Abstract
Grazing behavior is a key factor that affects the sustainable development of the grassland social-ecological system. Grazing behavior is not only restricted by policies but also affected by the awareness of the herder of the grassland environment. To explore the influencing factors and mechanism behind grazing behavior, Yanchi County of Ningxia, a typical area of the “returning grazing land to grassland” project in Northwest China, was selected as a study area. Based on the consciousness-context-behavior theory, a questionnaire was designed, and 305 households were surveyed. Analysis of structural equation model results show: (1) the environmental sensitivity of herders and their satisfaction with the compensation mechanism regulated grazing behavior. When herders were more dependent on grassland, they were more willing to graze. (2) The grassland dependence, environmental sensitivity of herders, and herders’ satisfaction with the compensation mechanism had a significant interaction effect on grazing behavior. (3) Family livelihood diversification and the number of young and middle-aged laborers had a significant moderating effect on grassland dependence and grazing behavior. These findings are of vital importance for the government to formulate policies to promote the sustainable development of grasslands.
1. Introduction
Grassland, as the largest terrestrial ecosystem in China, is of great significance to ecological security, biodiversity, and animal husbandry [1]. However, the ecological carrying capacity of grasslands is limited [2,3]. As the population of grassland areas continues to grow, the degree of damage to grassland by human activities is also increasing [4]. Overgrazing [5,6], illegal collection of grassland wild plants and occupation of grassland, and frequent insect and rodent disaster, combined with climate warming, seriously affect the grassland ecological protection and recovery [7], leading to serious grassland degradation. Grassland ecosystem degradation has become a serious ecological problem facing the world today, which seriously hinders the sustainable development of the regional economy and society [8]. To restore and protect the grassland ecosystem, since 2003, China has implemented the “Returning Grazing Land to Grassland” project in the desert grasslands of western Inner Mongolia, Gansu, Ningxia, degraded grasslands in eastern Inner Mongolia and northern Xinjiang, and river source grasslands in the eastern Qinghai-Tibet Plateau [9]. With the implementation of the project, the problem of grassland degradation has been alleviated to a certain extent, and the grassland ecosystem has tended to improve [10]. However, whether the grassland ecosystems can develop stably is mainly affected mainly by the grazing behavior of herders. People’s subjective consciousness determines their behavior, and a change in consciousness is a long-term process. Because environmental benefits cannot be directly reflected in the household income of herders in the short term, coupled with the dependence of herders on grassland, the phenomenon of “illegal grazing” has existed for a long time in some areas, and the ecological problem of grassland degradation has not been effectively solved [9]. Therefore, exploring the subjective factors behind the behavior of herders has important guiding significance for preventing the phenomenon of “illegal grazing”.
The consciousness-context-behavior theory believes that consciousness has a direct influence on individual behavior, and this influence will be moderated by external contextual factors [3,11], such as attitudes toward the surrounding environment and external policy intervention, and subjective cognition [12]. From the perspective of consciousness-context-behavior theory, exploring the influencing factors and influencing mechanism of the grazing behavior of herders has important guiding significance to alleviate the grazing behavior of herders and promote the stable development of grassland ecosystems. Previous research on the grazing behavior of herders has focused mainly on the changes in the production and lifestyle of herders after the implementation of returning grazing land to grassland, the implementation effects of government policies [13], and the satisfaction of herders with grazing prohibition policies and compensation policies [14]. As the main body of grassland activities, the behaviors of herders to withdraw grazing are not only restricted by the policy of “returning grazing land to grassland” and affected by their education level [15], income level [16], numbers of young and middle-aged laborers [17], area of grassland [18], the number of family-owned sheep, and other livelihood capital [19] but also affected by the herders’ awareness of grassland dependence, environmental sensitivity, policy acceptance, and satisfaction with compensation mechanisms. However, the impact of the awareness and attitude of herders on their behavior and the path of effect are paid less attention.
Taking Yanchi County, Ningxia Autonomous Region, as a study area, this study aimed to explore the effects of the awareness of herders of grassland dependence, environmental sensitivity, policy acceptance and satisfaction with compensation mechanism on their grazing behavior, and the moderating effect of external context factors such as education level, the young and middle-aged labor force, and the diversity of family livelihood on the consciousness-behavior relationship, which is expected to provide a reference for the subsequent improvement and formulation of relevant policies for returning grazing land to grassland.
2. Materials and Methods
Yanchi County is located in the eastern part of the Ningxia Hui Autonomous Region (latitude 37°04′~38°10′ N; longitude 106°30′~107°41′ E) (Figure 1). Yanchi County is approximately 110 km long from north to south and 66 km wide from east to west covering an area of 8661 km2 [20]. Yanchi Country is a transition zone from the Ordos platform to the Loess Plateau. The terrain is high in the south and low in the north, with an average elevation of 1600 m. The annual average temperature in Yanchi County is 8.1 °C, and the annual precipitation is only 250–350 mm, decreasing from the southeast to the northwest. The annual evaporation is five times the precipitation, the annual average wind speed is 2.8 m/s, the annual average windy day is 24.2 d, and the number of sandstorm days is 20.6 d. Yanchi Country belongs to a typical temperate continental climate. The vegetation types are mainly shrubs, grasslands, meadows, sandy vegetation, and desert vegetation. Grazing is the main agricultural activity in Yanchi County. In 2017, the income from grazing and animal husbandry accounted for 56.1% of the total agricultural income. Yanchi County has eight towns under its jurisdiction. In 2017, the total population of Yanchi County was approximately 172,000, of which the agricultural population was 145,168, accounting for 84.4% of the country’s population [21].
Figure 1.
The study area.
The natural grassland area in Yanchi County is 556,930 hm2, accounting for 64.3% of the total area. Due to the local climatic conditions and pressure from human activities, the grassland in Yanchi County is severely desertified, and the grassland is under tremendous pressure. In 2016, Yanchi County was designated by the National Development and Reform Commission and the Ministry of Agriculture as a typical county for the National Returning Grazing Land to Grassland Project during the 13th Five-Year Plan. To consolidate the early ecological restoration results, Yanchi County launched a new round of returning farmland to forest and grassland in the same year to improve the carrying capacity of its ecological environment [21].
