Abstract
Taking Yuxi City, a typical mountain-flatland in the southwestern karst mountainous area, as an example, we used six remote sensing images from 1995 to 2018 as the main data sources, and the grid scale was used to calculate the landscape pattern index in order to analyze the temporal-spatial evolution characteristics of the landscape pattern. The results are shown as follows: (1) At the class level, most landscape indices and fragmentation degrees of landscape units in the flatland area are significantly higher than those in the mountainous area. The layout of construction land and cultivated land is also more concentrated than that in the mountainous area, but the central tendency of forest and grass in the mountainous area is more eye-catching. (2) At the landscape level, although the landscape diversity index and landscape shape index of both the mountainous areas and the flatland areas decrease in the low-value area and increase in the high-value area, the proportion of high-value areas in the flatland area is noticeably greater. The proportion of the high-value areas of the largest patch index in the mountainous area is significantly greater, and in the flatland area, the low-value area continues to expand while the middle and high value areas continue to shrink. (3) The landscape shape of the flatland area is becoming more complex, and the landscape units in the mountainous area tend to be single. The natural landscape of forest and grass in the mountainous area continues to expand and tends to be contiguous, while the man-made landscape in the flatland area continually increases and shows fragmentation, reflecting the pattern characteristics formed by the coupling evolution of land use between two regions. The urban expansion and the increase in the construction land in the flatland area are mutually causal with the decrease in cultivated land and the increase in forest and grass in the mountainous area.
1. Introduction
Due to the imbalance between social and economic development and the natural ecological process [], as well as the instability, sensitivity and complexity of the natural system of the mountainous area itself, the mountainous area has become the most intense region of global environmental change and ecological degradation in recent years [], and the conflicts between human and land have become more prominent and complex. In the southwest of China, the terrain is fragmented and sensitive, and the generalized mountain landscape is an important and unique natural—human geography unit composed of “mountain” and “flatland” as the core elements [,], which is an important content of the scientific research of human—land systems in mountainous areas. To fully guarantee the ecological security and sustainable development of mountainous areas, it is necessary to take land resources as the main constraint condition [], coordinate the linkage relationship between “mountain” and “flatland” in the whole region, and study the changes and correlation of “mountain” and “flatland” elements in mountainous landscapes, in order to provide more scientific and accurate strategies for rural revitalization, mountain development, spatial governance, as well as the maintenance and improvement of ecosystem services.
A landscape pattern mainly refers to the shape, proportion and spatial configuration of the elements that constitute landscape units []. It is not only the comprehensive expression of landscape heterogeneity in space [,], but also the result of various ecological processes driven by natural and social factors at different scales [,]. Landscape pattern change is the change in the landscape’s spatial structure on the basis of the changes in various landscape elements, which are closely related to climate change, land use/land cover change and change in biodiversity [,]. Understanding the evolutionary characteristics of the landscape pattern is the premise and basis for landscape pattern analysis. The evolution of landscape pattern is a comprehensive reflection of the interaction and influence of natural elements and human factors in a certain region, as well as the different external characteristics and spatial combinations of various factors, which constantly affect the ecological process and marginal effect []. Exploring the evolution process of a landscape pattern is helpful for grasping the evolutionary characteristics and rules of the regional landscape, and to provide basic data for the assessment of the sensitivity, vulnerability and ecological risk of ecological degradation [], which is the basis and important support for decision-makers to formulate reasonable and scientific urban planning []. At present, the analysis methods of landscape pattern evolution mainly include spatial statistical analysis, landscape index analysis and pattern dynamic model simulation [,]. From the perspective of landscape ecology, landscape index analysis regards the study area as a whole and reveals the changes in the landscape’s spatial pattern characteristics in time series through various landscape indices []. Landscape indices include a patch level index, a patch type level index and a landscape level index. As a scale of landscape pattern characteristics, the landscape index has been widely used to analyze regional landscape patterns and dynamic evolution [,], including urban [], rural [], urban fringe areas [] and economically developed areas []. However, the landscape pattern evolution of two different geographical units of “mountain” and “flatland” in the generalized mountain landscape is rarely involved. There are great differences between the physical geographical conditions and human and social activities in the mountainous area and flatland area. What are the evolutionary differences in the landscape pattern on the spatial and temporal scale? Is there a certain correlation between the evolution of the two on the space—time scale? All these need to be explained by landscape pattern analysis.
In addition, the scaling effect of a landscape pattern is also a major feature of landscape pattern analysis []. The results of landscape pattern evolution at different scales often vary vigorously, and the landscape index will change with the scale and have a scale effect at a finer scale []. Landscape pattern characteristics at different spatial scales are often different, and at the same spatial scale, a landscape pattern at different time scales will also be different []. The dynamic landscape characteristics of urban and rural construction land show great differences in scale [], and the landscape pattern of cultivated land in the middle reaches of the Yangtze River has great differences in quantity, area, aggregation degree and diversity at different scales []. Therefore, the small-scale and refined studies on land use dynamic change and landscape pattern evolution at and below the county level have attracted ever increasing attention [,]. Some scholars have used the grid scale to carry out their research, and obtained more refined results compared with the scale of watershed and administrative regions [,].
In addition to the low level intermountain basins, valleys and depressions, “flatlands” in this study also include lacustrine plains which occupy a certain area in central Yunnan []. Yuxi City, with typical mountain—flatland landform features [], is located in the mountainous area of southwest China. The flatland area is flat, suitable for farming and construction, and is an important carrier of human economic activities, while the natural conditions in the mountainous area are complex and difficult to use [,,]. Due to the geographical connectivity of “mountains” and “flatlands”, the intercrossing of human activities in different time and space has brought about the differences in the evolution of the landscape pattern on the spatial and temporal scale. Therefore, based on the grid scale and with the help of a landscape pattern index, this paper analyzes the temporal—spatial variation in mountain—flatland landscape patterns in Yuxi City, and discusses the correlation between mountains and flatlands in the evolution process of landscape patterns, so as to provide certain references for regional coordinated and sustainable development.
