Modeling Integrated Impacts of Climate Change and Grazing on Mongolia’s Rangelands
Abstract
1. Introduction
2. Materials and Methods
2.1. Model Description
2.2. Study Area
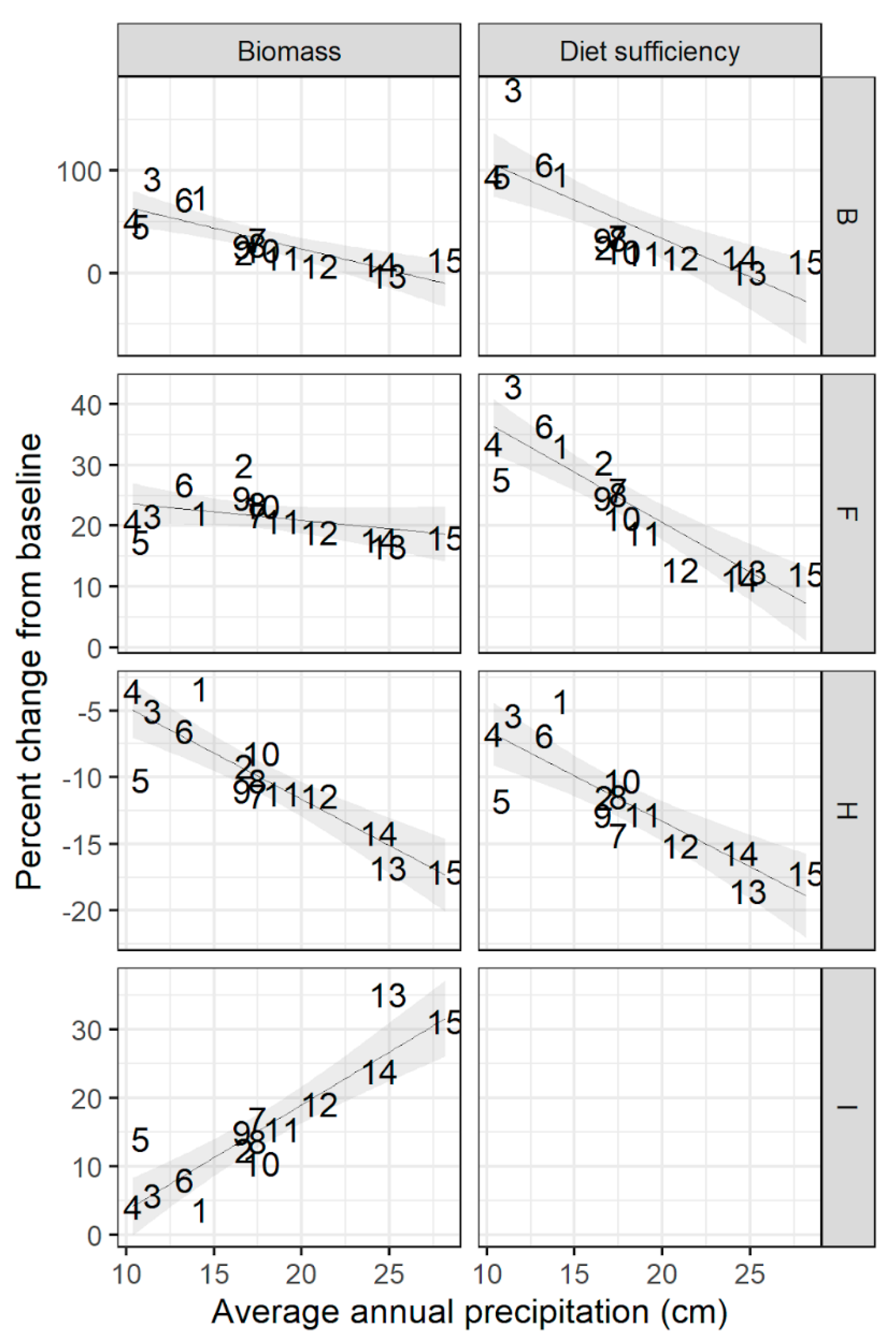
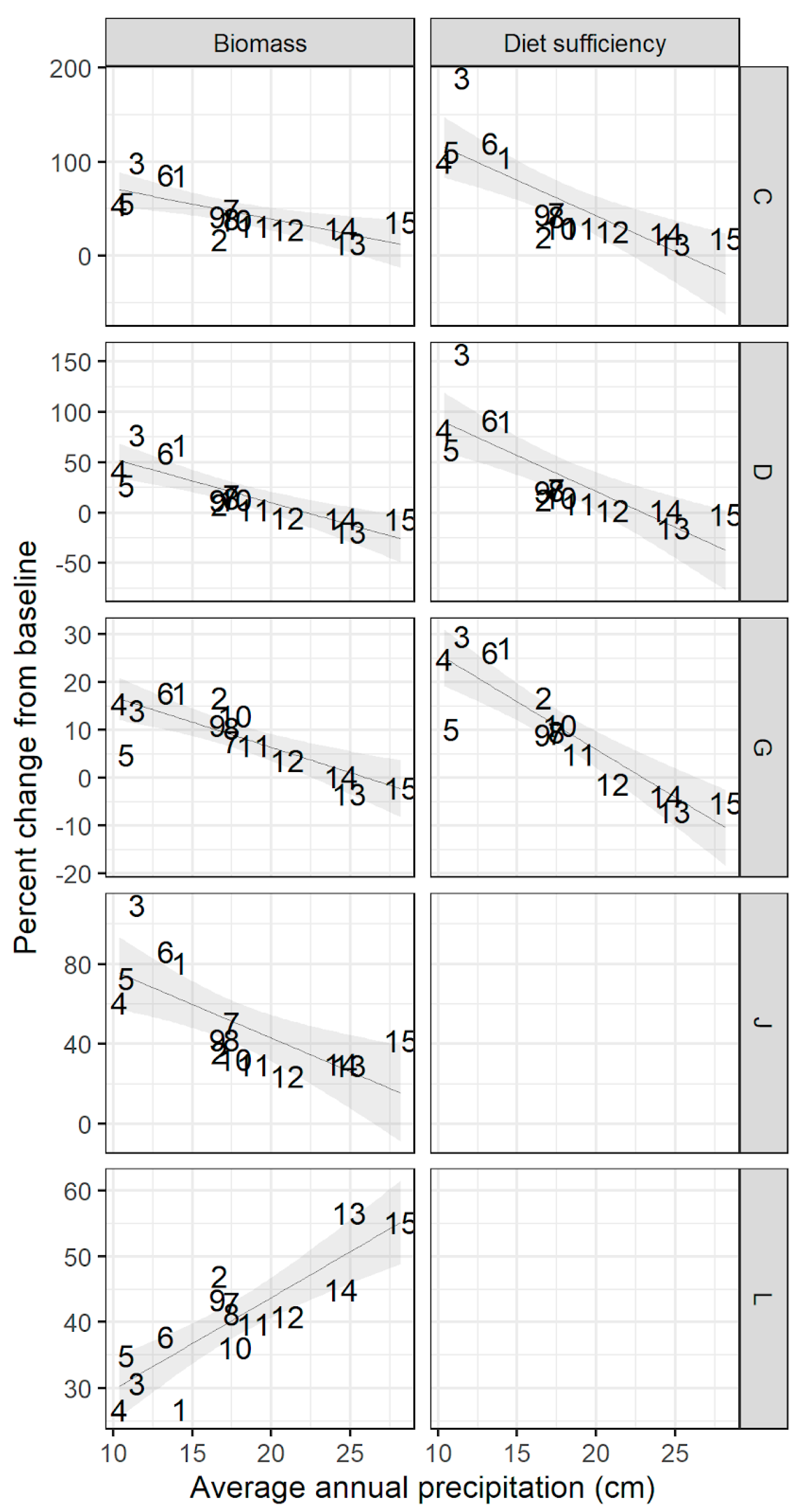
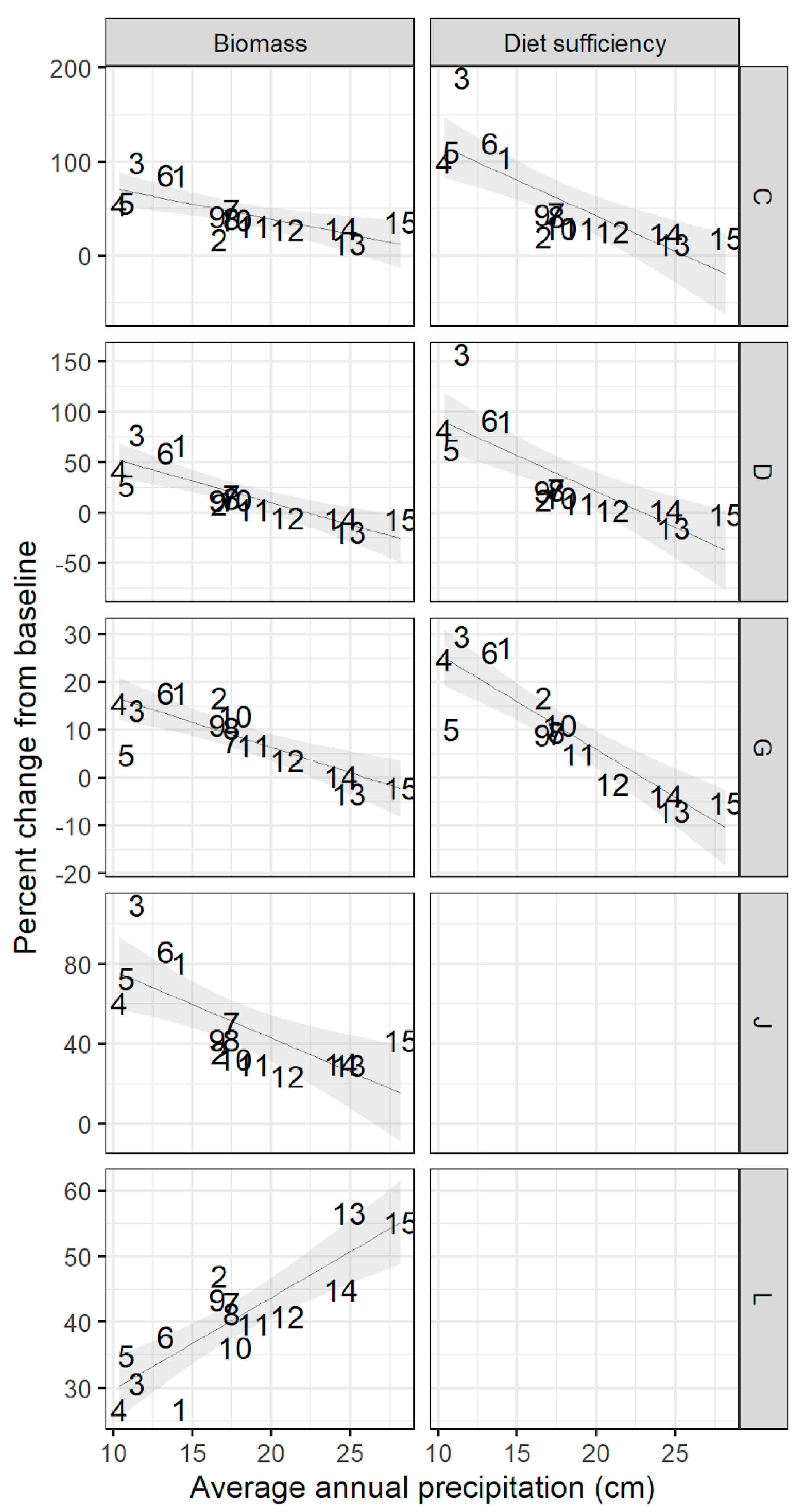
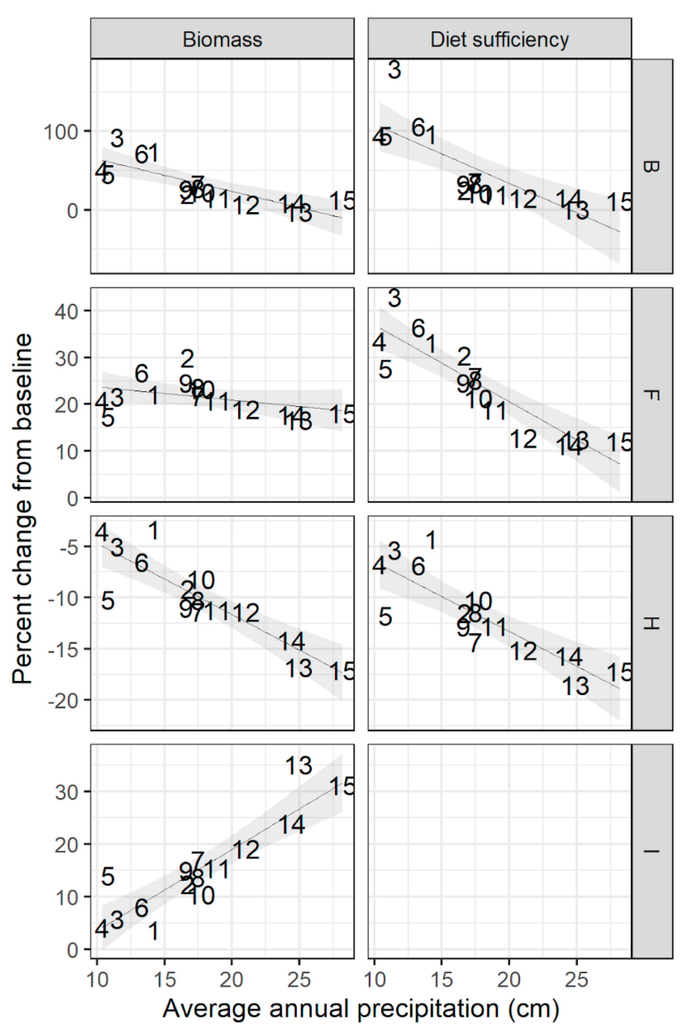
2.3. Sensitivity of Rangeland and Animal Condition to Temperature, Precipitation, and Animal Density
2.4. Gridded Simulation under Future Climate Conditions
3. Results
3.1. Temperature Dominates Precipitation and Grazing Intensity Impacts
3.2. Regional Rangeland and Animal Condition under Future Climate Change
4. Discussion
4.1. Interacting Effects of Climate and Grazing
4.2. Modeling Limitations and Further Research Directions
4.3. Implications for Rangeland Management and Policy in Mongolia
5. Conclusions
Supplementary Materials
Author Contributions
Funding
Data Availability Statement
Acknowledgments
Conflicts of Interest
Appendix A. Supplemental Figures and Tables
| Site. | Latitude | Longitude | Elevation (m) | Precipitation (cm) | Temperature (°C) | Hotspot Type |
|---|---|---|---|---|---|---|
| 1 | 43.52 | 104.22 | 1875 | 14.2 | 3.7 | Camp |
| 2 | 43.73 | 103.6 | 2160 | 16.7 | −0.5 | Well |
| 3 | 43.97 | 105.14 | 1520 | 11.5 | 3.6 | Well |
| 4 | 44.5 | 105.33 | 1310 | 10.4 | 3.8 | Camp |
| 5 | 44.99 | 105.61 | 1200 | 10.8 | 3.5 | Well |
| 6 | 45.63 | 105.84 | 1415 | 13.3 | 1.5 | Well |
| 7 | 45.91 | 106.29 | 1460 | 17.5 | 0.8 | Stable |
| 8 | 46.19 | 106.45 | 1330 | 17.5 | 0.8 | Stable |
| 9 | 46.36 | 106.54 | 1395 | 16.6 | 0.2 | Well |
| 10 | 46.57 | 106.65 | 1360 | 17.7 | 0.2 | Well |
| 11 | 46.79 | 106.64 | 1390 | 18.9 | −0.2 | Camp |
| 12 | 47.06 | 106.57 | 1425 | 21 | −1.0 | Well |
| 13 | 47.34 | 106.63 | 1615 | 24.9 | −1.6 | Well |
| 14 | 47.6 | 106.82 | 1385 | 24.4 | −1.9 | Camp |
| 15 | 48.15 | 106.71 | 1250 | 28.2 | −1.5 | Camp |
| Gobi-Steppe ecoregion * | 45.7 | 109.7 | 1131 | 18.5 | 2.3 | NA |
| Gobi-Steppe ecoregion † | 41.6–50.3 | 99.4–119.9 | 560–2748 | 4.1–48.6 | −5.8–9.5 | NA |






Appendix B. Synthesis of Future Climate Conditions for Mongolia
| GCM | Change in Average Monthly Minimum Temperature (°C) | Change in Average Monthly Maximum Temperature (°C) | Percent Change in Average Monthly Precipitation (%) |
|---|---|---|---|
| CNRM-CM6-1 | 3.9 | 3.9 | −1.2 |
| CNRM-ESM2-1 | 4.3 | 4.2 | 0.0 |
| MIROC-ES2L | 4.1 | 4.4 | 0.4 |
| BCC-CSM2-MR | 4.5 | 4.4 | 1.3 |
| MRI-ESM2-0 | 3.5 | 3.7 | 2.8 |
| IPSL-CM6A-LR | 5.3 | 4.8 | 4.6 |
| GFDL-ESM4 | 3.5 | 3.6 | 4.8 |
| MIROC6 | 3.4 | 3.7 | 6.1 |
| CanESM5 | 7.4 | 6.3 | 17.9 |
Appendix C. Calibration and Validation of RPM and Century
| Parameter | Definition | Calibrated Value |
|---|---|---|
| prdx(1) | Coefficient for calculating potential aboveground monthly production as a function of solar radiation outside the atmosphere (g/m2/MJ/m2) | 0.2 |
