Heterogeneous Effects of the Talent Competition on Urban Innovation in China: Evidence from Prefecture-Level Cities
Abstract
1. Introduction
2. Materials and Methods
2.1. Methods and Variable Definition
2.2. Data Source
3. Results and Discussion
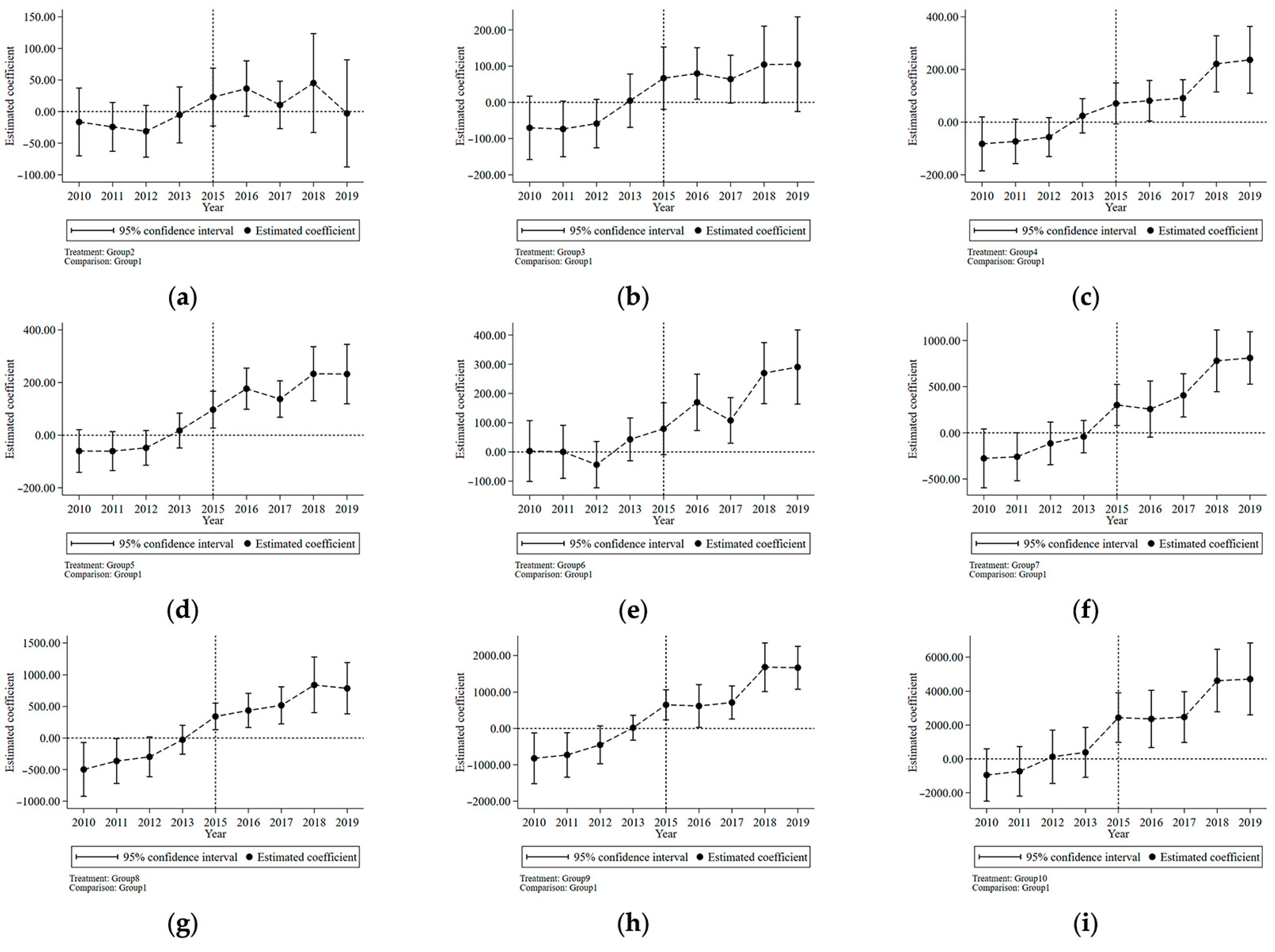
3.1. Verification of the Heterogeneous Effects of Talent Competition
3.2. Analysis of the Heterogeneous Effects of Talent Competition
3.3. Mechanism of Talent Competition on Urban Innovation
4. Conclusions and Policy Implications
Author Contributions
Funding
Institutional Review Board Statement
Informed Consent Statement
Data Availability Statement
Acknowledgments
Conflicts of Interest
References
- Anderson, N.; Potočnik, K.; Zhou, J. Innovation and Creativity in Organizations: A State-of-the-Science Review, Prospective Commentary, and Guiding Framework. J. Manag. 2014, 40, 1297–1333. [Google Scholar] [CrossRef]
- Fan, F.; Dai, S.; Zhang, K.; Ke, H. Innovation Agglomeration and Urban Hierarchy: Evidence from Chinese Cities. Appl. Econ. 2021, 53, 6300–6318. [Google Scholar] [CrossRef]
- Zhao, X.; Ma, X.; Chen, B.; Shang, Y.; Song, M. Challenges toward Carbon Neutrality in China: Strategies and Countermeasures. Resour. Conserv. Recycl. 2022, 176, 105959. [Google Scholar] [CrossRef]
- Zhu, X.; Zuo, X.; Li, H. The Dual Effects of Heterogeneous Environmental Regulation on the Technological Innovation of Chinese Steel Enterprises—Based on a High-Dimensional Fixed Effects Model. Ecol. Econ. 2021, 188, 107113. [Google Scholar] [CrossRef]
- Wei, F.; Feng, N.; Zhang, K.H. Innovation Capability and Innovation Talents: Evidence from China Based on a Quantile Regression Approach. Sustainability 2017, 9, 1218. [Google Scholar] [CrossRef]
- No, Y.; Walsh, J.P. The Importance of Foreign-Born Talent for US Innovation. Nat. Biotechnol. 2010, 28, 289–291. [Google Scholar] [CrossRef]
- Shi, J.L.; Lai, W.H. Incentive Factors of Talent Agglomeration: A Case of High-Tech Innovation in China. Int. J. Innov. Sci. 2019, 11, 561–582. [Google Scholar] [CrossRef]
- Beechler, S.; Woodward, I.C. The Global “War for Talent”. J. Int. Manag. 2009, 15, 273–285. [Google Scholar] [CrossRef]
- MacLachlan, I.; Gong, Y. China’s New Age Floating Population: Talent Workers and Drifting Elders. Cities 2022, 131, 103960. [Google Scholar] [CrossRef]
- Chen, L.; Fu, Y. Dynamics of the Rise of the Privately-Run and Government-Subsidised Think Tank and Its Influence in Talent Policy Making—Case Study of the Zhejiang Institution of Talent Development. J. Chin. Gov. 2017, 2, 50–67. [Google Scholar] [CrossRef]
- Heng, Q. Navigating China’s Economic Development in the New Era: From High-Speed to High-Quality Growth. China Q. Int. Strateg. Stud. 2018, 4, 177–192. [Google Scholar] [CrossRef]
- Xu, A.; Qiu, K.; Jin, C.; Cheng, C.; Zhu, Y. Regional Innovation Ability and Its Inequality: Measurements and Dynamic Decomposition. Technol. Forecast. Soc. Chang. 2022, 180, 121713. [Google Scholar] [CrossRef]