2. Materials and Methods
2.1. Study Area
Yuxi City is in the center of Yunnan Province on the southwest border of China, between latitude 23°19′~24°53′ north and longitude 101°16′~103°09′ east (Figure 1a). It is a prefecture-level city under the jurisdiction of Yunnan Province, bordering the provincial capital Kunming City in the north, Honghe Prefecture in the southeast, Pu’er City in the southwest and Chuxiong Prefecture in the northwest (Figure 1b). The terrain is high in the northwest and low in the southeast, with staggered distribution of mountains, canyons, plateaus, and basins. The west is mainly a deep-cut alpine valley landform. The central and eastern regions belong to the mountains of central Yunnan Province, which is dominated by a middle mountain; the terrain of most areas is undulating in the shape of waves, and there are many intermountain basins of different sizes scattered among the mountains. The eastern region is mainly dominated by plateau lake-basin landforms, with three plateau faulted lakes, Fuxian Lake, Xingyun Lake and Qilu Lake. Around three lakes, Chengjiang, Jiangchuan and Tonghai, lacustrine basins are formed, with flat and open terrain in the basins.

Figure 1.
Overview of study area. (a) the location of Yuxi City in China; (b) the elevation of Yuxi City; (c) the landscape grid of mountainous areas and flatland areas.
Yuxi City is located in the low-latitude Yunnan Plateau, with long hours of sunshine and abundant heat. It belongs to the subtropical plateau monsoon climate. Due to the great difference in elevation of the terrain, the three-dimensional climate is clear. Under the comprehensive influence of the Indian Ocean and the Gulf of Tonkin, the climate in most areas is mild, with distinct dry and wet seasons, no severe cold in winter and no severe heat in summer. The annual average temperature is 15.4–24.2 °C, and the annual precipitation is 787.8–1000 mm, which mostly occurs from June to October, with heavy rain mainly from June to August. Due to the complex terrain and the great elevation difference, the rainfall is heavier, and the temperature is lower in the mountainous area than in the flatland area. From the top of the mountain to the bottom of the valley, the temperature difference is significant throughout the year and between day and night.
2.2. Data Source and Processing
In this study, six Landsat satellite remote sensing images in 1995, 2000, 2005, 2010, 2015 and 2018 were downloaded from the geospatial Data Cloud website (www.gscloud.cn, accessed on 10 June 2019), mainly including Landsat 5 TM images, Landsat 7 ETM+ images and Landsat 8 OLI images. The selection of remote sensing images was based on the premise of little cloud and good quality. Winter and spring were selected as the image months, and the imaging times of the remote sensing images were all in January, February, and March of each year. The cloud content (CC) of all images was less than 10%, and the cloud content of most images was less than 1%. Based on the ArcGIS 10.8 software, the maximum likelihood classification method was used to classify landscape units. Referring to the standard of “Classification of Land Use Status” and combining with the research needs of landscape patterns in Yuxi City, the landscape units were divided into five types: cultivated land, forest and grass, construction land, water area and unused land (Figure 2). Kappa coefficients are all above 80%, and the accuracy meets the research requirements.

Figure 2.
Interpretation of landscape types in Yuxi City from 1995 to 2018. (a) 1995; (b) 2000; (c) 2005; (d) 2010; (e) 2015; (f) 2018.
Based on the terrain characteristics, area size and elevation of Yuxi City, 500 m × 500 m, 1.5 km × 1.5 km and 3 km × 3 km grids were constructed as preselected evaluation units. With the help of analysis tools such as ArcGIS 10.8 software Create Fishnet, Dissolve, Clip and Merge, a total of 7570 grids with a size of 1.5 km × 1.5 km were finally determined. Therefore, the equal space system sampling method was used to divide the study area into 1.5 km × 1.5 km landscape plots, which were used as the basic unit for the study of landscape pattern evolution. There were 1775 landscape plots in the flatland area and 5795 landscape plots in the mountainous area (Figure 1c). The raster maps of land use in mountainous areas and flatland areas from 1995 to 2018 were cropped to obtain the raster data of landscape units over the years at the grid scale for the subsequent calculation of the landscape index. Based on the data of landscape units in each grid, the landscape index of each grid was calculated by Fragstats 4.2 software (Oregon, USA).
2.3. Index Calculation
By referring to the relevant literature [] and combining with the unique characteristics of the mountain–flatland, landscape indices were selected respectively from the class level and landscape level to characterize and analyze the landscape pattern of Yuxi City. Plaque Density (PD), Edge Density (ED), Largest Plaque Index (LPI), and Mean Plaque Area (Area_MN) were selected at the class level. At the landscape level, Landscape Shape Index (LSI), Largest Patch Index (LPI) and Shannon Diversity Index (SHDI) were selected. The calculation formula and ecological significance of each landscape index are shown in the reference [,].
The Fragstats 4.2 software was used to calculate the landscape pattern index at the class level first, and excel software was used for statistics and mapping analysis. The landscape indices of each landscape plots in the mountainous area and the flatland area in six periods was then calculated by using the processed raster data of landscape units over the past years, and the spatial distribution maps of landscape indices were obtained. Finally, this study divides each landscape index into five levels according to the natural breakpoint method, which are represented by I, II, III, IV and V, respectively.