3. Theoretical Review and Research Design
3.1. Theoretical Review
To study the grazing behavior of farmers, we must first understand the psychological mechanism behind the behavior of herders. In 1976, Lewin, a social psychologist, proposed the Lewin Medal of Behavior based on numerous experiments. By distinguishing internal factors and the external environment, Lewin expressed the influence of various factors on the mode, intensity, and trend of individual behavior [22]. Ajzen and Fishbein developed the theory of reasoned action, which suggests that behavior directly depends on the behavioral intention of the individual to perform a specific behavior. Based on the theory of reasoned action, Ajzen and Madden introduced the theory of planned behavior in order to explain individual behavior more reasonably [23]. Guagnano et al. proposed the attitude-context-behavior theory in 1995, pointing out that environmental behavior is the result of the interaction of environmental attitude variables and contextual factors [24]. The theory discovered the influence of two types of factors (internal attitude factors and external contextual factors) on behavior and verified the moderating effect of contextual factors on environmental attitudes and behaviors. On this basis, Wang constructed the consciousness-context-behavior integration model of the influence of resource awareness on resource behavior through qualitative research, pointing out that resource awareness is the prior variable of resource behavior, and the consciousness–behavior relationship is moderated by situational factors [25]. This research has important enlightening significance for explaining the mechanism of the consciousness of herders on grazing behavior.
3.2. Research Design
Based on the above-mentioned theories, this study assumed that the grassland dependence of farmers, environmental sensitivity, policy acceptance, and satisfaction with compensation mechanisms have a direct impact on their grazing behavior and that the “consciousness–behavior” relationship is affected by external context variables (education level, the youth and middle-aged labor forces, and family characteristics such as family livelihood diversification). The path of “consciousness (grassland dependence, environmental sensitivity, policy acceptance, and satisfaction with compensation mechanism)—context (family characteristics)—behavior (grazing behavior)” was constructed to analyze the influencing factors of grazing behavior of herders and its mechanism.
3.2.1. The Direct Influence of Consciousness on Behavior
For the consciousness factor, Wang optimized the theoretical hypothesis of consciousness-context-behavior and found that the consciousness of resource-saving had a greater effect on resource-saving behavior [25]. Hou et al. found that the consciousness of water saving and personal responsibility significantly promoted the intention to reuse recycled water [26]. Wierzbinski et al. showed that green travel awareness has a direct main effect on green travel behavior [27]. Environmental issue perception and environmental consciousness have a significant impact on environmental behavior. The grazing behavior of herders will be affected by ways of living, government intervention, and habits. For this reason, this article proposes the following hypotheses.
Regarding grassland dependence, Li et al. found that the proportion of non-agricultural income in total income is an important factor affecting forest land rental behavior [28]. Assogba and Zhang found that an increase in the proportion of the non-grazing income of farmers would reduce grazing behavior [16]. The grassland dependence of farmers will affect their grazing behavior through habits and livelihoods. Grazing is a livelihood that is jointly determined by specific living environment and cultural factors and has long-term adaptability. As a result, the grassland dependence of farmers will affect their grazing behavior. Therefore,
Hypothesis 1 (H1).
The grassland dependence of herders has a significant impact on their grazing behavior.
Regarding environmental sensitivity, the farmers’ perception of the environment is one of the main obstacles affecting their grazing behavior [29]. Farmers who are more sensitive to the environment can better understand the importance of protecting the environment and will be more supportive when the government introduces policies to intervene, so they are more willing to change their grazing behavior and make the environment develop in a better direction. The environmental sensitivity of farmers is an indispensable variable that affects their grazing behavior, so
Hypothesis 2 (H2).
The environmental sensitivity of farmers has a significant direct impact on their grazing behavior.
Regarding the acceptance of the policy of returning grazing land to grassland, Ning et al. found that the willingness to pay for ecological compensation of farmers is of great significance to their grassland ecological protection behavior [30]. Whether farmers are willing to accept the policy will largely affect their grazing behavior. The policy acceptance of farmers is a necessary variable for studying their grazing behavior, so
Hypothesis 3 (H3).
The policy acceptance of farmers has a significant direct impact on grazing behavior.
Regarding satisfaction with the compensation mechanism, Hu et al. pointed out that ecological compensation policies can promote herders to reduce livestock [17]. Qiu et al. also found that the level of compensation will affect the intensity of grazing [31]. If farmers are satisfied with the compensation policy, they will be willing to improve their grazing behavior. If they are not satisfied with the compensation policy, they may adopt behaviors such as stealing herding to reduce personal economic losses. The satisfaction with the compensation mechanism of farmers is the key variable in their grazing behavior, so
Hypothesis 4 (H4).
The satisfaction of the compensation mechanism of farmers has a significant direct impact on their grazing behavior.
The above considered only the independent effects of the four dimensions of consciousness on grazing behavior but did not consider the interaction effects among different dimensions of consciousness. The effect of one explanatory variable on the outcome variable will be different because of the level of the other explanatory variable. Then, there is an interaction effect between the two variables, and individual behavior is the result of the interaction of these factors. For example, the satisfaction of the compensation mechanism for herders may differ due to their different grassland dependence. If it is assumed that the influencing factors are independent, parallel, and there is no interaction between these factors, this is undoubtedly unrealistic, and the interaction between each dimension needs to be further verified. For this reason, Hypothesis 5 is proposed in this study:
Hypothesis 5 (H5).
There are significant pairwise interactions between various dimensions of consciousness.
3.2.2. The Moderating Effect of the Family Characteristics of the Herders on the Consciousness–Behavior Relationship
According to the theoretical combination, it can be seen that the consciousness-behavior relationship is affected by external contextual variables, which have a moderating effect on the consciousness–behavior relationship (the direction or strength of the effect). There are differences between the corresponding consciousness–behavior relationships in different external contexts. Compared with farmers with fewer non-agricultural laborers, herder families with more non-agricultural laborers raise less livestock and graze less [17]. The study of Walelign et al. showed that the education level of the head of household and the family livelihood diversification (i.e., the number of current livelihood ways) significantly affects the farming behavior [32]. Accordingly, this study proposes the following hypotheses:
Hypothesis 6 (H6).
The education level of the household head has a significant moderating effect on the consciousness-behavior relationship.
Hypothesis 7 (H7).
The number of young and middle-aged laborers has a significant moderating effect on the consciousness-behavior relationship.
Hypothesis 8 (H8).
Family livelihood diversification has a significant moderating effect on the consciousness-behavior relationship.
According to the above theories and research hypotheses, the mechanism model of the effect of household characteristics on consciousness behavior was established (Figure 2). The grazing behavior measurement scale and the measurement scale of herder household characteristics, grassland dependence, environmental sensitivity, policy acceptance, and satisfaction with compensation mechanism are used to analyze the influencing factors of the grazing behavior of herders. The scale contains eight subject variables and 20 observation indicators (Table 1).
Figure 2.
The mechanism model of farmer household characteristics on the consciousness-behavior relationship.
