Assessment of Biological and Environmental Factors Influence on Fire Hazard in Pine Forests: A Case Study in Central Forest-Steppe of the East European Plain
Abstract
1. Introduction
2. Materials and Methods
2.1. Study Sites
2.2. Field Studies
2.3. Fire Hazard and Statistical Analysis
3. Results
3.1. Fire Hazard Analysis
3.2. Influence of Forest Stand Characteristics on Burning Index
4. Discussion
5. Conclusions
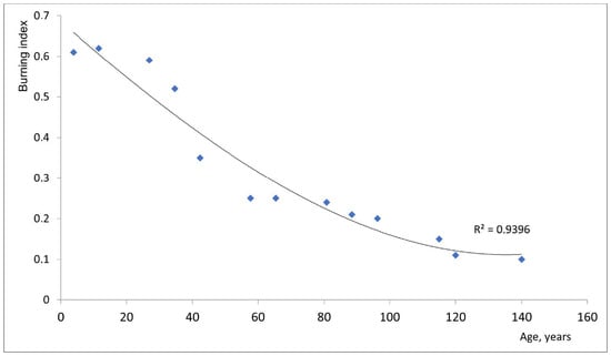
- Tree stand age has a significant factorial influence on burning index in young and middle aged Scots pine stands. At the same time, there is no significant change of burning index in ripening, mature and old-growth pine forests. Additionally, fire hazard decreases with increasing age of middle aged pine tree stands. The tightness of relationship between burning index and tree stand age in young forests is 0.56, and in mature and old-growth is much lower (0.17).
- The key factors influencing the index of burning of pine stands are the following: the presence and amount of combustible materials, the state of the stand, age groups. In addition, a complex of parameters characterizing soil moisture and the nature of the ground cover have a significant impact.
- The frequency of fires and the values of the fire index reach high values in dry types growth conditions due to presence of lichens in the ground cover. Under optimal humid conditions the frequency of fires is reduced but the flammability index can remain high in the presence of a significant amount of combustible materials.
- We have proved (with mathematical confirmation of the reliability of differences) that forest growth conditions are an important indicator that can be used in determining the fire hazard class.
Author Contributions
Funding
Data Availability Statement
Acknowledgments
Conflicts of Interest
References
- Kumar, G.; Kumar, A.; Saikia, P.; Roy, P.S.; Khan, M.L. Ecological impacts of forest fire on composition and structure of tropical deciduous forests of central India. Phys. Chem. Earth 2022, 128, 103240. [Google Scholar] [CrossRef]
- Winslow, D.; Hansen, M.A.; Krawchuk, A.; Trugman, T.; Park Williams, A. The Dynamic Temperate and Boreal Fire and Forest-Ecosystem Simulator (DYNAFFOREST): Development and evaluation. Environ. Model. Softw. 2022, 156, 105473. [Google Scholar] [CrossRef]
- Annual Report on the State and Use of Forests in the Russian Federation in 2022. Forests and Forest Resources of the Russian Federation [Electronic Resource]. Available online: http://www.rosleshoz.gov.ru (accessed on 3 October 2022).
- Volodkin, A.A.; Larionov, M.V.; Sharunov, O.A. Changes in the Structure of Forest Communities in Penza Region under the Influence of Natural Factors. IOP Conf. Ser. Earth Environ. Sci. 2021, 808, 012064. [Google Scholar] [CrossRef]
- Abaimov, A.P.; Zyryanova, O.A.; Prokushkin, S.G.; Koike, T.; Matsuura, Y. Forest Ecosystems of the Cryolithic Zone of Siberia. Eurasian J. For. Res. 2000, 1, 1–10. [Google Scholar]
- Kukavskaya, E.A.; Soja, A.J.; Petkov, A.P.; Ponomarev, E.I.; Ivanova, G.A.; Conard, S.G. Fire emissions estimates in Siberia: Evaluation of uncertainties in area burned, land cover, and fuel consumption. Can. J. For. Res. 2013, 43, 493–506. [Google Scholar] [CrossRef]
- Sofronov, M.A.; Volokitina, A.V. Maps of Combustible Forest Materials. Mapp. Sci. Remote Sens. 1988, 25, 169–177. [Google Scholar] [CrossRef]
- Kurbatsky, N.P.; Dorogov, B.I.; Dorrer, G.A. Forecasting forest fires with the help of a computer. Forestry 2007, 7, 51–55. [Google Scholar]
- Musin, M.Z. Determination of the daily fire hazard of forest areas. Forestry 2018, 7, 78–80. [Google Scholar]
- Valendik, E.N.; Vekshin, V.N.; Lasko, R. Fundamentals of Fire Management in the Boreal Forests of Eurasia. Management of Forest Fires at the Ecoregional Level; Alex: Moscow, Russia, 2004; 208p. [Google Scholar]
- Fosberg, M.A. Fine herbaceous fuels in Fire Danger Rating. In USDA Forest Service Research Notes RM-185; Rocky Mountain Forest and Range Experiment Station, Forest Service, US Department of Agriculture: Fort Collins, CO, USA, 2017; 7p. [Google Scholar]
