Abstract
Pollinators are key ecosystem components and their conservation represents a critical target for both nature and human health. In a world of increasing urbanisation, cities and peri-urban areas have to be active players in addressing this target, and in-depth knowledge of the effects of the urbanisation gradient and related landscape features on pollinators has to be acquired. Accordingly, an experimental study on the relationships between bee communities and natural vs. human-induced environmental heterogeneity has been carried out in a transitional peri-urban landscape of the Metropolitan area of Rome (Italy). A multi-step procedure was adopted, arranged into plant and bee communities field sampling, detailed mapping of actual and potential ecosystems, and combined processing and modelling of the respective results. The potential contribution of experimental findings to the deployment of a pollinator-friendly Green Infrastructure (GI) has been then explored, with statistical correlations between bee diversity and landscape metrics adopted for defining conservation and restoration actions and a multi-criteria analysis adopted for site prioritisation in the study area. Such a planned GI could represent an effective solution for enhancing resilience and resistance of peri-urban landscapes against land take and agricultural intensification, as local expressions of global biodiversity loss drivers.
1. Introduction
Pollination and pollinator support are distinct but strictly interdependent ecosystem services (ES) that benefit agricultural production and human well-being as well as the natural environment [1,2,3,4,5]. Despite variability in estimates, a high biophysical and economic value is widely recognised for crop pollination services [6,7,8]. By contrast, the service provision capacity is dropping with respect to the demand due to the worldwide decline in pollinators [9,10]. In combination with plain biodiversity conservation strategies [11], such a mismatch triggered several initiatives in order to promote and coordinate actions for supporting pollinators, at multiple levels and across sectoral policies [12,13]. In Europe, the Pollinators Initiative [14,15] focused, in particular, on three drivers of the decline of wild pollinators, including biological invasions, use of pesticides, and loss of habitats [16,17,18], not just in agricultural but also in urban landscapes.
Urban landscapes, as well as urban-rural interfaces, actually represent critical arenas for the persistence of these key ecosystem components. On the one hand, and similarly to agricultural intensification [19], urbanisation boosts the decline in pollinators and/or assemblages shift by (i) altering biodiversity patterns and plant-pollinator networks [20], (ii) exposing pollinators to the negative effects of pollutants [21,22], and (iii) modifying the features of resting, foraging, and nesting sites by means of land conversion [23]. On the other hand, however, the potential of cities to be more effective pollinator reservoirs than surrounding countryside is increasingly recognised [24,25,26,27]. This potential is due first to the high plant species richness frequently occurring in green urban areas [27,28], which guarantees abundant blooms distributed throughout the year and important sources of nutrients for pollinators [29,30,31], and second, to the lower threat posed by pesticides with respect to cultivated zones [32,33].
Narrow-scale initiatives for supporting managed and/or wild pollinators in cities include urban beekeeping [26,34], and targeted management practices for urban green spaces [35,36,37]. Wide-scale and more comprehensive measures, not just capable of pollinator conservation but also of delivering the pollination service at the urban-rural interface, needmore organic perspectives accounting for habitat composition and landscape configuration at different scales [38].
The Green Infrastructure (GI) approach, defined in Europe as “a strategically planned network of natural and semi-natural areas with other environmental features designed and managed to deliver a wide range of ES”, is able to meet these requirements [39]. Consistently, a number of ‘pollinator-friendly’ GI planning studies have been conducted in urban areas that enhance the positive role of green space quantity, quality, and proximity to suburban natural and semi-natural ecosystems [40,41,42,43]. For rural areas, GI planning criteria that include pollinator support have been suggested as well, especially calling for the enhancement of semi-natural habitats and their connectivity in agricultural land [44,45].
The available knowledge on the effects of varying degrees of urbanisation on pollinator species and assemblages is growing [23,46,47], but GI design examples that explicitly attune pollinator support actions along the urban-to-rural gradient are still poorly represented [37]. The present research aims to help fill this gap with special attention to the role of landscape heterogeneity at different scales, both in potential and actual terms, and to the complex interactions between pollinator communities, habitats, and landscape features in a Mediterranean metropolis transitional context. A GI design approach is therefore presented that especially highlights the advantages of (i) detailed ecosystem mapping, with a special focus on ecosystem typification and representation of linear landscape elements; (ii) fine-scale investigation of the relationships between bee richness and diversity and the surrounding mosaic, which has been adopted for restoration/conservation action prioritisation; and (iii) quantification of the landscape support capacity by means of a Multi-Criteria Analysis (MCA), which has been originally adopted for site prioritisation at the cell level along an urbanisation gradient.
2. Materials and Methods
2.1. Study Area
The study area is located along the geographic urban-to-rural gradient in the southern sector of the Metropolitan City of Rome, Italy (Figure 1). It belongs to the “Roman Area” ecoregional subsection, characterised by Mediterranean and transitional bioclimate conditions and by effusive igneous substrata, superimposed on marine pre-volcanic sediments and crossed by recent alluvial deposits [48,49,50]. In terms of land cover and land use, the sector reflects the common metropolitan features as well, with an agricultural matrix hosting interspersed natural and semi-natural ecosystems and variously affected by urban expansion [51]. Natural, agricultural and archaeological values are protected by means of two natural reserves, Decima Malafede to the south and Laurentino Acqua Acetosa to the north, both managed by the RomaNatura Regional Body (L.R n.29/97).
Figure 1.
Study area: (a) broad scale ecoregional setting according to Blasi et al. [50]; (b) location of the study sector with respect to the “Roman area” ecoregional subsection and to the administrative boundaries of the municipality and Metropolitan City of Rome; (c) detail of the study area with the 6 selected cells, the boundaries of Decima-Malafede and Laurentino Acqua Acetosa Natural Reserves and the location of the nearest Urban Central District “EUR Sud”. Base map: Google Earth™ imagery.
For the present research, the sector was gridded by means of the 2 km × 2 km cells adopted for species monitoring at the metropolitan level [52] and 6 cells have been selected, for a total of 2400 hectares, intersecting the reserves and located at a varying distance from the consolidated urban centre.
2.2. Research Design
To identify and prioritise GI actions and sites mainly devoted to pollinator support, a composite modelling approach has been adopted that integrates GIS analyses at the landscape level and field sampling at the community and habitat levels (Figure 2). Due to their widespread abundance, diversity and marked adaptation to pollination, bees (Order: Hymenoptera; Superfamily: Apoidea; Clade: Anthophila) have been chosen as a proxy for overall pollinators. Therein, all the species belonging to the Anthophila clade will be named ‘bees’, including both the wild and the domestic (i.e., Apis mellifera) ones.
Figure 2.
Multi-step procedure aimed at identifying and prioritising Green Infrastructure (GI) actions and sites (cells and individual components of the landscape mosaic) for pollinator support in the study area.
2.3. Input Data Collection and Compilation—Step 1
2.3.1. Actual and Potential Ecosystem Mapping—Step 1a
Landscape-level input data concerned the actual and potential ecosystem heterogeneity in the 6 selected grid cells. Actual heterogeneity refers to present land cover and land use reinterpreted in terms of natural, semi-natural, and man-made ecosystems [53,54], and is assumed to directly affect landscape bee support capacity by means of composition, extent, and spatial configuration of occurring ecosystem patches. On the other hand, potential heterogeneity refers to the environmental land units determined by unique combinations between climate, lithological, morphological, and Potential Natural Vegetation (PNV) features [55]. Within each homogeneous Environmental Unit (EUN), the occurring actual ecosystems can be interpreted as successional stages of the same vegetation series, with less disturbed natural ecosystems representing the mature stage of the reference PNV [56,57]. Even though less directly than the actual one, potential heterogeneity was assumed to affect landscape bee support capacity, by determining the occurrence of specific nesting or foraging habitats (e.g., small wetlands that are exclusive to the alluvial valley EUN) and by conditioning the distribution and variety of specific plant species (mainly the stenoecious ones).
Based upon the typology of the Actual Vegetation Map of the Province of Rome (1:25,000 scale) [58], the actual ecosystem map was originally drawn in a GIS environment (Quantum GIS) by means of Google Satellite Imagery visual interpretation and with a thorough geometric detail (1:1000 scale and minimum mapping unit of 0.01 ha). Owing to the recognised importance of pollinator support, natural and semi-natural linear elements, with a minimum width of 5 m and a length equal to at least three times the width, have been integrated into the map. Linear elements have then been typified according to their matching with potential disturbance sources [59], i.e., by distinguishing verges along dirt or paved roads from hedgerows and forest edges in the agricultural matrix, and according to structural features, i.e., by distinguishing grass and shrub from tree formations and coniferous from broadleaved deciduous tree lines. For the subsequent processing phase, a naturalness map and a habitat map for pollinators have been derived from this basic document. For the naturalness map, a different naturalness degree was assigned to each areal ecosystem type, as already proposed at the national level [60,61], according to (i) imperviousness of artificial surfaces (very low and low naturalness, i.e., classes 1 and 2), (ii) intensity of agricultural practices (medium-low, medium and medium-high naturalness, i.e., classes 2, 3 and 4), and (iii) successional maturity of vegetation communities (high and very high naturalness, i.e., classes 5 and 6). For the habitat map, both areal and linear ecosystem types have been assigned a different habitat value, i.e., a different inherent capacity to encompass basic resources and good conditions for supporting pollinators, ranging from very low/low/medium-low (classes 1/2/3) to medium-high/high/very high (classes 4/5/6) with respect to (i) the occurrence and apiarian interest of polleniferous and nectariferous species; (ii) the matching with road infrastructures; and (iii) the matching with potential sources of pesticides [59,62,63,64].
In terms of potential heterogeneity, the EUN typology was based on the Maps of the Vegetation Series of Decima Malafede and Laurentino Acqua Acetosa Natural Reserves [65]. EUN boundaries have been then originally refined and extended outside the protected areas according to consistent geo-morphological and PNV information [48,66].
2.3.2. Plant and Bee Communities Field Sampling—Step 1b
At the community level, input data is derived from original field sampling of bees. Sampling was stratified by grid cell, with ten plots planned for each of the six cells (for a total of 60 plots), and by land cover type, with a special focus on shrubby/herbaceous linear landscape elements and on meadows as vegetation types able to support a high bloom diversity in the agricultural matrix. Each linear transect was 50 m long and 1 m wide, while areal plots were set with a diameter of about 50 m. Field surveys have been made in 2020 from June the 1 June to 15 July, on sunny days with local temperatures between 20 and 25 °C, weak or absent wind, and dry vegetation. Bees have been sampled twice in each transect/plot and their specific and overall abundance was recorded. Whenever possible, it was preferred to avoid destructive samplings, e.g., by means of pan-traps. These passive methods could lead to (i) sampling biases due to foraging habits of different species on horizontal layers placed at different heights, (ii) misinterpretation of the relationship between bee communities and vegetation, due to the varying bloom availability that affects preferences towards pan-traps, and (iii) unwanted capture and killing of non-target insects, such as Diptera, Coleoptera, and Lepidoptera [67,68,69]. Therefore, species were identified by direct observation on the field, and only when direct identification was not practicable, specimens were collected, stored in containers partially filled with cork chipboard and a few drops of ethyl acetate, and identified up to the species or at least to the genus level. The nomenclature of bee species followed the Integrated Taxonomic Information System [70].
For the input data at the habitat level, vegetation surveys have been conducted according to the phytosociological method [71,72] at the same locations, in the same period, and under the same environmental conditions as for the bee ones. For each of the sampled plant taxon, the blossoming phase was also noticed. The nomenclature of plant species followed Celesti et al. [73].
2.4. Processing and Modelling—Step 2
Input data at the landscape, habitat, and community levels have been processed according to selected ecological indicators (Table 1) in order to:
- (i)
- measure the degree of the relationships between bee richness and diversity and the surrounding landscape mosaic, at two spatial scales, by means of statistical correlations (SC). Since bees can easily move between habitat patches even in an anthropized landscape [74,75], the correlations have been explored at both a proximal scale, within a radius of 200 m from the centroid of the sample, and a wider scale, within the whole grid cell.
- (ii)
- assess the capacity of the overall landscape mosaic to support bees, by means of MCA at the cell level.
Table 1.
Adopted indicators for processing input data at the landscape, habitat, and community level, and respective application in the modelling phases (SC/MCA).
Table 1.
