Next Article in Journal
Cross-Scaling Approach for Water-Flow-Regulating Ecosystem Services: A Trial in Bochum, Germany
Next Article in Special Issue
Seeking Sustainable Solutions in a Time of Change
Previous Article in Journal
Stakeholders’ Perspective on Groundwater Management in Four Water-Stressed Mediterranean Areas: Priorities and Challenges
Previous Article in Special Issue
AbundanceR: A Novel Method for Estimating Wildlife Abundance Based on Distance Sampling and Species Distribution Models
 
 
Font Type:
Arial Georgia Verdana
Font Size:
Aa Aa Aa
Line Spacing:
Column Width:
Background:
Article

Estimating Road Mortality Hotspots While Accounting for Imperfect Detection: A Case Study with Amphibians and Reptiles

1
Department of Natural Resources Science, University of Rhode Island, Kingston, RI 02881, USA
2
Rhode Island Department of Environmental Management, Division of Fish and Wildlife, 277 Great Neck Road, West Kingston, RI 02892, USA
*
Author to whom correspondence should be addressed.
Land 2022, 11(5), 739; https://doi.org/10.3390/land11050739
Submission received: 4 March 2022 / Revised: 2 May 2022 / Accepted: 5 May 2022 / Published: 14 May 2022
(This article belongs to the Special Issue Wildlife Protection and Habitat Management: Practice and Perspectives)

Abstract

:
Wildlife road mortality tends to aggregate spatially at locations commonly referred to as road mortality hotspots. Predictive models can be used to identify locations appropriate for mitigation measures that reduce road mortality. However, the influence of imperfect detection (e.g., false absences) during road mortality surveys can lead to inaccurate or imprecise spatial patterns of road mortality hotspots and suboptimal implementation of mitigation measures. In this research, we used amphibians and reptiles as a case study to address imperfect detection issues when estimating the probability of road mortality hotspots using occupancy detection modeling. In addition, we determined the survey effort needed to achieve a high probability of detecting large roadkill events. We also assessed whether vehicle travel reductions associated with the COVID-19 pandemic travel restrictions led to reductions in road mortality. We conducted surveys at 48 sites throughout Rhode Island, USA, from 2019–2021. In total, we observed 657 carcasses representing 19 of Rhode Island’s 37 native species. Of the 19 native species, eight species of frogs, four species of salamanders, four species of snakes, and three species of turtles were observed. We documented a reduction in roadkill density and the proportion of dead versus live amphibians and reptiles in pandemic years (2020 and 2021), but we were unable to link reductions in roadkill density to reductions in traffic volume. Our model results indicated that large roadkill events were more likely to occur on roads near wetlands and with low traffic volume and were more likely to be detected as daily precipitation increased. We determined that there was a low probability of detecting large roadkill events, suggesting that imperfect detection influences detection of large roadkill events, and many were likely missed during our surveys. Therefore, we recommend using occupancy modeling to account for the influence of imperfect detection when estimating road mortality hotspots. This approach will more effectively guide the implementation of mitigation measures.

1. Introduction

As road infrastructure continues to expand in the United States, so do the negative impacts of roads and vehicle traffic on ecosystems and wildlife. Among the most notable impacts is the widespread direct mortality of wildlife from vehicle traffic [1]. For example, it has been estimated that between 89 and 340 million birds are struck and killed on roads annually in the United States [2]. Road mortality exerts significant impacts on amphibians and reptiles as well, with amphibians often accounting for 60–90% of all roadkill observations [3,4]. Herpetofauna play important ecological roles, acting as both predator and prey, supporting energy transfer between aquatic and terrestrial ecosystems, and serving as indicator species for the health of aquatic ecosystems [5,6]. With human-associated stressors, including road mortality, contributing to amphibian and reptile population declines worldwide, there is concern about these declines disrupting food webs and ecosystem functioning [7,8,9].
Herpetofauna possess ecological and behavioral characteristics that make them highly susceptible to road mortality. The close relationship between the periodicity of life history events and local weather conditions combines to create observable patterns in road mortality [10,11]. For example, amphibians make frequent road crossings during annual migrations between habitats to breed and forage, such as regular crossings made by the northern leopard frog (Lithobates pipiens) between upland and wetland habitats, increasing the risk of road mortality [12,13,14]. In Indiana (USA), increased levels of amphibian road mortality have been observed in the summer months from May through July, during periods when many species frequently cross roads to breed and forage [3]. Reptiles are also vulnerable because of seasonal behaviors. During movements to nesting sites, female turtles may cross roads to nest in the loose sandy areas adjacent to roads, thereby increasing their vulnerability to motor vehicle impacts [15]. Many snake species overwinter communally and emerge from hibernacula in large numbers in the spring. The resulting mass movements can result in large, localized mortality events [16]. Weather conditions also influence susceptibility to road mortality. For amphibians, increased road mortality has been observed in the evenings with warmer temperatures and precipitation during the breeding season [17,18]. For reptiles, a higher risk of road mortality occurs in the spring and early summer when temperatures increase, and many species are crossing roads to reach nesting sites [10].
Road surfaces constructed of asphalt and concrete absorb and retain heat, attracting snakes, frogs, and salamanders to roads to bask and thermoregulate [8,19]. For diurnal species, heat absorbed by roads on sunny days makes road surfaces ideal for basking. That heat, absorbed during the day, is retained and continues to radiate into the evening hours, serving as an important source of heat for nocturnal species on cool nights. For both diurnal and nocturnal species, the use of roads for thermoregulation can increase vulnerability to road traffic. Many amphibians are small, making them hard for drivers to see and avoid. They move slowly, and some species may remain immobile in response to traffic, which can increase the risk of being killed [20,21]. In fact, some snakes and other reptiles are targeted by drivers [22,23].
Road mortality can ultimately lead to population declines in amphibians and reptiles [12]. This can alter the demographic and genetic composition of populations and fragment breeding populations [8,24], which can further exacerbate population declines and lead to extirpation [25]. For example, an annual road mortality of >10% in adult spotted salamanders (Ambystoma opacum) may be enough to lead to population declines and potentially extirpation [8]. More concerning, annual road mortality >5% in terrestrial and large-bodied turtles in the northeastern United States may threaten local populations [26]. For turtles, life history traits, such as delayed sexual maturity and low fecundity, make them highly susceptible to the impacts of road mortality [27].
Road mortality does not occur randomly but is often spatially clustered at locations with specific landscape and road features, commonly referred to as road mortality hotspots [28]. For herpetofauna, the presence of habitats, the proximity of habitats to roads, and traffic volume are strong indicators of locations with high levels of road mortality [3,4,29]. In one study [30], sections of roads within 100 m of a wetland were determined to be the most important indicator of road mortality hotspots for amphibians and reptiles. For amphibians, road mortality hotspots occur on sections of roads with wetlands directly adjacent to or bisected by roads [31]. For turtles, road sections within close proximity to bodies of water were the best predictors of road mortality hotspots [32]. Road characteristics, including road width and traffic volume, may also serve as important predictors of road mortality hotspots. Wide roads generally have multiple lanes to support high levels of traffic, representing a longer distance and a longer time needed for herpetofauna to cross, increasing the chance of being killed [33]. Traffic volume, a measure of the number of vehicles on a road over a given period, usually daily, is another important road feature associated with road mortality hotspots. Although the risk of being killed increases with traffic volume [13], some studies have observed the highest levels of road mortality on roads with a lower traffic volume. For example, roads with low (350–470 vehicles/day) and moderate (1900–2900 vehicles/day) traffic volumes had the highest levels of amphibian mortality in Poland [29]. Roads with lower traffic volumes present less vehicle disturbance for animals, making them more likely locations for thermoregulation, thus increasing vulnerability to road mortality [12]. In addition, roads with the highest levels of traffic volume that have been in use for decades, such as major interstates and highways, may have initially had higher levels of road mortality when first constructed. However, high levels of road mortality lead to population declines near such roads, which results in decreased mortality over time [7,34]. Roads with a higher traffic volume tend to also occur in highly developed areas with less habitat for amphibians and reptiles. High traffic volumes may act as a behavioral deterrent that keeps some species from attempting to cross a road, and thus, more frequent road crossings may occur on low traffic volume roads [35].
Road surveys are used to identify road mortality hotspots by recording live and dead individuals on roads during high-risk periods [36]. Common survey methods include driving or walking along roadways. Driving surveys can be used along large road networks, but this method results in lower detection rates and missed carcasses on the road, thereby underestimating road mortality levels [36]. For example, it was estimated that the number of roadkill observed during driving surveys is 12–16 times lower than the actual mortality rate [37]. Walking surveys have higher detection rates and generate more precise estimates of road mortality but are time consuming and cover less roadways than driving surveys [12,36]. A recent study comparing methods observed that 75% of amphibian carcasses recorded during walking surveys were missed during driving surveys [38]. The frequency of surveys is also important and can impact hotspot identification, with weekly or longer intervals between surveys reducing the accuracy of identifying hotspots for amphibians and reptiles [39]. Regardless, techniques commonly used to identify hotspots rely on counts of roadkills recorded during surveys, which are often assumed to be underestimated due to imperfect detection during surveys [3,40].
Since large roadkill events tend to occur on only a few nights during the year and under certain weather conditions, the timing of surveys is important for capturing peaks in road mortality, especially since carcasses may remain on the road only for brief periods following a large event [41]. In other words, there may be a high risk of road mortality along a section of road; however, due to the timing of the survey, a low level of roadkill is observed; this leads to observers failing to detect road mortality hotspots. Several studies focusing on herpetofauna road mortality have recognized that the number of roadkill observed during surveys was likely underestimated due to imperfect detection during surveys, which likely influenced documented spatial patterns of road mortality [3,18]. Imperfect detection can lead to the false absence (or presence) of hotspots and spatial bias in road mortality patterns, potentially directing management efforts and mitigation measures that are ineffective in reducing road mortality [39,40,42].
Predictive models can be used to identify road mortality hotspots, as well as potential hotspots not previously surveyed, by investigating relationships between the numbers of animals killed on roads and particular landscape and road features [30,43]. Studies have used spatial clustering techniques, such as Getis-Ord-Gi [44,45,46], to identify the clustering of roadkill associated with road mortality hotspots. However, the techniques commonly used rely on roadkill count data and do not address the influence of imperfect detection during surveys on roadkill counts, which can lead to inaccurate or imprecise spatial patterns of road mortality hotspots. Occupancy models, a predictive modeling approach that incorporates detection probability to estimate occurrence—the probability of a species being present at a location but not detected during surveys—can be used to address imperfect detection during surveys to more precisely predict spatial patterns of road mortality [40,42,47]. Occupancy models incorporate site characteristics (e.g., the presence of a species’ habitat) as well as the environmental conditions during surveys (e.g., precipitation) to estimate the probability of a species being present at a location and observed during a survey (i.e., detection or non-detection of a species). Applied to wildlife road mortality, occupancy is a proxy for determining the risk of road mortality, and detection probability is the likelihood of a carcass being detected during a survey, given that it occurs [42]. Estimating detection probability requires multiple visits to a site, and since multiple surveys may be required to identify a road mortality hotspot, the sampling design used for road surveys can be integrated to correct for imperfect detection during surveys [42]. As occupancy models account for detection probability, they can be used to correct for false absences by identifying locations with the greatest risk of road mortality rather than those with the highest observations of roadkill, guiding mitigation measures to locations where road mortality is most likely to occur [42]. Occupancy detection models are commonly used to estimate site occupancy and species distribution and to monitor wildlife populations [48,49]. However, few studies have used occupancy detection models to address imperfect detection in road mortality hotspot models with the goals of improving the identification of locations with the greatest risk of road mortality and enhancing recommendations for locations where mitigation measures may be most appropriate in reducing road mortality [39].
New England states (USA), including Rhode Island, are characterized by ongoing development, including road construction and high human population densities. Road mortality is likely an important threat for native amphibian and reptile populations on Rhode Island, but limited data are available. Using amphibians and reptiles as a case study, we employed an occupancy modeling framework to account for imperfect detection issues in road mortality hotspot probability to better identify and prioritize locations where mitigation measures would be most effective in reducing road mortality. In addition, we used our estimates of large roadkill event detectability to determine the survey effort needed to achieve a high probability of detecting large roadkill events.

