How Does Maize-Cowpea Intercropping Maximize Land Use and Economic Return? A Field Trial in Bangladesh
Abstract
:1. Introduction
2. Materials and Methods
2.1. Study Site
2.2. Experimental Design
2.3. Data Collection
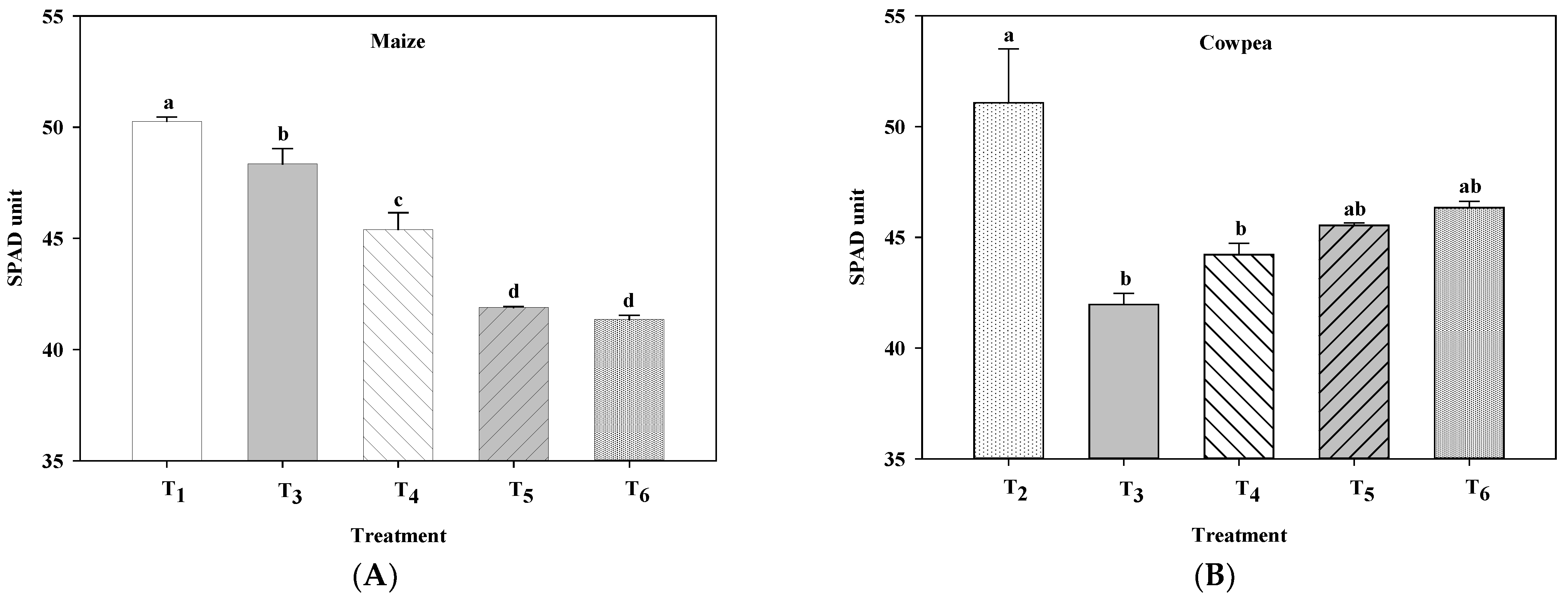
2.3.1. Light Interception and SPAD (Soil and Plant Analysis Development) Value
2.3.2. Determining Thermal Requirements for Flowering
- i = Sowing date
- j = Flowering date
- T max = Maximum day temperature (°C)
- T min = Minimum day temperature (°C)
- T base = Base temperature (°C), which is considered as 10
2.3.3. Determining Canopy Coverage and Architecture
2 g-red-b (camera) = 2 × cDNgreen − cDNred − cDNblue
cDNred = Daytime red pixel
cDNblue = Daytime blue pixel
2.3.4. Yield and Yield Contributing Parameters
2.3.5. Analysis of Intercropping Systems
- Ym = Yield of maize (kg ha−1)
- Yi = Yield of intercrop (kg ha−1)
- Pi = Price of intercrop (Tk. ha−1)
- Pm = Price of maize (Tk. ha−1)
- Yml = yield of maize when intercropped with cowpea
- Ym = yield of sole maize
- Ylm = yield of cowpea when intercropped with maize
- Yl = yield of sole cowpea
2.3.6. Statistical Analysis
3. Results
3.1. Effects of Intercropping Systems on Maize Growth
3.2. Effects of Intercropping Systems on Cowpea Growth
3.3. Intercropping Effects on the Above-Ground Competition
3.4. Performance of Intercropping
3.5. Economic Profitability
4. Discussion
4.1. Maize Productivity
4.2. Cowpea Productivity
4.3. Intercropping Performance
5. Conclusions
Supplementary Materials
Author Contributions
Funding
Institutional Review Board Statement
Informed Consent Statement
Data Availability Statement
Acknowledgments
Conflicts of Interest
References
- Global Food Security Index (GFSI). Available online: https://impact.economist.com/sustainability/project/food-security-index/ (accessed on 28 February 2022).