| ppdf(1) | Optimum temperature for growth for parameterization of a Poisson Density Function curve to simulate temperature effect on growth (°C) | 15 |
| ppdf(2) | Maximum temperature for growth for parameterization of a Poisson Density Function curve to simulate temperature effect on growth (°C) | 35 |
| ppdf(3) | Left curve shape for parameterization of a Poisson Density Function curve to simulate temperature effect on growth | 1 |
| ppdf(4) | Right curve shape for parameterization of a Poisson Density Function curve to simulate temperature effect on growth | 2.5 |
| epnfa(1) | Intercept value for determining the effect of annual precipitation on atmospheric N fixation (g/m2/yr/cm precip) | 0.0001 |
| epnfa(2) | Slope value for determining the effect of annual precipitation on atmospheric N fixation (g/m2/yr/cm precip) | 0.008 |


Appendix C.1. Validation of RPM against Field Data


Appendix C.2. Validation of RPM against Century
References
- Buuveibaatar, B.; Mueller, T.; Strindberg, S.; Leimgruber, P.; Kaczensky, P.; Fuller, T.K. Human activities negatively impact distribution of ungulates in the Mongolian Gobi. Biol. Conserv. 2016, 203, 168–175. [Google Scholar] [CrossRef]
- Fernández-Giménez, M.E.; Venable, N.H.; Angerer, J.; Fassnacht, S.R.; Reid, R.S.; Khishigbayar, J. Exploring linked ecological and cultural tipping points in Mongolia. Anthropocene 2017, 17, 46–69. [Google Scholar] [CrossRef]
- Rao, M.P.; Davi, N.K.; D’Arrigo, R.D.; Skees, J.; Nachin, B.; Leland, C.; Lyon, B.; Wang, S.Y.; Byambasuren, O. Dzuds, droughts, and livestock mortality in Mongolia. Environ. Res. Lett. 2015, 10, 074012. [Google Scholar] [CrossRef]
- Pfeiffer, M.; Dulamsuren, C.; Jäschke, Y.; Wesche, K. Grasslands of China and Mongolia: Spatial extent, land use and conservation. In Grasslands of the World: Diversity, Management and Conservation; CRC Press: Boca Raton, FL, USA, 2018; pp. 167–196. ISBN 9781498796262. [Google Scholar]
- Nandintsetseg, B.; Boldgiv, B.; Chang, J.; Ciais, P.; Davaanyam, E.; Batbold, A.; Bat-Oyun, T.; Stenseth, N.C. Risk and vulnerability of Mongolian grasslands under climate change. Environ. Res. Lett. 2021, 16, 034035. [Google Scholar] [CrossRef]
- Huang, J.; Li, Y.; Fu, C.; Chen, F.; Fu, Q.; Dai, A.; Shinoda, M.; Ma, Z.; Guo, W.; Li, Z.; et al. Dryland climate change: Recent progress and challenges. Rev. Geophys. 2017, 55, 719–778. [Google Scholar] [CrossRef]
- Huang, J.; Yu, H.; Guan, X.; Wang, G.; Guo, R. Accelerated dryland expansion under climate change. Nat. Clim. Chang. 2016, 6, 166–171. [Google Scholar] [CrossRef]
- Yao, J.; Liu, H.; Huang, J.; Gao, Z.; Wang, G.; Li, D.; Yu, H.; Chen, X. Accelerated dryland expansion regulates future variability in dryland gross primary production. Nat. Commun. 2020, 11, 1665. [Google Scholar] [CrossRef] [PubMed]
