.061 |
| Adjusted R2: 0.95 | MSE: 961.05 | C: 4263.69 |
|---|---|---|
| Landscape Metrics | Standardized Coefficient | p |
| BS-LSI | 0.720 | 0.000 |
| BS-PLAND | −0.306 | 0.000 |
| LP-SPLIT | 0.102 | 0.000 |
| DT-PLAND | −0.169 | 0.000 |
| DT-LSI | 0.354 | 0.000 |
| DT-SPLIT | 0.108 | 0.000 |
| ST-PLAND | −0.078 | 0.020 |
| WA-LSI | 0.082 | 0.048 |
| Adjusted R2: 0.95 | MSE: 961.05 | C: 4263.69 |
|---|---|---|
| Landscape Metrics | Standardized Coefficient | p |
| BS-LSI | 0.720 | 0.000 |
| BS-PLAND | −0.306 | 0.000 |
| LP-SPLIT | 0.102 | 0.000 |
| DT-PLAND | −0.169 | 0.000 |
| DT-LSI | 0.354 | 0.000 |
| DT-SPLIT | 0.108 | 0.000 |
| ST-PLAND | −0.078 | 0.020 |
| WA-LSI | 0.082 | 0.048 |
Disclaimer/Publisher’s Note: The statements, opinions and data contained in all publications are solely those of the individual author(s) and contributor(s) and not of MDPI and/or the editor(s). MDPI and/or the editor(s) disclaim responsibility for any injury to people or property resulting from any ideas, methods, instructions or products referred to in the content. |
© 2023 by the authors. Licensee MDPI, Basel, Switzerland. This article is an open access article distributed under the terms and conditions of the Creative Commons Attribution (CC BY) license (https://creativecommons.org/licenses/by/4.0/).
Share and Cite
Jiang, R.; Xie, C.; Man, Z.; Zhou, R.; Che, S. Effects of Urban Green and Blue Space on the Diffusion Range of PM2.5 and PM10 Based on LCZ. Land 2023, 12, 964. https://doi.org/10.3390/land12050964
Jiang R, Xie C, Man Z, Zhou R, Che S. Effects of Urban Green and Blue Space on the Diffusion Range of PM2.5 and PM10 Based on LCZ. Land. 2023; 12(5):964. https://doi.org/10.3390/land12050964
Chicago/Turabian StyleJiang, Ruiyuan, Changkun Xie, Zihao Man, Rebecca Zhou, and Shengquan Che. 2023. "Effects of Urban Green and Blue Space on the Diffusion Range of PM2.5 and PM10 Based on LCZ" Land 12, no. 5: 964. https://doi.org/10.3390/land12050964
APA StyleJiang, R., Xie, C., Man, Z., Zhou, R., & Che, S. (2023). Effects of Urban Green and Blue Space on the Diffusion Range of PM2.5 and PM10 Based on LCZ. Land, 12(5), 964. https://doi.org/10.3390/land12050964

