Assessment of the Effect of Six Methods of Analysis and Different Sample Sizes for Biomass Estimation in Grasslands of the State of Puebla, Mexico
Abstract
1. Introduction
2. Materials and Methods
2.1. Study Area
2.2. Sampling Design
2.3. Analysis Used
2.4. Generation of an Artificial Population
3. Results
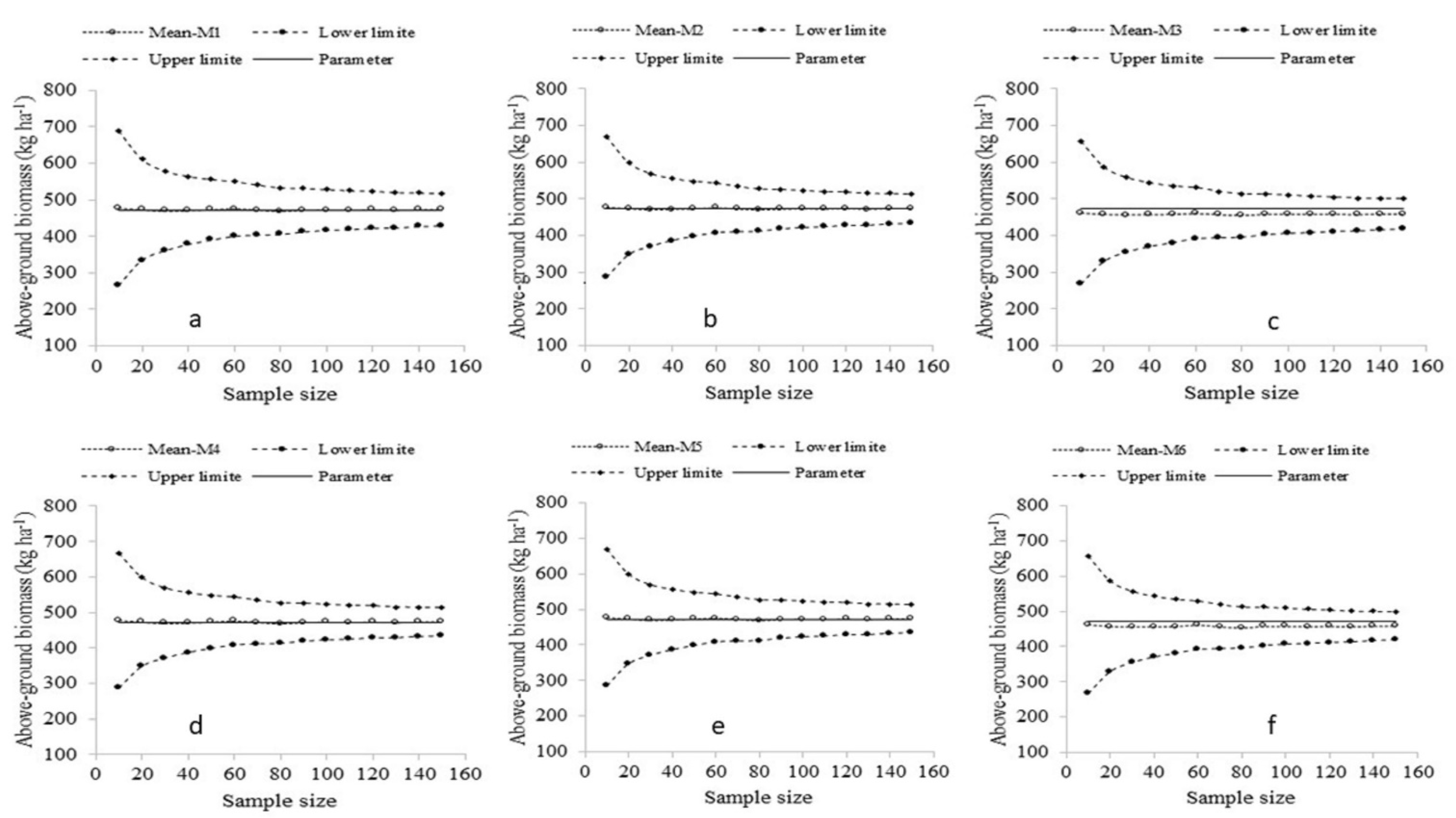
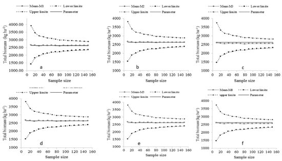
3.1. Aboveground Biomass Estimations
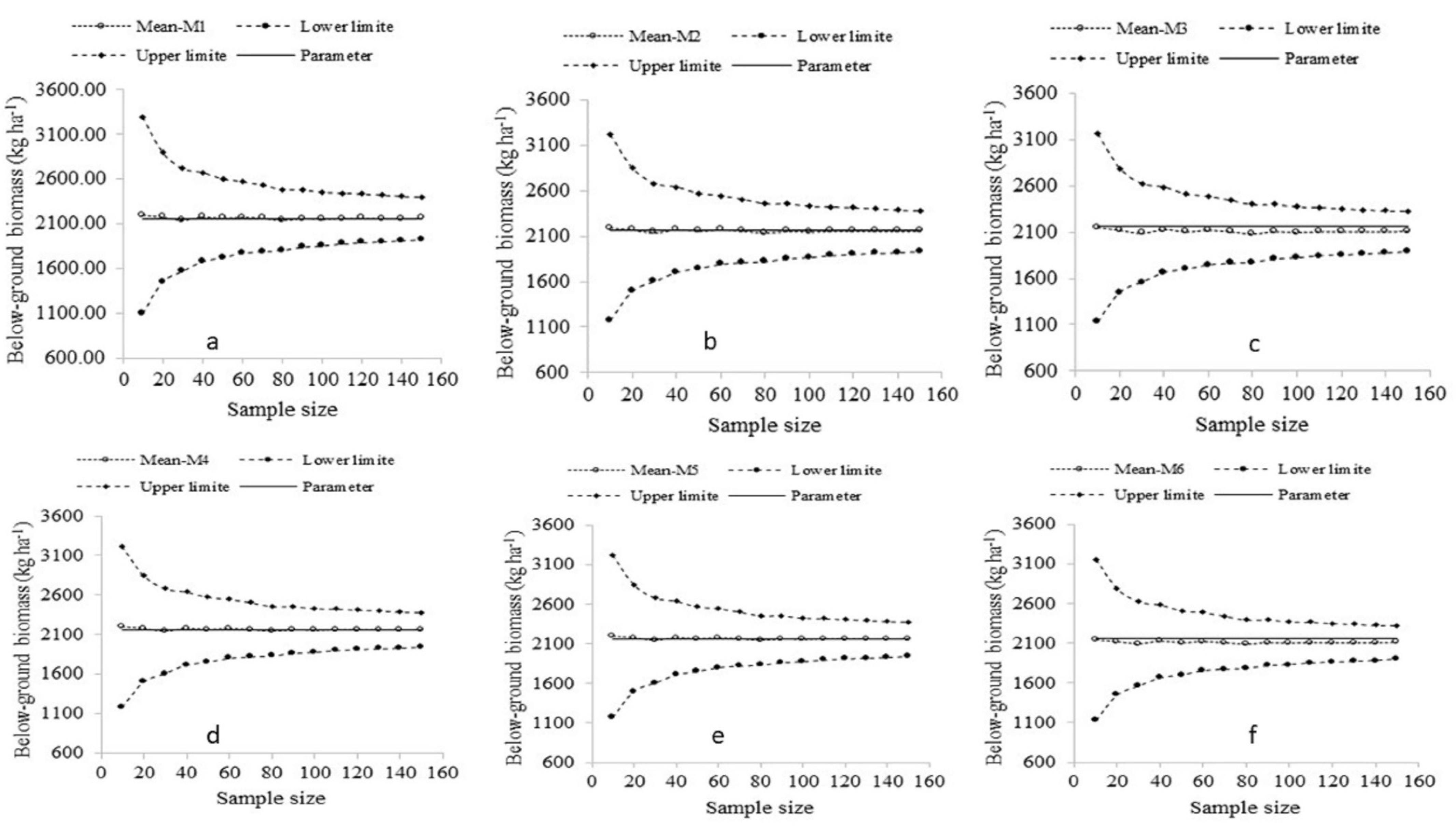
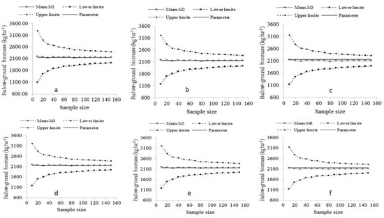
Belowground Biomass Estimations