2. Materials and Methods

2.1. Study Site

Rhode Island is the smallest state in the United States, with a total land area of 3100 km2. However, it is ranked among the top states for both human population density and road density [50]. Rhode Island harbors 18 species of native amphibians (10 salamanders, 8 frogs) and 19 species of native reptiles (12 snakes, 7 non-marine turtles), many of which are suspected to be undergoing population declines because of anthropogenic stressors, including habitat loss and road mortality [51].

2.2. Study Design

We conducted road mortality surveys from late April to mid-July from 2019 to 2021. Surveys were undertaken on two-laned paved roads with traffic volumes ranging from 15–6000 vehicles per day. From roads with those characteristics, we randomly selected 48 road sections (each 200 m in length) throughout western Rhode Island (see Figure A1 in Appendix A) that were separated by at least 500 m to reduce spatial autocorrelation. Half of the sites were located within 100 m of a wetland (hotspots), and half of them were located farther than 100 m from a wetland (coldspots). On each visit, we conducted walking surveys at one group of six sites. Weather conditions varied among survey nights, which included nights with and without precipitation. We conducted surveys between 20:00–01:30 h on nights with air temperatures ≥5.5 °C.

2.3. Road Mortality Surveys

A survey consisted of two or more surveyors walking the length of each 200-m road section, one on each side of the road, scanning the surface and adjacent area for live or dead amphibians and reptiles. At the end of each road section, surveyors switched sides and walked back to the beginning of the road section, continuing to scan for live or dead animals. We used a mobile application, Herp Observer Road Edition, created by the Rhode Island Department of Environmental Management, to document amphibians and reptiles found on or adjacent to the road along at each site. This application was developed within the data collection platform Survey123 (ESRI, Redlands, CA, USA) and was used to record the species, date, time, geographic coordinates, condition (alive or dead-on road), and any notes on the observation along with a photo of each carcass. Carcasses that were highly decomposed were recorded at the genus level. Once recorded, carcasses were removed to reduce double counting on the return walk during each survey. Any live amphibians and reptiles encountered on the road during surveys were recorded and moved off the road in the direction in which they were headed. We documented environmental conditions during surveys using the North American Amphibian Monitoring Program protocol [52]. Air temperature was recorded during surveys, and daily precipitation was obtained from the nearest Community Collaborative Rain, Hail, & Snow Network rain gauge [53].

2.4. Pandemic-Associated Road Mortality

Due to the COVID-19 pandemic, we were forced to curtail our survey effort and surveyed half the number of sites (12 sites) in 2020, as in 2019 and 2021 (24 sites each year). We saw this as an opportunity to determine if reductions in road mortality occurred during the COVID-19 pandemic, as fewer vehicles were likely traveling on roads due to travel-related restrictions and an economy-wide shut down. In late March 2020, the Rhode Island Governor implemented statewide mandates in an attempt to reduce the spread of COVID-19. These mandates included businesses ordering their employees to work remotely from home, schools switching to online learning, and many local businesses and restaurants closing or offering only road-side or take-out services, all of which reduced the number of vehicles traveling on roads. In addition, some towns enacted a “stay at home” order that directed residents to remain at home and travel only for necessities, such as groceries or to go to work. Rhode Island has a thriving tourism industry and receives an influx of out-of-state travelers during the spring and summer months. To curb interstate travel, the governor required that all out-of-state travelers enter the state for an extended period quarantine for 14 days, which likely deterred many tourists from crossing into Rhode Island. As many of the COVID-19 pandemic mandates to curb travel were established during a key time of year, when many of Rhode Island’s amphibians and reptiles are highly active, we aimed to determine if potential traffic reductions during the COVID-19 pandemic led to a reduction in road mortality. Using the same survey technique, we conducted surveys at the six sites with the highest roadkill totals in 2019 and the six sites we planned to survey during our full survey season in 2020. Then, in 2021, we conducted additional surveys at the six sites surveyed in 2020 as part of our full survey season. We then compared two metrics, roadkill rates as carcasses observed per kilometer and the percentage of live versus dead amphibians and reptiles between years (pre-pandemic, pandemic season 2020, and pandemic season 2021), to determine if a reduction in road mortality had occurred.

