Statistical Process Control in the Environmental Monitoring of Water Quality and Wastewaters: A Review
Abstract
1. Introduction
2. Basic Concepts of Statistical Process Quality Control
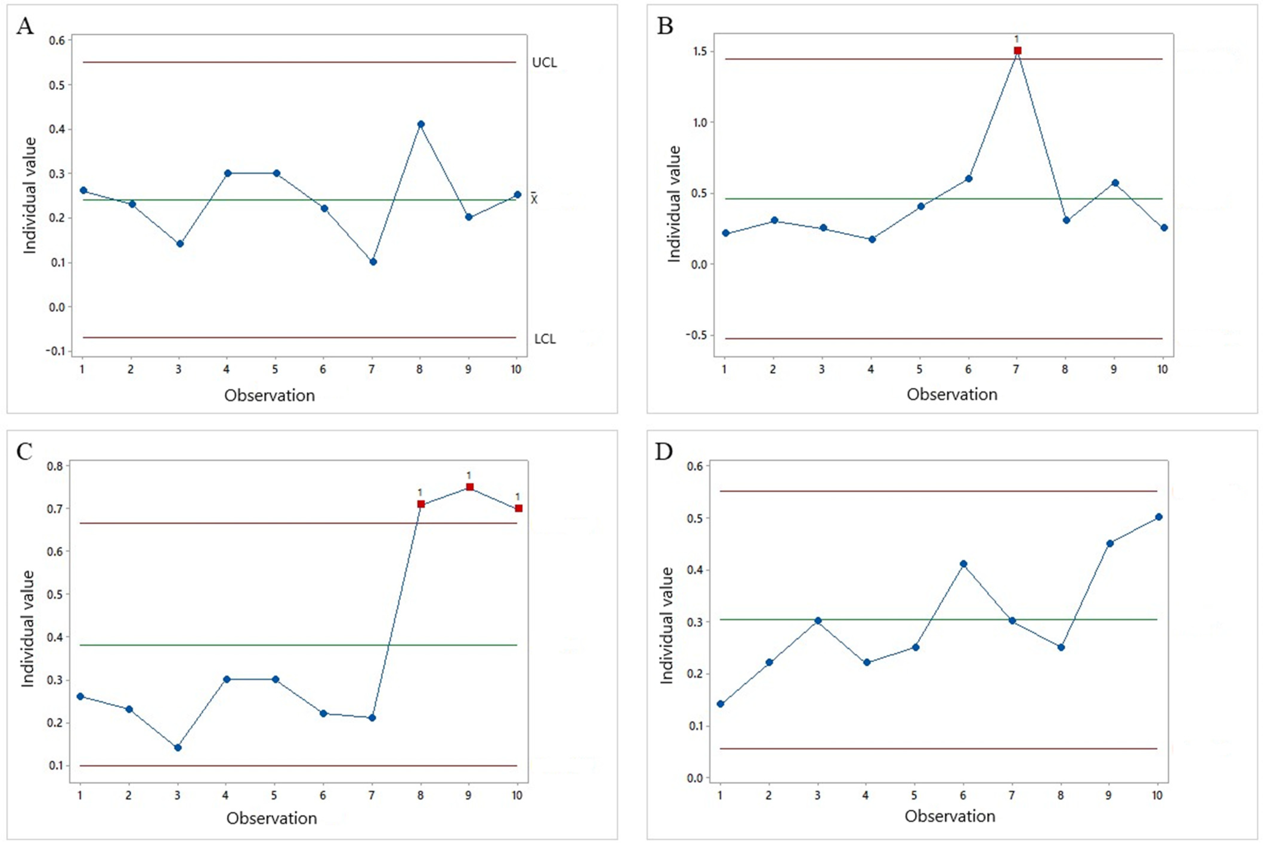
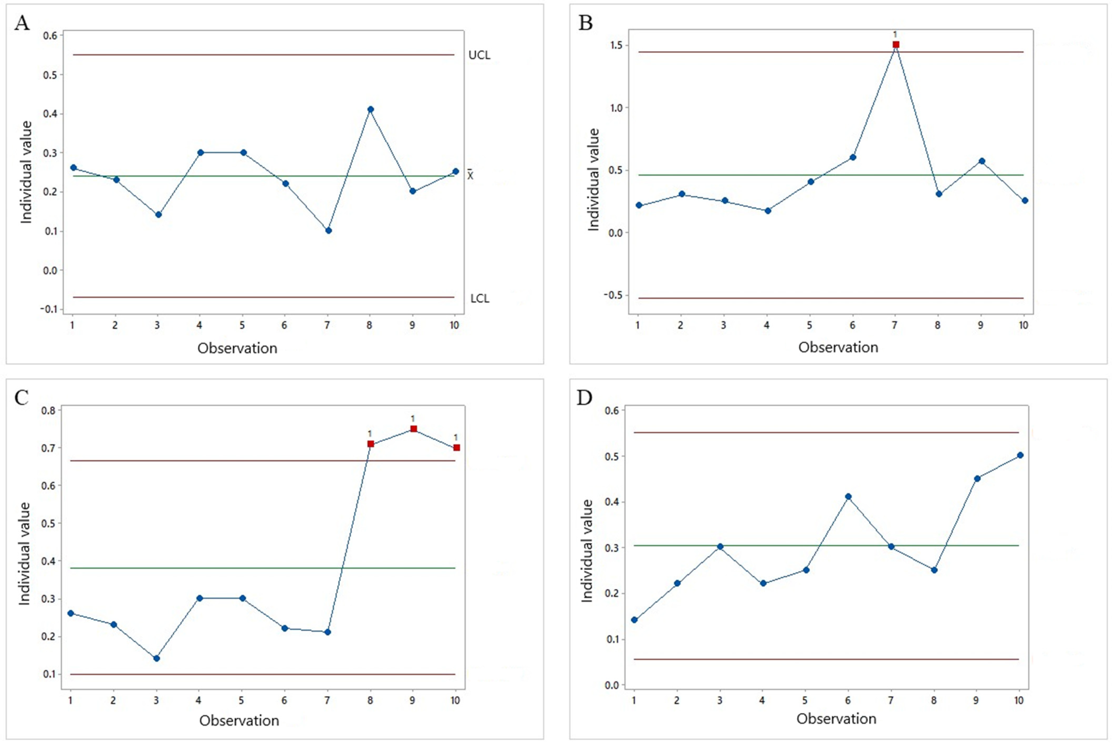
2.1. Process Control Charts
- Control charts for averages: These are also known as the control charts. They monitored the variation in the average. They will be more focused on in this work because they are usually used in the environmental monitoring of water quality and wastewaters.
- Control charts for variance: Monitor the variability in the process variance.
- Control charts for proportion of faults (p-charts): Monitor the fraction of faulty items.
- The control charts for the number of defects (c-charts) graphically express the number of defective items.
