Factors Affecting the Long-Term Development of Specialized Agricultural Villages North and South of Huai River
Abstract
1. Introduction
2. Study Area and Method
2.1. Study Area
- (1)
- The Qinling-Huai River line roughly coincides with the zero-degree line of average temperature in January, which makes the area north of the Huai River more susceptible to winter frost, while the south is protected by hills and mountains. This leads to differences in accumulative temperature between the north and the south, which translates to differences in crop types.
- (2)
- The Qinling-Huai River line also roughly coincides with the annual precipitation line of 800 mm, which divides the province into wet and dry regions. The north of the Huai River is semi-humid while the south is humid, which leads to the dry-field cultivation type in the north (mainly winter wheat Triticum aestivum, and summer maize Zea mays) and the water-field cultivation type in the south (mainly rice, Oryza sativa).

2.2. Quantifying the Long-Term Development of SAVs
2.3. Defining the Factors and the Underlying Variables
2.4. Methodology
2.4.1. Kernel Density Estimation
2.4.2. Random Forest Regression Model
3. Results
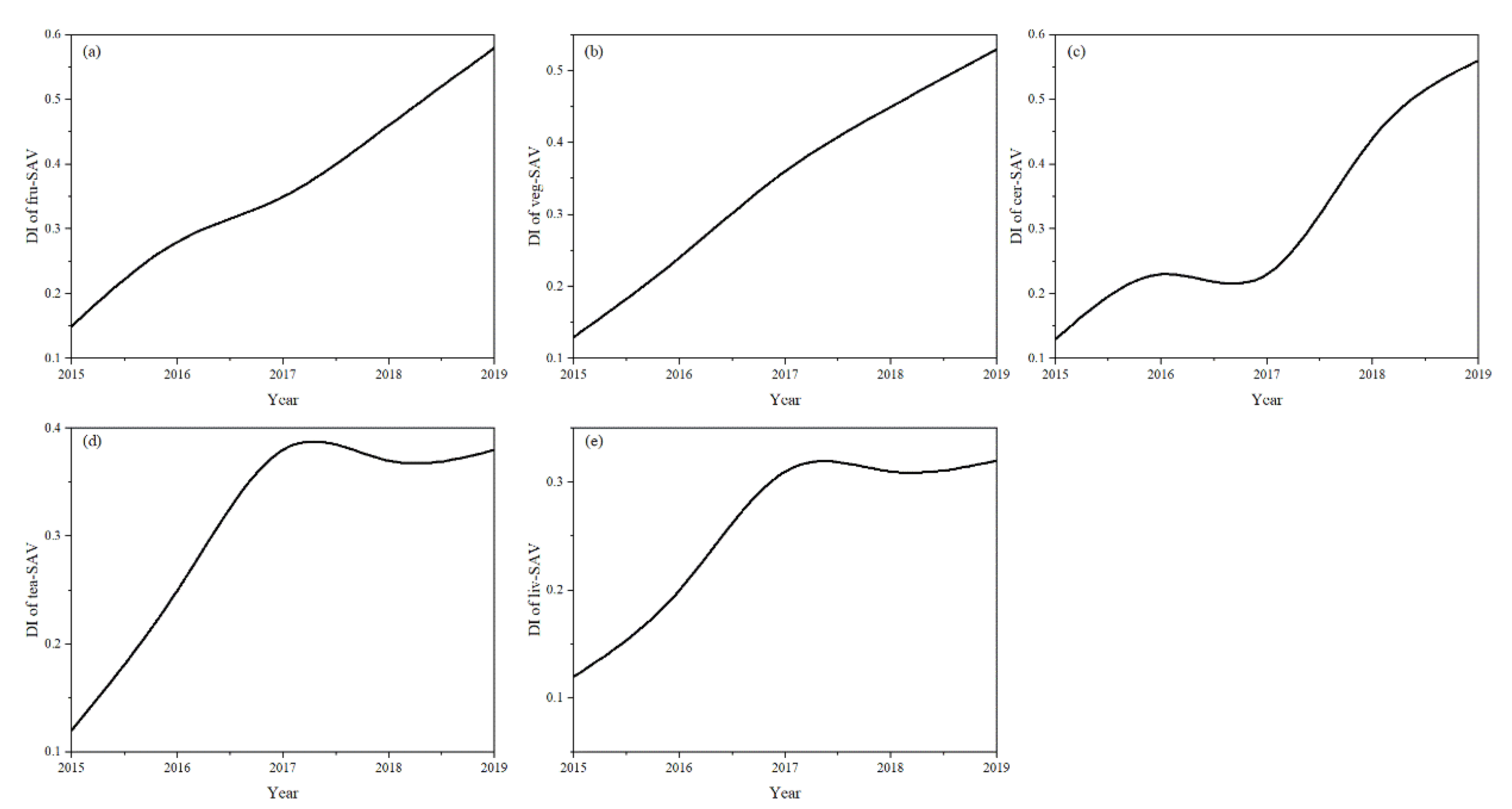
3.1. Changing Patterns of SAV Development
3.2. The Spatial Distribution of Long-Term SAVs
3.3. Factors Accounting for the Spatial–Temporal Variations in SAV Development
4. Discussion
4.1. Factors Accounting for the Spatial–Temporal Variations in SAV Development
4.2. Similarities and Differences of Influencing Factors North and South of Huai River
4.3. Policies for Promoting SAV Development
5. Conclusions
