Land Use and Land Cover Change Dynamics and Perceived Drivers in Rangeland Areas in Central Uganda
Abstract
1. Introduction
2. Materials and Methods
2.1. Study Area Description
2.2. Data, Data Sources and Processing
2.3. Community Perceptions
3. Results
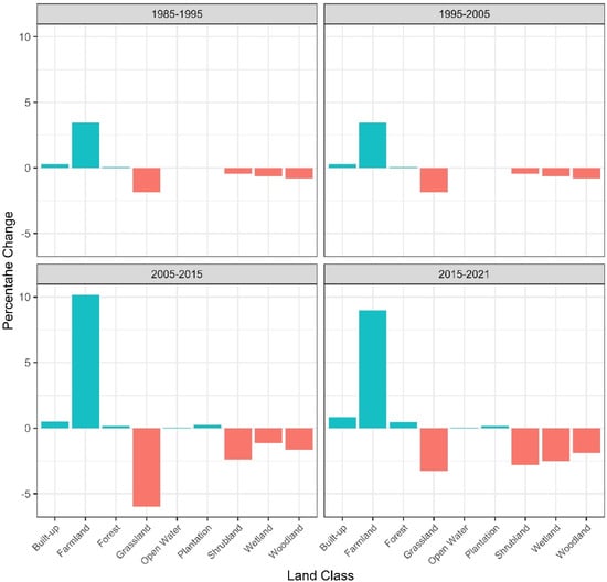
3.1. Land Use and Land Cover Changes in the Rangelands of Nakasongola District
3.2. Prejocted LULC Changes in Nakasongola District Rangelands
3.3. Perceived Drivers of LULC Changes in the Study Area
4. Discussion
4.1. Land Use and Land Cover Changes in Nakasongola Rangelands
4.2. Drivers of LUCL Changes
4.3. Impacts of LUCL Changes the Local Community
4.4. Implications for Rangeland Management
5. Conclusions
Author Contributions
Funding
Institutional Review Board Statement
Informed Consent Statement
Data Availability Statement
Acknowledgments
Conflicts of Interest
Appendix A
| Year | Landsat Scene Number | Satellite | Path | Row | Acquisition Date | Sensor |
|---|---|---|---|---|---|---|
| 1985 | LT51720591985014XXX01 | Landsat 5 | 172 | 59 | 14 January 1985 | TM |
| LT51710591985103XXX04 | Landsat 5 | 171 | 59 | 13 April 1985 | TM | |
| 1995 | LT51720591995010XXX01 | Landsat 5 | 172 | 59 | 10 January 1995 | TM |
| LT51710591995003XXX01 | Landsat 5 | 171 | 59 | 3 January 1995 | TM | |
| 2005 | LE71720592005045ASN00 | Landsat 7 | 172 | 59 | 14 February 2005 | ETM |
| LE71710592005038ASN00 | Landsat 7 | 171 | 59 | 7 February 2005 | ETM | |
| 2015 | LC81720592015017LGN01 | Landsat 8 | 172 | 59 | 17 January 2015 | OLI_TIRS |
| LC81710592015010LGN01 | Landsat 8 | 171 | 59 | 10 January 2015 | OLI_TIRS | |
| 2021 | LC81720592021033LGN00 | Landsat 8 | 172 | 59 | 2 February 2021 | OLI_TIRS |
| LC81710592021026LGN00 | Landsat 8 | 171 | 59 | 26 January 2021 | OLI_TIRS |
Appendix B
| Year | 1985 | 1995 | 2005 | 2015 | 2021 | |||||
|---|---|---|---|---|---|---|---|---|---|---|
| LULC Type | Producer’s Accuracy | User’s Accuracy | Producer’s Accuracy | User’s Accuracy | Producer’s Accuracy | User’s Accuracy | Producer’s Accuracy | User’s Accuracy | Producer’s Accuracy | User’s Accuracy |
| Built-up | 89.5 | 84.9 | 79.7 | 76.2 | 65.8 | 64.2 | 82.2 | 80.8 | 73.9 | 71.6 |
| Farmlands | 74.1 | 76.9 | 77.1 | 75.4 | 85.2 | 83.4 | 78.4 | 72.7 | 80.4 | 77.1 |
