Correction: Kusiima et al. Interconnectedness of Ecosystem Services Potential with Land Use/Land Cover Change Dynamics in Western Uganda. Land 2022, 11, 2056
Text Correction
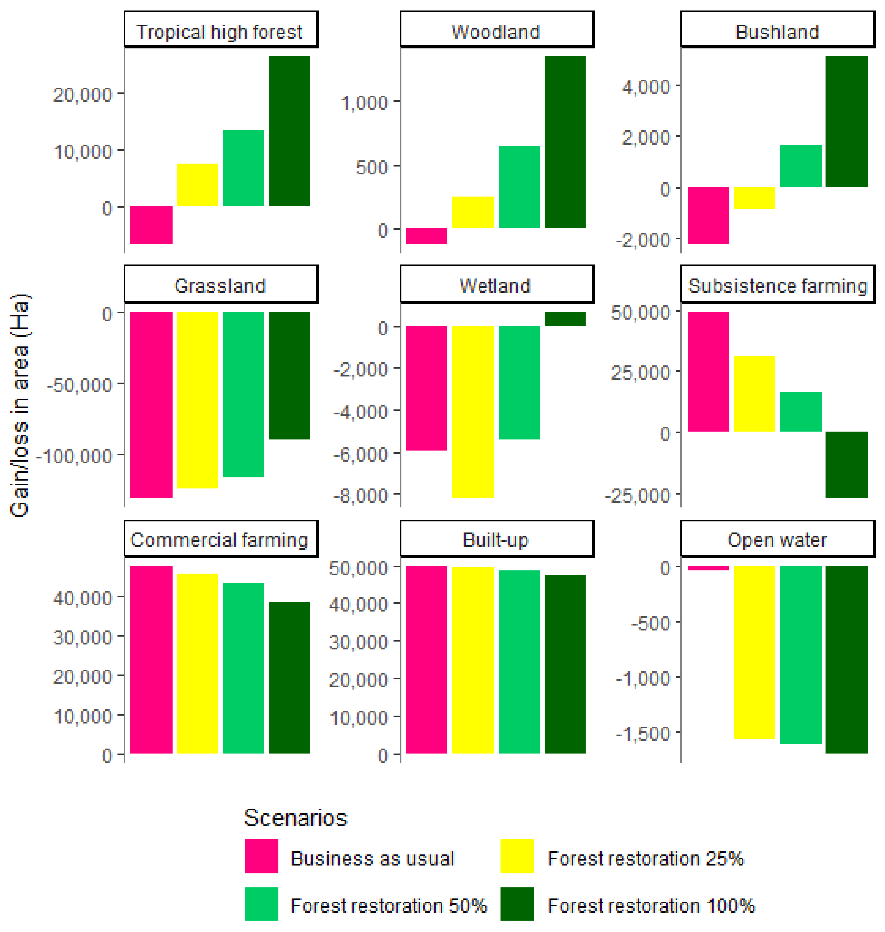
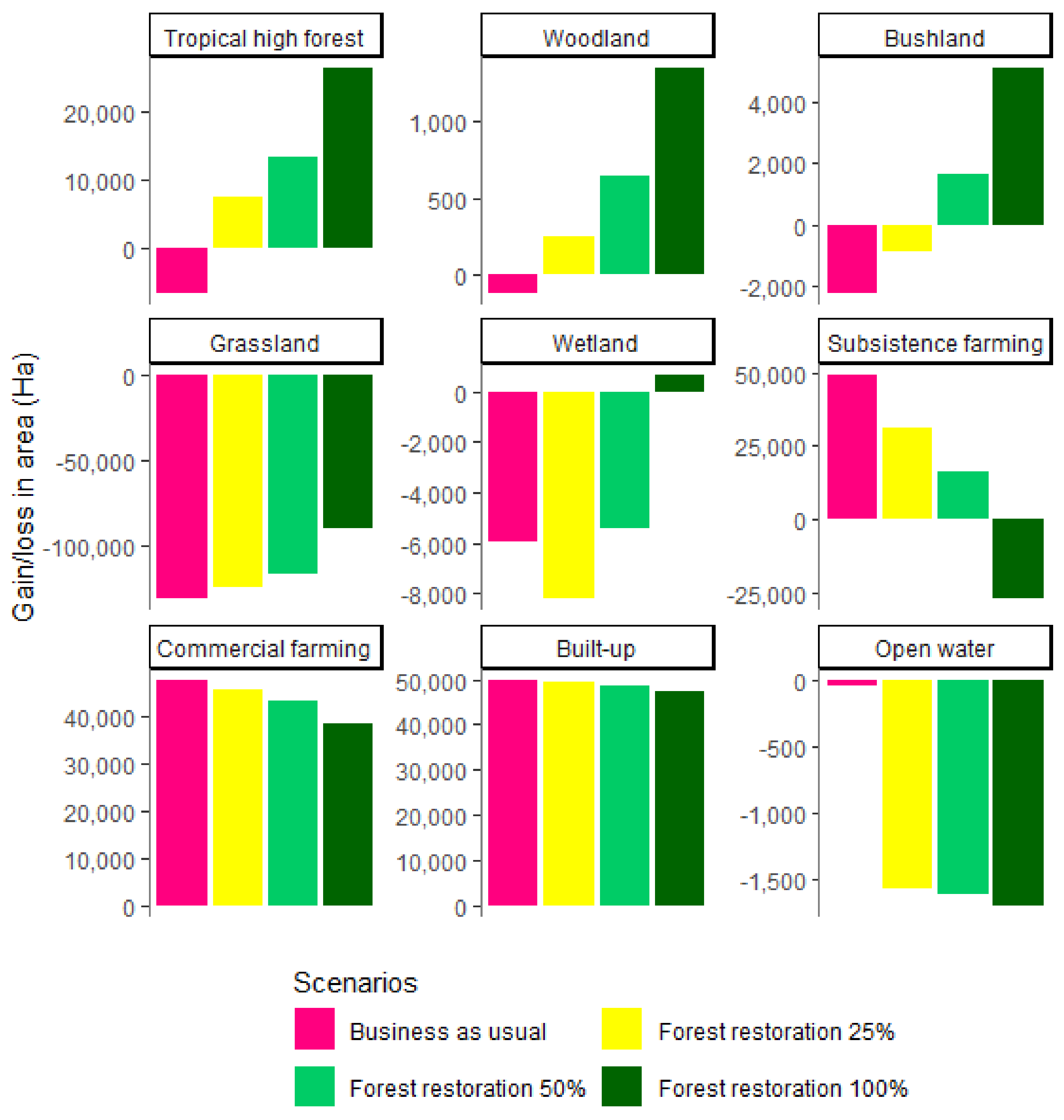
Error in Figure
Reference
- Kusiima, S.K.; Egeru, A.; Namaalwa, J.; Byakagaba, P.; Mfitumukiza, D.; Mukwaya, P.; Mensah, S.; Asiimwe, R. Interconnectedness of Ecosystem Services Potential with Land Use/Land Cover Change Dynamics in Western Uganda. Land 2022, 11, 2056. [Google Scholar] [CrossRef]


| Disclaimer/Publisher’s Note: The statements, opinions and data contained in all publications are solely those of the individual author(s) and contributor(s) and not of MDPI and/or the editor(s). MDPI and/or the editor(s) disclaim responsibility for any injury to people or property resulting from any ideas, methods, instructions or products referred to in the content. | 
© 2023 by the authors. Licensee MDPI, Basel, Switzerland. This article is an open access article distributed under the terms and conditions of the Creative Commons Attribution (CC BY) license (https://creativecommons.org/licenses/by/4.0/).
Share and Cite