3. Measurement and Comparison of Landscape Pattern Change at Class Level
3.1. Variation Characteristics of Landscape Pattern at Class Level in Mountainous Areas
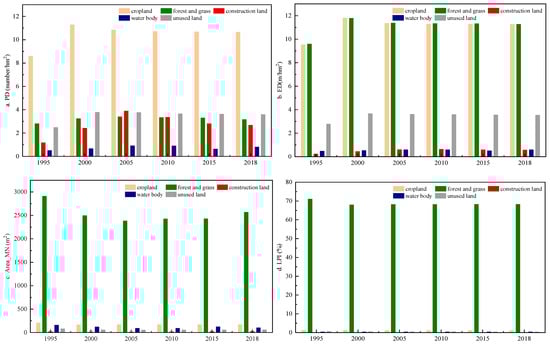
During the study period, at class level, the variation in the landscape index in the mountainous area was significantly different (Figure 3). The PD and ED of cultivated land increased first and then decreased at the turning point of 2000, and the trend of the Area_MN was in an “S” shape, while the LPI continued to decline. The PD and ED of forest and grass, water area and construction land increased first and then decreased, while the Area_MN first decreased and then increased. The patches number and density of forest and grass decreased and the Area_MN of construction land changed only slightly. The ED of cultivated land, forest and grass was higher than that of the water area, construction land and unused land. The LPI and the Area_MN of forest and grass were the largest, which had a great influence on other landscape types.

Figure 3.
Landscape index at class level in mountainous areas of Yuxi City from 1995 to 2018. (a) Patch Density (PD); (b) Edge Density (ED); (c) Mean plaque Area (Area_MN); (d) Largest Patch Index (LPI).
3.2. Variation Characteristics of Landscape Pattern at Class Level in Flatland Areas
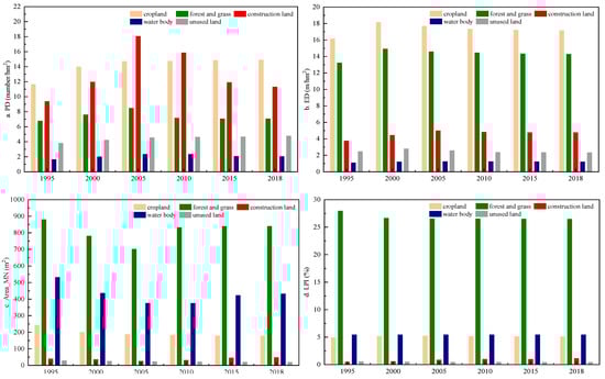
During the study period, the PD of cultivated land in the flatland area increased continuously, the Area_MN decreased significantly, and the ED first increased and then continued to decrease, but it always ranked in first place among all regions, while the LPI continued to decline (Figure 4). As the first dominant type, forest and grass, the Area_MN first decreased and then increased, the PD and ED first increased and then decreased, and the LPI continued to decrease, indicating that the dominant position of large patches in the landscape gradually decreased. The PD and ED of the water area first increased and then decreased, and the degree of fragmentation gradually increased; the LPI changed little during the study period, but the Area_MN showed a downward trend. The Area_MN of construction land reached its lowest level in 2005, and then continued to rise with significant changes, while the LPI also increased significantly. However, the PD and ED first increased and then decreased with 2005 as the turning point, suggesting that the distribution of construction land was relatively scattered before 2005, but that after 2005, the construction land patches gradually concentrated with contiguous distribution.

Figure 4.
Landscape index at class level in flatland areas of Yuxi City from 1995 to 2018. (a) Patch Density (PD); (b) Edge Density (ED); (c) Mean plaque Area (Area_MN); (d) Largest Patch Index (LPI).
Combined with the implementation time of regional land management policies, the changes in the landscape indices of cultivated land and forest and grass in mountainous and flatland areas were mainly affected by the policy of returning cultivated land to forest and grass during the study period. The overall fragmentation degree of construction land and forest and grass in the flatland area is clearly higher than that in the mountainous area, and the layout of the construction land is more concentrated. This is mainly because the social and economic development level of the flatland area has improved rapidly since 2005, and the urban land has expanded significantly. However, due to the migration of populations to the flatland area and for other reasons, the farmland in the mountainous area was abandoned, while the forest and grass became more concentrated and contiguous.
4. Measurement and Comparison of Landscape Pattern Change at Landscape Level
4.1. Variation Characteristics of Landscape Pattern at Landscape Level in Mountainous Areas
4.1.1. Landscape Diversity
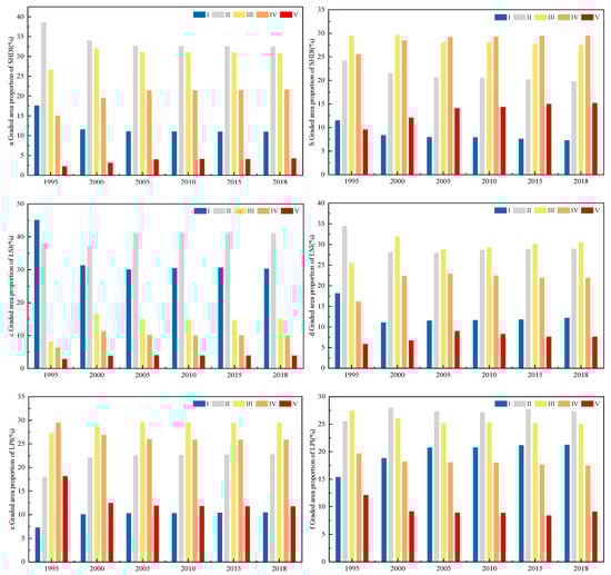
During the study period, the landscape diversity in the mountainous area showed obvious phased characteristics, and the change during the period 1995–2005 was significantly higher than that during the years 2005–2018. The proportion of the SHDI was the highest in class II and III, the proportion of the low value area decreased, while the proportion of the high value area increased (Figure 5a). The area where the SHDI increased was greater than the area where the SHDI decreased in each period. From 1995 to 2018, the area where the index increased accounted for 26.74% of the total, while the index reduction areas accounted for 5.48%, indicating that the landscape diversity showed an increasing trend year by year. The high value area of the landscape diversity index mainly concentrated in the relatively low flat areas of the east and the north, where the main landscape units are cultivated land, forest and grass, while the low value area is mainly located in the central and northwest Ailao mountain area, where the main landscape unit is forest and grass (Figure 6).