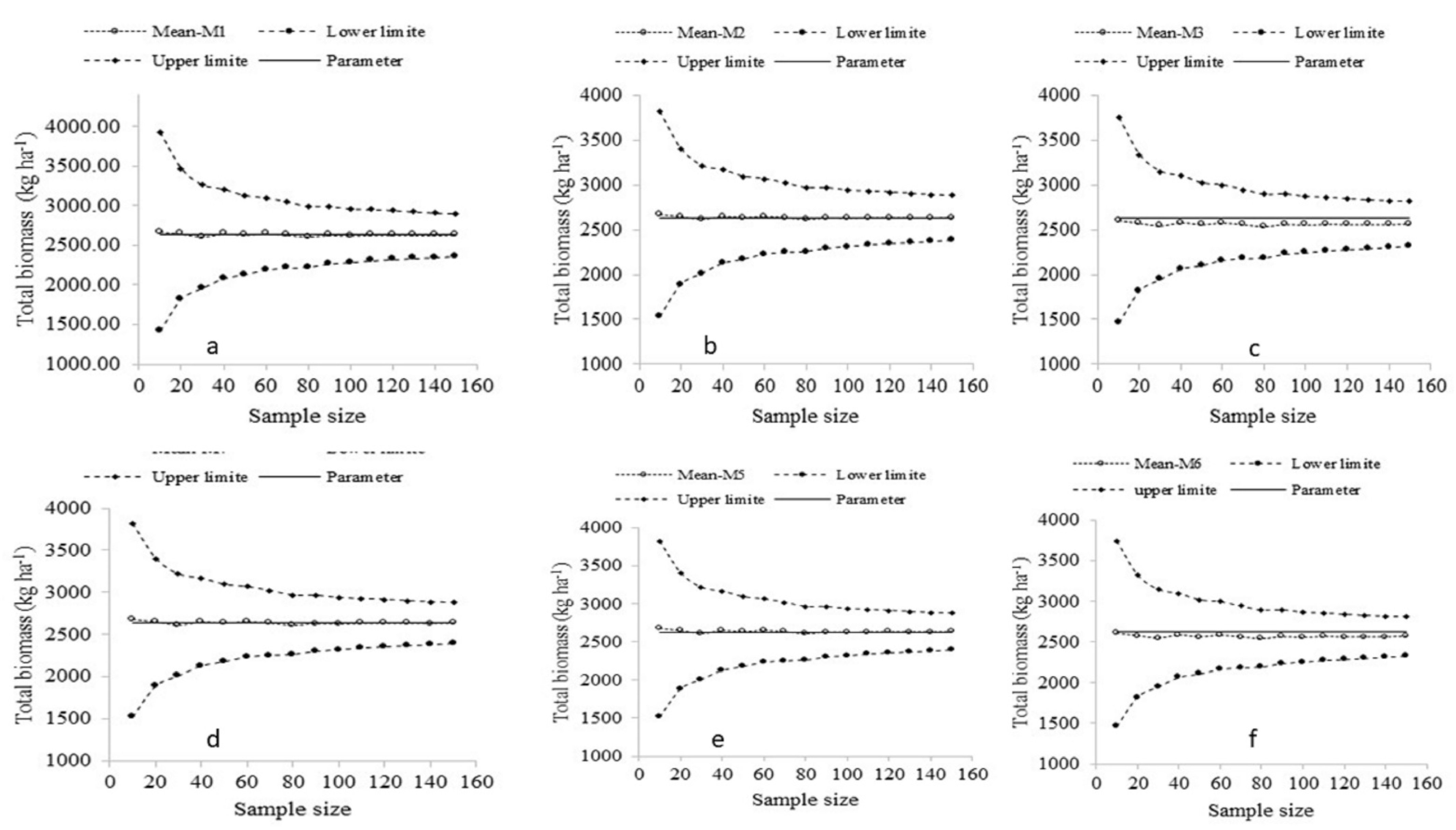
3.2. Total Biomass Estimation
4. Discussion
5. Conclusions
Author Contributions
Funding
Institutional Review Board Statement
Data Availability Statement
Acknowledgments
Conflicts of Interest
Appendix A
- Method 1.
