Annual Changes in Seasonal River Water Temperatures in the Eastern and Western United States
Abstract
:1. Introduction
2. Materials and Methods
2.1. Study Area
2.2. River Water Temperature Data
2.3. Landscape and Land Use Data
2.4. Statistical Modeling: Trend Estimation
2.5. Statistical Modeling: Land Use Correlations
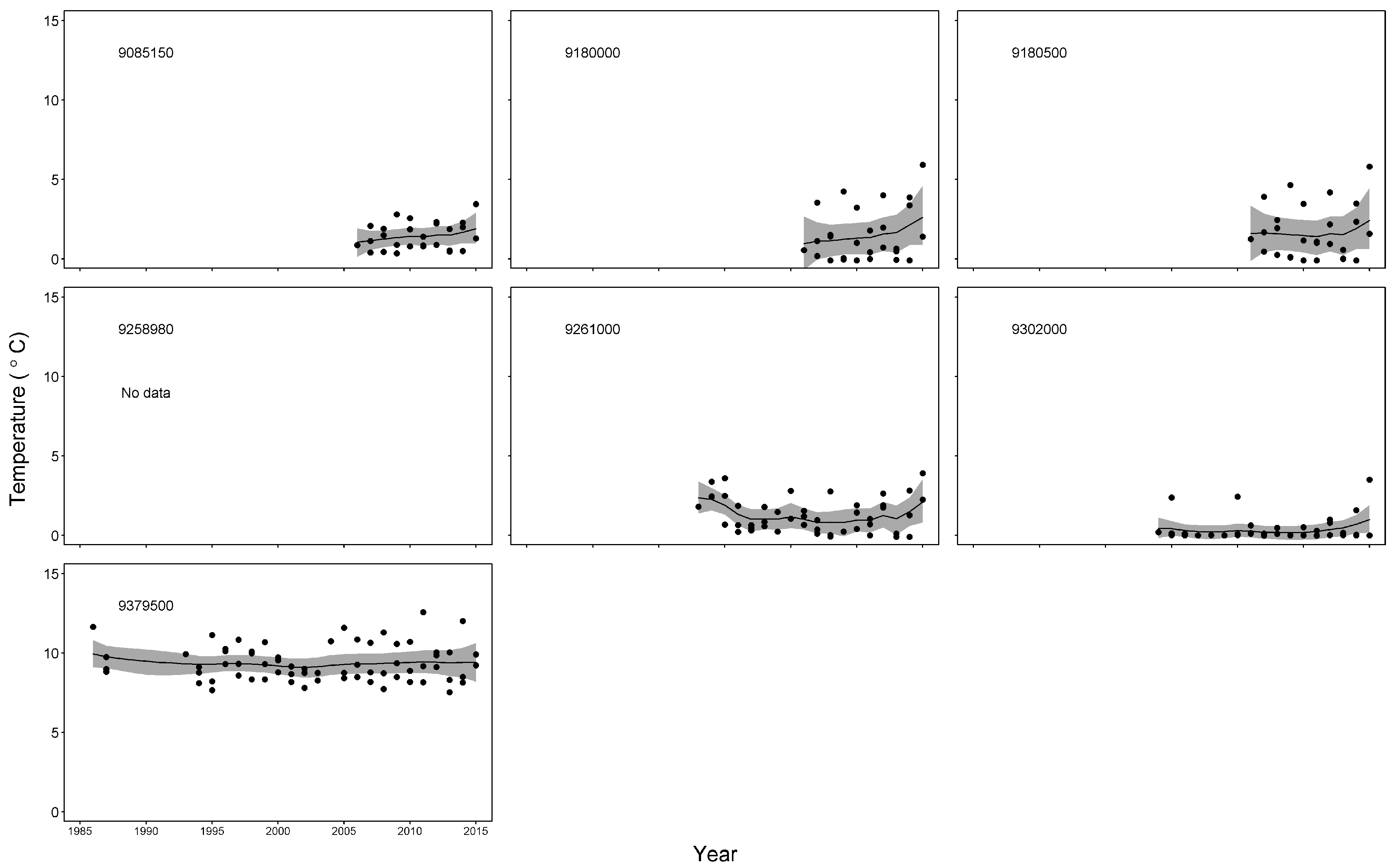
3. Results
3.1. Temporal Trends
3.2. Land Use Correlations
4. Discussion
4.1. Effects on Fish and Fish Habitat
4.2. Comparison with Previous Research
5. Conclusions
Supplementary Materials
Acknowledgments
Author Contributions
Conflicts of Interest
References
- Demars, B.O.; Russell Manson, J.; Ólafsson, J.S.; Gíslason, G.M.; Gudmundsdóttir, R.; Woodward, G.; Reiss, J.; Pichler, D.E.; Rasmussen, J.J.; Friberg, N. Temperature and the metabolic balance of streams. Freshw. Biol. 2011, 56, 1106–1121. [Google Scholar] [CrossRef]
- Kitchell, J.F.; Stewart, D.J.; Weininger, D. Applications of a Bioenergetics Model to Yellow Perch (Perca flavescens) and Walleye (Stizostedion vitreum vitreum). J. Fish. Res. Board Can. 1977, 34, 1922–1935. [Google Scholar] [CrossRef]
- Magnuson, J.J.; Crowder, L.B.; Medvick, P.A. Temperature as an Ecological Resource. Am. Zool. 1979, 19, 331–343. [Google Scholar] [CrossRef]
- Comte, L.; Grenouillet, G. Do stream fish track climate change? Assessing distribution shifts in recent decades. Ecography 2013, 36, 1236–1246. [Google Scholar] [CrossRef]
- Kennedy, R.J.; Crozier, W.W. Evidence of changing migratory patterns of wild Atlantic salmon Salmo salar smolts in the River Bush, Northern Ireland, and possible associations with climate change. J. Fish Biol. 2010, 76, 1786–1805. [Google Scholar] [CrossRef] [PubMed]
- Kovach, R.P.; Joyce, J.E.; Echave, J.D.; Lindberg, M.S.; Tallmon, D.A. Earlier Migration Timing, Decreasing Phenotypic Variation, and Biocomplexity in Multiple Salmonid Species. PLoS ONE 2013, 8, e53807. [Google Scholar] [CrossRef] [PubMed]
- Daufresne, M.; Boët, P. Climate change impacts on structure and diversity of fish communities in rivers. Glob. Chang. Biol. 2007, 13, 2467–2478. [Google Scholar] [CrossRef]
- Ficke, A.; Myrick, C.; Hansen, L. Potential impacts of global climate change on freshwater fisheries. Rev. Fish Biol. Fish. 2007, 17, 581–613. [Google Scholar] [CrossRef]
