Land Cover Effects on Selected Nutrient Compounds in Small Lowland Agricultural Catchments
Abstract
1. Introduction
2. Materials and Methods
3. Results
3.1. Hydrometeorological Background
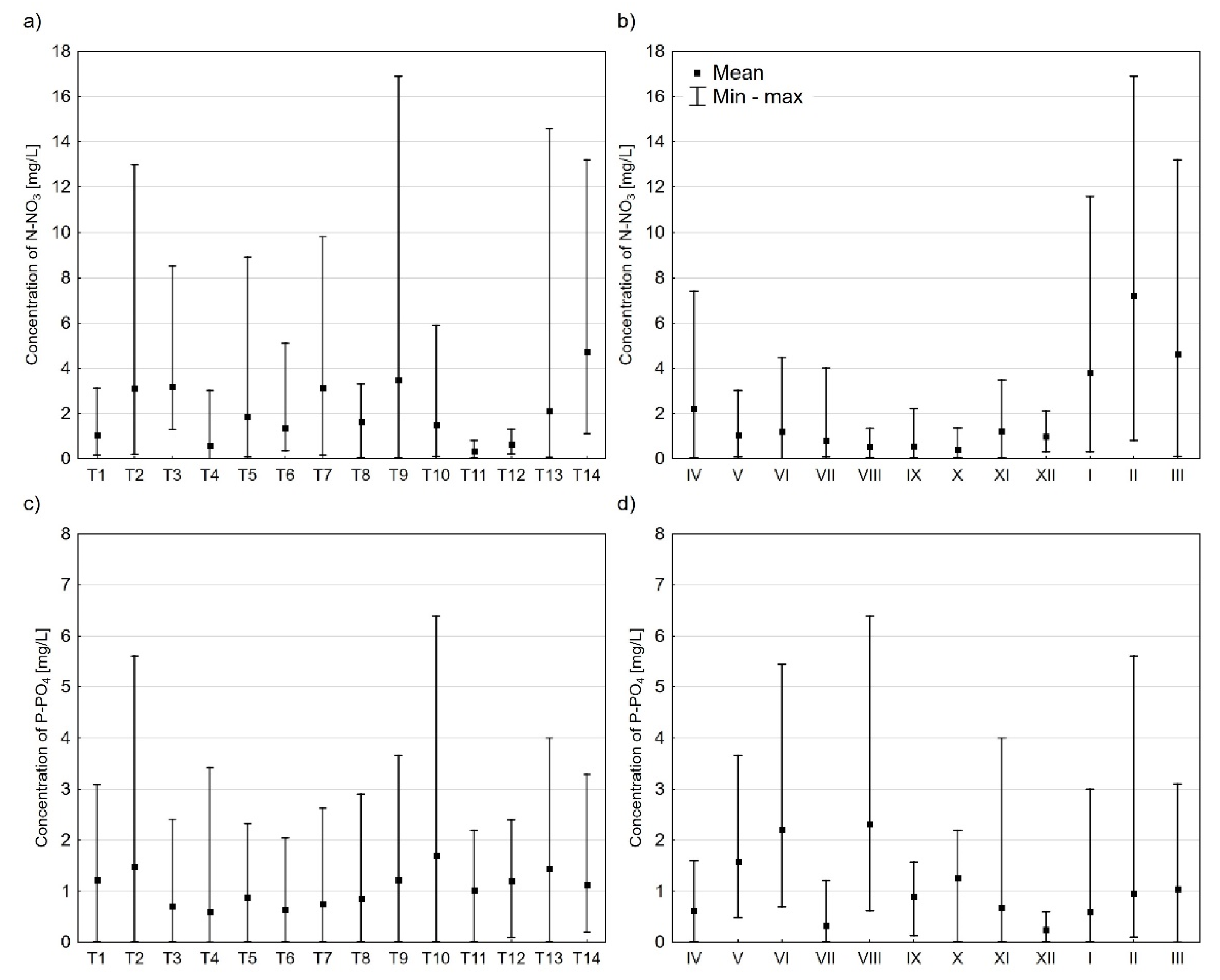
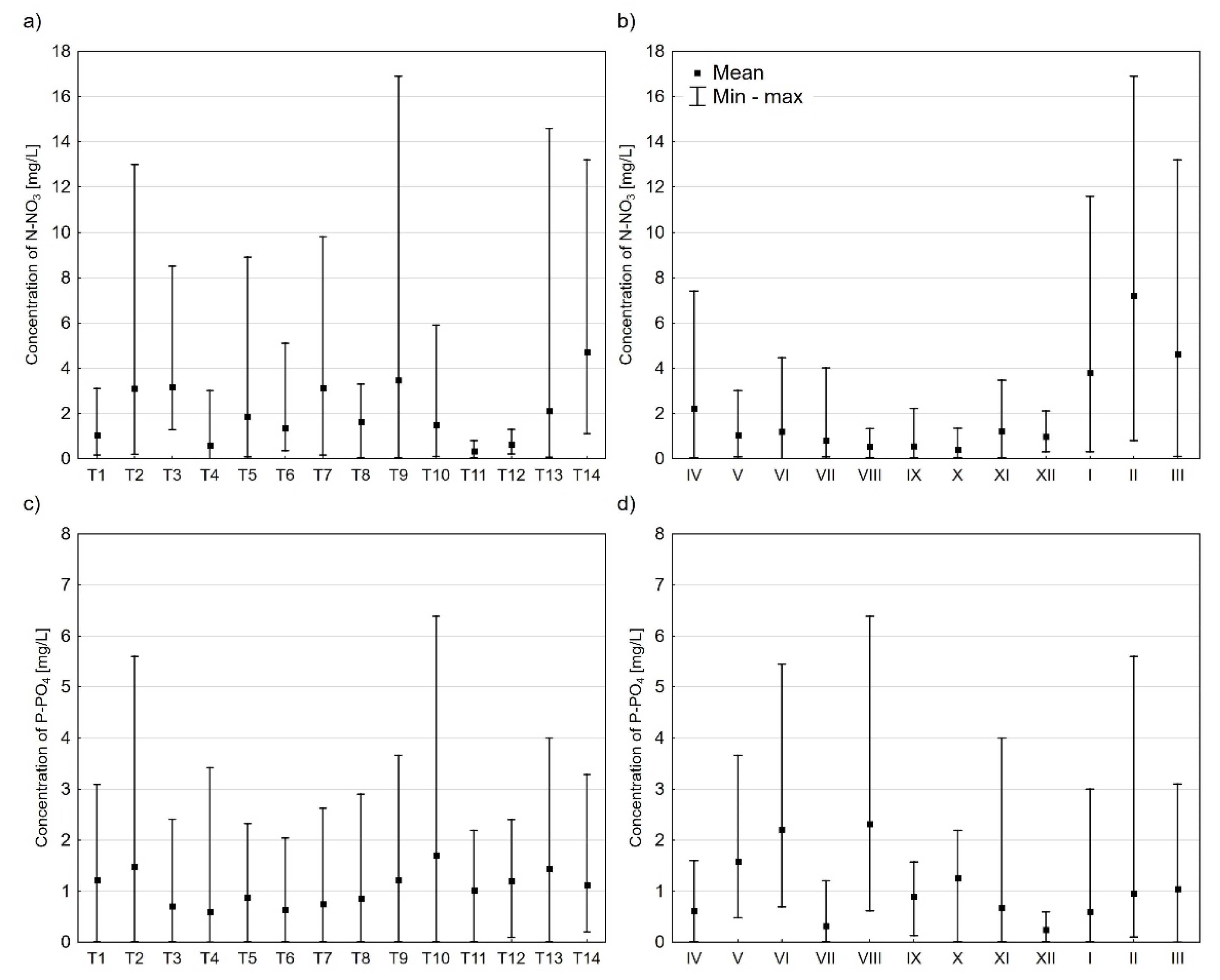
3.2. Spatial and Seasonal Distribution of Nutrients
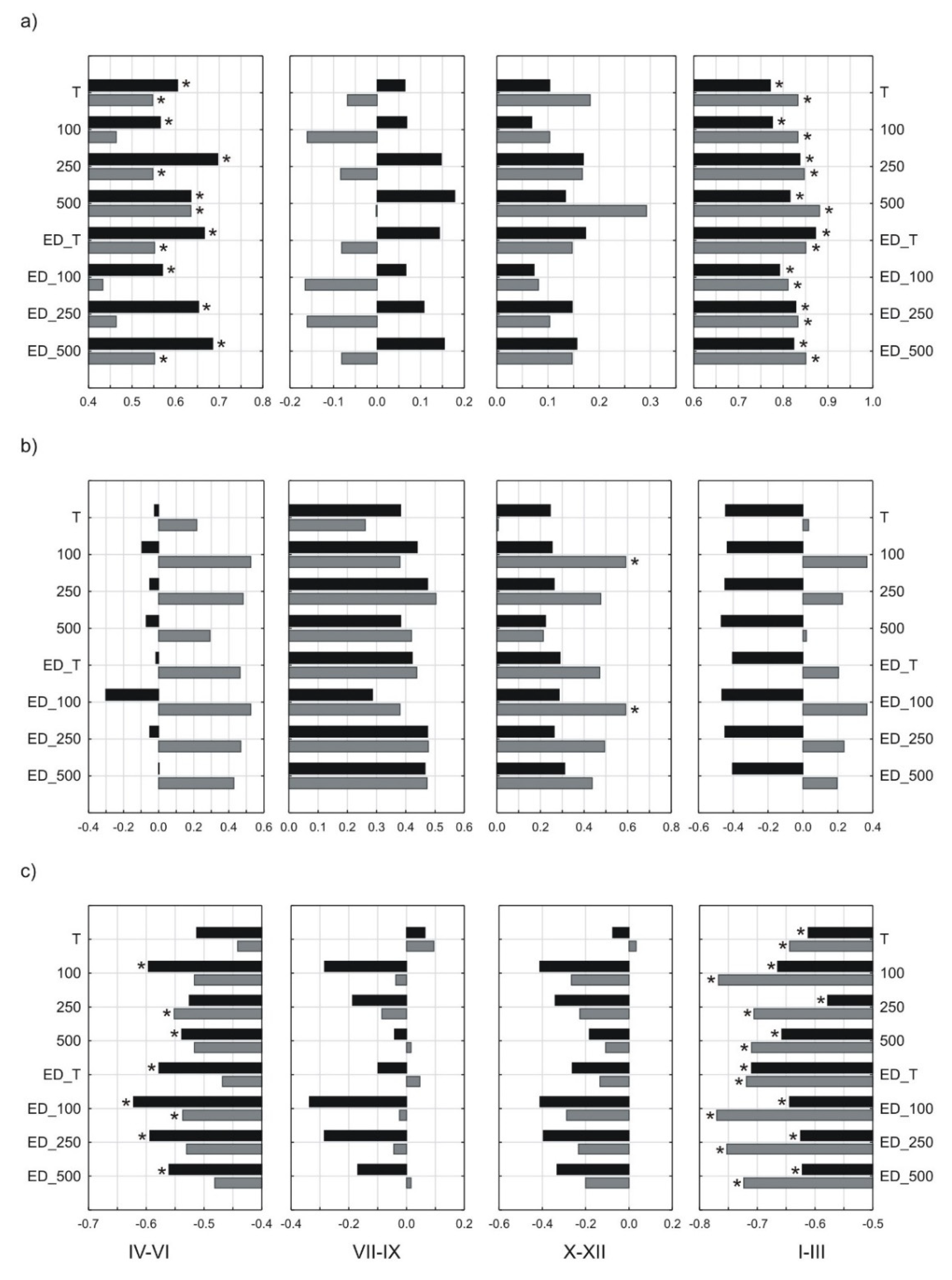
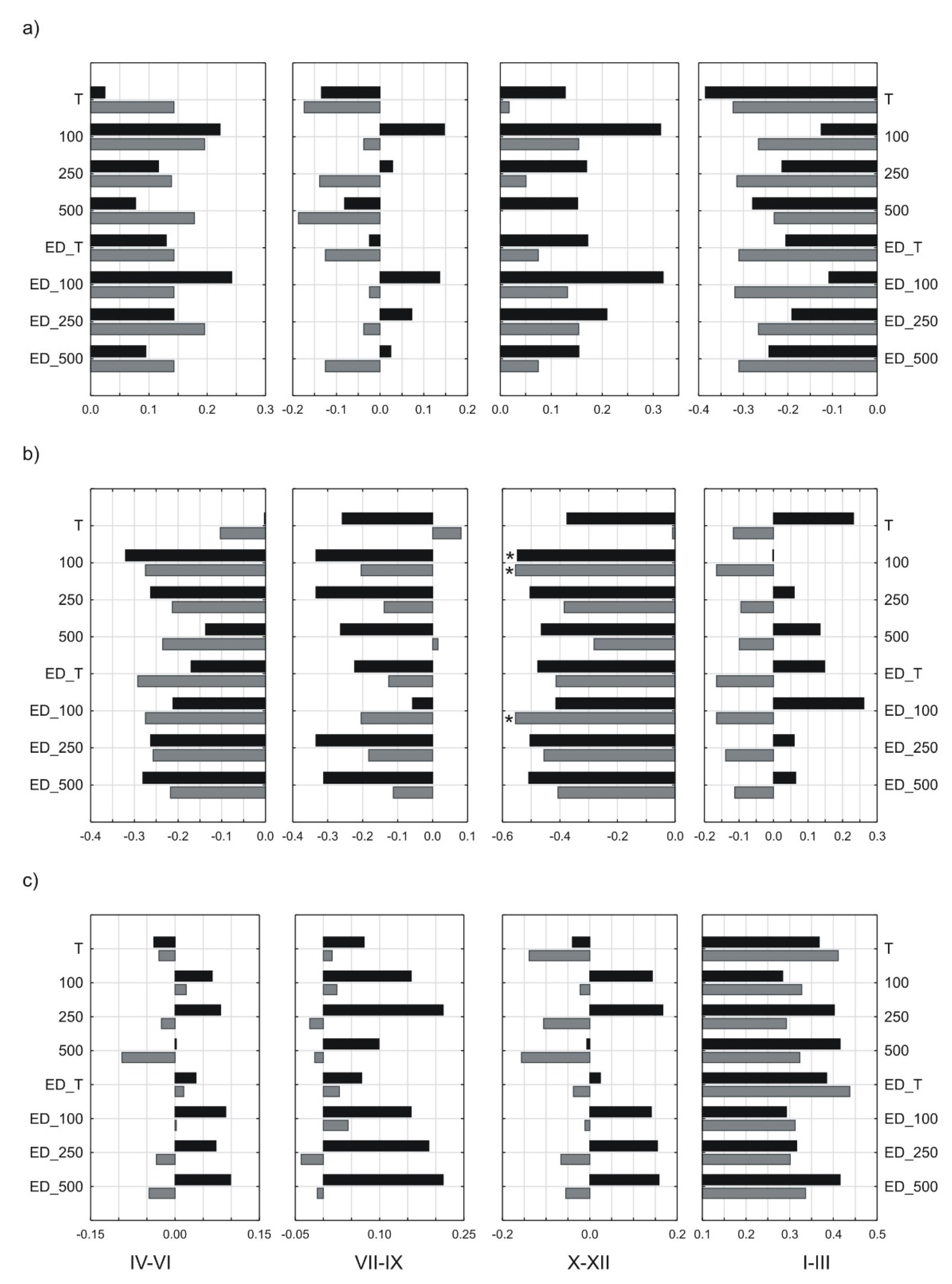
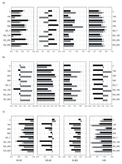
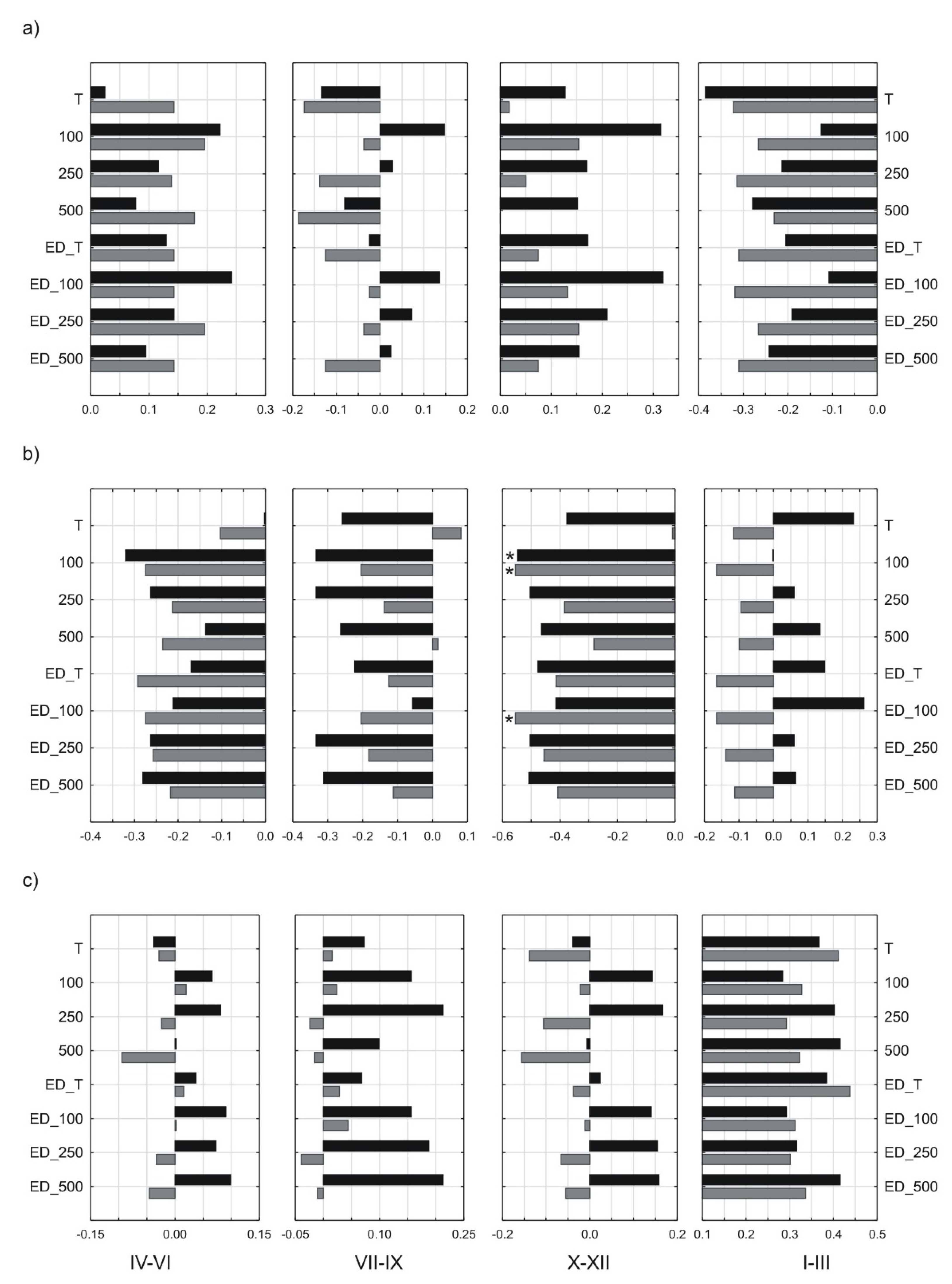
3.3. Land Cover Effects on Nutrient Concentrations
4. Discussion
4.1. Spatial and Seasonal Nutrient Dynamics
4.2. Land Cover Effect on Nutrient Variability
4.3. Implications for Water Quality Management
5. Conclusions
Author Contributions
Funding
Data Availability Statement
Acknowledgments
Conflicts of Interest
References
- Smith, V.H.; Tilman, G.D.; Nekola, J.C. Eutrophication: Impacts of excess nutrient inputs on freshwater, marine and terrestrial ecosystems. Environ. Pollut. 1999, 100, 176–196. [Google Scholar] [CrossRef]
- Schindler, D.W. Recent advances in the understanding and management of eutrophication. Limnol. Oceanogr. 2006, 51, 356–363. [Google Scholar] [CrossRef]
- Chislock, M.F.; Doster, E.; Zitomer, R.A.; Wilson, A.E. Eutrophication: Causes, consequences, and controls in aquatic ecosystems. Nature Educ. Knowledge 2013, 4, 10. [Google Scholar]
- Romanowska-Duda, Z.; Mankiewicz, J.; Tarczyńska, M.; Walter, Z.; Zalewski, M. The effect of toxic cyanobacteria (blue-green algae) on water plants and animal cells. Pol. J. Environ. Stud. 2002, 11, 561–566. [Google Scholar]
- Heisler, J.; Glibert, P.; Burkholder, J.; Anderson, D.; Cochlan, W.; Dennison, W.; Gobler, C.; Dortch, Q.; Heil, C.; Humphries, E.; et al. Eutrophication and harmful algal blooms: A scientific consensus. Harmful Algae 2008, 8, 3–13. [Google Scholar] [CrossRef] [PubMed]
- Mankiewicz-Boczek, J.; Palus, J.; Gągała, I.; Izydorczyk, K.; Jurczak, T.; Dziubałtowska, E.; Stępnik, M.; Arkusz, J.; Komorowska, M.; Skowron, A.; et al. Effects of microcystins-containing cyanobacteria from a temperate ecosystem on human lymphocytes culture and their potential for adverse human health effects. Harmful Algae 2011, 10, 356–365. [Google Scholar] [CrossRef]
- Smith, R.A.; Alexander, R.B.; Schwarz, G.E. Natural background concentrations of nutrients in streams and rivers of the conterminous United States. Environ. Sci. Techol. 2003, 37, 3039–3047. [Google Scholar] [CrossRef]
- Dorgham, M. Effects of eutrophication. In Eutrophication: Causes, Consequences and Control, 1st ed.; Ansari, A., Gill, S., Eds.; Springer: Dordrecht, The Netherlands, 2014; Volume 2, pp. 29–44. [Google Scholar]
- Camargo, J.A.; Alonso, A. Ecological and toxicological effects of inorganic nitrogen pollution in aquatic ecosystems: A global assessment. Environ. Int. 2006, 32, 831–849. [Google Scholar] [CrossRef] [PubMed]
- Lewis, W.M.; Morris, D.P. Toxicity of nitrite to fish: A review. Trans. Am. Fish. Soc. 1986, 115, 183–195. [Google Scholar] [CrossRef]
- Cheng, W.; Chen, J.C. The virulence of Enterococcus to freshwater prawn Macrobrachium rosenbergii and its immune resistance under ammonia stress. Fish Shellfish Immunol. 2002, 12, 97–109. [Google Scholar] [CrossRef] [PubMed]
- Nash, L. Water quality and health. In Water in Crisis: A Guide to the World’s Fresh Water Resources, 1st ed.; Gleik, P.H., Ed.; Oxford University Press: New York, NY, USA, 1993; pp. 25–39. [Google Scholar]
- Alonso, A.; Camargo, J.A. Short-term toxicity of ammonia, nitrite, and nitrate to the aquatic snail Potamopyrgus antipodarum (Hydrobiidae, Mollusca). Bull. Environ. Contam. Toxicol. 2003, 70, 1006–1012. [Google Scholar] [CrossRef]