2.5. Occupancy Model Development

In this study, we defined occupancy as the probability of a large roadkill event occurring at a site. Detection probability was defined as the probability of detecting a large roadkill event during a survey, given that one occurred at the site. We defined a large roadkill event as observing five or more amphibians and/or reptiles dead at a site during a survey. Five or more carcasses represented the top 10% of the sites with the highest roadkill observations per survey. We considered testing a second scenario for roadkill events of ≥10 carcasses being observed at a site during a survey; however, roadkill events of ≥10 individuals were only detected at 11.7% (n = 7) of all sites. Given the infrequency of these events (≥10 carcasses on a given survey), reliable estimates using the occupancy modeling approach were not feasible. Due to the low number of roadkill observations by taxonomic group, all amphibian and reptile roadkill were aggregated regardless of species at each site. This decision was supported by previous research demonstrating that road mortality hotspots for amphibians and reptiles overlapped [30]. Live amphibians and reptiles on the road were documented but were not included in the analyses. We used the ‘unmarked’ package in R (Version 4.1.1) to estimate occupancy and detection probability for large roadkill events across all sites. The ‘unmarked’ package uses maximum likelihood estimates to predict occupancy and detection probability from observed data for detection or non-detection of a species.
Geospatial data for Land Use and Land Cover (2011) [54] and Rhode Island Department of Transportation Roads (2016) [55] were acquired from the Rhode Island Geographic Information System. The Land Use and Land Cover data were classified using the Anderson Level III classification system [56]. In addition, we acquired data from the National Wetlands Inventory [57]. We used ArcPro (ESRI, Version 2.8.2, Redlands, CA) to merge land use and land cover data with the National Wetlands Inventory data. The percentage of land cover surrounding a road was calculated by buffering each transect by 100 m and dividing the area of each land use class within the buffer by the total buffer area. A scale of 100 m was chosen, as it has been identified as an important scale associated with amphibian and reptile road mortality hotspots [30]. We also assessed percent wetland and forest within 500 m of a road; however, due to our limited sample size, we were forced to eliminate these models due to poor model fit and reliability of model estimates. Current comprehensive traffic volume data were not available within the state, so we used Functional Class Description Codes from the Federal Highway Administration [58] as a proxy for traffic volume levels, which assigns classes to roads based on traffic volume ranges. Repeated visits to a site are required when using occupancy modeling to determine detection history, which is a pattern of detection or non-detection of a species at a site, or in this case, detection of a large roadkill event. Therefore, in each year, we conducted five surveys at each site starting in mid-April and ending in mid-July. An additional survey was conducted at each transect in 2021; however, they were not included in our occupancy model as the surveys were conducted prior to the start of the surveying period in other years (2019 and 2020) and would have introduced sampling bias into model estimates for occupancy and detection probability. Using roadkill observation data from the five surveys conducted per sampling season at the 48 transects, we generated a detection history matrix for the surveyed transects. Sites surveyed over multiple years as part of our pandemic-associated road mortality study were included as spatial replicates, which included 12 extra sites in our detection history matrix. In total, our detection matrix consisted of 60 transects, with five surveys per transect.
Using survey detection history, we developed a model that assumed an unvarying influence of site and survey covariates to estimate constant occupancy and detection probability across all sites. We then developed a model set consisting of combinations of different covariates (Table 1) to estimate occupancy and detection probability for all sites. Covariates included percent wetland area and forest within a 100-m buffer around a transect, traffic volume classified using the Functional Class Description Code (see Table A1 in Appendix A), temperature during each survey, 24-h precipitation recorded from the nearest rain gauge, and day of year starting from 1 January of the survey year. For occupancy, we tested percentage wetland and forest within 100 m of a road, and road classification, as these characteristics have been found to be important indicators of road mortality hotspots for amphibians and reptiles [30]. For detection probability, we tested daily temperature, precipitation, and time of year, as amphibians and reptiles are more active under certain weather conditions and during specific times of the year [41]. We also tested detection probability against road classification, as carcasses’ persistence can vary across road types, which can influence the detectability of roadkill [59].
We limited the number of covariates included in the models to those that we expected to influence road mortality based on published literature and with the goals of maximizing reliability of model estimates and reducing complexity of the models. Models were compared using Akaike’s Information Criterion, a metric from information theory in which a set of candidate models is developed a priori based on prior knowledge and models are evaluated based on model fit and complexity [60]. Model averaging was then used to estimate occupancy and detection probability for all sites. Finally, using the simplest model that assumed an unvarying influence of covariates on occupancy and detection probability, we determined the survey effort needed to detect a large roadkill event at least once at occupied sites as:
p* = 1 − (1 − p)s
where (p*) is the probability of detecting at least one large roadkill event at a transect assuming one occurs there, (p) is the estimated per survey detection probability, and (s) is the number of surveys. Using this, we were able to estimate the number of surveys necessary to reach a cumulative detection probability of 0.85 and 0.95 for detecting a large roadkill event. This allowed us to determine the survey effort (i.e., number of surveys) needed to reach a high probability of detecting a large roadkill event.

