Next Article in Journal
Coastal Wetland Restoration Strategies Based on Ecosystem Service Changes: A Case Study of the South Bank of Hangzhou Bay
Next Article in Special Issue
Impact of Climate Change on Agroecosystems and Potential Adaptation Strategies
Previous Article in Journal
Scale-Dependent Field Partition Based on Water Retention Functional Data
Previous Article in Special Issue
Dietary Power and Self-Determination among Female Farmers in Burkina Faso: A Proposal for a Food Consumption Agency Metric
 
 
Font Type:
Arial Georgia Verdana
Font Size:
Aa Aa Aa
Line Spacing:
Column Width:
Background:
Article

Post-Tin-Mining Agricultural Soil Regeneration Using Local Organic Amendments Improve Nitrogen Fixation and Uptake in a Legume–Cassava Intercropping System

by
Rizki Maftukhah
1,2,
Katharina M. Keiblinger
1,*,
Ngadisih Ngadisih
2,
Murtiningrum Murtiningrum
2,
Rosana M. Kral
3,
Axel Mentler
1 and
Rebecca Hood-Nowotny
1
1
Institute of Soil Research, Department of Forest and Soil Sciences, University of Natural Resources and Life Sciences Vienna, 1190 Vienna, Austria
2
Department of Agricultural and Biosystem Engineering, Faculty of Agricultural Technology, Universitas Gadjah Mada, Yogyakarta 55281, Indonesia
3
Institute for Development Research, Department of Sustainable Agricultural System, University of Natural Resources and Life Sciences Vienna, 1190 Vienna, Austria
*
Author to whom correspondence should be addressed.
Land 2023, 12(5), 1107; https://doi.org/10.3390/land12051107
Submission received: 30 March 2023 / Revised: 10 May 2023 / Accepted: 11 May 2023 / Published: 22 May 2023
(This article belongs to the Special Issue Sustainable Land Management, Climate Change and Food Security)

Abstract

The low nitrogen content of Bangka Island’s post-tin-mining soil may limit its suitability for agricultural production. In this study, we investigated the effect of locally available organic soil amendments on nitrogen fixation (N2–fixation) and crop nitrogen (N) uptake in a cassava–legume intercrop system. Cassava was intercropped with centrosema in post-tin-mining soils with six treatments, including a control and different soil amendments, such as dolomite, compost, charcoal, a combined treatment of charcoal and compost, and a combined treatment of compost and sawdust. The percentages of N derived from N2-fixation (%Ndfa) with the different seasons and treatments were comparable. Nonetheless, due to the higher shoot biomass accumulation, the mass of N2–fixation in soil amended with compost and when combined with charcoal was significantly higher than the control (50 to 73 kg ha−1). Treatments with compost and its combination with charcoal exhibited higher N uptake from the cassava–centrosema intercropped system (82 and 137 kg ha−1) and higher inorganic ammonium (NH4+) concentrations in the soil at harvest time (5.5 and 6.7 µg g−1). When combined with organic soil amendments, N2–fixation from centrosema produces not only higher biomass, but also higher N contribution to the system. Overall, locally available organic amendments, particularly the combined application of charcoal and compost, showed promise for improving N2–fixation of intercrop centrosema as well as for increasing N availability in the soil, which is of critical importance for crop growth in post-mining soils that have lost fertility.

1. Introduction

The tin processing on Bangka Island continues to increase, resulting in land degradation and pollution [1]. Post-mining soils have been subjected to numerous physicochemical and biological changes, resulting in a significant loss of soil organic matter (SOM), the primary source of nitrogen (N) in soil [2]. The post-tin-mining soil on Bangka Island had a low pH and nutrient content, limiting its potential for agricultural production [3].
Recently, some local farmers have used the post-tin-mining area for agricultural purposes [4]. As a result, crop and nutrient management is critical for increasing productivity and restoring soil fertility on this degraded land. To maintain a yield on degraded land, a large amount of N fertilization is required, which is not affordable locally and also could increases nitrous oxide (N2O) emissions [5,6]. In addition, in tropical climates, N can be the most limiting factor for crop production [7]. Intercropping legumes with other plant species has been widely adopted in agricultural production systems for ecological and agronomic reasons [8,9]. At this study site, local farmers grow legumes such as centrosema (Centrosema pubescens) as intercrops with cassava (Manihot esculenta Crantz) [3,10]. Centrosema and other legume species have adapted to poor soil conditions and serve as an alternative N source for non-leguminous crops [11,12]. Leguminous species, in particular, are highly valued in these low-input systems because they contribute significantly to the N budget via N2-fixation and, as a result, can reduce chemical N fertilizer application [5,8,13]. Furthermore, legumes serve as cover crops (CCs), reducing erosion and nitrate leaching while also retaining N in the system [14,15,16].
The amount of N input via N2–fixation, a primary source of N in organic farming, is an important factor in the N balance of legume-based agroecosystems [14]. The application of soil amendments such as lime or dolomite increases N2–fixation in legumes, particularly in tropical soils [7,17,18,19]. The increased availability of macronutrients (phosphorus, potassium, and sulfur) and micronutrients (boron and molybdenum) increase N2–fixation in legumes in soils amended with charcoal [20,21,22]. Previous studies have found that charcoal-induced lower N availability promotes legume nodule formation and N2–fixation [22,23]. Organic fertilizers are also more frequently being used as soil amendments to improve soil fertility, soil N, soil organic carbon (SOC), and agricultural yield [24,25]. Organic manure, for example, increases soil nitrogenase activity, N2–fixation, and legume yield in acidic soil [26].Combining charcoal and compost has been shown to increase N supply and nodulation of peanuts in Ferralsol, thereby improving leaf N and overall yield [27]. However, un-pyrolyzed carbon sources such as sawdust can immobilize N in soil, making it less available for plant uptake [28].
In tropical post-tin-mining soils, studies on N2–fixation and N uptake in intercropping systems are highly limited; hence, we aimed to investigate how locally available organic soil amendments affect the N2–fixation of centrosema in an intercropping system. In doing so, we aimed to select the most suitable amendments for the remediation of tropical post-tin-mining soils. This selection required estimating the effect of the soil amendments on the N2–fixation potential of the centrosema. As cassava and centrosema yields differed significantly among soil amendment treatments [3], we hypothesized that (1) compost and its combination with charcoal would lower the percentage of nitrogen derived from N2–fixation (%NDFA); (2) N2–fixation by centrosema in combination with organic amendments would improve N uptake in intercropping cassava–centrosema; and (3) combining charcoal and compost would result in a high N2–fixation input from centrosema and increase soil N stock.

2. Materials and Methods

2.1. Experimental Design and Treatment

On-farm experiments were conducted in the post-tin-mining area on Bangka Island (Indonesia) during the 2018–2019 growing season. The soil type in this study site was Technosol. The soil’s texture was sandy loam. The mean annual precipitation (MAP) was 2288 mm, and the mean annual temperature (MAT) was 27 °C [3].
The experimental design was a randomized complete block design (RCBD) with 6 treatments in 4 replicates (Figure S1). Each plot had a 2 m × 2 m area, with 0.25 spacing between them. The treatments included (1) control (no soil amendments), (2) dolomite applied at 10 t ha−1, (3) compost applied at 10 t ha−1, (4) charcoal applied at 10 t ha−1, and combined treatment of (5) charcoal and compost (10 t ha−1 of each amendment) and (6) charcoal and sawdust (10 t ha−1 of each amendment) (Figure S1). Compost, sawdust, and charcoal were purchased from a local producer on Bangka Island, while dolomite was purchased from an agricultural store. Amendments were then manually incorporated with a hoe before planting. Cassava and centrosema were planted in each plot in an intercropping system (Figure 1). The N content of the soil amendments varied (Table 1), with dolomite having the lowest value. For a more detailed description of the experimental design, crop species, and field management, see Maftukhah et al. [3].