Adopted indicators for processing input data at the landscape, habitat, and community level, and respective application in the modelling phases (SC/MCA).
| Indicator | Description | Modelling Phase | |
|---|---|---|---|
| Landscape Level | |||
| A | Land use/land cover proportional extent | Area of a land use/land cover class out of the total area of the grid cell or of the proximal area within a radius of 200 m (%) [based on the actual ecosystem map] | SC |
| B | Environmental unit proportional extent | Area of each EUN class out of the total area of the grid cell or of the proximal area within a radius of 200 m (%) [based on the EUN map] | SC |
| C | Linear element density | Total length of all linear elements, or of individual linear element classes, out of the total area of the grid cell or of the proximal area within a radius of 200 m (m/m2) [based on the actual ecosystem map] | SC |
| D | Environmental unit heterogeneity | Degree of EUN heterogeneity across grid cells according to Simpson and Shannon indices [76,77] [based on the EUN map] | MCA |
| E | Euclidean nearest neighbour distance (ENN) | Area-weighted average of the shortest distance between habitat patches with high value for bees (m) [78] [based on the habitat map, classes 4, 5, and 6] | MCA |
| F | Grid cell distance from the closest Urban Central District (UCD) | Spatial distance of a grid cell centre from the closest UCD adopted as a general proxy for anthropogenic pressures; according to the city masterplan [79], the closest UCD to the study area is “EUR Sud” (Km) | MCA |
| G | Proportional extent of habitats with high value for bees | Percentage of habitat area with high value for bees out of the total area per cell (%) [based on the habitat map, classes 4, 5, and 6] | MCA |
| H | Index of landscape conservation (ILC) | Conservation status of a grid cell depending on the degree of naturalness of the land use/land cover mosaic [80] [based on the ecosystem naturalness map] | MCA |
| I | Total edge | Total length of edges between agricultural and (semi-) natural ecosystem types (km) [based on the ecosystem map simplified at the 1st level of typology] | MCA |
| L | Paved roads | Total length of paved roads (km) [based on Open Street map] | MCA |
| Habitat level | |||
| M | Proportion of blooming forbs | Non-graminoid plant species in anthesis with respect to the total plant species per sample (%) | SC |
| N | Number of blooming forbs | Total number of sampled non-graminoid plants in anthesis | MCA |
| Community level | |||
| O | Bee total abundance | Total abundance of bees per sample and per cell | SC |
| P | Bee diversity | Diversity of bee communities assessed by means of Shannon and Simpson indices. Both indices were calculated for each sample and the average value was calculated for each cell | SC |
| Q | Number of bee species | Total number of sampled bee species per cell | MCA |
2.4.1. Analysis of the Relationship between Bee Communities and Habitat/Landscape Features (SC)—Step 2a
Significant relationships between bee communities and habitat and landscape features, at the proximal and grid cell scales, allow effective GI conservation and restoration actions to be defined and prioritised. Accordingly, the SC between bee abundance and diversity (Shannon and Simpson indices) and either (i) the degree of habitat support (i.e., proportion of blooming forbs), or (ii) the landscape mosaic composition/configuration features (i.e., proportion of different land cover classes, proportion of EUN types and density of linear elements) have been investigated by means of Pearson and Spearman tests [81,82]. A p ≤ 0.05 level of significance has been set for both statistics. A non-predictive approach (SC) was assumed to be sufficient to qualify proper GI actions, whereas the narrow spatial and temporal distribution of bee samples would have been impaired to obtain sound outcomes from multiple linear regression models.
2.4.2. Spatial Assessment of the Landscape Mosaic Capacity to Support Bees (MCA)—Step 2b
Complementary to SC, which was considered more useful for the prioritisation of GI actions, the present capacity of the landscape mosaic to support bees along the urban-rural gradient may facilitate the prioritisation of sites at the cell level. In keeping with recognised effectiveness in ES assessment [83], such a capacity has been quantified by means of MCA [84,85].
The multiple criteria and respective indicators (Table 1), accounting for the landscape and habitat features that can directly or indirectly affect bee communities, have been selected according to available scientific evidence (e.g., [86,87]). In particular, a set of first-level indicators, commonly used to generically describe the urbanisation degree [88], has been combined with a set of second-level indicators concerning relevant habitat properties just noticeable at fine scales. The first-level set includes measures describing the geographic distance from the city centre (indicator F in Table 1), composition and quality of the landscape mosaic (G and H), and occurrence of disturbing elements, namely the total length of paved roads (L) [89]. The second-level set includes field observations, such as richness of blooming forbs (N), and other landscape metrics very influenced by the geometric and thematic detail of the adopted basic map, such as the length of contacts between agricultural and natural patches (I), the isolation between habitats with high value for bees (E), and the natural environmental heterogeneity of grid cells (D) [90,91].
Since the MCA has been adopted as an intermediate step, subsequently combined with other attributes for identifying restoration priorities (see paragraph 2.5), the simplest (or ‘neutral’ [92]) method for weighting the indicators has been preferred, that is equal weighting. An improved and eventually policy-oriented characterisation of the urban-rural gradient could be obtained by means of alternative and more demanding methods, including expert judgments, decision-makers preferences, and subjective/objective rank-order weighting [93], but it goes beyond the scope of the present research. Therefore, after being assigned the same weight, the indicators have been standardised according to the following formula:
where is the value of the indicator of a given alternative , is the minimum value of the attribute among all the alternatives , and is the maximum value of the attribute among all the alternatives . The inverse of the formula has been calculated for those indicators that are expected to negatively affect bee communities (i.e., total length of paved roads (L) and isolation between habitats with high value for bees (E)).
Finally, owing to the potential role of organic farming activities in improving the performance of cells with a high proportion of agricultural surfaces [94], the list of organic farms provided by the national Ministry of Agricultural, Food and Forestry Policies was checked (http://www.sinab.it/, accessed on 7 November 2021). The list does not provide precise information on the spatial extent and boundaries of these farms, so the information has been used as an ancillary datum for the interpretation of the resulting MCA values rather than an input indicator for their assessment.
2.5. Setting of Green Infrastructure Priorities—Step 3
Moving from the SC and MCA outcomes, comprehensive conservation/restoration priorities have been defined for each of the individual components (ecosystem patches and linear elements) of the landscape mosaic. In terms of sites, each individual ecosystem patch and linear element has been thus prioritised according to the placement of the cell of belonging along the urban-rural gradient and to component-specific condition indicators. In terms of actions, these individual elements have been assigned to specific interventions for maintaining or enhancing their current ES capacity. More specifically, restoration priorities have been assigned to the individual components according to: (i) bee support capacity of the overall reference cell with respect to the urban-rural gradient (scored into 6 classes according to MCA values); (ii) eligibility of the ecosystem type for hosting restored GI components at the patch level (scored into 6 classes according to current habitat value of the ecosystem type, potential conversion to other land cover types, and ENN values at the patch level for green urban areas A.1.4.1); (iii) dimension of the patch for arable lands, which act as potential barriers between habitats with high value for pollinators the greater they are (scored into 6 classes); (iv) support capacity of the EUN of belonging for agricultural patches (scored into 5 classes according to SC values and to the occurrence of plants of apiarian interest); (v) contiguity to existing linear elements (scored into 3 classes according to occurrence and habitat value of linear elements). Additional restoration priorities have also been assigned to individual road verges by considering: (vi) roadside typology (derived from the OpenStreetMap database and scored into 3 classes in terms of traffic intensity and pavement type), and (vii) quality of contiguous land cover patches (scored into 6 classes according to habitat value of the neighbouring land cover type). Finally, the acquired knowledge on habitat value of ecosystem types and diversity/apiarian interest of local plant species was exploited for suggesting the desirable structure and floristic composition of restoration interventions in the different EUNs.
3. Results
3.1. Actual and Potential Ecosystem Heterogeneity—Step 1a
A total of 32 areal and 14 linear actual ecosystem types have been recognised and mapped at the most detailed level. Their proportional extent, degree of naturalness, and/or habitat value for pollinator support, are reported in Table 2.
Table 2.
Adopted typology for areal (A) and linear (L) actual ecosystems and respective proportional extent, degree of naturalness, and habitat value for pollinator support.
The average extent of ecosystem types for the analysed cells denotes a transitional urban to rural landscape mosaic, with comparable continuous and discontinuous urban fabric in a still prevailing agricultural matrix. In keeping with the occurrence of two natural reserves in the area, natural and semi-natural ecosystems represent almost 14% of the mosaic, with about 9% of different mature forest types, 5% of successional shrubland, and less than 1% of semi-natural woodland types including non-native woods and plantations.
Linear elements show an overall density of ca 70 m/ha and occur in all of the three main landscape components (A.1, A.2, and A.3), with forest mantles and edges (75.8%) prevailing over scattered elements far from roads in the agricultural matrix (13.8%), and over roadside tree lines (5.7%).
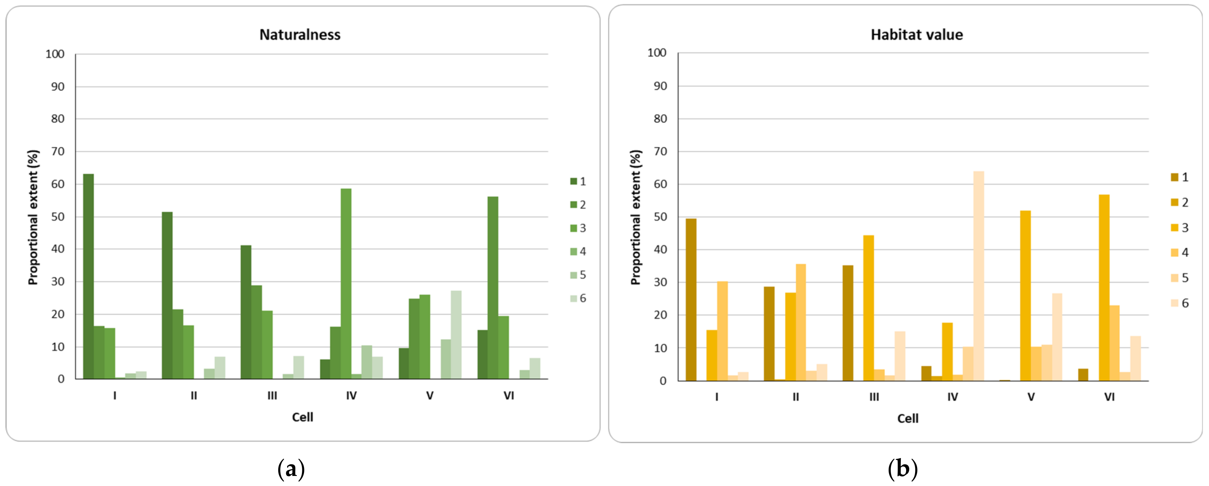
The proportional extent of different naturalness and habitat value classes in each grid cell is reported in Figure 3.
Figure 3.
Proportional extent of different naturalness classes (a), and habitat value classes (b) in each grid cell.
As regards potential ecosystem heterogeneity, the identified EUNs and respective PNV types encompass:
- “Pyroclastic plateaus” and “Gentle pyroclastic slopes” with vegetation potential for Quercus cerris and Carpinus orientalis forests (Carpino orientalis-Querceto cerridis sigmetum);
- “Steep pyroclastic slopes” and “Lithoid volcanic slopes” with vegetation potential for Quercus ilex forests (Cyclamino hederifolii-Querceto ilicis sigmetum);
- “Pyroclastic impluvia” with vegetation potential for Quercus cerris and Carpinus orientalis forests with Q. robur (Carpino orientalis-Querceto cerridis varietas quercetosum roboris sigmetum);
- “Sedimentary clayey and sandy hill plateaus” with vegetation potential for Quercus suber and Q. frainetto forests (Quercetum frainetto-suberis sigmetum);
- “Sedimentary clayey and sandy hill slopes” with vegetation potential for Quercus cerris and Q. frainetto forests (Mespilo germanicae-Querceto frainetto sigmetum);
- “Alluvial valleys” with complex vegetation potential for Quercus robur and for hygrophilous riparian forests (Fraxino-Querceto roboris, Aro italici-Alneto glutinosae, Populeto albae, and Saliceto albae sigmeta).
The distribution of PNV/EUN types across the analysed grid cells is shown in Table 3. Cells II, III, and VI emerged as relatively homogeneous, with just one type plainly dominant and some of the types missing, while cells I, IV, and V show a relatively greater natural diversity, together with a more even distribution of the types.
Table 3.
Total (ha) and proportional (%) extent of Environmental Units (EUN)/Potential Natural Vegetation (PNV) types across the grid cells.