4. Data Source and Reliability and Validity Test
4.1. The Data Source
In 2016, Yanchi County was identified by the National Development and Reform Commission and the Ministry of Agriculture as a typical county of the National Returning Grazing Land to Grassland Project during the “13th Five-Year Plan” period. To make the investigation more targeted and representative, Yanchi County in Ningxia was chosen as the research area. The herder household survey was based mainly on the Participatory Rural Appraisal (PRA). Since the head of the household often plays a decisive role in the production and living arrangements of the family, the survey is based mainly on the head of the household and other members of the family supplement-related issues. In Yanchi County, due to a large, sparsely populated area and scattered households, using a survey is difficult. In 2019, three to four villages were selected from each of the eight towns, and a total of 27 villages were surveyed, and approximately 10 households were randomly selected from each village for the survey. The formal survey took approximately 30 minutes to one hour for each household. In all, 305 households were investigated, and 300 valid questionnaires were collected. The average age of the head of the household in the sample households was 53.21 years old, the family size was 4.09 people per household, and the per capita annual income was 3980.54 yuan.
The main contents of the survey included: (1) Family characteristics of the interviewed households, including gender, age, health status, education level, occupation, family income, area of cultivated land, etc.; (2) dependence of the herders on grassland, satisfaction with compensation mechanisms, acceptance of grazing ban policies, and environmental sensitivity and grazing behavior (Table 1). Herders’ grassland dependence cannot be measured directly, so this article selects four indicators including the impact of returning grazing land to grassland on farmers and grazing ways to measure the grassland dependence of farmers, the four indicators are GD1 to GD4, respectively. In the same way, the rest of the three dimensions of consciousness are not easy to measure directly. Also, through the relevant index, the four indicators of herders’ environment sensitivity are ES1 to ES4, respectively; the three indicators of herders’ policy acceptance, AP1 to AP3, were used to represent the satisfaction of herders’ compensation mechanism; SCM1 to SCM3 were used to represent the satisfaction of herders’ compensation mechanism; and GB1 to GB3 were used to represent the satisfaction of herders’ grazing behavior. All the items were subjectively assigned by individuals using a Likert five-level scale [33]. The score adopts a subjective assignment method, all on a five-point scale, in which, the degree of dimension corresponding to the item gradually deepens with the increase of value.
Table 1.
Index system of influencing factors of grazing behavior. (Educational level (EL), Family livelihood diversification (FLD) and Young and middle-aged labor forces (YMLF) in family characteristics represent three demographic characteristics, which are not meant to represent the variable of family characteristics together. Therefore, Composite Reliability (CR) and Average Variance Extracted (AVE) values are not calculated and are represented by “_” in the table).
4.2. Data Reliability and Validity Tests
SPSS software was used to test the reliability and validity of the values of observed variables. In the reliability test, the reliability CR values of the potential variables ranged from 0.6 to 0.8 (Table 1), which is greater than the threshold condition of the recommended value of 0.6 [34]. The internal consistency, reliability, and stability of the scale were good, and the internal reliability was ideal. Before the formal formation of the scale, we conducted in-depth interviews with experts in relevant fields and representative herders to revise the scale. Then, we conducted a preliminary survey of herders, analyzed the preliminary survey results, summarized the reasonable opinions of respondents, and further revised and improved the scale. In general, this scale fits the survey objectives, and its content validity is ideal. In this study, factor analysis was used to test the validity. The AVE values of each potential variable in the validity test are all greater than the threshold condition of 0.4 (Table 1), which indicates that the sample has good reliability and validity, and the data quality passes the test.
5. Model Validation and Result Interpretation
5.1. Model Validation
From the perspective of consciousness, the scores of satisfaction with the compensation mechanism, grassland dependence, and policy acceptance were relatively high (mean over 3.00), while the scores of environmental sensitivity were relatively low (mean less than 2.50). The satisfaction of herders with the compensation mechanism, grassland dependence, and policy acceptance is relatively strong, and their sensitivity to the environment is relatively weak. The grazing behavior score of herders is 3.469, which is at a high level. The family livelihood diversification of herders was relatively rich, with a score of 3.388. In addition to planting and breeding, herders also have other ways to make a living.
In this study, a structural equation model was used to analyze the factors influencing grazing behavior from the perspective of consciousness-context behavior. Taking grassland dependence, environmental sensitivity, policy acceptance, and satisfaction with the compensation mechanism as an independent variable and family characteristics as moderating variables, the influencing factors of grazing behavior of herders were analyzed. In Hypothesis 1, 2, 3, and 4, four possible paths of “consciousness → behavior” were constructed, which are: “grassland dependence → grazing behavior”, “environmental sensitivity → grazing behavior”, “policy acceptance → grazing behavior”, and “compensation mechanism satisfaction → grazing behavior”. In Hypothesis 5, the interaction effect influence path between the four dimensions of consciousness is proposed. In Hypothesis 6, 7, and 8, three adjustment paths of external context to “consciousness → behavior” are constructed: education level to “consciousness → behavior” adjustment path, the number of young and middle-aged labor forces to “consciousness → behavior” adjustment path, and the diversity of family livelihood to “consciousness → behavior” adjustment path. The relationship between observed variables and potential variables in each group constituted the measurement model of the influencing factors of grazing behavior. Where e1 to e16 are the measurement errors of the corresponding items. The p-value of the structural equation model’s main effect is less than 0.05, indicating that the main effect is significant. The interaction was analyzed by SPSS software.
The structural equation model is divided into two basic models: structure model and measurement model [35]. The structural model mainly defines the linear relationship between potential independent variables and potential dependent variables. The measurement model defines the linear relationship between potential variables and observed variables. The model equation is as follows: The measurement model describes the relationship between the latent variables ξ and η and the observed variables X and Y.
where Y is the vector composed of endogenous observation variables; X is the vector composed of exogenous observation variables; η is an endogenous latent variable. ξ is an exogenous latent variable and is standardized. Λy is the factor load matrix of endogenous observed variables on endogenous latent variables. Λx is the factor load matrix of the exogenous observed variables on the exogenous latent variables. ε and δ are the residual matrix of the measurement model. Structural models describe causal relationships between latent variables:
where B is the mutual effect coefficient of endogenous potential variables, Γ is the effect coefficient of the exogenous potential variable on the endogenous potential variable, also known as the path coefficient of the exogenous potential variable’s influence on the endogenous potential variable, and ξ is the residual vector of η. ζ is the residual term of the structural equation and is reflected in the unexplained part of the structural equation.
Y = Λyη + ε
X = Λxξ + δ
η = Bη + Γξ + ζ
Respectively, in order to understand the main effect of consciousness on grazing behavior and consciousness of the interaction between effects of herding behavior, this work will separately study the influence of the main effects and interaction effects only in the structural equation model to build the relationship between the main effects and conduct single factor variance analysis using SPSS to build interactive items, and find whether the interaction effect between inspections affects consciousness on herding behavior. The effect of external situational factors on the relationship between consciousness and behavior was tested by SPSS regression analysis.