2.2. Phases of Statistical Control
2.3. Exponentially Weighted Moving Average Charts and Cumulative Sums
2.4. Process Capability Indices
3. SPC in the Environmental Monitoring of Water Quality and Wastewaters
3.1. Examples of SPC Application
3.2. Types of Monitoring Charts
3.3. Application of the Process Capability Index
3.4. Limitations and Research Gaps on the Application of SPC in Water and Wastewater Monitoring
| Author | Type and Specifications of the Monitored System | SPC Tool | Main Considerations Related to SPC | Success in Identifying the Cause? |
|---|---|---|---|---|
| Zimmerman et al. [52] | Estuary | Shewart control charts | SPC can aid decision-making by highlighting changes in water quality parameters; control charts must be kept current so that the issues can be addressed in a timely manner. | In complex systems like Mobile Bay, control charts may flag issues, but without timely investigation, the exact cause remains unknown. |
| Corbett and Pan [28] | Nitrate emissions | IX-MR and CUSUM control charts, besides process capability indices | There is a need to analyze and compare various types of charts to determine which design is appropriate, in addition to more theory and practical guidelines on emissions monitoring. | The authors identified the influence of a special cause for nitrate variation, but the exact cause remains unknown. |
| Cook et al. [44] | RWQ | Augmented ANN in AR(1) data | The augmented neural network methodology offers a viable approach for process monitoring in autocorrelated water quality parameters monitoring. | No out of control conditions were identified by the networks. |
| Zhou et al. [43] | GWQ | Combined Shewart–CUSUM charts | The Shewhart–CUSUM charts can be combined to monitor systems that are sensitive to sudden or gradual changes. | They do not identify a specific cause of variation, but highlight multiple natural and human factors affecting it over time. |
| Garcia-Diaz [53] | GWQ | Shewart charts for real values and for residuals of an ARIMA model | The combination SPC charts + ARIMA can detect changes in groundwater and also allow for water quality forecasts. | The authors identified the influence of a special cause, but the exact cause remains unknown. |
| Follador et al. [39] | RWQ | CUSUM | CUSUM charts are dynamic methodology to monitor water quality in river, but the applications to this purpose are still limited. | The authors identified the influence of a special cause, but the exact cause remains unknown. |
| Smeti et al. [34] | MWTP | Shewart control charts + control chart rules | The use of SPC may help water utilities to achieve excellence in the quality of distributed water. | The document does not explicitly state whether a specific special cause was found. |
| Follador et al. [40] | RWQ | EWMA and Shewart | Even with high data variability, the charts prove to be interesting alternatives for statistical methodology to monitor river water quality. | The authors did not specifically identify the source of the out-of-control points in the document. |
| Iglesias et al. [12] | RWQ | Shewart charts | SPC application in environmental parameters is generally limited due to non-normality, autocorrelation, and variability between rational subgroups. | The author did not find a specific abnormal source of oscillation in the data. |
| Sancho et al. [13] | RWQ | IX-MR charts | IX-MR charts are an option to use with water quality data to avoid false alarms due to autocorrelation and non-normality. | The authors concluded that dissolved oxygen variations were natural by linking temporal patterns to environmental factors and local infrastructure. |