2.2. Plant Sampling and Analyses

Cassava and centrosema were harvested from each plot after each growth period [3]. Subsamples from fresh weight yield determinations were used for dry matter and isotope nitrogen analysis. The leaves, stems, and tubers of the cassava plant, as well as the shoots of the centrosema, were analyzed separately. Individual samples were washed, chopped, and oven-dried at 65 °C for 48 h [3]. Dry matter (DM) was calculated using the dry-to-fresh-weight ratio of the field subsamples. Samples were ground and homogenized in a ball mill to produce a fine powder. A three-milligram sample of each plant part sample was weighed and measured for its elemental N content and its isotopic signature (δ15N) [29] using an Elemental Analyser Isotope Ratio Mass spectrometer (EA-IRMS) connected to a Thermo Delta V mass spectrometer via a ConFlo III interface (Thermo Fisher) (Bremen, Germany). A complete set of internal and external standards was used to calculate isotopic ratios and %N values from the samples. The 15N abundance was expressed in parts per thousand, per mil (‰) of the international standard for the sample isotope (atmospheric N). The natural abundance ratio R of 15N in the air that is used as the standard is 0.3667 % [30,31]. The nitrogen isotope composition was expressed as δ15N (‰) and computed as:
δ 15 N = R sample R standard R standard ×   1000
where the δ15N is the proportion of 15N atoms, Rsample is the proportion of 15N atoms in the sample, and Rstandard is the 15N atoms in the atmosphere (0.3667%).

2.3. Soil Sampling and Analyses

For each treatment, soil samples from a depth of 0 to 20 cm were collected at the initial time (July 2018) and at the time of centrosema and cassava harvest (July 2019). Soils were sieved to 2 mm and subsampled to produce a 2 g fresh homogeneous sample, mixed with 15 mL of cold 0.5 M potassium sulfate (K2SO4) shaken for 1 h and filtered for ammonium (NH4+) and nitrate (NO3) analyses. Subsamples for soil moisture determination at 105 °C [32] and those for total C and N analysis at 50 °C were taken simultaneously. K2SO4 extracts were immediately stored at 4 °C and kept for further analyses. Ammonium (NH4+) and nitrate (NO3) were determined colorimetrically using the VCl3/Griess and modified indophenol method in microtiter plates as described by Hood-Nowotny et al. [33]. Isotope ratios in the extracts were determined using a modification of the microdiffusion technique [34]. Briefly, to prepare samples for NH4+ isotope analysis, an acid trap (consisting of a sealed PTFE envelope containing a cellulose filter disc acidified with 10 µL of 2.5 M KHSO4) was added to each 20 mL scintillation vial containing a 10 mL aliquot of sample extract, after 5 days this was followed by 40 mg magnesium oxide (MgO) to raise the pH to > 9.5. The vials were closed tightly immediately. The NH4+ released by the high pH was trapped in the acid trap. After leaving the samples at room temperature for five days, the initial discs were removed and processed. To prepare NO3 samples, a further 20 mg of Devarda’s alloy was added to the same extract, along with a new acid trap, which was left for 5 days before being removed and processed. After microdiffusion, the acid traps were transferred to a 48-well titer plate and dried in a desiccator containing a vessel with a small volume (~10 mL)of concentrated sulfuric acid in it for two days. The cellulose discs were transferred into tin capsules on the day of analysis and were measured using EA-IRMS. Each run included a complete set of isotopic, N internal and external, and international standards and blanks for quality control [34].

2.4. Calculation

2.4.1. Estimation of Nitrogen Fixation in Centrosema

The percentage of nitrogen derived from N2–fixation (%NDFA) was determined based on the natural abundance method according to the following equation [35]. This method is widely used in intercropping systems to estimate N2–fixation [8,36,37,38]. Cassava was used as a reference plant.
% NDFA = δ 15 N cassava δ 15 N centrosema δ 15 N cassava β ×   100
β is usually the δ15N value from a nitrogen-fixing plant grown in an N-free medium. The β value in this study was derived from the lowest δ15N of centrosema (β = −2.25‰).

2.4.2. Estimation of Fixed Amount of Nitrogen by Centrosema

As shown in Equation (3), the amount of N2-fixation by centrosema was calculated using the %NDFA and the N shoot content of centrosema [31] from each replication.
N 2 fixation = Shoot   N centrosema × % NDFA 100
where N2–fixation is the amount of nitrogen fixed by centrosema and Shoot Ncentrosema is the nitrogen in a centrosema shoot (kg N ha−1). In this study, the contributions from roots, nodules, and rhizodeposition were not included in the calculated values.
Finally, N uptake that did not result from N fixation was attributed to nitrogen derived from the soil (TNDFS) and calculated by the following equation [39].
TN 2 fixation = N 2 fixed _ centrosema   first   season + N 2 fixed _ centrosema   second   season
TN DFS = N centrosema   first   season + N centrosema   second   season TN 2 - fixed
where TN2–fixation is total nitrogen fixed by centrosema and TNDFS is total nitrogen derived from soil.

2.4.3. Crop Nitrogen Uptake

Total nitrogen uptake (TNuptake) per unit area (kg ha−1) of the cassava plant parts and centrosema shoots was calculated by multiplying their dry matter yield by their nitrogen concentration [40]:
TN uptake = DM plant   × % N 100
where TNuptake is the total plant’s nitrogen yield (kg ha−1), DMplant is plant dry matter yield (kg dry matter ha−1), and %N is the percent of nitrogen in the plant.
The N accumulation in the system was calculated by summing up the nitrogen uptake of cassava (leaves, stems, and tubers), centrosema, and weeds. We included weeds in this calculation due to high weed growth in the second season of centrosema. The nitrogen content (%N) in weeds was conservatively assumed to be 2% based on previous data.

2.4.4. Partial Balance of N

The partial N balance (PNB) was calculated by subtracting N-input from N2–fixation and soil amendments from N–output in the system [41]. Because the centrosema shoots, cassava plants, and weeds were removed from the system, the N–output was calculated using the total N uptake.
PNB = ( N amendment + N 2 - fixation ) N uptake
The total N (TN) stock in the soil was calculated accordingly. The following equation [41] was used to convert soil TN into stock values.
TN   stock = TN   conc   ×   BD   ×   d   ×   10000  
where TN stock is the total N stock in the soil (kg ha−1) at harvest time, TN conc is the total N content in the soil (%), BD is the bulk density (1.5 kg cm−3), and d is the soil depth (20 cm). The TN conc data of the same experiment were obtained from Maftukhah et al [3], while BD was obtained at the beginning of the experiment according to previous method [42].

2.5. Statistical Analyses

Variance homogeneity and normality tests were performed on each analyzed variable. Parametric one-way ANOVA was used to test the treatment effect on ammonium (NH4+) in soil, and robust one-way ANOVA was used accordingly for nitrate (NO3) in soil.
All data relating to the N in crops were subjected to a robust two-way ANOVA to test the growing season’s effects, the treatment’s effects, and the interaction between the growing season and treatment in centrosema. As factors for cassava, plant parts and treatments were used. Parametric and robust ANOVA tests were performed using R version 4.1.3 (R core Team, 2021), and the means were compared using a post hoc linear contrast test at p < 0.05. Data visualization was performed using SigmaPlot 14.5 (Systat, Inc., San Jose, CA, USA).
A heatmap of the Pearson correlation was created to evaluate the relationship between the DM of the centrosema shoot, %N, %NDFA, N2–fixation, N uptake, and a number of soil properties (total nitrogen: TN, nitrate: NO3, ammonium: NH4+, total phosphate: TP, available phosphate: AP, total potassium: TK, available potassium: AK, total organic carbon: TOC, dissolved organic carbon: DOC, and water holding capacity: WHC). Crop biomass data, as well as soil properties (TN, TP, AP, TK, AK, TOC, DOC, and WHC), from the same experiment were reported in a previous study [3].