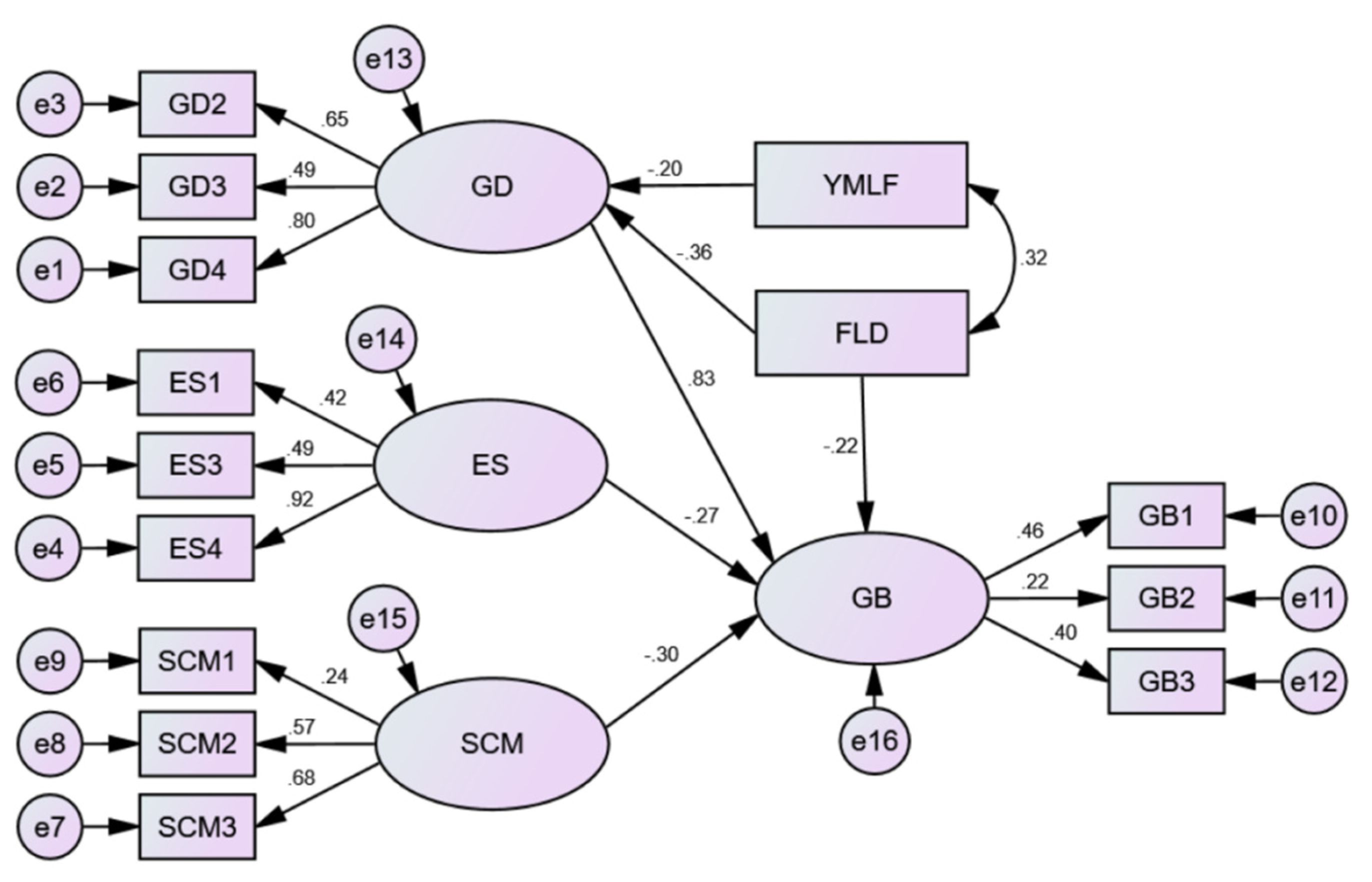
Amos was used to fit the structural equation model. All the items shown in Table 1 were put into the structural equation model, and it was found that the main effect of farmers’ policy acceptance on their grazing behavior was not significant (p = 0.769 > 0.05). Since there were at least three items in each dimension, this dimension could not be adjusted to make it significant, so it was removed from the model. The significance of grassland dependence and environmental sensitivity on grazing behavior was also poor at first. After removing each indicator under the two dimensions one by one, it was found that when GD1 was removed from grassland dependence and ES2 was removed from environmental sensitivity, the two dimensions had a better significance on grazing behavior. The goodness of fit of the model is not damaged, and the goodness of fit is still within the standard value range. We found that the level of education of herders has a poor moderating effect path on “consciousness → behavior”. They are deleted one by one, and through continuous adjustment, we obtain the optimal model (Figure 3).
Figure 3.
Structural equation model for influencing factors of grazing behavior (GD means Grassland Dependence. ES means Environment Sensitivity. SCM means Satisfaction with compensation mechanism. YMLF means Young and Middle-aged Labor Forces. FLD means Family Livelihood Diversification. GB means Grazing Behavior).
According to the requirements of the structural equation model on data quality and variable relationships, this paper tests the model and finds that the chi-square degree of freedom ratio of the model is a 2.864 < 3.00 adaptability index value, the chi-square significant value p was significant at 0.001, and the CN value was 246.321 > 200. The absolute goodness of fit, value-added goodness of fit, and contracted goodness of fit of the model all meet the fitness index value standard (Table 2). The overall fitting degree of the assumed model in this study is good, and the model passes the robustness test.
Table 2.
Model goodness-of-fit index.
5.2. The Main Effect of Consciousness on Behavior and the Interaction Effect between Consciousnesses
The results showed that, in addition to the acceptance of the policy of returning grazing land to grassland, grassland dependence, environmental sensitivity, and satisfaction with the compensation mechanism of herders have significant effects on grazing behavior among the four consciousness dimensions (Figure 3). Grassland dependence has the greatest impact and is positively correlated (the coefficient is 0.835, and the standardized path coefficient is significant at the level of 0.001), which indicates that herders with higher grassland dependence tend to graze in large quantities. Environmental sensitivity and grazing behavior are negatively correlated at the 0.01 level, and the correlation coefficient is −0.268, which indicates that herders with strong environmental sensitivity are more inclined to reduce grazing. Satisfaction with the compensation mechanism is negatively correlated with grazing behavior at the 0.05 level, and the correlation coefficient is −0.298, which indicates that herders who are more satisfied with the compensation mechanism for returning grazing land to grassland are more inclined to reduce grazing. So, Hypotheses 1, 2, and 4 were supported and Hypothesis 3 was rejected.