- Mainuddin, M.; Kirby, M. National food security in Bangladesh to 2050. Food Secur. 2015, 7, 633–646. [Google Scholar] [CrossRef]
- Kukal, M.S.; Irmak, S. Climate-driven crop yield and yield variability and climate change impacts on the U.S. great plains agricultural production. Sci. Rep. 2018, 8, 3450. [Google Scholar] [CrossRef] [PubMed] [Green Version]
- Mango, N.; Makate, C.; Mapemba, L.; Sopo, M. The role of crop diversification in improving household food security in central Malawi. Agric. Food Secur. 2018, 7, 7. [Google Scholar] [CrossRef]
- Smith, A.; Snapp, S.; Dimes, J.; Gwenambira, C.; Chikowo, R. Doubled-up legume rotations improve soil fertility and maintain productivity under variable conditions in maize-based cropping systems in Malawi. Agric. Syst. 2016, 145, 139–149. [Google Scholar] [CrossRef]
- Cheng, A.; Mayes, S.; Dalle, G.; Demissew, S.; Massawe, F. Diversifying crops for food and nutrition security—a case of teff. Biol. Rev. 2017, 92, 188–198. [Google Scholar] [CrossRef]
- Renard, D.; Tilman, D. National food production stabilized by crop diversity. Nature 2019, 571, 257–260. [Google Scholar] [CrossRef]
- Steward, P.R.; Thierfelder, C.; Dougill, A.J.; Ligowe, I. Conservation agriculture enhances resistance of maize to climate stress in a Malawian medium-term trial. Agric. Ecosyst. Environ. 2019, 277, 95–104. [Google Scholar] [CrossRef]
- Martin-Guay, M.-O.; Paquette, A.; Dupras, J.; Rivest, D. The new green revolution: Sustainable intensification of agriculture by intercropping. Sci. Total Environ. 2018, 615, 767–772. [Google Scholar] [CrossRef]
- Rahman, N.; Larbi, A.; Kotu, B.; Asante, M.O.; Akakpo, D.B.; Mellon-Bedi, S.; Hoeschle-Zeledon, I. Maize–legume strip cropping effect on productivity, income, and income risk of farmers in northern Ghana. Agron. J. 2021, 113, 1574–1585. [Google Scholar] [CrossRef]
- Brooker, R.W.; Karley, A.J.; Newton, A.C.; Pakeman, R.J.; Schöb, C. Facilitation and sustainable agriculture: A mechanistic approach to reconciling crop production and conservation. Funct. Ecol. 2016, 30, 98–107. [Google Scholar] [CrossRef] [Green Version]
- Himmelstein, J.; Ares, A.; Gallagher, D.; Myers, J. A meta-analysis of intercropping in Africa: Impacts on crop yield, farmer income, and integrated pest management effects. Int. J. Agric. Sustain. 2017, 15, 1–10. [Google Scholar] [CrossRef]
- Tilman, D. Benefits of intensive agricultural intercropping. Nat. Plants 2020, 6, 604–605. [Google Scholar] [CrossRef] [PubMed]
- Brooker, R.W.; Bennett, A.E.; Cong, W.; Daniell, T.J.; George, T.S.; Hallett, P.D.; Hawes, C.; Iannetta, P.P.M.; Jones, H.G.; Karley, A.J.; et al. Improving intercropping: A synthesis of research in agronomy, plant physiology and ecology. New Phytol. 2015, 206, 107–117. [Google Scholar] [CrossRef] [PubMed]
- Worku, W.; Temeche, D.; Gossa, R.; Abate, B. Agronomic management options to enhance adoption of maize–common bean–common bean sequential intercropping in southern Ethiopia. J. Crop Sci. Biotechnol. 2021, 24, 307–318. [Google Scholar] [CrossRef]
- Xu, Z.; Li, C.; Zhang, C.; Yu, Y.; van der Werf, W.; Zhang, F. Intercropping maize and soybean increases efficiency of land and fertilizer nitrogen use; A meta-analysis. Field Crop. Res. 2020, 246, 107661. [Google Scholar] [CrossRef]