3. Results

3.1. Nitrogen Isotope Discrimination (δ15N), Nitrogen Derived from N2–Fixation (%NDFA), and Nitrogen Fixation (N2–Fixation) of Centrosema

There were statistically significant differences in the δ15N of centrosema between treatments (p = 0.012), but neither the season nor the interaction between the season and treatment significantly influenced the δ15N values. The δ15N values of centrosema increased throughout the season when the soil was amended with double amendments of charcoal and compost (Figure 2A). Centrosema on poor soil had the lowest shoot δ15N enrichment as observed in the dolomite treatment (Figure 2A).
The %NDFA of a legume indicates the relationship between plant-available soil N and legume growth [31,38]. Growing season, treatment, and their interaction each had no effect on the %NDFA (p > 0.05, Figure 2B). The amount of N2–fixation in centrosema exhibited the same trend as shoot dry matter [3]. Except for dolomite treatment, centrosema fixed significantly more N2 in the first growing season than in the second growing season (Figure 3). The impact of the soil amendment was clear, and compost treatment increased N2–fixed by sixfold, while the combined treatment (charcoal and compost) increased N2– fixation by eightfold compared to the control (Figure 3). When the interaction between the treatment and the growing season was considered, the combined treatment (charcoal and compost) proved to be the most effective, with the highest N2–fixation rate in centrosema (36 kg ha−1, Figure 3). The total mass of N2–fixation by the centrosema was also higher in compost and the combined treatment (charcoal and compost) than in the control (Table 2).
In this study, nitrogen accumulation from the soil (TNDFS) was calculated by subtracting N uptake from N2–fixed by centrosema over the growing season. Soil amended with charcoal + compost also showed the highest amount of nitrogen derived from the soil (38 kg ha−1, Table 2).

3.2. Nitrogen Content (%N) and Nitrogen Uptake (N Uptake) in Centrosema

The %N in centrosema varied significantly across seasons (p < 0.05, Figure 4A). In contrast, both treatment and its interaction with the growing season had no significant effect on the %N of centrosema (p > 0.05).
Growing season, treatment, and their interaction all had a significant effect on N uptake in centrosema shoots (p = 0.001). Similarly to N2–fixation, with the exception of the dolomite treatment, N uptake was greater during the first growing season than the second (Figure 4B). Compost and combined treatment (charcoal + compost) significantly increased N uptake among treatments. Compared to the control treatment, N uptake was fivefold higher in soil amended with compost and tenfold higher in soils amended with combined charcoal and compost (Figure 4B). Furthermore, the combined treatment (charcoal + compost) exhibited the highest N uptake in centrosema when considering the interaction between treatment and growing season. The total nitrogen uptake (TNuptake) by centrosema across seasons was higher in soils amended with compost or charcoal + compost compared to the control (61 and 111 kg ha−1, Table 2).

3.3. Nitrogen Content (%N) and Nitrogen Uptake (N Uptake) in Plant Parts of Cassava

The %N in cassava was significantly different between plant parts (p < 0.05, Figure 5A), with leaves having the highest value, followed by stems and tubers (4.08, 0.79, and 0.29 %, respectively). Similarly, N uptake and δ15N in cassava differed significantly between plant parts (p < 0.05 Figure 5B and Figure S2). N uptake was greatest in the stems, followed by the leaves, and then the tubers (4.18, 2.59, and 1.67 kg ha−1, respectively).

3.4. Total Nitrogen Uptake (TNuptake) in the System and Partial N Balance (PNB)

The TNuptake of cassava and centrosema during the growing season (2018–2019) was calculated for the whole plot, including (1) shoot N uptake by centrosema, (2) aboveground and tuber N uptake by cassava, and (3) aboveground N uptake by weeds. Total N uptake was significantly affected by the treatments (p < 0.05). Both dolomite and organic amendments increased TNuptake, most notably in the charcoal and compost treatment (137 kg ha−1, Figure 6).
The PNB differed significantly between treatments (p < 0.05). Because there was no N input other than N2–fixation, the PNB for the control and dolomite treatments was negative (Figure 6). The highest PNB was observed in the charcoal and compost treatments (Figure 6). Centrosema contributed different amounts of N to the soil in each treatment. The legume contributed approximately 39% of the N input to soil when amended with charcoal or charcoal and sawdust. However, the legume in the compost and charcoal and compost treatments contributed less, with centrosema making up 23–26% of the total plant N uptake.

3.5. Soil N Dynamics

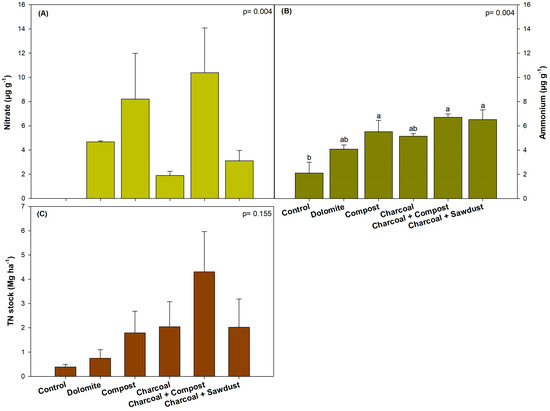
As shown in Figure 7, treatment had a significant effect on nitrate (NO3) and ammonium (NH4+) in soil. Soil amended with compost, as well as with combined treatment, significantly increased NH4+ in the soil by threefold compared to the control. However, the δ15N of NO3 and NH4+ was not affected by treatment (Figure S3).

4. Discussion

4.1. Nitrogen Fixation by Centrosema

The total amount of N2–fixation is a combination of legume N content, biomass, and %NDFA [43]. In this study, however, a high amount of N2–fixation in centrosema, as observed in the combined treatment (charcoal + compost), was more affected by high shoot biomass production than %NDFA (Figure 8). This finding was supported by strong positive correlations between certain soil physiochemical properties (TN, NO3, NH4, TP, AP, AK, TOC, DOC, and WHC) and shoot DM and N2–fixation in the centrosema (Figure 8). Improved soil physicochemical properties influenced the shoot biomass of centrosema [3], resulting in a higher amount of N2-fixation.
Although we expected to find the lowest %NDFA in the compost and combined treatments (charcoal and compost), these treatments had no significant effect on the %NDFA. However, a significant negative correlation was found between %NDFA and soil nitrate (NO3, Figure 8). High NO3 concentrations in soil may delay the formation of nodules and N2–fixation, thereby reducing %NDFA and the amount of N2–fixation [38]. N2–fixation rates from the legume decreased when the soil had more mineral N from soil uptake [44,45]. Our findings support previous research that low soil fertility promotes higher %NDFA [46], while legumes grown in fertile soil can fix larger amounts of N2. It is also possible that the increased N uptake from the soil may enrich the δ15N of centrosema (Figure 2A), resulting in a decrease in %NDFA, as was previously shown for clover plants [43].
Organic amendments have been shown to increase the nodulation of legumes, even when high total N levels are applied, whereas plant-available inorganic N levels are often low [47]. Other studies have demonstrated that charcoal can improve the amount of N2–fixation in legume species as well as rhizobia nodulation in acidic sandy soils [48], sandy clay loam soils [49], and sandy soils [27]. Several proposed mechanisms explain the effect of charcoal or compost amendments on N-fixing potential and plant growth. These include increased TOC, TN, and TP levels; improved soil aggregate stability and microorganism activity [50]; and elevated WHC [3]. In addition, charcoal has a high specific surface area and a high concentration of functional groups on its surface, which retain nutrients and thus provide adequate nutrients for crop growth [51]. Compost can promote N2–fixation because it contains micronutrients that are beneficial for nitrogenase activity and legume growth [27].
The dolomite treatment, on the other hand, promoted N2–fixation, resulting in the lowest δ15N values (Figure 2A), but ultimately resulted in the lowest amount of N2 fixed in terms of mass due to its shoot biomass being the lowest. Liming acid soils can improve macro- and micronutrient availability (such as P, Mo, Ca, and Mg) in soils, which can increase N2–fixation in legume species [18,19,22]. In the present study, however, no correlation between soil pH and δ15N was observed, suggesting that other factors may have contributed to this phenomenon. In addition, the estimation of the N source for centrosema revealed a similar result. Soil amended with dolomite exhibited a higher TN2–fixation than TNDFS, whereas soils with greater nutrient content, such as those observed with the combined charcoal and compost treatment, exhibited a lower TN2–fixation than TNDFS (Table 2). This study revealed that when access to soil N is limited, legumes can meet their N demand through N2–fixation, as found in the previous study by Lambers et al. [52].
It is noteworthy that the ability of soil amendments to supply nutrients gradually declined along with plant development, resulting in a lower amount of N2 being fixed in the second season. Lower precipitation during the second season of centrosema [3], combined with intense competition for available resources between centrosema, cassava, and weed, is also likely to have resulted in lower biomass accumulation and, thus, lower mass of N2 fixed in centrosema. The competition for light, heat, water resources, and nitrogen between two crops in an intercropping system may have resulted in the different crop biomass values [53]. Dolomite treatment, on the other hand, revealed different patterns, with no significant effect of season on the N2–fixation. This is most likely due to the consistent liming effect of dolomite throughout centrosema’s growing season. Previously, Hale et al. [54] reported that soil pH was increased by liming application in the acidic soil of humid tropics sustained over five growing seasons (22 months).
In tropical regions, high annual precipitation (>2000 mm) and temperature (>20 °C) can affect the decomposition rate of organic soil amendments [55]. Compared to compost, sawdust is less biodegradable due to its high C/N ratio [3], long-chain alkanoic acids, n-alkanes, lignin, and other structural tissues [56]. Charcoal is considered to be highly resistant, with mean residence times ranging from hundreds to thousands of years [56]. Consequently, applied compost is rapidly mineralized, providing essential nutrients to this post-tin-mining soil and affecting plant growth in an intercropping system.

