2.2. Flow and Sediment Concentration Data
Records on mean daily discharge (
Qd in cms) were collected for Tarbert Landing from USACE for the period from 1 January 1973 to 31 December 2013. For the same period, measurements on suspended sediment concentrations (
SSC) in milligram per liter (mg/L) and corresponding percentage of silt/clay (fine sediment) fractions in
SSC (
i.e., diameter < 0.0625 mm) were collected from USGS. USGS carries out depth-integrated suspended sediment sampling every 12 to 26 days using several isokinetic point samplers (
i.e., P-61, P-63, D-96, D-99) ranging from four to eight verticals and each vertical consisting of two to five samples ([
10,
41,
42,
43]—these studies also cover in depth analysis of
SSC collection and processing techniques and error adjustments). From 1973 to 2013, a total of 1043
SSC samples were collected, processed and documented for Tarbert Landing. During these 41 years, each month had 1 to 3 sampling dates; therefore, it is assumed that the
SSC data have a sufficient, unbiased representation across all seasons and flow regimes. The discharge and sediment concentration data were used to compute sand loads as described in section 2.5 below.
Figure 1.
Study area map (modified from Rosen and Xu [
21]) showing the location of the LmMR at Tarbert Landing (TBL) (USGS Station ID 07295100 and USACE Gage ID 01100). MR and AR denote the courses of the Mississippi and Atchafalaya Rivers respectively; ORCS is the Old River Control Structure; “Sim” denotes Simmesport (USGS Station ID 07381490) site of the Atchafalaya River; RRL is Red River Landing, the gauging station for USGS just below TBL consisting of river stage records and CAR denotes Carrolton, New Orleans. The three Mississippi River diversions introduced earlier have also been shown in the figure: Davis Pond Freshwater Diversion (DPFD), Caernarvon Freshwater Diversion (CFD) and West Bay Sediment Diversion (WBSD).
Figure 1.
Study area map (modified from Rosen and Xu [
21]) showing the location of the LmMR at Tarbert Landing (TBL) (USGS Station ID 07295100 and USACE Gage ID 01100). MR and AR denote the courses of the Mississippi and Atchafalaya Rivers respectively; ORCS is the Old River Control Structure; “Sim” denotes Simmesport (USGS Station ID 07381490) site of the Atchafalaya River; RRL is Red River Landing, the gauging station for USGS just below TBL consisting of river stage records and CAR denotes Carrolton, New Orleans. The three Mississippi River diversions introduced earlier have also been shown in the figure: Davis Pond Freshwater Diversion (DPFD), Caernarvon Freshwater Diversion (CFD) and West Bay Sediment Diversion (WBSD).
2.5. Development of Discharge-Sand Load Rating Curves
Daily sand load (
DSL in tonnes/day) was computed by multiplying
SSCs with the corresponding daily discharge (
Qd in cms) for all the sampling dates during 1 January 1973 and 31 December 2013 as:
where 0.0864 is a unit conversion factor for converting the sand mass to tonnes per day.
There were nine outliers out of a total of 1043 sediment sampling events for the entire 41-year study period. These ~1% outliers were four to six times higher than the long-term standard deviation of sand concentrations; hence, we decided to remove them from further analysis. Now, a natural logarithm (ln) was taken for the two variables,
DSL (dependent; y) and
Qd (independent; x), and both linear and polynomial rating curves were applied for the relation between them. The evaluation of all applied rating curves were based on four criteria: regression coefficient of the curves (
R2 must be ≥0.8), root mean square errors of the predicted (or calculated)
DSLs (RMSE) (the lower the better), standard error (SE) of the rating curves (in ln units) (also, the lower the better) and a graphical assessment (good visual agreement between corresponding calibrated and predicted
DSLs) [
44,
45,
46].
To achieve the “predicted
DSLs”, we fitted “log transformed (ln)
Qds” in the rating curve equations to get “predicted ln
DSLs” at first and then transformed back thus obtained “predicted ln
DSLs” by taking their exponential values. We also checked potential log-biasing in this retransformation procedure using the following correction factor (
CF) given by Duan [
47] and modified by Gray
et al. [
48] because, firstly, it does not require normality of residuals and, secondly, residuals for a few rating curves in our analyses were not normally distributed (
p-values < 0.05 in Shapiro-Wilk tests).
where
ei is the difference between
ith observations of “measured log
DSLs” and “predicted log
DSLs” and
n is the total number of samples used in the given rating curve.