- Labenski, P.; Ewald, M.; Schmidtlein, S.; Ewald Fassnacht, F. Classifying surface fuel types based on forest stand photographs and satellite time series using deep learning. Int. J. Appl. Earth Obs. Geoinf. 2022, 109, 102799. [Google Scholar] [CrossRef]
- Valendik, E.N.; Ivanova, G.A. Fire regimes in the forests of Siberia and the Far East. Forestry 2001, 4, 69–79. [Google Scholar]
- Tepley, A.J.; Thomann, E.; Veblen, T.T.; Perry, G.L.W.; Holz, A.; Paritsis, J.; Kitzberger, T.; Anderson-Teixeira, K.J. Influences of fire-vegetation feedbacks and post-fire recovery rates on forest landscape vulnerability to altered fire regimes. J. Ecol. 2018, 106, 1925–1940. [Google Scholar] [CrossRef]
- Prichard, S.J.; Stevens-Rumann, C.S.; Hessburg, P.F. Tamm review: Shifting global fire regimes: Lessons from reburns and research needs. For. Ecol. Manag. 2017, 396, 217–233. [Google Scholar] [CrossRef]
- Valendik, E.N.; Bychkov, V.A.; Kisilyakhov, E.K.; Verkhovets, S.V. Forest fires in rural forests. Forestry 2002, 1, 46–48. [Google Scholar]
- Barbati, A.; Marchetti, M.; Chirici, G.; Corona, P. European forest types and forest Europe SFM indicators: Tools for monitoring progress on forest biodiversity conservation. For. Ecol. Manage. 2014, 321, 145–157. [Google Scholar] [CrossRef]
- Johnstone, J.F.; Allen, C.D.; Franklin, J.F.; Frelich, L.E.; Harvey, B.J.; Higuera, P.E.; Mack, M.C.; Meentemeyer, R.K.; Metz, M.R.; Perry, G.L.; et al. Changing disturbance regimes, ecological memory, and forest resilience. Front. Ecol. Environ. 2016, 14, 369–378. [Google Scholar] [CrossRef]
- Keeley, J.E.; Syphard, A.D. Different historical fire–climate patterns in California. Int. J. Wildland Fire. 2017, 26, 253–268. [Google Scholar] [CrossRef]
- Savage, M.; Nystrom, M.J. How resilient are southwestern ponderosa pine forests after crown fires? Can. J. For. Res. 2005, 35, 967–977. [Google Scholar] [CrossRef]
- Chumachenko, S.I. Natural fire hazard of mixed forest plantations. Model approach. For. Bull. 2013, 7, 72–74. Available online: https://cyberleninka.ru/article/n/prirodnaya-pozharnaya-opasnost-smeshannyh-lesnyh-nasazhdeniy-modelnyy-podhod (accessed on 3 October 2022).
- Veblen, T.T.; Kitzberger, T.; Donnegan, J. Climatic and human influences on fire regimes in ponderosa pine forests in the Colorado front range. Ecol. Appl. 2000, 10, 1178–1195. [Google Scholar] [CrossRef]
- Baćmaga, M.; Wyszkowska, J.; Borowik, A.; Kucharski, J.; Paprocki, Ł. Role of forest site type in determining bacterial and biochemical properties of soil. Ecol. Indic. 2022, 135, 108557. [Google Scholar] [CrossRef]
- Kuplevatsky, S.V.; Zakharova, I.S.; Shabalina, N.N. Burning of forests on the territory of the Ural Federal district and legal aspects of improving their protection from fires. For. Russ. Econ. 2021, 2, 16–24. [Google Scholar] [CrossRef]
- Khanina, L.G. Classification of forest sites by the Vorobjev-Pogrebnyak’s species indicator tables: Database and experience of analysis of forest inventory data. For. Sci. Issues 2019, 2, 1–30. [Google Scholar] [CrossRef]
- Lukina, N.V.; Tikhonova, E.V.; Danilova, M.A.; Bakhmet, O.N.; Kryshen, A.M.; Tebenkova, D.N.; Kuznetsova, A.I.; Smirnov, V.E.; Braslavskaya, T.Y.; Gornov, A.V.; et al. Associations between forest vegetation and the fertility of soil organic horizons in northwestern Russia. For. Ecosyst. 2019, 6, 34. [Google Scholar] [CrossRef]
- Ivanova, N.; Fomin, V.; Kusbach, A. Experience of Forest Ecological Classification in Assessment of Vegetation Dynamics. Sustainability 2022, 14, 3384. [Google Scholar] [CrossRef]
- Migunova, E.S. Forest typology G.F. Morozov—A.A. Krudener—P.S. Pogrebnyak—the theoretical basis of forestry. For. Bull. 2017, 5, 52–63. [Google Scholar] [CrossRef]
- Order of the Federal Forestry Agency. On Approval of the Classification of Natural Fire Hazard of Forests and the Classification of Fire Hazard in Forests Depending on Weather Conditions. Available online: https://docs.cntd.ru/ (accessed on 5 July 2011). (In Russian)
- Rules of Sanitary Safety in Forests: Decree of the Government of the Russian Federation of 9 December 2020 No. 2047. On the Rules of Sanitary Safety in Forests//Collection of Legislation. 2020. Available online: http://docs.cntd.ru/document/436736467 (accessed on 9 December 2022). (In Russian).