Figure 5.
Graded area proportion of landscape index. (a) graded area proportion of SHDI in mountainous areas; (b) graded area proportion of SHDI in flatland areas; (c) graded area proportion of LSI in mountainous areas; (d) graded area proportion of LSI in flatland areas; (e) graded area proportion of LPI in mountainous areas; (f) graded area proportion of LPI in flatland areas.

Figure 6.
Spatial distribution of SHDI in mountainous areas of Yuxi City from 1995 to 2018. (a) 1995; (b) 2000; (c) 2005; (d) 2010; (e) 2015; (f) 2018.
4.1.2. Landscape Shape
Over the years, in the mountainous area, the LSI of grade I and II accounts for a relatively high proportion, and the combined proportion of the two is as high as over 70%, while the proportion of grade IV and V is about 14%, indicating that the landscape shape is relatively simple (Figure 5c). In terms of time change, the proportion of grade I showed a downward trend, while the proportion of other levels showed an upward trend. The area where the LSI increased accounted for 23.85% of the total, while the index reduction area accounted for 3.14%, indicating that from 1995 to 2018, the LSI continued to increase, and the landscape shape tended from simple to complex. However, from 2005 to 2010 and 2010 to 2015, the index increased area was smaller than the index decreased area, indicating that the landscape in these two periods was clearly contiguous, and the shape tended to be simple (Figure 7). During the study period, the areas with increased LSI were mainly distributed in the northern and southwestern regions, while the areas with decreased LSI were mainly concentrated in the eastern regions.

Figure 7.
Spatial distribution of LSI in mountainous areas of Yuxi City from 1995 to 2018. (a) 1995; (b) 2000; (c) 2005; (d) 2010; (e) 2015; (f) 2018.
4.1.3. Largest Patch
From 1995 to 2018, the LPI levels in mountainous areas were mainly II, III and IV, but the proportion of I, II and III level increased, while the proportion of IV and V level decreased (Figure 5e). In each period, the area of the LPI that increased was much less than the decreasing area; the area of the increased LPI accounted for 7%, and the area of the index decreased accounted for 24%. The high value area of the LPI and the change in the LPI mainly occurred in the northern, central and western regions, with large topographic relief and high altitude. The low value area of the LPI with little change was mainly distributed in the eastern region, mainly in the relatively low and flat terrain area (Figure 8). From 1995 to 2018, the LPI decreased significantly in the central and western regions, especially in the northern part of the country, mainly because the forest and grass cover in the northern Yimen County was cut by a large amount of arable land, which resulted in serious fragmentation and rapid decline of the LPI.

Figure 8.
Spatial distribution of LPI in mountainous areas of Yuxi City from 1995 to 2018. (a) 1995; (b) 2000; (c) 2005; (d) 2010; (e) 2015; (f) 2018.
4.2. Variation Characteristics of Landscape Pattern at Landscape Level in Flatland Areas
4.2.1. Landscape Diversity
From 1995 to 2018, the SHDI in the flatland area was mainly grade II, III and IV, accounting for 78%–80% of the total, while grade I and V were relatively small, with a total proportion between 20% and 22% over the years (Figure 5b). With the construction of roads and the expansion of residential areas, the concentrated contiguity of cultivated land was divided, and the SHDI clearly increased, with the low value area decreasing and the middle and high value areas increasing. The proportion of landscape diversity level I decreased from 11.46% to 7.25%, the proportion of grade II decreased from 24.14% to 19.72%, and the proportion of grade III decreased from 29.36% to 27.46%. It can be seen that although the landscape diversity is on a downward trend, the decline rate becomes ever smaller from grade I to III, indicating that the decrease is mainly caused by the decrease in the low value area. The proportion of class IV increased from 25.52% to 29.50%, and the proportion of class V increased from 9.52% to 15.17%, with the highest increase rate of class V. In the study period, the periodic changes were obvious, and the changes in the periods 1995–2000 and 2000–2005 were significantly higher than those in the other three periods (Figure 9). In the first four periods, the area with increased SHDI was smaller than that with decreased SHDI. However, a reversal occurred from 2015 to 2018; that is, the area with decreased SHDI was larger than that with increased SHDI, indicating that the landscape complexity began to decline at this stage and the complexity degree decreased.

Figure 9.
Spatial distribution of SHDI in flatland areas of Yuxi City from 1995 to 2018. (a) 1995; (b) 2000; (c) 2005; (d) 2010; (e) 2015; (f) 2018.
4.2.2. Landscape Shape
The LSI of the flatland area is mainly graded as II, III and IV. The proportion of grade I and II showed a downward trend, and the phased changes were first decreasing and then increasing (Figure 5d). The proportion of class III, IV and V showed an overall upward trend, and the phased changes were first increasing and then decreasing. Taking 2000 or 2005 as the boundary, the proportion of class I decreased rapidly from 1995 to 2000 and then increased and the proportion of class II decreased continuously in the period 1995–2005, then increased, while the proportion of class IV and V both peaked in 2005 and subsequently decreased. During the study period, the phased changes were clear, and the first two periods were completely the opposite to the last three periods. During the periods 1995–2000 and 2000–2005, the area of the LSI that increased was larger than that of the decreased. However, during the periods 2005–2010, 2010–2015 and 2015–2018, the area of the LSI that decreased was greater than that of the increased (Figure 10).

Figure 10.
Spatial distribution of LSI in flatland areas of Yuxi City from 1995 to 2018. (a) 1995; (b) 2000; (c) 2005; (d) 2010; (e) 2015; (f) 2018.