3. Results

Between April 2019 and July 2021, we surveyed 48 sites that covered 9.6 km of roadway. With repeated visits to each site, we surveyed a cumulative linear distance of 64.8 km of roadway over 54 nights between 2019 and 2021. Mean air temperature during surveys was 15.1 °C (SD = 5.63 °C, range = 5.6–22.6 °C), and mean daily precipitation in the 24 h preceding surveys was 0.31 cm (SD = 0.60 cm, range = 0–3.3 cm). This equated to a roadkill rate of 10.1 carcasses per km surveyed. We recorded 657 roadkill observations, of which 19% were too damaged to be identified at the genus or species level. The largest roadkill event we observed while surveying was 33 carcasses. Of Rhode Island’s 37 native species, roadkill observations represented 19 (51%), of which 82% were frogs, 7% were salamanders, 6% were turtles, and 5% were snakes. Of the 19 native species, eight species of frogs (42%), four species of salamanders (21%), four species of snakes (21%), and three species of turtles (16%) were represented. We observed a greater number of roadkill amphibians and reptiles at the expected hotspots (70%) than at the expected coldspots (30%).
Regarding the potential effects of the COVID-19 pandemic on road mortality, we did not observe a reduction in roadkill density (carcasses/km) during the 2020 surveys compared to 2019 (pre-pandemic). However, in 2021, we observed a reduction in road mortality rates compared to the other years (2019 and 2020). We also observed a reduction in the percentage of road-killed amphibians and reptiles in 2020 and 2021 as compared to 2019 (Table 2).
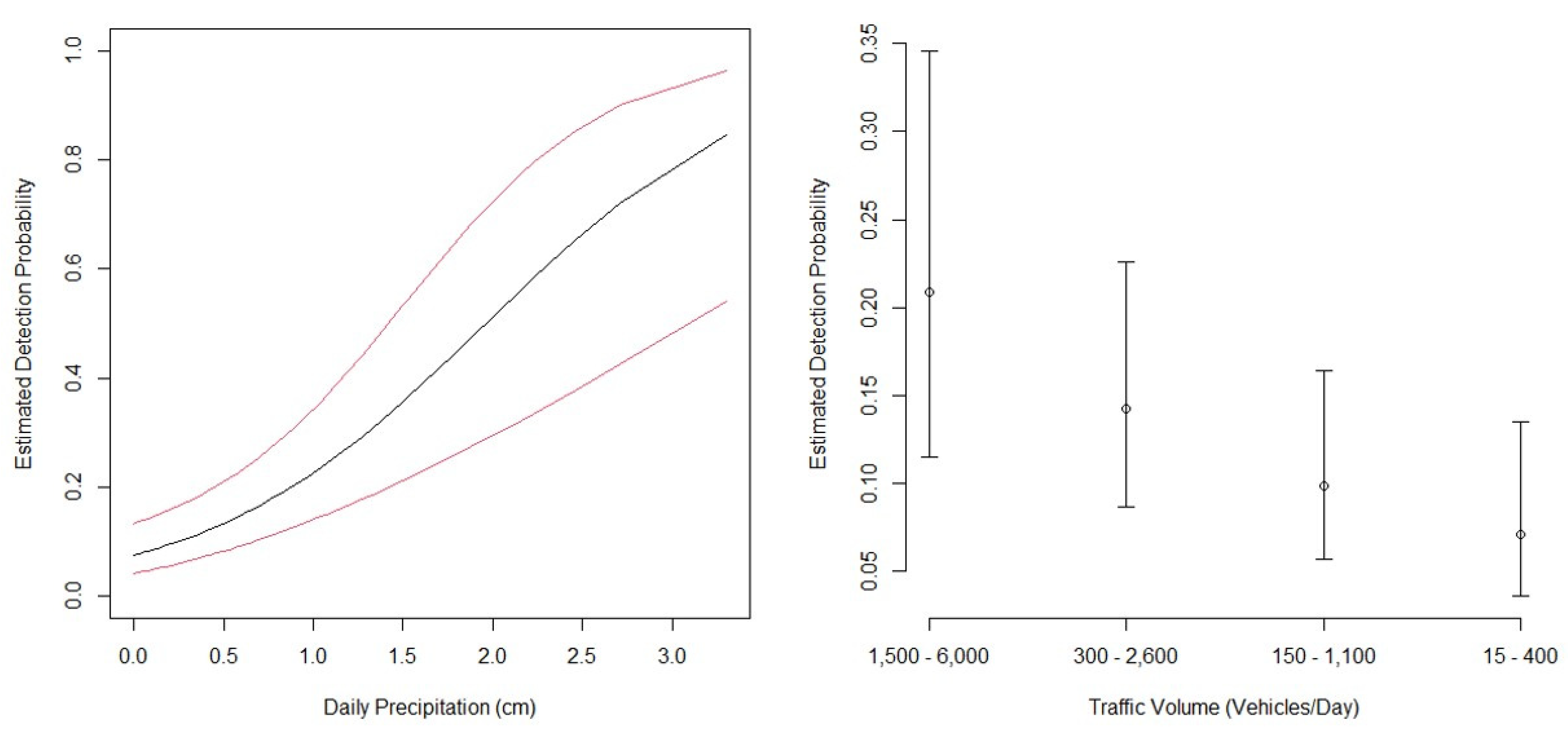
We developed and evaluated 16 models (see Table A2 in Appendix A) for occupancy and detection probability of large roadkill events. We found that the percentage of wetland cover within 100 m of a road and traffic volume (as estimated by road classification) were the most supported covariates (Table 3). While these covariates were most supported, model results indicated that there was no statistically significant relationship between percentage wetland cover within 100-m of a road and traffic volume and occurrence of large roadkill events. Model average results indicated that percent wetland positively influenced estimated site occupancy, while percent forest negatively influenced site occupancy (Figure 1). Estimated occupancy was highest at sites on roads with low traffic volume (15–400 vehicles/day). We found that precipitation in the preceding 24 h and road classification most strongly influenced detection probability (Table 3). We found that detection probability increased (p < 0.001) as daily precipitation increased, and detection probability decreased (p < 0.001) as traffic volume decreased (Figure 2).
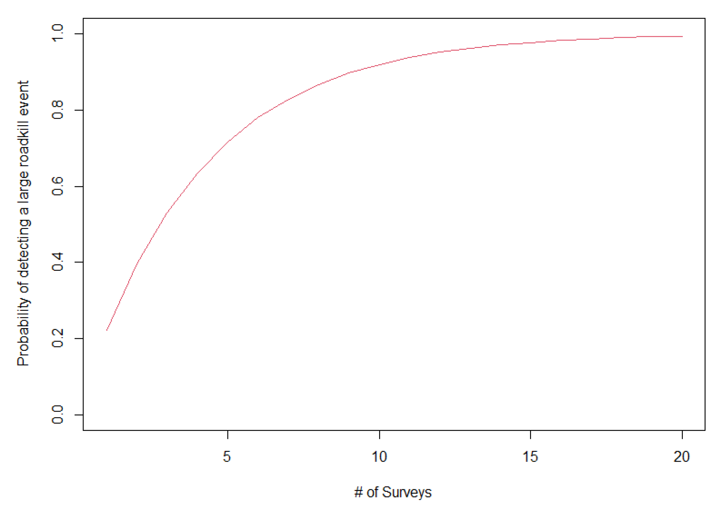
At 40% of sites, we observed at least one large roadkill event, which represented the naïve occupancy or proportion of sites with at least one large roadkill event during the surveys. Using estimates of occupancy and detection probability from the model-averaged results, we estimated a site occupancy of 0.87, meaning that a large roadkill event occurred at 87% of surveyed sites. We estimated a detection probability of 0.22, or a 22% chance of detecting a large roadkill at a site given that a large roadkill event occurs there. Using these estimates, the effort required to reach a high probability of detecting a roadkill event occurring with 85% certainty is 7 surveys and 95% certainty is 12 surveys (Figure 3). If a large roadkill event was not detected by the 12th survey, then a large roadkill event likely did not occur at the site.

4. Discussion

Our study represents a model approach, using amphibians and reptiles as a case study, to address imperfect detection in road mortality studies. This study was the first to assess amphibian and reptile road mortality in Rhode Island, a U.S. state undergoing rapid change that includes increasing human populations and associated land and road development. Overall, the roadkill rates we observed were similar to those of other studies documenting amphibian and reptile road mortality, which reported 2–8 carcasses/km/day [3,36]. Corroborating the results of others [3,7], amphibians made up the majority (89%) of all roadkill observations. This is likely due to their high abundance near roadways, in addition to having several life history characteristics that predispose them to road mortality, such as frequent road crossings and not actively avoiding vehicles once in the road [14,61]. Higher numbers of frog carcasses compared to salamander carcasses may reflect differences in abundance between the two groups or challenges with detection based on the small sizes of some salamanders. In addition, frogs tend to travel longer distances and make more frequent road crossings. Reptiles represented a smaller proportion of all roadkill observations. Turtles and many snakes are diurnal, and it is likely that their carcasses did not persist on the road long enough due to predation to be observed during our night surveys. Reptiles are also more active during the day, and it is possible that there were more incidences of road mortality; however, due to the timing of surveys, these carcasses were not observed. However, all reptiles observed in this study were found dead on the road, suggesting that there is a higher risk of road mortality for reptiles, as was found by other studies that determined a high risk of road mortality for reptiles crossing roads, especially for turtles [26,62]. This is of particular concern, as the low fecundity and delayed sexual maturity of many turtle species can make populations highly vulnerable to the impacts of road mortality, leading to local population declines and extirpation [27]. For example, at two sites that both intersected with large wetland complexes, we observed multiple spotted turtle (Clemmys guttata) carcasses. The spotted turtle is a Species of Greatest Conservation Need in Rhode Island due to population declines [51] and is a candidate for listing under the federal Endangered Species Act. The higher proportion of roadkill observations at hotspots versus coldspots supports previous evidence that amphibian and reptile road mortality happens more frequently on sections of roads near wetlands.

4.1. Pandemic-Associated Road Mortality

We documented conflicting results in our assessment of changes in road mortality between 2019 and the two subsequent years. We did not document a lower carcass density on roads in 2020, the first year of the pandemic, but carcass density was lower on roads in 2021. Differences in carcass densities in these years could have been due to variation in the timing of surveys and environmental conditions (i.e., precipitation) during surveys influencing the level of roadkill we observed [63]. However, we recorded a lower proportion of dead amphibians and reptiles relative to live animals during surveys in 2020 (pandemic season) and 2021 (post-pandemic) compared with those in 2019 (pre-pandemic). Combining these two metrics, our findings may have resulted from a reduced risk of road mortality, potentially because of fewer vehicles traveling on roads. Our results are similar to findings in Maine (U.S.A), where reduced traffic volumes were associated with a reduced risk of road mortality for frogs in 2020, as compared with 2019 [63]. It is likely that fewer vehicles were traveling on roads due to statewide mandates regarding travel, as many restaurants and businesses were closed, and many residents were following recommendations to travel only if necessary. However, traffic volume data were not available for 2019–2021 in Rhode Island, so we cannot confidently conclude that decreased percentages of dead amphibians and reptiles at survey sites during the pandemic (2020, 2021) resulted from reduced traffic volume. Overall, the results of our surveys in 2020 and 2021 (post-pandemic) suggest that there was likely a reduction in roadkill risk, but we cannot clearly attribute this reduction to changes in traffic volumes during the pandemic.