Single linear and polynomial rating curves were applied for the whole period at first, however, all four criteria to evaluate rating curves approach were not met here: lower
R2 (0.69 for linear and 0.7 for polynomial rating curve) (
Table 1), comparatively higher RMSE (71,067 for linear and 67,950 for polynomial rating curve) (
Table 2), comparatively higher SE (0.823) (
Table 2), and poor visual agreement between corresponding measured and predicted
DSLs (
Figure 2). Low sample size of sediment concentrations during each year stopped us from applying sand rating curves annually during 1973–2013. In addition, rating curves in decadal intervals can minimize year to year variability in sediment samples and give robust average-annual predictions over decadal periods (supplementary information in [
36]). Therefore, linear and polynomial rating curves were further applied for the following approximately decadal intervals in continuum: 1973–1985 (
n = 463), 1986–1995 (
n = 242), 1996–2005 (
n = 187), and 2006–2013 (
n = 142). The prerequisite of
R2 ≥ 0.8 was met for three of the four periods (1973–85: linear
R2 = 0.8, polynomial
R2 = 0.84; 1996–2005: linear
R2 = 0.81, polynomial
R2 = 0.83; 2006–13: linear
R2 = 0.82, polynomial
R2 = 0.87) (
Table 1), so corresponding rating curves for these periods were subjected to further evaluation using other three criteria. However, the period 1986–95 had
R2s (R-squares) < 0.8 (0.57) for both rating curves (
Table 1). Thus, each year was checked with annual linear and polynomial rating curves to find the years responsible for lowering the combined linear and polynomial R
2s in this period (
Table A1 in
Appendix). We found all R
2s during 1986–1990 (0.15–0.51) in one cluster, substantially lower than all R
2s during 1991–1995 (0.69–0.92) in another cluster. Hence, based on approximation of individual R
2s of annual rating curves, we combined the two periods 1986–90 (
n = 118) and 1991–95 (
n = 124) for further evaluation of their corresponding rating curves.
Table 1.
Discharge-sand load rating curves developed for Tarbert Landing of the Lowermost Mississippi River (LmMR). Here, x = ln daily discharge (Qd) (the independent variable) and y = ln daily sand load (DSL) (the dependent variable).
Table 1.
Discharge-sand load rating curves developed for Tarbert Landing of the Lowermost Mississippi River (LmMR). Here, x = ln daily discharge (Qd) (the independent variable) and y = ln daily sand load (DSL) (the dependent variable).
| Period | Discharge—Sand Load Rating Curve | Model | R2 |
|---|
| 1973–2013 | y = 2.2046x − 10.394 | Linear | 0.69 |
| y = −0.4685x2 + 11.091x − 52.388 | Polynomial | 0.70 |
| 1973–1985 | y = 2.1964x − 10.214 | Linear | 0.80 |
| y = −0.6865x2 + 15.312x − 72.613 | Polynomial | 0.84 |
| 1986–1995 | y = 2.3031x − 11.947 | Linear | 0.57 |
| y = 0.1371x2 − 0.274x + 0.1185 | Polynomial | 0.57 |
| 1986–1990 | y = 1.4283x − 4.2019 | Linear | 0.36 |
| y = −0.1473 x2 + 4.1608x − 16.823 | Polynomial | 0.36 |
| 1991–1995 | y = 2.8142x − 16.427 | Linear | 0.83 |
| y = −0.5842x2 + 13.993x − 69.687 | Polynomial | 0.86 |
| 1996–2005 | y = 2.0516x − 8.7022 | Linear | 0.81 |
| y = −0.4666x2 + 10.9x − 50.514 | Polynomial | 0.83 |
| 2006–2013 | y = 2.2267x − 10.204 | Linear | 0.82 |
| y = −0.6382x2 + 14.3x − 67.139 | Polynomial | 0.87 |
Table 2.
Root mean square errors (RMSEs) of
DSLs predicted through discharge-sand load rating curves for each period in
Table 1. Here, SE is the standard error and CF-Poly is the Duan correction factor used in polynomial rating curves, while CF-Lin is the Duan correction factor used in linear rating curves. “No CF” represents
DSLs calculated without applying correction factors during their retransformation from predicted ln
DSLs while “CF” represents
DSLs calculated by applying the correction factors during the retransformation procedure.
Table 2.