3.2. Bee Community Features: Abundance and Taxonomic Diversity—Step 1b
A total of 609 specimens has been detected, belonging to the Andrenidae, Apidae, Colletidae, Halictidae, and Megachilidae families. Of the entire sample, species-level identification could not be achieved for 61 specimens belonging to the genera Andrena, Ceratina, Eucera, Hylaeus, Nomada, and Sphecodes. By also considering the unique found specimen of the genus Nomada, a total of 53 species has been sampled, with 18 belonging to the Megachilidae family, 14 to Apidae, 14 to Halictidae, seven to Andrenidae and just one to Colletidae (Appendix A). The most represented species are Apis mellifera, Bombus pascuorum and Halictus scabiosae. Five-hundred individuals belong to wild species, while the remaining 109 belong to the managed species Apis mellifera. The only sampled allochthonous species was Megachile sculpturalis, with one male specimen found in cell II. This invasive species has been first reported in 2009 in Europe [95], and in 2018 in the Latium Region, the administrative region embracing the study area [96]. M. sculpturalis is a large species with opportunistic nesting behaviour [97,98,99,100], representing a potential competitive threat to local wild pollinators. The specimen was observed while foraging on Rubus ulmifolius flowers just outside the boundaries of the Laurentino Acqua Acetosa Natural Reserve, suggesting a potential occurrence of nests in the protected area.
Considering the relatively small extent of the study area and the short sampling period, the data are fairly representative of bee diversity in the summer period at different levels, counting for almost 5% of the Italian bee fauna [101], 11% of the regional one [102], and about 19% of that of the city within the main ring road [103].
Nevertheless, diversity indices showed rather homogeneous community structures, with one or several dominant species and a few rare species. Across sample sites, the average value of the Simpson Index (D) was 0.527 (with a standard deviation of 0.255) and the average value of the Shannon Index (H) was 0.932 (with a standard deviation of 0.539). With respect to the urban-rural gradient (Table 4), higher diversity values have been found in the cells with a mixed agricultural and natural matrix and a small extent of artificial surfaces (cells IV and V). More interestingly, however, medium-high diversity values have been found in cells I and II, close to the city and characterised by an urban matrix with quite widespread agricultural surfaces and some residual semi-natural ecosystem. With respect to EUN types, higher diversity values have been found in “Sedimentary clayey and sandy hill slopes” (mean D = 0.640 and mean H = 1.168), “Pyroclastic impluvia” (mean D = 0.638 and mean H = 1.252), and “Alluvial valleys” (mean D = 0.635 and mean H = 1.199), while lower values have been found in “Gentle pyroclastic slopes” (mean D = 0.290 and mean H = 0.465) and “Pyroclastic plateaus” (mean D = 0.310 and mean H = 0.528).
Table 4.
Bee abundance and diversity (D = Simpson Index and H = Shannon Index) in the selected grid cells.
3.3. Habitat Features: Diversity and Apiarian Interest of Plant Species—Step 1b
Among the 60 vegetation surveys, 54 have been carried out on linear elements and six on areal elements. A total of 240 plant species, belonging to 60 families, has been sampled and 158 out of these are important for bees (i.e., species of apiarian interest according to [104]). Among the 158, six are neophytes (less than 4%), two are archaeophytes, three doubtful alien, and four are cultivated or escaped from cultivation. The total number of sampled species ranges from 72 in cell VI to 115 in cell IV (median value 94.5), the number of species of apiarian interest ranges from 62 in cell I to 79 in cell IV (median value 70.0), and those in anthesis from 29 in cell III to 40 in cell IV (median value 35.5).
With respect to EUN types, the sampled richness of plant species of apiarian interest was very low in “Sedimentary clayey and sandy hill slopes” and “Steep pyroclastic slopes” (three and four species, respectively), medium in “Gentle pyroclastic slopes” and “Lithoid volcanic slopes” (seven species), medium-high in “Pyroclastic impluvia” (nine species) and high in “Pyroclastic plateaus” and “Alluvial valleys” (13 and 17 species, respectively). “Sedimentary clayey and sandy hill plateaus” have not been sampled because very little is represented in the study area and is almost totally covered by mature vegetation communities.
3.4. Relationships between Bee Communities and Habitat/Landscape Features—Step 2a
At the proximal scale and as regards habitat features, the abundance and diversity of bees are positively correlated to the total number of plants in anthesis, and especially to Rosaceae with respect to the other explored families. Owing to the restricted number of sampled neophytes and archaeophytes, correlations have not been explored with respect to the native status of plant species.
At the same scale, but as regards landscape features, positive correlations emerged for (Table 5): proportional cover of shrublands (ecosystem types A.3.2, and especially A.3.2.2.1 Shrublands with Prunus spinosa, Rubus ulmifolius, Spartium junceum and/or Pteridium aquilinum), the density of linear elements (for the overall category as regards bee abundance, and just for classes with high habitat value as regards diversity), and proportional cover of “Alluvial valleys” and “Steep pyroclastic slopes”. “Alluvial valleys” are actually joined to hygrophilous and meso-hygrophilous vegetation communities, able to maintain a fair flower abundance even in the late summer, while “Steep pyroclastic slopes” facilitate the persistence of widespread natural and semi-natural habitats due to the morphological impairment against cultivation.
Table 5.
Significant correlations emerged between community level indicators (bee abundance and diversity) and habitat and landscape level indicators, at the proximal scale and at the grid cell scale. D = Simpson Index; H = Shannon Index. Levels of significance are: * = p-value < 0.05; ** = p-value < 0.005; *** = p-value < 0.0005).
Conversely, negative correlations emerged for the proportional cover of artificial surfaces (ecosystem types A.1) and agricultural areas (ecosystem types A.2), and for the proportional cover of “Pyroclastic plateaus” and “Gentle pyroclastic slopes” (the latter, just for bee abundance). These EUN types are actually joined to thermo-xerophilous vegetation communities, with relatively short flowering periods, and, owing to low acclivity, are most impacted by urbanisation and intensive cultivation (mostly with Poaceae) leading to less heterogeneous foraging habitats.
At the scale of grid cells, just positive correlations with less significance (p-values of about 0.05) emerged for the proportional extent of shrublands (especially A.3.2.4, Transitional woodland-shrub communities) and woodlands (ecosystem types A.3.1), the density of spontaneous shrubby and grassy linear elements along dirt road banks (type L.1.2, often with dense and diverse blooms and probably with a low pollution rate), and the proportional cover of “Steep pyroclastic slopes”.
In synthesis, it emerged that bee communities can be driven by landscape heterogeneity and quality, especially at the proximal scale as regards bee diversity.
3.5. Landscape Mosaic Capacity to Support Bees along the Urban-Rural Gradient—Step 2b
The capacity of the overall landscape mosaic to support pollinators along the urban-rural gradient, assessed by means of the MCA, is reported in Table 6.
Table 6.
Varying capacity to support pollinators across the grid cells according to the MCA. Absolute (A) and normalised (N) values of the first-level and second-level selected indicators.
According to just first-level indicators, the more the cells are close to the city centre, the less the landscape conservation status and the more the density of paved roads exists. Such a result suggests that urban cells (I, II, and III) are more disturbed and may have a lower potential performance in bee support with respect to the suburban ones (IV, V, and VI). However, when second-level indicators are also considered, the pattern becomes more complex and the total MCA values do not regularly increase with the distance from the city centre. Namely, cell III shows a lower MCA value than cell I in the more urban sector, the intermediate cell IV shows the absolute best performance among all cells, whilst a marked blended behaviour emerged for the indicators in the two most distal cells (V and VI). This unevenness is mainly ascribable to scattered sprawl nuclei, developed beyond the boundaries of protected areas (e.g., in cell VI with respect to cell V), and to the varying natural environment heterogeneity, which in turn affects habitat diversity and land use vocations (e.g., lower heterogeneity in cell III with respect to cell I, and in cell VI with respect to cell IV) (Figure 4). Moreover, the occurrence of organic farms in cell IV can be identified as a potential driver for the observed richness in plant species of apiarian interest and, therefore, for the higher performance of sites at an intermediate distance from the city with respect to more distal ones (cells V and VII).
Figure 4.
Similarity between trends in bee diversity (Simpson Index, orange line) and EUN diversity (Simpson Index, blue line) across the grid cells (correlation value = 0.896; p-value = 0.0155).
3.6. Green Infrastructure Design—Step 3
Restoration priority scores assigned to each of the GI components (individual ecosystem patches and individual linear elements) are shown in Table 7, while the total score and respective spatial distribution are shown in Figure 5. Furthermore, a set of specific and appropriate actions has been differentiated for more rural cells with respect to more urban cells. In particular, a widespread conversion towards organic agriculture should be prompted mainly in more rural cells, while the reduction of structural and/or functional distances between habitats of high value for bees (i.e, green areas, private gardens in discontinuous residential fabric, and linear elements) should represent the main GI goal in more urban cells. For such a reconnection, active restoration actions should preferentially encompass the creation of green corridors along roads with little traffic or in other healthy places for bees quite far from residential buildings, such as archaeological or abandoned areas. Concurrently, the habitat value of pre-existing green spaces and linear elements should be enhanced by facilitating local plant species that are more useful for bee support and are ecologically coherent with the EUN of occurrence (Appendix B).
Table 7.
Restoration priority scores assigned to GI components (individual ecosystem patches and individual linear elements) according to the selected criteria.
Figure 5.
Map of the comprehensive GI restoration priorities in the study area. Base map: Google Earth™ imagery.
Additional and tailor-made actions to be promoted include (i) the placement of new green corridors across the agricultural matrix, but just in cells with very isolated habitats (cells I, II, and III); (ii) the active maintenance of a ‘diffuse naturalness’ [105], that is the conservation of seral stages besides natural forests in the landscape mosaic in order to enhance the bee support capacity of shrubs in cells with high ILC (cells IV and V); (iii) the creation of restored habitats with high value for pollinators in cells with little isolated habitats and a high density of linear elements, but with a poor current overall extent of habitats with high value for pollinators as well (cell VI).
4. Discussion
To effectively meet biodiversity targets, besides ensuring the provision of multiple ES, GI design in complex urban and peri-urban contexts has to be based on sound and fine-scale knowledge as regards species, habitats, landscape features, and their reciprocal relationships [106,107]. In keeping with this need and with respect to the specific target of pollinator support ecosystem service, an original GI planning process is presented here that takes into account the role of natural (potential) and induced (actual) landscape heterogeneity, across an urban to rural gradient and at different scales. Such an approach allows multiple factors, i.e., actual and potential ecosystem arrangement, observed bee distribution and respective correlations with the landscape mosaic, and bee support capacity across the gradient, to be comprehensively embraced and specifically capitalised throughout the GI planning phases.
By means of combined field sampling and GIS analyses in a transitional peri-urban sector of the Metropolitan City of Rome, new experimental evidence and original insights are thus provided that highlight how the stratification of ecological investigations by land units, a multi-faceted characterisation of the urban-rural gradient, and an accurate compositional and structural characterisation of the landscape mosaic components can improve biodiversity-oriented GI planning with respect to more simplified approaches.
In particular, combined actual and potential ecosystem maps, both drawn with a thorough geometric and thematic detail, allowed an in-depth definition of GI components and assessment of their condition with respect to more generic representations (e.g., in the case of forests, by assisting the distinction between oak forests, hygrophilous riparian woods, and non-native broad-leaved woods, each of them with different EUNs of belonging, different naturalness degrees and different habitat values). The dual interpretation of the actual/potential landscape complexity thus supported (i) a fine-scale disentangling of the relationships between bee richness and diversity and the surrounding mosaic, adopted for the prioritisation of GI restoration/conservation actions (e.g., by pointing out high priorities for interventions in the Pyroclastic plateaus EUN with respect to the Alluvial valleys EUN, especially by means of conservation/restoration of shrublands and shrubby linear elements and by facilitating plant species of apiarian interest that are coherent with the EUN biophysical characteristics), and (ii) an original delineation of criteria for assessing the landscape capacity to provide the ecosystem service, adopted for the prioritisation of GI sites to be restored/conserved along the urban-rural gradient (e.g., by highlighting the high intervention priorities for cells with a low EUN diversity, which are not necessarily close to the city centre).
Notable results first concern the role of actual linear ecosystems as GI components. Indeed, in agricultural matrices but also in the urban and peri-urban ones, the detection of these elements is gaining increasing importance as key landscape structures and functional ecological corridors [108,109]. Besides the need for an accurate and consistent spatial representation, still calling for a visual interpretation at fine scales in GI planning [110], the present research also confirms the importance of the typological characterization of linear elements for assessing their condition, functional connectivity and ecosystem service capacity [111,112]. Such a characterization enabled the comprehension of habitat value for pollinator support to be refined with respect to more general assumptions, just based upon quantitative aspects and usually adopted for coarse-scale modelling of the pollination service [113]. For example, it has been confirmed that even though all linear element types have positive correlations with bee abundance, bee diversity is more related to the quality and condition of these elements [59,114,115], and to their proximity as well [40], e.g., in the case of significant correlations at the cell scale just emerged for spontaneous shrublands and grasslands along dirt road banks, with respect to not significant correlations emerged for all the other linear types. In terms of GI suitable actions [108], the information has been turned into a naturalness target for linear element restoration in order to effectively support bee richness, while also taking into account the spatial scale of the interventions [116], i.e., by promoting the density of shrubby linear elements within a proximal radius from a potential restoration/conservation site.