- Order of the Federal Forestry Agency. On Approval of Guidelines for the State Forest Inventory. 10 November 2011. Available online: http://docs.cntd.ru/document/436736785 (accessed on 15 March 2018). (In Russian)
- Tsvetkov, P.A. Essay on the history of domestic forest pyrology. Sib. For. J. 2015, 3, 3–25. [Google Scholar] [CrossRef]
- STATISTICA Version 13.0; StatSoft: Hamburg, Germany, 2021.
- Dospekhov, B.A. Methods of Field Experience with the Basics of Statistical Processing; Kolos: Moscow, Russia, 2011; 547p, Available online: https://www.elibrary.ru/item.asp?id=19517484 (accessed on 3 October 2022).
- Tikhomirov, B.P. Burns and their influence on the natural fodder vegetation of the DVK. Proc. Far East. Branch Russ. Acad. Sci. 2019, 102–112. [Google Scholar]
- David, L.M. Forest Fires. Behav. Ecol. Eff. 2001, 527–583. [Google Scholar] [CrossRef]
- Ding, X.; Liu, G.; Fu, S.; Chen, H.Y.H. Tree species composition and nutrient availability affect soil microbial diversity and composition across forest types in subtropical China. CATENA 2021, 201, 105224. [Google Scholar] [CrossRef]
- Abatzoglou, J.T.; Battisti, D.S.; Williams, A.P.; Hansen, W.D.; Harvey, B.J.; Kolden, C.A. Projected increases in western US forest fire despite growing fuel constraints. Commun. Earth Environ. 2021, 2, 1–8. [Google Scholar] [CrossRef]
- Albrich, K.; Rammer, W.; Turner, M.G.; Ratajczak, Z.; Braziunas, K.H.; Hansen, W.D.; Seidl, R. Simulating forest resilience: A review. Glob. Ecol. Biogeogr. 2020, 29, 2082–2096. [Google Scholar] [CrossRef]
- Hantson, S.; Kelley, D.I.; Arneth, A.; Harrison, S.P.; Archibald, S.; Bachelet, D.; Forrest, M.; Hickler, T.; Lasslop, G.; Li, F.; et al. Quantitative assessment of fire and vegetation properties in simulations with fire-enabled vegetation models from the Fire Model Intercomparison Project. Geosci. Model Dev. (GMD) 2020, 13, 3299–3318. [Google Scholar] [CrossRef]
- Juang, C.S.; Williams, A.P.; Abatzoglou, J.T.; Balch, J.K.; Hurteau, M.D.; Moritz, M.A. Rapid growth of large forest fires drives the exponential response of annual forest-fire area to aridity in the western United States. Geophys. Res. Lett. 2022, 49, e2021GL097131. [Google Scholar] [CrossRef]
- Serra-Diaz, J.M.; Maxwell, C.; Lucash, M.S.; Scheller, R.M.; Laflower, D.M.; Miller, A.D.; Tepley, A.J.; Epstein, H.E.; Anderson-Teixeira, K.J.; Thompson, J.R. Disequilibrium of fire-prone forests sets the stage for a rapid decline in conifer dominance during the 21st century. Sci. Rep. 2018, 8, 6749. [Google Scholar] [CrossRef]
- Cheng, X.; Yu, M.; Wang, G.G. Effects of Thinning on Soil Organic Carbon Fractions and Soil Properties in Cunninghamia lanceolata Stands in Eastern China. Forests 2017, 8, 198. [Google Scholar] [CrossRef]
- Buotte, P.C.; Levis, S.; Law, B.E.; Hudiburg, T.W.; Rupp, D.E.; Kent, J.J. Nearfuture forest vulnerability to drought and fire varies across the western United States. Glob. Chang. Biol. 2018, 25, 290–303. [Google Scholar] [CrossRef]
- Cochrane, M.A.; Bowman, D.M.J.S. Manage fire regimes, not fires. Nat. Geosci. 2021, 14, 455–457. [Google Scholar] [CrossRef]
- Coop, J.D.; Parks, S.A.; Stevens-Rumann, C.S.; Crausbay, S.D.; Higuera, P.E.; Hurteau, M.D.; Tepley, A.; Whitman, E.; Assal, T.; Collins, B.M.; et al. Wildfire-driven forest conversion in western North American landscapes. Bioscience 2020, 70, 659–673. [Google Scholar] [CrossRef]