Root mean square errors (RMSEs) of DSLs predicted through discharge-sand load rating curves for each period in Table 1. Here, SE is the standard error and CF-Poly is the Duan correction factor used in polynomial rating curves, while CF-Lin is the Duan correction factor used in linear rating curves. “No CF” represents DSLs calculated without applying correction factors during their retransformation from predicted ln DSLs while “CF” represents DSLs calculated by applying the correction factors during the retransformation procedure.
| Period | RMSE-No CF (Polynomial) | RMSE-No CF (Linear) | SE | CF-Poly | CF-Lin | RMSE-CF (Polynomial) | RMSE-CF (Linear) |
|---|
| 1973–2013 | 67,950 | 71,067 | 0.823 | 1.586 | 1.592 | 75,091 | 98,817 |
| 1973–1985 | 61,604 | 72,892 | 0.596 | 1.194 | 1.213 | 62,099 | 85,875 |
| 1986–1990 | 41,021 | 41,248 | 1.132 | 1.841 | 1.662 | 181,902 | 129,574 |
| 1991–1995 | 62,625 | 71,692 | 0.572 | 1.141 | 1.174 | 63,491 | 81,031 |
| 1996–2005 | 48,444 | 55,213 | 0.505 | 1.155 | 1.152 | 48,899 | 61,483 |
| 2006–2013 | 50,261 | 81,456 | 0.496 | 1.122 | 1.13 | 51,409 | 94,689 |
Finally, we found that polynomial discharge-sand load rating curves during the four durations: 1973–1985, 1991–1995, 1996–2005 and 2006–2013 met all the four criteria and provided
DSL estimates most approximate to the measured
DSLs (
Table 1 and
Table 2;
Figure 3). We also found that the use of correction factors overestimated
DSLs slightly (for polynomial curves) as well as substantially (for linear curves) as compared to their corresponding calibrated measurements (
Table 2;
Figure 2 and
Figure 3). Hence, based on evaluation of these overestimations and previous arguments regarding unreliability of the correction factors [
49,
50], we decided to use polynomial sand rating curves categorized into aforementioned four periods without correction factor to calculate sand loads for each day from 1973 to 2013 except for the period 1986–1990. The reason for excluding rating curve analysis from 1986 to 1990 and the procedure followed to calculate daily sand loads during this period have been explained in
Section 2.6 further down.
Figure 2.
Scatter plots showing comparison between sand loads calculated from sand concentrations measured, processed and calibrated by USGS (Measured SL) and those predicted from single sand-rating curve (either linear or polynomial) (Predicted SL) at Tarbert Landing from 1973 to 2013. Here, linear rating curves were used for predicting SLs in (a) and (c)while polynomial rating curves were used for predicting SLs in (b) and (d). In addition, Duan correction factors were applied in predicted SLs of curves (c) and (d) (denoted by “CF” in the figure) while the SLs in curves (a) and (b) were predicted without correction factors (denoted by “No CF” in the figure).
Figure 2.
Scatter plots showing comparison between sand loads calculated from sand concentrations measured, processed and calibrated by USGS (Measured SL) and those predicted from single sand-rating curve (either linear or polynomial) (Predicted SL) at Tarbert Landing from 1973 to 2013. Here, linear rating curves were used for predicting SLs in (a) and (c)while polynomial rating curves were used for predicting SLs in (b) and (d). In addition, Duan correction factors were applied in predicted SLs of curves (c) and (d) (denoted by “CF” in the figure) while the SLs in curves (a) and (b) were predicted without correction factors (denoted by “No CF” in the figure).
Figure 3.
Scatter plots showing comparison between sand loads calculated from sand concentrations measured, processed and calibrated by USGS (Measured SL) and those predicted from several sand-rating curves (Predicted SL) at Tarbert Landing from 1973 to 2013. Specific terminologies pertaining to parts (
a), (
b), (
c) and (
d) of this figure
i.e., Linear, Poly, CF, and No CF are same as explained in
Figure 2. It is noted that both predicted and measured SLs during the period 1986–1990 were eliminated in this comparison because of the low
R2 value of both rating curves during this period (please see
Table 1).
Figure 3.