4.2. Occupancy Modeling Development

In our study area, larger amounts of wetland areas surrounding a road increased the probability of the occurrence of a large roadkill event. This supports findings from other studies [3,30] that documented increases in road mortality at road sections with wetlands adjacent to or bisected by a road. We also found that roads with lower traffic volume (15–400 vehicles/day) were associated with the highest occurrence of large roadkill events. This is likely due to roads with a lower traffic volume occurring in less developed areas that contained more habitat for amphibians and reptiles, thereby supporting larger populations that make more frequent road crossings. These results are similar to findings from other studies that reported higher levels of amphibian mortality on roads with lower traffic volume [7,34] and may be due to several reasons. First, roads with a higher traffic volume may result in carcasses being more quickly destroyed before they are observed during a survey. Second, many roads with high traffic volume on Rhode Island occur in areas with high urban development that lack habitat for amphibians and reptiles. In addition, lower abundances of amphibians have been observed near high traffic volume roads, which could contribute to lower levels of mortality [17]. Amphibians and reptiles may also avoid crossing roads with high traffic volumes due to the increased disturbance caused by vehicles. For detection probability, our results indicated that at sites where large roadkill events occurred, the probability of detecting the event during a survey increased on roads with a higher traffic volume. Despite this, we observed that large roadkill events were less likely to occur on high traffic volume roads. In other words, on roads with high traffic volume, there is a low probability that a large roadkill event will occur. However, should a large roadkill event occur, there is a high probability that it will be detected during a survey. This is likely due to the higher traffic levels increasing the risk of road mortality. Regardless of scale, large roadkill events were more likely to be detected during surveys with higher precipitation in the preceding 24 h. During periods of increased precipitation, amphibians and reptiles more frequently cross roads to breed and forage, thereby increasing the risk of mortality [17]. As indicated by our results, occupancy and detection probability varied at sites, depending on the surrounding habitat and timing of surveys.
Although several studies have used occupancy modeling to examine roadkill risk [42], this study is among the first to use occupancy modeling to identify locations where large amphibian and reptile roadkill events are most likely to occur. Importantly, our study has addressed the influence of imperfect detection during surveys on spatial patterns of road mortality, a challenge noted in several studies attempting to identify road mortality hotspots using roadkill counts [38,40,41,59]. The results of this study are specific to our study area. However, the developed modeling framework could be applied to other regions by those interested in better targeting mitigation measures for herpetofaunal road mortality. Using occupancy modeling, we were able to address imperfect detection during surveys to generate more reliable estimates of the occurrence of large roadkill events across the sites we surveyed. As indicated by the results of our occupancy analyses, large roadkill events occurred at a greater number of sites (52%) than were observed during road surveys (31%). This is likely due to the low probability (16.9%) of detecting a large roadkill event during a single survey, suggesting that imperfect detection influences our ability to detect large roadkill events. Such events are likely to be missed, and several studies have indicated that this may be a factor limiting the identification of road mortality hotspots [36,40]. Factors such as timing of surveys (e.g., surveying on a dry evening vs. an evening when it rains) or missing carcasses due to their size or being destroyed by cars or scavenged potentially contributed to imperfect detection of roadkill during our surveys [37,38,59]. By addressing imperfect detection during surveys, we were able to identify and prioritize the locations most appropriate for mitigation measures that reduce road mortality.
Mitigation measures, including infrastructure that keeps amphibians and reptiles off roads, can be costly and are most effective when implemented at locations with the greatest risk of road mortality [42,64]. When implemented appropriately, mitigation measures can be highly effective in reducing road mortality [64,65,66]. Using the results of our models, locations can be identified and targeted for implementing mitigation measures. As we have demonstrated, the influence of imperfect detection on spatial patterns of road mortality (e.g., non-detection leading to false absence) has the potential to misguide the implementation of mitigation measures, reducing their effectiveness in preventing road mortality [39]. To implement mitigation measures most effectively, conservation biologists and land managers should consider the following approach when addressing herpetofaunal road mortality. We recommend conducting surveys on sections of roads with low traffic near habitat for amphibians and reptiles, where large roadkill events are most likely to happen. In addition to survey location, the timing of surveys is also important, as surveying under ideal weather conditions more precisely captures spatial patterns of road mortality [59]. As our results indicate, precipitation has a strong influence on the probability of detecting a large roadkill event. Therefore, we recommend conducting surveys either during or immediately after a rain event, as large roadkill events are more likely to be detected.
As we have demonstrated, there is a low probability of detecting a large roadkill event (17.5%) from a single survey. Therefore, it is likely that locations where large roadkill events occurred were missed by our survey efforts. Given the low detectability of large roadkill events, multiple surveys may need to be conducted before considering a location for mitigation measures that reduce road mortality. However, while increased survey effort would increase the detectability of large roadkill events, conducting more surveys may have marginal gains in identifying high-occurrence roadkill locations and are time-and resource-intensive [67]. Instead of conducting more surveys to identify locations where mitigation measures are most appropriate, a balance of survey design (i.e., number of surveys) and the modeling technique we have applied can be used to correct for imperfect detection. Using our approach, fewer surveys can be conducted, and occupancy modeling can be used to address imperfect detection during surveys to identify and prioritize locations where mitigation measures would be most effective in reducing road mortality.

5. Conclusions

Using amphibians and reptiles as a case study, we developed an approach for assessing the influence of imperfect detection on spatial patterns of road mortality from hotspot models. As our results indicated, there is a low probability of detecting a large roadkill event for amphibians and reptiles, and both the location and timing of surveys should be considered when addressing amphibian and reptile road mortality. The approach we have developed can be used to address imperfect detection, allowing for more cost-effective survey design by guiding survey effort (i.e., the number of surveys conducted) and when surveys should be conducted to better capture the spatial patterns of road mortality hotspots. Importantly, our modeling approach can be used to correct for imperfect detection issues during surveys to allow for the prioritization of locations based on those with the highest probability of a large roadkill event occurring. Using this information, mitigation measures can be implemented at locations where they are more effective in preventing road mortality, thereby reducing the impacts of roads and traffic on amphibians and reptiles.

Supplementary Materials

The following are available online at https://www.mdpi.com/article/10.3390/land11050739/s1, Table S1: Distribution of mortality by species for roadkill surveys conducted in Rhode Island, USA, 2019–2021.; Table S2: Detection history matrix used to code for large roadkill events for amphibians and reptiles along surveyed sites in Rhode Island, USA, 2019–2021. Large roadkill events (≥5 carcasses during a site survey (<5 carcasses during a site survey) are coded as 0.; Table S3: Site specific covariate values for precent wetland and percent forest within 100-m of a road and functional class description code used to estimate occupancy and detection probability of large roadkill events for amphibians and reptiles in Rhode Island, USA, 2019–2021.; Table S4: Survey specific covariate values for temperature during surveys, 24-hr precipitation, and time of year used to estimate detection probability of large roadkill events for amphibians and reptiles in Rhode Island, USA, 2019–2021.

Author Contributions

Conceptualization, N.H., N.E.K., and S.W.B.; methodology, N.E.K., S.W.B., and N.H.; formal analysis, N.H. and B.D.G.; resources, N.E.K. and S.W.B.; data curation, N.H.; writing—original draft preparation, N.H. and N.E.K.; writing—review and editing, N.H., N.E.K., S.W.B., B.D.G., and L.S.C.; visualization, N.H.; supervision, N.E.K.; project administration, N.E.K. All authors have read and agreed to the published version of the manuscript.

Funding

This research received no external funding.

Institutional Review Board Statement:

The animal study protocol was approved by the Institutional Animal Care and Use Committee of the University of Rhode Island (protocol number AN1920-008, approval date 25 March 2019).

Informed Consent Statement

Not applicable.

Data Availability Statement

Supplementary spatial data for this article can be found as Supplementary Materials.

Acknowledgments

We are grateful for all the undergraduate and graduate student volunteers from the University of Rhode Island who assisted with road mortality surveys. We thank the Rhode Island Department of Environmental Management for providing support and assistance with data collection.

Conflicts of Interest

The authors declare no conflict of interest.