- Unbiased estimator and PSU of different sizes (two-stage sampling)
- 1.1.
- Unbiased estimator for biomass: SSU level (plot)where can be estimated by and identifies the estimator by method 1:where:
- 1.2.
- Unbiased estimator for aboveground biomass: PSU level (hectare)
- 1.3.
- Unbiased estimator for belowground biomass: SSU level (plot)where:
- 1.4.
- Unbiased estimator for belowground biomass: PSU level (hectare)
- 1.5.
- Unbiased estimator for total biomass (aboveground + belowground): PSU level (hectare)where:
- Method 2.
- Ratio estimator and PSU of different sizes (two-stage sampling)
- 2.1.
- Unbiased estimator for biomass: SSU level (plot)where identifies the estimator by method 2:where:
- 2.2.
- Ratio estimator for aboveground biomass: PSU level (hectare)
- 2.3.
- Ratio estimator for belowground biomass: SSU level (plot)
- 2.4.
- Ratio estimator for belowground biomass: PSU level (hectare)
- 2.5.
- Ratio estimator for total biomass (above and belowground): PSU (hectare)where:
- Method 3.
- Simple mean estimator and PSU of different sizes (two-stage sampling)
- 3.1.
- Mean estimator for aboveground biomass: (plot)where identifies the estimator by method 3:
- 3.2.
- Mean estimator for aboveground biomass: PSU level (hectare)
- 3.3.
- Mean estimator for belowground biomass: SSU (plot)
- 3.4.
- Mean estimator for belowground biomass: PSU (hectare)
- 3.5.
- Mean estimator for total biomass: PSU (hectare)where:
- Method 4.
- Ratio estimator and PSU of different sizes (one-stage sampling)
- 4.1.
- Ratio estimator for aboveground biomass: PSU (hectare)where identifies the estimator by method 4:where
- 4.2.
- Ratio estimator for belowground biomass: PSU (hectare)
- 4.3.
- Ratio estimator for total biomass (above and belowground): PSU (hectare)where:
- Method 5.
- VAN DEUSEN estimator and PSU of different sizes (one-stage sampling)
- 5.1.
- VAN DEUSEN estimator for aboveground biomass: PSU (hectare)where identifies the estimator by method 5:
- 5.2.
- VAN DEUSEN estimator for belowground biomass: PSU (hectare)
- 5.3.
- VAN DEUSEN estimator for total biomass (above and belowground): PSU level (hectare)where:
- Method 6.
- Mean ratio estimator and PSU of different sizes (one-stage sampling)
- 6.1.
- Mean ratio estimator for aboveground biomass: PSU level (hectare)where identifies the estimator by method 6:
- 6.2.
- Mean ratio estimator for belowground biomass: PSU (hectare)
- 6.3.