4.2.3. Largest Patch
From 1995 to 2018, the proportion of class I increased from 15.36% to 21.21%, and class II increased from 25.46% to 27.33%, indicating that the low value area of the LPI in the flatland area continued to expand (Figure 5f). However, the proportion of class III decreased from 27.45% to 25.01%, class IV decreased from 19.64% to 17.46%, and class V decreased from 12.09% to 9.06%. This indicated that the medium and high value area continued to shrink and that the landscape fragmentation degree clearly increased. During the study period, the overall change in the LPI decreased, mainly during the periods 1995–2000 and 2000–2005 (Figure 11). During the period 1995–2000, the area of the LPI that decreased was 45,946.49 hm2, which was 4.01 times that of the index increased. From 2000 to 2005, the area of the LPI that decreased reached 41,649.45 hm2, which was 1.51 times the increased area. In the first four time periods, the index decreased areas were greater than the increasing areas, but the index increased area was greater than the decreasing area in the period 2015–2018.

Figure 11.
Spatial distribution of LPI in flatland areas of Yuxi City from 1995 to 2018. (a) 1995; (b) 2000; (c) 2005; (d) 2010; (e) 2015; (f) 2018.
5. Discussion
This study showed that the spatial and temporal trends in landscape pattern evolution in mountainous areas and flatland areas were the same: both showed an increased fragmentation degree and decreased connectivity degree, but there were also clear differences between them. At the class level, the fragmentation degree of construction land in the flatland area was significantly higher than that in the mountainous area, but its patch area was larger and the layout was more concentrated than that in the mountainous area, while the construction land in the mountainous area was more dispersed, mainly because the human activity intensity in the flatland area was significantly higher than that in the mountainous area due to the superiority of natural and socio-economic conditions []. Similar to the construction land, the landscape index of cultivated land in the flatland area was higher, but the Area_MN continued to decline, showing clear fragmentation but also a concentrated layout, mainly because the flatland area had flat terrain and sufficient hydrothermal conditions, which were conducive to cultivation []. Over time, however, human interference in the cultivated land has intensified []. The PD and ED of forest and grass in the flatland area were significantly higher but the Area_MN and LPI were significantly lower than those in the mountainous area, in fact only about a third of those in the mountainous area. Combined with the implementation time of regional land management policies, mainly affected by the policy of returning cultivated land to forest and grass during the study period, the degree of fragmentation of forest and grass in the flatland area was significantly higher than that in the mountainous area, while the forest and grass in the mountainous area showed an obvious trend of concentration and contiguity. At the landscape level, landscape diversity in the flatland area was significantly higher than that in the mountainous area. In the relatively low-lying area for urban construction, the urban construction and development interspersed the urban patches with the patches of cultivated land, forest and grass, with the consequence that the SHDI continued to rise, and the landscape fragmentation degree also continued to increase. The landscape shape in the mountainous area was simpler than that in the flatland area. Due to the implementation effect of the policy of returning farmland to forest and the rapid improvement of the level of social and economic development, the LPI in the flatland area continued to increase, and the landscape units in the mountainous area dominated by forest and grass tended to be more concentrated and contiguous [].
Topography plays a key role in the formation of landscape patterns, determining the basic landscape pattern [], and the differentiated development of the social economy will further affect the change in the landscape pattern. With the increase in topographic relief, the man-made landscape gradually gives way to the natural landscape. In terms of influencing landscape unit distribution, human factors usually dominate in flatland areas, while natural factors usually dominate in mountainous areas. The mountainous area is high in elevation and slope, and the topography is undulating, with the consequence that the accessibility is worse than in the flatland area. At the same time, it can be difficult to meet the demand for high-quality land brought by population growth and the pursuit of a prosperous life, which makes most of the population migrate to the flatland area [], bringing about the transformation of cultivated land landscapes to forest and grass landscapes. It has been found that the landscape pattern of mountainous areas in southwest China is affected by the landforms of high mountains and river valleys, mainly forest and grass [], while high-quality arable land mainly continues to be distributed in basins, trough valleys and low mountain valleys []. Before 2000, with the increase in population, in order to meet the needs of survival, the mountainous area was blindly reclaimed and the forest was destroyed [], while the landscape diversity was higher than that of the flatland area []. After 2000, due to road construction and settlement expansion, concentrated and contiguous cultivated land was divided, and the landscape diversity of the flatland area increased significantly. However, due to ecological restoration or vegetation degradation, the landscape types in mountainous areas gradually became single, and the landscape diversity declined [].
The comparison and analysis of landscape spatial patterns between mountainous areas and flatland areas based on a grid method and further microscopization and refinement from the scale [] are of great importance for clarifying the difference in landscape patterns between mountainous areas and flatland areas on the micro scale. The difference in the spatial and temporal evolution of landscape patterns in the mountainous area and flatland area leads to the consideration of coordinated and sustainable development of mountains and flatlands. Appropriate human intervention appears to help enhance the diversity of the landscape, while inappropriate human intervention will exacerbate the problem of landscape fragmentation [,,]. It is the differentiated characteristics of the social and economic development that form the differentiation in landscape pattern evolution between mountainous areas and flatland areas. The level of “landscape diversity” is inversely correlated with that of “biological diversity”. Broken “landscape diversity” is not conducive to “biological diversity” [], because the contact surface between the landscape system and the environment is large, and the “hinterland” is not deep, which is not conducive to the recovery of some species in the “biological chain”. The decline in the landscape diversity in mountainous areas is the result of the connectivity of forest and grass. The enhancement in the connectivity of forest and grass in the mountainous area further enriches biodiversity and is conducive to the restoration of the ecosystem (animal habitat and reproduction) []. The landscape diversity of the flatland area is a response to the development of the society and economy. The expansion of urban construction land is conducive to population agglomeration and job creation []. The development of the transportation industry, although it has brought about an increase in landscape fragmentation, has facilitated the circulation of people and materials []. The in-depth intersection of arable land patches and urban construction land patches further expands the rural and urban interface, making it more conducive to the connection between the sales and consumption chains of agricultural products. All in all, the mountainous area provides an ecological barrier to the social and economic development of the flatland area. While the social and economic development level of the flatland area is constantly improved, it feeds the mountainous area and provides the economic foundation for the further optimization of the mountainous area and the construction of an ecological environment.
