Discharge Efficiency of an Innovative Composite Piano Key Weir
Abstract
1. Introduction
2. Model Setup
2.1. Investigated Model Configurations
2.2. Numerical Model
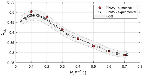
2.3. Verification of Numerical Results
3. Results and Discussions
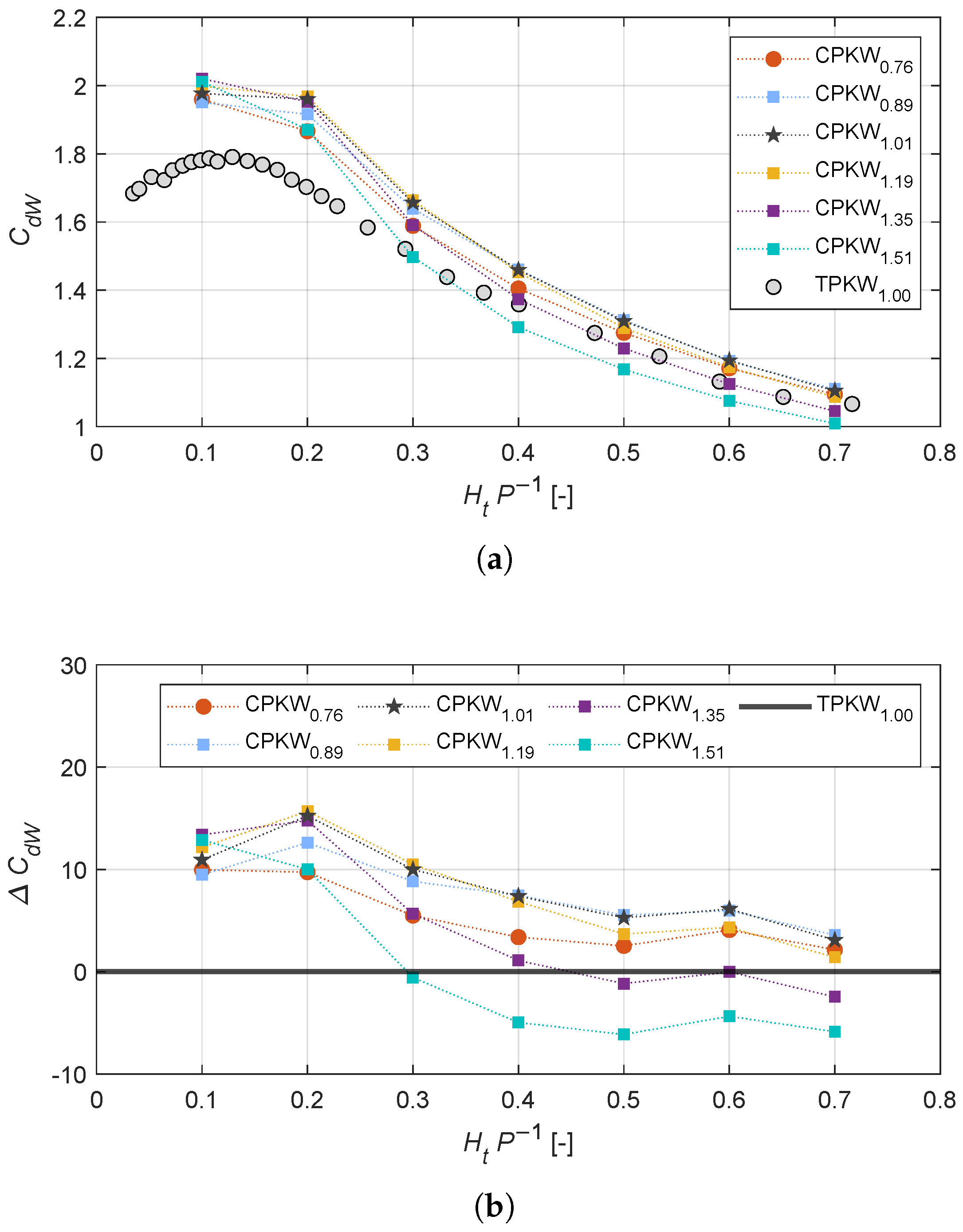
3.1. Overall Discharge Performance of CPKWs
- The composite plan form effectively enlarges the total crest length of the original TPKW.
- The intergration of the rectangular shape on the upstream side optimizes the outlet cross-section, offering more space for the flow evacuation and enhancing the mitigation of the nappe interference effect.
3.2. Influence of Key Width Ratio
- The upstream apex;
- The downstream apex;
- The rectangular section of the side wall;
- The trapezoidal section of the side wall.