Appendix A

Figure A1. Land use and land cover classification within the study area and the locations of study sites in Rhode Island (USA) from 2019–2021.
Figure A1. Land use and land cover classification within the study area and the locations of study sites in Rhode Island (USA) from 2019–2021.
Land 11 00739 g0a1
Table A1. Federal Highway Administration functional class description codes used to estimate traffic volume for roads in Rhode Island.
Table A1. Federal Highway Administration functional class description codes used to estimate traffic volume for roads in Rhode Island.
CodeFunctional Class DescriptionTraffic Volume (Vehicles/Day)
1Interstate12,000–34,000
2Other Freeways & Expressways4000–18,500
3Other Principal Arterial2000–8500
4Minor Arterial1500–6000
5Major Arterial300–2600
6Minor Collector15–1100
7Local15–40
Table A2. Akaike’s Information Criterion (AIC) table for all occupancy models ranked by AIC score, which shows the relationship between large roadkill events and measured covariates in Rhode Island, USA, 2019–2021; psi is occupancy parameter, p is detection parameter, Delta is the Delta AIC, AICwt is the Akaike weight for each model, cumltvWt is the cumulative AIC weight, and K is the number of model parameters.
Table A2. Akaike’s Information Criterion (AIC) table for all occupancy models ranked by AIC score, which shows the relationship between large roadkill events and measured covariates in Rhode Island, USA, 2019–2021; psi is occupancy parameter, p is detection parameter, Delta is the Delta AIC, AICwt is the Akaike weight for each model, cumltvWt is the cumulative AIC weight, and K is the number of model parameters.
ModelKAICDeltaAICwtcumltvWt
psi (Perc_Wetland_100m, F_Class_Code), p (Rain, F_Class_Code)6187.710.000.350.35
psi (Perc_Wetland_100m), p (Rain, F_Class_Code)5188.811.100.230.55
psi (Perc_Forest_100m), p (Rain, F_Class_Code)5189.711.930.130.69
psi (Perc_Wetland_100m), p (Temperature, Rain)5190.152.430.010.79
psi (Perc_Forest_100m), p (Temperature, Rain)5190.402.680.0920.88
psi (Perc_Wetland_100m), p (Rain, Julian_Date)5191.243.530.0600.95
psi (Perc_Forest_100m), p (Rain, Julian_Date)5191.774.060.0460.99
psi (Perc_Forest_100m, F_Class_Code), p(Rain)5195.928.210.00581.00
psi (Perc_Wetland_100m, F_Class_Code), p(Rain)5197.399.670.00281.00
psi (Perc_Forest_100m, F_Class_Code), p (Temp., F_Class_Code)6205.9818.270.0000381.00
psi (Perc_Wetland_100m), p (Temperature, F_Class_Code)5206.4318.720.0000301.00
psi (Perc_Forest_100m), p (Temperature, F_Class_Code)5207.0719.360.0000221.00
psi (Perc_Wetland_100m, F_Class_Code), p (Temp., F_Class_Code)6207.2919.580.0000201.00
psi (Perc_Wetland_100m, F_Class_Code), p(Temperature)5212.1924.480.00000171.00
psi (Perc_Forest_100m, F_Class_Code), p(Temperature)5212.8425.130.00000601.00
psi (.), p (.)2213.2625.550.00000101.00