- Mean ratio estimator for total biomass: PSU level (hectare)
Appendix B. Estimator’s Equivalence for Aboveground Biomass
Appendix C. Estimator’s Equivalence for Belowground Biomass
References
- Arieira, J.; Karssenberg, D.; de Jong, S.M.; Addink, E.A.; Couto, E.G.; da Cunha, C.N.; Skøien, J.O. Integrating field sampling, geostatistics and remote sensing to map wetland vegetation in the Pantanal, Brazil. Biogeosciences 2011, 8, 667–686. [Google Scholar] [CrossRef]
- Barabesi, L.; Pisani, C. Steady-state ranked set sampling for replicated environmental sampling designs. Environmetrics 2004, 15, 45–56. [Google Scholar] [CrossRef]
- Magnussen, S.; Næsset, E.; Gobakken, T. An Estimator of Variance for Two-Stage Ratio Regression Estimators. For. Sci. 2014, 60, 663–676. [Google Scholar] [CrossRef]
- Mandallaz, D.; Massey, A. Comparison of estimators in one-phase two-stage Poisson sampling in forest inventories. Can. J. For. Res. 2012, 42, 1865–1871. [Google Scholar] [CrossRef]
- McRoberts, R.E.; Walters, B.F. Statistical inference for remote sensing-based estimates of net deforestation. Remote Sens. Environ. 2012, 124, 394–401. [Google Scholar] [CrossRef]
- Breidt, F.J.; Opsomer, J.D. Model-Assisted Survey Estimation with Modern Prediction Techniques. Stat. Sci. 2017, 32, 190–205. [Google Scholar] [CrossRef]
- Ståhl, G.; Saarela, S.; Schnell, S.; Holm, S.; Breidenbach, J.; Healey, S.P.; Patterson, P.L.; Magnussen, S.; Næsset, E.; McRoberts, R.E.; et al. Use of models in large-area forest surveys: Comparing model-assisted, model-based and hybrid estimation. For. Ecosyst. 2016, 3, 5. [Google Scholar] [CrossRef]
- Gregoire, T.G.; Valentine, H.T. Sampling Strategies for Natural Resources and Environment; Chapman and Hall/CRC: Boca Raton, FL, USA, 2008; ISBN 9781584883708. [Google Scholar]
- Sing, A.S.; Masuku, M.B. Sampling Techniques and Determination of sample size in applied statistics research: An overview. Int. J. Econ. Commer. Manag. 2014, 2, 32–33. [Google Scholar]
- Henttonen, H.M.; Kangas, A. Optimal plot design in a multipurpose forest inventory. For. Ecosyst. 2015, 2, 31. [Google Scholar] [CrossRef]
- CONAFOR National System of Forest Information. National Forest and Soils Inventory; CONAFOR: Zapopan, Mexico, 2012. [Google Scholar]
- Zarnoch, S.J.; Bechtold, W.A. Estimating mapped-plot forest attributes with ratios of means. Can. J. For. Res. 2000, 30, 688–697. [Google Scholar] [CrossRef]
- Velasco-Bautista, E.; de los Santos-Posadas, H.M.; Ramirez-Maldonado, H.; Rendon-Sanchez, G. Comparación de estimadores para volumen maderable en selva mediana del sureste de México. Agrociencia 2016, 50, 119–132. [Google Scholar]
- Rzedowski, J. Vegetacion de Mexico, 1st ed.; Comision Nacional para el Uso y Conocimiento de la Biodiversidad: Tlalpan, Mexico, 2006. [Google Scholar]
- Maltamo, M. Inventories of Vegetation, Wild Berries and Mushrooms. In Forest Inventory: Methodology and Applications; Kangas, A., Maltamo, M., Eds.; Springer: Dordrecht, The Netherlands, 2006; pp. 141–153. ISBN 978-1-4020-4381-9. [Google Scholar]
- Schreuder, H.; Ernst, R.; Ramirez, H. Statistical Techniques for Sampling and Monitoring Natural Resources; U.S. Department of Agriculture Forest Service: Fort Collins, CO, USA, 2004.