4.2. Crop Nitrogen Uptake

Compost and its combination with charcoal exhibited a higher value of N uptake in centrosema’s first growing season, which is consistent with the results regarding the amount of N2–fixing. The N consumption by plants can be limited by increased competition or decreased uptake due to a lack of nutrient or water availability [57], as mentioned above in Section 4.1. Due to the high shoot N, our finding suggests that centrosema may contribute a significant amount of N via litter decomposition during senescence periods near the end of the growing season.
Although cassava exhibited higher N content (%N) in the leaves, the lower biomass of this part resulted in lower observed N accumulation. Overall, cassava accumulated less N than centrosema, indicating that growing a legume alongside a non-legume crop is not always beneficial. Other explanations could be that we are underestimating the amount of N fixed by the centrosema or that the centrosema is competing with the cassava for soil N, as legumes are efficient scavengers of soil nitrogen [58]. Competition for nitrogen and complementary root growth between legumes and non-legumes, in particular, can reduce soil N and thus facilitate legume N2–fixation [59], as was also observed in the present study. On the other hand, because centrosema is used as fodder, increased biomass and N uptake in this cropping system can benefit low-income farmers.
Organic amendments increased the combined N uptake of cassava, centrosema, and weeds over the control and dolomite treatments. This higher value was attained because centrosema and weeds produce more biomass overall. When combined with the application of organic amendments, centrosema accumulated more N from fixation, allowing it to produce more biomass and increased N uptake in the system, supporting our second hypothesis.

4.3. N Contribution to Soil

The contribution of N fixed by centrosema to soils varied between treatments (Figure 6). The contribution from N2–fixation was about 40% N for both the charcoal and combined (charcoal and sawdust) treatments. However, the relative contribution of N2–fixation (<30%) from centrosema in soil amended with compost and its combination with charcoal was lower, despite their absolute contribution exceeding that of all other treatments. In the control and dolomite treatments, where no N was applied, the contribution of N2–fixation was low, whereas 100% of the N in centrosema was derived from N2–fixation. Low nutrient and mineral N levels in these soils promoted an effective legume–rhizobia symbiosis [38].
According to the estimation of partial soil N balance (PNB), the control and dolomite treatments had a negative N balance because no N was added via amendments. The high positive PNB in the combined treatment of charcoal and compost, on the other hand, suggests that significant amounts of N from the amendments remained in the soil. This condition would be beneficial for N2–fixation if maintained below the inhibitory threshold (approximately 30 kg inorganic N per ha−1), as was found in a previous study [60]. The nitrogen fixed by the legume plants can be used to fertilize the soil [61,62], thereby promoting crop growth in poor and low-input soils.
Compost and combined treatments (charcoal with compost or sawdust) both increased NH4+ levels and, hence, available N in the soil. The increased NH4+ and improved N2–fixation were most likely caused by high TN added to the soil via compost. Soil amendments with a high C/N ratio, such as charcoal and sawdust, increased N immobilization in the soil, reducing the loss risk of inorganic N [27,28,63,64]. These findings suggest that compost or sawdust in combination with charcoal are more effective at retaining N and increasing the amount of available N in the soil than charcoal alone. Previously, Jien et al [55] reported that N mineralization decreased in tropical agricultural soil treated with charcoal and compost as compared to soil treated with compost alone.
The adoption of legume species in conjunction with a combination of charcoal and compost to restore post-tin mining soils in an agricultural context is a strategy that not only promotes N uptake and N stock, but also reduces farmers’ financial reliance on synthetic N fertilizer. Centrosema with high N uptake can be used as cattle fodder and is likely to produce better manure quality for local farmers, potentially creating virtuous nutrient cycles.

5. Conclusions

The application of locally available organic soil amendments had no significant effect on the %NDFA of centrosema, while higher shoot dry matter resulted in a higher mass of N2–fixation. The findings suggest that combining charcoal and compost promotes N2–fixation in centrosema (by 802%) compared to control when intercropped with cassava, leading to more sustainable food production in post-tin-mining soil. Even though centrosema can increase N concentrations, the benefits for the main crop—cassava—are still limited. Future research should investigate the use of soil amendments in conjunction with other legume species. Charcoal and its combinations, in particular, represent a climate-smart strategy for enhancing carbon sequestration in agricultural systems in order to increase fertility. Furthermore, future perspectives for the following research include the addition of nutrients to stimulate plant growth, which is of crucial relevance in highly nutrient-depleted post-tin-mining soils.

Supplementary Materials

The following supporting information can be downloaded at: https://www.mdpi.com/article/10.3390/land12051107/s1, Figure S1: Overview of the treatments according to the randomized complete block design (RCBD) in post-tin-mining area; Figure S2: Nitrogen isotope discrimination (δ15N) in plant parts of cassava under different treatments; Figure S3: Nitrogen isotope discrimination (δ15N) in soil under different treatments.

Author Contributions

Conceptualization, all authors.; methodology, R.M., K.M.K. and R.H.-N.; validation, R.M. and R.H.-N.; formal analysis, R.M. and R.H.-N.; investigation, R.M., K.M.K. and R.H.-N.; resources, N.N., M.M. and A.M.; data curation, R.M. and R.H.-N.; writing—original draft preparation, R.M.; writing—review and editing, R.M.; visualization, R.M., K.M.K. and R.H.-N.; supervision, A.M., K.M.K., R.H.-N. and R.M.K.; funding acquisition, R.M.K., R.M., A.M., M.M., N.N., K.M.K. and R.H.-N. All authors have read and agreed to the published version of the manuscript.

Funding

This research was supported by the ASEA-Uninet (grant numbers 2018/BOKU/4, 2019/BOKU/2, and 2020-21/BOKU/8), Erasmus+ actions (R.M.K. and R.M. 2018/2019), and by the Indonesia–Austria Scholarship Program (grant number 75/D3/PG/2019).

Data Availability Statement

Not applicable.

Acknowledgments

We would like to thank the local farmers on Bangka Island for their assistance in maintaining the plot experimental site. We thank to BPTP Bangka Belitung and PT Timah for compost and centrosema seeds. We also thank Katharina Schott for stable isotope analyses.

Conflicts of Interest

The authors declare no conflict of interest.