- Hagmann, R.K.; Hessburg, P.F.; Prichard, S.J.; Povak, N.A.; Brown, P.M.; Fulé, P.Z.; Keane, R.E.; Knapp, E.E.; Lydersen, J.M.; Metlen, K.L.; et al. Evidence for widespread changes in the structure, composition, and fire regimes of western North American forests. Ecol. Appl. 2021, 31, e02431. [Google Scholar] [CrossRef]
- Fomin, V.V.; Zalesov, S.V.; Popov, A.S.; Mikhailovich, A.P. Historical avenues of research in Russian forest typology: Ecological, phytocoenotic, genetic, and dynamic classifications. Can. J. For. Res. 2017, 47, 1–12. [Google Scholar] [CrossRef]
- Keyser, A.R.; Westerling, A.L. Predicting increasing high severity area burned for three forested regions in the western United States using extreme value theory. For. Ecol. Manag. 2019, 432, 694–706. [Google Scholar] [CrossRef]
- Parks, S.A.; Abatzoglou, J.T. Warmer and drier fire seasons contribute to increases in area burned at high severity in western US forests from 1985 to 2017. Geophys. Res. Lett. 2020, 47, e2020GL089858. [Google Scholar] [CrossRef]
- Bonari, G.; Fernández-González, F.; Coban, S.; Monteiro-Henriques, T.; Bergmeier, E.; Didukh, Y.; Xystrakis, F.; Angiolini, C.; Chytrý, K.; Acosta, A.T.R.; et al. Classification of the Mediterranean lowland to submontane pine forest vegetation. Appl. Veg. Sci. 2021, 24, e12544. [Google Scholar] [CrossRef]
- Larionov, M.V.; Volodkin, A.A. Parameters of the state and biological stability of woody plants from native flora in conditions of artificial and natural phytocenoses. Nat. Tech. Sci. 2021, 1, 13–16. [Google Scholar] [CrossRef]
- Germaine, H.L.; McPherson, G.R. Effects of biotic factors on emergence and survival of Quercus emoryi at lower treeline, Arizona, USA. Ecoscience 1999, 6, 92–99. [Google Scholar] [CrossRef]
- Gibadulina, I.I.; Larionov, M.V.; Maslennikova, N.N. Anatomical and morphological features of the leaves of Tilia cordata Mill. as an indicator of the adaptive capabilities of the species to the conditions of the urban environment. IOP Conf. Ser. Earth Environ. Sci. 2022, 988, 032082. [Google Scholar] [CrossRef]
- Larionov, M.V.; Larionov, N.V.; Gromova, T.S. Expediency of biological improvement of urban and rural settlements in the Chernozem region and the Volga region. Nat. Tech. Sci. 2020, 6, 70–72. [Google Scholar] [CrossRef]
- Billings, R.; Clarke, S.R.; Mendoza, V.E.; Cabrera, P.C.; Figueroa, B.M.; Campos, J.R.; Baeza, G. Bark beetle outbreaks and fire: A devastating combination for central America’s pine forests. For. Chem. Rev. 2014, 124, 10–15. [Google Scholar]
- Gromova, T.S.; Siraeva, I.S.; Ermolenko, A.S.; Larionov, N.V.; Larionov, M.V. Vitality of woody plants as the aggregate basis of the ecological condition of urban and suburban ecosystems of the Khopyor River Region. Mod. Sci. Actual Probl. Theory Pract. Ser. Nat. Tech. Sci. 2020, 7, 20–27. [Google Scholar] [CrossRef]
- Ding, J.; Travers, S.K.; Eldridge, D.J. Grow wider canopies or thicker stems: Variable response of woody plants to increasing dryness. Glob. Ecol. Biogeogr. 2020, 30, 183–195. [Google Scholar] [CrossRef]
- Larionov, M.V.; Tarakin, A.V.; Minakova, I.V. Creation of artificial phytocenoses with controlled properties as a tool for managing cultural ecosystems and landscapes. IOP Conf. Ser. Earth Environ. Sci. 2021, 848, 012127. [Google Scholar] [CrossRef]