- Qiu, F.; Tong, Q. A Spatial Difference-in-Differences Approach to Evaluate the Impact of Light Rail Transit on Property Values. Econ. Model. 2021, 99, 105496. [Google Scholar] [CrossRef]
- Qiu, S.; Wang, Z.; Liu, S. The Policy Outcomes of Low-Carbon City Construction on Urban Green Development: Evidence from a Quasi-Natural Experiment Conducted in China. Sustain. Cities Soc. 2021, 66, 102699. [Google Scholar] [CrossRef]
- Song, M.; Zhao, X.; Shang, Y. The Impact of Low-Carbon City Construction on Ecological Efficiency: Empirical Evidence from Quasi-Natural Experiments. Resour. Conserv. Recycl. 2020, 157, 104777. [Google Scholar] [CrossRef]
- Stoerk, T.; Dudek, D.J.; Yang, J. China’s National Carbon Emissions Trading Scheme: Lessons from the Pilot Emission Trading Schemes, Academic Literature, and Known Policy Details. Clim. Policy 2019, 19, 472–486. [Google Scholar] [CrossRef]
- Yu, Y.; Zhang, N. Low-Carbon City Pilot and Carbon Emission Efficiency: Quasi-Experimental Evidence from China. Energy Econ. 2021, 96, 105125. [Google Scholar] [CrossRef]
- de Chaisemartin, C.; D’Haultfœuille, X. Two-Way Fixed Effects Estimators with Heterogeneous Treatment Effects. Am. Econ. Rev. 2020, 110, 2964–2996. [Google Scholar] [CrossRef]
- Callaway, B.; Sant’Anna, P.H.C. Difference-in-Differences with Multiple Time Periods. J. Econ. 2021, 225, 200–230. [Google Scholar] [CrossRef]
- Goodman-Bacon, A. Difference-in-Differences with Variation in Treatment Timing. J. Econ. 2021, 225, 254–277. [Google Scholar] [CrossRef]
- Wan, Q.; Chen, J.; Yao, Z.; Yuan, L. Preferential Tax Policy and R&D Personnel Flow for Technological Innovation Efficiency of China’s High-Tech Industry in an Emerging Economy. Technol. Forecast. Soc. Chang. 2022, 174, 121228. [Google Scholar] [CrossRef]
- Yang, S.; Liu, W.; Zhang, Z. The Dynamic Value of China’s High-Tech Zones: Direct and Indirect Influence on Urban Ecological Innovation. Land 2022, 11, 59. [Google Scholar] [CrossRef]
- Yue, M.l.; Li, R.n.; Ou, G.y.; Wu, X.; Ma, T. Can An Exploration on the Flow of Leading Research Talents in China: From the Perspective of Distinguished Young Scholars. Scientometrics 2020, 125, 1559–1574. [Google Scholar] [CrossRef]
- Chen, Y.; Sun, Z.; Cai, L. Population Flow Mechanism Study of Beijing-Tianjin-Hebei Urban Agglomeration from Industrial Space Supply Perspective. Sustainability 2021, 13, 9949. [Google Scholar] [CrossRef]
- Vig, V. Access to Collateral and Corporate Debt Structure: Evidence from a Natural Experiment. J. Financ. 2013, 68, 881–928. [Google Scholar] [CrossRef]
- Campello, M.; Larrain, M. Enlarging the Contracting Space: Collateral Menus, Access to Credit, and Economic Activity. Rev. Financ. Stud. 2016, 29, 349–383. [Google Scholar] [CrossRef]
- Lewin, A.Y.; Massini, S.; Peeters, C. Why Are Companies Offshoring Innovation the Emerging Global Race for Talent. J. Int. Bus. Stud. 2009, 40, 901–925. [Google Scholar] [CrossRef]
- Lin, X.; Ren, T.; Wu, H.; Xiao, Y. Housing Price, Talent Movement, and Innovation Output: Evidence from Chinese Cities. Rev. Dev. Econ. 2021, 25, 76–103. [Google Scholar] [CrossRef]