- Camargo, J.A.; Alonso, A.; Salamanca, A. 2005 Nitrate toxicity to aquatic animals: A review with new data for freshwater invertebrates. Chemosphere 2005, 58, 1255–1267. [Google Scholar] [CrossRef]
- Granger, S.J.; Bol, R.; Anthony, S.; Owens, P.N.; White, S.M.; Haygarth, P.M. Towards a holistic classification of diffuse agricultural water pollution from intensively managed grasslands on heavy soils. In Advances in Agronomy, 1st ed.; Sparks, D.L., Ed.; Elsevier: Burlington, MA, USA, 2010; Volume 105, pp. 83–115. [Google Scholar]
- Lintern, A.; Webb, J.A.; Ryu, D.; Liu, S.; Bende-Michl, U.; Waters, D.; Leahy, P.; Wilson, P.; Western, W. Key factors influencing differences in stream water quality across space. WIREs Water 2018, 5, e1260. [Google Scholar] [CrossRef]
- Gasiūnas, V.; Lysoviene, J. Nutrient retention efficiency of small regulated streams during the season of low-flow regime in Central Lithuanian lowland. Hydrol. Res. 2014, 45, 357–367. [Google Scholar] [CrossRef]
- Bączyk, A.; Wagner, M.; Okruszko, T.; Grygoruk, M. Influence of technical maintenance measures on ecological status of agricultural lowland rivers–Systematic review and implications for river management. Sci. Total Environ. 2018, 627, 189–199. [Google Scholar] [CrossRef] [PubMed]
- McGrane, S.J. Impacts of urbanisation on hydrological and water quality dynamics and urban water management: A review. Hydrol. Sci. J. 2016, 61, 2295–2311. [Google Scholar] [CrossRef]
- Blaszczak, J.R.; Delesantro, J.M.; Zhong, Y.; Urban, D.L.; Bernhardt, E.S. Watershed urban development controls on urban streamwater chemistry variability. Biogeochemistry 2019, 144, 61–84. [Google Scholar] [CrossRef]
- Driscoll, C.T.; Whitall, D.; Aber, J.; Boyer, E.W.; Castro, M.; Cronan, C.; Goodale, C.L.; Groffman, P.M.; Hopkinson, C.; Lambert, K.; et al. Nitrogen pollution in the Northeastern United States: Sources, effects, and management options. Bioscience 2003, 53, 357–374. [Google Scholar] [CrossRef]
- Poor, C.J.; McDonnell, J.J. The effects of land use on stream nitrate dynamics. J. Hydrol. 2007, 332, 54–68. [Google Scholar] [CrossRef]
- Edwards, A.C.; Withers, P.J.A. Transport and delivery of suspended solids, nitrogen and phosphorus from various sources to freshwaters in the UK. J. Hydrol. 2008, 350, 144–153. [Google Scholar] [CrossRef]
- Agouridis, C.T.; Workman, S.R.; Warner, R.C.; Jennings, G.D. Livestock grazing management impacts on stream water quality: A review. J. Am. Water Resour. Assoc. 2005, 41, 591–606. [Google Scholar] [CrossRef]
- Żelazny, M.; Pufelska, M.; Sajdak, M.; Jelonkiewicz, Ł.; Bukowski, M. Wpływ rozpadu drzewostanu w Tatrzańskim Parku Narodowym na zróżnicowanie przestrzenne stężenia azotanów. Acta Sci. Pol. Formatio Circumiectus 2019, 18, 149–161. [Google Scholar] [CrossRef]
- Pärn, J.; Mander, Ü. Landscape factors of nutrient transport in temperate agricultural catchments. WIT Trans. Ecol. Environ. 2007, 104, 411–423. [Google Scholar]
- Heathwaite, A.L. Multiple stressors on water availability at global to catchment scales: Understanding human impact on nutrient cycles to protect water quality and water availability in the long term. Freshw. Biol. 2010, 55, 241–257. [Google Scholar] [CrossRef]
- Soranno, P.A.; Cheruvelil, K.S.; Wagner, T.; Webster, K.E.; Bremigan, M.T. Effects of land use on lake nutrients: The importance of scale, hydrologic connectivity, and region. PLoS ONE 2015, 10, e0135454. [Google Scholar] [CrossRef] [PubMed]
- Billmire, M.; Koziol, B.W. Landscape and flow path-based nutrient loading metrics for evaluation of in-stream water quality in Saginaw Bay, Michigan. J. Great Lakes Res. 2018, 44, 1068–1080. [Google Scholar] [CrossRef]
- Šaulys, V.; Survilė, O.; Stankevičienė, R. An assessment of self-purification in streams. Water 2020, 12, 87. [Google Scholar] [CrossRef]