- Javanmard, A.; Nasab, A.D.M.; Javanshir, A.; Moghaddam, M.; Janmohammadi, H. Forage yield and quality in intercropping of maize with different legumes as double-cropped. J. Food Agric. Environ. 2009, 7, 163–166. [Google Scholar]
- Zhang, D.; Sun, Z.; Feng, L.; Bai, W.; Yang, N.; Zhang, Z.; Du, G.; Feng, C.; Cai, Q.; Wang, Q.; et al. Maize plant density affects yield, growth and source-sink relationship of crops in maize/peanut intercropping. Field Crop. Res. 2020, 257, 107926. [Google Scholar] [CrossRef]
- Zhang, R.; Meng, L.; Li, Y.; Wang, X.; Ogundeji, A.O.; Li, X.; Sang, P.; Mu, Y.; Wu, H.; Li, S. Yield and nutrient uptake dissected through complementarity and selection effects in the maize/soybean intercropping. Food Energy Secur. 2021, 10, 379–393. [Google Scholar] [CrossRef]
- Renwick, L.L.R.; Kimaro, A.A.; Hafner, J.M.; Rosenstock, T.S.; Gaudin, A.C.M. Maize-pigeonpea intercropping outperforms monocultures under drought. Front. Sustain. Food Syst. 2020, 4, 253. [Google Scholar] [CrossRef]
- Kumar, S. Production potential, soil moisture and temperature as influenced by maize- legume intercropping. Int. J. Sci. Nat. 2012, 3, 41–46. [Google Scholar]
- La Guardia Nave, R.; Corbin, M. Forage warm-season legumes and grasses intercropped with corn as an alternative for corn silage production. Agronomy 2018, 8, 199. [Google Scholar] [CrossRef] [Green Version]
- Rodriguez, C.; Carlsson, G.; Englund, J.-E.; Flöhr, A.; Pelzer, E.; Jeuffroy, M.-H.; Makowski, D.; Jensen, E.S. Grain legume-cereal intercropping enhances the use of soil-derived and biologically fixed nitrogen in temperate agroecosystems. A meta-analysis. Eur. J. Agron. 2020, 118, 126077. [Google Scholar] [CrossRef]
- Hugar, H.Y.; Palled, Y.B. Effect of intercropped vegetables on maize and associated weeds in maize-vegetable intercropping systems. Karnataka J. Agric. Sci. 2008, 21, 159–161. [Google Scholar]
- Jensen, E.S.; Carlsson, G.; Hauggaard-Nielsen, H. Intercropping of grain legumes and cereals improves the use of soil N resources and reduces the requirement for synthetic fertilizer N: A global-scale analysis. Agron. Sustain. Dev. 2020, 40, 5. [Google Scholar] [CrossRef] [Green Version]
- Jiang, L.; Wu, S.; Liu, Y.; Yang, C. Grain security assessment in Bangladesh based on supply-demand balance analysis. PLoS ONE 2021, 16, e0252187. [Google Scholar] [CrossRef]
- Dong, N.; Tang, M.; Zhang, W.; Bao, X.; Wang, Y.; Christie, P. Temporal differentiation of crop growth as one of the drivers of intercropping yield advantage. Sci. Rep. 2018, 8, 3110. [Google Scholar] [CrossRef] [Green Version]
- Li, L.; Tilman, D.; Lambers, H.; Zhang, F. Plant diversity and overyielding: Insights from belowground facilitation of intercropping in agriculture. New Phytol. 2014, 203, 63–69. [Google Scholar] [CrossRef]
- Yu, Y.; Stomph, T.J.; Makowski, D.; van der Werf, W. Temporal niche differentiation increases the land equivalent ratio of annual intercrops: A meta-analysis. Field Crop. Res. 2015, 184, 133–144. [Google Scholar] [CrossRef]
- Land Resource Appraisal of Bangladesh for Agricultural Development. Report 2: Agroecological Regions of Bangladesh. Available online: https://agris.fao.org/agris-search/search.do?recordID=XF2016071882 (accessed on 28 February 2022).