- Shi, H.B.; Cui, Y.C.; Tsai, S.B.; Wang, D.M. The Impact of Technical-Nontechnical Factors Synergy on Innovation Performance: The Moderating Effect of Talent Flow. Sustainability 2018, 10, 693. [Google Scholar] [CrossRef]
- Jiang, X.; Fu, W.; Li, G. Can the Improvement of Living Environment Stimulate Urban Innovation?—Analysis of High-Quality Innovative Talents and Foreign Direct Investment Spillover Effect Mechanism. J. Clean. Prod. 2020, 255, 120212. [Google Scholar] [CrossRef]
- Yang, Z.; Pan, Y. Human Capital, Housing Prices, and Regional Economic Development: Will “Vying for Talent” through Policy Succeed? Cities 2020, 98, 102577. [Google Scholar] [CrossRef]
- Reiner, C. Brain Competition Policy as a New Paradigm of Regional Policy: A European Perspective. Pap. Reg. Sci. 2010, 89, 449–461. [Google Scholar] [CrossRef]
- Zhang, Y.B.; Qu, S.Y.; Li, H.B.; Li, M.M. An Empirical Analysis of Talent Policy, Executive Incentive, and Enterprise Green Technological Innovation Based on China’s A-Share Listed Companies. Front. Environ. Sci. 2022, 10, 1686. [Google Scholar] [CrossRef]
- Shi, X.; Chen, Y.; Xia, M.; Zhang, Y. Effects of the Talent War on Urban Innovation in China: A Difference-in-Differences Analysis. Land 2022, 11, 1485. [Google Scholar] [CrossRef]
- Shen, C.; Li, S.; Wang, X.; Liao, Z. The Effect of Environmental Policy Tools on Regional Green Innovation: Evidence from China. J. Clean. Prod. 2020, 254, 120122. [Google Scholar] [CrossRef]
- She, Y.; Liu, Y.; Jiang, L.; Yuan, H. Is China’s River Chief Policy Effective? Evidence from a Quasi-Natural Experiment in the Yangtze River Economic Belt, China. J. Clean. Prod. 2019, 220, 919–930. [Google Scholar] [CrossRef]
- Zhou, Y.; Guo, Y.; Liu, Y. High-Level Talent Flow and Its Influence on Regional Unbalanced Development in China. Appl. Geogr. 2018, 91, 89–98. [Google Scholar] [CrossRef]
- Simandan, D. Competition, Delays, and Coevolution in Markets and Politics. Geoforum 2019, 98, 15–24. [Google Scholar] [CrossRef]
- Stolz, Y.; Baten, J. Brain Drain in the Age of Mass Migration: Does Relative Inequality Explain Migrant Selectivity? Explor. Econ. Hist. 2012, 49, 205–220. [Google Scholar] [CrossRef]
- Hu, B.; Liu, Y.; Zhang, X.; Dong, X. Understanding Regional Talent Attraction and Its Influencing Factors in China: From the Perspective of Spatiotemporal Pattern Evolution. PLoS ONE 2020, 15, e0234856. [Google Scholar] [CrossRef]
- Baron, R.M.; Kenny, D.A. The Moderator-Mediator Variable Distinction in Social Psychological Research: Conceptual, Strategic, and Statistical Considerations. J. Pers. Soc. Psychol. 1986, 51, 1173–1182. [Google Scholar] [CrossRef] [PubMed]
- Cheng, C.; Ren, X.; Dong, K.; Dong, X.; Wang, Z. How Does Technological Innovation Mitigate CO2 Emissions in OECD Countries? Heterogeneous Analysis Using Panel Quantile Regression. J. Environ. Manag. 2021, 280, 111818. [Google Scholar] [CrossRef] [PubMed]
- Hidalgo, C.A. Economic Complexity Theory and Applications. Nat. Rev. Phys. 2021, 3, 92–113. [Google Scholar] [CrossRef]