- Lemaire, J.; Vennetier, M.; Prévosto, B.; Cailleret, M. Interactive effects of abiotic factors and biotic agents on Scots pine dieback: A multivariate modeling approach in southeast France. For. Ecol. Manag. 2022, 526, 120543. [Google Scholar] [CrossRef]
- Han, X.; Zhao, Y.; Chen, Y.; Xu, J.; Jiang, C.; Wang, X.; Renying, Z.; Lu, M.-Z.; Zhang, J. Lignin biosynthesis and accumulation in response to abiotic stresses in woody plants. For. Res. 2022, 2, 9. [Google Scholar] [CrossRef]
- Tetemke, B.A.; Birhane, E.; Rannestad, M.M.; Eid, T. Species diversity and stand structural diversity of woody plants predominantly determine aboveground carbon stock of a dry Afromontane forest in Northern Ethiopia. For. Ecol. Manag. 2021, 500, 119634. [Google Scholar] [CrossRef]
- Van Auken, O.W. Causes and consequences of woody plant encroachment into Western North American grasslands. J. Environ. Manag. 2009, 90, 2931–2942. [Google Scholar] [CrossRef]
- Liu, M.; Zhang, Z.; Liu, X.; Li, M.; Shi, L. Trend Analysis of Coverage Variation in Pinus yunnanensis Franch. Forests under the Influence of Pests and Abiotic Factors. Forests 2022, 13, 412. [Google Scholar] [CrossRef]
- Vedernikov, K.E.; Bukharina, I.L.; Udalov, D.N.; Pashkova, A.S.; Larionov, M.V.; Mazina, S.E.; Galieva, A.R. The State of Dark Coniferous Forests on the East European Plain Due to Climate Change. Life 2022, 12, 1874. [Google Scholar] [CrossRef]
- Volodkin, A.A.; Volodkina, O.A.; Larionov, M.V. Dynamics of reproduction of forest plantations in the forest-steppe zone of the Middle Volga Region. IOP Conf. Ser. Earth Environ. Sci. 2022, 979, 012101. [Google Scholar] [CrossRef]
- Royal, E.J.; Greene, D.U.; Miller, D.A.; Willson, J. Influence of landscape and vegetation characteristics on herpetofaunal assemblages in Gulf Coastal Plain pine forests. J. Wildl. Manag. 2022, 86, e22199. [Google Scholar] [CrossRef]
- Thapa, U.K.; George, S.S. Detecting the influence of climate and humans on pine forests across the dry valleys of eastern Nepal’s Koshi River basin. For. Ecol. Manag. 2019, 440, 12–20. [Google Scholar] [CrossRef]
- Zheng, S.; Webber, B.L.; Didham, R.K.; Chen, C.; Yu, M. Disentangling biotic and abiotic drivers of intraspecific trait variation in woody plant seedlings at forest edges. Ecol. Evol. 2021, 11, 9728–9740. [Google Scholar] [CrossRef] [PubMed]
- Chavardès, R.D.; Danneyrolles, V.; Portier, J.; Girardin, M.P.; Gaboriau, D.M.; Gauthier, S.; Drobyshev, I.; Cyr, D.; Wallenius, T.; Bergeron, Y. Converging and diverging burn rates in North American boreal forests from the Little Ice Age to the present. Int. J. Wildland Fire 2022, 31, 1184–1193. [Google Scholar] [CrossRef]
- Connor, S.; Araújo, J.; Boski, T.; Gomes, A.; Gomes, S.D.; Leira, M.; da Conceição Freitas, M.; Andrade, C.; Morales-Molino, C.; Franco-Múgica, F.; et al. Drought, fire and grazing precursors to large-scale pine forest decline. Divers. Distrib. 2021, 27, 1138–1151. [Google Scholar] [CrossRef]
- Şahan, E.A.; Köse, N.; Güner, T.; Trouet, V.; Tavşanoğlu, Ç.; Akkemik, Ü.; Dalfes, N. Multi-century spatiotemporal patterns of fire history in black pine forests, Turkey. For. Ecol. Manag. 2022, 518, 120296. [Google Scholar] [CrossRef]