- Westhoff, J.T.; Paukert, C.P. Climate change simulations predict altered biotic response in a thermally heterogeneous stream system. PLoS ONE 2014, 9, e111438. [Google Scholar] [CrossRef] [PubMed]
- Pease, A.A.; Paukert, C.P. Potential impacts of climate change on growth and prey consumption of stream-dwelling smallmouth bass in the central United States. Ecol. Freshw. Fish 2014, 23, 336–346. [Google Scholar] [CrossRef]
- Jones, R.; Travers, C.; Rodgers, C.; Lazar, B.; English, E.; Lipton, J.; Vogel, J.; Strzepek, K.; Martinich, J. Climate change impacts on freshwater recreational fishing in the United States. Mitig. Adapt. Strateg. Glob. Chang. 2013, 18, 731–758. [Google Scholar] [CrossRef]
- Palmer, M.; Lettenmaier, D.; Poff, N.; Postel, S.; Richter, B.; Warner, R. Climate Change and River Ecosystems: Protection and Adaptation Options. Environ. Manag. 2009, 44, 1053–1068. [Google Scholar] [CrossRef] [PubMed]
- Mantua, N.; Tohver, I.; Hamlet, A. Climate change impacts on streamflow extremes and summertime stream temperature and their possible consequences for freshwater salmon habitat in Washington State. Clim. Chang. 2010, 102, 187–223. [Google Scholar] [CrossRef]
- Isaak, D.J.; Wollrab, S.; Horan, D.; Chandler, G. Climate change effects on stream and river temperatures across the northwest U.S. from 1980–2009 and implications for salmonid fishes. Clim. Chang. 2012, 113, 499–524. [Google Scholar] [CrossRef]
- Kaushal, S.S.; Likens, G.E.; Jaworski, N.A.; Pace, M.L.; Sides, A.M.; Seekell, D.; Belt, K.T.; Secor, D.H.; Wingate, R.L. Rising stream and river temperatures in the United States. Front. Ecol. Environ. 2010, 8, 461–466. [Google Scholar] [CrossRef]
- Arismendi, I.; Johnson, S.L.; Dunham, J.B.; Haggerty, R.; Hockman-Wert, D. The paradox of cooling streams in a warming world: Regional climate trends do not parallel variable local trends in stream temperature in the Pacific continental United States. Geophys. Res. Lett. 2012, 39, L10401. [Google Scholar] [CrossRef]
- Orr, H.G.; Simpson, G.L.; des Clers, S.; Watts, G.; Hughes, M.; Hannaford, J.; Dunbar, M.J.; Laizé, C.L.R.; Wilby, R.L.; Battarbee, R.W.; et al. Detecting changing river temperatures in England and Wales. Hydrol. Process. 2015, 29, 752–766. [Google Scholar] [CrossRef]
- Rice, K.; Jastram, J. Rising air and stream-water temperatures in Chesapeake Bay region, USA. Clim. Chang. 2015, 128, 127–138. [Google Scholar] [CrossRef]