- McRoberts, R.; Tomppo, E.; Schadauer, K.; Vidal, C.; Ståhl, G.; Chirici, G.; Lanz, A.; Cienciala, E.; Winter, S.; Smith, B. Harmonizing National Forest Inventories. J. For. 2012, 58, 189–190. [Google Scholar] [CrossRef]
- Grafström, A.; Saarela, S.; Ene, L.T. Efficient sampling strategies for forest inventories by spreading the sample in auxiliary space. Can. J. For. Res. 2014, 44, 1156–1164. [Google Scholar] [CrossRef]
- Bautista, E.V.; Posadas, H.D.L.S.; Maldonado, H.R.; Sánchez, G.R.; Lazalde, J.R.V.; Mireles, M.A. Estimadores para atributos forestales en una población simulada de selva mediana del sur de México. Bosque 2020, 41, 307–320. [Google Scholar] [CrossRef]
- CONAFOR Inventario Nacional Forestal y de Suelos. Informe de Resultados 2009–2014; CONAFOR: Zapopan, Mexico, 2018. [Google Scholar]
- Lohr, S. Sampling: Design and Analysis, 2nd ed.; Brooks/Cole: Boston, MA, USA, 2010. [Google Scholar]
- Scheaffer, R.; Mendenhall, W.; Lyman, R.; Gerow, K. Elementary Survey Sampling, 7th ed.; Brooks/Cole: Boston, MA, USA, 2012. [Google Scholar]
- Van Deusen, P. Comparing Mapped Plot Estimators. In Proceedings of the Sixth Annual Forest Inventory and Analysis Symposium, Denver, CO, USA, 21–24 September 2004; McRoberts, R., Reams, G., Van Deusen, P., McWilliams, W., Eds.; U.S. Department of Agriculture Forest Service: Fort Collins, CO, USA, 2005; pp. 93–97. [Google Scholar]
- Šmelko, Š.; Merganič, J. Some methodological aspects of the National Forest Inventory and Monitoring in Slovakia. J. For. Sci. 2008, 54, 476–483. [Google Scholar] [CrossRef]
- SAS Institute Inc. SAS/STAT User’s Guide; SAS Institute Inc.: Cary, NC, USA, 2017. [Google Scholar]
- Kangas, A. Design-Based Sampling and Interference. In Forest Inventory: Methodology and Applications; Kangas, A., Maltamo, M., Eds.; Springer: Dordrecht, The Netherlands, 2006; pp. 13–38. [Google Scholar]
- Van Deuse, P.C.; Roesch, F.A. Application of mapped plots for single-owner forest surveys. J. For. 2009, 107, 414–418. [Google Scholar] [CrossRef]
- Fierros-Mateo, R.; Santos-Posadas, H.M.D.L.; Fierros-González, A.M.; Cruz-Cobos, F.; Ángel, L.M.; Bautista, E.V.; Barraza, G.Q. Estimadores de muestreo para inventario de plantaciones de Pinus chiapensis (Martínez) Andresen. Rev. Mex. Cienc. For. 2018, 9, 131–150. [Google Scholar] [CrossRef][Green Version]
- Lynch, T.; Hamlin, D.; Ducey, M.; Borders, B. Design-Unbiased Estimation and Alternatives for Sampling Trees on Plantation Rows. Forests 2018, 9, 362. [Google Scholar] [CrossRef]
- Alvarez, I.A.; Del Nero Velasco, G.; Barbin, H.S.; Lima, A.M.L.P.; do Couto, H.T.Z. Comparison of two sampling methods for estimating urban tree density. J. Arboric. 2005, 31, 209–213. [Google Scholar]