- Sun, H.; Edziah, B.K.; Kporsu, A.K.; Sarkodie, S.A.; Taghizadeh-Hesary, F. Energy Efficiency: The Role of Technological Innovation and Knowledge Spillover. Technol. Forecast. Soc. Chang. 2021, 167, 120659. [Google Scholar] [CrossRef]
- Zhang, D.; Rong, Z.; Ji, Q. Green Innovation and Firm Performance: Evidence from Listed Companies in China. Resour. Conserv. Recycl. 2019, 144, 48–55. [Google Scholar] [CrossRef]
- Dang, J.; Motohashi, K. Patent Statistics: A Good Indicator for Innovation in China? Patent Subsidy Program Impacts on Patent Quality. China Econ. Rev. 2015, 35, 137–155. [Google Scholar] [CrossRef]
- Jia, M.; Liu, Y.; Lieske, S.N.; Chen, T. Public Policy Change and Its Impact on Urban Expansion: An Evaluation of 265 Cities in China. Land Use Policy 2020, 97, 104754. [Google Scholar] [CrossRef]
- Xiong, N.; Wong, S.W.; Ren, Y.; Shen, L. Regional Disparity in Urbanizing China: Empirical Study of Unbalanced Development Phenomenon of Towns in Southwest China. J. Urban Plan. Dev. 2020, 146, 05020013. [Google Scholar] [CrossRef]
- Lu, Y.; Coops, N.C. Bright Lights, Big City: Causal Effects of Population and GDP on Urban Brightness. PLoS ONE 2018, 13, e0199545. [Google Scholar] [CrossRef]
- Liao, B.; Li, L. Spatial Division of Labor, Specialization of Green Technology Innovation Process and Urban Coordinated Green Development: Evidence from China. Sustain. Cities Soc. 2022, 80, 103778. [Google Scholar] [CrossRef]
- Marcus, M.; Sant’anna, P.H.C. The Role of Parallel Trends in Event Study Settings: An Application to Environmental Economics. J. Assoc. Environ. Resour. Econ. 2021, 8, 235–275. [Google Scholar] [CrossRef]
- Held, K.; Bader, B. The Influence of Images on Organizational Attractiveness: Comparing Chinese, Russian and US Companies in Germany. Int. J. Hum. Resour. Manag. 2018, 29, 510–548. [Google Scholar] [CrossRef]
- Harvey, W.S.; Groutsis, D. Reputation and Talent Mobility in the Asia Pacific. Asia Pacific J. Hum. Resour. 2015, 53, 22–40. [Google Scholar] [CrossRef]
- Verginer, L.; Riccaboni, M. Talent Goes to Global Cities: The World Network of Scientists’ Mobility. Res. Policy 2021, 50, 104127. [Google Scholar] [CrossRef] [PubMed]
- Beine, M.; Docquier, F.; Rapoport, H. Brain Drain and Human Capital Formation in Developing Countries: Winners and Losers. Econ. J. 2008, 118, 631–652. [Google Scholar] [CrossRef]
- Fujita, M.; Mori, T. Structural Stability and Evolution of Urban Systems. Reg. Sci. Urban Econ. 1997, 27, 399–442. [Google Scholar] [CrossRef]





| Symbol | Variable | Definition | Measurement Unit |
|---|---|---|---|
| Level of urban innovation | The composite index of authorized patents | none | |
| Human capital | The number of employed persons in each city | 10,000 people | |
| Industrial structure | The proportion of value-added for the secondary and tertiary industry in GDP | % | |
| The degree of city openness | The actual foreign direct investment | 10,000 dollars | |
| Investment in education | The education spending per capital provided by the government | yuan per person | |
| The income level | The average wage of employed persons | yuan | |