- Vidon, P.G.; Hill, A.R. A landscape-based approach to estimate riparian hydrological and nitrate removal functions. J. Am. Water Resour. Assoc. 2006, 42, 1099–1112. [Google Scholar] [CrossRef]
- Liu, X.; Mang, X.; Zhang, M. Major factors influencing the efficacy of vegetated buffers on sediment trapping: A review and analysis. J. Environ. Qual. 2008, 37, 1667–1674. [Google Scholar] [CrossRef]
- Fatehi, I.; Amiri, B.J.; Alizadeh, A.; Adamowski, J. Modeling the relationship between catchment attributes and in-stream water quality. Water Resour. Manag. 2015, 29, 5055–5072. [Google Scholar] [CrossRef]
- Hill, A.R. Factors affecting the export of nitrate-nitrogen from drainage basins in Southern Ontario. Water Res. 1978, 12, 1045–1057. [Google Scholar] [CrossRef]
- Uuemaa, A.; Antrop, M.; Roosaare, J.; Marja, R.; Mander, Ü. Landscape metrics and indices: An overview of their use in landscape research. Living Rev. Landsc. Res. 2009, 3, 1–28. [Google Scholar] [CrossRef]
- Griffith, J. Geographic techniques and recent applications of remote sensing to landscape-water quality studies. Water Air Soil Pollut. 2002, 138, 181–197. [Google Scholar] [CrossRef]
- Ramadas, M.; Samantaray, A.K. Applications of remote sensing and GIS in water quality monitoring and remediation: A state-of-the-art review. In Water Remediation. Energy, Environment, and Sustainability, 1st ed.; Bhattacharya, S., Gupta, A., Gupta, A., Pandey, A., Eds.; Springer: Singapore, 2018; pp. 225–246. [Google Scholar]
- Jones, K.B.; Neale, A.C.; Nash, M.S.; Van Remortel, R.D.; Wickham, J.D.; Riitters, K.H.; O’Neill, R.V. Predicting nutrient and sediment loadings to streams from landscape metrics: A multiple watershed study from the United States Mid-Atlantic Region. Landsc Ecol. 2001, 16, 301–312. [Google Scholar] [CrossRef]
- Uuemaa, E.; Roosaare, J.; Mander, Ü. Landscape metrics as indicators of river water quality at catchment scale. Nord. Hydrol. 2007, 38, 125–138. [Google Scholar] [CrossRef]
- Sliva, L.; Williams, D.D. Buffer zone versus whole catchment approaches to studying land use impact on river water quality. Water Res. 2001, 35, 3462–3472. [Google Scholar] [CrossRef]
- Ou, Y.; Wang, X.; Wang, L.; Rousseau, A.N. Landscape influences on water quality in riparian buffer zone of drinking water source area, Northern China. Environ. Earth Sci. 2016, 75, 1–13. [Google Scholar] [CrossRef]
- Staponites, L.R.; Barták, V.; Bílý, M.; Simon, O.P. Performance of landscape composition metrics for predicting water quality in headwater catchments. Sci. Rep. 2019, 9, 14405. [Google Scholar] [CrossRef] [PubMed]
- Castillo, M.M. Land use and topography as predictors of nutrient levels in a tropical catchment. Limnologica 2010, 40, 322–329. [Google Scholar] [CrossRef][Green Version]
- Hu, X.; Wang, H.; Zhu, Y.; Xie, G.; Shi, H. Landscape characteristics affecting spatial patterns of water quality variation in a highly disturbed region. Int. J. Environ. Res. Public Health 2019, 16, 2149. [Google Scholar] [CrossRef]
- Huang, W.; Mao, J.; Zhu, D.; Lin, C. Impacts of land use and land cover on water quality at multiple buffer-zone scales in a Lakeside City. Water 2020, 12, 47. [Google Scholar] [CrossRef]
- Liu, Z.; Li, Y.; Li, Z. Surface water quality and land use in Wisconsin, USA—a GIS approach. J. Integr. Environ. Sci. 2009, 6, 69–89. [Google Scholar] [CrossRef]
- Medupin, C.; Bark, R.; Owusu, K. Land cover and water quality patterns in an urban river: A case study of river Medlock, Greater Manchester, UK. Water 2020, 12, 848. [Google Scholar] [CrossRef]