- Sánchez-Cámara, A.E.S. Dynamics of mediterranean pine forests reforested after fires. J. For. Res. 2022. [Google Scholar] [CrossRef]
- Wu, T.; Kim, Y.-S. Pricing ecosystem resilience in frequent-fire ponderosa pine forests. For. Policy Econ. 2013, 27, 8–12. [Google Scholar] [CrossRef]
- Matusick, G.; Hudson, S.J.; Garrett, C.Z.; Samuelson, L.J.; Kent, J.D.; Addington, R.N.; Parker, J.M. Frequently burned loblolly–shortleaf pine forest in the southeastern United States lacks the stability of longleaf pine forest. Ecosphere 2020, 11, e03055. [Google Scholar] [CrossRef]
- Merschel, A.; Beedlow, P.; Shaw, D.C.; Woodruff, D.R.; Lee, E.H.; Steve, C.; Comeleo, R.; Hagmann, K.; Reilly, M.J. An Ecological Perspective on Living with Fire in Ponderosa Pine Forests of Oregon and Washington: Resistance, Gone but not Forgotten. Trees For. People 2021, 4, 100074. [Google Scholar] [CrossRef]
- Sandström, J.; Edman, M.; Jonsson, B.G. Rocky pine forests in the High Coast Region in Sweden: Structure, dynamics and history. Nat. Conserv. 2020, 38, 101–130. [Google Scholar] [CrossRef]
- Swann, D.E.B.; Bellingham, P.J.; Martin, P.H. Resilience of a tropical montane pine forest to fire and severe droughts. J. Ecol. 2022, 111, 90–109. [Google Scholar] [CrossRef]
- Maksimova, E.; Abakumov, E. Micromorphological characteristics of sandy forest soils recently impacted by wildfires in Russia. Solid Earth 2017, 8, 553–560. [Google Scholar] [CrossRef]





| Location | Composition of Tree Species, % | Age Groups of Tree Stands | Age, Years | dbh (cm) | h (m) | f | Standing Volume, m3/ha | Deadwood, m3/ha | Fire Hazard Class | Forest Site | FGC |
|---|---|---|---|---|---|---|---|---|---|---|---|
| Quarter 108; site 8 | 100% Scots pine + European birch | Young | 35 | 15 | 9 | 0.6 | 60 | 2 | 1 | Szl | A1 |
| Quarter 108; site 10 | 100% Scots pine | Middle aged | 55 | 24 | 18 | 0.6 | 160 | 14 | 2 | Slh | A1 |
| Quarter 33; site 12 | 100% Scots pine | Young | 12 | 5 | 3.7 | 0.8 | 10 | - | 1 | Str | A2 |
| Quarter 74; site 9 | 100% Scots pine | Ripening | 120 | 30 | 27 | 0.7 | 370 | 30 | 2 | Szm | A2 |
| Quarter 77; site 1 | 100% Scots pine | Middle aged | 50 | 19 | 16 | 0.4 | 120 | 11 | 2 | Str | A2 |
| Quarter 51; site 44 | 100% Scots pine | Middle aged | 70 | 23 | 21.5 | 0.9 | 320 | 18 | 3 | Smsh | A3 |
| Quarter 79; site 14 | 90% Scots pine 10% European birch | Mature and old-growth | 150 | 48 | 29 | 0.7 | 310 | 35 | 2 | Srzl | B1 |
| Quarter 33; site 8 | 100% Scots pine | Unclosed forest cultures | 7 | - | 2.2 | 1.0 | - | - | 1 | Ssrt | B2 |
| Quarter 60; site 11 | 100% Scots pine | Ripening | 140 | 44 | 27.5 | 0.6 | 290 | 32 | 2 | Srtzl | B2 |
| Quarter 78; site 14 | 70% Scots pine 30% European birch | Middle aged | 55 | 24 | 21 | 0.9 | 350 | 15 | 2 | Srt | B2 |
| Quarter 72; site 18 | 50% Scots pine 50% European birch | Middle aged | 45 | 16 | 12 | 0.7 | 180 | 10 | 3 | Smln | B3 |
| Quarter 44; site 26 | 50% Scots pine 50% English oak | Ripening | 90 | 33 | 24.5 | 0.6 | 260 | 25 | 3 | Sdsn | C2 |
| Quarter 7; site 37 | 50% Scots pine 40% English oak 10% Linden | Ripening | 90 | 36 | 26.5 | 0.7 | 310 | 28 | 3 | Sdkrt | C3 |
| Age Groups of Tree Stands | Part in Total Number of Fires, % | Area Covered by Fires, ha | Total Area of Tree Stands, ha | Part in Total Area, % | Area of One Fire, ha |
|---|---|---|---|---|---|