In SPSS, the items of grassland dependence, environmental sensitivity, compensation mechanism satisfaction, and grazing behavior were divided into high and low groups respectively, and the single factor analysis in SPSS general linear model was used to observe whether the three consciousness dimensions had significant interaction effect on grazing behavior. We separately examined the interaction of three dimensions: grassland dependence, environmental sensitivity, and compensation mechanism satisfaction (Table 3).
Table 3.
The interaction effect on behavioral intention between consciousnesses and the moderating effect of external context variables on the relationship between consciousness and behavior.
The results show that among the three dimensions, the interaction effect between grassland dependence and environmental sensitivity is significant at the level of 0.01 (Figure 4a), and the interaction effect between grassland dependence and the satisfaction with the compensation mechanism is significant at the level of 0.01 (Figure 4b). We found that the negative effect of environmental sensitivity on the grazing behavior of herders with low grassland dependence was stronger than the negative effect on herders with high grassland dependence. Reducing the dependence of herders on grassland can more effectively promote herders to reduce grazing. The satisfaction with the compensation mechanism of herders with low grassland dependence has a stronger negative effect on grazing behavior than herders with high grassland dependence. Reducing grassland dependence can more effectively encourage farmers to reduce grazing behavior.
Figure 4.
(a) Interaction effects of grassland dependence and environmental sensitivity; (b) Interaction effects of grassland dependence and satisfaction with compensation mechanism.
5.3. The Moderating Effect of Family Characteristics on the Relationship of “Consciousness → Behavior”
According to the results of the SPSS regression analysis (Table 3), The number of young and middle-aged labor forces significantly negatively moderated the relationship between grassland dependence and grazing behavior at 0.001 level, and the livelihood diversity significantly negatively moderated the relationship between grassland dependence and grazing behavior at 0.05 level. They will affect the dependence of herders on grasslands and thus affect the grazing behavior of herders. They can reduce the grassland dependence of herders, thereby promoting their reduction of grazing behavior.
The results show that the positive correlation between grassland dependence and grazing behavior is weaker for high-young and middle-aged labor herders; grassland dependence and grazing behavior are more positively correlated for low-young and middle-age labor herders (Figure 5a). Increasing the number of young and middle-aged laborers can more effectively promote herders to reduce grazing behavior.
Figure 5.
(a) Moderating effects of young and middle-aged laborers on grassland dependence and grazing behavior; (b) Moderating effects of family livelihood diversity on grassland dependence and grazing behavior.
The results show that for herders with high livelihood diversity, the positive correlation between grassland dependence and grazing behavior is weaker; for herders with low livelihood diversity, the positive correlation between grassland dependence and grazing behavior is stronger (Figure 5b). Increasing the diversity of livelihoods can more effectively promote herders to reduce grazing behavior.
6. Discussion
Consciousness is the internal driving or inducing factor of behavior, affecting the individual’s behavior by influencing the individual’s psychological preference for resource protection [23]. When individuals lack awareness, they will inevitably not consciously produce resource protection behaviors. The results of the study found that the grassland dependence of herders has a significant positive effect on their grazing behavior, and environmental sensitivity and satisfaction with compensation mechanisms have a significant negative effect on their grazing behavior. Since the corresponding p-values of Hypotheses 1, 2, 4, 5, 7, and 8 are all less than 0.05, the null hypothesis is supported. The p-values of Hypotheses 3 and 6 are greater than 0.05, so the null hypothesis is rejected.
6.1. The Grassland Dependence of Herders Has a Positive Impact and Interaction Effect on Their Grazing Behavior
From the internal dimension of the consciousness structure, consciousness is not independent of other parameters but interacts with the other parameters. This result is consistent with the study of Kautish et al., who found that green consciousness has a direct main effect on green behavior, and there is an interactive effect among some consciousness factors [36]. This is consistent with the view of this study; farmers’ grassland dependence not only has a direct main effect on grazing behavior but also has significant interaction with their environmental sensitivity and compensation mechanism satisfaction on grazing behavior respectively.
The study found that herders with higher grassland dependence tended to graze. Since ancient times, there has been a saying that “those living on mountain live off the mountain, those living near the water live off the water”. The natural environment around residential areas is the primary choice for people to seek a livelihood. In the Carpathian Basin and other European regions, animal husbandry is the main source of income in areas with relatively little arable land [37]. The desert grassland is an important part of the northern semi-arid grassland area and has a long history of raising livestock and grazing [38]. Since the implementation of the grazing prohibition policy, it has been difficult for herders to actively seek livelihood strategies and transform their current livelihood styles. There has been a serious phenomenon of “illegal grazing” [31].
Reducing the grassland dependence of herders will further enhance the negative effect of their environmental sensitivity on grazing behavior. This is contrary to the findings of Strain et al. who believe that people with higher port dependence are more environmentally sensitive than those with less dependence, and they are more supportive, ecologically engineering, and willing to pay for them [39].
Reducing the grassland dependence of herders will enhance the negative impact of their compensation mechanism on grazing behavior. The decrease of grassland dependence makes farmers pay less attention to the compensation mechanism, and they are more likely to feel satisfied when facing the compensation, thus promoting the reduction of their grazing behavior. Therefore, when formulating relevant policies, policymakers must not only increase the environmental sensitivity and satisfaction with compensation mechanisms of the herders but also pay attention to reducing the grassland dependence of herders. This effect will be more significant.
6.2. The Sensitivity of Herders to the Ecological Environment Has an Inhibitory Effect on Their Grazing Behavior
Ajzen believes that the public’s perception of a certain environment determines their behavioral intention [23]. The results of the study indicate that the higher the sensitivity of the herders to the ecological environment, the easier it is to adopt behaviors that are beneficial to the grassland. According to Strain et al., from a global analysis of the marine environment of ports, people who are more sensitive to the environment are more concerned about the environment, and support and are willing to pay for ecological projects [39]. The stronger the perception of changes in the ecological environment, the more herders pay attention to the ecological environment, and they are more willing to make efforts to improve the environment, and they will choose to reduce the scale of breeding after the implementation of returning grazing land to grassland. This sequence of events is related mainly to the implementation of the grazing prohibition policy. Before and after the grazing prohibition policy, the ecological environment of the grassland area was greatly improved [9]. Before the grazing prohibition policy, the sky was full of yellow sand year-round, especially in winter or spring. Since then, grassland vegetation has recovered well, sand and dust weather has been reduced, and the ecological environment has been significantly improved [14]. Most herders feel deeply about this and express their reluctance to go back to the past. They strongly support the grazing prohibition policy and compensation system and actively cooperate with the implementation of the grazing prohibition policy. Similar to the research by Zhao et al., they believe that herders tend to be willing to participate in carbon sequestration and mitigation when they think that the government calls for ecological environment protection are essential [40]. The herder has also begun to pay attention to ecological environmental protection and will also resist herders who cause damage to the ecological environment.