- Iftekhar, M.S.; Islam, M.R. Managing mangroves in Bangladesh: A strategy analysis. J. Coast. Conserv. 2004, 10, 139–146. [Google Scholar] [CrossRef]
- Mcmaster, G. Growing degree-days: One equation, two interpretations. Agric. For. Meteorol. 1997, 87, 291–300. [Google Scholar] [CrossRef] [Green Version]
- Sakamoto, T.; Gitelson, A.A.; Nguy-Robertson, A.L.; Arkebauer, T.J.; Wardlow, B.D.; Suyker, A.E.; Verma, S.B.; Shibayama, M. An alternative method using digital cameras for continuous monitoring of crop status. Agric. For. Meteorol. 2012, 154–155, 113. [Google Scholar] [CrossRef] [Green Version]
- Anjeneyulu, V.R.; Singh, S.P.; Pal, M. Effect of competition free period and technique and pattern of pearmillet planting on growth and yield of mungbean and total productivity in solid pearlmillet and pearlmillet and pearlmillet/mungbean intercropping system. Indian J. Agron. 1982, 27, 219–226. [Google Scholar]
- Harwood, R.R. Small farm development: Understanding and improving farming systems in the humid tropics. Exp. Agric. 1979, 17, 220. [Google Scholar] [CrossRef]
- Willey, R.W. Intercropping its importance and research needs. Part I: Competition and yield advantages. Field Crop. Abstr. 1979, 32, 1–10. [Google Scholar]
- Liu, X.; Rahman, T.; Song, C.; Su, B.; Yang, F.; Yong, T.; Wu, Y.; Zhang, C.; Yang, W. Changes in light environment, morphology, growth and yield of soybean in maize-soybean intercropping systems. Field Crop. Res. 2017, 200, 38–46. [Google Scholar] [CrossRef]
- Ren, Y.; Liu, J.; Wang, Z.; Zhang, S. Planting density and sowing proportions of maize-soybean intercrops affected competitive interactions and water-use efficiencies on the Loess Plateau, China. Eur. J. Agron. 2016, 72, 70–79. [Google Scholar] [CrossRef]
- Zhu, J.; Vos, J.; Van Der Werf, W.; Van Der Putten, P.E.L.; Evers, J.B. Early competition shapes maize whole-plant development in mixed stands. J. Exp. Bot. 2014, 65, 641–653. [Google Scholar] [CrossRef] [Green Version]
- Carr, P.M.; Martin, G.B.; Caton, J.S.; Poland, W.W. Forage and nitrogen yield of barley—pea and oat—pea intercrops. Agron. J. 1998, 90, 79–84. [Google Scholar] [CrossRef]
- Carruthers, K.; Prithiviraj, B.; Fe, Q.; Cloutier, D.; Martin, R.; Smith, D. Intercropping corn with soybean, lupin and forages: Yield component responses. Eur. J. Agron. 2000, 12, 103–115. [Google Scholar] [CrossRef]
- Li, C.; Hoffland, E.; Kuyper, T.W.; Yu, Y.; Zhang, C.; Li, H.; Zhang, F.; van der Werf, W. Syndromes of production in intercropping impact yield gains. Nat. Plants 2020, 6, 653–660. [Google Scholar] [CrossRef]
- Namatsheve, T.; Cardinael, R.; Corbeels, M.; Chikowo, R. Productivity and biological N2-fixation in cereal-cowpea intercropping systems in sub-Saharan Africa. A review. Agron. Sustain. Dev. 2020, 40, 30. [Google Scholar] [CrossRef]