Second, as regards areal components, shrublands were significantly important for bee support both at the proximal and distal scales, confirming their recognised role as preferred foraging and nesting sites [117,118]. As already highlighted for linear elements, also in this case the detailed ecosystem typification allowed the quality of these components to be plainly taken into account and the apparent contrasting results from alternative research, which may be due to a more generic definition of ‘green areas’ for characterising the landscape mosaic composition, to be untangled (e.g., results from [119], according to which just temperature and not landscape composition shapes urban wild bee communities).
More interestingly, however, new and original insights emerged as regards the role of potential ecosystem features and heterogeneity. The research offered the opportunity to show that EUN types, determined by specific combinations of natural bio-physical features, characterised by a different capacity to support species diversity and by different aptitudes for defined land use [120,121], are distinctively and significantly correlated with bee abundance and diversity, especially at the proximal scale.
Even though different aspects of landscape composition and configuration are commonly recognised as determinants of bee assemblages [122], the present research showed that bee communities may be driven differentially by these aspects depending on what potential natural context they are observed in.
Together with other habitat and landscape features, mainly joined to the actual composition and configuration of the ecosystem mosaic, EUN heterogeneity has therefore been considered an important factor for a comprehensive interpretation of the gradient between urban and rural areas. To the best of our knowledge, such a consideration and its implications for the prioritisation of restoration sites represents a novelty in the GI planning field. Thus, notwithstanding the explorative nature of this research, the approach provided interesting hints for an operational advancing of the urban-rural gradient theory applied to biodiversity issues, e.g., in non-Temperate cities [123], as well as for effective identification of (peri-) urban GI priority sites and actions, especially at the local level [124] (i.e., by enhancing the induced heterogeneity of the landscape mosaic, in cells with intrinsic low variability of the environmental features, independently from the distance to the city centre/degree of artificialisation and through the active facilitation of diffuse shrubby components).
Additional findings that concern habitat value could be capitalised in GI planning as well, for the definition of fitting restoration actions in terms of composition and structure. In particular, the importance of flower diversity, showing positive correlations with both abundance and diversity of bees, has been confirmed [46,64,125,126,127], and should therefore represent a plain GI restoration target for both linear and areal elements. Moreover, it emerged that plants belonging to the Rosaceae family should be preferred, as they showed a higher performance with respect to the other investigated families. Besides the contingent availability of blooms of the other taxa at the time of the survey, the observed positive correlation may be due to the radial symmetry that makes Rosaceae flowers easier to explore than zygomorphic ones [128], to the high density of blooms for some of these species (as in the case of Rubus ulmifolius) and/or to the absence of nectar spurs or deep calyxes facilitating flower accessibility to a wide variety of bees.
Even though providing interesting hints, the research should be broadened in time and space in order to improve the robustness of the results. Especially, the sampling period, which was limited by the COVID-19 pandemic restrictions, could be extended to the overall flowering season in order to better define significant correlations, while the number of sampled sites could be increased in order to overcome spatial biases and spurious correlations that potentially emerged at the grid cell scale. Furthermore, investigation widened over different directions from the city centre could enhance the comprehension of eventually combined effects from different gradients, such as those of temperature and air pollution [24,121], and from varying degrees of environmental protection. [129,130,131].
5. Conclusions
A pollinator-oriented GI design approach is presented here that comprehensively combines actual and potential landscape features with the varying pollinator support capacity along an urban-to-rural gradient. The experimental results confirmed much of the available evidence on the relationships between the richness and abundance of pollinators, especially bees, on the one hand, and compositional and configurational features of the landscape mosaic in urban and peri-urban areas, on the other hand. Novel hints are however provided that allow bee support actions and conservation/restoration site prioritisation to be properly attuned in transitional peri-urban contexts. Namely, statistical correlations highlighted the importance of conserving and restoring not just areal but also linear components with a high ecosystem quality, while MCA results showed the importance of taking into account not just the presently occurring ecosystems but also the natural potential of the environment for preserving crucial sectors of the peri-urban landscape from further land-take and agricultural intensification processes.
Author Contributions
Conceptualization, G.C. and P.A.; Methodology, G.C., S.V., A.G., V.M., M.P. and P.A.; Formal Analysis, A.G., V.M. and M.P.; Investigation, A.G., V.M. and M.P.; Data Curation, S.V., A.G., V.M. and M.P.; Writing—Original Draft Preparation, G.C., S.V., A.G., V.M. and M.P.; Writing—Review and Editing, G.C., S.V., A.G., V.M., M.P. and P.A.; Supervision, G.C., S.V. and P.A. All authors have read and agreed to the published version of the manuscript.
Funding
This research received no external funding.
Data Availability Statement
Some publicly available datasets were analysed in this study, as reported in the reference section [48,58,66]. The new data were created in this study are available on request from the corresponding author.
Acknowledgments
Map data copyrighted by OpenStreetMap contributors and available from https://www.openstreetmap.org (accessed on 7 November 2021).
Conflicts of Interest
The authors declare no conflict of interest.
Appendix A
Table A1.
List of detected bee taxa and their occurrence by environmental unit type (EUN). All the taxa are wild and native to the study area except for Apis mellifera (managed species) and Megachile sculpturalis (introduced species). EUNs codes: AV = Alluvial valleys, PI = Pyroclastic impluvia, PP = Pyroclastic plateaus, SPS = Steep pyroclastic slopes, SS = Sedimentary clayey and sandy hill slopes, GPS = Gentle pyroclastic slopes, LVS = Lithoid volcanic slopes.
Table A1.
List of detected bee taxa and their occurrence by environmental unit type (EUN). All the taxa are wild and native to the study area except for Apis mellifera (managed species) and Megachile sculpturalis (introduced species). EUNs codes: AV = Alluvial valleys, PI = Pyroclastic impluvia, PP = Pyroclastic plateaus, SPS = Steep pyroclastic slopes, SS = Sedimentary clayey and sandy hill slopes, GPS = Gentle pyroclastic slopes, LVS = Lithoid volcanic slopes.
| Sampled Occurrences by EUN | ||||||||
|---|---|---|---|---|---|---|---|---|
| Species | Family | AV | PI | PP | SPS | SS | GPS | LVS |
| Amegilla albigena (Lepeletier, 1841) | Apidae | x | x | |||||
| Andrena agilissima (Scopoli, 1770) | Andrenidae | x | x | |||||
| Andrena flavipes Panzer, 1799 | Andrenidae | x | x | |||||
| Andrena fuscosa Erichson, 1835 | Andrenidae | x | ||||||
| Andrena morio Brullé, 1832 | Andrenidae | x | ||||||
| Andrena pilipes Fabricius, 1781 | Andrenidae | x | x | x | x | |||
| Andrena Fabricius, 1775 | Andrenidae | x | x | |||||
| Andrena thoracica (Fabricius, 1775) | Andrenidae | x | x | |||||
| Anthidiellum strigatum (Panzer, 1804) | Megachilidae | x | ||||||
| Anthidium florentinum (Fabricius, 1775) | Megachilidae | x | x | |||||
| Anthidium manicatum (Linnaeus, 1758) | Megachilidae | x | x | x | ||||
| Apis mellifera Linnaeus, 1758 | Apidae | x | x | x | x | x | x | x |
| Bombus pascuorum (Scopoli, 1763) | Apidae | x | x | x | x | x | x | |
| Bombus ruderatus (Fabricius, 1775) | Apidae | x | x | |||||
| Bombus sylvarum (Linnaeus, 1761) | Apidae | x | ||||||
| Bombus terrestris (Linnaeus, 1758) | Apidae | x | x | x | x | |||
| Ceratina cucurbitina (Rossi, 1792) | Apidae | x | x | x | x | x | ||
| Ceratina cyanea (Kirby, 1802) | Apidae | x | ||||||
| Ceratina Latreille, 1802 | Apidae | x | x | x | x | x | ||
| Eucera clypeata Erichson, 1835 | Apidae | x | x | |||||
| Eucera nigrescens Pérez, 1879 | Apidae | x | x | x | ||||
| Eucera Scopoli, 1770 | Apidae | x | x | x | ||||
| Eucera vulpes Brullé, 1832 | Apidae | x | ||||||
| Halictus fulvipes (Klug, 1817) | Halictidae | x | ||||||
| Halictus gemmeus Dours, 1872 | Halictidae | x | x | x | x | |||
| Halictus maculatus Smith, 1848 | Halictidae | x | x | |||||
| Halictus quadricinctus (Fabricius, 1776) | Halictidae | x | x | x | ||||
| Halictus scabiosae (Rossi, 1790) | Halictidae | x | x | x | x | x | x | |
| Halictus subauratus (Rossi, 1792) | Halictidae | x | x | x | ||||
| Halictus vestitus Lepeletier, 1841 | Halictidae | x | ||||||
| Heriades crenulata Nylander, 1856 | Megachilidae | x | x | x | ||||
| Heriades truncorum (Linnaeus, 1758) | Megachilidae | x | x | |||||
| Hoplitis adunca (Panzer, 1798) | Megachilidae | x | ||||||
| Hylaeus communis Nylander, 1852 | Colletidae | x | x | x | x | x | ||
| Hylaeus Fabricius, 1793 | Colletidae | x | x | x | x | x | x | |
| Lasioglossum discum (Smith, 1853) | Halictidae | x | ||||||
| Lasioglossum leucozonium (Schrank, 1781) | Halictidae | x | x | x | ||||
| Lasioglossum malachurum (Kirby, 1802) | Halictidae | x | x | |||||
| Lasioglossum morio (Fabricius, 1793) | Halictidae | x | ||||||
| Lasioglossum nigripes (Lepeletier, 1841) | Halictidae | x | x | |||||
| Megachile albonotata Radoszkowski, 1886 | Megachilidae | x | ||||||
| Megachile apicalis Spinola, 1808 | Megachilidae | x | ||||||
| Megachile centuncularis (Linnaeus, 1758) | Megachilidae | x | ||||||
| Megachile leachella Curtis, 1828 | Megachilidae | x | ||||||
| Megachile melanopyga Costa, 1863 | Megachilidae | x | x | |||||
| Megachile rotundata (Fabricius, 1787) | Megachilidae | x | ||||||
| Megachile sculpturalis Smith, 1853 | Megachilidae | x | ||||||
| Nomada Scopoli, 1770 | Apidae | x | ||||||
| Osmia caerulescens (Linnaeus, 1758) | Megachilidae | x | ||||||
| Osmia niveata (Fabricius, 1804) | Megachilidae | x | ||||||
| Panurgus calcaratus (Scopoli, 1763) | Andrenidae | x | x | x | x | x | ||
| Pseudoanthidium scapulare (Latreille, 1809) | Megachilidae | x | ||||||
| Rhodanthidium septemdentatum (Latreille, 1809) | Megachilidae | x | ||||||
| Sphecodes Latreille, 1804 | Halictidae | x | x | |||||
| Stelis signata (Latreille, 1809) | Megachilidae | x | x | |||||
| Systropha curvicornis (Scopoli, 1770) | Halictidae | x | x | |||||
| Xylocopa iris (Christ, 1791) | Apidae | x | x | |||||
| Xylocopa violacea (Linnaeus, 1758) | Apidae | x | x | x | ||||
Appendix B
Table A2.
List of the vascular flora of apiarian interest detected in the study area by environmental unit (EUN). Plant species are also qualified in terms of non-native/cultivated status (retrieved from Celesti-Grapow et al. 2013 [73]): [A] = archaeophyte, [N] = neophyte, [D] = doubtful alien, [C] = cultivated/cultivation escapees. EUNs codes: AV = Alluvial valleys, PI = Pyroclastic impluvia, PP = Pyroclastic plateaus, SPS = Steep pyroclastic slopes, SS = Sedimentary clayey and sandy hill slopes, GPS = Gentle pyro-clastic slopes, LVS = Lithoid volcanic slopes.
Table A2.