References

  1. Anda, M.; Purwantari, N.D.; Yulistiani, D.; Sajimin; Suryani, E.; Husnain; Agus, F. Reclamation of post-tin mining areas using forages: A strategy based on soil mineralogy, chemical properties and particle size of the refused materials. CATENA 2022, 213, 106140. [Google Scholar] [CrossRef]
  2. Kumari, S.; Maiti, S.K. Reclamation of coalmine spoils with topsoil, grass, and legume: A case study from India. Environ. Earth Sci. 2019, 78, 429. [Google Scholar] [CrossRef]
  3. Maftukhah, R.; Kral, R.M.; Mentler, A.; Ngadisih, N.; Murtiningrum, M.; Keiblinger, K.M.; Gartner, M.; Hood-Nowotny, R. Post-Tin-Mining Agricultural Soil Regeneration Using Local Resources, Reduces Drought Stress and Increases Crop Production on Bangka Island, Indonesia. Agronomy 2023, 13, 50. [Google Scholar] [CrossRef]
  4. Kral, R.M.; Maftukhah, R.; Mentler, A.; Murtiningrum, M.; Ngadisih, N.; Keiblinger, K.M. Citizen science in the field: Co-experimentation at pilot scale for sustainable use of natural resources. Sustainability 2020, 12, 7700. [Google Scholar] [CrossRef]
  5. Kumari, S.; Ahirwal, J.; Maiti, S.K. Reclamation of industrial waste dump using grass-legume mixture: An experimental approach to combat land degradation. Ecol. Eng. 2022, 174, 106443. [Google Scholar] [CrossRef]
  6. Medoro, V.; Ferretti, G.; Galamini, G.; Rotondi, A.; Morrone, L.; Faccini, B.; Coltorti, M. Reducing Nitrogen Fertilization in Olive Growing by the Use of Natural Chabazite-Zeolitite as Soil Improver. Land 2022, 11, 1471. [Google Scholar] [CrossRef]
  7. Bossolani, J.W.; Crusciol, C.A.C.; Merloti, L.F.; Moretti, L.G.; Costa, N.R.; Tsai, S.M.; Kuramae, E.E. Long-term lime and gypsum amendment increase nitrogen fixation and decrease nitrification and denitrification gene abundances in the rhizosphere and soil in a tropical no-till intercropping system. Geoderma 2020, 375, 114476. [Google Scholar] [CrossRef]
  8. Reilly, E.C.; Gutknecht, J.L.; Tautges, N.E.; Sheaffer, C.C.; Jungers, J.M. Nitrogen transfer and yield effects of legumes intercropped with the perennial grain crop intermediate wheatgrass. Field Crops Res. 2022, 286, 108627. [Google Scholar] [CrossRef]
  9. Mugi-Ngenga, E.; Bastiaans, L.; Zingore, S.; Anten, N.P.R.; Giller, K.E. The role of nitrogen fixation and crop N dynamics on performance and legacy effects of maize-grain legumes intercrops on smallholder farms in Tanzania. Eur. J. Agron. 2022, 141, 126617. [Google Scholar] [CrossRef]
  10. Islami, T.; Guritno, B.; Basuki, N.; Suryanto, A. Biochar for sustaining productivity of cassava based cropping systems in the degraded lands of East Java, Indonesia. J. Trop. Agric. 2011, 49, 40–46. [Google Scholar]
  11. Budianta, D.; Gofar, N.; Andika, G.A. Improvement of Sand Tailing Fertility Derived from Post Tin Mining Using Leguminous Crop Applied by Compost and Mineral Soil. J. Tanah Trop. 2013, 18, 217–223. [Google Scholar]
  12. Jensen, E.S.; Carlsson, G.; Hauggaard-Nielsen, H. Intercropping of grain legumes and cereals improves the use of soil N resources and reduces the requirement for synthetic fertilizer N: A global-scale analysis. Agron. Sustain. Dev. 2020, 40, 5. [Google Scholar] [CrossRef]
  13. Ashworth, A.J.; West, C.P.; Allen, F.L.; Keyser, P.D.; Weiss, S.A.; Tyler, D.D.; Taylor, A.M.; Warwick, K.L.; Beamer, K.P. Biologically Fixed Nitrogen in Legume Intercropped Systems: Comparison of Nitrogen-Difference and Nitrogen-15 Enrichment Techniques. Agron. J. 2015, 107, 2419–2430. [Google Scholar] [CrossRef]
  14. De Notaris, C.; Mortensen, E.Ø.; Sørensen, P.; Olesen, J.E.; Rasmussen, J. Cover crop mixtures including legumes can self-regulate to optimize N2 fixation while reducing nitrate leaching. Agric. Ecosyst. Environ. 2021, 309, 107287. [Google Scholar] [CrossRef]
  15. Constantin, J.; Mary, B.; Laurent, F.; Aubrion, G.; Fontaine, A.; Kerveillant, P.; Beaudoin, N. Effects of catch crops, no till and reduced nitrogen fertilization on nitrogen leaching and balance in three long-term experiments. Agric. Ecosyst. Environ. 2010, 135, 268–278. [Google Scholar] [CrossRef]
  16. Hama, J.R.; Strobel, B.W. Natural alkaloids from narrow-leaf and yellow lupins transfer to soil and soil solution in agricultural fields. Environ. Sci. Eur. 2020, 32, 126. [Google Scholar] [CrossRef]
  17. Fageria, N.K.; Baligar, V.C. Ameliorating soil acidity of tropical Oxisols by liming for sustainable crop production. Adv. Agron. 2008, 99, 345–399. [Google Scholar]
  18. Razafintsalama, H.; Trap, J.; Rabary, B.; Razakatiana, A.T.E.; Ramanankierana, H.; Rabeharisoa, L.; Becquer, T. Effect of Rhizobium Inoculation on Growth of Common Bean in Low-Fertility Tropical Soil Amended with Phosphorus and Lime. Sustainability 2022, 14, 4907. [Google Scholar] [CrossRef]
  19. Lusiba, S.G.; Maseko, S.T.; Odhiambo, J.J.O.; Adeleke, R. Biological N2 fixation, C accumulation and water-use efficiency (δ13C) of chickpea grown in three different soil types: Response to the addition of biochar from poultry litter and acacia. Acta Agric. Scand. Sect. B Soil Plant Sci. 2022, 72, 931–944. [Google Scholar] [CrossRef]
  20. Mia, S.; Van Groenigen, J.W.; Van de Voorde, T.F.J.; Oram, N.J.; Bezemer, T.M.; Mommer, L.; Jeffery, S. Biochar application rate affects biological nitrogen fixation in red clover conditional on potassium availability. Agric. Ecosyst. Environ. 2014, 191, 83–91. [Google Scholar] [CrossRef]
  21. Van Zwieten, L.; Rose, T.; Herridge, D.; Kimber, S.; Rust, J.; Cowie, A.; Morris, S. Enhanced biological N2 fixation and yield of faba bean (Vicia faba L.) in an acid soil following biochar addition: Dissection of causal mechanisms. Plant Soil 2015, 395, 7–20. [Google Scholar] [CrossRef]
  22. Rondon, M.A.; Lehmann, J.; Ramírez, J.; Hurtado, M. Biological nitrogen fixation by common beans (Phaseolus vulgaris L.) increases with bio-char additions. Biol. Fertil. Soils 2007, 43, 699–708. [Google Scholar] [CrossRef]
  23. Scheifele, M.; Hobi, A.; Buegger, F.; Gattinger, A.; Schulin, R.; Boller, T.; Mäder, P. Impact of pyrochar and hydrochar on soybean (Glycine max L.) root nodulation and biological nitrogen fixation. J. Plant Nutr. Soil Sci. 2017, 180, 199–211. [Google Scholar] [CrossRef]
  24. Zhang, W.; Yu, C.; Wang, X.; Hai, L.; Hu, J. Increased abundance of nitrogen fixing bacteria by higher C/N ratio reduces the total losses of N and C in cattle manure and corn stover mix composting. Waste Manag. 2020, 103, 416–425. [Google Scholar] [CrossRef]
  25. Harindintwali, J.D.; Zhou, J.; Muhoza, B.; Wang, F.; Herzberger, A.; Yu, X. Integrated eco-strategies towards sustainable carbon and nitrogen cycling in agriculture. J. Environ. Manag. 2021, 293, 112856. [Google Scholar] [CrossRef]
  26. Shi, W.; Zhao, H.-Y.; Chen, Y.; Wang, J.-S.; Han, B.; Li, C.-P.; Lu, J.-Y.; Zhang, L.-M. Organic manure rather than phosphorus fertilization primarily determined asymbiotic nitrogen fixation rate and the stability of diazotrophic community in an upland red soil. Agric. Ecosyst. Environ. 2021, 319, 107535. [Google Scholar] [CrossRef]
  27. Agegnehu, G.; Bass, A.M.; Nelson, P.N.; Muirhead, B.; Wright, G.; Bird, M.I. Biochar and biochar-compost as soil amendments: Effects on peanut yield, soil properties and greenhouse gas emissions in tropical North Queensland, Australia. Agric. Ecosyst. Environ. 2015, 213, 72–85. [Google Scholar] [CrossRef]
  28. Haubensak, K.A.; D’Antonio, C.M.; Alexander, J. Effects of Nitrogen-Fixing Shrubs in Washington and Coastal California. Weed Technol. 2004, 18, 1475–1479. [Google Scholar] [CrossRef]
  29. Hood-Nowotny, R.; Watzinger, A.; Wawra, A.; Soja, G. The Impact of Biochar Incorporation on Inorganic Nitrogen Fertilizer Plant Uptake; An Opportunity for Carbon Sequestration in Temperate Agriculture. Geosciences 2018, 8, 420. [Google Scholar] [CrossRef]
  30. Hood-Nowotny, R.; Schwarzinger, B.; Schwarzinger, C.; Soliban, S.; Madakacherry, O.; Aigner, M.; Watzka, M.; Gilles, J. An Analysis of Diet Quality, How It Controls Fatty Acid Profiles, Isotope Signatures and Stoichiometry in the Malaria Mosquito Anopheles arabiensis. PLoS ONE 2012, 7, e45222. [Google Scholar] [CrossRef]
  31. Unkovich, M.J.; Pate, J.S.; Sanford, P.; Armstrong, E.L. Potential precision of the δN natural abundance method in field estimates of nitrogen fixation by crop and pasture legumes in south-west Australia. Aust. J. Agric. Res. 1994, 45, 119–132. [Google Scholar] [CrossRef]
  32. Yu, B.; Liu, G.; Liu, Q.; Huang, C.; Li, H.; Zhao, Z. Seasonal variation of deep soil moisture under different land uses on the semi-arid Loess Plateau of China. J. Soils Sediments 2019, 19, 1179–1189. [Google Scholar] [CrossRef]
  33. Hood-Nowotny, R.; Umana, N.H.-N.; Inselbacher, E.; Oswald-Lachouani, P.; Wanek, W. Alternative Methods for Measuring Inorganic, Organic, and Total Dissolved Nitrogen in Soil. Soil Sci. Soc. Am. J. 2010, 74, 1018. [Google Scholar] [CrossRef]
  34. Sørensen, P.; Jensen, E.S. Sequential diffusion of ammonium and nitrate from soil extracts to a polytetrafluoroethylene trap for 15N determination. Anal. Chim. Acta 1991, 252, 201–203. [Google Scholar] [CrossRef]
  35. Shearer, G.; Kohl, D.H. N2-Fixation in Field Settings: Estimations Based on Natural 15N Abundance. Funct. Plant Biol. 1986, 13, 699–756. [Google Scholar]
  36. Tsialtas, I.T.; Baxevanos, D.; Vlachostergios, D.N.; Dordas, C.; Lithourgidis, A. Cultivar complementarity for symbiotic nitrogen fixation and water use efficiency in pea-oat intercrops and its effect on forage yield and quality. Field Crops Res. 2018, 226, 28–37. [Google Scholar] [CrossRef]