| Forest | 91.8 | 87.4 | 86.3 | 84.9 | 84.8 | 86.1 | 89.6 | 87.3 | 85.2 | 83.8 |
| Grasslands | 78.3 | 79.1 | 69.6 | 70.8 | 76.5 | 73.9 | 85.1 | 87.9 | 75.5 | 74.7 |
| Open Water | 95.8 | 94.9 | 87.4 | 85.5 | 86.8 | 84.3 | 84.2 | 83.7 | 86.8 | 85.3 |
| Shrubs and Thickets | 63.9 | 61.5 | 67.8 | 72.3 | 61.6 | 67.7 | 77.2 | 75.8 | 71.2 | 68.9 |
| Tree Plantations | 78.3 | 76.9 | 82.9 | 81.5 | 76.1 | 74.8 | ||||
| Wetlands | 84.6 | 82.6 | 86.1 | 83.7 | 86.2 | 84.8 | 75.3 | 71.6 | 63.3 | 65.6 |
| Woodlands | 86.7 | 85.1 | 83.2 | 79.6 | 75.6 | 75.1 | 82.4 | 80.1 | 76.7 | 75.2 |
| Overall Accuracy | 81.7 | 78.6 | 82.3 | 84.5 | 79.8 | |||||
Appendix C
| 2021 | 2040 | Projected Net Change (2021–2040) | |
|---|---|---|---|
| Land Use and Land Cover Type | Area (Sq∙km) | Area (Sq∙km) | Area (Sq∙km) |
| Built-up | 62.8 | 98.5 | 35.7 |
| Farmlands | 1257.1 | 1743.2 | 486.1 |
| Forest | 31.1 | 19.9 | −11.2 |
| Grasslands | 648.3 | 301.2 | −347.1 |
| Open Water | 227.4 | 225.3 | −2.1 |
| Shrubs and Thickets | 285.6 | 220.3 | −65.3 |
| Tree Plantations | 15.6 | 7.6 | −7.9 |
| Wetlands | 758.7 | 699.1 | −59.7 |
| Woodlands | 221.9 | 193.5 | −28.4 |
| Total | 3508.6 | 3508.6 |
Appendix D

References
- Lipper, L.; Dutilly-Diane, C.; Mccarthy, N. Supplying Carbon Sequestration From West African Rangelands: Opportunities and Barriers. Rangel. Ecol. Manag. 2010, 63, 155–166. [Google Scholar] [CrossRef]
- Reynolds, J.F.; Smith, D.M.S.; Lambin, E.F.; Turner, B.L.; Mortimore, M.; Batterbury, S.P.; Downing, T.E.; Dowlatabadi, H.; Fernández, R.J.; Herrick, J.E.; et al. Global desertification: Building a science for dryland development. Science (80-.) 2007, 316, 847–851. [Google Scholar] [CrossRef] [PubMed]
- McGahey, D.; Davies, J.; Hagelberg, N.; Ouedraogo, R. Pastoralism and the Green Economy, a Natural Nexus? Status, Challenges and Policy Implications; International Union for Conservation of Nature and Natural Resources, United Nations Environment Programme: Nairobi, Kenya, 2014; Available online: https://portals.iucn.org/library/sites/library/files/documents/2014-034.pdf (accessed on 25 June 2022).
- Davies, J.; Ouedraogo, R.; Hagelberg, N. Sustainable Pastoralism and the Post 2015 Agenda. 2014. Available online: http://iucn.org/es/ (accessed on 25 June 2022).