List of the vascular flora of apiarian interest detected in the study area by environmental unit (EUN). Plant species are also qualified in terms of non-native/cultivated status (retrieved from Celesti-Grapow et al. 2013 [73]): [A] = archaeophyte, [N] = neophyte, [D] = doubtful alien, [C] = cultivated/cultivation escapees. EUNs codes: AV = Alluvial valleys, PI = Pyroclastic impluvia, PP = Pyroclastic plateaus, SPS = Steep pyroclastic slopes, SS = Sedimentary clayey and sandy hill slopes, GPS = Gentle pyro-clastic slopes, LVS = Lithoid volcanic slopes.
| Sampled Occurrences by EUN | ||||||||
|---|---|---|---|---|---|---|---|---|
| Species Name | Family | AV | PI | PP | SPS | SS | GPS | LVS |
| Acer campestre L. | Sapindaceae | x | ||||||
| Ailanthus altissima (Mill.) Swingle [N] | Simaroubaceae | x | x | x | ||||
| Ajuga iva (L.) Schreb. subsp. iva | Lamiaceae | x | ||||||
| Allium polyanthum Schult. & Schult. f. | Amaryllidaceae | x | ||||||
| Alnus glutinosa (L.) Gaertn. | Betulaceae | x | x | |||||
| Anchusa undulata subsp. hybrida (Ten.) Bég. | Boraginaceae | x | x | x | x | x | ||
| Anthemis arvensis L. subsp. arvensis | Asteraceae | x | ||||||
| Antirrhinum majus L. subsp. majus [A] | Plantaginaceae | x | ||||||
| Arctium lappa L. | Asteraceae | x | ||||||
| Artemisia vulgaris L. | Asteraceae | x | x | |||||
| Arum maculatum L. | Araceae | x | ||||||
| Asparagus acutifolius L. | Asparagaceae | x | x | x | x | |||
| Asphodelus ramosus L. subsp. ramosus var. ramosus | Xanthorrhoeaceae | x | ||||||
| Ballota nigra L. subsp. meridionalis (Bég.) Bég. | Lamiaceae | x | x | |||||
| Borago officinalis L. | Boraginaceae | x | x | x | x | x | x | |
| Brassica nigra (L.) W.D.J. Koch [D] | Brassicaceae | x | ||||||
| Calamintha nepeta (L.) Savi subsp. glandulosa P.W. Ball (Req.) | Lamiaceae | x | x | x | x | x | x | |
| Calystegia sepium (L.) R. Br. subsp. sepium | Convolvulaceae | x | x | x | ||||
| Campanula rapunculus L. | Campanulaceae | x | ||||||
| Capsella bursa-pastoris (L.) Medik. subsp. bursa-pastoris | Brassicaceae | x | ||||||
| Carduus nutans L. subsp. nutans | Asteraceae | x | ||||||
| Carduus pycnocephalus L. subsp. pycnocephalus | Asteraceae | x | ||||||
| Carlina corymbosa L. | Asteraceae | x | ||||||
| Carthamus lanatus L. subsp. lanatus | Asteraceae | x | x | |||||
| Celtis australis L. subsp. australis | Cannabaceae | x | ||||||
| Centaurea calcitrapa L. | Asteraceae | x | ||||||
| Centaurea napifolia L. | Asteraceae | x | ||||||
| Centaurea solstitialis L. subsp. solstitialis | Asteraceae | x | x | x | ||||
| Chenopodium album L. | Amaranthaceae | x | x | x | x | x | x | x |
| Chenopodium strictum Roth subsp. strictum | Amaranthaceae | x | ||||||
| Cichorium intybus L. subsp. intybus | Asteraceae | x | x | x | x | x | x | x |
| Cirsium arvense (L.) Scop. | Asteraceae | x | ||||||
| Cirsium vulgare (Savi) Ten. | Asteraceae | x | x | x | x | x | ||
| Clematis vitalba L. | Ranunculaceae | x | x | x | x | x | x | |
| Convolvulus althaeoides L. | Convolvulaceae | x | ||||||
| Convolvulus arvensis L. | Convolvulaceae | x | x | x | x | x | x | x |
| Convolvulus cantabrica L. | Convolvulaceae | x | x | |||||
| Crataegus monogyna Jacq. subsp. monogyna | Rosaceae | x | ||||||
| Crepis neglecta L. | Asteraceae | x | ||||||
| Crepis setosa Haller f. | Asteraceae | x | x | x | x | x | ||
| Cynoglossum creticum Mill. | Boraginaceae | x | ||||||
| Cynoglossum officinale L. | Boraginaceae | x | x | |||||
| Cyperus longus L. | Cyperaceae | x | ||||||
| Cytisus villosus Pourr. | Fabaceae | x | ||||||
| Daucus carota L. subsp. carota | Apiaceae | x | x | x | x | x | x | x |
| Delphinium halteratum Sm. subsp. halteratum | Ranunculaceae | x | x | x | ||||
| Diplotaxis muralis (L.) DC. | Brassicaceae | x | ||||||
| Dipsacus fullonum L. | Caprifoliaceae | x | x | |||||
| Echium italicum L. subsp. italicum | Boraginaceae | x | x | x | x | x | ||
| Echium plantagineum L. | Boraginaceae | x | x | x | x | x | x | |
| Echium vulgare L. | Boraginaceae | x | ||||||
| Epilobium hirsutum L. | Onagraceae | x | ||||||
| Epilobium lanceolatum Sebast. et Mauri | Onagraceae | x | ||||||
| Epilobium tetragonum L. subsp. tetragonum | Onagraceae | x | x | |||||
| Eruca vesicaria (L.) Cav. | Brassicaceae | x | ||||||
| Eryngium maritimum L. | Apiaceae | x | x | x | ||||
| Eucalyptus globulus Labill. [N] | Myrtaceae | x | ||||||
| Euonymus europaeus L. | Celastraceae | x | x | x | x | x | ||
| Foeniculum vulgare Mill. subsp. vulgare | Apiaceae | x | x | x | x | x | x | x |
| Galega officinalis L. | Fabaceae | x | ||||||
| Galium album Mill. | Rubiaceae | x | x | x | ||||
| Galium aparine L. | Rubiaceae | x | x | x | x | x | x | x |
| Geranium molle L. | Geraniaceae | x | ||||||
| Hedera helix L. subsp. helix | Araliaceae | x | x | x | x | x | ||
| Hypericum perforatum L. | Hypericaceae | x | x | x | x | x | ||
| Juglans regia L. [C] | Juglandaceae | x | x | |||||
| Knautia arvensis (L.) Coult. | Caprifoliaceae | x | x | x | ||||
| Knautia integrifolia (L.) Bertol. subsp. integrifolia | Caprifoliaceae | x | x | x | x | x | ||
| Lathyrus annuus L. | Fabaceae | x | ||||||
| Laurus nobilis L. | Lauraceae | x | x | x | ||||
| Lavatera cretica L. | Malvaceae | x | ||||||
| Linaria pelisseriana (L.) Mill. | Plantaginaceae | x | ||||||
| Linaria purpurea (L.) Mill. | Plantaginaceae | x | x | |||||
| Linaria vulgaris Mill. subsp. vulgaris | Plantaginaceae | x | x | x | x | x | x | |
| Lythrum salicaria L. | Lythraceae | x | ||||||
| Malva arborea (L.) Webb & Berthel. | Malvaceae | x | ||||||
| Malva sylvestris L. subsp. sylvestris | Malvaceae | x | x | x | x | x | x | |
| Medicago sativa L. [D] | Fabaceae | x | x | x | x | x | x | x |
| Melilotus albus Medik. | Fabaceae | x | ||||||
| Mentha suaveolens Ehrh. subsp. suaveolens | Lamiaceae | x | ||||||
| Nigella damascena L. | Ranunculaceae | x | x | |||||
| Olea europaea L. [C] | Oleaceae | x | ||||||
| Oxalis corniculata L. | Oxalidaceae | x | x | |||||
| Oxalis stricta L. [N] | Oxalidaceae | x | ||||||
| Papaver rhoeas L. subsp. rhoeas [D] | Papaveraceae | x | x | x | x | x | x | x |
| Petasites hybridus (L.) P. Gaertn., B. Mey. et Scherb | Asteraceae | x | ||||||
| Picris echioides L. | Asteraceae | x | x | x | x | x | ||
| Picris hieracioides L. subsp. hieracioides | Asteraceae | x | x | x | x | x | x | x |
| Plantago lanceolata L. | Plantaginaceae | x | x | x | x | |||
| Plantago major L. subsp. major | Plantaginaceae | x | x | |||||
| Polygonum arenastrum Boreau subsp. arenastrum | Polygonaceae | x | x | x | ||||
| Populus nigra L. | Salicaceae | x | ||||||
| Portulaca oleracea L. subsp. oleracea | Portulacaceae | x | x | |||||
| Prunus cerasifera Ehrh. [A] | Rosaceae | x | ||||||
| Prunus spinosa L. subsp. spinosa | Rosaceae | x | x | x | x | x | x | |
| Pyrus pyraster Burgsd. | Rosaceae | x | x | x | ||||
| Quercus ilex L. subsp. ilex | Fagaceae | x | ||||||
| Quercus robur L. subsp. robur | Fagaceae | x | ||||||
| Quercus suber L. | Fagaceae | x | x | x | ||||
| Quercus virgiliana (Ten.) Ten. | Fagaceae | x | x | x | x | x | ||
| Raphanus raphanistrum L. subsp. raphanistrum | Brassicaceae | x | x | x | x | x | x | x |
| Reseda phyteuma L. subsp. phyteuma | Resedaceae | x | x | |||||
| Robinia pseudacacia L. [N] | Fabaceae | x | x | x | ||||
| Rosa canina L. | Rosaceae | x | x | |||||
| Rosa sempervirens L. | Rosaceae | x | x | x | x | |||
| Rubus ulmifolius Schott | Rosaceae | x | x | x | x | x | x | x |
| Rumex acetosa L. subsp. acetosa | Polygonaceae | x | ||||||
| Rumex acetosella L. subsp. pyrenaicus (Pourr. ex Lapeyr.) Akeroyd | Polygonaceae | x | ||||||
| Rumex aquaticus L. | Polygonaceae | x | ||||||
| Rumex bucephalophorus L. subsp. bucephalophorus | Polygonaceae | x | x | x | x | x | ||
| Rumex conglomeratus Murray | x | x | x | x | ||||
| Rumex crispus L. | Polygonaceae | x | x | x | x | x | ||
| Rumex obtusifolius L. subsp. obtusifolius | Polygonaceae | x | x | x | x | x | ||
| Rumex pulcher L. subsp. pulcher | Polygonaceae | x | x | |||||
| Rumex sanguineus L. | Polygonaceae | x | x | x | x | |||
| Salix alba L. subsp. alba | Salicaceae | x | x | |||||
| Salix triandra L. subsp. amygdalyna (L.) Schübl. et G. Martens | Salicaceae | x | x | |||||
| Salvia verbenaca L. | Lamiaceae | |||||||
| Sambucus ebulus L. | Adoxaceae | x | ||||||
| Sambucus nigra L. | Adoxaceae | x | x | x | x | x | ||
| Sanguisorba minor Scop. subsp. balearica (Bourg. ex Nyman) Muñoz Garm. et C. Navarro | Rosaceae | x | ||||||
| Scabiosa columbaria L. | Caprifoliaceae | x | x | |||||
| Scabiosa maritima L. | Caprifoliaceae | x | x | |||||
| Senecio erraticus Bertol. subsp. erraticus | Asteraceae | x | x | x | x | x | ||
| Senecio vulgaris L. | Asteraceae | x | x | |||||
| Silene alba (Mill.) E. H. L. Krause | Caryophyllaceae | x | ||||||
| Silene laeta (Aiton) Godr. | Caryophyllaceae | x | x | x | x | x | x | x |
| Silybum marianum (L.) Gaertn. | Asteraceae | x | ||||||
| Sinapis arvensis L. subsp. arvensis | Brassicaceae | x | x | x | x | x | x | x |
| Stachys arvensis (L.) L. | Lamiaceae | x | x | x | ||||
| Stachys germanica L. subsp. germanica | Lamiaceae | x | ||||||
| Stachys ocymastrum (L.) Briq. | Lamiaceae | x | ||||||
| Stachys sylvatica L. | Lamiaceae | x | ||||||
| Taraxacum megalorrhizon (Forssk.) Hand. -Mazz. | Asteraceae | x | x | x | ||||
| Tordylium maximum L. | Apiaceae | x | x | |||||
| Trifolium angustifolium L. subsp. angustifolium | Fabaceae | x | x | x | ||||
| Trifolium campestre Schreb. | Fabaceae | x | x | x | ||||
| Trifolium incarnatum L. subsp. incarnatum [C] | Fabaceae | x | x | x | x | |||
| Trifolium pallidum Waldst. et Kit. | Fabaceae | x | ||||||
| Trifolium pratense L. subsp. pratense | Fabaceae | x | x | x | x | x | ||
| Trifolium repens L. subsp. repens | Fabaceae | x | ||||||
| Trifolium sebastianii Savi | Fabaceae | x | ||||||
| Trifolium squarrosum L. | Fabaceae | x | ||||||
| Trigonella alba (Medik.) Coulot & Rabaute | Fabaceae | x | ||||||
| Ulmus minor Mill. subsp. minor | Fabaceae | x | x | x | x | x | x | x |
| Urospermum picroides (L.) Scop. ex F.W. Schmidt | Asteraceae | x | ||||||
| Verbascum blattaria L. | Scrophulariaceae | x | x | x | x | |||