Author Contributions
Funding
Data Availability Statement
Conflicts of Interest
References
- Abson, D.J. Agroecosystem Diversity; Academic Press: Cambridge, MA, USA, 2019; pp. 301–315. [Google Scholar]
- Lambin, E.F.; Meyfroidt, P. Global land use change, economic globalization, and the looming land scarcity. Proc. Natl. Acad. Sci. USA 2011, 108, 3465–3472. [Google Scholar] [CrossRef] [PubMed]
- Klasen, S.; Meyer, K.M.; Dislich, C.; Euler, M.; Faust, H.; Gatto, M.; Hettig, E.; Melati, D.N.; Jaya, I.N.S.; Otten, F.; et al. Economic and ecological trade-offs of agricultural specialization at different spatial scales. Ecol. Econ. 2016, 122, 111–120. [Google Scholar] [CrossRef]
- Boody, G.; Vondracek, B.; Andow, D.A.; Krinke, M.; Westra, J.; Zimmerman, J.; Welle, P. Multifunctional agriculture in the United States. BioScience 2005, 55, 27–38. [Google Scholar] [CrossRef]
- Lsao, F. Lessons from abroad in rural community revitalization: The one village, one product movement in Japan. Community Dev. J. 1992, 27, 10–20. [Google Scholar]
- Kang, D.C. Bad loans to good friends: Money politics and the developmental state in South Korea. Int. Organ. 2002, 56, 177–207. [Google Scholar] [CrossRef]
- Chidumu, J.I. The Mpact of “One Village One Product (OVOP)” on Household Income—Implications on Food Security: The Case of Bvumbwe Operation Area, Thyolo District, Malawi. Master’s Thesis, Ergerton University, Jorro, Kenyan, 2007. [Google Scholar]
- Fujita, M. Economic Development Capitalizing on Brand Agriculture: Turning Development Strategy on Its Head (No. 76); Institute of Developing Economies, Japan External Trade Organization: Tokyo, Japan, 2006.