References

  1. Hill, J.E.; DeVault, T.L.; Belant, J.L. Cause-specific mortality of the world’s terrestrial vertebrates. Glob. Ecol. Biogeogr. 2019, 28, 680–689. [Google Scholar] [CrossRef] [Green Version]
  2. Loss, S.R.; Will, T.; Marra, P.P. Estimation of bird-vehicle collision mortality on US roads. J. Wildl. Manag. 2014, 78, 763–771. [Google Scholar] [CrossRef]
  3. Glista, D.J.; De Vault, T.L.; De Woody, J.A. Vertebrate road mortality predominantly impacts amphibians. Herpetol. Conserv. Biol. 2008, 3, 77–87. [Google Scholar]
  4. Matos, C.; Sillero, N.; Argaña, E. Spatial analysis of amphibian road mortality levels in northern Portugal country roads. Amphib. Reptil. 2012, 33, 469–483. [Google Scholar] [CrossRef]
  5. Guyer, C.; Bailey, M.A. Amphibians and Reptiles of Longleaf Pine Communities. In Proceedings of the Tall Timbers Fire Ecology Conference, Tall Timbers Research Station, Tallahassee, FL, USA, 1993; Available online: https://www.talltimbers.org/wp-content/uploads/2018/09/139-GuyerandBailey1993_op.pdf (accessed on 3 March 2022).
  6. Welsh Jr, H.H.; Ollivier, L.M. Stream amphibians as indicators of ecosystem stress: A case study from California’s redwoods. Ecol. Appl. 1998, 8, 1118–1132. [Google Scholar] [CrossRef]
  7. Fahrig, L.; Pedlar, J.H.; Pope, S.E.; Taylor, P.D.; Wegner, J.F. Effect of road traffic on amphibian density. Biol. Conserv. 1995, 73, 177–182. [Google Scholar] [CrossRef] [Green Version]
  8. Gibbs, J.P.; Shriver, W.G. Can road mortality limit populations of pool-breeding amphibians? Wetl. Ecol. Manag. 2005, 13, 281–289. [Google Scholar] [CrossRef]
  9. Beaudry, F.; Demaynadier, P.G.; Hunter, M.L. Non-marine turtle plays important functional roles in Indonesian ecosystems. Ecol. Evol. 2020, 10, 9613–9623. [Google Scholar]
  10. Beaudry, F.; Demaynadier, P.G.; Hunter, M.L., Jr. Identifying hot moments in road-mortality risk for freshwater turtles. J. Wildl. Manag. 2010, 74, 152–159. [Google Scholar] [CrossRef]
  11. Cureton, J.C.; Deaton, R. Hot moments and hot spots: Identifying factors explaining temporal and spatial variation in turtle road mortality. J. Wildl. Manag. 2012, 76, 1047–1052. [Google Scholar] [CrossRef]
  12. Colino-Rabanal, V.J.; Lizana, M. Herpetofauna and roads: A review. Basic Appl. Herpetol. 2012, 26, 5–31. [Google Scholar] [CrossRef]
  13. Hels, T.; Buchwald, E. The effect of road kills on amphibian populations. Biol. Conserv. 2001, 99, 331–340. [Google Scholar] [CrossRef] [Green Version]
  14. Bouchard, J.; Ford, A.T.; Eigenbrod, F.; Fahrig, L. Behavioral responses of northern leopard frogs (Rana pipiens) to roads and traffic: Implications for population persistence. Ecol. Soc. 2009, 14, 23. [Google Scholar] [CrossRef] [Green Version]
  15. Steen, D.A.; Aresco, M.J.; Beilke, S.G.; Compton, B.W.; Condon, E.P.; Dodd, C.K.; Forrester, H.; Gibbons, J.W.; Greene, J.L.; Johnson, G.; et al. Relative vulnerability of female turtles to road mortality. Anim. Conserv. 2006, 9, 269–273. [Google Scholar] [CrossRef]
  16. Jochimsen, D.M.; Peterson, C.R.; Harmon, L. Influence of ecology and landscape on snake road mortality in a sagebrush-steppe ecosystem. Anim. Conserv. 2014, 17, 583–592. [Google Scholar] [CrossRef]
  17. Gravel, M.; Mazerolle, M.J.; Villard, M.-A. Interactive effects of roads and weather on juvenile amphibian movements. Amphib. Reptil. 2012, 33, 113–127. [Google Scholar] [CrossRef]
  18. Zhang, W.; Shu, G.; Li, Y.; Xiong, S.; Liang, C.; Li, C. Daytime driving decreases amphibian roadkill. PeerJ 2018, 6, e5385. [Google Scholar] [CrossRef]
  19. Andrews, K.M.; Gibbons, J.W. How do highways influence snake movement? Behavioral responses to roads and vehicles. Copeia 2005, 2005, 772–782. [Google Scholar] [CrossRef] [Green Version]
  20. Brehme, C.S.; Hathaway, S.A.; Fisher, R.N. An objective road risk assessment method for multiple species: Ranking 166 reptiles and amphibians in California. Landsc. Ecol. 2018, 33, 911–935. [Google Scholar] [CrossRef] [Green Version]
  21. Mazerolle, M.; Huot, M.; Gravel, M. Behavior of amphibians on the road in response to car traffic. Herpetologica 2005, 61, 380–388. [Google Scholar] [CrossRef]
  22. Crawford, B.A.; Andrews, K.M. Drivers’ attitudes toward wildlife-vehicle collisions with reptiles and other taxa. Anim. Conserv. 2016, 19, 444–450. [Google Scholar] [CrossRef]
  23. Ashley, E.P.; Kosloski, A.; Petrie, S.A. Incidence of intentional vehicle–reptile collisions. Hum. Dimens. Wildl. 2007, 12, 137–143. [Google Scholar] [CrossRef]
  24. Carr, L.W.; Fahrig, L. Effect of road traffic on two amphibian species of differing vagility. Conserv. Biol. 2001, 15, 1071–1078. [Google Scholar] [CrossRef]
  25. Steen, D.A.; Gibbs, J.P. Effects of roads on the structure of freshwater turtle populations. Conserv. Biol. 2004, 18, 1143–1148. [Google Scholar] [CrossRef]
  26. Gibbs, J.P.; Shriver, W.G. Estimating the effects of road mortality on turtle populations. Conserv. Biol. 2002, 16, 1647–1652. [Google Scholar] [CrossRef]
  27. Howell, H.J.; Seigel, R.A. the effects of road mortality on small, isolated turtle populations. J. Herpetol. 2019, 53, 39–46. [Google Scholar] [CrossRef]
  28. Clevenger, A.P.; Chruszcz, B.; Gunson, K.E. Spatial patterns and factors influencing small vertebrate fauna road-kill aggregations. Biol. Conserv. 2003, 109, 15–26. [Google Scholar] [CrossRef]
  29. Orłowski, G.; Ciesiołkiewicz, J.; Kaczor, M.; Radwańska, J.; Żywicka, A. Species composition and habitat correlates of amphibian roadkills in different landscapes of south-western Poland. Pol. J. Ecol. 2008, 56, 659–671. [Google Scholar]
  30. Langen, T.A.; Ogden, K.M.; Schwarting, L.L. Predicting hot spots of herpetofauna road mortality along highway networks. J. Wildl. Manag. 2009, 73, 104–114. [Google Scholar] [CrossRef]
  31. Patrick, D.A.; Gibbs, J.P.; Popescu, V.D.; Nelson, D.A. Multi-scale habitat-resistance models for predicting road mortality “hotspots” for turtles and amphibians. Herpetol. Conserv. Biol. 2012, 7, 407–426. [Google Scholar]
  32. Langen, T.A.; Gunson, K.E.; Scheiner, C.A.; Boulerice, J.T. Road mortality in freshwater turtles: Identifying causes of spatial patterns to optimize road planning and mitigation. Biodivers. Conserv. 2012, 21, 3017–3034. [Google Scholar] [CrossRef]
  33. Gu, H.; Dai, Q.; Wang, Q.; Wang, Y. Factors contributing to amphibian road mortality in a wetland. Curr. Zool. 2011, 57, 768–774. [Google Scholar] [CrossRef]
  34. Sutherland, R.W.; Dunning, P.R.; Baker, W.M. Amphibian encounter rates on roads with different amounts of traffic and urbanization. Conserv. Biol. 2010, 24, 1626–1635. [Google Scholar] [CrossRef] [PubMed]
  35. Jacobson, S.L.; Bliss-Ketchum, L.L.; de Rivera, C.E.; Smith, W.P. A behavior-based framework for assessing barrier effects to wildlife from vehicle traffic volume. Ecosphere 2016, 7, e01345. [Google Scholar] [CrossRef]
  36. Langen, T.A.; Machniak, A.; Crowe, E.K.; Mangan, C.; Marker, D.F.; Liddle, N.; Roden, B. Methodologies for surveying herpetofauna mortality on rural highways. J. Wildl. Manag. 2007, 71, 1361–1368. [Google Scholar] [CrossRef]
  37. Slater, F.M. An assessment of wildlife road casalties–the potential discrepancy between numbers counted and numbers killed. Web Ecol. 2002, 3, 33–42. [Google Scholar] [CrossRef] [Green Version]
  38. Ogletree, K.A.; Mead, A.J. What roadkills did we miss in a driving survey? A comparison of driving and walking surveys in Baldwin County, Georgia. Ga. J. Sci. 2020, 78, 8. [Google Scholar]
  39. Santos, S.M.; Marques, J.T.; Lourenço, A.; Medinas, D.; Barbosa, A.M.; Beja, P.; Mira, A. Sampling effects on the identification of roadkill hotspots: Implications for survey design. J. Environ. Manag. 2015, 162, 87–95. [Google Scholar] [CrossRef] [Green Version]
  40. Teixeira, F.Z.; Coelho, A.V.P.; Esperandio, I.B.; Kindel, A. Vertebrate road mortality estimates: Effects of sampling methods and carcass removal. Biol. Conserv. 2013, 157, 317–323. [Google Scholar] [CrossRef]
  41. Degregorio, B.A.; Hancock, T.E.; Kurz, D.J.; Yue, S. How quickly are road-killed snakes scavenged? Implications for underestimates of road mortality. J. North Carol. Acad. Sci. 2011, 127, 184–188. [Google Scholar] [CrossRef]
  42. Santos, R.A.L.; Mota-Ferreira, M.; Aguiar, L.M.S.; Ascensão, F. Predicting wildlife road-crossing probability from roadkill data using occupancy-detection models. Sci. Total Environ. 2018, 642, 629–637. [Google Scholar] [CrossRef] [PubMed]
  43. Malo, J.E.; Suárez, F.; Díez, A. Can we mitigate animal–vehicle accidents using predictive models? J. Appl. Ecol. 2004, 41, 701–710. [Google Scholar] [CrossRef]
  44. Garrah, E.; Danby, R.K.; Eberhardt, E.; Cunnington, G.M.; Mitchell, S. Hot spots and hot times: Wildlife road mortality in a regional conservation corridor. Environ. Manag. 2015, 56, 874–889. [Google Scholar] [CrossRef] [PubMed]
  45. Healey, R.M.; Atutubo, J.R.; Kusrini, M.D.; Howard, L.; Page, F.; Hallisey, N.; Karraker, N.E. Road mortality threatens endemic species in a national park in Sulawesi, Indonesia. Glob. Ecol. Conserv. 2020, 24, e01281. [Google Scholar] [CrossRef]
  46. Shilling, F.M.; Waetjen, D.P. Wildlife-vehicle collision hotspots at US highway extents: Scale and data source effects. Nat. Conserv. 2015, 11, 41. [Google Scholar] [CrossRef] [Green Version]
  47. MacKenzie, D.I.; Nichols, J.D.; Royle, J.A.; Pollock, K.H.; Bailey, L.L.; Hines, J.E. Occupancy Estimation and Modeling: Inferring Patterns and Dynamics of Species Occurrence; Elsevier: Amsterdam, The Netherlands, 2017. [Google Scholar]
  48. Pavlacky, D.C., Jr.; Blakesley, J.A.; White, G.C.; Hanni, D.J.; Lukacs, P.M. Hierarchical multi-scale occupancy estimation for monitoring wildlife populations. J. Wildl. Manag. 2012, 76, 154–162. [Google Scholar] [CrossRef]
  49. Pellet, J.; Schmidt, B.R. Monitoring distributions using call surveys: Estimating site occupancy, detection probabilities and inferring absence. Biol. Conserv. 2005, 123, 27–35. [Google Scholar] [CrossRef] [Green Version]
  50. U.S. Census Bureau. Guide to State and Local Census Geography—Rhode Island. 2010. Available online: https://www.census.gov/geographies/reference-files/2010/geo/state-local-geo-guides-2010/rhode-island.html (accessed on 20 October 2021).
  51. Rhode Island Department of Environmental Management (RIDEM). Rhode Island Wildlife Action Plan; Rhode Island Department of Environmental Management (RIDEM): Providence, RI, USA, 2015. [Google Scholar]
  52. Weir, L.; Royle, J.; Nanjappa, P.; Jung, R.E. Modeling anuran detection and site occupancy on North American Amphibian Monitoring Program (NAAMP) routes in Maryland. J. Herpetol. 2005, 39, 627–639. [Google Scholar]
  53. Colorado Climate Center. Community Collaborative Rain, Hail, and Snow Network. 2021. Available online: https://www.cocorahs.org/ (accessed on 18 October 2021).
  54. Rhode Island Geographic Information System (RIGIS). Land Use and Land Cover. 2011. Available online: http://www.rigis.org (accessed on 16 March 2021).
  55. Rhode Island Geographic Information System (RIGIS). Rhode Island Department of Transportation Roads (2016). 10 March 2016. Available online: http://www.rigis.org (accessed on 16 March 2021).
  56. Anderson, J.R. A Land Use and Land Cover Classification System for Use with Remote Sensor Data; US Government Printing Office: Washington, DC, USA, 1976; Volume 964.
  57. United States Fish and Wildlife Service (USFWS). National Wetlands Inventory. 2021. Available online: https://www.fws.gov/wetlands/ (accessed on 2 March 2019).
  58. Federal Highway Administration (FHWA). Highway Functional Classification Concepts, Criteria and Procedures. 2013. Available online: https://dot.sd.gov/media/documents/HwyFunctionalClassification.pdf (accessed on 3 July 2020).
  59. Santos, S.M.; Carvalho, F.; Mira, A. How long do the dead survive on the road? Carcass persistence probability and implications for road-kill monitoring surveys. PLoS ONE 2011, 6, e25383. [Google Scholar] [CrossRef] [Green Version]
  60. Anderson, D.; Burnham, K. Model Selection and Multi-Model Inference: A Practical Information-Theoretic Approach; Springer: Berlin/Heidelberg, Germany, 2004; pp. 35–37. [Google Scholar]
  61. Mazerolle, M.J. Amphibian road mortality in response to nightly variations in traffic intensity. Herpetologica 2004, 60, 45–53. [Google Scholar] [CrossRef]
  62. Aresco, M.J. Mitigation measures to reduce highway mortality of turtles and other herpetofauna at a north Florida lake. J. Wildl. Manag. 2005, 69, 549–560. [Google Scholar] [CrossRef]
  63. LeClair, G.; Chatfield, M.W.H.; Wood, Z.; Parmelee, J.; Frederick, C.A. Influence of the COVID-19 pandemic on amphibian road mortality. Conserv. Sci. Pract. 2021, 3, e535. [Google Scholar] [CrossRef] [PubMed]
  64. Beebee, T.J. Effects of road mortality and mitigation measures on amphibian populations. Conserv. Biol. 2013, 27, 657–668. [Google Scholar] [CrossRef] [PubMed]
  65. Gonçalves, L.O.; Alvaares, D.J.; Teixeira, F.Z.; Schuck, G.; Coelho, I.P.; Esperandio, I.B.; Anza, J.; Beduschi, J.; Bastazini, V.A.G.; Kindel, A. Reptile road-kills in Southern Brazil: Composition, hot moments and hotspots. Sci. Total Environ. 2018, 615, 1438–1445. [Google Scholar] [CrossRef]
  66. Glista, D.J.; DeVault, T.; DeWoody, J. A review of mitigation measures for reducing wildlife mortality on roadways. Landsc. Urban Plan. 2009, 91, 1–7. [Google Scholar] [CrossRef] [Green Version]
  67. Shannon, G.; Lewis, J.S.; Gerber, B.D. Recommended survey designs for occupancy modelling using motion-activated cameras: Insights from empirical wildlife data. PeerJ 2014, 2, e532. [Google Scholar] [CrossRef]
Figure 1. Marginal effect of covariates on estimated site occupancy from the model-averaged results. Black lines represent model estimates for occupancy, and red lines represent upper and lower confidence intervals. Plots hold other covariates at their mean value.
Figure 1. Marginal effect of covariates on estimated site occupancy from the model-averaged results. Black lines represent model estimates for occupancy, and red lines represent upper and lower confidence intervals. Plots hold other covariates at their mean value.
Land 11 00739 g001
Figure 2. Marginal effect of covariates on estimated detection probability from the model-averaged results. Black lines represent model estimates for detection probability, and red lines represent upper and lower confidence intervals. Plots hold other covariates at their mean value.
Figure 2. Marginal effect of covariates on estimated detection probability from the model-averaged results. Black lines represent model estimates for detection probability, and red lines represent upper and lower confidence intervals. Plots hold other covariates at their mean value.
Land 11 00739 g002
Figure 3. Number of surveys versus the probability of detecting at least one large roadkill event (≥5 amphibian or reptile carcasses) at occupied sites in Rhode Island, USA, 2019–2021.
Figure 3. Number of surveys versus the probability of detecting at least one large roadkill event (≥5 amphibian or reptile carcasses) at occupied sites in Rhode Island, USA, 2019–2021.
Land 11 00739 g003
Table 1. Covariates used in model development to assess occupancy and detection probability of road mortality hotspots in Rhode Island, 2019–2021.
Table 1. Covariates used in model development to assess occupancy and detection probability of road mortality hotspots in Rhode Island, 2019–2021.
CovariateDefinitionData Type
Perc_Wetland_100m% wetland within 100-m of a roadContinuous
Perc_Forest_100m% forest within 100-m of a roadContinuous
F_Class_CodeRoad classification used as a proxy for traffic volumeCategorical
TempTemperature recorded during surveysContinuous
RainPrecipitation in previous 24-h recorded from nearest weather gaugeContinuous
Julian_DateDay of year from 1 JanuaryContinuous
Table 2. Results of pre-pandemic (2019), pandemic season 2020, and pandemic season 2021 surveys of road mortality in Rhode Island.
Table 2. Results of pre-pandemic (2019), pandemic season 2020, and pandemic season 2021 surveys of road mortality in Rhode Island.
YearDistance Surveyed (km)Roadkill Density (Carcasses/km)Number Dead on Road (%)Number Live on Road (%)Total Number on Road
20192410.4249 (88)33 (12)282
20201215.3185 (71)74 (29)259
202128.87.74223 (83)46 (17)269
Table 3. Results of the most supported models for occupancy and detection at the 100-m scale for Rhode Island, USA, 2019–2021. Intercept is the mean value for occupancy, and detection, Perc_Forest_100m is the percent forest within 100 m of a road, F_Class_Code is the Functional Class Description code for traffic volume, Rain is the cumulative precipitation 24 h prior to a survey, Estimate is the model parameter estimates, SE is the standard error, Z is the latent value, and p(>|z|) is p-value.
Table 3. Results of the most supported models for occupancy and detection at the 100-m scale for Rhode Island, USA, 2019–2021. Intercept is the mean value for occupancy, and detection, Perc_Forest_100m is the percent forest within 100 m of a road, F_Class_Code is the Functional Class Description code for traffic volume, Rain is the cumulative precipitation 24 h prior to a survey, Estimate is the model parameter estimates, SE is the standard error, Z is the latent value, and p(>|z|) is p-value.
CovariateEstimateSEZp(>|z|)
Occupancy models
Intercept2.511.5651.600.109
Perc_Forest_100m1.281.1521.110.210
F_Class_Code1.071.071.250.210
Detection models
Intercept−2.1570.261−8.25<0.001
Rain0.7780.1624.79<0.001
F_Class_Code−0.7850.228−3.44<0.001
Publisher’s Note: MDPI stays neutral with regard to jurisdictional claims in published maps and institutional affiliations.