- Hijioka, Y.; Lin, E.; Pereira, J.J.; Corlett, R.T.; Cui, X.; Insarov, G.E.; Lasco, R.D.; Lindgren, E.; Surjan, A. Asia. In Climate Change 2014: Impacts, Adaptation and Vulnerability. Part B: Regional Aspects; Barros, V.R., Field, C.B., Dokken, D.J., Mastrandrea, M.D., Mach, K.J., Bilir, T.E., Chatterjee, M., Ebi, K.L., Estrada, Y.O., Genova, R.C., Eds.; Contribution of Working Group II to the Fifth Assessment Report of the Intergovernmental Panel on Climate Change; Cambridge University Press: Cambridge, UK; New York, NY, USA, 2014; pp. 1327–1370. [Google Scholar]
- Erdenetsetseg, B. Soil and pasture. In Mongolia Second Assessment Report on Climate Change; Dagvadorj, D., Batjargal, Z., Natsagadorj, L., Eds.; Ministry of Environment and Green Development of Mongolia: Ulaanbaatar, Mongolia, 2014. [Google Scholar]
- Angerer, J.; Han, G.; Fujisaki, I.; Havstad, K. Climate change and ecosystems of Asia with emphasis on Inner Mongolia and Mongolia. Rangelands 2008, 30, 46–51. [Google Scholar] [CrossRef]
- Godde, C.M.; Boone, R.B.; Ash, A.J.; Waha, K.; Sloat, L.L.; Thornton, P.K.; Herrero, M. Global rangeland production systems and livelihoods at threat under climate change and variability. Environ. Res. Lett. 2020, 15, 044021. [Google Scholar] [CrossRef]
- Eyring, V.; Bony, S.; Meehl, G.A.; Senior, C.A.; Stevens, B.; Stouffer, R.J.; Taylor, K.E. Overview of the Coupled Model Intercomparison Project Phase 6 (CMIP6) experimental design and organization. Geosci. Model Dev. 2016, 9, 1937–1958. [Google Scholar] [CrossRef]
- Li, W.; Li, X.; Zhao, Y.; Zheng, S.; Bai, Y. Ecosystem structure, functioning and stability under climate change and grazing in grasslands: Current status and future prospects. Curr. Opin. Environ. Sustain. 2018, 33, 124–135. [Google Scholar] [CrossRef]
- Hilker, T.; Natsagdorj, E.; Waring, R.H.; Lyapustin, A.; Wang, Y. Satellite observed widespread decline in Mongolian grasslands largely due to overgrazing. Glob. Chang. Biol. 2014, 20, 418–428. [Google Scholar] [CrossRef]
- Lehnert, L.W.; Wesche, K.; Trachte, K.; Reudenbach, C.; Bendix, J. Climate variability rather than overstocking causes recent large scale cover changes of Tibetan pastures. Sci. Rep. 2016, 6, 24367. [Google Scholar] [CrossRef]
- Le Houérou, H.N.; Bingham, R.L.; Skerbek, W. Relationship between the variability of primary production and the variability of annual precipitation in world arid lands. J. Arid Environ. 1988, 15, 1–18. [Google Scholar] [CrossRef]
- Engler, J.-O.; von Wehrden, H. Global assessment of the non-equilibrium theory of rangelands: Revisited and refined. Land Use Policy 2018, 70, 479–484. [Google Scholar] [CrossRef]
- Ellis, J.E.; Swift, D.M. Stability of African pastoral ecosystems: Alternate paradigms and implications for development. Rangel. Ecol. Manag. J. Range Manag. Arch. 1988, 41, 450–459. [Google Scholar] [CrossRef]
- Wiens, J.A. On understanding a non-equilibrium world: Myth and reality in community patterns and processes. In Ecological Communities: Conceptual Issues and the Evidence; Princeton University Press: Princeton, NJ, USA, 1984; pp. 439–458. [Google Scholar]