- Krupa, M.; Tate, K.W.; van Kessel, C.; Serwar, N.L.; Linquist, B.A. Water quality in rice-growing catchments in a Mediterranean climate. Agric. Ecosyst. Environ. 2011, 144, 290–301. [Google Scholar] [CrossRef]
- Wang, Y.; Li, Y.; Liu, X.; Liu, F.; Li, Y.; Song, L.; Li, H.; Ma, Q.; Wu, J. Relating land use patterns to stream nutrient levels in red soil agricultural catchments in subtropical central China. Environ. Sci. Pollut. Res. 2014, 21, 10481–10492. [Google Scholar] [CrossRef]
- Suchożebrski, J. A method for assessing the conditions of migration of pollutants to the groundwater on the agriculturally used lowland areas. Misc. Geogr. 2002, 10, 175–184. [Google Scholar] [CrossRef]
- Lawniczak, A.E.; Zbierska, J.; Nowak, K.; Achtenberg, K.; Grześkowiak, A.; Kanas, K. Impact of agriculture and land use on nitrate contamination in groundwater and running waters in central-west Poland. Environ. Monit. Assess. 2016, 188, 172–189. [Google Scholar] [CrossRef]
- Burzyńska, I. Monitoring of selected fertilizer nutrients in surface waters and soils of agricultural land in the river valley in Central Poland. J. Water Land Dev. 2019, 43, 41–48. [Google Scholar] [CrossRef]
- Matej-Lukowicz, K.; Wojciechowska, E.; Nawrot, N.; Dzierzbicka-Głowacka, L.A. Seasonal contributions of nutrients from small urban and agricultural watersheds in Northern Poland. PeerJ 2020, 8, e8381. [Google Scholar] [CrossRef]
- Kondracki, J. Geografa regionalna Polski, 3rd ed.; PWN: Warsaw, Poland, 2002. [Google Scholar]
- Nowakowski, E. Physiographical characteristics of Warsaw and the Mazovian Lowland. Memorabilia Zool. 1981, 34, 13–31. [Google Scholar]
- Somorowska, U.; Łaszewski, M. Human-influenced streamflow during extreme drought: Identifying driving forces, modifiers, and impacts in an urbanized catchment in Central Poland. Water Environ. J. 2017, 31, 345–352. [Google Scholar] [CrossRef]
- Wrzesiński, D. Reżimy rzek Polski. In Hydrologia Polski, 1st ed.; Jokiel, P., Marszelewski, W., Pociask-Karteczka, J., Eds.; PWN: Warsaw, Poland, 2017; pp. 215–221. [Google Scholar]
- Banach, J.; Skrzyszewska, K.; Skrzyszewski, J. Reforestation in Poland: History, current practice and future perspectives. REFORESTA 2017, 3, 185–195. [Google Scholar] [CrossRef]
- Rosina, K.; Batista e Silva, F.; Vizcaino, P.; Marín Herrera, M.; Freire, S.; Schiavina, M. Increasing the detail of European land use/cover data by combining heterogeneous data sets. Int. J. Digit. Earth 2020, 13, 602–626. [Google Scholar] [CrossRef]
- Malinowski, R.; Lewiński, S.; Rybicki, M.; Gromny, E.; Jenerowicz, M.; Krupiński, M.; Nowakowski, A.; Wojtkowski, C.; Krupiński, M.; Krätzschmar, E.; et al. Automated production of a land cover/use map of Europe based on Sentinel-2 imagery. Remote Sens. 2020, 12, 3523. [Google Scholar] [CrossRef]
- Grabowski, Z.J.; Watson, E.; Chang, H. Using spatially explicit indicators to investigate watershed characteristics and stream temperature relationships. Sci. Total Environ. 2016, 551–552, 376–386. [Google Scholar] [CrossRef]
- Clune, J.W.; Crawford, J.K.; Chappell, W.T.; Boyer, E.W. Differential effects of land use on nutrient concentrations in streams of Pennsylvania. Environ. Res. Commun. 2020, 2, 115003. [Google Scholar] [CrossRef]
- Mosley, L.M. Drought impacts on the water quality of freshwater systems: Review and integration. Earth Sci. Rev. 2015, 40, 203–214. [Google Scholar] [CrossRef]
- Martin, C.; Aquilina, L.; Gascuel-Odoux, C.; Molénat, J.; Faucheux, M.; Ruiz, L. Seasonal and interannual variations of nitrate and chloride in stream waters related to spatial and temporal patterns of groundwater concentrations in agricultural catchments. Hydrol. Process. 2004, 18, 1237–1254. [Google Scholar] [CrossRef]