  37. Rousk, K.; Sorensen, P.L.; Michelsen, A. Nitrogen Transfer from Four Nitrogen-Fixer Associations to Plants and Soils. Ecosystems 2016, 19, 1491–1504. [Google Scholar] [CrossRef]
  38. Peoples, M.B.; Brockwell, J.; Herridge, D.F.; Rochester, I.J.; Alves, B.J.R.; Urquiaga, S.; Boddey, R.M.; Dakora, F.D.; Bhattarai, S.; Maskey, S.L.; et al. The contributions of nitrogen-fixing crop legumes to the productivity of agricultural systems. Symbiosis 2009, 48, 1–17. [Google Scholar] [CrossRef]
  39. Fan, F.; Zhang, F.; Song, Y.; Sun, J.; Bao, X.; Guo, T.; Li, L. Nitrogen fixation of faba bean (Vicia faba L.) interacting with a non-legume in two contrasting intercropping systems. Plant Soil 2006, 283, 275–286. [Google Scholar] [CrossRef]
  40. Unkovich, M.; Herridge, D.; Peoples, M.; Cadisch, G.; Boddey, B.; Giller, K.; Alves, B.; Chalk, P. Measuring Plant-Associated Nitrogen Fixation in Agricultural Systems; Australian Centre for International Agricultural Research (ACIAR): Canberra, ACT, Australia, 2008. [Google Scholar]
  41. Landriscini, M.R.; Galantini, J.A.; Duval, M.E.; Capurro, J.E. Nitrogen balance in a plant-soil system under different cover crop-soybean cropping in Argentina. Appl. Soil Ecol. 2019, 133, 124–131. [Google Scholar] [CrossRef]
  42. Mia, S.; Dijkstra, F.A.; Singh, B. Enhanced biological nitrogen fixation and competitive advantage of legumes in mixed pastures diminish with biochar aging. Plant Soil 2018, 424, 639–651. [Google Scholar] [CrossRef]
  43. Romanyà, J.; Casals, P. Biological Nitrogen Fixation Response to Soil Fertility Is Species-Dependent in Annual Legumes. J. Soil Sci. Plant Nutr. 2020, 20, 546–556. [Google Scholar] [CrossRef]
  44. Guinet, M.; Nicolardot, B.; Revellin, C.; Durey, V.; Carlsson, G.; Voisin, A.-S. Comparative effect of inorganic N on plant growth and N 2 fixation of ten legume crops: Towards a better understanding of the differential response among species. Plant Soil 2018, 432, 207–227. [Google Scholar] [CrossRef]
  45. Kermah, M.; Franke, A.C.; Adjei-Nsiah, S.; Ahiabor, B.D.K.; Abaidoo, R.C.; Giller, K.E. N2-fixation and N contribution by grain legumes under different soil fertility status and cropping systems in the Guinea savanna of northern Ghana. Agric. Ecosyst. Environ. 2018, 261, 201–210. [Google Scholar] [CrossRef]
  46. Mathenge, C.; Thuita, M.; Masso, C.; Gweyi-Onyango, J.; Vanlauwe, B. Variability of soybean response to rhizobia inoculant, vermicompost, and a legume-specific fertilizer blend in Siaya County of Kenya. Soil Tillage Res. 2019, 194, 104290. [Google Scholar] [CrossRef]
  47. Xu, C.-Y.; Hosseini-Bai, S.; Hao, Y.; Rachaputi, R.C.N.; Wang, H.; Xu, Z.; Wallace, H. Effect of biochar amendment on yield and photosynthesis of peanut on two types of soils. Environ. Sci. Pollut. Res. 2015, 22, 6112–6125. [Google Scholar] [CrossRef]
  48. Quilliam, R.S.; DeLuca, T.H.; Jones, D.L. Biochar application reduces nodulation but increases nitrogenase activity in clover. Plant Soil 2013, 366, 83–92. [Google Scholar] [CrossRef]
  49. Haddad, S.A.; Mowrer, J.; Thapa, B. Biochar and compost from cotton residues inconsistently affect water use efficiency, nodulation, and growth of legumes under arid conditions. J. Environ. Manag. 2022, 307, 114558. [Google Scholar] [CrossRef]
  50. Lehmann, J.; Pereira da Silva, J.; Steiner, C.; Nehls, T.; Zech, W.; Glaser, B. Nutrient availability and leaching in an archaeological Anthrosol and a Ferralsol of the Central Amazon basin: Fertilizer, manure and charcoal amendments. Plant Soil 2003, 249, 343–357. [Google Scholar] [CrossRef]
  51. Lambers, J.H.R.; Harpole, W.S.; Tilman, D.; Knops, J.; Reich, P.B. Mechanisms responsible for the positive diversity–productivity relationship in Minnesota grasslands. Ecol. Lett. 2004, 7, 661–668. [Google Scholar] [CrossRef]
  52. Feng, L.; Yang, W.; Zhou, Q.; Tang, H.; Ma, Q.; Huang, G.; Wang, S. Effects of interspecific competition on crop yield and nitrogen utilisation in maize-soybean intercropping system. Plant Soil Environ. 2021, 67, 460–467. [Google Scholar] [CrossRef]
  53. Hale, S.E.; Nurida, N.L.; Mulder, J.; Sørmo, E.; Silvani, L.; Abiven, S.; Joseph, S.; Taherymoosavi, S.; Cornelissen, G. The effect of biochar, lime and ash on maize yield in a long-term fi eld trial in a Ultisol in the humid tropics. Sci. Total Environ. 2020, 719, 137455. [Google Scholar] [CrossRef]
  54. Jien, S.-H.; Chen, W.-C.; Ok, Y.S.; Awad, Y.M.; Liao, C.-S. Short-term biochar application induced variations in C and N mineralization in a compost-amended tropical soil. Environ. Sci. Pollut. Res. 2018, 25, 25715–25725. [Google Scholar] [CrossRef]
  55. Schmidt, M.W.I.; Torn, M.S.; Abiven, S.; Dittmar, T.; Guggenberger, G.; Janssens, I.A.; Kleber, M.; Kögel-Knabner, I.; Lehmann, J.; Manning, D.A.C.; et al. Persistence of soil organic matter as an ecosystem property. Nature 2011, 478, 49–56. [Google Scholar] [CrossRef]
  56. Goergen, E.; Chambers, J.C.; Blank, R. Effects of water and nitrogen availability on nitrogen contribution by the legume, Lupinus argenteus Pursh. Appl. Soil Ecol. 2009, 42, 200–208. [Google Scholar] [CrossRef]
  57. De Notaris, C.; Rasmussen, J.; Sørensen, P.; Olesen, J.E. Nitrogen leaching: A crop rotation perspective on the effect of N surplus, field management and use of catch crops. Agric. Ecosyst. Environ. 2018, 255, 1–11. [Google Scholar] [CrossRef]
  58. Liu, L.; Wang, Y.; Yan, X.; Li, J.; Jiao, N.; Hu, S. Biochar amendments increase the yield advantage of legume-based intercropping systems over monoculture. Agric. Ecosyst. Environ. 2017, 237, 16–23. [Google Scholar] [CrossRef]
  59. Walley, F.L.; Kyei-Boahen, S.; Hnatowich, G.; Stevenson, C. Nitrogen and phosphorus fertility management for desi and kabuli chickpea. Can. J. Plant Sci. 2005, 85, 73–79. [Google Scholar] [CrossRef]
  60. Xiu, L.; Zhang, W.; Wu, D.; Sun, Y.; Zhang, H.; Gu, W.; Wang, Y.; Meng, J.; Chen, W. Biochar can improve biological nitrogen fixation by altering the root growth strategy of soybean in Albic soil. Sci. Total Environ. 2021, 773, 144564. [Google Scholar] [CrossRef]
  61. Sánchez-Navarro, A.; Salas-Sanjuan, M.d.C.; Blanco-Bernardeau, M.A.; Sánchez-Romero, J.A.; Delgado-Iniesta, M.J. Medium-Term Effect of Organic Amendments on the Chemical Properties of a Soil Used for Vegetable Cultivation with Cereal and Legume Rotation in a Semiarid Climate. Land 2023, 12, 897. [Google Scholar] [CrossRef]
  62. Santhosh, K.S.; Akhila, D.S.; Dechamma, M.M.; Rajeshwari, V. An integrative approach to understand the role of the nitrogen fixing microbial consortia in the environment. J. Pharmacogn. Phytochem. 2019, 8, 909–915. [Google Scholar]
  63. Clocchiatti, A.; Hannula, S.E.; Hundscheid, M.P.J.; Klein Gunnewiek, P.J.A.; de Boer, W. Utilizing woody materials for fungal-based management of soil nitrogen pools. Appl. Soil Ecol. 2023, 181, 104663. [Google Scholar] [CrossRef]
  64. Huang, R.; Li, B.; Chen, Y.; Tao, Q.; Xu, Q.; Wen, D.; Gao, X.; Li, Q.; Tang, X.; Wang, C. Biochar Application Increases Labile Carbon and Inorganic Nitrogen Supply in a Continuous Monocropping Soil. Land 2022, 11, 473. [Google Scholar] [CrossRef]
Figure 1. Schematic illustration of the planting pattern in each treatment. Cassava was planted as the main crop and centrosema as the cover crop in the intercropping system.
Figure 1. Schematic illustration of the planting pattern in each treatment. Cassava was planted as the main crop and centrosema as the cover crop in the intercropping system.
Land 12 01107 g001
Figure 2. Nitrogen isotope discrimination (A) and percentage of nitrogen derived from N2–fixation (B) in centrosema under different soil amendments and growing season treatments. Treatments (soil amendments) are indicated on the x-axis, along with a “control” that did not receive any soil amendment. Values are means ±  SE (n = 4). The effects of growing season (S), treatment (T), and the interaction of growing season and treatment (S × T) on nitrogen isotope discrimination and the percentage of nitrogen derived from N2–fixation were determined using robust two-way ANOVA. Uppercase letters below the bars in (A) indicate significant differences in the overall treatment effect using the post hoc linear contrast test on trimmed means at p < 0.05.
Figure 2. Nitrogen isotope discrimination (A) and percentage of nitrogen derived from N2–fixation (B) in centrosema under different soil amendments and growing season treatments. Treatments (soil amendments) are indicated on the x-axis, along with a “control” that did not receive any soil amendment. Values are means ±  SE (n = 4). The effects of growing season (S), treatment (T), and the interaction of growing season and treatment (S × T) on nitrogen isotope discrimination and the percentage of nitrogen derived from N2–fixation were determined using robust two-way ANOVA. Uppercase letters below the bars in (A) indicate significant differences in the overall treatment effect using the post hoc linear contrast test on trimmed means at p < 0.05.
Land 12 01107 g002
Figure 3. Amount of nitrogen fixation in centrosema under different soil amendments and growing season treatments. Treatments (soil amendments) are indicated on the x-axis, along with a “control” that did not receive any soil amendment. Values are means ±  SE (n = 4). The effects of growing season (S), treatment (T), and the interaction of growing season and treatment (S × T) on nitrogen fixation were determined using robust two-way ANOVA. Uppercase letters above the bars indicate significant differences between treatments during the same growing season, and lowercase letters indicate significant differences between growing seasons under the same treatment using the post hoc linear contrast test on trimmed means at p < 0.05.