- Illius, A.W.; O’Connor, T.G. On the relevance of nonequilibrium concepts to arid and semiarid grazing systems. Ecol. Appl. 1999, 9, 798–813. [Google Scholar] [CrossRef]
- Sullivan, S.; Rohde, R. Guest Editorial: On Non-Equilibrium in Arid and Semi-Arid Grazing Systems. J. Biogeogr. 2002, 29, 1595–1618. [Google Scholar] [CrossRef]
- Vetter, S. Rangelands at equilibrium and non-equilibrium: Recent developments in the debate. J. Arid Environ. 2005, 62, 321–341. [Google Scholar] [CrossRef]
- Addison, J.; Friedel, M.; Brown, C.; Davies, J.; Waldron, S. A critical review of degradation assumptions applied to Mongolia’s Gobi Desert. Rangel. J. 2012, 34, 125–137. [Google Scholar] [CrossRef]
- Fernandez-Gimenez, M.E.; Allen-Diaz, B. Testing a non-equilibrium model of rangeland vegetation dynamics in Mongolia. J. Appl. Ecol. 1999, 36, 871–885. [Google Scholar] [CrossRef]
- Fernandez-Gimenez, M.E.; Batkhishig, B.; Batbuyan, B. Cross-boundary and cross-level dynamics increase vulnerability to severe winter disasters (dzud) in Mongolia. Glob. Environ. Chang. 2012, 22, 836–851. [Google Scholar] [CrossRef]
- Middleton, N.; Rueff, H.; Sternberg, T.; Batbuyan, B.; Thomas, D. Explaining spatial variations in climate hazard impacts in western Mongolia. Landsc. Ecol. 2015, 30, 91–107. [Google Scholar] [CrossRef]
- Parton, W.J.; Scurlock, J.M.O.; Ojima, D.S.; Gilmanov, T.G.; Scholes, R.J.; Schimel, D.S.; Kirchner, T.; Menaut, J.-C.; Seastedt, T.; Moya, E.G.; et al. Observations and modeling of biomass and soil organic matter dynamics for the grassland biome worldwide. Glob. Biogeochem. Cycles 1993, 7, 785–809. [Google Scholar] [CrossRef]
- Freer, M.; Moore, A.D.; Donnelly, J.R. The GRAZPLAN Animal Biology Model for Sheep and Cattle and the GrazFeed Decision Support Tool; CSIRO Plant Industry: Canberra, ACT, Australia, 2012. [Google Scholar]
- Holland, E.A.; Parton, W.J.; Detling, J.K.; Coppock, D.L. Physiological responses of plant populations to herbivory and their consequences for ecosystem nutrient flow. Am. Nat. 1992, 140, 685–706. [Google Scholar] [CrossRef] [PubMed]
- Kowal, V.A.; Jones, S.M.; Keesing, F.; Allan, B.F.; Schieltz, J.M.; Chaplin-Kramer, R. A coupled forage-grazer model predicts viability of livestock production and wildlife habitat at the regional scale. Sci. Rep. 2019, 9, 19957. [Google Scholar] [CrossRef]
- Fick, S.E.; Hijmans, R.J. WorldClim 2: New 1-km spatial resolution climate surfaces for global land areas. Int. J. Climatol. 2017, 37, 4302–4315. [Google Scholar] [CrossRef]
- Ahlborn, J.; Von Wehrden, H.; Lang, B.; Römermann, C.; Oyunbileg, M.; Oyuntsetseg, B.; Wesche, K. Climate–grazing interactions in Mongolian rangelands: Effects of grazing change along a large-scale environmental gradient. J. Arid Environ. 2020, 173, 104043. [Google Scholar] [CrossRef]
- Koutroulis, A.G. Dryland changes under different levels of global warming. Sci. Total Environ. 2019, 655, 482–511. [Google Scholar] [CrossRef]
- Number of Livestock in Year 2015 n.d; National Statistics Office of Mongolia: Ulaanbaatar, Mongolia, 2015.