- Fratkin, E. East African Pastoralism in Transition: Maasai, Boran, and Rendille Cases. Afr. Stud. Rev. 2008, 44, 1–25. [Google Scholar] [CrossRef]
- Galvin, K.A. Transitions: Pastoralists Living with Change. Annu. Rev. Anthropol. 2009, 38, 185–198. [Google Scholar] [CrossRef]
- Egeru, A.; Osaliya, R.; MacOpiyo, L.; Mburu, J.; Wasonga, O.; Barasa, B.; Said, M.; Aleper, D.; Majaliwa Mwanjalolo, G.J. Assessing the spatio-temporal climate variability in semi-arid Karamoja sub-region in north-eastern Uganda. Int. J. Environ. Stud. 2014, 71, 490–509. [Google Scholar] [CrossRef]
- Hobbs, N.T.; Galvin, K.A.; Stokes, C.J.; Lackett, J.M.; Ash, A.J.; Boone, R.B.; Reid, R.S.; Thornton, P.K. Fragmentation of rangelands: Implications for humans, animals, and landscapes. Glob. Environ. Chang. 2008, 18, 776–785. [Google Scholar] [CrossRef]
- Bedunah, D.J.; Angerer, J.P. Rangeland degradation, poverty, and conflict: How can rangeland scientists contribute to effective responses and solutions? Rangel. Ecol. Manag. 2012, 65, 606–612. [Google Scholar] [CrossRef]
- Lambin, E.F.; Turner, B.L.; Geist, H.J.; Agbola, S.B.; Angelsen, A.; Bruce, J.W.; Coomes, O.T.; Dirzo, R.; Fischer, G.; Folke, C.; et al. The causes of land-use and land-cover change: Moving beyond the myths. Glob. Environ. Chang. 2001, 11, 261–269. [Google Scholar] [CrossRef]
- Mccarthy, N.; Swallow, B.; Kirk, M. Property Rights, Risk, and Livestock Development in Africa; Public Policy; International Livestock Research Institute: Nairobi, Kenya; International Food Policy Research Institute: Washington, DC, USA, 2000. [Google Scholar]
- Mohammed, M.; Habtamu, T.; Yared, M. Land use/cover change analysis and local community perception towards land cover change in the lowland of Bale rangelands, Southeast Ethiopia. Int. J. Biodivers. Conserv. 2017, 9, 363–372. [Google Scholar] [CrossRef]
- Xu, Y.; Yu, L.; Zhao, F.R.; Cai, X.; Zhao, J.; Lu, H.; Gong, P. Tracking annual cropland changes from 1984 to 2016 using time-series Landsat images with a change-detection and post-classification approach: Experiments from three sites in Africa. Remote Sens. Environ. 2018, 218, 13–31. [Google Scholar] [CrossRef]
- Ordway, E.M.; Asner, G.P.; Lambin, E.F. Deforestation risk due to commodity crop expansion in sub-Saharan Africa. Environ. Res. Lett. 2017, 12, 044015. [Google Scholar] [CrossRef]
- Srivastava, A.; Kumari, N.; Maza, M. Hydrological response to agricultural land use heterogeneity using variable infiltration capacity model. Water Resour. Manag. 2020, 12, 3779–3794. [Google Scholar] [CrossRef]
- Aghsaei, H.; Dinan, N.M.; Moridi, A.; Delavar, M.; Fohrer, N.; Wagner, P.D. Effects of dynamic land use/land cover change on water resources and sediment yield in the Anzali wetland catchment, Gilan, Iran. Sci. Total Environ. 2020, 712, 136449. [Google Scholar] [CrossRef] [PubMed]
- Tsegaye, D.; Moe, S.R.; Vedeld, P.; Aynekulu, E. Land-use/cover dynamics in Northern Afar rangelands, Ethiopia. Agric. Ecosyst. Environ. 2010, 139, 174–180. [Google Scholar] [CrossRef]
- Tsegaye, D.; Vedeld, P.; Moe, S.R. Pastoralists and livelihoods: A case study from northern Afar, Ethiopia. J. Arid Environ. 2013, 91, 138–146. [Google Scholar] [CrossRef]
- National Environmental Management Authority (NEMA). National State of The Environment Report for Uganda 2012, Harnessing our Environment for Wealth Creation; NEMA: Kampala, Uganda, 2012; Available online: https://www.nema.go.ug/projects/reports (accessed on 27 October 2021).
- Kaggwa, R.; Hogan, R.; Hall, B. Enhancing the Contribution of Weather, Climate and Climate Change to Growth, Employment and Prosperity; UNDP/NEMA/UNEP Poverty Environment Initiative: Kampala, Uganda, 2009; Available online: https://wedocs.unep.org/bitstream/handle/20.500.11822/26899/Weather_growth.pdf?sequence=1&isAllowed=y (accessed on 25 June 2022).