- Namatsheve, T.; Chikowo, R.; Corbeels, M.; Mouquet-Rivier, C.; Icard-Vernière, C.; Cardinael, R. Maize-cowpea intercropping as an ecological intensification option for low input systems in sub-humid Zimbabwe: Productivity, biological N2-fixation and grain mineral content. Field Crop. Res. 2021, 263, 108052. [Google Scholar] [CrossRef]
- Long, G.; Li, L.; Wang, D.; Zhao, P.; Tang, L.; Zhou, Y.; Yin, X. Nitrogen levels regulate intercropping-related mitigation of potential nitrate leaching. Agric. Ecosyst. Environ. 2021, 319, 107540. [Google Scholar] [CrossRef]
- Wang, D.; Yi, W.; Zhou, Y.; He, S.; Tang, L.; Yin, X.; Zhao, P.; Long, G. Intercropping and N application enhance soil dissolved organic carbon concentration with complicated chemical composition. Soil Tillage Res. 2021, 210, 104979. [Google Scholar] [CrossRef]
- Jiao, N.; Wang, F.; Ma, C.; Zhang, F.; Jensen, E.S. Interspecific interactions of iron and nitrogen use in peanut (Arachis hypogaea L.)-maize (Zea mays L.) intercropping on a calcareous soil. Eur. J. Agron. 2021, 128, 126303. [Google Scholar] [CrossRef]
- Xue, Y.; Xia, H.; Christie, P.; Zhang, Z.; Li, L.; Tang, C. Crop acquisition of phosphorus, iron and zinc from soil in cereal/legume intercropping systems: A critical review. Ann. Bot. 2016, 117, 363–377. [Google Scholar] [CrossRef]
- Kimaro, A.A.; Timmer, V.R.; Chamshama, S.A.O.; Ngaga, Y.N.; Kimaro, D.A. Competition between maize and pigeonpea in semi-arid Tanzania: Effect on yields and nutrition of crops. Agric. Ecosyst. Environ. 2009, 134, 115–125. [Google Scholar] [CrossRef]
- Mbanyele, V.; Mtambanengwe, F.; Nezomba, H.; Groot, J.C.J.; Mapfumo, P. Comparative short-term performance of soil water management options for increased productivity of maize-cowpea intercropping in semi-arid Zimbabwe. J. Agric. Food Res. 2021, 5, 100189. [Google Scholar] [CrossRef]







| Items | Cost of Production (USD ha−1) | ||
|---|---|---|---|
| Maize | Cowpea | Intercropping | |
| Human Labor | 141.18 | 129.41 | 176.47 |
| Mechanical Cost | 105.88 | 47.06 | 105.88 |
| Seed (Purchased) | 35.29 | 5.88 | 41.18 |
| Urea | 19.76 | 3.29 | 19.76 |
| TSP (Triple Superphosphate) | 14.12 | 9.41 | 14.12 |
| MOP (Muriate of Potash) | 10.35 | 5.18 | 10.35 |
| Insecticide | 12.94 | 11.76 | 14.12 |
| Irrigation | 58.82 | 23.53 | 58.82 |
| Machine Cost | 16.47 | 14.12 | 21.18 |
| Land-Use Cost | 117.65 | 117.65 | 117.65 |
| Interest on Operational Cost | 26.62 | 18.36 | 28.98 |
| Total variable cost of cultivation | 559.09 | 385.66 | 608.51 |
| Treatment | Plant Height (cm) | Number of Cobs Plant−1 | Cob Characters | Number of Grains Cob−1 | 1000-Grain Weight (g) | Stover Yield (t ha−1) | |
|---|---|---|---|---|---|---|---|
| Length (cm) | Circumference (cm) | ||||||