| Verbascum pulverulentum Vill. | Scrophulariaceae | x | ||||||
| Verbascum sinuatum L. | Scrophulariaceae | x | x | x | x | x | x | x |
| Verbascum thapsus L. subsp. thapsus | Scrophulariaceae | x | x | |||||
| Verbena officinalis L. | Verbenaceae | x | x | x | x | x | ||
| Veronica arvensis L. | Plantaginaceae | x | ||||||
| Veronica persica Poir. [N] | Plantaginaceae | x | ||||||
| Vicia cracca L. | Fabaceae | x | x | x | x | |||
| Vicia villosa Roth subsp. varia (Host) Corb. | Fabaceae | x | x | x | x | |||
| Viola tricolor L. subsp. tricolor | Violaceae | x | ||||||
| Vitis vinifera L. [C] | Vitaceae | x | x | x | ||||
| Xanthium italicum Moretti | Asteraceae | x | x | |||||
| Xanthium spinosum L. [N] | Asteraceae | x | x | |||||
References
- Kleijn, D.; Winfree, R.; Bartomeus, I.; Carvalheiro, L.G.; Henry, M.; Isaacs, R.; Klein, A.-M.; Kremen, C.; M’Gonigle, L.K.; Rader, R.; et al. Delivery of crop pollination services is an insufficient argument for wild pollinator conservation. Nat. Commun. 2015, 6, 7414. [Google Scholar] [CrossRef] [PubMed]
- Senapathi, D.; Biesmeijer, J.C.; Breeze, T.D.; Kleijn, D.; Potts, S.G.; Carvalheiro, L.G. Pollinator conservation—The difference between managing for pollination services and preserving pollinator diversity. Curr. Opin. Insect Sci. 2015, 12, 93–101. [Google Scholar] [CrossRef]
- Potts, S.G.; Imperatriz-Fonseca, V.; Ngo, H.T.; Aizen, M.A.; Biesmeijer, J.C.; Breeze, T.D.; Dicks, L.V.; Garibaldi, L.A.; Hill, R.; Settele, J.; et al. Safeguarding pollinators and their values to human well-being. Nature 2016, 540, 220–229. [Google Scholar] [CrossRef] [PubMed]
- Bartholomée, O.; Lavorel, S. Disentangling the diversity of definitions for the pollination ecosystem service and associated estimation methods. Ecol. Indic. 2019, 107, 105576. [Google Scholar] [CrossRef]
- Hristov, P.; Neov, B.; Shumkova, R.; Palova, N. Significance of Apoidea as Main Pollinators. Ecological and Economic Impact and Implications for Human Nutrition. Diversity 2020, 12, 280. [Google Scholar] [CrossRef]
- Zulian, G.; Maes, J.; Paracchini, M.L. Linking Land Cover Data and Crop Yields for Mapping and Assessment of Pollination Services in Europe. Land 2013, 2, 472–492. [Google Scholar] [CrossRef]
- Capriolo, A.; Boschetto, R.G.; Mascolo, R.A.; Balbi, S.; Villa, F. Biophysical and economic assessment of four ecosystem services for natural capital accounting in Italy. Ecosyst. Serv. 2020, 46, 101207. [Google Scholar] [CrossRef]
- Porto, R.G.; de Almeida, R.F.; Cruz-Neto, O.; Tabarelli, M.; Viana, B.F.; Peres, C.A.; Lopes, A.V. Pollination Ecosystem Services: A Comprehensive Review of Economic Values, Research Funding and Policy Actions. Food Secur. 2020, 12, 1425–1442. [Google Scholar] [CrossRef]
- Jordan, A.; Patch, H.M.; Grozinger, C.M.; Khanna, V. Economic Dependence and Vulnerability of United States Agricultural Sector on Insect-Mediated Pollination Service. Environ. Sci. Technol. 2021, 55, 2243–2253. [Google Scholar] [CrossRef]
- Zattara, E.E.; Aizen, M.A. Worldwide occurrence records suggest a global decline in bee species richness. One Earth 2021, 4, 114–123. [Google Scholar] [CrossRef]
- EC (European Commission). EU Biodiversity Strategy for 2030-Bringing Nature Back into Our Lives; Communication from the Commission to the European Parliament, the Council, the European Economic and Social Committee and the Committee of the Regions COM. 2020. Available online: https://eur-lex.europa.eu/legal-content/EN/TXT/?qid=1590574123338&uri=CELEX:52020DC0380 (accessed on 7 November 2021).
- DEFRA (Department for Environment, Food and Rural Affairs). National Pollinator Strategy: Implementation Plan, 2018–2202. 2018. Available online: https://www.gov.uk/search/all (accessed on 7 November 2021).
- Gemmill-Herren, B.; Garibaldi, L.A.; Kremen, C.; Ngo, H.T. Building Effective Policies to Conserve Pollinators: Translating Knowledge into Policy. Curr. Opin. Insect Sci. 2021, 46, 64–71. [Google Scholar] [CrossRef]
- IEEP (Institute for European Environmental Policy). Pollinator Initiatives in EU Member States: Success Factors and Gaps. 2017. Available online: https://ieep.eu/ (accessed on 7 November 2021).
- EC (European Commission). EU Pollinators Initiative; Communication from the Commission to the European Parliament, the Council, the European Economic and Social Committee and the Committee of the Regions COM. 2018. Available online: https://ec.europa.eu/environment/nature/conservation/species/pollinators/policy_en.htm (accessed on 7 November 2021).
- Vanbergen, A.J.; Initiative, T.I.P. Threats to an ecosystem service: Pressures on pollinators. Front. Ecol. Environ. 2013, 11, 251–259. [Google Scholar] [CrossRef]
- Woodcock, B.A.; Bullock, J.M.; Shore, R.F.; Heard, M.S.; Pereira, M.G.; Redhead, J.; Ridding, L.; Dean, H.; Sleep, D.; Henrys, P.; et al. Country-specific effects of neonicotinoid pesticides on honey bees and wild bees. Science 2017, 356, 1393–1395. [Google Scholar] [CrossRef]
- Mathiasson, M.E.; Rehan, S.M. Wild bee declines linked to plant-pollinator network changes and plant species introductions. Insect Conserv. Divers. 2020, 13, 595–605. [Google Scholar] [CrossRef]
- Ollerton, J.; Erenler, H.; Edwards, M.; Crockett, R. Pollinator declines. Extinctions of aculeate pollinators in Britain and the role of large-scale agricultural changes. Science 2014, 346, 1360–1362. [Google Scholar] [CrossRef]
- Buchholz, S.; Kowarik, I. Urbanisation modulates plant-pollinator interactions in invasive vs. native plant species. Sci. Rep. 2019, 9, 6375. [Google Scholar] [CrossRef]
- ECA (European Court of Auditors). Protection of Wild Pollinators in the EU—Commission Initiatives Have Not Borne Fruit. 2020. Available online: https://www.eca.europa.eu/en/Pages/DocItem.aspx?did=54200 (accessed on 7 November 2021).
- Thimmegowda, G.G.; Mullen, S.; Sottilare, K.; Sharma, A.; Mohanta, S.S.; Brockmann, A.; Dhandapany, P.S.; Olsson, S.B. A field–based quantitative analysis of sublethal effects of air pollution on pollinators. Proc. Natl. Acad. Sci. USA 2020, 117, 20653–20661. [Google Scholar] [CrossRef]
- Wenzel, A.; Grass, I.; Belavadi, V.V.; Tscharntke, T. How Urbanization is Driving Pollinator Diversity and Pollination–A Systematic Review. Biol. Conserv. 2020, 241, 108321. [Google Scholar] [CrossRef]
- Tommassi, P.; Miro, A.; Higo, H.A.; Winston, M. Bee diversity and abundance in a urban setting. Can. Enthomol. 2004, 136, 851–869. [Google Scholar] [CrossRef]
- Matteson, K.C.; Langellotto, G.A. Small scale additions of native plants fail to increase beneficial insect richness in urban gardens. Insect Conserv. Divers. 2011, 4, 89–98. [Google Scholar] [CrossRef]
- Stange, E.; Zulian, G.; Rusch, G.; Barton, D.; Nowell, M. Ecosystem services mapping for municipal policy: ESTIMAP and zoning for urban beekeeping. One Ecosyst. 2017, 2, e14014. [Google Scholar] [CrossRef]
- Wania, A.; Kuhn, I.; Klotz, S. Plant richness patterns in agricultural and urban landscapes in Central Germany—Spatial gradients of species richness. Landsc. Urban Plan. 2006, 75, 97–110. [Google Scholar] [CrossRef]
- Capotorti, G.; Del Vico, E.; Lattanzi, E.; Tilia, A.; Celesti-Grapow, L. Exploring biodiversity in a metropolitan area in the Mediterranean region: The urban and suburban flora of Rome (Italy). Plant Biosyst. 2013, 147, 174–185. [Google Scholar] [CrossRef]
- Baldock, K.C.R.; Goddard, M.A.; Hicks, D.M.; Kunin, W.E.; Mitschunas, N.; Osgathorpe, L.M.; Potts, S.G.; Robertson, K.M.; Scott, A.V.; Stone, G.N.; et al. Where is the UK’s pollinator biodiversity? The importance of urban areas for flower-visiting insects. Proc. R. Soc. B Biol. Sci. 2015, 282, 20142849. [Google Scholar] [CrossRef] [PubMed]
- Kaluza, B.F.; Wallace, H.; Heard, T.A.; Klein, A.-M.; Leonhardt, S.D. Urban gardens promote bee foraging over natural habitats and plantations. Ecol. Evol. 2016, 6, 1304–1316. [Google Scholar] [CrossRef] [PubMed]
- Hall, D.M.; Camilo, G.R.; Tonietto, R.K.; Ollerton, J.; Ahrné, K.; Arduser, M.; Ascher, J.S.; Baldock, K.C.; Fowler, R.; Frankie, G.; et al. The city as a refuge for insect pollinators. Conserv. Biol. 2017, 31, 24–29. [Google Scholar] [CrossRef]
- Hostetler, M.E.; McIntyre, N.E. Effects of urban land use on pollinator (Hymenoptera: Apoidea) communities in a desert metropolis. Basic Appl. Ecol. 2001, 2, 209–218. [Google Scholar] [CrossRef]
- Casiker, C.V.; Jagadishakumara, B.; Sunil, G.M.; Chaithra, K.; Devy, M.S. Bee Diversity in the Rural–Urban Interface of Bengaluru and Scope for Pollinator-Integrated Urban Agriculture. In The Rural-Urban Interface: Bee Diversity in the Rural–Urban Interface of Bengaluru and Scope for Pollinator-Integrated Urban Agriculture; Hoffmann, E., Buerkert, A., von Cramon-Taubadel, S., Umesh, K.B., Pethandlahalli Shivaraj, P., Vazhacharickal, P.J., Eds.; Springer: Berlin, Germany, 2021; pp. 171–182. [Google Scholar]
- Moore, L.J.; Kosut, M. Buzz: Urban Beekeeping and the Power of the Bee; New York University Press: New York, NY, USA; London, UK, 2013. [Google Scholar]
- Gunnarsson, B.; Federsel, L.M. Bumblebees in the city: Abundance, Species Richness and Diversity in Two Urban Habitats. J. Insect Conserv. 2014, 18, 1185–1191. [Google Scholar] [CrossRef]
- Fukase, J.; Simons, A. Increased pollinator activity in urban gardens with more native flora. Appl. Ecol. Environ. Res. 2016, 14, 297–310. [Google Scholar] [CrossRef]
- Daniels, B.; Jedamski, J.; Ottermanns, R.; Ross-Nickoll, M. A “plan bee” for cities: Pollinator diversity and plant-pollinator interactions in urban green spaces. PLoS ONE 2020, 15, e0235492. [Google Scholar] [CrossRef]
- Pufal, G.; Steffan-Dewenter, I.; Klein, A.-M. Crop pollination services at the landscape scale. Curr. Opin. Insect Sci. 2017, 21, 91–97. [Google Scholar] [CrossRef]
- EC (European Commission). Review of Progress on Implementation of the EU Green Infrastructure Strategy; Report from the Commission to the European Parliament, the Council, the European Economic and Social Committee and the Committee of the Regions COM. 2019. Available online: https://ec.europa.eu/environment/nature/ecosystems/index_en.htm (accessed on 7 November 2021).