| Young | 15.3 | 615.5 | 4054.2 | 34.1 | 12.5 |
| Middle aged | 21.9 | 878.4 | 1516.4 | 12.9 | 6.1 |
| Ripening | 55.7 | 2230.4 | 2401.9 | 20.8 | 2.9 |
| Mature and old-growth | 7.1 | 276.7 | 3798.7 | 32.2 | 1.8 |
| Total | 100 | 4001 | 11,904.9 | 100 | 5.8 |
| Age Groups of Tree Stands | Area Covered by Ground Fire, ha | Area Covered by Crown Fire, ha | ||||||||
|---|---|---|---|---|---|---|---|---|---|---|
| Weak | Medium | Severe | Total | Weak | Medium | Severe | Total | |||
| ha | % | ha | % | |||||||
| Young | 21.2 | 30.8 | 81.8 | 133.8 | 6 | 35.6 | 91.5 | 254.6 | 481.7 | 25 |
| Middle aged | 41.5 | 158.5 | 10.8 | 210.8 | 10 | 218 | 324.7 | 124.9 | 667.6 | 35 |
| Ripening | 678.5 | 498.6 | 317.3 | 1494.4 | 72 | 34.6 | 112.4 | 589.4 | 736.4 | 38 |
| Mature and old-growth | 14.9 | 17.8 | 198.5 | 231.2 | 12 | 9.1 | 22.1 | 10.3 | 41.5 | 2 |
| Total | 856.1 | 705.7 | 708.4 | 2070.2 | 100 | 397.3 | 550.7 | 979.2 | 1930.8 | 100 |
| Age Groups of Tree Stands | Forest Growth Conditions | Total | |||||||
|---|---|---|---|---|---|---|---|---|---|
| A1 | A2 | A3 | B1 | B2 | B3 | C2 | C3 | ||
| Young | 135.5/ 0.23 | 211.9/ 0.35 | - | 80.5/ 0.14 | 187.6/ 0.28 | - | - | - | 615.5 |
| Middle aged | 97.9/ 0.17 | 132.1/ 0.25 | - | 300.4/ 0.43 | 250/ 0.5 | - | 79.4/ 0.33 | 20/ 0.2 | 878.4 |
| Ripening | 1056.4/ 0.88 | 547.8/ 0.43 | 23/ 0.74 | 300.9/ 0.44 | 125.1/ 0.25 | 21.3/ 0.74 | 155.9/ 0.64 | - | 2230.4 |
| Mature and old-growth | 28.9/ 0.02 | 27.8/ 0.02 | - | 89.9/ 0.13 | 123.4/ 0.25 | - | 6.7/ 0.03 | - | 276.7 |
| Total | 1318.7 | 919.6 | 23 | 771.7 | 686.1 | 21.3 | 242 | 20 | 4001 |
| Age Groups of Tree Stands | Forest Site | Total | |||||||||||
|---|---|---|---|---|---|---|---|---|---|---|---|---|---|
| Szl | Slh | Szm | Str | Smsh | Srzl | Srtzl | Ssrt | Smln | Srt | Sdsn | Sdkrt | ||
| Young | 35/ 0.16 | 100.5/ 0.36 | 67/ 0.1 | 144.9/ 0.3 | - | 80.5/ 0.14 | 101.2/ 0.17 | 59/ 0.1 | - | 27.4/ 0.05 | - | - | 615.5 |
| Middle aged | 28.9/ 0.03 | 59.8/ 0.15 | 64.7/ 0.01 | 67.4/ 0.01 | 8.2/ 0.26 | 300.4/ 0.43 | 32.5/ 0.21 | 181.7/ 0.61 | - | 35.8/ 0.72 | 79.4/ 0.33 | 20/ 0.35 | 878.4 |
| Ripening | 760.6/ 0.9 | 295.8/ 0.8 | 405.4/ 0.6 | 142.4/ 0.2 | 23/ 0.7 | 300.9/ 0.44 | 100/ 0.66 | 15.8/ 0.05 | 21.3/ 0.25 | 9.3/ 0.18 | 155.9/ 0.64 | - | 2230.4 |
| Mature and old-growth | 18.9/ 0.03 | 10/ 0.03 | 7.7/ 0.1 | 20.1/ 0.03 | - | 89.9/ 0.13 | 20/ 0.13 | 98.6/ 0.34 | - | 4.8/ 0.1 | 6.7/ 0.03 | - | 276.7 |
| Total | 843.4 | 466.1 | 544.8 | 374.8 | 31.2 | 771.7 | 253.7 | 355.1 | 21.3 | 161 | 242 | 20 | 4001 |
| Forest Growth Conditions | Forest Site | |||||||||||
|---|---|---|---|---|---|---|---|---|---|---|---|---|
| Szl | Slh | Szm | Str | Smsh | Srzl | Srtzl | Ssrt | Smln | Srt | Sdsn | Sdkrt | |
| A1 | 0.55 | 1.48 | 0.08 | - | - | - | - | - | - | - | - | - |
| A2 | - | 2.05 | 2.17 | 2.22 | - | - | - | - | - | - | - | - |
| A3 | - | - | 0.42 | 1.91 | 3.05 | - | - | - | - | - | - | - |
| B1 | 2.42 | - | - | 0.38 | - | 3.18 | 4.52 | - | - | - | - | - |
| B2 | - | - | 0.15 | 3.23 | - | - | 3.17 | 3.55 | - | 1.87 | - | - |
| B3 | - | - | - | - | 2.88 | - | - | - | 3.58 | - | - | - |
| C2 | - | - | 4.05 | - | - | - | 4.35 | - | 3.15 | 3.41 | 1.91 | |
| C3 | - | - | 0.23 | - | 2.13 | - | - | - | 2.97 | - | 3.74 | 4.24 |