6. Conclusions
Despite the uncertainties in the interpretation accuracy of the landscape units, as well as the small extent of the study area used, some meaningful conclusions can be drawn from this research. Preliminary results show that the analysis of mountain–flatland landscape pattern evolution based on the grid scale can effectively reveal the variation difference and coupling law.
In the past 24 years, the landscape pattern of the mountainous area and the flatland area in Yuxi City has shown periodic changes, and the trend of its evolution is consistent with the laws of human social and economic development. With the further development of the social economy, the landscape fragmentation and landscape diversity in the flatland area are clearly higher than those in the mountainous area, and the degree of landscape fragmentation is further intensified, while the landscape shape in the mountainous area is simpler than that in the flatland area, and the trend in landscape concentration and contiguity is obvious. The natural landscape of forest and grass in mountainous areas continues to expand and tends to be contiguous, while the man-made landscape in flatland areas constantly increases and shows fragmentation, which reflects the pattern characteristics formed by the coupling evolution of land use between the mountain and flatland. There is a coupling linkage relationship between the landscape pattern evolution of the mountainous area and the flatland area. The urban expansion and the increase in construction land in the flatland area are mutually causal with the decrease in cultivated land and the increase in forest and grass in the mountainous area.
In future studies, we can further improve the interpretation accuracy of the landscape units and carry out further studies by taking the whole southwest mountainous area as the research area, in order to find the general coupling laws of landscape pattern evolution between mountainous areas and flatland areas. The rationality and universality of the law will be verified by statistical inspection and analysis, based on which the coordinated and sustainable development countermeasures of mountainous areas and flatland areas in the southwest karst region will be formulated.
Author Contributions
Conceptualization, L.W. and B.X.; methodology, L.W.; software, L.W.; validation, L.W. and J.Z.; formal analysis, L.W.; investigation, J.Z.; resources, J.Z.; data curation, L.W.; writing—original draft preparation, L.W.; writing—review and editing, B.X.; visualization, J.Z.; supervision, B.X.; project administration, L.W.; funding acquisition, L.W. and J.Z. All authors have read and agreed to the published version of the manuscript.
Funding
This research was funded by the National Natural Science Foundation of China, grant number 42161041, Science and Technology planning Project of Yunnan Province, grant number 202305AC160089, and the Youth Project of Science and Technology Agency in Yunnan Province, grant number 202101BA070001-275, as well as the General Project of Science and Technology Agency in Yunnan Province, grant number 202101BA070001-078.
Data Availability Statement
Not applicable.
Conflicts of Interest
The authors declare no conflict of interest.
References
- Liu, M.; Bai, X.Y.; Tan, Q.; Luo, G.J.; Zhao, C.W.; Wu, L.H.; Luo, X.L. Climate change enhances the positive contribution of human activities to vegetation restoration in China. Geocarto Int. 2022, 2022, 2082542. [Google Scholar] [CrossRef]
- Jing, B.; Li, T.S.; Zhu, Y.P.; Cheng, W.H. Research progress of human-earth system in the mountainous areas in China. World Reg. Stud. 2021, 30, 1230–1240. [Google Scholar]
- Wu, L.; Zhou, J.; Xie, B.G.; Yang, S.Z.; Li, J.Z. Spatiotemporal differences of land use pattern between mountainous areas and basin areas at township scale: A case study of Yuxi City. Front. Environ. Sci. 2022, 10, 1029917. [Google Scholar] [CrossRef]
- Wu, L.; Xie, B.G.; Xiao, X.; Xue, B.; Li, J.Z. Classification method and determination of mountainous area types at township scales: A case study of Yuxi City, Yunnan Province. Complexity 2020, 2020, 3484568. [Google Scholar] [CrossRef]
- Song, F.J.; Wang, S.J.; Bai, X.Y.; Wu, L.H. A new indicator for global food security assessment: Harvested area rather than cropland area. Chin. Geogr. Sci. 2022, 32, 204–217. [Google Scholar] [CrossRef]
- Liu, X.H.; An, Y.; Dong, G.H.; Jiang, M. Land use and landscape pattern changes in the Sanjiang Plain, Northeast China. Forests 2018, 9, 637. [Google Scholar] [CrossRef]
- Fu, B.J.; Chen, L.D.; Wang, J.; Meng, Q.H.; Zhao, W.W. Land use Structure and Ecological Processes. Quat. Sci. 2003, 23, 247–255. [Google Scholar]
- Yang, H.F.; Zhong, X.N.; Deng, S.Q.; Nie, S.N. Impact of LUCC on landscape pattern in the Yangtze River Basin during 2001-2019. Ecol. Inform. 2022, 69, 101631. [Google Scholar] [CrossRef]
- Chen, F.; Bai, X.Y.; Liu, F.; Luo, G.J.; Tian, Y.C.; Qin, L.Y.; Li, Y. Analysis long-term and spatial changes of forest cover in typical karst areas of China. Land 2022, 11, 1349. [Google Scholar] [CrossRef]