6.3. The Satisfaction of Herders with the Grassland Ecological Compensation Mechanisms Is Helpful to Alleviate Their Grazing Behavior
The higher the satisfaction of the herders with the grassland ecological compensation mechanism, the more willing they will be to carry out feeding and breeding in accordance with the policy requirements, which will be more beneficial to grassland ecological restoration. This approach is consistent with the research results the study of Zhou et al. Zhou et al. found that raising the standard of ecological compensation will encourage farmers to reduce grazing [41]. Hu et al. pointed out that when herders are provided with sufficiently high ecological compensation, they are more willing to change the method of grassland use [17]. Satisfaction with the ecological compensation standard is a measure of whether the subsidy amount can compensate for the loss caused by returning grazing land to grassland. Ecological compensation had gradually become the main policy tool for grassland environmental management and ecological protection, and herders paid great attention to substantial subsidies and rewards in the process of ecological livestock husbandry [42]. If herders are satisfied enough with the compensation standard, their willingness to participate in returning grazing land to grassland will be stronger [14].
6.4. Family Characteristics Has a Positive Effect on Reducing Grazing Behavior
The kind of behavior the herders show will consider their own family situation to a certain extent. This study found that the number of young and middle-aged laborers has a significant mediating effect on grassland dependence and grazing behavior. An increase in livelihood diversity will prompt herders to reduce grazing behavior, consistent with the research of Zhou et al. [41]. They believe that promoting the livelihood diversification and non-agriculturalization of farmers can effectively promote farmers’ reduction of livestock. The increase in alternative livelihoods has reduced the time and energy that herders spend on grazing. Compared with the original single livelihood based on grazing, farmers cannot achieve other livelihoods while maintaining the original amount of grazing and have to reduce livestock to develop other ways of livelihood [43]. Herders with higher livelihood diversity are more likely to improve their quality of life, and they are more inclined to adopt behaviors that are conducive to improving the environment.
The number of young and middle-aged laborers can weaken the grassland dependence of herders and encourage them to adopt more environmentally friendly behaviors, consistent with the research of Liu et al., who believe that the more family labor there is, the greater the proportion of nonagricultural income [18]. Guo et al. found that after the change in the labor employment structure, the regional economy and farmers’ incomes have increased [44]. To a certain extent, young and middle-aged labor can provide families with more sources of nonagricultural income, thereby reducing the proportion of animal husbandry income, reducing the grassland dependence of herders, and reducing their grazing behavior [45]. The survey found that in recent years, the number of young and middle-aged laborers who go out to work and do business has been increasing year by year. Most of the left-behind people in the village are middle-aged and elderly people over the age of 50 who have no ability to change their livelihood strategies. With increasing age, coupled with government supervision, herders have reduced the number of livestock to a large extent, providing an opportunity for the restoration of the grassland ecological environment.
The study found that increasing the diversity of the livelihoods of farmers will reduce their grassland dependence, thereby reducing grazing behavior. Behavior is the result of the interaction between consciousness and external contextual factors. Any consciousness and behavior are affected by environmental factors around the individual [24]. Generally, the grassland dependence of herders cannot be changed at will. When there are no other reliable livelihood options, the herders will choose to continue their original livelihood methods. With rapid economic development and the government’s active guidance of different livelihood strategies, the diversification of the livelihoods of herders will gradually increase, and non-agricultural employment reduces pressure on grassland grazing by increasing family income [46].
7. Conclusions and Recommendations
In this study, by constructing a structural equation model of the influencing factors of the grazing behavior of herders, the path of action that affects grazing behavior was analyzed. The results showed that herders’ consciousness had a significant direct influence on herding behavior. Farmers’ grassland dependence, environmental sensitivity, and compensation mechanism satisfaction had significant direct effects on grazing behavior, and grassland dependence had the most significant effect on grazing behavior. Livelihood diversity also had a significant direct impact on grazing behavior. There were significant interactions between grassland dependence and environmental sensitivity and compensation mechanism satisfaction. The diversity of household livelihood and the number of young and middle-aged labor force had significant mediating effects on grassland dependence and grazing behavior.
For herders with more diverse family livelihoods, environmental protection education can be strengthened to arouse herders’ awareness of environmental protection, so as to change their grazing behavior. For the herders with a large household labor force and low livelihood diversity, it is more necessary to promote labor employment, improve the livelihood diversity of herders, and increase the family income from sources other than animal husbandry, so as to reduce grazing behavior. For herders with a smaller labor force, the government should make reasonable compensation to meet their living needs, so that they can still meet their basic living needs after reducing grazing.
Author Contributions
Conceptualization, C.H. and M.Z. (Mengmeng Zhang); methodology, C.H.; software, C.H. and M.Z. (Mengmeng Zhang); validation, C.H., M.Z. (Mengmeng Zhang), M.W., H.F. and M.Z. (Mengjie Zhang); formal analysis, C.H. and M.Z. (Mengmeng Zhang); investigation, C.H., M.Z. (Mengmeng Zhang) and M.Z. (Mengjie Zhang); resources, C.H.; data curation, M.Z. (Mengmeng Zhang); writing—original draft preparation, M.Z. (Mengmeng Zhang); writing—review and editing, C.H. and M.Z. (Mengmeng Zhang); visualization, C.H. and M.Z. (Mengmeng Zhang); supervision, C.H., M.W. and H.F.; project administration, C.H., M.Z. (Mengmeng Zhang), M.W., H.F. and M.Z. (Mengjie Zhang); funding acquisition, C.H. All authors have read and agreed to the published version of the manuscript.
Funding
This research was funded by the National Natural Science Foundation of China, grant number 41901150, the Education Department of Shaanxi Province, grant number 19JZ044 and the Soft Science Research Program in Shaanxi Province, grant number 2021KRM161.
Acknowledgments
Thanks to Wei Xuan, Wang Ya, and Wang Weiwei for assisting us in literature data collection.
Conflicts of Interest
The authors declare that they have no known competing financial interests or personal relationships that could have appeared to influence the work reported in this paper.