3.3. Discharge Distribution of CPKWs
4. Conclusions
- Enhanced Discharge Performance: Compared to conventional trapezoidal piano key weirs (TPKWs), the proposed innovative composite configuration enlarges the total crest length while effectively mitigating local nappe interference, resulting in improved overall discharge efficiency.
- Optimal Key Width Ratio: The discharge performance of CPKW can be further enhanced by optimizing the key width ratio. Results show that the key width ratio has a greater impact on the efficiency of up- and downstream apexes than on the side wall. For the specific composite configurations investigated in this study, the optimal key width ratio, which achieves the best balance between maximizing inlet efficiency and mitigating the adverse effects of local submergence, is identified to be within the range of R = 0.89–1.01.
- Discharge Distribution: For low heads (), a uniform discharge distribution was observed, where the side walls contributed an equivalent portion of discharge relative to their length. Beyond , the proportion of discharge contributed by the side walls generally decreased, indicating the critical threshold at which the local submergence became significant and started to affects the lateral outflow. Moreover, the trapezoidal section of the side wall was observed to be more efficient and contributed a higher portion of discharge than the rectangular part, since it was less affected by the lateral and longitudinal nappe interference.
Author Contributions
Funding
Data Availability Statement
Conflicts of Interest
Notations
| B | weir length (m) |
| weir base length (m) | |
| inlet key overhang length (m) | |
| outlet key overhang length (m) | |
| discharge coefficient related to total crest center-line length | |
| discharge coefficient related to total weir width | |
| e | relative error |
| g | gravity acceleration () |
| grid refinement factor | |
| parapet wall height (m) | |
| sum of the piezometric head above the weir crest (m) | |
| total upstream head relative to weir crest (m) | |
| L | total crest center-line length of tested weirs (m) |
| P | weir height (m) |
| Q | discharge () |
| R | ratio of inlet key width upstream to outlet key width downstream |
| trapezoidal side-wall length (m) | |
| rectangular side-wall length (m) | |
| v | flow rate () |
| W | total weir width (m) |
| inlet key width downstream (m) | |
| inlet key width upstream (m) | |
| outlet key width downstream (m) | |
| outlet key width upstream (m) | |
| side-wall angle (degree) |
Abbreviations
| CFDs | computational fluid dynamics |
| CPKW | composite piano key weir with rectangular and trapeyoidal planforms |
| exp | experimental |
| FAVOR | fractional area/volume obstacle representation |
| GCI | grid convergence index |
| num | numerical model |
| PKW | piano key weir |
| RNG | re-normalization group |
| TPKW | piano key weir with trapezoidal planform |
| VOF | volume of fluid |
References
- Seneviratne, S.I.; Zhang, X.; Adnan, M.; Badi, W.; Dereczynski, C.; Di Luca, A.; Ghosh, S.; Iskandar, I.; Kossin, J.; Lewis, S.; et al. Weather and Climate Extreme Events in a Changing Climate. In Climate Change 2021: The Physical Science Basis. Contribution of Working Group I to the Sixth Assessment Report of the Intergovernmental Panel on Climate Change; Masson-Delmotte, V., Zhai, P., Pirani, A., Connors, S.L., Péan, C., Berger, S., Caud, N., Chen, Y., Goldfarb, L., Gomis, M.I., et al., Eds.; Cambridge University Press: Cambridge, UK, 2021; pp. 2771–3142. [Google Scholar]
- Milly, P.C.D.; Betancourt, J.; Falkenmark, M.; Hirsch, R.M.; Kundzewicz, Z.W.; Lettenmaier, D.P.; Stouffer, R.J. Stationarity is dead: Whither water management? Science 2008, 319, 573–574. [Google Scholar] [PubMed]
- Hirabayashi, Y.; Mahendran, R.; Koirala, S.; Konoshima, L.; Yamazaki, D.; Watanabe, S.; Kim, H.; Kanae, S. Global flood risk under climate change. Nat. Clim. Change 2013, 3, 816–821. [Google Scholar]