- Zhao, Y.Y.; Kasimu, A.; Gao, P.W.; Liang, H.W. Spatiotemporal changes in the urban landscape pattern and driving forces of LUCC characteristics in the urban agglomeration on the Northern Slope of the Tianshan Mountains from 1995 to 2018. Land 2022, 11, 1745. [Google Scholar] [CrossRef]
- Xiao, B.Q.; Bai, X.Y.; Zhao, C.W.; Tan, Q.; Li, Y.B.; Luo, G.J. Responses of carbon and water use efficiencies to climate and land use changes in China’s karst areas. J. Hydrol. 2023, 2023, 128968. [Google Scholar] [CrossRef]
- Li, C.; Smith, P.; Bai, X.; Tan, Q.; Luo, G.; Li, Q.; Wang, J.; Wu, L.; Chen, F.; Deng, Y.; et al. Effects of carbonate minerals and exogenous acids on carbon flux from the chemical weathering of granite and basalt. Glob. Planet. Chang. 2023, 22, 104053. [Google Scholar] [CrossRef]
- Li, J.Y.; Zheng, X.Q.; Zhang, C.X.; Deng, X.Z.; Chen, Y.M. How to evaluate the dynamic relevance between landscape pattern and thermal environment on urban agglomeration? Ecol. Indic. 2022, 138, 108795. [Google Scholar] [CrossRef]
- Bai, X.Y.; Zhang, S.R.; Li, C.J.; Xiong, L. A carbon-neutrality-capacity index for evaluating carbon sink contributions. Environ. Sci. Ecotechnol. 2023, 2023, 100237. [Google Scholar] [CrossRef]
- Xue, B.; Zhao, B.Y.; Li, J.Z. Urban complexity studies from the perspective of geography: A review based on the literature in the past 20 years. Prog. Geogr. 2022, 41, 157–172. [Google Scholar] [CrossRef]
- Fu, B.J.; Chen, L.D.; Ma, K.M.; Wang, Y.L. Principles and Applications of Landscape Ecology; Science Press: Beijing, China, 2001. [Google Scholar]
- Zhou, K. Wetland landscape pattern evolution and prediction in the Yellow River Delta. Appl. Water Sci. 2022, 12, 190. [Google Scholar] [CrossRef]
- Tan, J.; Zhao, S.N.; Tan, X.L.; Dong, L.; Liu, J.R.; Ji, Q.Y. Change characteristics of land use and landscape pattern in Dongting Lake during 1996-2016. Ecol. Sci. 2017, 36, 89–97. [Google Scholar]
- Lausch, A.; Herzog, F. Applicability of landscape metrics for the monitoring of landscape change: Issues of scale, resolution and interpretability. Ecol. Indic. 2002, 2, 3–15. [Google Scholar] [CrossRef]
- Sun, Q.; Aliya, B.; Nurmemet, I. Effect of LUCC change on evolution of landscape pattern in Ebinur Wetland. Soils 2018, 50, 583–592. [Google Scholar]
- Mohamed, A.; Worku, A.H. Simulating urban land use and cover dynamics using cellular automata and Markov chain approach in Addis Ababa and the surrounding. Urban Clim. 2020, 31, 100545. [Google Scholar] [CrossRef]
- Su, K.C.; Yang, Q.Y.; Zhang, B.L.; Zhang, Z.X. The coupling mechanism between rural land use transition and small-scale peasant economy change in mountainous areas. Geogr. Res. 2019, 38, 399–413. [Google Scholar]
- Smiraglia, D.; Ceccarelli, T.; Bajocco, S.; Perini, L.; Salvati, L. Unraveling landscape complexity: Land use/land cover changes and landscape pattern dynamics (1954-2008) in contrasting peri-urban and agro-forest regions of Northern Italy. Environ. Manag. 2015, 56, 916–932. [Google Scholar] [CrossRef] [PubMed]
- Chen, S.L.; Yu, S.J. Analysis on land use change and its driving force in the Yangtze River Delta Region during 1985-2015. For. Econ. 2019, 41, 49–54. [Google Scholar]
- Wu, Q.; Tan, J.X.; Guo, F.X.; Li, H.Q.; Chen, S.B. Multi-scale relationship between land surface temperature and landscape pattern based on wavelet coherence: The case of metropolitan Beijing, China. Remote Sens. 2019, 11, 3021. [Google Scholar] [CrossRef]
- Wu, J.G. Paradigm shift in ecology: An overview. Acta Ecol. Sin. 1996, 16, 449. [Google Scholar]
- Zhao, Y.; Tomita, M.; Harada, I.; Hara, K. Multi-scale effect on landscape pattern analysis using satelite data with a range of spatial resolutions. J. Landsc. Ecol. 2011, 4, 62–72. [Google Scholar]
- Lei, Y.K.; He, D.; Tian, G.H.; Zhang, J.H. Spatial pattern differences between urban and rural construction land in multi-scales. Ecol. Environ. Sci. 2012, 21, 687–693. [Google Scholar]
- Guo, S.S.; Hu, S.G.; Qu, S.J. Multi-scale analysis of farmland landscape dynamic pattern in the middle reaches of the Yangtze River. Resour. Environ. Yangtze Basin 2018, 27, 1637–1646. [Google Scholar]
- Xie, H.L.; He, Y.F.; Xue, X. Exploring the factors influencing ecological land change for China’s Beijing-Tianjin-Hebei Region using big data. J. Clean. Prod. 2017, 142, 677–687. [Google Scholar] [CrossRef]
- Zhang, D.Y.; Su, F.L.; Wang, T.L.; Li, H.F.; Sun, D. Land use patterns and their changes of Shuangtai Estuarine Wetlands for 7 periods since 1985. Wetl. Sci. 2019, 17, 658–662. [Google Scholar]
- Yang, G.Z.; Lv, K.; Li, F. Spatial and temporal correlation analysis of land use change and ecosystem service value in Nanchang City based on grid scale. China Land Sci. 2022, 36, 121–130. [Google Scholar]
- Zhang, J.; Li, S.N.; Lin, N.F.; Lin, Y.; Yuan, S.F. Spatial identification and trade-off analysis of land use functions improve spatial zoning management in rapid urbanized areas, China. Land Use Policy 2022, 116, 106058. [Google Scholar] [CrossRef]
- Wu, L.; Xie, B.G. The variation differences of cultivated land ecological security between flatland and mountainous areas based on LUCC. PLoS ONE 2019, 14, e0220747. [Google Scholar] [CrossRef] [PubMed]