| Forest stand Characteristics | Burning Index | Age, Years | Height, m | Dbh, cm | Crown Diameter, m | Beginning Height of Living Crown, m | Categories of Sanitary Condition | Coarse Debris Content | Ground Cover |
|---|---|---|---|---|---|---|---|---|---|
| Burning index | 1 | 0.55 | 0.17 | 0.11 | 0.09 | 0.28 | 0.42 | 0.59 | 0.61 |
| Age, years | 0.55 | 1 | 0.66 | 0.65 | 0.38 | 0.53 | 0.33 | 0.18 | 0.04 |
| Height, m | 0.17 | 0.66 | 1 | 0.67 | 0.36 | 0.52 | 0.71 | 0.11 | 0.02 |
| Dbh, cm | 0.11 | 0.65 | 0.67 | 1 | 0.62 | 0.23 | 0.12 | 0.09 | 0.03 |
| Crown diameter, m | 0.09 | 0.38 | 0.36 | 0.62 | 1 | 0.17 | 0.68 | 0.12 | 0.07 |
| Beginning height of living crown, m | 0.28 | 0.53 | 0.52 | 0.23 | 0.17 | 1 | 0.32 | 0.11 | 0.03 |
| Categories of sanitary condition | 0.42 | 0.33 | 0.71 | 0.12 | 0.68 | 0.32 | 1 | 0.49 | 0.04 |
| Coarse debris content | 0.59 | 0.18 | 0.11 | 0.09 | 0.12 | 0.11 | 0.49 | 1 | 0.09 |
| Ground cover | 0.61 | 0.04 | 0.02 | 0.03 | 0.07 | 0.03 | 0.04 | 0.09 | 1 |
| Forest Stand Characteristics | Power of Influence (ɳ2 ± m) | Fisher Criterion Actual (F f) | Fisher’s Criterion Standard (F st) |
|---|---|---|---|
| Age, years | 0.22 ± 0.011 | 15.9 | 3.1 |
| Height, m | 0.21 ± 0.011 | 16.4 | 3.1 |
| Mean diameter on breast height | 0.14 ± 0.006 | 16.5 | 3.1 |
| Crown diameter, m | 0.09 ± 0.004 | 15.5 | 3.1 |
| Crown length, m | 0.17 ± 0.007 | 15.7 | 3.1 |
| Categories of sanitary condition | 0.25 ± 0.012 | 15.2 | 3.1 |
| Coarse debris content | 0.35 ± 0.022 | 15.9 | 3.1 |
| Ground cover | 0.23 ± 0.012 | 15.4 | 3.1 |
Disclaimer/Publisher’s Note: The statements, opinions and data contained in all publications are solely those of the individual author(s) and contributor(s) and not of MDPI and/or the editor(s). MDPI and/or the editor(s) disclaim responsibility for any injury to people or property resulting from any ideas, methods, instructions or products referred to in the content. |
© 2022 by the authors. Licensee MDPI, Basel, Switzerland. This article is an open access article distributed under the terms and conditions of the Creative Commons Attribution (CC BY) license (https://creativecommons.org/licenses/by/4.0/).
Share and Cite
Slavskiy, V.; Litovchenko, D.; Matveev, S.; Sheshnitsan, S.; Larionov, M.V. Assessment of Biological and Environmental Factors Influence on Fire Hazard in Pine Forests: A Case Study in Central Forest-Steppe of the East European Plain. Land 2023, 12, 103. https://doi.org/10.3390/land12010103
Slavskiy V, Litovchenko D, Matveev S, Sheshnitsan S, Larionov MV. Assessment of Biological and Environmental Factors Influence on Fire Hazard in Pine Forests: A Case Study in Central Forest-Steppe of the East European Plain. Land. 2023; 12(1):103. https://doi.org/10.3390/land12010103
Chicago/Turabian StyleSlavskiy, Vasiliy, Daria Litovchenko, Sergey Matveev, Sergey Sheshnitsan, and Maxim V. Larionov. 2023. "Assessment of Biological and Environmental Factors Influence on Fire Hazard in Pine Forests: A Case Study in Central Forest-Steppe of the East European Plain" Land 12, no. 1: 103. https://doi.org/10.3390/land12010103
APA StyleSlavskiy, V., Litovchenko, D., Matveev, S., Sheshnitsan, S., & Larionov, M. V. (2023). Assessment of Biological and Environmental Factors Influence on Fire Hazard in Pine Forests: A Case Study in Central Forest-Steppe of the East European Plain. Land, 12(1), 103. https://doi.org/10.3390/land12010103