Kusiima, S.K.; Egeru, A.; Namaalwa, J.; Byakagaba, P.; Mfitumukiza, D.; Mukwaya, P.; Mensah, S.; Asiimwe, R. Correction: Kusiima et al. Interconnectedness of Ecosystem Services Potential with Land Use/Land Cover Change Dynamics in Western Uganda. Land 2022, 11, 2056. Land 2023, 12, 475. https://doi.org/10.3390/land12020475
Kusiima SK, Egeru A, Namaalwa J, Byakagaba P, Mfitumukiza D, Mukwaya P, Mensah S, Asiimwe R. Correction: Kusiima et al. Interconnectedness of Ecosystem Services Potential with Land Use/Land Cover Change Dynamics in Western Uganda. Land 2022, 11, 2056. Land. 2023; 12(2):475. https://doi.org/10.3390/land12020475
Chicago/Turabian StyleKusiima, Samuel Kaheesi, Anthony Egeru, Justine Namaalwa, Patrick Byakagaba, David Mfitumukiza, Paul Mukwaya, Sylvanus Mensah, and Robert Asiimwe. 2023. "Correction: Kusiima et al. Interconnectedness of Ecosystem Services Potential with Land Use/Land Cover Change Dynamics in Western Uganda. Land 2022, 11, 2056" Land 12, no. 2: 475. https://doi.org/10.3390/land12020475
APA StyleKusiima, S. K., Egeru, A., Namaalwa, J., Byakagaba, P., Mfitumukiza, D., Mukwaya, P., Mensah, S., & Asiimwe, R. (2023). Correction: Kusiima et al. Interconnectedness of Ecosystem Services Potential with Land Use/Land Cover Change Dynamics in Western Uganda. Land 2022, 11, 2056. Land, 12(2), 475. https://doi.org/10.3390/land12020475
 
        