- Hudy, M.; Thieling, T.M.; Gillespie, N.; Smith, E.P. Distribution, status, and land use characteristics of subwatersheds within the native range of brook trout in the eastern United States. N. Am. J. Fish. Manag. 2008, 28, 1069–1085. [Google Scholar] [CrossRef]
- DeWeber, J.T.; Wagner, T. A regional neural network ensemble for predicting mean daily river water temperature. J. Hydrol. 2014, 517, 187–200. [Google Scholar] [CrossRef]
- DeWeber, J.T.; Wagner, T. Predicting brook trout occurrence in stream reaches throughout their native range in the eastern United States. Trans. Am. Fish. Soc. 2015, 144, 11–24. [Google Scholar] [CrossRef]
- Olden, J.D.; Poff, N.L.; Bestgen, K.R. Life-history strategies predict fish invasions and extirpations in the Colorado River Basin. Ecol. Monogr. 2006, 76, 25–40. [Google Scholar] [CrossRef]
- USEPA; USGS. National Hydrography Dataset Plus Version 1.0, NHDPlusV1; United States Environmental Protection Agency: Washington, DC, USA, 2005.
- Sadraddini, S.; Azim, M.E.; Shimoda, Y.; Bhavsar, S.P.; Drouillard, K.G.; Backus, S.M.; Arhonditsis, G.B. A Bayesian assessment of the PCB temporal trends in Lake Erie fish communities. J. Gt. Lakes Res. 2011, 37, 507–520. [Google Scholar] [CrossRef]
- Lamon, C.L.; Carpenter, S.R.; Stow, C.A. Forecasting PCB concentrations in Lake Michigan salmonids: A dynamic linear model approach. Ecol. Appl. 1998, 8, 659–668. [Google Scholar] [CrossRef]
- Wagner, T.; Irwin, B.J.; Bence, J.R.; Hayes, D.B. Detecting temporal trends in freshwater fisheries surveys: Statistical power and the important linkages between management questions and monitoring objectives. Fisheries 2013, 38, 309–319. [Google Scholar] [CrossRef]
- Plummer, M. JAGS: A program for analysis of Bayesian graphical models using Gibbs sampling. In Proceedings of the 3rd International Workshop on Distributed Statistical Computing, Vienna, Austria, 20–22 March 2003.
- R Core Team. R: A Language and Environment for Statistical Computing; R Foundation for Statistical Computing: Vienna, Austria, 2015. [Google Scholar]
- Déath, G.; Fabricius, K.E. Classification and regression trees: A powerful yet simple technique for ecological data analysis. Ecology 2000, 81, 3178–3192. [Google Scholar] [CrossRef]
- Therneau, T.; Atkinson, B.; Ripley, B. rpart: Recursive Partitioning and Regression Trees, version 4.1-10; 2015. Available online: https://cran.r-project.org/web/packages/rpart/index.html (accessed on 3 February 2017).