Share and Cite

MDPI and ACS Style

Hallisey, N.; Buchanan, S.W.; Gerber, B.D.; Corcoran, L.S.; Karraker, N.E. Estimating Road Mortality Hotspots While Accounting for Imperfect Detection: A Case Study with Amphibians and Reptiles. Land 2022, 11, 739. https://doi.org/10.3390/land11050739

AMA Style

Hallisey N, Buchanan SW, Gerber BD, Corcoran LS, Karraker NE. Estimating Road Mortality Hotspots While Accounting for Imperfect Detection: A Case Study with Amphibians and Reptiles. Land. 2022; 11(5):739. https://doi.org/10.3390/land11050739

Chicago/Turabian Style

Hallisey, Noah, Scott W. Buchanan, Brian D. Gerber, Liam S. Corcoran, and Nancy E. Karraker. 2022. "Estimating Road Mortality Hotspots While Accounting for Imperfect Detection: A Case Study with Amphibians and Reptiles" Land 11, no. 5: 739. https://doi.org/10.3390/land11050739

APA Style

Hallisey, N., Buchanan, S. W., Gerber, B. D., Corcoran, L. S., & Karraker, N. E. (2022). Estimating Road Mortality Hotspots While Accounting for Imperfect Detection: A Case Study with Amphibians and Reptiles. Land, 11(5), 739. https://doi.org/10.3390/land11050739

Note that from the first issue of 2016, this journal uses article numbers instead of page numbers. See further details here.

Article Metrics

Back to TopTop