- Parton, W.J. Global grassland ecosystem modelling: Development and test of ecosystem models for grassland systems. In Global Change: Effects on Coniferous Forests and Grasslands; Wiley: Hoboken, NJ, USA, 1996; pp. 229–269. [Google Scholar]
- Ojima, D.S.; Parton, W.J.; Schimel, D.S.; Scurlock, J.M.O.; Kittel, T.G.F. Modeling the effects of climatic and CO2 changes on grassland storage of soil C. Water Air Soil Pollut. 1993, 70, 643–657. [Google Scholar] [CrossRef]
- Iravani, M.; White, S.R.; Farr, D.R.; Habib, T.J.; Kariyeva, J.; Faramarzi, M. Assessing the provision of carbon-related ecosystem services across a range of temperate grassland systems in western Canada. Sci. Total Environ. 2019, 680, 151–168. [Google Scholar] [CrossRef] [PubMed]
- Funk, C.; Peterson, P.; Landsfeld, M.; Pedreros, D.; Verdin, J.; Shukla, S.; Husak, G.; Rowland, J.; Harrison, L.; Hoell, A.; et al. The climate hazards infrared precipitation with stations—A new environmental record for monitoring extremes. Sci. Data 2015, 2, 150066. [Google Scholar] [CrossRef] [PubMed]
- Nakano, T.; Bat-Oyun, T.; Shinoda, M. Responses of palatable plants to climate and grazing in semi-arid grasslands of Mongolia. Glob. Ecol. Conserv. 2020, 24, e01231. [Google Scholar] [CrossRef]
- Wu, Z.; Dijkstra, P.; Koch, G.W.; Peñuelas, J.; Hungate, B.A. Responses of terrestrial ecosystems to temperature and precipitation change: A meta-analysis of experimental manipulation. Glob. Chang. Biol. 2011, 17, 927–942. [Google Scholar] [CrossRef]
- Duffy, K.A.; Schwalm, C.R.; Arcus, V.L.; Koch, G.W.; Liang, L.L.; Schipper, L.A. How close are we to the temperature tipping point of the terrestrial biosphere? Sci. Adv. 2021, 7, eaay1052. [Google Scholar] [CrossRef] [PubMed]
- Hao, Y.; He, Z. Effects of grazing patterns on grassland biomass and soil environments in China: A meta-analysis. PLoS ONE 2019, 14, e0215223. [Google Scholar] [CrossRef]
- Ahlborn, J.; Wesche, K.; Lang, B.; Oyunbileg, M.; Oyuntsetseg, B.; Römermann, C.; Collier, N.F.; von Wehrden, H. Interactions between species richness, herbivory and precipitation affect standing biomass in Mongolian rangelands. Appl. Veg. Sci. 2021. [Google Scholar] [CrossRef]
- Fernández-Giménez, M.E.; Batkhishig, B.; Batbuyan, B.; Ulambayar, T. Lessons from the dzud: Community-based rangeland management increases the adaptive capacity of Mongolian herders to winter disasters. World Dev. 2015, 68, 48–65. [Google Scholar] [CrossRef]
- Nachin, D. Belcheeriig Huvaaritai Ashigladag Ardiin Ulamjlalt Arga, Tuunii Shinjlekh Ukhaanii Undeslel; Ulsiin Khevleliin Gazar: Ulaanbaatar, Mongolia, 1984. [Google Scholar]
- Nandintsetseg, B.; Shinoda, M.; Erdenetsetseg, B. Contributions of multiple climate hazards and overgrazing to the 2009/2010 winter disaster in Mongolia. Nat. Hazards 2018, 92, 109–126. [Google Scholar] [CrossRef]