- Nelson, K.C.; Palmer, M.A. Stream temperature surges under urbanization and climate change: Data, models, and responses. JAWRA J. Am. Water Resour. Assoc. 2007, 43, 440–452. [Google Scholar] [CrossRef]
- Farmer, T.M.; Marschall, E.A.; Dabrowski, K.; Ludsin, S.A. Short winters threaten temperate fish populations. Nat. Commun. 2015, 6, 7724. [Google Scholar] [CrossRef] [PubMed]
- Shuter, B.J.; Finstad, A.G.; Helland, I.P.; Zweimüller, I.; Hölker, F. The role of winter phenology in shaping the ecology of freshwater fish and their sensitivities to climate change. Aquat. Sci. 2012, 74, 637–657. [Google Scholar] [CrossRef]
- Kanno, Y.; Letcher, B.H.; Hitt, N.P.; Boughton, D.A.; Wofford, J.E.B.; Zipkin, E.F. Seasonal weather patterns drive population vital rates and persistence in a stream fish. Glob. Chang. Biol. 2015, 21, 1856–1870. [Google Scholar] [CrossRef] [PubMed]
- Deyle, E.R.; Fogarty, M.; Hsieh, C.h.H.; Kaufman, L.; MacCall, A.D.; Munch, S.B.; Perretti, C.T.; Ye, H.; Sugihara, G. Predicting climate effects on Pacific sardine. Proc. Natl. Acad. Sci. USA 2013, 110, 6430–6435. [Google Scholar] [CrossRef] [PubMed]
- Lamon, E.C.; Stow, C.A. Lake Superior water level fluctuation and climatic factors: A dynamic linearmodel analysis. J. Gt. Lakes Res. 2010, 36, 172–178. [Google Scholar] [CrossRef]
- Brander, K. Climate and current anthropogenic impacts on fisheries. Clim. Chang. 2013, 119, 9–21. [Google Scholar] [CrossRef]







| Gauge ID | Station Name | Elevation | Catchment Area | Urban Land Use |
|---|---|---|---|---|
| 1417500 | East Branch Delaware River at Harvard, NY | 301.6 | 1185.01 | 0.003 |
| 1420500 | Beaver Kill River at Cooks Falls, NY | 337.41 | 630.57 | 0.01 |
| 1426500 | West Branch Delaware River at Hale Eddy, NY | 277.84 | 1537.79 | 0.03 |
| 1427510 | Delaware River at Callicoon, NY | 218.65 | 4721.71 | 0.01 |
| 1428500 | Delaware River at Barryville, NY | 176.63 | 5229.46 | 0.01 |
| 1447500 | Lehigh River at Stoddartsville, PA | 428.07 | 220.29 | 0.05 |
| 1447720 | Tobyhanna Creek near Blakeslee, PA | 458.57 | 308.38 | 0.24 |
| 1449360 | Pohopoco Creek at Kresgeville, PA | 197.98 | 133.72 | 0.08 |
| 1449800 | Pohopoco Creek near Parryville, PA | 149.64 | 249.51 | 0.05 |
| 1463500 | Delaware River at Trenton, NJ | 0 | 17,441.1 | 0.24 |
| 1470779 | Tulpehocken Creek near Bernville, PA | 92.49 | 181.97 | 0.49 |
| 1480617 | West Branch Brandywine Creek at Modena, PA | 80.53 | 118.85 | 0.96 |
| 1480870 | East Branch Brandywine Creek at Downingtown, PA | 60.78 | 232.15 | 0.54 |
| 1481000 | Brandywine Creek at Chadds Ford, PA | 46.53 | 720.55 | 0.52 |
| 2011400 | Jackson River near Bacova, VA | 482.19 | 409.88 | 0 |
| 2011500 | Black Creek near Mountain Grove, VA | 514.61 | 348.07 | 0.01 |
| 2011800 | Jackson River, near Hot Springs, VA | 425.64 | 894.5 | 0.005 |
| 9085150 | Colorado River near Glenwood Springs, CO | 1718.36 | 15,575.74 | 0.01 |
| 9180000 | Dolores River, near Cisco, UT | 1275.63 | 11,841.39 | 0 |
| 9180500 | Colorado River near Cisco, UT | 1243.54 | 61,791.09 | 0.02 |
| 9258980 | Muddy Creek near Baggs, WY | 1903.2 | 2474.79 | 0 |
| 9261000 | Green River near Jensen, UT | 1452 | 65,137 | 0.18 |
| 9302000 | Duchesne River near Randlett, UT | 1447.16 | 9741.67 | 0 |
| 9379500 | San Juan River near Bluff, UT | 1214.84 | 58,155.8 | 0 |
© 2017 by the authors. Licensee MDPI, Basel, Switzerland. This article is an open access article distributed under the terms and conditions of the Creative Commons Attribution (CC BY) license ( http://creativecommons.org/licenses/by/4.0/).
Share and Cite
Wagner, T.; Midway, S.R.; Whittier, J.B.; DeWeber, J.T.; Paukert, C.P. Annual Changes in Seasonal River Water Temperatures in the Eastern and Western United States. Water 2017, 9, 90. https://doi.org/10.3390/w9020090
Wagner T, Midway SR, Whittier JB, DeWeber JT, Paukert CP. Annual Changes in Seasonal River Water Temperatures in the Eastern and Western United States. Water. 2017; 9(2):90. https://doi.org/10.3390/w9020090
Chicago/Turabian StyleWagner, Tyler, Stephen R. Midway, Joanna B. Whittier, Jefferson T. DeWeber, and Craig P. Paukert. 2017. "Annual Changes in Seasonal River Water Temperatures in the Eastern and Western United States" Water 9, no. 2: 90. https://doi.org/10.3390/w9020090
APA StyleWagner, T., Midway, S. R., Whittier, J. B., DeWeber, J. T., & Paukert, C. P. (2017). Annual Changes in Seasonal River Water Temperatures in the Eastern and Western United States. Water, 9(2), 90. https://doi.org/10.3390/w9020090