- Howden, N.J.K.; Burt, T.P.; Worrall, F.; Whelan, M.J.; Bieroza, M. Nitrate concentrations and fluxes in the River Thames over 140 years (1868–2008): Are increases irreversible? Hydrol. Process. 2010, 24, 2657–2662. [Google Scholar] [CrossRef]
- Górski, J.; Dragon, K.; Kaczmarek, P.M.J. Nitrate pollution in the Warta River (Poland) between 1958 and 2016: Trends and causes. Environ. Sci. Pollut. Res. 2019, 26, 2038–2046. [Google Scholar] [CrossRef]
- Skorbiłowicz, M.; Ofman, P. Seasonal changes of nitrogen and phosphorus concentration in Supraśl. J. Ecol. Eng. 2014, 15, 26–31. [Google Scholar]
- McIsaac, G.F.; David, M.B.; Gertner, G.Z. Illinois river nitrate-nitrogen concentrations and loads: Long-term variation and association with watershed nitrogen inputs. J. Environ. Qual. 2016, 45, 1268–1275. [Google Scholar] [CrossRef]
- Birgand, F.; Skaggs, R.W.; Chescheir, G.M.; Gilliam, J.W. Nitrogen removal in streams of agricultural catchments—A literature review. Crit Rev. Environ. Sci. Technol. 2007, 37, 381–487. [Google Scholar] [CrossRef]
- Wilcock, R.J.; Scarsbrook, M.R.; Costley, K.J.; Nagels, J.W. Controlled release experiments to determine the effects of shade and plants on nutrient retention in a lowland stream. Hydrobiologia 2002, 485, 153–162. [Google Scholar] [CrossRef]
- Zheng, L.; Cardenas, M.B.; Wang, L. Temperature effects on nitrogen cycling and nitrate removal-production efficiency in bed form-induced hyporheic zones. J. Geophys. Res. Biogeosci. 2016, 121, 1086–1103. [Google Scholar] [CrossRef]
- Shrestha, A.; Green, M.B.; Boyer, J.N.; Doner, L.A. Effects of storm events on phosphorus concentrations in a forested New England stream. Water Air Soil Pollut. 2020, 231, 376. [Google Scholar] [CrossRef]
- Krasa, J.; Dostal, T.; Jachymova, B.; Bauer, M.; Devaty, J. Soil erosion as a source of sediment and phosphorus in rivers and reservoirs-Watershed analyses using WaTEM/SEDEM. Environ. Res. 2019, 171, 470–483. [Google Scholar] [CrossRef] [PubMed]
- Alewell, C.; Ringeval, B.; Ballabio, C.; Robinson, D.A.; Panagos, P.; Borrelli, P. Global phosphorus shortage will be aggravated by soil erosion. Nat. Commun. 2020, 11, 4546. [Google Scholar] [CrossRef]
- Young, K.; Morse, G.K.; Scrimshaw, M.D.; Kinniburgh, J.H.; MacLeod, C.L.; Lester, J.N. The relation between phosphorus and eutrophication in the Thames catchment, UK. Sci. Total Environ. 1999, 228, 157–183. [Google Scholar] [CrossRef]
- Hejduk, L.; Banasik, K. Zmienność stężenia fosforu w górnej części zlewni rzeki Zagożdżonki. Sci. Rev. Eng. Environ. Sci. 2008, 4, 57–64. [Google Scholar]
- Gao, L.; Li, D.; Zhang, Y. Nutrients and particulate organic matter discharged by the Changjiang (Yangtze River): Seasonal variations and temporal trends. J. Geophys. Res. 2012, 117, G04001. [Google Scholar] [CrossRef]
- Adeyemo, O.K.; Adedokun, O.A.; Yusuf, R.K.; Adeleye, E.A. Seasonal changes in physico-chemical parameters and nutrient load of river sediments in Ibadan City, Nigeria. Glob. Nest J. 2008, 10, 326–336. [Google Scholar]
- Rabee, A.M.; Abdul-Kareem, B.M.; Al-Dhamin, A.S. Seasonal variations of some ecological parameters in Tigris River water at Baghdad Region, Iraq. J. Water Resour. Prot. 2011, 3, 262–267. [Google Scholar] [CrossRef]
- Lisboa, S.M.; Schneider, R.L.; Sullivan, P.J.; Walter, M.T. Drought and post-drought rain effect on stream phosphorus and other nutrient losses in the Northeastern USA. J. Hydrol. Reg. Stud. 2020, 28, 1–18. [Google Scholar] [CrossRef]
- Johnson, L.; Richards, C.; Host, G.; Arthur, J. Landscape influences on water chemistry in Midwestern stream ecosystems. Freshw. Biol. 1997, 37, 192–208. [Google Scholar] [CrossRef]
- Arheimer, B.; Liden, R. Nitrogen and phosphorus concentrations from agricultural catchments—Influence of spatial and temporal variables. J. Hydrol. 2000, 227, 499–514. [Google Scholar] [CrossRef]