| Samsudin et al. [42] | RWQ | Shewart and R charts, and process capability indices | The combination of principal component analysis with SPC tools may help to monitor the most important parameters to represent water quality pollution. | They attributed the detected special causes to agricultural practices, fertilizer runoff, and nearby land development activities. |
| Conceição et al. [14] | RWQ | Shewart, EWMA and CUSUM, and process capability indices | EWMA had greater sensitivity than CUSUM to express what might have happened in the study area. | The abnormal oscillations in water quality were attributed to urban sprawl, rising population, and insufficient sewage infrastructure in the drainage basins of both rivers. |
| Cruz et al. [26] | RWQ | EWMA and NPEWMA-SN | Even the EWMA chart (considered more robust among traditional SPC charts) showed a high rate of false alarms for non-normal water quality data. NPEWMA-SN is an option for a way out of this issue. | The authors did not find the special causes of variation. |
| Silva et al. [17] | RWQ | EWMA and NPEWMA-SN | By using a reference period, the SPC charts make it possible to infer the permanence of the impact of extreme pollution on the waterbody. | The author already knew the special cause beforehand and investigated the behavior during time. |
| Mhlongo et al. [48] | River and dam water quality | Process capability indices | Although the average of monitored contaminants may be within control limits, the high standard deviation indicates a relevant risk of pollution. | The authors did not identify a specific special cause of variation. |
| Baldiris-Navarro et al. [41] | Lagoon water quality control | IX-MR charts and process capability indices | The water quality parameters monitored are in control, but are not capable of meeting regulatory standards. | The author did not conclusively identify a specific special cause of variation. |
| Elevli et al. [32] | MWTP | Shewart charts with residuals from fitted ARIMA models | The chart based on residuals is more appropriate for autocorrelated data to evaluate the stability of the water treatment process. | The authors did not identify or specify the exact special causes of variation. |
| Hizni’am et al. [15] | MWTP | Shewart charts for individuals measures | Control charts can also provide information that is useful in improving the process. | They identified and named the specific root causes and detailed analysis of each unit in the process. |
| Le et al. [37] | Process water in the mining industry | Multivariate process control chart: Q residue and Hotellings T2 | Multivariate SPC could be used to detect the faults and malfunctions and study the correlations between analyzed variables in processed water systems. | The author did find special causes of variation and they identified the specific causes behind those variations. |
| Spindler and Vanrolleghem [38] | Quality control MWWTP and refinery wastewater treatment plant | CUSUM | CUSUM method has good performance for mass balancing and to detect limits for errors. | The author did find special causes of variation in the data. |
| Orssatto et al. [36] | MWWTP | Shewart control chart and process capability indices | The Shewart chart and process capability ratios indicated that the investigated WWTP were not able to comply with release standards required by environmental law. | The authors discussed the possible physical or operational reasons behind the detected out-of-control behavior. |
| Orssatto et al. [29] | MWWTP | EWMA | Maintaining operation records, together with the analysis of SPC graphs, can support preventive and corrective actions in the operation of WWTPs. | The author did find special causes of variation and explicitly discussed their likely sources. |