- Banaszak-Cibicka, W.; Ratyńska, H.; Dylewski, L. Features of urban green space favourable for large and diverse bee populations (Hymenoptera: Apoidea: Apiformes). Urban For. Urban Green. 2016, 20, 448–452. [Google Scholar] [CrossRef]
- Gren, A.; Andersson, E. Being efficient and green by rethinking the urban-rural divide—Combining urban expansion and food production by integrating an ecosystem service perspective into urban planning. Sustain. Cities Soc. 2018, 40, 75–82. [Google Scholar] [CrossRef]
- Langellotto, G.; Melathopoulos, A.; Messer, I.; Anderson, A.; McClintock, N.; Costner, L. Garden pollinators and the potential for ecosystem service flow to urban and peri-urban agriculture. Sustainability 2018, 10, 2047. [Google Scholar] [CrossRef]
- Turo, K.J.; Spring, M.R.; Sivakoff, F.S.; De La Flor, Y.A.D.; Gardiner, M.M. Conservation in post-industrial cities: How does vacant land management and landscape configuration influence urban bees? J. Appl. Ecol. 2021, 58, 58–69. [Google Scholar] [CrossRef]
- Bonifazi, A.; Balena, P.; Rega, C. Pollination and the Integration of Ecosystem Services in Landscape Planning and Rural Development. In Lecture Notes in Computer Science: Computational Science and Its Applications—ICCSA 2017; Part V; Gervasi, O., Ed.; ICCSA: Trieste, Italy, 2017; pp. 118–133. [Google Scholar]
- Rega, C.; Bartual, A.M.; Bocci, G.; Sutter, L.; Albrecht, M.; Moonen, A.C.; Jeanneret, P.; van der Werf, W.; Pfister, S.C.; Holland, J.M.; et al. A pan-European model of landscape potential to support natural pest control services. Ecol. Indic. 2018, 90, 653–664. [Google Scholar] [CrossRef]
- Bates, A.J.; Sadler, J.P.; Fairbrass, A.J.; Falk, S.J.; Hale, J.D.; Matthews, T.J. Changing bee and hoverfly pollinator assemblages along an urban-rural gradient. PLoS ONE 2011, 6, e23459. [Google Scholar] [CrossRef]
- Biella, P.; Tommasi, N.; Guzzetti, L.; Pioltelli, E.; Labra, M.; Galimberti, A. City climate and landscape structure shape pollinators, nectar and transported pollen along a gradient of urbanization. J. Appl. Ecol. 2022, 59, 1586–1595. [Google Scholar] [CrossRef]
- Funiciello, R.; Giordano, G.; Mattei, M. Carta Geologica del Comune di Roma/Geological Map of the Municipality of Roma (1:50000). 2008. Available online: https://www.isprambiente.gov.it/it/pubblicazioni/periodici-tecnici/memorie-descrittive-della-carta-geologica-ditalia/la-geologia-di-roma-dal-centro-storico-alla (accessed on 7 November 2021).
- Blasi, C.; Capotorti, G.; Copiz, R.; Guida, D.; Mollo, B.; Smiraglia, D.; Zavattero, L. Classification and mapping of the ecoregions of Italy. Plant Biosyst. 2014, 148, 1255–1345. [Google Scholar] [CrossRef]
- Blasi, C.; Capotorti, G.; Copiz, R.; Mollo, B. A first revision of the Italian Ecoregion map. Plant Biosyst. 2018, 152, 1201–1204. [Google Scholar] [CrossRef]
- Frondoni, R.; Mollo, B.; Capotorti, G. A landscape analysis of land cover change in the Municipality of Rome (Italy): Spatio-temporal characteristics and ecological implications of land cover transitions from 1954 to 2001. Landsc. Urban Plan. 2011, 100, 117–128. [Google Scholar] [CrossRef]
- Provincia di Roma, Piano Territoriale Provinciale Generale. Rapporto Territorio: Sistema della Mobilità. 2015. Available online: http://ptpg.cittametropolitanaroma.gov.it/UploadDocs/2010/rapporto_territorio/ (accessed on 7 November 2021).
- Blasi, C.; Capotorti, G.; Alós Ortí, M.M.; Anzellotti, I.; Attorre, F.; Azzella, M.M.; Carli, E.; Copiz, R.; Garfì, V.; Manes, F.; et al. Ecosystem mapping for the implementation of the European Biodiversity Strategy at the national level: The case of Italy. Environ. Sci. Policy 2017, 78, 173–184. [Google Scholar] [CrossRef]
- Weiss, M.; Banko, G. Ecosystem Type Map v3.1—Terrestrial and Marine Ecosystems; EEA-European Topic Centre on Biological Diversity: Paris, France, 2018. [Google Scholar]
- Blasi, C.; Capotorti, G.; Frondoni, R. Defining and mapping typological models at the landscape scale. Plant Biosyst. 2005, 139, 155–163. [Google Scholar] [CrossRef]
- Tüxen, R. Die Heutige Potentielle Natürliche Vegetation Als Gegenstand der Vegetationskartierung; Zentralstelle für Vegetationskartierung: Remagen, Germany, 1956. [Google Scholar]
- Loidi, J.; Fernandez-Gonzalez, F. Potential natural vegetation: Reburying or reboring? J. Veg. Sci. 2012, 23, 596–604. [Google Scholar] [CrossRef]
- CIRBFEP (Centro di Ricerca Interuniversitario Biodiversità, Fitosociologia ed Ecologia del Paesaggio). Carta della Vegetazione reale della Provincia di Roma. 2013. Available online: http://websit.cittametropolitanaroma.it/BDV2014/Veget_Reale.aspx (accessed on 7 November 2021).
- Phillips, B.B.; Bullock, J.M.; Osborne, J.L.; Gaston, K.J.; Manning, P. Ecosystem service provision by road verges. J. Appl. Ecol. 2020, 7, 488–501. [Google Scholar] [CrossRef]
- Capotorti, G.; Guida, D.; Siervo, V.; Smiraglia, D.; Blasi, C. Ecological classification of land and conservation of biodiversity at the national level: The case of Italy. Biol. Conserv. 2012, 147, 174–183. [Google Scholar] [CrossRef]
- Capotorti, G.; Zavattero, L.; Anzellotti, I.; Burrascano, S.; Frondoni, R.; Marchetti, M.; Marignani, M.; Smiraglia, D.; Blasi, C. Do National Parks play an active role in conserving the natural capital of Italy? Plant Biosyst. 2012, 146, 258–265. [Google Scholar] [CrossRef]
- Ricciardelli D’Albore, G.; Persano Oddo, L. Flora Apistica Italiana, 1st ed.; Istituto Sperimentale per la Zoologia Agraria: Firenze, Italy, 1981. [Google Scholar]
- Persano Oddo, L. Mieli e flora mellifera del Lazio; Produced as part of the “Programma finalizzato al miglioramento della produzione e commercializzazione del miele”—Piano di attuazione Sottoprogramma operativo Regione Lazio—Annualità 2005–2006; Istituto Zooprofilattico Sperimentale delle Regioni Lazio e Toscana: Pisa, Italy, 2006. [Google Scholar]
- Hopwood, J.L. The contribution of roadside grassland restorations to native bee conservation. Biol. Conserv. 2008, 141, 2632–2640. [Google Scholar] [CrossRef]
- Blasi, C.; Canini, L.; Capotorti, G.; Celesti, L.; Del Moro, M.A.; Ercole, S.; Filesi, L.; Fiorini, S.; Lattanzi, E.; Leoni, G.; et al. Flora, vegetazione ed ecologia del paesaggio delle aree protette di RomaNatura. Inf. Bot. Ital. 2001, 33, 14–18. [Google Scholar]
- Blasi, C.; Capotorti, G. Carta Delle Serie di Vegetazione del Territorio del Comune di Roma (1:50,000). 2007. Available online: http://www.urbanistica.comune.roma.it (accessed on 7 November 2021).
- Waddington, K.D.; Holden, L.R. Optimal foraging: On flower selection by bees. Am. Nat. 1979, 114, 179–196. [Google Scholar] [CrossRef]
- Gumbert, A.; Kunze, J. Inflorescence height affects visitation behavior of bees-a case study of an aquatic plant community in bolivia. Biotropica 1999, 31, 466–477. [Google Scholar] [CrossRef]
- Cane, J.H.; Minckley, R.L.; Kervin, L.J. Sampling bees (Hymenoptera: Apiformes) for pollinator community studies: Pitfalls of pan trapping. J. Kans. Entomol. Soc. 2000, 73, 225–231. [Google Scholar]
- Integrated Taxonomic Information System (ITIS). 2023. Available online: https://www.itis.gov/ (accessed on 25 January 2023).
- Westhoff, V.; Van Der Maarel, E. The braun-blanquet approach. In Classification of Plant Communities; Springer: Dordrecht, The Netherlands, 1978; pp. 287–399. [Google Scholar]
- Dengler, J.; Chytrý, M.; Ewald, J. Phytosociology. In Encyclopedia of Ecology; Jørgensen, S.E., Fath, B.D., Eds.; Elsevier: Oxford, UK, 2008; Volume 4, pp. 2767–2779. [Google Scholar]
- Celesti-Grapow, L.; Capotorti, G.; Del Vico, E.; Lattanzi, E.; Tilia, A.; Blasi, C. The vascular flora of Rome. Plant Biosyst. 2013, 147, 1059–1087. [Google Scholar] [CrossRef]
- Zanette, L.R.S.; Martins, R.P.; Ribeiro, S.P. Effects of urbanization on neotropical wasp and bee assemblages in a Brazilian metropolis. Landsc. Urban Plan. 2005, 71, 105–121. [Google Scholar] [CrossRef]
- Heneberg, P.; Bogusch, P.; Řezáč, M. Roadside verges can support spontaneous establishment of steppe-like habitats hosting diverse assemblages of bees and wasps (Hymenoptera: Aculeata) in an intensively cultivated central European landscape. Biodivers. Conserv. 2017, 26, 843–864. [Google Scholar] [CrossRef]
- Shannon, C.E. A mathematical theory of communication. Bell Syst. Tech. J. 1948, 27, 623–656. [Google Scholar]
- Simpson, E.H. Measurement of diversity. Nature 1949, 163, 688. [Google Scholar] [CrossRef]
- McGarigal, K.; Marks, B.J. FRAGSTATS: Spatial Pattern Analysis Program for Quantifying Landscape Structure; U.S. Department of Agriculture, Forest Service, Pacific Northwest Research Station: Portland, OR, USA, 1995.
- Municipality of Rome. Piano Regolatore Generale: Relazione (General Master Plan: Report). 2003. Available online: http://www.urbanistica.comune.roma.it/prg-adottato/prg-adottato-elaborati-descrittivi/prg-adottato-d1.html (accessed on 7 November 2021).