- Cingolani, A.M.; Noy-Meir, I.; Díaz, S. Grazing effects on rangeland diversity: A synthesis of contemporary models. Ecol. Appl. 2005, 15, 757–773. [Google Scholar] [CrossRef]
- Jamsranjav, C.; Reid, R.S.; Fernández-Giménez, M.E.; Tsevlee, A.; Yadamsuren, B.; Heiner, M. Applying a dryland degradation framework for rangelands: The case of Mongolia. Ecol. Appl. 2018, 28, 622–642. [Google Scholar] [CrossRef]
- Olson, K.A.; Murray, M.G.; Fuller, T.K. Vegetation Composition and Nutritional Quality of Forage for Gazelles in Eastern Mongolia. Rangel. Ecol. Manag. 2010, 63, 593–598. [Google Scholar] [CrossRef]
- Togtokhbayar, N. Evaluation of pasture forages as livestock feed. In Improving Animal Productivity by Supplementary Feeding of Multinutrient Blocks, Controlling Internal Parasites and Enhancing Utilization of Alternate Feed Resources; IAEA: Vienna, Austria, 2006; pp. 211–218. [Google Scholar]
- Jigjidsuren, S.; Johnson, D.A. Forage Plants of Mongolia; Admon Ulaanbaatar: Ulaanbaatar, Mongolia, 2003. [Google Scholar]
- Zemmrich, A.; Hilbig, W.; Oyuunchimeg, D. Plant communities along an elevation gradient under special consideration of grazing in Western Mongolia. Phytocoenologia 2010, 40, 91–115. [Google Scholar] [CrossRef]
- Khishigbayar, J.; Fernández-Giménez, M.E.; Angerer, J.P.; Reid, R.S.; Chantsallkham, J.; Baasandorj, Y.; Zumberelmaa, D. Mongolian rangelands at a tipping point? Biomass and cover are stable but composition shifts and richness declines after 20 years of grazing and increasing temperatures. J. Arid Environ. 2015, 115, 100–112. [Google Scholar] [CrossRef]
- Sinclair, S.J.; Avirmed, O.; White, M.D.; Batpurev, K.; Griffioen, P.A.; Liu, C.; Jambal, S.; Sime, H.; Olson, K.A. Rangeland condition assessment in the Gobi Desert: A quantitative approach that places stakeholder evaluations front and Centre. Ecol. Econ. 2021, 181, 106891. [Google Scholar] [CrossRef]
- Bulgamaa, D.; Bestelmeyer, B.T.; Budbaatar, U.; Sumjidmaa, S.; Enkh-Amgalan, T.S.; Van Zee, J.W.; Bolormaa, B.; Otgontuya, L. Describing Ecological Potential and Ecological States of Rangeland to Support Livestock Management in Mongolia. 2020. Available online: https://uknowledge.uky.edu/igc/22/1-13/5/ (accessed on 26 September 2017).
- Briske, D.D.; Illius, A.W.; Anderies, J.M. Nonequilibrium ecology and resilience theory. In Rangeland Systems; Springer: Cham, Switzerland, 2017; pp. 197–227. [Google Scholar]
- Tubiello, F.N.; Soussana, J.-F.; Howden, S.M. Crop and pasture response to climate change. Proc. Natl. Acad. Sci. USA 2007, 104, 19686–19690. [Google Scholar] [CrossRef]
- Sloat, L.L.; Gerber, J.S.; Samberg, L.H.; Smith, W.K.; Herrero, M.; Ferreira, L.G.; Godde, C.M.; West, P.C. Increasing importance of precipitation variability on global livestock grazing lands. Nat. Clim. Chang. 2018, 8, 214–218. [Google Scholar] [CrossRef]
- Milchunas, D.G.; Mosier, A.R.; Morgan, J.A.; LeCain, D.R.; King, J.Y.; Nelson, J.A. Elevated CO2 and defoliation effects on a shortgrass steppe: Forage quality versus quantity for ruminants. Agric. Ecosyst. Environ. 2005, 111, 166–184. [Google Scholar] [CrossRef]