References
- Xue, Z.C.; Kappas, M.; Wyss, D. Spatio-temporal grassland development in inner Mongolia after implementation of the first comprehensive nation-wide grassland conservation program. Land 2021, 10, 38. [Google Scholar] [CrossRef]
- Marino, A.; Rodriguez, V.; Schroeder, N.M. Wild guanacos as scapegoat for continued overgrazing by livestock across southern Patagonia. J. Appl. Ecol. 2020, 57, 2393–2398. [Google Scholar] [CrossRef]
- Hou, C.X.; Zhou, L.H.; Wen, Y.; Chen, Y. Farmers’ adaptability to the policy of ecological protection in China—A case study in Yanchi County, China. Soc. Sci. J. 2018, 55, 404–412. [Google Scholar] [CrossRef]
- Cao, J.; Wei, C.; Adamowski, J.F.; Biswas, A.; Feng, Q. On China’s Qinghai-Tibetan Plateau, duration of grazing exclosure alters R:S ratio, root morphology and attending root biomass. Soil Tillage Res. 2021, 209, 104969. [Google Scholar] [CrossRef]
- Bremer, L.L.; Nathan, N.; Trauernicht, C.; Pascua, P.; Krueger, N.; Jokiel, J.; Barton, J.; Daily, G.C. Maintaining the many societal benefits of rangelands: The case of Hawaii. Land 2021, 10, 764. [Google Scholar] [CrossRef]
- Pfeiffer, M.; Langan, L.; Linstadter, A.; Martens, C.; Gaillard, C.; Ruppert, J.C.; Higgins, S.I.; Mudongo, E.I.; Scheiter, S. Grazing and aridity reduce perennial grass abundance in semi-arid rangelands—Insights from a trait-based dynamic vegetation model. Ecol. Model. 2019, 395, 11–22. [Google Scholar] [CrossRef]
- Prober, S.M.; Doerr, V.A.J.; Broadhurst, L.M.; Williams, K.J.; Dickson, F. Shifting the conservation paradigm: A synthesis of options for renovating nature under climate change. Ecol. Monogr. 2019, 89, e01333. [Google Scholar] [CrossRef]
- Kemp, D.; Han, G.D.; Hou, F.J.; Hou, X.Y.; Li, Z.G.; Sun, Y.; Wang, Z.W.; Wu, J.P.; Zhang, X.Q.; Zhang, Y.J.; et al. Sustainable management of Chinese grasslands—Issues and knowledge. Front. Agric. Sci. Eng. 2018, 5, 9–23. [Google Scholar] [CrossRef]
- Wang, Y.X.; Sun, Y.; Wang, Z.F.; Chang, S.H.; Hou, F.J. Grazing management options for restoration of alpine grasslands on the Qinghai-Tibet Plateau. Ecosphere 2018, 9, e02515. [Google Scholar] [CrossRef]
- Hou, L.L.; Xia, F.; Chen, Q.H.; Huang, J.K.; He, Y.; Nathan, R.; Scott, R. Grassland ecological compensation policy in China improves grassland quality and increases herders’ income. Nat. Commun. 2021, 12, 4683. [Google Scholar] [CrossRef]
- Hou, C.X.; Wen, Y.; He, Y.Q.; Liu, X.J.; Wang, M.M.; Zhang, Z.Y.; Fu, H.L. Public stereotypes of recycled water end uses with different human contact: Evidence from event-related potential (ERP). Resour. Conserv. Recycl. 2021, 168, 105464. [Google Scholar] [CrossRef]
- Merav, B.N.; Ira, S.; Marlen, M.; Sara, M. Factors affecting nursing students’ intention to report medication errors: An Application of the Theory of Planned Behavior. Nurse Educ. Today 2017, 58, 38–42. [Google Scholar] [CrossRef]
- Vannoppen, A.; Degerickx, J.; Gobin, A. Evaluating landscape attractiveness with geospatial data: A case study in Flanders, Belgium. Land 2021, 10, 703. [Google Scholar] [CrossRef]
- Wang, W.W.; Zhou, L.H.; Yang, G.J.; Sun, Y.; Chen, Y. Prohibited grazing policy satisfaction and life satisfaction in rural Northwest China—A case study in Yanchi County, Ningxia Hui autonomous region. Int. J. Environ. Res. Public Health 2019, 16, 4374. [Google Scholar] [CrossRef] [Green Version]
- Bencherif, S.; Burgas, D.; Manzano, P.; Mohamed, D. Current social and rangeland access trends among pastoralists in the Western Algerian steppe. Land 2021, 10, 674. [Google Scholar] [CrossRef]
- Assogba, N.P.; Zhang, D. An economic analysis of tropical forest resource conservation in a protected area. Sustainability 2020, 12, 5850. [Google Scholar] [CrossRef]
- Hu, Y.N.; Huang, J.K.; Hou, L.L. Impacts of the grassland ecological compensation policy on household livestock production in China: An empirical study in inner Mongolia. Ecol. Econ. 2019, 161, 248–256. [Google Scholar] [CrossRef]
- Liu, H.Y.; Hao, H.G.; Hu, X.J.; Du, L.S.; Zhang, Z.; Li, Y.Y. Livelihood diversification of farm households and its impact on cultivated land utilization in agro-pastoral ecologically-vulnerable areas in the Northern China. Chin. Geogr. Sci. 2020, 30, 279–293. [Google Scholar] [CrossRef]
- Faria, N. Predicting agronomical and ecological effects of shifting from sheep to cattle grazing in highly dynamic Mediterranean dry grasslands. Land Degrad. Dev. 2019, 30, 300–314. [Google Scholar] [CrossRef]
- Xu, J.; Xiao, Y.; Xie, G.D.; Wang, Y.Y.; Jiang, Y. Computing payments for wind erosion prevention service incorporating ecosystem services flow and regional disparity in Yanchi County. Sci. Total Environ. 2019, 674, 563–579. [Google Scholar] [CrossRef]
- Wei, X.; Zhou, L.H.; Yang, G.J.; Wang, Y.; Chen, Y. assessing the effects of desertification control projects from the farmers’ perspective: A case study of Yanchi County, Northern China. Int. J. Environ. Res. Public Health 2020, 17, 8145. [Google Scholar] [CrossRef] [PubMed] [Green Version]
- Lewin, J. Initiation of bed forms and meanders in coarse-grained sediment. GSA Bull. 1976, 87, 281–285. [Google Scholar] [CrossRef]
- Ajzen, I.; Madden, T.J. Prediction of goal-directed behavior: Attitudes, intentions, and perceived behavioral control. J. Exp. Soc. Psychol. 1986, 22, 453–474. [Google Scholar] [CrossRef]
- Guagnano, G.A.; Stern, P.C.; Dietz, T. Influences on attitude-behavior relationships: A natural experiment with curbside recycling. Environ. Behav. 1995, 27, 699–718. [Google Scholar] [CrossRef]
- Wang, J.M. The dimensional structure of environmental emotion and its impact on consumption carbon emission reduction behavior—The emotion-behavior two-factor theory hypothesis and its verification. Manag. World 2015, 12, 82–95. [Google Scholar]