| Mohammed Redha et al. [46] | MWWTP | Shewart with Nelson rules and Hotelling T2 | SPC charts proved their applicability for the wastewater process as a quick and efficient monitoring strategy despite the complex nature of the wastewater and the contribution of the hot climate. | The authors did find special causes of variation and they explicitly identified them. |
| Vilvert et al. [35] | Slaugther houses wastewater treatment plant | Shewart charts | SPC can generate data to guiding the implementation of biodigesters and contribute to its dissemination and consolidation. | The study successfully detected and discussed special causes of variation. |
| Shamsuzzaman et al. [16] | Industrial wastewater | Shewart charts | The optimization of SPC chart parameter can save costs in monitoring. | The author did not identify a specific special cause of variation. |
| Yamanaka et al. [47] | MWWTP | Modular MSPC | The adoption of the Modular-MSPC improved model tractability and demonstrated good performance. | The authors did find special causes of variation and they explicitly identified them. |
4. Conclusions and Prospects
Author Contributions
Funding
Data Availability Statement
Conflicts of Interest
Abbreviations
| Abbreviation | Description |
| ARIMA | Autoregressive integrated moving average |
| CUSUM | Cumulative sum |
| EWWA | Exponentially weighted moving average |
| GWQ | Groundwater quality control |
| LCL | Lower control limit |
| MWTP | Municipal water treatment plant |
| MWWTP | Municipal wastewater treatment plant |
| NPEWMA-SN | Non-parametric signal EWMA |
| PCI, CP, CPK, CPS, CPO | Process capability indices |
| RS/P | Recursive segmentation and permutation |
| RWQ | River water quality control |
| SPC | Statistical process control |
| UCL | Upper control limit |
References
- Ahmadi, M.S.; Susnik, J.; Veerbeek, W.; Zevenbergen, C. Towards a Global Day Zero? Assessment of Current and Future Water Supply and Demand in 12 Rapidly Developing Megacities. Sustain. Cities Soc. 2020, 61, 102295. [Google Scholar] [CrossRef]
- van Vliet, M.T.H.; Jones, E.R.; Flörke, M.; Franssen, W.H.P.; Hanasaki, N.; Wada, Y.; Yearsley, J.R. Global Water Scarcity Including Surface Water Quality and Expansions of Clean Water Technologies. Environ. Res. Lett. 2021, 16, 024020. [Google Scholar] [CrossRef]
- Baptista, C.; Santos, L. Water Quality Monitoring in the Paul Do Boquilobo Biosphere Reserve. Phys. Chem. Earth Parts A/B/C 2016, 94, 180–187. [Google Scholar] [CrossRef]
- von Sperling, M. Introdução à Qualidade das Águas e ao Tratamento de Esgotos, 2nd ed.; UFMG: Belo Horizonte, Brazil, 2014; Volume 1. [Google Scholar]
- von Sperling, M.; Verbyla, M.E.; Oliveira, S.M.A.C. Assessment of Treatment Plant Performance and Water Quality Data: A Guide for Students, Researchers and Practitioners; IWA Publishing: London, UK, 2020; ISBN 978-1-78040-932-0. [Google Scholar]
- Montgomery, D. Introduction to Statistical Quality Control, 8th ed.; Wiley: Hoboken, NJ, USA, 2019. [Google Scholar]
- Maurer, D.; Mengel, M.; Robertson, G.; Gerlinger, T.; Lissner, A. Statistical Process Control in Sediment Pollutant Analysis. Environ. Pollut. 1999, 104, 21–29. [Google Scholar] [CrossRef]
- Rosin, T.R.; Kapelan, Z.; Keedwell, E.; Romano, M. Near Real-Time Detection of Blockages in the Proximity of Combined Sewer Overflows Using Evolutionary ANNs and Statistical Process Control. J. Hydroinformatics 2022, 24, 259–273. [Google Scholar] [CrossRef]
- Saudi, A.S.M.; Juahir, H.; Azid, A.; Azaman, F. Flood Risk Index Assessment in Johor River Basin. Malays. J. Anal. Sci. 2015, 19, 991–1000. [Google Scholar]
- Ali, Z.; Qamar, S.; Khan, N.; Faisal, M.; Sammen, S.S. A New Regional Drought Index under X-Bar Chart Based Weighting Scheme—The Quality Boosted Regional Drought Index (QBRDI). Water Resour. Manag. 2023, 37, 1895–1911. [Google Scholar] [CrossRef]