| T1 | 237 ± 0.6 | 1.06 ± 0.06 | 21.3 ± 0.50 a | 14.76 ± 0.23 a | 598 ± 9 a | 239 ± 3.4 | 8.61 ± 0.15 a |
| T3 | 235 ± 0.7 | 1.06 ± 0.06 | 18.9 ± 0.14 b | 14.03 ± 0.12 ab | 553 ± 10 ab | 238 ± 0.2 | 8.03 ± 0.09 b |
| T4 | 235 ± 0.5 | 1 | 18.4 ± 0.06 bc | 13.60 ± 0.20 b | 533 ± 9 ab | 234 ± 0.6 | 7.76 ± 0.01 bc |
| T5 | 236 ± 0.6 | 1 | 18.1 ± 0.05 bc | 13.46 ± 0.40 bc | 518 ± 26 b | 232 ± 0.4 | 7.60 ± 0.04 c |
| T6 | 236 ± 0.9 | 1 | 17.8 ± 0.03 c | 13.03 ± 0.08 c | 491 ± 11 b | 232 ± 0.2 | 7.18 ± 0.19 d |
| F ratio | 0.69 | 0.66 | 36.17 | 12.64 | 5.93 | 4.86 | 42.90 |
| p value | 0.61 | 0.63 | <0.01 | <0.01 | <0.01 | 0.06 | <0.01 |
| Treatment | Plant Height (cm) | Branch Plant−1 | Pod Plant−1 | Seed Pod−1 | Average Pod Length (cm) | Pod Weight per Meter Square Plot (g) | Seed Plant−1 | Stover Yield (t ha−1) | 1000-Grain Weight (g) |
|---|---|---|---|---|---|---|---|---|---|
| T2 | 136 ± 15 | 6.93 ± 0.40 | 14.4 ± 0.11 a | 15.26 ± 0.59 | 17.84 ± 0.91 | 290 ± 5 a | 220 ± 9 a | 2.39 ± 0.03 a | 127 ± 1.44 a |
| T3 | 177 ± 31 | 6.93 ± 1.17 | 9.2 ± 0.46 c | 12.93 ± 0.29 | 16.64 ± 0.16 | 211 ± 3 d | 119 ± 3 c | 1.24 ± 0.06 c | 107 ± 0.86 b |
| T4 | 185 ± 8 | 6.73 ± 0.67 | 10.2 ± 0.61 c | 14.13 ± 0.78 | 16.71 ± 0.29 | 222 ± 2 cd | 145 ± 16 bc | 1.43 ± 0.02 bc | 117 ± 0.38 c |
| T5 | 156 ± 37 | 7.33 ± 0.99 | 11.83 ± 0.40 b | 14.73 ± 0.29 | 16.74 ± 0.29 | 237 ± 2 bc | 174 ± 6 b | 1.53 ± 0.03 b | 117 ± 0.44 c |
| T6 | 162 ± 10 | 9.13 ± 0.69 | 13.9 ± 0.20 a | 15.00 ± 0.11 | 16.98 ± 0.14 | 250 ± 2 b | 209 ± 5 a | 1.66 ± 0.07 b | 121 ± 0.51 b |
| F ratio | 0.79 | 1.43 | 96.89 | 3.42 | 1.09 | 69.17 | 47.71 | 123.81 | 90.34 |
| p value | 0.56 | 0.31 | <0.01 | 0.06 | 0.42 | <0.01 | <0.01 | <0.01 | <0.01 |
| Treatment | 2 g-red-b | VARI |
|---|---|---|
| T1 | 0.416 ± 0.039 | 0.230 ± 0.0243 |
| T2 | 0.463 ± 0.017 | 0.311 ± 0.0269 |
| T3 | 0.426 ± 0.004 | 0.207 ± 0.0396 |
| T4 | 0.437 ± 0.025 | 0.224 ± 0.0314 |
| T5 | 0.446 ± 0.028 | 0.268 ± 0.0204 |
| T6 | 0.408 ± 0.021 | 0.269 ± 0.0855 |
| F ratio | 0.66 | 1.45 |
| p value | 0.65 | 0.28 |
| Treatment | Seed Yield (t ha−1) | Biological Yield (t ha−1) | Harvest Index | Maize Equivalent Yield (t ha−1) | LER | |||
|---|---|---|---|---|---|---|---|---|
| Maize | Cowpea | Maize | Cowpea | Maize | Cowpea | |||
| T1 | 6.69 ± 0.26 a | --- | 15.30 ± 0.41 a | --- | 0.43 ± 0.01 | --- | 6.69 ± 0.27 a | 1 c |
| T2 | --- | 1.9 ± 0.10 a | --- | 4.29 ± 0.13 a | --- | 0.44 ± 0.77 ab | 1.14 ± 0.06 b | 1 c |
| T3 | 6.18 ± 0.47 ab | 0.87 ± 0.02 c | 14.21 ± 0.56 ab | 2.11 ± 0.08 d | 0.43 ± 0.02 | 0.41 ± 0.27 b | 6.72 ± 0.46 a | 1.39 ± 0.09 b |
| T4 | 5.48 ± 0.08 ab | 1.17 ± 0.13 b | 13.24 ± 0.09 bc | 2.60 ± 0.15 c | 0.41 ± 0.00 | 0.45 ± 0.86 ab | 6.19 ± 0.06 a | 1.43 ± 0.06 b |