- Mwanjalolo, M.G.J.; Bernard, B.; Paul, M.I.; Joshua, W.; Sophie, K.; Cotilda, N.; Bob, N.; John, D.; Edward, S.; Barbara, N. Assessing the extent of historical, current, and future land use systems in Uganda. Land 2018, 7, 132. [Google Scholar] [CrossRef]
- Zziwa, E.; Kironchi, G.; Gachene, C.; Mugerwa, S. The dynamics of land use and land cover change in Nakasongola district. J. Biodivers. Environ. Sci. 2012, 2, 61–73. [Google Scholar]
- Mfitumukiza, D.; Barasa, B.; Aringaniza, I. Determinants of agroforestry adoption as an adaptation means to drought among smallholder farmers in Nakasongola District, Central Uganda. African J. Agric. Res. 2017, 12, 2024–2035. [Google Scholar] [CrossRef]
- Obua, J.; Agea, J.G.; Namirembe, S.; Egadu, S.P. The Potential of Acacia senegal for Dryland Agroforestry and Gum Arabic Production in Uganda. J. Drylands 2006, 1, 186–193. [Google Scholar]
- Byakagaba, P.; Egeru, A.; Barasa, B.; Briske, D.D. Uganda’s rangeland policy: Intentions, consequences and opportunities. Pastoralism 2018, 8, 7. [Google Scholar] [CrossRef]
- Mbolanyi, B.; Egeru, A.; Mfitumukiza, D. Contribution of Rangelands to Household Food Basket and Income in a Pastoral Area in Uganda. J. Food Secur. 2016, 4, 68–75. [Google Scholar] [CrossRef]
- Sibanda, A.; Tui, S.H.K.; van Rooyen, A.; Dimes, J.; Nkomboni, D.; Sisito, G. Understanding community perceptions of land use changes in the rangelands, zimbabwe. Exp. Agric. 2011, 47, 153–168. [Google Scholar] [CrossRef][Green Version]
- Guuroh, R.T.; Ruppert, J.C.; Ferner, J.; Čanak, K.; Schmidtlein, S.; Linstädter, A. Drivers of forage provision and erosion control in West African savannas—A macroecological perspective. Agric. Ecosyst. Environ. 2018, 251, 257–267. [Google Scholar] [CrossRef]
- Mekuyie, M.; Jordaan, A.; Melka, Y. Land-use and land-cover changes and their drivers in rangeland-dependent pastoral communities in the southern Afar Region of Ethiopia. African J. Range Forage Sci. 2018, 35, 33–43. [Google Scholar] [CrossRef]
- Dobbie, M.; Green, R. Public perceptions of freshwater wetlands in Victoria, Australia. Landsc. Urban Plan. 2013, 110, 143–154. [Google Scholar] [CrossRef]
- Schaich, H. Local residents’ perceptions of floodplain restoration measures in Luxembourg’s Syr Valley. Landsc. Urban Plan. 2009, 93, 20–30. [Google Scholar] [CrossRef]
- Egeru, A. Role of Indigenous Knowledge in Climate Change Adaptation: A case study of the Teso Sub-Region, Eastern Uganda. Indian J. Tradit. Knowl. 2012, 11, 217–224. [Google Scholar]
- Saylor, C.R.; Alsharif, K.A.; Torres, H. The importance of traditional ecological knowledge in agroecological systems in peru. Int. J. Biodivers. Sci. Ecosyst. Serv. Manag. 2017, 13, 150–161. [Google Scholar] [CrossRef]
- Tarakini, T.; Guerbois, C.; Wencelius, J.; Mundy, P.; Fritz, H. Integrating Local Ecological Knowledge for Waterbird Conservation: Insights From Kavango-Zambezi Transfrontier Conservation Area, Zimbabwe. Trop. Conserv. Sci. 2018, 11. [Google Scholar] [CrossRef]
- Egeru, A.; Wasonga, O.; Majaliwa Mwanjalolo, G.J.; MacOpiyo, L.; Mburu, J. Dynamics of land use and land cover change in semi-arid Karamoja sub-region, Uganda. In Proceedings of the RUFORUM Fourth Biennial Conference, Maputo, Mozambique, 19–25 July 2014; pp. 125–132. [Google Scholar]
- Mbaziira, J. Land cover and land use change analysis: Its impacts on rangeland ecosystems in Kakooge County, Nakasongola district. J. Sci. Sustain. Dev. 2019, 6, 167–180. [Google Scholar] [CrossRef]