- Hou, C.X.; Fu, H.L.; Liu, X.J.; Wen, Y. The Effect of recycled water information disclosure on public acceptance of recycled water—Evidence from residents of Xi’an, China. Sustain. Cities Soc. 2020, 61, 102351. [Google Scholar] [CrossRef] [PubMed]
- Wierzbinski, B.; Surmacz, T.; Kuzniar, W.; Witek, L. The role of the ecological awareness and the influence on food preferences in shaping pro-ecological behavior of young consumers. Agriculture 2021, 11, 345. [Google Scholar] [CrossRef]
- Li, X.Y.; Cirella, G.T.; Wen, Y.L.; Xie, Y. Farmers’ intentions to lease forestland: Evidence from rural China. Land 2020, 9, 78. [Google Scholar] [CrossRef] [Green Version]
- Shalizi, M.N.; Khurram, S.; Groninger, J.W.; Akamani, K.; Morrissey, R.C. Redbud woodlands conservation status in Afghanistan: Implications for sustaining vulnerable ecosystems under multiple drivers of change. Glob. Ecol. Conserv. 2020, 22, e00942. [Google Scholar] [CrossRef]
- Ning, J.; Jin, J.J.; Kuang, F.K.; Wan, X.Y.; Zhang, C.Y.; Guan, T. The valuation of grassland ecosystem services in inner Mongolia of China and its spatial differences. Sustainability 2019, 11, 7117. [Google Scholar] [CrossRef] [Green Version]
- Qiu, H.G.; Su, L.F.; Feng, X.L.; Tang, J.J. Role of monitoring in environmental regulation: An empirical analysis of grazing restrictions in pastoral China. Environ. Sci. Policy 2020, 114, 295–304. [Google Scholar] [CrossRef]
- Walelign, S.Z.; Nielsen, M.R.; Jacobsen, J.B. Roads and livelihood activity choices in the Greater Serengeti ecosystem, Tanzania. PLoS ONE 2019, 14, e0213089. [Google Scholar] [CrossRef]
- Kampen, J.K. Reflections on and test of the metrological properties of summated rating, Likert, and other scales based on sums of ordinal variables. Measurement 2019, 137, 428–434. [Google Scholar] [CrossRef]
- Hidrus, A.; Kueh, Y.C.; Norsa’adah, B.; Kuan, G. Malay version of exercise self-efficacy: A confirmatory analysis among malaysians with type 2 diabetes mellitus. Int. J. Environ. Res. Public Health 2020, 17, 922. [Google Scholar] [CrossRef] [PubMed] [Green Version]
- Lee, J.; Whittaker, T.A. The impact of item parceling on structural parameter invariance in multi-group structural equation modeling. Struct. Equ. Model. Multidiscip. J. 2021, 28, 684–698. [Google Scholar] [CrossRef]
- Kautish, P.; Paul, J.; Sharma, R. The moderating influence of environmental consciousness and recycling intentions on green purchase behavior. J. Clean. Prod. 2019, 228, 1425–1436. [Google Scholar] [CrossRef]
- Biro, M.; Molnar, Z.; Babai, D.; Denes, A.; Feher, A.; Barta, S.; Safian, L.; Szabados, K.; Kis, A.; Demeter, L.; et al. Reviewing historical traditional knowledge for innovative conservation management: A re-evaluation of wetland grazing. Sci. Total Environ. 2019, 666, 1114–1125. [Google Scholar] [CrossRef] [PubMed] [Green Version]
- Zhang, R.Y.; Wang, Z.W.; Han, G.D.; Schellenberg, M.P.; Wu, Q.; Gu, C. Grazing induced changes in plant diversity is a critical factor controlling grassland productivity in the Desert Steppe, Northern China. Agric. Ecosyst. Environ. 2018, 265, 73–83. [Google Scholar] [CrossRef]
- Strain, E.M.A.; Alexander, K.A.; Kienker, S.; Morris, R.; Jarvis, R.; Coleman, R.; Bollard, B.; Firth, L.B.; Knights, A.M.; Grabowski, J.H.; et al. Urban blue: A global analysis of the factors shaping people’s perceptions of the marine environment and ecological engineering in harbours. Sci. Total Environ. 2019, 658, 1293–1305. [Google Scholar] [CrossRef]
- Zhao, Y.Y.; Yan, Y.Z.; Liu, Q.F.; Li, F.Y. How willing are herders to participate in carbon sequestration and mitigation? An inner Mongolian grassland case. Sustainability 2018, 10, 2808. [Google Scholar] [CrossRef] [Green Version]
- Zhou, L.H.; Wang, Y.; Yang, G.J. Study on the Timely Adjustment of the grazing prohibition policy: Ban or lift? Empirical research from local government managers. Sustainability 2018, 10, 4852. [Google Scholar] [CrossRef] [Green Version]
- Johansson, V.; Kindvall, O.; Askling, J.; Franzen, M. Intense grazing of calcareous grasslands has negative consequences for the threatened marsh fritillary butterfly. Biol. Conserv. 2019, 239, 108280. [Google Scholar] [CrossRef]
- Strand, G.H.; Hansen, I.; de Boon, A.; Sandstrom, C. Carnivore management zones and their impact on sheep farming in Norway. Environ. Manag. 2019, 64, 537–552. [Google Scholar] [CrossRef] [Green Version]
- Guo, B.Y.; Xie, T.P.; Subrahmanyam, M.V. The impact of China’s grain for green program on rural economy and precipitation: A case study of yan river basin in the loess plateau. Sustainability 2019, 11, 5336. [Google Scholar] [CrossRef] [Green Version]
- Nguyen, T.V.; Lv, J.H.; Vu, T.T.H.; Zhang, B. Determinants of non-timber forest product planting, development, and trading: Case study in Central Vietnam. Forests 2020, 11, 116. [Google Scholar] [CrossRef] [Green Version]
- Shahzad, L.; Tahir, A.; Sharif, F.; Khan, W.U.D.; Farooq, M.A.; Abbas, A.; Saqib, Z.A. Vulnerability, well-being, and livelihood adaptation under changing environmental conditions: A case from mountainous region of Pakistan. Environ. Sci. Pollut. Res. 2019, 26, 26748–26764. [Google Scholar] [CrossRef]
Publisher’s Note: MDPI stays neutral with regard to jurisdictional claims in published maps and institutional affiliations. |
© 2021 by the authors. Licensee MDPI, Basel, Switzerland. This article is an open access article distributed under the terms and conditions of the Creative Commons Attribution (CC BY) license (https://creativecommons.org/licenses/by/4.0/).