| T5 | 5.27 ± 0.26 b | 1.41 ± 0.04 b | 12.87 ± 0.30 bc | 2.94 ± 0.07 bc | 0.40 ± 0.01 | 0.48 ± 0.62 ab | 6.13 ± 0.27 a | 1.54 ± 0.04 ab |
| T6 | 4.97 ± 0.13 b | 1. 75 ± 0.03 a | 12.15 ± 0.32 c | 3.41 ± 0.54 b | 0.40 ± 0.01 | 0.52 ± 0.31 a | 6.03 ± 0.14 a | 1.67 ± 0.05 a |
| F ratio | 5.51 | 53.87 | 14.29 | 172.27 | 1.26 | 5.38 | 65.07 | 35.26 |
| p value | <0.01 | <0.01 | <0.01 | <0.01 | 0.35 | 0.02 | <0.01 | <0.01 |
| Treatment | Gross Return (USD ha−1) | Total Variable Cost (USD ha−1) | Net Return (USD ha−1) | BCR | ||
|---|---|---|---|---|---|---|
| Maize | Cowpea | Total | ||||
| T1 | 1180.94 ± 47.50 a | --- | 1180.94 ± 47.50 a | 559.09 | 621.84 ± 47.50 a | 2.11 ± 0.08 a |
| T2 | --- | 559.62 ± 29.57 a | 559.62 ± 29.57 b | 385.66 | 173.97 ± 29.57 b | 1.45 ± 0.08 b |
| T3 | 1092.17 ± 83.35 ab | 258.58 ± 6.85 c | 1350.75 ± 76.69 a | 608.51 | 742.24 ± 76.69 a | 2.22 ± 0.13 a |
| T4 | 967.58 ± 14.57 ab | 346.46 ± 38.27 b | 1314.05 ± 29.17 a | 608.51 | 705.54 ± 29.17 a | 2.16 ± 0.05 a |
| T5 | 931.63 ± 47.46 b | 417.34 ± 14.50 b | 1348.97 ± 47.69 a | 608.51 | 740.47 ± 47.69 a | 2.22 ± 0.08 a |
| T6 | 878.16 ± 24.22 b | 516.66 ± 9.53 a | 1394.82 ± 25.08 a | 608.51 | 786.32 ± 25.08 a | 2.29 ± 0.04 a |
| F ratio | 80.58 | 150.08 | 44.33 | 23.04 | 14.34 | |
| p value | <0.01 | <0.01 | <0.01 | <0.01 | <0.01 | |
Publisher’s Note: MDPI stays neutral with regard to jurisdictional claims in published maps and institutional affiliations. |
© 2022 by the authors. Licensee MDPI, Basel, Switzerland. This article is an open access article distributed under the terms and conditions of the Creative Commons Attribution (CC BY) license (https://creativecommons.org/licenses/by/4.0/).
Share and Cite
Akter Suhi, A.; Mia, S.; Khanam, S.; Hasan Mithu, M.; Uddin, M.K.; Muktadir, M.A.; Ahmed, S.; Jindo, K. How Does Maize-Cowpea Intercropping Maximize Land Use and Economic Return? A Field Trial in Bangladesh. Land 2022, 11, 581. https://doi.org/10.3390/land11040581
Akter Suhi A, Mia S, Khanam S, Hasan Mithu M, Uddin MK, Muktadir MA, Ahmed S, Jindo K. How Does Maize-Cowpea Intercropping Maximize Land Use and Economic Return? A Field Trial in Bangladesh. Land. 2022; 11(4):581. https://doi.org/10.3390/land11040581
Chicago/Turabian StyleAkter Suhi, Ayesa, Shamim Mia, Salma Khanam, Mehedi Hasan Mithu, Md. Kamal Uddin, Md. Abdul Muktadir, Sultan Ahmed, and Keiji Jindo. 2022. "How Does Maize-Cowpea Intercropping Maximize Land Use and Economic Return? A Field Trial in Bangladesh" Land 11, no. 4: 581. https://doi.org/10.3390/land11040581
APA StyleAkter Suhi, A., Mia, S., Khanam, S., Hasan Mithu, M., Uddin, M. K., Muktadir, M. A., Ahmed, S., & Jindo, K. (2022). How Does Maize-Cowpea Intercropping Maximize Land Use and Economic Return? A Field Trial in Bangladesh. Land, 11(4), 581. https://doi.org/10.3390/land11040581