- Arnell, N.W.; Gosling, S.N. The impacts of climate change on river flood risk at the global scale. Clim. Change 2016, 134, 387–401. [Google Scholar]
- Kundzewicz, Z.W.; Kanae, S.; Seneviratne, S.I.; Handmer, J.; Nicholls, N.; Peduzzi, P.; Mechler, R.; Bouwer, L.M.; Arnell, N.; Mach, K.; et al. Flood risk and climate change: Global and regional perspectives. Hydrol. Sci. J. 2014, 59, 1–28. [Google Scholar] [CrossRef]
- Rosenberger, L.; Leandro, J.; Pauleit, S.; Erlwein, S. Sustainable stormwater management under the impact of climate change and urban densification. J. Hydrol. 2021, 596, 126137. [Google Scholar]
- Machiels, O.; Erpicum, S.; Dewals, B.J.; Archambeau, P.; Pirotton, M. Experimental Observation of Flow Characteristics over A Piano Key Weir. J. Hydraul. Res. 2011, 49, 359–366. [Google Scholar]
- Leite Ribeiro, M.; Bieri, M.; Boillat, J.-L.; Schleiss, A.J.; Singhal, G.; Sharma, N. Discharge Capacity of Piano Key Weirs. J. Hydraul. Eng. 2012, 138, 199–203. [Google Scholar]
- Lempérière, F.; Ouamane, A. The piano keys weir: A new cost-effective solution for spillways. Int. J. Hydropower Dams 2003, 10, 144–149. [Google Scholar]
- Crookston, B.M.; Erpicum, S.; Tullis, B.P.; Laugier, F. Hydraulics of Labyrinth and Piano Key Weirs: 100 Years of Prototype Structures, Advancements, and Future Research Needs. J. Hydraul. Eng. 2019, 145, 02519004. [Google Scholar]
- Singh, D.; Kumar, M. Hydraulic Design and Analysis of Piano Key Weirs: A Review. Arab. J. Sci. Eng. 2022, 47, 5093–5107. [Google Scholar]
- Eslinger, K.R.; Crookston, B.M. Energy Dissipation of Type a Piano Key Weirs. Water 2020, 12, 1253. [Google Scholar] [CrossRef]
- Bekheet, A.A.; AboulAtta, N.M.; Saad, N.Y.; El-Molla, D.A. Effect of the shape and type of piano key Weirs on the flow efficiency. Ain Shams Eng. J. 2022, 13, 101620. [Google Scholar]
- Leite Ribeiro, M.; Pfister, M.; Schleiss, A.J.; Boillat, J.L. Hydraulic design of A-type Piano Key Weirs. J. Hydraul. Res. 2012, 50, 400–408. [Google Scholar]
- Leite Ribeiro, M.; Boillat, J.L.; Schleiss, A.J. Experimental parametric study for hydraulic design of PKWs. In Proceedings of the International Conference on Labyrinth and Piano Key Weirs-PKW 2011, Liège, Belgium, 9–11 February 2011; pp. 183–190. [Google Scholar]
- Machiels, O.; Pirotton, M.; Pierre, A.; Dewals, B.; Erpicum, S. Experimental parametric study and design of Piano Key Weirs. J. Hydraul. Res. 2014, 52, 326–335. [Google Scholar] [CrossRef]
- Li, G.; Li, S.; Hu, Y. The effect of the inlet/outlet width ratio on the discharge of piano key weirs. J. Hydraul. Res. 2019, 58, 594–604. [Google Scholar] [CrossRef]
- Li, S.; Li, G.; Jiang, D.; Ning, J. Influence of auxiliary geometric parameters on discharge capacity of piano key weirs. Flow Meas. Instrum. 2020, 72, 101719. [Google Scholar]
- Shen, X.; Oertel, M. Influence of Piano Key Weir Crest Shapes on Flow Characteristics, Scale Effects, and Energy Dissipation for In-Channel Application. J. Hydraul. Eng. 2023, 149, 04023010. [Google Scholar]
- Cicero, G.M.; Delisle, J.R.; Lefebvre, V.; Vermeulen, J. Experimental and numerical study of the hydraulic performance of a trapezoidal Piano Key weir. In Proceedings of the Second International Workshop on Labyrinth and Piano Key Weirs 2013, Paris, France, 20–22 November 2013; pp. 265–272. [Google Scholar]
- Kumar, M.; Sihag, P.; Tiwari, N.K.; Ranjan, S. Experimental study and modelling discharge coefficient of trapezoidal and rectangular piano key weirs. Appl. Water Sci. 2020, 10, 43. [Google Scholar]
- Yang, J.; Li, S.; Helgesson, A.; Skepparkrans, E.; Ansell, A. Geometric Modification of Piano Key Weirs to Enhance Hydraulic Performance and Discharge Capacity. Water 2021, 15, 4148. [Google Scholar] [CrossRef]
- Shen, X.; Oertel, M. Comparative Study of Nonsymmetrical Trapezoidal and Rectangular Piano Key Weirs with Varying Key Width Ratios. J. Hydraul. Eng. 2021, 147, 0421045. [Google Scholar]