- Woodall, C.W.; Amacher, M.C.; Bechtold, W.A.; Coulston, J.W.; Jovan, S.; Perry, C.H.; Randolph, K.C.; Schulz, B.K.; Smith, G.C.; Tkacz, B.; et al. Status and future of the forest health indicators program of the USA. Environ. Monit. Assess. 2011, 177, 419–436. [Google Scholar] [CrossRef]
- Bechtold, W.; Randolph, K. FIA Crown Analysis Guide. Version 2.0; United States Department of Agriculture: Washington, DC, USA, 2018. [Google Scholar]
- Zhu, S.; Zhang, H.; Liu, R.; Cao, Y.; Zhang, G. Comparison of Sampling Designs for Estimating Deforestation from Landsat TM and MODIS Imagery: A Case Study in Mato Grosso, Brazil. Sci. World J. 2014, 2014, 1–10. [Google Scholar] [CrossRef]
- Köhl, M.; Lister, A.; Scott, C.T.; Baldauf, T.; Plugge, D. Implications of sampling design and sample size for national carbon accounting systems. Carbon Balance Manag. 2011, 6, 10. [Google Scholar] [CrossRef]





| Method | Unbiased Estimator for Biomass: SSU Level | Unbiased Estimator for Biomass: PSU Level (ha) |
|---|---|---|
| 1. Unbiased estimator and PSU of different sizes (two-stage sampling) | ||
| 2. Ratio estimator and PSU of different sizes (two-stage sampling) | ||
| 3. Simple mean estimator and PSU of different sizes (two-stage sampling) | ||
| 4. Ratio estimator and PSU of different sizes (one-stage sampling) | N/A | |
| 5. VAN DEUSEN * estimator and PSU of different sizes (one-stage sampling) | N/A | |
| 6. Mean ratio estimator and PSU of different sizes (one-stage sampling) | N/A |
| Method | Sample Size | ||||||||||||||
|---|---|---|---|---|---|---|---|---|---|---|---|---|---|---|---|
| 10 | 20 | 30 | 40 | 50 | 60 | 70 | 80 | 90 | 100 | 110 | 120 | 130 | 140 | 150 | |
| 1 | 19.95 | 14.06 | 11.38 | 9.80 | 8.74 | 7.87 | 7.29 | 6.83 | 6.35 | 5.96 | 5.69 | 5.43 | 5.17 | 4.93 | 4.74 |
| 2 | 17.97 | 12.75 | 10.42 | 8.95 | 7.97 | 7.20 | 6.63 | 6.25 | 5.82 | 5.47 | 5.22 | 4.96 | 4.75 | 4.52 | 4.36 |
| 3 | 18.98 | 13.52 | 10.98 | 9.46 | 8.46 | 7.63 | 7.03 | 6.62 | 6.16 | 5.80 | 5.53 | 5.27 | 5.04 | 4.77 | 4.61 |
| 4 | 17.94 | 12.70 | 10.36 | 8.89 | 7.90 | 7.12 | 6.55 | 6.16 | 5.72 | 5.37 | 5.11 | 4.85 | 4.64 | 4.39 | 4.23 |
| 5 | 18.05 | 12.74 | 10.38 | 8.90 | 7.91 | 7.13 | 6.55 | 6.17 | 5.73 | 5.37 | 5.11 | 4.85 | 4.64 | 4.39 | 4.23 |
| 6 | 18.95 | 13.48 | 10.92 | 9.40 | 8.39 | 7.56 | 6.95 | 6.53 | 6.07 | 5.70 | 5.42 | 5.15 | 4.92 | 4.65 | 4.48 |
| Method | Sample Size | ||||||||||||||
|---|---|---|---|---|---|---|---|---|---|---|---|---|---|---|---|
| 10 | 20 | 30 | 40 | 50 | 60 | 70 | 80 | 90 | 100 | 110 | 120 | 130 | 140 | 150 | |
| 1 | 22.03 | 15.85 | 13.05 | 11.26 | 10.12 | 9.20 | 8.56 | 7.91 | 7.43 | 6.97 | 6.63 | 6.34 | 6.06 | 5.78 | 5.50 |
| 2 | 20.43 | 14.78 | 12.25 | 10.58 | 9.48 | 8.64 | 8.03 | 7.43 | 7.00 | 6.57 | 6.24 | 5.96 | 5.70 | 5.45 | 5.20 |
| 3 | 21.00 | 15.11 | 12.47 | 10.73 | 9.65 | 8.77 | 8.13 | 7.54 | 7.08 | 6.65 | 6.31 | 6.04 | 5.77 | 5.51 | 5.25 |