| Relative level of urban development | The grouping variable based on the GDP in each city | none |
| Symbol | (1) | (2) | (3) |
|---|---|---|---|
| Treatment group | Eastern region | Eastern region | Central region |
| Comparison group | Western region | Central region | Western region |
| 1198.78 *** | 251.95 ** | −29.09 | |
| (120.05) | (126.53) | (78.93) | |
| Constant | −3114.39 | 2861.85 ** | −1075.13 ** |
| (2946.27) | (1410.76) | (486.33) | |
| Control variables | Yes | Yes | Yes |
| Observations | 1717 | 1968 | 1689 |
| adj. R2 | 0.900 | 0.909 | 0.894 |
| Symbol | (1) Step 1 | (2) Step 2 | (3) Step 3 |
| Explained Variable | |||
| 11.70 *** | |||
| (2.79) | |||
| 170.94 | 1.80 | 149.85 | |
| (167.06) | (1.62) | (160.94) | |
| 348.53 ** | 2.20 | 322.82 * | |
| (171.16) | (1.59) | (164.31) | |
| 331.59 ** | 3.84 ** | 286.68 * | |
| (171.17) | (1.85) | (165.39) | |
| 404.93 ** | 4.51 * | 352.09 ** | |
| (165.92) | (2.56) | (160.50) | |
| 544.30 *** | 5.25 *** | 482.75 *** | |
| (166.93) | (1.69) | (161.79) | |
| 737.03 *** | 4.39 ** | 685.62 *** | |
| (174.97) | (1.76) | (169.01) | |
| 752.97 *** | 4.63 *** | 698.75 *** | |
| (180.27) | (1.72) | (173.25) | |
| 1293.27 *** | 6.76 *** | 1214.17 *** | |
| (190.10) | (2.01) | (187.09) | |
| 4222.17 *** | 31.33 *** | 3855.42 *** | |
| (322.98) | (5.54) | (321.92) | |
| Constant | −1428.69 | −10.19 | −1309.43 |
| (1354.13) | (23.07) | (1437.23) | |
| Control variables | Yes | Yes | Yes |
| Observations | 2687 | 2687 | 2687 |
| adj. R2 | 0.919 | 0.952 | 0.923 |
Disclaimer/Publisher’s Note: The statements, opinions and data contained in all publications are solely those of the individual author(s) and contributor(s) and not of MDPI and/or the editor(s). MDPI and/or the editor(s) disclaim responsibility for any injury to people or property resulting from any ideas, methods, instructions or products referred to in the content. |
© 2023 by the authors. Licensee MDPI, Basel, Switzerland. This article is an open access article distributed under the terms and conditions of the Creative Commons Attribution (CC BY) license (https://creativecommons.org/licenses/by/4.0/).
Share and Cite
Wang, R.; Cai, W.; Ren, H.; Ma, X. Heterogeneous Effects of the Talent Competition on Urban Innovation in China: Evidence from Prefecture-Level Cities. Land 2023, 12, 719. https://doi.org/10.3390/land12030719
Wang R, Cai W, Ren H, Ma X. Heterogeneous Effects of the Talent Competition on Urban Innovation in China: Evidence from Prefecture-Level Cities. Land. 2023; 12(3):719. https://doi.org/10.3390/land12030719
Chicago/Turabian StyleWang, Runyuan, Weiguang Cai, Hong Ren, and Xianrui Ma. 2023. "Heterogeneous Effects of the Talent Competition on Urban Innovation in China: Evidence from Prefecture-Level Cities" Land 12, no. 3: 719. https://doi.org/10.3390/land12030719
APA StyleWang, R., Cai, W., Ren, H., & Ma, X. (2023). Heterogeneous Effects of the Talent Competition on Urban Innovation in China: Evidence from Prefecture-Level Cities. Land, 12(3), 719. https://doi.org/10.3390/land12030719