- Kebede, W.; Tefera, M.; Habitamu, T.; Alemayehu, T. Impact of land cover change on water quality and stream flow in Lake Hawassa watershed of Ethiopia. Agric. Sci. 2014, 5, 647–659. [Google Scholar] [CrossRef]
- Naiman, R.J.; Decamps, H.; McClain, M.E.R. Riparia: Ecology, Conservation and Management of Streamside Communities, 1st ed.; Elsevier: San Diego, CA, USA, 2005. [Google Scholar]
- Wenger, S. A Review of the Scientific Literature on Riparian Buffer Width, Extent and Vegetation, 1st ed.; Office of Public Service & Outreach: Athens, OH, USA, 1999. [Google Scholar]
- Bicalho, S.T.T.; Langenbach, T.; Rodrigues, R.R.; Correia, F.V.; Hagler, N.A.; Matallo, M.B.; Luchini, L.C. Herbicide distribution in soils of a riparian forest and neighbouring sugar cane field. Geoderma 2010, 158, 392–397. [Google Scholar] [CrossRef]
- Lewis, C.; Rafique, R.; Foley, N.; Leahy, P.; Morgan, G.; Albertson, J.; Kumar, S.; Kiely, G. Seasonal exports of phosphorus from intensively fertilised nested grassland catchments. J. Environ. Sci. 2013, 25, 1847–1857. [Google Scholar] [CrossRef]
- Ślązek, M. Analysis of evapotranspiration in the catchment of the Nurzec River, Poland using MODIS data. Misc. Geogr. 2014, 18, 44–51. [Google Scholar] [CrossRef]
- Sprague, L.A. Drought effects on water quality in the South Platte River Basin, Colorado. J. Am. Water Resour. Assoc. 2005, 41, 11–24. [Google Scholar] [CrossRef]
- Weigelhofer, G.; Hein, T.; Bondar-Kunze, E. Phosphorus and nitrogen dynamics in riverine systems: Human impacts and management options. In Riverine Ecosystem Management. Aquatic Ecology Series, 1st ed.; Schmutz, S., Sendzimir, J., Eds.; Springer: Cham, Switzerland, 2018; Volume 8, pp. 187–202. [Google Scholar]
- Bastias, E.; Ribot, M.; Romani, A.M.; Mora-Gómez, J.; Sabater, F.; López, P.; Martí, E. Responses of microbially driven leaf litter decomposition to stream nutrients depend on litter quality. Hydrobiologia 2018, 806, 333–346. [Google Scholar] [CrossRef]
- Ding, J.; Jiang, Y.; Liu, Q.; Hou, Z.; Liao, J.; Fu, L.; Peng, Q. Influences of the land use pattern on water quality in low-order streams of the Dongjiang River basin, China: A multi-scale analysis. Sci. Total Environ. 2016, 551–552, 205–216. [Google Scholar] [CrossRef] [PubMed]
- Li, K.; Chi, G.; Wang, L.; Xie, Y.; Wang, X.; Fan, Z. Identifying the critical riparian buffer zone with the strongest linkage between landscape characteristics and surface water quality. Ecol. Indic. 2018, 93, 741–752. [Google Scholar] [CrossRef]
- Sweeney, B.W.; Newbold, J.D. Streamside forest buffer width needed to protect stream water quality, habitat, and organisms: A literature review. J. Am. Water Resour. Assoc. 2014, 50, 560–584. [Google Scholar] [CrossRef]
- Burdon, F.J.; Ramberg, E.; Sargac, J.; Forio, M.A.E.; de Saeyer, N.; Mutinova, P.T.; Moe, T.F.; Pavelescu, M.O.; Dinu, V.; Cazacu, C.; et al. Assessing the benefits of forested riparian zones: A qualitative index of riparian integrity is positively associated with ecological status in European streams. Water 2020, 12, 1178. [Google Scholar] [CrossRef]
- Jouany, C.; Cruz, P.; Daufresne, T.; Duru, M. Biological phosphorus cycling in grasslands: Interactions with nitrogen. In Phosphorus in Action. Biological Processes in Soil Phosphorus Cycling, 1st ed.; Bünemann, E.K., Oberson, A., Frossard, E., Eds.; Springer: Berlin/Heidelberg, Germany, 2011; Volume 26, pp. 275–294. [Google Scholar]
- Ryden, J.; Ball, P.; Garwood, E. Nitrate leaching from grassland. Nature 1984, 311, 50–53. [Google Scholar] [CrossRef]