- Meybeck, M.; Green, P.; Vörösmarty, C. A new typology for mountains and other relief classes. Mt. Res. Dev. 2001, 21, 34–45. [Google Scholar] [CrossRef]
- Liu, Y.X.; Li, Y.B. Spatial evolution of land use production function in the basin of Guizhou province under the background of rural transformation. Geogr. Res. 2020, 39, 430–446. [Google Scholar]
- Li, Y.B.; Yao, Y.W.; Xie, J.; Wang, F.Y.; Bai, X.Y. Spatial-temporal evolution of land use and landscape pattern of the mountainbasin system in Guizhou Province. Acta Ecol. Sin. 2014, 34, 3257–3265. [Google Scholar]
- Guo, M.; Wan, S.J.; Na, Y. Ecological land fragmentation evaluation and dynamic changes in Changbai Mountain Areas. Resour. Dev. Mark. 2020, 36, 14–22. [Google Scholar]
- Wu, J.G. Landscape Ecology: Patterns, Processes, Dimensions, and Grades, 2nd ed.; Higher Education Press: Beijing, China, 2007; p. 166. [Google Scholar]
- Xu, Y.; Tang, H.P.; Wang, B.J.; Chen, J. Effects of landscape patterns on soil erosion processes in a mountain–basin system in the North China. Nat. Hazards 2017, 87, 1567–1585. [Google Scholar] [CrossRef]
- Wang, L.; Wu, L.; Zhang, W. Impacts of land use change on landscape patterns in mountain human settlement: The case study of Hantai District (Shanxi, China). J. Mt. Sci. 2021, 18, 749–763. [Google Scholar] [CrossRef]
- Ma, H.Y.; Zhang, L.L.; Wei, X.Q.; Shi, T.T.; Chen, T.X. Spatial and temporal variations of land use and vegetation cover in Southwest China from 2000 to 2015. Chin. J. Appl. Ecol. 2021, 32, 618–628. [Google Scholar]
- Zhang, J.; Zhu, W.B.; Zhao, F.; Zhu, L.Q.; Li, M.J.; Zhu, M. Spatial variations of terrain and their impacts on landscape patterns in the transition zone from mountains to plains-A case study of Qihe River Basin in the Taihang Mountains. Sci. China-Earth Sci. 2018, 61, 450–461. [Google Scholar] [CrossRef]
- Wu, L.; Yang, Y.J.; Xie, B.G. Modeling analysis on coupling mechanisms of mountain-basin human-land systems: Take Yuxi City as an example. Land 2022, 11, 1068. [Google Scholar] [CrossRef]
- Zhang, Y.Y.; Sun, M.Y.; Yang, R.J.; Zhang, L. Impact of land-use change on ecosystem service value in Southwest China. J. Environ. Eng. Technol. 2022, 12, 207–214. [Google Scholar]
- Li, Y.M.; WAng, D.C.; Yuan, J.; Liu, X.Z. Temporal and spatial pattern and functional zoning of land use in Alpine Canyon Region based on terrain gradient. Bull. Soil Water Conserv. 2020, 40, 303–311. [Google Scholar]
- Xu, Y.Q.; Luo, D.; Feng, Y.; Peng, J. A Study on land use and land cover change in karst mountainous areas in Southwestern China: A case study of the Maotiao River Watershed, Guizhou Province. Resour. Sci. 2010, 32, 1752–1760. [Google Scholar]
- Wen, J.H.; Li, R. Temporal and spatial variation of ecosystem service value and its response to landscape pattern change in Guizhou Province, China. Chin. J. Appl. Ecol. 2022, 33, 2075–3086. [Google Scholar]
- Xue, B.; Xiao, X.; Li, J.Z. Identification method and empirical study of urban industrial spatial relationship based on POI big data: A case of Shenyang City, China. Geogr. Sustain. 2020, 1, 152–162. [Google Scholar] [CrossRef]
- Deng, L.Y.; Zhang, Q.; Cheng, Y.; Cao, Q.; Wang, Z.Y.; Wu, Q.; Qiao, J. Underlying the influencing factors behind the heterogeneous change of urban landscape patterns since1990. Ecol. Indic. 2022, 140, 108967. [Google Scholar] [CrossRef]
- Chen, K.X.; Cong, P.F.; Qu, L.M.; Liang, S.X.; Sun, Z.C. Annual variation of the landscape pattern in the Liao River Delta wetland from 1976 to 2020. Ocean. Coast. Manag. 2022, 224, 106175. [Google Scholar] [CrossRef]
- Qian, Y.; Dong, Z.; Yan, Y.; Tang, L.N. Ecological risk assessment models for simulating impacts of land use and landscape pattern on ecosystem services. Sci. Total Environ. 2022, 833, 155218. [Google Scholar] [CrossRef]
- Wang, B.; Luo, L. Service value of a bay city ecosystem based on green buildings and landscape pattern changes. Sustain. Comput. Inform. Syst. 2022, 35, 100758. [Google Scholar] [CrossRef]
- Huang, C.B.; Zhao, D.Y.; Deng, L. Landscape pattern simulation for ecosystem service value regulation of Three Gorges Reservoir Area, China. Environ. Impact Assess. Rev. 2022, 95, 106798. [Google Scholar] [CrossRef]
- Wang, Q.; Wang, H.J. Spatiotemporal dynamics and evolution relationships between land-use/land cover change and landscape pattern in response to rapid urban sprawl process. Ecol. Eng. 2022, 182, 106716. [Google Scholar] [CrossRef]
Disclaimer/Publisher’s Note: The statements, opinions and data contained in all publications are solely those of the individual author(s) and contributor(s) and not of MDPI and/or the editor(s). MDPI and/or the editor(s) disclaim responsibility for any injury to people or property resulting from any ideas, methods, instructions or products referred to in the content. |
© 2023 by the authors. Licensee MDPI, Basel, Switzerland. This article is an open access article distributed under the terms and conditions of the Creative Commons Attribution (CC BY) license (https://creativecommons.org/licenses/by/4.0/).