Figure 3. Amount of nitrogen fixation in centrosema under different soil amendments and growing season treatments. Treatments (soil amendments) are indicated on the x-axis, along with a “control” that did not receive any soil amendment. Values are means ±  SE (n = 4). The effects of growing season (S), treatment (T), and the interaction of growing season and treatment (S × T) on nitrogen fixation were determined using robust two-way ANOVA. Uppercase letters above the bars indicate significant differences between treatments during the same growing season, and lowercase letters indicate significant differences between growing seasons under the same treatment using the post hoc linear contrast test on trimmed means at p < 0.05.
Land 12 01107 g003
Figure 4. Nitrogen content (A) and nitrogen uptake (B) in centrosema under different soil amendments and growing season treatments. Treatments (soil amendments) are indicated on the x-axis, with a “control” that did not receive any soil amendment. Values are means ±  SE (n = 4). The effects of growing season (S), treatment (T), and the interaction of growing season and treatment (S × T) on nitrogen content and nitrogen uptake were determined using robust two-way ANOVA. Uppercase letters above the bars in (B) indicate significant differences between treatments in the same growing season, and lowercase letters indicate significant differences between growing seasons with the same treatment using the post hoc linear contrast test on trimmed means at p < 0.05.
Figure 4. Nitrogen content (A) and nitrogen uptake (B) in centrosema under different soil amendments and growing season treatments. Treatments (soil amendments) are indicated on the x-axis, with a “control” that did not receive any soil amendment. Values are means ±  SE (n = 4). The effects of growing season (S), treatment (T), and the interaction of growing season and treatment (S × T) on nitrogen content and nitrogen uptake were determined using robust two-way ANOVA. Uppercase letters above the bars in (B) indicate significant differences between treatments in the same growing season, and lowercase letters indicate significant differences between growing seasons with the same treatment using the post hoc linear contrast test on trimmed means at p < 0.05.
Land 12 01107 g004
Figure 5. Nitrogen content (A,B) and nitrogen uptake (C,D) in cassava under different soil amendments and plant part treatments. Treatments (soil amendments) are indicated on the x-axis, with a “control” that did not receive any soil amendment. Values are means ±  SE (n = 4). The effects of plant part (S), treatment (T), and the interaction of plant part and treatment (S × T) on nitrogen content and nitrogen uptake were determined using robust two-way ANOVA. Lowercase letters in (C,D) indicate significant differences between plant parts using the post hoc linear contrast test on trimmed means at p < 0.05. In (C,D), open circles indicate outliers.
Figure 5. Nitrogen content (A,B) and nitrogen uptake (C,D) in cassava under different soil amendments and plant part treatments. Treatments (soil amendments) are indicated on the x-axis, with a “control” that did not receive any soil amendment. Values are means ±  SE (n = 4). The effects of plant part (S), treatment (T), and the interaction of plant part and treatment (S × T) on nitrogen content and nitrogen uptake were determined using robust two-way ANOVA. Lowercase letters in (C,D) indicate significant differences between plant parts using the post hoc linear contrast test on trimmed means at p < 0.05. In (C,D), open circles indicate outliers.
Land 12 01107 g005
Figure 6. Nitrogen input, total nitrogen uptake in the system (N cum), and partial nitrogen balance (PNB) in the system under different soil amendment treatments. Treatments (soil amendments) are indicated on the x-axis, with a “control” that did not receive any soil amendment. Values are means ±  SE (n = 4). The effects of treatment on total nitrogen uptake in the system and partial nitrogen balance were determined using parametric one-way ANOVA. Uppercase and lowercase letters above the bars indicate significant differences between treatments using the post hoc linear contrast test at p < 0.05.
Figure 6. Nitrogen input, total nitrogen uptake in the system (N cum), and partial nitrogen balance (PNB) in the system under different soil amendment treatments. Treatments (soil amendments) are indicated on the x-axis, with a “control” that did not receive any soil amendment. Values are means ±  SE (n = 4). The effects of treatment on total nitrogen uptake in the system and partial nitrogen balance were determined using parametric one-way ANOVA. Uppercase and lowercase letters above the bars indicate significant differences between treatments using the post hoc linear contrast test at p < 0.05.
Land 12 01107 g006
Figure 7. Soil nitrate (A), ammonium (B), and total nitrogen stock (C) under different soil amendment treatments. Treatments (soil amendments) are indicated on the x-axis, with a “control” that did not receive any soil amendment. Values are means ±  SE (n = 4). The effects of treatment on nitrate, ammonium, and total nitrogen stock were determined using parametric one-way ANOVA. Lowercase letters in (B) indicate significant differences between treatments using the post hoc linear contrast test at p < 0.05.
Figure 7. Soil nitrate (A), ammonium (B), and total nitrogen stock (C) under different soil amendment treatments. Treatments (soil amendments) are indicated on the x-axis, with a “control” that did not receive any soil amendment. Values are means ±  SE (n = 4). The effects of treatment on nitrate, ammonium, and total nitrogen stock were determined using parametric one-way ANOVA. Lowercase letters in (B) indicate significant differences between treatments using the post hoc linear contrast test at p < 0.05.
Land 12 01107 g007
Figure 8. Heat map showing the relationships among shoot dry matter (shoot), nitrogen isotope discrimination (δ15N), nitrogen content (%N), percentage of nitrogen derived from the atmosphere (%NDFA), nitrogen uptake (N), and nitrogen fixation (Nfix) in the first and second seasons of centrosema (C1 and C2), with some soil physicochemical properties (total nitrogen (TN); nitrate (NO3); ammonium (NH4); total phosphate (TP); available phosphate (AP); total potassium (TP); available potassium (AP); total organic carbon (TOC); dissolved organic carbon (DOC); water-holding capacity (WHC); pH; electrical conductivity (EC); and cation exchange capacity (CEC)). The color gradient represents Pearson correlation coefficients when significant (n = 24, p < 0.05).
Figure 8. Heat map showing the relationships among shoot dry matter (shoot), nitrogen isotope discrimination (δ15N), nitrogen content (%N), percentage of nitrogen derived from the atmosphere (%NDFA), nitrogen uptake (N), and nitrogen fixation (Nfix) in the first and second seasons of centrosema (C1 and C2), with some soil physicochemical properties (total nitrogen (TN); nitrate (NO3); ammonium (NH4); total phosphate (TP); available phosphate (AP); total potassium (TP); available potassium (AP); total organic carbon (TOC); dissolved organic carbon (DOC); water-holding capacity (WHC); pH; electrical conductivity (EC); and cation exchange capacity (CEC)). The color gradient represents Pearson correlation coefficients when significant (n = 24, p < 0.05).
Land 12 01107 g008
Table 1. Total nitrogen (TN) applied in different treatments. Values given are means (n = 2).
Table 1. Total nitrogen (TN) applied in different treatments. Values given are means (n = 2).
TreatmentsN Applied (kg ha−1)
Control0
Dolomite0
Compost165
Charcoal38
Charcoal and compost203
Charcoal and sawdust42
Table 2. Total nitrogen uptake (TNuptake), total nitrogen fixation from the atmosphere (TN2–fixation), and total nitrogen derived from the soil (TNDFS) in centrosema under different treatments. Values are means ±  SE (n = 4). The effects of treatment on total nitrogen uptake, total nitrogen fixation, and total nitrogen derived from the soil were determined using robust one-way ANOVA. Lowercase letters indicate significant differences between treatments using the post hoc linear contrast test on trimmed means at p < 0.05.
Table 2. Total nitrogen uptake (TNuptake), total nitrogen fixation from the atmosphere (TN2–fixation), and total nitrogen derived from the soil (TNDFS) in centrosema under different treatments. Values are means ±  SE (n = 4). The effects of treatment on total nitrogen uptake, total nitrogen fixation, and total nitrogen derived from the soil were determined using robust one-way ANOVA. Lowercase letters indicate significant differences between treatments using the post hoc linear contrast test on trimmed means at p < 0.05.
TreatmentsTNuptake (kg ha−1)TN2–fixation (kg ha−1)TNDFS (kg ha−1)
Control 12 ± 3c9 ± 3c3 ± 0.8
Dolomite17 ± 1c16 ± 2bc2 ± 0.6
Compost61 ± 5b50 ± 3ab11 ± 6
Charcoal29 ± 3c25 ± 3b5 ± 1
Charcoal + compost111 ± 7a73 ± 10a38 ± 12
Charcoal + sawdust34 ± 6bc29 ± 7b5 ± 1
Disclaimer/Publisher’s Note: The statements, opinions and data contained in all publications are solely those of the individual author(s) and contributor(s) and not of MDPI and/or the editor(s). MDPI and/or the editor(s) disclaim responsibility for any injury to people or property resulting from any ideas, methods, instructions or products referred to in the content.