- Pizzolotto, R.; Brandmayr, P. An index to evaluate landscape conservation state based on land-use pattern analysis and Geographic Information System techniques. Coenoses 1996, 11, 37–44. [Google Scholar]
- Pearson, K. On the criterion that a given system of deviations from the probable in the case of a correlated system of variables is such that it can be reasonably supposed to have arisen from random sampling. Philos. Mag. Lett. 1990, 50, 157–175. [Google Scholar] [CrossRef]
- Spearman, C. The proof and measurement of association between two things. Am. J. Psychol. 1904, 15, 72–101. [Google Scholar] [CrossRef]
- Langemeyer, J.; Wedgwood, D.; McPhearsonc, T.; Baró, F.; Madsende, A.L.; Barton, D.N. Creating urban green infrastructure where it is needed—A spatial ecosystem service-based decision analysis of green roofs in Barcelona. Sci. Total Environ. 2020, 707, 135487. [Google Scholar] [CrossRef] [PubMed]
- Belton, V.; Stewart, T. Multiple Criteria Decision Analysis: An Integrated Approach; Springer: Berlin, Germany, 2002. [Google Scholar]
- Venter, Z.S.; Barton, D.N.; Martinez-Izquierdo, L.; Langemeyer, J.; Baró, F.; McPhearson, T. Interactive spatial planning of urban green infrastructure—Retrofitting green roofs where ecosystem services are most needed in Oslo. Ecosyst. Serv. 2021, 50, 101314. [Google Scholar] [CrossRef]
- Menz, M.H.M.; Phillips, R.D.; Winfree, R.; Kremen, C.; Aizen, M.A.; Johnson, S.D.; Dixon, K.W. Reconnecting plants and pollinators: Challenges in the restoration of pollination mutualisms. Trends Plant Sci. 2011, 16, 4–12. [Google Scholar] [CrossRef] [PubMed]
- Senapathi, D.; Goddard, M.A.; Kunin, W.E.; Baldock, K.C.R. Landscape impacts on pollinator communities in temperate systems: Evidence and knowledge gaps. Funct. Ecol. 2017, 31, 26–37. [Google Scholar] [CrossRef]
- McDonnell, M.J.; Hahs, A.K. The future of urban biodiversity research: Moving beyond the ‘low-hanging fruit’. Urban Ecosyst. 2013, 16, 397–409. [Google Scholar] [CrossRef]
- Theobald, D.M. Placing exurban land-use change in a human modification framework. Front. Ecol. Environ. 2004, 2, 139–144. [Google Scholar] [CrossRef]
- Hahs, A.K.; McDonnell, M.J. Selecting Independent Measures to Quantify Melbourne’s Urban-rural Gradient. Landsc. Urban Plan. 2006, 78, 435–448. [Google Scholar] [CrossRef]
- Rahimi, E.; Barghjelveh, S.; Dong, P. Using the Lonsdorf model for estimating habitat loss and fragmentation effects on pollination service. Ecol. Process. 2021, 10, 22. [Google Scholar] [CrossRef]
- Brouwer, R.; van Ek, R. Integrated ecological, economic and social impact assessment of alternative flood control policies in The Netherlands. Ecol. Econ. 2004, 50, 1–21. [Google Scholar] [CrossRef]
- Wang, J.-J.; Jing, Y.-Y.; Zhang, C.-F.; Zhao, J.-H. Review on multi-criteria decision analysis aid in sustainable energy decision-making. Renew. Sustain. Energy Rev. 2009, 13, 2263–2278. [Google Scholar] [CrossRef]
- Tuck, S.L.; Winqvist, C.; Mota, F.; Ahnstrom, J.; Turnbull, L.A.; Bengtsson, J. Land-use intensity and the effects of organic farming on biodiversity: A hierarchical meta-analysis. J. Appl. Ecol. 2014, 51, 746–755. [Google Scholar] [CrossRef]
- Quaranta, M.; Sommaruga, A.; Balzarini, P. A new species for the bee fauna of Italy: Megachile sculpturalis continues its colonization of Europe. Bull. Insectol. 2014, 67, 287–293. [Google Scholar]
- Ruzzier, E.; Menchetti, M.; Bortolotti, L.; Selis, M.; Monterastelli, E. Updated Distribution of the Invasive Megachile sculpturalis (Hymenoptera: Megachilidae) in Italy and Its First Record on a Mediterranean Island. Biodivers. Data J. 2020, 8, e57783. [Google Scholar] [CrossRef]
- Michener, C.D. The Bees of the World; John Hopkins UP: Baltimore, MD, USA, 2000. [Google Scholar]
- Laport, R.; Minckley, R. Occupation of active Xylocopa virginica nests by the recently invasive Megachile sculpturalis in upstate New York. J. Kans. Entomol. Soc. 2012, 85, 384–386. [Google Scholar] [CrossRef]
- Roulston, T.; Malfi, R. Aggressive Eviction of the Eastern Carpenter Bee (Xylocopa Virginica (Linnaeus)) from Its Nest by the Giant Resin Bee (Megachile Sculpturalis Smith). J. Kans. Entomol. Soc. 2012, 85, 387–388. [Google Scholar] [CrossRef]
- Le Féon, V.; Aubert, M.; Genoud, D.; Andrieu-Ponel, V.; Westrich, P.; Geslin, B. Range expansion of the Asian native giant resin bee Megachile sculpturalis (Hymenoptera, Apoidea, Megachilidae) in France. Ecol. Evol. 2018, 8, 1534–1542. [Google Scholar] [CrossRef]
- Comba, M. Hymenoptera: Apoidea: Anthophila of Italy, Bibliographic Checklist of Italian Wild Bees with Notes on Taxonomy, Biology, and Distribution. 2019. Available online: https://digilander.libero.it/mario.comba/Introduction.htm (accessed on 7 November 2021).
- Comba, L.; Comba, M. Catalogo degli Apoidea Laziali (Hymenoptera, Aculeata). In Fragmenta Entomologica; Università degli Studi di Roma “La Sapienza“: Roma, Italy, 1991; Volume 22, pp. 1–169. [Google Scholar]
- Zapparoli, M. Gli Insetti di Roma; Fratelli Palombi Editori: Roma, Italy, 1997. [Google Scholar]
- Ricciardelli D’Albore, G.; Intoppa, F. Fiori e Api. La Flora Visitata Dalle Api e Dagli Apoidei in Europa; Calderini Edagricole: Bologna, Italy, 2000. [Google Scholar]
- Blasi, C. Patterns of biodiversity. In Biodiversity in Italy; Blasi, C., Boitani, L., La Posta, S., Manes, F., Marchetti, M., Eds.; Fratelli Palombi Editori: Roma, Italy, 2007; pp. 35–37. [Google Scholar]
- Capotorti, G.; Alós Ortí, M.M.; Copiz, R.; Fusaro, L.; Mollo, B.; Salvatori, E.; Zavattero, L. Biodiversity and ecosystem services in urban green infrastructure planning: A case study from the metropolitan area of Rome (Italy). Urban For. Urban Green. 2019, 37, 87–96. [Google Scholar] [CrossRef]
- Jalkanen, J.; Vierikko, K.; Moilanen, A. Spatial prioritization for urban biodiversity quality using biotope maps and expert opinion. Urban For. Urban Green. 2020, 49, 126586. [Google Scholar] [CrossRef]
- Schulp, C.; Lautenbach, S.; Verburg, P.H. Quantifying and mapping ecosystem services: Demand and supply of pollination in the European Union. Ecol. Indic. 2014, 36, 131–141. [Google Scholar] [CrossRef]
- Faucqueur, L.; Morin, N.; Masse, A.; Remy, P.-Y.; Hugé, J.; Kenner, C.; Dazin, F.; Desclée, B.; Sannier, C. A new Copernicus high resolution layer at pan-European scale: Small woody features. In Remote Sensing for Agriculture, Ecosystems and Hydrology; Neale, C.M.U., Maltese, A., Eds.; SPIE: Philadelphia, PA, USA, 2019; Volume 11149, pp. 268–278. [Google Scholar]
- Skokanová, H.; Netopil, P.; Havlíček, M.; Šarapatka, B. The Role of Traditional Agricultural Landscape Structures in Changes to Green Infrastructure Connectivity. Agric. Ecosyst. Environ. 2020, 302, 107071. [Google Scholar] [CrossRef]
- Van Den Berge, S.; Baeten, L.; Vanhellemont, M.; Ampoorter, E.; Proesmans, W.; Earaerts, M.; Hermy, M.; Smagghe, G.; Vermeulen, I.; Verheyen, K. Species diversity, pollinator resource value and edibility potential of woody networks in the countryside in northern Belgium. Agric. Ecosyst. Environ. 2018, 259, 119–126. [Google Scholar] [CrossRef]
- Valeri, S.; Zavattero, L.; Capotorti, G. Ecological connectivity in agricultural green infrastructure: Suggested criteria for fine scale assessment and planning. Land 2021, 10, 807. [Google Scholar] [CrossRef]
- Zulian, G.; Stange, E.; Woods, H.; Carvalho, L.; Dick, J.; Andrews, C.; Baró, F.; Vizcain, P.; Barton, D.N.; Rusch, G.M.; et al. Practical application of spatial ecosystem service models to aid decision support. Ecosyst. Serv. 2018, 29, 465–480. [Google Scholar] [CrossRef] [PubMed]
- Schubert, L.F.; Hellwig, N.; Kirmer, A.; Schmid-Egger, C.; Schmidt, A.; Dieker, P.; Tischew, S. Habitat quality and surrounding landscape structures influence wild bee occurrence in perennial wildflower strips. Basic Appl. Ecol. 2021, 60, 76–86. [Google Scholar] [CrossRef]
- Wojcik, V.A.; Buchmann, S. Pollinator conservation and management on electrical transmission and roadside rights-of-way: A review. J. Pollinat. Ecol. 2012, 7, 16–26. [Google Scholar]
- Faichnie, R.; Breeze, T.D.; Senapathi, D.; Garratt, M.P.; Potts, S.G. Scales matter: Maximising the effectiveness of interventions for pollinators and pollination. In The Future of Agricultural Landscapes; Bohan, D.A., Vanbergen, A.J., Eds.; Academic Press: Cambridge, UK, 2021; pp. 105–147. [Google Scholar]
- Dicks, L.V.; Baude, M.; Roberts, S.P.M.; Phillips, J.; Green, M.R.; Carvell, C. How much flower-rich habitat is enough for wild pollinators? Answering a key policy question with incomplete knowledge. Ecol. Entomol. 2015, 40, 22–35. [Google Scholar] [CrossRef]
- Mallinger, R.E.; Gibbs, J.; Gratton, C. Diverse landscapes have a higher abundance and species richness of spring wild bees by providing complementary floral resources over bees’ foraging periods. Landsc. Ecol. 2016, 31, 1523–1535. [Google Scholar] [CrossRef]
- Geppert, C.; Cappellari, A.; Corcos, D.; Caruso, V.; Cerretti, P.; Mei, M.; Marini, L. Temperature and not landscape composition shapes wild bee communities in an urban environment. Insect. Conserv. Divers. 2023, 16, 65–76. [Google Scholar] [CrossRef]
- Stein, A.; Kreft, H. Terminology and quantification of environmental heterogeneity in species-richness research. Biol. Rev. 2015, 90, 815–836. [Google Scholar] [CrossRef]
- Zavattero, L.; Frondoni, R.; Capotorti, G.; Copiz, R.; Blasi, C. Towards the identification and mapping of traditional agricultural landscapes at the national scale: An inventory approach from Italy. Landsc. Res. 2021, 46, 945–958. [Google Scholar] [CrossRef]
- Prendergast, K.S.; Dixon, K.W.; Bateman, P.W. A global review of determinants of native bee assemblages in urbanised landscapes. Insect Conserv. Divers. 2022, 15, 385–405. [Google Scholar] [CrossRef]
- Fratarcangeli, C.; Fanelli, G.; Franceschini, S.; De Sanctis, M.; Travaglini, A. Beyond the urban-rural gradient: Self-Organizing Map detects the nine landscape types of the city of Rome. Urban For. Urban Green. 2019, 38, 354–370. [Google Scholar] [CrossRef]
- Honeck, E.; Moilanen, A.; Guinaudeau, B.; Wyler, N.; Schlaepfer, M.A.; Martin, P.; Sanguet, A.; Urbina, L.; von Arx, B.; Massy, J.; et al. Implementing Green Infrastructure for the Spatial Planning of Peri-Urban Areas in Geneva, Switzerland. Sustainability 2020, 12, 1387. [Google Scholar] [CrossRef]
- Hennig, E.I.; Ghazoul, J. Pollinating animals in the urban environment. Urban Ecosyst. 2012, 15, 149–166. [Google Scholar] [CrossRef]
- Matteson, K.C.; Grace, J.B.; Minor, E.S. Direct and indirect effects of land use on floral resources and flower-visiting insects across an urban landscape. Oikos 2013, 122, 682–694. [Google Scholar] [CrossRef]
- Hülsmann, M.; von Wehrden, H.; Klein, A.M.; Leonhardt, S.D. Plant diversity and composition compensate for negative effects of urbanization on foraging bumble bees. Apidologie 2015, 46, 760–770. [Google Scholar] [CrossRef]
- Goulson, D. Bumblebees: Behaviour, Ecology, and Conservation; Oxford University Press: Oxford, UK, 2010. [Google Scholar]
- Ioja, C.; Breuste, J. Urban Protected Areas and Urban Biodiversity. In Making Green Cities; Breuste, J., Artmann, M., Ioja, C., Qureshi, S., Eds.; Springer: Berlin, Germany, 2020. [Google Scholar]
- Petroni, M.L.; Siqueira-Gay, J.; Gallardo, A.L.C.F. Understanding land use change impacts on ecosystem services within urban protected areas. Landsc. Urban Plan. 2022, 223, 104404. [Google Scholar] [CrossRef]
- Arnaiz-Schmitz, C.; Herrero-Jáuregui, C.; Schmitz, M.F. Losing a heritage hedgerow landscape. Biocultural diversity conservation in a changing social-ecological Mediterranean system. Sci. Total Environ. 2018, 637, 374–384. [Google Scholar] [CrossRef]
Disclaimer/Publisher’s Note: The statements, opinions and data contained in all publications are solely those of the individual author(s) and contributor(s) and not of MDPI and/or the editor(s). MDPI and/or the editor(s) disclaim responsibility for any injury to people or property resulting from any ideas, methods, instructions or products referred to in the content. |
© 2023 by the authors. Licensee MDPI, Basel, Switzerland. This article is an open access article distributed under the terms and conditions of the Creative Commons Attribution (CC BY) license (https://creativecommons.org/licenses/by/4.0/).