- Behn, K.; Becker, M.; Burghof, S.; Möseler, B.M.; Willy, D.K.; Alvarez, M. Using vegetation attributes to rapidly assess degradation of East African wetlands. Ecol. Indic. 2018, 89, 250–259. [Google Scholar] [CrossRef]
- Nimusiima, A.; Basalirwa, C.P.K.; Majaliwa, J.G.M. Nature and dynamics of climate variability in the uganda cattle corridor. African J. Environ. Sci. Technol. 2013, 7, 770–782. [Google Scholar] [CrossRef]
- Egeru, A.; Wasonga, O.; Mburu, J.; Yazan, E.; Majaliwa, M.G.J.; Macopiyo, L. Drivers of forage availability: An integration of remote sensing and traditional ecological knowledge in Karamoja sub-region, Uganda. Pastor. Res. Policy Pract. 2015, 5, 19. [Google Scholar] [CrossRef]
- Nsubuga, F.N.W.; Namutebi, E.N.; Nsubuga-ssenfuma, M. Water Resources of Uganda: An Assessment and Review. J. Water Resour. Prot. 2014, 6, 1297–1315. [Google Scholar] [CrossRef]
- National Forestry Authority (NFA). National Biomass Study, Phase I; NFA: Kampala, Uganda, 1992. [Google Scholar]
- Ramsar Convention Secretariat. Global Wetland Outlook: State of the World’s Wetlands and Their Services to People 2018; SSRN: Gland, Switzerland, 2018. [Google Scholar]
- Dika, G.; Tolossa, D.; Eyana, S.M. Rangeland Degradation and Its Impacts Post-1992: Constructing the Perceptions of Boorana Pastoralist, Southern Ethiopia. Int. J. Ecol. 2022, 2022, 7978744. [Google Scholar] [CrossRef]
- Subedi, P.; Subedi, K.; Thapa, B. Application of a Hybrid Cellular Automaton—Markov (CA-Markov) Model in Land-Use Change Prediction: A Case Study of Saddle Creek Drainage Basin, Florida. Appl. Ecol. Environ. Sci. 2013, 1, 126–132. [Google Scholar] [CrossRef]
- Rasolofoson, R.A.; Nielsen, M.R.; Jones, J.P.G. The potential of the Global Person Generated Index for evaluating the perceived impacts of conservation interventions on subjective well-being. World Dev. 2018, 105, 107–118. [Google Scholar] [CrossRef]
- Egeru, A.; Wasonga, O.; Kyagulanyi, J.; Majaliwa, G.; MacOpiyo, L.; Mburu, J. Spatio-temporal dynamics of forage and land cover changes in Karamoja sub-region, Uganda. Pastor. Res. Policy Pract. 2014, 4, 6. [Google Scholar] [CrossRef]
- Olson, J.M.; Misana, S.; Campbell, D.J.; Mbonile, M.; Mugisha, S. A Research Framework to Identify the Root Causes of Land Use Change Leading to Land Degradation and Changing Biodiversity; International Livestock Research Institute: Nairobi, Kenya, 2004; Volume 48. [Google Scholar]
- Maitima, J.; Olson, J.; Mugatha, S.; Mugisha, S.; Mutie, I. Land use changes, impacts and options for sustaining productivity and livelihoods in the basin of lake Victoria. J. Sustain. Dev. Africa 2010, 12, 1520–5509. [Google Scholar]
- Legese, B.; Balew, A. Land-use and land-cover change in the lowlands of Bale Zone, Ethiopia: Its driving factors and impacts of rangeland dynamics in livestock mobility. Environ. Monit. Assess. 2021, 193, 453. [Google Scholar] [CrossRef]
- Abate, T.; Angassa, A. Conversion of savanna rangelands to bush dominated landscape in Borana, Southern Ethiopia. Ecol. Process. 2016, 5, 1–18. [Google Scholar] [CrossRef] [PubMed]
- Witt, A.; Shackleton, R.T.; Witt, A.B.R.; Aool, W.; Pratt, C.F.; Shackleton, R.T.; Witt, A.B.R.; Aool, W.; Pratt, C.F. Distribution of the invasive alien weed, Lantana camara, and its ecological and livelihood impacts in eastern Africa. African J. Range Forage Sci. 2017, 34, 1–11. [Google Scholar] [CrossRef]