| 4 | 20.39 | 14.74 | 12.20 | 10.53 | 9.42 | 8.57 | 7.95 | 7.34 | 6.91 | 6.47 | 6.14 | 5.86 | 5.59 | 5.33 | 5.07 |
| 5 | 20.51 | 14.78 | 12.22 | 10.54 | 9.43 | 8.58 | 7.96 | 7.35 | 6.92 | 6.47 | 6.14 | 5.86 | 5.60 | 5.33 | 5.08 |
| 6 | 20.96 | 15.06 | 12.42 | 10.67 | 9.58 | 8.69 | 8.05 | 7.45 | 6.99 | 6.55 | 6.20 | 5.93 | 5.65 | 5.39 | 5.12 |
| Method | Sample Size | ||||||||||||||
|---|---|---|---|---|---|---|---|---|---|---|---|---|---|---|---|
| 10 | 20 | 30 | 40 | 50 | 60 | 70 | 80 | 90 | 100 | 110 | 120 | 130 | 140 | 150 | |
| 1 | 20.60 | 14.80 | 12.14 | 10.48 | 9.41 | 8.54 | 7.94 | 7.35 | 6.89 | 6.46 | 6.15 | 5.88 | 5.62 | 5.36 | 5.11 |
| 2 | 18.84 | 13.64 | 11.27 | 9.74 | 8.71 | 7.93 | 7.37 | 6.83 | 6.43 | 6.02 | 5.73 | 5.47 | 5.24 | 4.99 | 4.77 |
| 3 | 19.49 | 14.03 | 11.55 | 9.95 | 8.93 | 8.11 | 7.52 | 6.98 | 6.54 | 6.14 | 5.83 | 5.59 | 5.33 | 5.08 | 4.86 |
| 4 | 18.81 | 13.60 | 11.22 | 6.69 | 8.65 | 7.87 | 7.30 | 6.75 | 6.35 | 5.94 | 5.64 | 5.38 | 5.14 | 4.89 | 4.66 |
| 5 | 18.92 | 13.63 | 11.24 | 9.70 | 8.66 | 7.87 | 7.30 | 6.76 | 6.35 | 5.94 | 5.64 | 5.38 | 5.14 | 4.89 | 4.66 |
| 6 | 19.46 | 13.99 | 11.50 | 9.89 | 8.87 | 8.04 | 7.44 | 6.90 | 6.46 | 6.05 | 5.74 | 5.49 | 5.23 | 4.98 | 4.74 |
Publisher’s Note: MDPI stays neutral with regard to jurisdictional claims in published maps and institutional affiliations. |
© 2021 by the authors. Licensee MDPI, Basel, Switzerland. This article is an open access article distributed under the terms and conditions of the Creative Commons Attribution (CC BY) license (https://creativecommons.org/licenses/by/4.0/).
Share and Cite
Velasco-Bautista, E.; Romero-Sanchez, M.E.; Meza-Juárez, D.; Pérez-Miranda, R. Assessment of the Effect of Six Methods of Analysis and Different Sample Sizes for Biomass Estimation in Grasslands of the State of Puebla, Mexico. Land 2021, 10, 1194. https://doi.org/10.3390/land10111194
Velasco-Bautista E, Romero-Sanchez ME, Meza-Juárez D, Pérez-Miranda R. Assessment of the Effect of Six Methods of Analysis and Different Sample Sizes for Biomass Estimation in Grasslands of the State of Puebla, Mexico. Land. 2021; 10(11):1194. https://doi.org/10.3390/land10111194
Chicago/Turabian StyleVelasco-Bautista, Efraín, Martin Enrique Romero-Sanchez, David Meza-Juárez, and Ramiro Pérez-Miranda. 2021. "Assessment of the Effect of Six Methods of Analysis and Different Sample Sizes for Biomass Estimation in Grasslands of the State of Puebla, Mexico" Land 10, no. 11: 1194. https://doi.org/10.3390/land10111194
APA StyleVelasco-Bautista, E., Romero-Sanchez, M. E., Meza-Juárez, D., & Pérez-Miranda, R. (2021). Assessment of the Effect of Six Methods of Analysis and Different Sample Sizes for Biomass Estimation in Grasslands of the State of Puebla, Mexico. Land, 10(11), 1194. https://doi.org/10.3390/land10111194