- Polley, H.W.; Morgan, J.A.; Fay, P.A. Application of a conceptual framework to interpret variability in rangeland responses to atmospheric CO2 enrichment. J. Agric. Sci. 2011, 149, 1–14. [Google Scholar] [CrossRef]
- Fernandez-Gimenez, M.E. Land use and land tenure in Mongolia: A brief history and current issues. In Rangelands of Central Asia: Proceedings of the Conference on Transformations, Issues, and Future Challenges; USDA Forest Service Proceedings; U.S. Department of Agriculture, Forest Service, Rocky Mountain Research Station: Fort Collins, CO, USA, 2006; pp. 30–36. [Google Scholar]
- Angerer, J.P. Gobi Forage Livestock Early warning System. In Conducting National Feed Assessments; Coughenour, M.B., Makkar, H.P.S., Eds.; FAO: Rome, Italy, 2012; p. 115. [Google Scholar]
- Pendergrass, A.G.; Knutti, R.; Lehner, F.; Deser, C.; Sanderson, B.M. Precipitation variability increases in a warmer climate. Sci. Rep. 2017, 7, 17966. [Google Scholar] [CrossRef]
- Huntingford, C.; Jones, P.D.; Livina, V.N.; Lenton, T.M.; Cox, P.M. No increase in global temperature variability despite changing regional patterns. Nature 2013, 500, 327–330. [Google Scholar] [CrossRef] [PubMed]
- Lehner, F.; Deser, C.; Sanderson, B.M. Future risk of record-breaking summer temperatures and its mitigation. Clim. Chang. 2018, 146, 363–375. [Google Scholar] [CrossRef]
- Bestelmeyer, B.T.; Duniway, M.C.; James, D.K.; Burkett, L.M.; Havstad, K.M. A test of critical thresholds and their indicators in a desertification-prone ecosystem: More resilience than we thought. Ecol. Lett. 2013, 16, 339–345. [Google Scholar] [CrossRef] [PubMed]
- Bazha, S.N.; Gunin, P.D.; Danzhalova, E.V.; Drobyshev, Y.I.; Prishcepa, A.V. Pastoral degradation of steppe ecosystems in Central Mongolia. In Eurasian Steppes. Ecological Problems and Livelihoods in a Changing World; Springer: Dordrecht, The Netherlands, 2012; pp. 289–319. [Google Scholar]
- Sasaki, T.; Ohkuro, T.; Kakinuma, K.; Okayasu, T.; Jamsran, U.; Takeuchi, K. Vegetation in a post-ecological threshold state may not recover after short-term livestock exclusion in Mongolian rangelands. Arid Land Res. Manag. 2013, 27, 101–110. [Google Scholar] [CrossRef]
- Wesche, K.; Ronnenberg, K.; Retzer, V.; Miehe, G. Effects of large herbivore exclusion on southern Mongolian desert steppes. Acta Oecol. 2010, 36, 234–241. [Google Scholar] [CrossRef]
- O’Neill, B.C.; Tebaldi, C.; Van Vuuren, D.P.; Eyring, V.; Friedlingstein, P.; Hurtt, G.; Knutti, R.; Kriegler, E.; Lamarque, J.-F.; Lowe, J.; et al. The Scenario Model Intercomparison Project (ScenarioMIP) for CMIP6. Geosci. Model Dev. 2016, 9, 3461–3482. [Google Scholar] [CrossRef]
- Riahi, K.; Van Vuuren, D.P.; Kriegler, E.; Edmonds, J.; O’Neill, B.C.; Fujimori, S.; Bauer, N.; Calvin, K.V.; Dellink, R.B.; Fricko, O.; et al. The Shared Socioeconomic Pathways and their energy, land use, and greenhouse gas emissions implications: An overview. Glob. Environ. Chang. 2017, 42, 153–168. [Google Scholar] [CrossRef]