- Egeru, A.; Okello, P.; Majaliwa, M.; Mukwaya, P.; Isubikalu, P. The Effect of Land use/cover change on Biomass Stock in Dryland Areas of Eastern Uganda. A case study of Olio Sub-county in Soroti District. J. Appl. Sci. Environ. Manag. 2011, 14. [Google Scholar] [CrossRef]
- Hisali, E.; Birungi, P.; Buyinza, F. Adaptation to climate change in Uganda: Evidence from micro level data. Glob. Environ. Chang. 2011, 21, 1245–1261. [Google Scholar] [CrossRef]
- Ongoma, V.; Chen, H.; Omony, G.W. Variability of extreme weather events over the equatorial East Africa, a case study of rainfall in Kenya and Uganda. Theor. Appl. Climatol. 2018, 131, 2018. [Google Scholar] [CrossRef]
- Nsubuga, F.W.N.; Botai, O.J.; Olwoch, J.M.; Rautenbach, C.J.d.; Bevis, Y.; Adetunji, A.O. The nature of rainfall in the main drainage sub-basins of Uganda. Hydrol. Sci. J. 2014, 59, 278–299. [Google Scholar] [CrossRef]
- Flintan, F. The Political Economy of Land Reform in Pastoral Areas: Lessons from Africa, Implications for Ethiopia. In Proceedings of the International Conference one on the Future of Pastoralism, Addis Ababa, Eithiopia, 21–23 March 2011; IDS University of Sussex: Addis Ababa, Eithiopia, 2011. [Google Scholar]
- Zerga, B. Rangeland degradation and restoration: A global perspective. J. Agric. Biotechnol. Res. 2015, 1, 37–54. Available online: http://www.pjournals.org/PJABR (accessed on 25 June 2022).
- Kiringe, J.W.; Okello, M.M. Use and availability of tree and shrub resources on Maasai communal rangelands near Amboseli, Kenya. African J. Range Forage Sci. 2016, 22, 37–45. [Google Scholar] [CrossRef]
- Opiyo, F.; Wasonga, O.; Nyangito, M.; Schilling, J.; Munang, R. Drought Adaptation and Coping Strategies Among the Turkana Pastoralists of Northern Kenya. Int. J. Disaster Risk Sci. 2015, 6, 295–309. [Google Scholar] [CrossRef]
- Davies, J.; Bennett, R. Livelihood adaptation to risk: Constraints and opportunities for pastoral development in Ethiopia ’ s Afar region. J. Dev. Stud. 2016, 43, 490–511. [Google Scholar] [CrossRef]
- Uganda Bureau of Statistics (UBOS). Statistical Abstract; UBOS: Kampala, Uganda, 2014; Available online: https://www.ubos.org/wp-content/uploads/publications/03_2018Statistical_Abstract_2014.pdf (accessed on 25 June 2022).
- Mwavu, E.N.; Witkowski, E.T.F. Land-use and cover changes (1988–2002) around Budongo Forest Reserve, North-western Uganda: Implications for forest and woodland sustainability. L. Degrad. Dev. 2009, 144, 129–144. [Google Scholar] [CrossRef]
- Twongyirwe, R.; Majaliwa, J.G.M.; Ebanyat, P.; Tenywa, M.M.; Sheil, D.; Heist, M.V.; Oluka, M.; Kumar, L. Dynamics of forest cover conversion in and around Bwindi impenetrable forest, Southwestern Uganda. J. Appl. Sci. Environ. Manag. 2011, 15. [Google Scholar] [CrossRef]
- Angassa, A.; Oba, G. Effects of management and time on mechanisms of bush encroachment in southern Ethiopia. Afr. J. Ecol. 2008, 46, 186–196. [Google Scholar] [CrossRef]
- Mugerwa, W.K. Rangeland Tenure and Resource Management: An Overview of Pastoralism in Uganda; Makerere Institute of Social Research: Kampala, Uganda, 1992; Available online: https://minds.wisconsin.edu/bitstream/handle/1793/31666/rp001_A1b.pdf?sequence=3. (accessed on 25 June 2022).
- Mamdani, M. Karamoja: Colonial roots of famine in North-East Uganda. Rev. Afr. Polit. Econ. 1982, 9, 66–73. [Google Scholar] [CrossRef]
- Uganda Investiment Authority (UIA). Karamoja Investment Profile 2016; UIA: Kampala, Uganda, 2016; Available online: https://www.ugandainvest.go.ug/wp-content/uploads/2016/04/uia-Karamoja-profile.pdf (accessed on 25 June 2022).