Share and Cite

MDPI and ACS Style

Maftukhah, R.; Keiblinger, K.M.; Ngadisih, N.; Murtiningrum, M.; Kral, R.M.; Mentler, A.; Hood-Nowotny, R. Post-Tin-Mining Agricultural Soil Regeneration Using Local Organic Amendments Improve Nitrogen Fixation and Uptake in a Legume–Cassava Intercropping System. Land 2023, 12, 1107. https://doi.org/10.3390/land12051107

AMA Style

Maftukhah R, Keiblinger KM, Ngadisih N, Murtiningrum M, Kral RM, Mentler A, Hood-Nowotny R. Post-Tin-Mining Agricultural Soil Regeneration Using Local Organic Amendments Improve Nitrogen Fixation and Uptake in a Legume–Cassava Intercropping System. Land. 2023; 12(5):1107. https://doi.org/10.3390/land12051107

Chicago/Turabian Style

Maftukhah, Rizki, Katharina M. Keiblinger, Ngadisih Ngadisih, Murtiningrum Murtiningrum, Rosana M. Kral, Axel Mentler, and Rebecca Hood-Nowotny. 2023. "Post-Tin-Mining Agricultural Soil Regeneration Using Local Organic Amendments Improve Nitrogen Fixation and Uptake in a Legume–Cassava Intercropping System" Land 12, no. 5: 1107. https://doi.org/10.3390/land12051107

APA Style

Maftukhah, R., Keiblinger, K. M., Ngadisih, N., Murtiningrum, M., Kral, R. M., Mentler, A., & Hood-Nowotny, R. (2023). Post-Tin-Mining Agricultural Soil Regeneration Using Local Organic Amendments Improve Nitrogen Fixation and Uptake in a Legume–Cassava Intercropping System. Land, 12(5), 1107. https://doi.org/10.3390/land12051107

Note that from the first issue of 2016, this journal uses article numbers instead of page numbers. See further details here.

Article Metrics

Back to TopTop