- Peterson, E.E.; Sheldon, F.; Darnell, R.; Bunn, S.E.; Harch, B.D. A comparison of spatially explicit landscape representation methods and their relationship to stream condition. Freshw. Biol. 2011, 56, 590–610. [Google Scholar] [CrossRef]
- Xu, Q.; Wang, P.; Shu, W.; Ding, M.; Zhang, H. Influence of landscape structures on river water quality at multiple spatial scales: A case study of the Yuan river watershed, China. Ecol. Indic. 2021, 121, 107226. [Google Scholar] [CrossRef]
- Northcote, T.G. Potamodromy in Salmonidae—living and moving in the fast lane. N. Am. J. Fish. Manag. 1997, 17, 1029–1045. [Google Scholar] [CrossRef]
- Brönmark, C.; Hulthén, K.; Nilsson, P.A.; Skov, C.; Hansson, L.-A.; Brodersen, J.; Chapman, B.B. There and back again: Migration in freshwater fishes. Can. J. Zool. 2014, 92, 467–479. [Google Scholar] [CrossRef]






| Land Cover Type | CLC 2018 Classes and Definitions | S2GLC Classes and Definitions |
|---|---|---|
| Agricultural lands | 2.1.1. Non-irrigated arable land—Cultivated land parcels under rainfed agricultural use for annually harvested non-permanent crops, normally under a crop rotation system, including fallow lands within such crop rotation. | Cultivated areas—areas managed by humans that include non-irrigated and irrigated arable land with different crops, and land under rice cultivation. It also includes temporary bare soils (e.g., fallow lands). |
| Meadows | 2.3.1. Pastures, meadows, and other permanent grasslands under agricultural use—permanent grassland characterized by agricultural use or strong human disturbance. Floral composition dominated by graminacea and influenced by human activity. Typically used for grazing-pastures, or mechanical harvesting of grass–meadows. | Herbaceous vegetation—land covered by herbaceous vegetation, including both natural, low productivity grassland and managed grassland, used for grazing and/ or mowing. |
| Forests | 3.1.1. Broad-leaved forest—vegetation formation composed principally of trees, including shrub and bush understory, where broad-leaved species predominate. 3.1.2. Coniferous forest—vegetation formation composed principally of trees, including shrub and bush understory, where coniferous species predominate. 3.2.4. Transitional woodland/shrub— transitional bushy and herbaceous vegetation with occasional scattered trees. Can represent woodland degradation, forest regeneration/recolonization or natural succession. | Broadleaf tree cover—land covered with broadleaved tree canopy that loses leaves seasonally, regardless of the plant height. Coniferous tree cover—land covered with needle-leaved tree canopy that do not lose needles seasonally, regardless of the plant height. |
| Stream | Site | A (km2) | M (%) | CLC AL (%) | CLCMD (%) | CLC FR (%) | S2GLC AL (%) | S2GLC MD (%) | S2GLC FR (%) | MN DO (%) | SD DO (%) | MN CON (µS/cm) | SD CON (µS/cm) |
|---|---|---|---|---|---|---|---|---|---|---|---|---|---|
| Parysów Stream | T1 | 23.7 | 60 | 39.2 | 17.8 | 33.6 | 22.2 | 35.6 | 31.6 | 59 | 16 | 473 | 64 |
| Stodzew Stream | T2 | 6.3 | 15 | 62.3 | 5.0 | 28.5 | 44.1 | 20.3 | 29.1 | 65 | 13 | 363 | 44 |
| Sienniczanka | T3 | 20.7 | 70 | 47.4 | 9.8 | 36.5 | 29.0 | 25.6 | 40.4 | 88 | 11 | 416 | 67 |
| Pogorzel Stream | T4 | 12.1 | 35 | 33.7 | 2.7 | 57.9 | 13.0 | 19.7 | 55.1 | 46 | 12 | 413 | 34 |
| Żaków Stream | T5 | 9.3 | 80 | 68.6 | 16.3 | 8.0 | 49.4 | 33.2 | 14.1 | 97 | 15 | 395 | 34 |
| Struga | T6 | 20.4 | 45 | 65.4 | 3.1 | 21.8 | 35.2 | 31.8 | 24.3 | 84 | 11 | 265 | 55 |
| Żelazna Stream | T7 | 3.7 | 85 | 85.6 | 0.0 | 14.0 | 51.7 | 27.1 | 16.2 | 76 | 17 | 262 | 36 |
| Kalonka Stream | T8 | 6.3 | 15 | 59.6 | 13.7 | 19.8 | 26.5 | 41.2 | 26.0 | 46 | 8 | 189 | 20 |
| Bolechówek Stream | T9 | 7.1 | 50 | 86.5 | 0.3 | 12.1 | 54.2 | 29.1 | 12.6 | 66 | 13 | 390 | 58 |