- Tenzing, K.; Millar, J.; Black, R. How property rights influence equity, efficiency and sustainability of high-altitude rangeland management in Bhutan. Pastoralism 2021, 1, 1–13. [Google Scholar] [CrossRef]
- Reid, R.S.; Thornton, P.K.; Kruska, R.L.; Reid, R.S.; Thornton, P.K.; Loss, R.L.K. Loss and fragmentation of habitat for pastoral people and wildlife in east Africa: Concepts and issues. J. Range Forage Sci. 2004, 21, 171–181. [Google Scholar] [CrossRef]
- Kosonei, R.C.; Abuom, P.O.; Bosire, E.; Huho, J.M. Vegetation Cover in Marigat Sub- Vegetation Cover in Marigat Sub-County, Baringo County Kenya. Int. J. Sci. Res. Publ. 2017, 7, 89–98. [Google Scholar]
- Shiferaw, B.; Tesfaye, K.; Kassie, M.; Abate, T.; Prasanna, B.M.; Menkir, A. Managing vulnerability to drought and enhancing livelihood resilience in sub-Saharan Africa: Technological, institutional and policy options. Weather Clim. Extrem. 2014, 3. [Google Scholar] [CrossRef]
- Bai, J.; Cui, B.; Cao, H.; Li, A.; Zhang, B. Wetland degradation and ecological restoration. Sci. World J. 2013, 2013. [Google Scholar] [CrossRef]
- Siyabulela, S.; Tefera, S.; Wakindiki, I.; Keletso, M. Comparison of grass and soil conditions around water points in different land use systems in semi-arid South African rangelands and implications for management and current rangeland paradigms. Arid L. Res. Manag. 2020, 34, 207–230. [Google Scholar] [CrossRef]
- National Environment Management Aunthority (NEMA). Harnessing our environment as infrastructure for sustainable livelihood development. In National State of the Environment Report; NEMA: Kampala, Uganda, 2014; Available online: https://nema.go.ug/sites/all/themes/nema/docs/FINAL%20NSOER%202014.pdf (accessed on 25 June 2022).
- Mehari, Z.H. The invasion of Prosopis juliflora and Afar pastoral livelihoods in the Middle Awash area of Ethiopia. Ecol. Process. 2015, 4, 13. [Google Scholar] [CrossRef]
- Sintayehu, D.W.; Egeru, A.; Ng, W.T.; Cherenet, E. Regional dynamics in distribution of Prosopis juliflora under predicted climate change in Africa. Trop. Ecol. 2020, 61, 437–445. [Google Scholar] [CrossRef]
- Cao, J.; Yeh, E.T.; Holden, N.M.; Yang, Y.; Du, G. The effects of enclosures and land-use contracts on rangeland degradation on the Qinghai-Tibetan plateau. J. Arid Environ. 2013, 97, 3–8. [Google Scholar] [CrossRef]
- Kimiti, K.S.; Western, D.; Mbau, J.S.; Wasonga, O.V. Impacts of long-term land-use changes on herd size and mobility among pastoral households in Amboseli ecosystem, Kenya. Ecol. Process. 2018, 7, 1–9. [Google Scholar] [CrossRef]
- Res, C.; Meze-hausken, E. Contrasting climate variability and meteorological drought with perceived drought and climate change in northern Ethiopia. Clim. Res. 2004, 27, 19–31. [Google Scholar]
- Karamage, F.; Zhang, C.; Liu, T.; Maganda, A.; Isabwe, A. Soil erosion risk assessment in Uganda. Forests 2017, 8, 52. [Google Scholar] [CrossRef]






| Class | Description |
|---|---|
| Built-up areas | These are all permanent and semi-permanent buildings housing people and other infrastructure such as roads, factories, and buildings in towns or trading centres. |
| Farmlands | This consists of land cultivated for both subsistence and commercial purposes. It comprises of both previously cleared land awaiting sowing of crops and those recently sowed with crops. |
| Forest | These are areas characterized by a dense tree canopy and comprises of trees taller than 2 meters (m). |