- Pralong, J.; Montarros, F.; Blancher, B.; Laugier, F. A sensitivity analysis of Piano Key Weirs geometrical parameters based on 3D numerical modeling. In Proceedings of the International Conference on Labyrinth and Piano Key Weirs-PKW 2011, Liège, Belgium, 9–11 February 2011; pp. 133–139. [Google Scholar]
- Pfister, M.; Boillat, J.L.; Schleiss, A.J.; Laugier, F.; Leite Ribeiro, M. Piano key weirs as efficient spillway structure. In Proceedings of the 24th Congress of CIGB-ICOLD, Kyoto, Japan, 6–8 June 2012; pp. 176–186. [Google Scholar]
- Safarzadeh, A.; Noroozi, B. 3D Hydrodynamics of Trapezoidal Piano Key Spillways. Int. J. Civ. Eng. 2017, 15, 89–101. [Google Scholar] [CrossRef]
- Celik, I.B.; Ghia, U.; Roache, P.J.; Freitas, C.J.; Coleman, H.; Raad, P.E. Procedure for Estimation and Reporting of Uncertainty Due to Discretization in CFD Applications. J. Fluids Eng. 2008, 130, 078001. [Google Scholar]
- Savage, B.M.; Crookston, B.M.; Paxson, G.S. Physical and Numerical Modeling of Large Headwater Ratios for a 15° Labyrinth Spillway. J. Hydraul. Eng. 2016, 138, 04016046. [Google Scholar]
- Hu, H.; Qian, Z.; Yang, W.; Hou, D.; Du, L. Numerical study of characteristics and discharge capacity of piano key weirs. Flow Meas. Instrum. 2018, 62, 27–32. [Google Scholar]
- Crookston, B.M.; Anderson, R.M.; Tullis, B.P. Free-flow discharge estimation method for Piano Key weir geometries. J. Hydro-Environ. Res. 2018, 19, 160–167. [Google Scholar]
- Anderson, R.M.; Tullis, B.P. Piano Key Weir: Reservoir versus Channel Application. J. Irrig. Drain. Eng. 2012, 138, 773–776. [Google Scholar] [CrossRef]










| Model | Type | R [1] | P | B | L | W | [2] | |||||
|---|---|---|---|---|---|---|---|---|---|---|---|---|
| Trapezoidal Piano Key Weir | ||||||||||||
| exp [3] | 1.00 | 300 | 480 | 1103 | 300 | 201.4 | 98.6 | 98.6 | 201.4 | 15 | 6.5 | |
| Composite Piano Key Weirs | ||||||||||||
| num [4] | 0.76 | 300 | 480 | 1148 | 300 | 153.4 | 98.6 | 146.6 | 201.4 | 50 | 6.5 | |
| num | 0.89 | 167.0 | 112.2 | 133.0 | 187.8 | |||||||
| num | 1.01 | 179.1 | 124.3 | 120.9 | 175.7 | |||||||
| num | 1.19 | 192.6 | 137.8 | 107.4 | 162.2 | |||||||
| num | 1.35 | 204.0 | 149.2 | 96.0 | 150.8 | |||||||
| num | 1.51 | 213.5 | 158.7 | 86.5 | 141.3 | |||||||
| Initial Grid | Representative | Total Grid | Refinement | Q | Relative | GCI | Computation |
|---|---|---|---|---|---|---|---|
| Size [mm] | Grid Size [mm] | Number | Factor | [] | Error () | [%] | Time [h] |
| 12 | 9.5 | 118,944 | - | 26.02 | - | - | 4 |
| 10 | 7.6 | 218,220 | 1.245 | 25.90 | 0.0046 | 1.50 | 7 |
| 8 | 6.0 | 422,000 | 1.257 | 25.81 | 0.0035 | 1.07 | 14 |
Disclaimer/Publisher’s Note: The statements, opinions and data contained in all publications are solely those of the individual author(s) and contributor(s) and not of MDPI and/or the editor(s). MDPI and/or the editor(s) disclaim responsibility for any injury to people or property resulting from any ideas, methods, instructions or products referred to in the content. |
© 2025 by the authors. Licensee MDPI, Basel, Switzerland. This article is an open access article distributed under the terms and conditions of the Creative Commons Attribution (CC BY) license (https://creativecommons.org/licenses/by/4.0/).
Share and Cite
Jin, S.; Shen, X.; Oertel, M. Discharge Efficiency of an Innovative Composite Piano Key Weir. Water 2025, 17, 921. https://doi.org/10.3390/w17070921
Jin S, Shen X, Oertel M. Discharge Efficiency of an Innovative Composite Piano Key Weir. Water. 2025; 17(7):921. https://doi.org/10.3390/w17070921
Chicago/Turabian StyleJin, Shaoxia, Xiaoyang Shen, and Mario Oertel. 2025. "Discharge Efficiency of an Innovative Composite Piano Key Weir" Water 17, no. 7: 921. https://doi.org/10.3390/w17070921
APA StyleJin, S., Shen, X., & Oertel, M. (2025). Discharge Efficiency of an Innovative Composite Piano Key Weir. Water, 17(7), 921. https://doi.org/10.3390/w17070921