- Lowder, S.K.; Sánchez, M.V.; Bertini, R. Which farms feed the world and has farmland become more concentrated? World Dev. 2021, 142, 105455. [Google Scholar] [CrossRef]
- Fei, X. Globalization and Cultural Self-Awareness; Springer: Berlin/Heidelberg, Germany, 2015; pp. 100–111. [Google Scholar]
- Li, X.; Ye, X.; Zhou, X.; Zheng, C.; Leipnik, M.; Lou, F. Specialized villages in inland China: Spatial and developmental issues. Sustainability 2018, 10, 2994. [Google Scholar] [CrossRef]
- Kettl, D.F. The job of government: Interweaving public functions and private hands. Public Admin. Rev. 2015, 75, 219–229. [Google Scholar] [CrossRef]
- Kasabov, E. Investigating difficulties and failure in early-stage rural cooperatives through a social capital lens. Eur. Urban Reg. Stud. 2016, 23, 895–916. [Google Scholar] [CrossRef]
- Mussina, K.; Dulatbekova, Z.; Baimbetova, A.; Podsukhina, O.; Lemanowicz, M. The current state and prospects for the development of Akmola region as a tourism destination. J. Environ. Manag. 2019, 10, 1934–1946. [Google Scholar]
- Bellandi, M.; Di Tommaso, M.R. The case of specialized towns in Guangdong, China. Eur. Plan Stud. 2005, 13, 707–729. [Google Scholar] [CrossRef]
- Marac. Reply to Recommendation No. 3421 of the Fifth Session of the Twelfth National People’s Congress. Available online: http://www.moa.gov.cn/gk/jyta/201710/t20171017_5842497.htm (accessed on 18 October 2017).
- Wu, N.; Li, L.; Li, E.; Li, X. The spatial continuity of specialized plantation: A case study of raspberry farm in Fengqiu county, Henan province. Sci. Geogr. Sin. 2018, 38, 428–436. (In Chinese) [Google Scholar]
- Wang, Y.; Hu, X.; Jin, G.; Hou, Z.; Ning, J.; Zhang, Z. Rapid prediction of chlorophylls and carotenoids content in tea leaves under different levels of nitrogen application based on hyperspectral imaging. J. Sci. Food Agric. 2019, 99, 1997–2004. [Google Scholar] [CrossRef] [PubMed]
- Michalek, J.; Zarnekow, N. Application of the rural development index to analysis of rural regions in Poland and Slovakia. Soc. Indic. Res. 2012, 105, 1–37. [Google Scholar] [CrossRef]
- Pater, R.; Harasym, R.; Skica, T. Index of regional economic development. Some considerations and the case of Poland. Stud. Reg. Lokal. 2015, 59, 54–85. [Google Scholar]
- Gudjonsson, G. An easy guide to factor analysis. Personal. Indiv. Differ. 1994, 17, 302. [Google Scholar] [CrossRef]
- Cao, Z.; Liu, Y.; Li, Y.; Wang, Y. Spatial pattern and its influencing factors of specialized villages and towns in China. Acta Geogr. Sin. 2020, 75, 1647–1666. (In Chinese) [Google Scholar]
- Botev, Z.I.; Grotowski, J.F.; Kroese, D.P. Kernel density estimation via diffusion. Ann. Stat. 2010, 38, 2916–2957. [Google Scholar] [CrossRef]
- Brunsdon, C. Estimating probability surfaces for geographical point data: An adaptive kernel algorithm. Comput. Geosci. 1995, 21, 877–894. [Google Scholar] [CrossRef]
- Han, D.; Rogerson, P.A.; Bonner, M.R.; Nie, J.; Vena, J.E.; Muti, P.; Trevisan, M.; Freudenheim, J.L. Assessing spatio-temporal variability of risk surfaces using residential history data in a case control study of breast cancer. Int. J. Health Geogr. 2005, 4, 1–10. [Google Scholar] [CrossRef] [PubMed][Green Version]
- Liaw, A.; Wiener, M. Classification and regression by Random Forest. R News 2002, 2, 18–22. [Google Scholar]
- Ye, T.; Zhao, N.; Yang, X.; Ouyang, Z.; Liu, X.; Chen, Q.; Hu, K.; Yue, W.; Qi, J.; Li, Z. Improved population mapping for China using remotely sensed and points-of-interest data within a random forests model. Sci. Total Environ. 2019, 658, 936–946. [Google Scholar] [CrossRef] [PubMed]