- Jung, D.; Kang, D.; Liu, J.; Lansey, K. Improving the Rapidity of Responses to Pipe Burst in Water Distribution Systems: A Comparison of Statistical Process Control Methods. J. Hydroinformatics 2015, 17, 307–328. [Google Scholar] [CrossRef]
- Iglesias, C.; Sancho, J.; Piñeiro, J.I.; Martínez, J.; Pastor, J.J.; Taboada, J. Shewhart-Type Control Charts and Functional Data Analysis for Water Quality Analysis Based on a Global Indicator. Desalination Water Treat. 2016, 57, 2669–2684. [Google Scholar] [CrossRef]
- Sancho, J.; Iglesias, C.; Piñeiro, J.; Martínez, J.; Pastor, J.J.; Araújo, M.; Taboada, J. Study of Water Quality in a Spanish River Based on Statistical Process Control and Functional Data Analysis. Math. Geosci. 2016, 48, 163–186. [Google Scholar] [CrossRef]
- Conceição, K.Z.D.; Boas, M.A.V.; Sampaio, S.C.; Remor, M.B.; Bonaparte, D.I. Statistical Control of the Process Applied to the Monitoring of the Water Quality Index. Eng. Agríc. 2018, 38, 951–960. [Google Scholar] [CrossRef]
- Hizni’am, N.A.; Karnaningroem, N.; Mardyanto, M.A. Study of Karangpilang II Water Production Quality Control Using Statistical Process Control (SPC). IJPS 2019, 5, 248. [Google Scholar] [CrossRef]
- Shamsuzzaman, M.; Haridy, S.; Maged, A.; Bashir, H.; Shamsuzzoha, A.; Ali, A. An Effective Statistical Process Control Scheme for Industrial Environmental Monitoring. Chemom. Intell. Lab. Syst. 2022, 229, 104651. [Google Scholar] [CrossRef]
- Silva, G.J.D.; Borges, A.C.; Moreira, M.C.; Rosa, A.P. Statistical Process Control in Assessing Water Quality in the Doce River Basin after the Collapse of the Fundão Dam (Mariana, Brazil). J. Environ. Manag. 2022, 317, 115402. [Google Scholar] [CrossRef]
- Western Electric Co., Ltd. Statistical Quality Control Handbook, 1st ed.; Western Electric Co., Ltd.: Rosville, CA, USA, 1956. [Google Scholar]
- Corrêa, J.M.; Neto, A.C. Estudo do Controle e Análise da Capacidade do Processo de Produção de Água Potável. In Proceedings of the 41st Brazilian Symposium on Operations Research (SBPO), Brazil; 2009; pp. 1414–1424. [Google Scholar]
- Koutras, M.V.; Bersimis, S.; Maravelakis, P.E. Statistical Process Control Using Shewhart Control Charts with Supplementary Runs Rules. Methodol. Comput. Appl. Probab. 2007, 9, 207–224. [Google Scholar] [CrossRef]
- Ribeiro Junior, J.I. Métodos Estatísticos Aplicados Ao Controle Da Qualidade; Universidade Federal de Viçosa: Minas Gerais, Brazil, 2013. [Google Scholar]
- Newhart, K.B.; Holloway, R.W.; Hering, A.S.; Cath, T.Y. Data-Driven Performance Analyses of Wastewater Treatment Plants: A Review. Water Res. 2019, 157, 498–513. [Google Scholar] [CrossRef] [PubMed]
- Capizzi, G.; Masarotto, G. Phase I Distribution-Free Analysis of Univariate Data. J. Qual. Technol. 2013, 45, 273–284. [Google Scholar] [CrossRef]
- Boffoli, N.; Baldassarre, M.T.; Caivano, D. Statistical Process Control for Software: Fill the Gap. In Quality Management and Six Sigma; Sciyo, 2010; ISBN 978-953-307-130-5. [Google Scholar] [CrossRef]
- Page, E.S. Continuous Inspection Schemes. Biometrika 1954, 41, 100–115. [Google Scholar] [CrossRef]
- Cruz, D.V.D.; Cunha Filho, M.; Piscoya, V.C.; Cunha, A.L.X. Monitoramento da Demanda Quimíca de Oxigênio Baseado Em Gráfico de Controle Não Paramétrico Npewma-Sn. Rev. Bras. Biom. 2019, 37, 178–190. [Google Scholar] [CrossRef]
- Roberts, S.W. Control Chart Tests Based on Geometric Moving Averages. Tehnometrics 1959, 1, 239–250. [Google Scholar] [CrossRef]
- Corbett, C.J.; Pan, J.-N. Evaluating Environmental Performance Using Statistical Process Control Techniques. Eur. J. Oper. Res. 2002, 139, 68–83. [Google Scholar] [CrossRef]
- Orssatto, F.; Boas, M.V.; Eyng, E. Gráfico de controle da média móvel exponencialmente ponderada: Aplicação na operação e monitoramento de uma estação de tratamento de esgoto. Eng. Sanit. Ambient. 2015, 20, 543–550. [Google Scholar] [CrossRef]