| Grasslands | These are areas dominated by tall and short grasses that are perennial. Some of the grasslands are characterized by woody vegetation and shrub that cover less than 10% of the land area [21]. |
| Open Water | These are areas with natural open water bodies. |
| Shrubs and Thickets | These are areas with dense and scattered bushes or trees with an average height of less than 4 m [41]. |
| Tree Plantations | These are areas with tree plantations. Both mature and young plantations are included but excludes other non-timber plantations such as coffee, sugarcane and tea plantations [21]. |
| Wetlands | These are areas that are permanently or seasonally waterlogged comprising of both woody and herbaceous vegetation [42]. |
| Woodlands | These are areas that are composed of scattered trees with grassland patches in between. Tree height varies between 3–6 m. |
| LULC Type | 1985 | 1995 | 2005 | 2015 | 2021 | |||||
|---|---|---|---|---|---|---|---|---|---|---|
| Area (Sq∙km) | Percent (%) | Area (Sq∙km) | Percent (%) | Area (Sq∙km) | Percent (%) | Area (Sq∙km) | Percent (%) | Area (Sq∙km) | Percent (%) | |
| Built-up | 3.5 | 0.1% | 12.8 | 0.4% | 15.5 | 0.4% | 33.0 | 0.9% | 62.8 | 1.8% |
| Farmland | 252.4 | 7.2% | 373.2 | 10.6% | 585.4 | 16.7% | 941.8 | 26.8% | 1257.1 | 35.8% |
| Forest | 8.4 | 0.2% | 10.1 | 0.3% | 9.2 | 0.3% | 14.5 | 0.4% | 31.1 | 0.9% |
| Grassland | 1113.9 | 31.7% | 1048.9 | 29.9% | 973.7 | 27.8% | 763.6 | 21.8% | 648.3 | 18.5% |
| Open water | 223.2 | 6.4% | 222.3 | 6.3% | 224.1 | 6.4% | 225.9 | 6.4% | 227.4 | 6.5% |
| Shrubland & Thickets | 576.8 | 16.4% | 561.1 | 16.0% | 467.6 | 13.3% | 384.6 | 11.0% | 285.6 | 8.1% |
| Tree Plantation | 0.0 | 0.0% | 0.0 | 0.0% | 0.9 | 0.0% | 9.6 | 0.3% | 15.6 | 0.4% |
| Wetland | 926.9 | 26.4% | 904.9 | 25.8% | 886.6 | 25.3% | 847.0 | 24.1% | 758.7 | 21.6% |
| Woodland | 403.5 | 11.5% | 375.3 | 10.7% | 345.5 | 9.8% | 288.7 | 8.2% | 221.9 | 6.3% |
| Total | 3508.6 | 100 | 3508.6 | 100 | 3508.6 | 100 | 3508.6 | 100 | 3508.6 | 100 |
Publisher’s Note: MDPI stays neutral with regard to jurisdictional claims in published maps and institutional affiliations. |
© 2022 by the authors. Licensee MDPI, Basel, Switzerland. This article is an open access article distributed under the terms and conditions of the Creative Commons Attribution (CC BY) license (https://creativecommons.org/licenses/by/4.0/).
Share and Cite
Kuule, D.A.; Ssentongo, B.; Magaya, P.J.; Mwesigwa, G.Y.; Okurut, I.T.; Nyombi, K.; Egeru, A.; Tabuti, J.R.S. Land Use and Land Cover Change Dynamics and Perceived Drivers in Rangeland Areas in Central Uganda. Land 2022, 11, 1402. https://doi.org/10.3390/land11091402
Kuule DA, Ssentongo B, Magaya PJ, Mwesigwa GY, Okurut IT, Nyombi K, Egeru A, Tabuti JRS. Land Use and Land Cover Change Dynamics and Perceived Drivers in Rangeland Areas in Central Uganda. Land. 2022; 11(9):1402. https://doi.org/10.3390/land11091402
Chicago/Turabian StyleKuule, Derick Ansyijar, Benard Ssentongo, Paul John Magaya, Gordon Yofesi Mwesigwa, Isaac Tom Okurut, Kenneth Nyombi, Anthony Egeru, and John Robert Stephen Tabuti. 2022. "Land Use and Land Cover Change Dynamics and Perceived Drivers in Rangeland Areas in Central Uganda" Land 11, no. 9: 1402. https://doi.org/10.3390/land11091402
APA StyleKuule, D. A., Ssentongo, B., Magaya, P. J., Mwesigwa, G. Y., Okurut, I. T., Nyombi, K., Egeru, A., & Tabuti, J. R. S. (2022). Land Use and Land Cover Change Dynamics and Perceived Drivers in Rangeland Areas in Central Uganda. Land, 11(9), 1402. https://doi.org/10.3390/land11091402