- Liu, Y.; Cao, G.; Zhao, N.; Mulligan, K.; Ye, X. Improve ground-level PM2. 5 concentration mapping using a random forests-based geostatistical approach. Environ. Pollut. 2018, 235, 272–282. [Google Scholar] [CrossRef] [PubMed]
- Pedregosa, F.; Varoquaux, G.; Gramfort, A.; Michel, V.; Thirion, B.; Grisel, O.; Blondel, M.; Prettenhofer, P.; Weiss, R.; Dubourg, V. Scikit-learn: Machine learning in Python. J. Mach. Learn. Res. 2011, 12, 2825–2830. [Google Scholar]
- Li, X.; Zhou, X.; Zheng, C. Geography and economic development in rural China: A township level study in Henan province, China. Acta Geogr. Sin. 2008, 63, 147–155. (In Chinese) [Google Scholar]





| DIfru | DIveg | DIcer | |||||||||||||
| Coefficient | 2015 | 2016 | 2017 | 2018 | 2019 | 2015 | 2016 | 2017 | 2018 | 2019 | 2015 | 2016 | 2017 | 2018 | 2019 |
| a | 0.62 | 0.71 | 0.82 | 0.49 | 0.51 | 0.63 | 0.34 | 0.41 | 0.78 | 0.65 | 0.2 | 0.65 | 0.11 | 0.2 | 0.12 |
| b | 0.13 | 0.34 | 0.27 | 0.51 | 0.4 | 0.2 | 0.83 | 0.33 | 0.43 | 0.23 | 0.71 | 0.21 | 0.81 | 0.72 | 0.74 |
| c | 0.28 | 0.35 | 0.15 | 0.21 | 0.15 | 0.31 | 0.12 | 0.81 | 0.32 | 0.32 | 0.23 | 0.32 | 0.26 | 0.25 | 0.21 |
| DItea | DIliv | ||||||||||||||
| Coefficient | 2015 | 2016 | 2017 | 2018 | 2019 | 2015 | 2016 | 2017 | 2018 | 2019 | |||||
| a | 0.33 | 0.25 | 0.1 | 0.15 | 0.75 | 0.2 | 0.34 | 0.25 | 0.36 | 0.56 | |||||
| b | 0.21 | 0.35 | 0.25 | 0.24 | 0.34 | 0.26 | 0.29 | 0.37 | 0.25 | 0.41 | |||||
| c | 0.63 | 0.68 | 0.81 | 0.76 | 0.15 | 0.85 | 0.76 | 0.71 | 0.68 | 0.74 | |||||
| First-Order Index | Second-Order Variable |
|---|---|
| Terrain | Elevation value *, slope value * |
| Resource | Spatial distance from SAVs to rive *, precipitation *, soil quality grade * |
| Location | The road network distance from SAVs to road network *, the road network distance from SAVs to county *, the road network distance from SAVs to city, the road network distance from SAVs to the highway intersection * |
| Market | County urbanization population *, prefecture-level urban population, county urbanization rate *, prefecture-level urbanization rate, the disposable income of urban residents in the county * |
| Economy | Gross production value of county *, gross production value of the city, the number of agricultural enterprises in the county *, the number of agricultural enterprises in prefecture-level cities |
Publisher’s Note: MDPI stays neutral with regard to jurisdictional claims in published maps and institutional affiliations. |
© 2021 by the authors. Licensee MDPI, Basel, Switzerland. This article is an open access article distributed under the terms and conditions of the Creative Commons Attribution (CC BY) license (https://creativecommons.org/licenses/by/4.0/).
Share and Cite
Li, L.; Niu, N.; Li, X. Factors Affecting the Long-Term Development of Specialized Agricultural Villages North and South of Huai River. Land 2021, 10, 1215. https://doi.org/10.3390/land10111215
Li L, Niu N, Li X. Factors Affecting the Long-Term Development of Specialized Agricultural Villages North and South of Huai River. Land. 2021; 10(11):1215. https://doi.org/10.3390/land10111215
Chicago/Turabian StyleLi, Li, Ning Niu, and Xiaojian Li. 2021. "Factors Affecting the Long-Term Development of Specialized Agricultural Villages North and South of Huai River" Land 10, no. 11: 1215. https://doi.org/10.3390/land10111215
APA StyleLi, L., Niu, N., & Li, X. (2021). Factors Affecting the Long-Term Development of Specialized Agricultural Villages North and South of Huai River. Land, 10(11), 1215. https://doi.org/10.3390/land10111215