- de-Felipe, D.; Benedito, E. A Review of Univariate and Multivariate Process Capability Indices. Int. J. Adv. Manuf. Technol. 2017, 92, 1687–1705. [Google Scholar] [CrossRef]
- Sullivan, L.P. Quality Progress; American Society for Quality: Milwaukee, WI, USA, 1985; Volume 18. [Google Scholar]
- Elevli, S.; Uzgören, N.; Bingöl, D.; Elevli, B. Drinking Water Quality Control: Control Charts for Turbidity and pH. J. Water Sanit. Hyg. Dev. 2016, 6, 511–518. [Google Scholar] [CrossRef]
- Benzaraa, T.; Ramdani, M.; Mendaci, K.; Abdenabi, A. Nonlinear Model-Based Coagulant Dosing Control at Water Treatment Plants. J. Adv. Sci. Appl. Eng. 2014, 01, 50–54. [Google Scholar]
- Smeti, E.M.; Thanasoulias, N.C.; Kousouris, L.P.; Tzoumerkas, P.C. An Approach for the Application of Statistical Process Control Techniques for Quality Improvement of Treated Water. Desalination 2007, 213, 273–281. [Google Scholar] [CrossRef]
- Vilvert, A.J.; Saldeira Junior, J.C.; Bautitz, I.R.; Zenatti, D.C.; Andrade, M.G.; Hermes, E. Minimization of Energy Demand in Slaughterhouses: Estimated Production of Biogas Generated from the Effluent. Renew. Sustain. Energy Rev. 2020, 120, 109613. [Google Scholar] [CrossRef]
- Orssatto, F.; Vilas Boas, M.A.; Nagamine, R.; Uribe-Opazo, M.A. Shewhart’s Control Charts and Process Capability Ratio Applied to a Sewage Treatment Station. Eng. Agríc. 2014, 34, 770–779. [Google Scholar] [CrossRef]
- Le, T.M.K.; Mäkelä, M.; Schreithofer, N.; Dahl, O. A Multivariate Approach for Evaluation and Monitoring of Water Quality in Mining and Minerals Processing Industry. Miner. Eng. 2020, 157, 106582. [Google Scholar] [CrossRef]
- Spindler, A.; Vanrolleghem, P.A. Dynamic Mass Balancing for Wastewater Treatment Data Quality Control Using CUSUM Charts. Water Sci. Technol. 2012, 65, 2148–2153. [Google Scholar] [CrossRef]
- Follador, F.A.C.; Boas, M.A.V.; Schoenhals, M.; Hermes, E.; Rech, C. Tabular Cusum Control Charts of Chemical Variables Applied to the Control of Surface Water Quality. Eng. Agríc. 2012, 32, 951–960. [Google Scholar] [CrossRef]
- Follador, F.A.C.; Boas, M.A.V.; Malmann, L.; Villwock, R. Controle de Qualidade da Agua Medido Através de Cartas de Controle de Shewhart, Cusum e Mmep. Eng. Ambient. Espírito St. Pinhal 2012, 9, 183–197. [Google Scholar]
- Baldiris-Navarro, I.; Castillo, D.J.D.; Acosta, J.C. Statistical Process Control Applied to Water Quality Assessment: A Case Study of the Cabrero Lagoon, Colobian Caribbean. Tek. Rev. Científica 2022, 22, 49–58. [Google Scholar] [CrossRef]
- Samsudin, M.S.; Azid, A.; Khalit, S.I.; Saudi, A.S.M.; Zaudi, M.A. River Water Quality Assessment Using APCS-MLR and Statistical Process Control in Johor River Basin, Malaysia. Int. J. Adv. Appl. Sci. 2017, 4, 84–97. [Google Scholar] [CrossRef]
- Zhou, W.; Beck, B.F.; Pettit, A.J.; Wang, J. Application of Water Quality Control Charts to Spring Monitoring in Karst Terranes. Environ. Geol. 2008, 53, 1311–1321. [Google Scholar] [CrossRef]
- Cook, D.F.; Zobel, C.W.; Wolfe, M.L. Environmental Statistical Process Control Using an Augmented Neural Network Classification Approach. Eur. J. Oper. Res. 2006, 174, 1631–1642. [Google Scholar] [CrossRef]
- Rogalewicz, M. Some Notes on Multivariate Statistical Process Control. Manag. Prod. Eng. Rev. 2012, 3, 80–86. [Google Scholar] [CrossRef]
- Mohammed Redha, Z.; Bu-Ali, Q.; Ebrahim, F.A.; Jaafar, B.H.; Khattak, S.R. The Application of Statistical Process Control Techniques for Quality Improvement of the Municipal Wastewater-Treated Process. Arab. J. Sci. Eng. 2023, 48, 8613–8628. [Google Scholar] [CrossRef]
- Yamanaka, O.; Namba, R.; Obara, T.; Hiraoka, Y. A New Approach to Multivariate Statistical Process Control and Its Application to Wastewater Treatment Process Monitoring. Int. J. Progn. Health Manag. 2024, 15, 2153–2648. [Google Scholar] [CrossRef]