- Fern, R.R.; Foxley, E.A.; Bruno, A.; Morrison, M.L. Suitability of NDVI and OSAVI as estimators of green biomass and coverage in a semi-arid rangeland. Ecol. Indic. 2018, 94, 16–21. [Google Scholar] [CrossRef]
- Zhang, X. Reconstruction of a complete global time series of daily vegetation index trajectory from long-term AVHRR data. Remote Sens. Environ. 2015, 156, 457–472. [Google Scholar] [CrossRef]





| Contrast | Temperature | Precipitation | Animal Density |
|---|---|---|---|
| A: baseline | Worldclim v.2.0 current conditions | Worldclim v.2.0 current conditions | Total number per site estimated from field records |
| B: elevated temperature | Baseline + 7 °C | Baseline | Baseline |
| C: elevated temperature and precipitation | Baseline + 7 °C | Baseline + 18% | Baseline |
| D: elevated temperature and animal density | Baseline + 7 °C | Baseline | Baseline × 2 |
| E: elevated temperature, precipitation, and animal density | Baseline + 7 °C | Baseline + 18% | Baseline × 2 |
| F: elevated precipitation | Baseline | Baseline + 18% | Baseline |
| G: elevated precipitation and animal density | Baseline | Baseline + 18% | Baseline × 2 |
| H: elevated animal density | Baseline | Baseline | Baseline × 2 |
| I: no grazing | Baseline | Baseline | Zero |
| J: elevated temperature and no grazing | Baseline + 7 °C | Baseline | Zero |
| K: elevated temperature, precipitation, and no grazing | Baseline + 7 °C | Baseline + 18% | Zero |
| L: elevated precipitation and no grazing | Baseline | Baseline + 18% | Zero |
Publisher’s Note: MDPI stays neutral with regard to jurisdictional claims in published maps and institutional affiliations. |
© 2021 by the authors. Licensee MDPI, Basel, Switzerland. This article is an open access article distributed under the terms and conditions of the Creative Commons Attribution (CC BY) license (https://creativecommons.org/licenses/by/4.0/).
Share and Cite
Kowal, V.A.; Ahlborn, J.; Jamsranjav, C.; Avirmed, O.; Chaplin-Kramer, R. Modeling Integrated Impacts of Climate Change and Grazing on Mongolia’s Rangelands. Land 2021, 10, 397. https://doi.org/10.3390/land10040397
Kowal VA, Ahlborn J, Jamsranjav C, Avirmed O, Chaplin-Kramer R. Modeling Integrated Impacts of Climate Change and Grazing on Mongolia’s Rangelands. Land. 2021; 10(4):397. https://doi.org/10.3390/land10040397
Chicago/Turabian StyleKowal, Virginia Anne, Julian Ahlborn, Chantsallkham Jamsranjav, Otgonsuren Avirmed, and Rebecca Chaplin-Kramer. 2021. "Modeling Integrated Impacts of Climate Change and Grazing on Mongolia’s Rangelands" Land 10, no. 4: 397. https://doi.org/10.3390/land10040397
APA StyleKowal, V. A., Ahlborn, J., Jamsranjav, C., Avirmed, O., & Chaplin-Kramer, R. (2021). Modeling Integrated Impacts of Climate Change and Grazing on Mongolia’s Rangelands. Land, 10(4), 397. https://doi.org/10.3390/land10040397