Scatter plots showing comparison between sand loads calculated from sand concentrations measured, processed and calibrated by USGS (Measured SL) and those predicted from several sand-rating curves (Predicted SL) at Tarbert Landing from 1973 to 2013. Specific terminologies pertaining to parts (
a), (
b), (
c) and (
d) of this figure
i.e., Linear, Poly, CF, and No CF are same as explained in
Figure 2. It is noted that both predicted and measured SLs during the period 1986–1990 were eliminated in this comparison because of the low
R2 value of both rating curves during this period (please see
Table 1).
2.7. Range of Errors Associated with Predicted Sand Loads
We considered two types of errors (E-1 and E-2) in the SL estimates (it must be noted that the standard errors discussed earlier in
Section 2.5 accounted for the entire models rather than individual estimates). E-1 is associated with the methods used by USGS for depth-integrated sampling and calibration of
SSCs. It has previously been reported to be approximately ±10% of the total calibrated
SSCs,
SSCss and
SSCfs [
51,
52,
53]. E-2 is associated with dependent variables (ln SL) in the rating curves. The confidence intervals (CI) for each “ln predicted SL” at 95% level of significance in their rating curves were provided with the help of their corresponding E-2s in our analysis (
Figure 5). We estimated an approximate E-2 of ±15% in all SLs predicted from rating curve approach (based on confidence interval plots, RMSEs and percentage difference between measured and predicted SLs which averaged −13.4% during the four periods). Thus, the total error in SL measurements and predictions (E-1 + E-2) during rating curve years was about ±25%. We only selected E-1 for all estimates during 1986–1990 because we did not use rating curve approach in this period. Therefore, error range for SL estimates during 1986–1990 was ±10%. For convenience and consistency in reporting, we used an error range of ±18% for all the SL estimates during 1973–2013 (approximately ~average of 25 and 10).
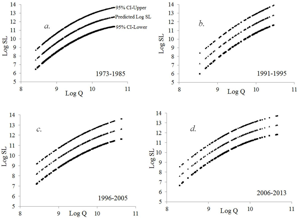
Figure 5.
Confidence interval (CI) for the all “ln predicted SL” values at 95% confidence level in accordance to their corresponding SSCs-Qd rating curves during the four periods as shown at Tarbert Landing. It is noted that in all four periods (a), (b), (c) and (d), uppermost and lowermost curves represent the upper and lower limits of the CI, while the middle curve represents all individual “ln predicted SL” values as given in a.
Figure 5.
Confidence interval (CI) for the all “ln predicted SL” values at 95% confidence level in accordance to their corresponding SSCs-Qd rating curves during the four periods as shown at Tarbert Landing. It is noted that in all four periods (a), (b), (c) and (d), uppermost and lowermost curves represent the upper and lower limits of the CI, while the middle curve represents all individual “ln predicted SL” values as given in a.
2.9. Frequency Analysis of Sand Loads
In this study, we analyzed the amount of sand transported at Tarbert Landing during 1973–2013 under different river flow conditions,
i.e., six frequencies on the flow duration curves (1%, 5%, 10%, 20%, 50%, and 75%) and five river stages (Low, Action, Intermediate, High, and Peak). The Gumbel distribution [
54,
55] was used for analyzing annual maximum and minimum
DSLs, while the Weibull distribution [
56,
57] was used for analyzing total annual sand loads (SL) at Tarbert Landing. All annual maximum/minimum
DSLs and total annual SLs during 1973 and 2013 were sorted in descending order separately at first. The non-exceedance probabilities {
F(X)} for maximum and minimum
DSLs were obtained with the Gumbel distribution (Equation (3)), while the non-exceedance probabilities for total annual SLs were obtained with the Weibull distribution (Equation (4)) as given below:
where
X is annual maximum/minimum
DSL (tonnes/day) or total annual SL (megatonnes),
m is the rank of the annual SL,
n is the total number of years in the distribution, and
a and
b are the Gumbel distribution parameters that were calculated through:
where
µx is the average and
Sx is the standard deviation of the annual maximum and minimum
DSLs.
Maximum and minimum
DSLs (
Qp) for the return periods [
T(X)] of 2-, 5-, 10-, 20-, and 40-years were calculated using the Gumbel distribution as:
where the frequency factor
K(T) is defined as:
A frequency factor is computed for a certain return. In this study, we computed frequency factors of −0.1643, 0.7195, 1.3046, 1.8658, and 2.4163 for the 2-, 5-, 10-, 20-, and 40-year return periods, respectively. Annual SLs for the same return periods were estimated using a linear interpolation from the Weibull distribution of annual SLs (i.e., 1/{1–F(X)}).