- Mhlongo, S.; Mativenga, P.T.; Marnewick, A. Water Quality in a Mining and Water-Stressed Region. J. Clean. Prod. 2018, 171, 446–456. [Google Scholar] [CrossRef]
- Lima, R.P.C.; Silva, D.D.D.; Moreira, M.C.; Passos, J.B.M.C.; Coelho, C.D.; Elesbon, A.A.A. Development of an Annual Drought Classification System Based on Drought Severity Indexes. An. Acad. Bras. Ciênc. 2019, 91, e20180188. [Google Scholar] [CrossRef] [PubMed]
- Box, G.E.P.; Jenkins, G.M.; Reinsel, G.C. Time Series Analysis: Forecasting and Control, 4th ed.; Wiley: Hoboken, NJ, USA, 2008. [Google Scholar]
- Russo, S.L.; Camargo, M.E.; Fabris, J.P. Applications of Control Charts Arima for Autocorrelated Data. In Practical Concepts of Quality Control; Nezhad, M.S.F., Ed.; IntechOpen: London, UK, 2012; pp. 123–140. [Google Scholar]
- Zimmerman, S.M.; Dardeau, M.R.; Crozier, G.F.; Wagstaff, B. The Second Battle of Mobile Bay—Using SPC to Control the Quality of Water Monitoring. Comput. Ind. Eng. 1996, 31, 257–260. [Google Scholar] [CrossRef]
- García-Díaz, J.C. Monitoring and Forecasting Nitrate Concentration in the Groundwater Using Statistical Process Control and Time Series Analysis: A Case Study. Stoch. Environ. Res. Risk Assess. 2011, 25, 331–339. [Google Scholar] [CrossRef]
- Chong, Z.L.; Mukherjee, A.; Khoo, M.B.C. Some simplified Shewhart-type distribution-free joint monitoring schemes and its application in monitoring drinking water turbidity. Qual. Eng. 2019, 32, 91–110. [Google Scholar] [CrossRef]



| Rule | Description | Problem Indicated |
|---|---|---|
| R1 | 1 point outside the control limits (more than 3 σ). | A large change. |
| R2 | 2 out of 3 consecutive stitches on the same side of the center line, more than 2 σ from the center line (zone A). | An average change. |
| R3 | 4 out of 5 consecutive stitches, which are on the same side of the center line, more than 1 σ from the center line (zones B or A). | A small change. |
| R4 | 8 or 9 stitches on the same side as the center row. | A small but persistent change. |
| R5 | 8 consecutive points, outside the C zone, on both sides of the center line. | A mixture of patterns. |
| R6 | 15 consecutive points, all within the C zone. | Stratification. |
| R7 | 14 consecutive stitches, alternating up and down. | Systematic (non-random) variation. |
| R8 | 6 consecutive stitches, increasing or decreasing. | A trend. |
Disclaimer/Publisher’s Note: The statements, opinions and data contained in all publications are solely those of the individual author(s) and contributor(s) and not of MDPI and/or the editor(s). MDPI and/or the editor(s) disclaim responsibility for any injury to people or property resulting from any ideas, methods, instructions or products referred to in the content. |
© 2025 by the authors. Licensee MDPI, Basel, Switzerland. This article is an open access article distributed under the terms and conditions of the Creative Commons Attribution (CC BY) license (https://creativecommons.org/licenses/by/4.0/).
Share and Cite
da Silva, G.J.; Borges, A.C. Statistical Process Control in the Environmental Monitoring of Water Quality and Wastewaters: A Review. Water 2025, 17, 1281. https://doi.org/10.3390/w17091281
da Silva GJ, Borges AC. Statistical Process Control in the Environmental Monitoring of Water Quality and Wastewaters: A Review. Water. 2025; 17(9):1281. https://doi.org/10.3390/w17091281
Chicago/Turabian Styleda Silva, Greicelene Jesus, and Alisson Carraro Borges. 2025. "Statistical Process Control in the Environmental Monitoring of Water Quality and Wastewaters: A Review" Water 17, no. 9: 1281. https://doi.org/10.3390/w17091281
APA Styleda Silva, G. J., & Borges, A. C. (2025). Statistical Process Control in the Environmental Monitoring of Water Quality and Wastewaters: A Review. Water, 17(9), 1281. https://doi.org/10.3390/w17091281