| Karpiska Stream | T10 | 8.2 | 40 | 30.9 | 0.0 | 61.8 | 17.4 | 11.9 | 59.6 | 46 | 9 | 531 | 70 |
| Chełst Stream | T11 | 12.3 | 5 | 42.2 | 11.3 | 41.8 | 16.2 | 30.1 | 40.2 | 67 | 11 | 412 | 41 |
| Ostrowik Stream | T12 | 5.4 | 5 | 37.2 | 6.8 | 55.2 | 5.4 | 22.8 | 58.2 | 72 | 12 | 209 | 21 |
| Rzakta Stream | T13 | 4.9 | 40 | 82.6 | 0.0 | 11.6 | 45.5 | 34.6 | 11.6 | 92 | 8 | 430 | 69 |
| Glinianka Stream | T14 | 3.7 | 25 | 70.0 | 5.9 | 19.8 | 33.7 | 34.0 | 22.2 | 70 | 14 | 455 | 65 |
| Parameter | T1 | T2 | T3 | T4 | T5 | T6 | T7 | T8 | T9 | T10 | T11 | T12 | T13 | T14 |
|---|---|---|---|---|---|---|---|---|---|---|---|---|---|---|
| Mean N-NO3 | 1.04 | 3.10 | 3.18 | 0.59 | 1.87 | 1.36 | 3.11 | 1.64 | 3.47 | 1.51 | 0.35 | 0.63 | 2.11 | 4.72 |
| SD N-NO3 | 0.97 | 3.56 | 2.25 | 0.85 | 2.51 | 1.40 | 3.21 | 0.87 | 5.40 | 2.10 | 0.25 | 0.34 | 3.96 | 3.56 |
| Mean P-PO4 | 1.22 | 1.48 | 0.70 | 0.59 | 0.88 | 0.64 | 0.75 | 0.85 | 1.22 | 1.71 | 1.02 | 1.20 | 1.44 | 1.12 |
| SD P-PO4 | 1.00 | 1.89 | 0.82 | 0.90 | 0.79 | 0.68 | 0.69 | 0.91 | 0.92 | 1.77 | 0.67 | 0.70 | 1.21 | 0.82 |
| Land Cover Type | Metrics | N-NO3 CLC | N-NO3 S2GLC | P-PO4 CLC | P-PO4 S2GLC |
|---|---|---|---|---|---|
| Agricultural lands | T | 0.73 * | 0.75 * | –0.01 | 0.08 |
| 100 | 0.71 * | 0.71 * | 0.32 | 0.22 | |
| 250 | 0.82 * | 0.76 * | 0.18 | 0.11 | |
| 500 | 0.76 * | 0.82 * | 0.10 | 0.12 | |
| ED_T | 0.82 * | 0.76 * | 0.19 | 0.13 | |
| ED_100 | 0.72 * | 0.68 * | 0.34 | 0.17 | |
| ED_250 | 0.79 * | 0.71 * | 0.23 | 0.22 | |
| ED_500 | 0.81 * | 0.76 * | 0.15 | 0.13 | |
| Meadows | T | –0.26 | 012 | –0.18 | –0.05 |
| 100 | –0.26 | 0.51 | –0.47 | –0.32 | |
| 250 | –0.25 | 0.38 | –0.42 | –0.26 | |
| 500 | –0.28 | 0.16 | –0.33 | –0.19 | |
| ED_T | –0.21 | 0.36 | –0.32 | –0.3 | |
| ED_100 | –0.33 | 0.51 | –0.17 | –0.32 | |
| ED_250 | –0.25 | 0.39 | –0.42 | –0.33 | |
| ED_500 | –0.19 | 0.34 | –0.41 | –0.26 | |
| Forests | T | –0.59 * | –0.57 * | –0.01 | –0.03 |
| 100 | –0.74 * | –0.71 * | 0.17 | 0.02 | |
| 250 | –0.66 * | –0.72 * | 0.22 | –0.02 | |
| 500 | –0.68 * | –0.68 * | 0.07 | –0.07 | |
| ED_T | –0.73 * | –0.67 * | 0.07 | 0.04 | |
| ED_100 | –0.75 * | –0.73 * | 0.19 | 0.02 | |
| ED_250 | –0.72 * | –0.73 * | 0.20 | –0.03 | |
| ED_500 | –0.70 * | –0.68 * | 0.22 | –0.02 |
Publisher’s Note: MDPI stays neutral with regard to jurisdictional claims in published maps and institutional affiliations. |
© 2021 by the authors. Licensee MDPI, Basel, Switzerland. This article is an open access article distributed under the terms and conditions of the Creative Commons Attribution (CC BY) license (http://creativecommons.org/licenses/by/4.0/).
Share and Cite
Łaszewski, M.; Fedorczyk, M.; Gołaszewska, S.; Kieliszek, Z.; Maciejewska, P.; Miksa, J.; Zacharkiewicz, W. Land Cover Effects on Selected Nutrient Compounds in Small Lowland Agricultural Catchments. Land 2021, 10, 182. https://doi.org/10.3390/land10020182
Łaszewski M, Fedorczyk M, Gołaszewska S, Kieliszek Z, Maciejewska P, Miksa J, Zacharkiewicz W. Land Cover Effects on Selected Nutrient Compounds in Small Lowland Agricultural Catchments. Land. 2021; 10(2):182. https://doi.org/10.3390/land10020182
Chicago/Turabian StyleŁaszewski, Maksym, Michał Fedorczyk, Sylwia Gołaszewska, Zuzanna Kieliszek, Paulina Maciejewska, Jakub Miksa, and Wiktoria Zacharkiewicz. 2021. "Land Cover Effects on Selected Nutrient Compounds in Small Lowland Agricultural Catchments" Land 10, no. 2: 182. https://doi.org/10.3390/land10020182
APA StyleŁaszewski, M., Fedorczyk, M., Gołaszewska, S., Kieliszek, Z., Maciejewska, P., Miksa, J., & Zacharkiewicz, W. (2021). Land Cover Effects on Selected Nutrient Compounds in Small Lowland Agricultural Catchments. Land, 10(2), 182. https://doi.org/10.3390/land10020182

