Next Article in Journal
Streamflow Measurements Using an Underwater Acoustic-Based Approach: A Case Study in a Shallow Narrow Silt-Bed River
Previous Article in Journal
Permeable Interlocking Concrete Pavements: A Sustainable Solution for Urban and Industrial Water Management
 
 
Due to scheduled maintenance work on our servers, there may be short service disruptions on this website between 11:00 and 12:00 CEST on March 28th.
Font Type:
Arial Georgia Verdana
Font Size:
Aa Aa Aa
Line Spacing:
Column Width:
Background:
Article

The Impact of Citric Acid on Metal Accumulation in Lemna minor

Department of Biological and Environmental Sciences, East Texas A&M University, Commerce, TX 75428, USA
*
Author to whom correspondence should be addressed.
Water 2025, 17(6), 830; https://doi.org/10.3390/w17060830
Submission received: 2 February 2025 / Revised: 11 March 2025 / Accepted: 12 March 2025 / Published: 13 March 2025

Abstract

Potentially toxic metals contaminate the environment and threaten human health. This study investigated the effect of chelator citric acid (CA) on enhancing metals (Cu, Ni and/or Pb) accumulation in duckweed (Lemna minor). Lemna minor were cultured in solutions with single or mixed metals (Ni 50 ppm, Cu 50 ppm and/or Pb 10 ppm) added with different levels of CA (0 ppm, 10 ppm, 50 ppm or 100 ppm CA) for 4 weeks, then harvested, dried and digested. For single-metal solutions, duckweed treated with higher levels of CA (50 ppm or 100 ppm CA) accumulated more Ni or Cu; 100 ppm CA increased Cu and Ni accumulation in plants by 96% and 120%. Meanwhile, 10 ppm CA, 50 ppm or 100 pm CA had similar effects on improving Pb accumulation in duckweed, which enhanced Pb accumulation in duckweed by 100%. For duckweed cultured in mixed-metals solutions, 50 ppm and 100 ppm CA still significantly increased the amounts of Cu and Ni in duckweed by 50% and 100%, while Pb sequestration was not enhanced. The role of CA in increasing metal accumulation in duckweed depended on the levels of CA, the concentrations and types of metals. Future studies are needed to further investigate the potential of CA to assist phytoremediation of different metals contaminated environment.

1. Introduction

Human activities like mining and industrial processes release various pollutants, including potentially toxic metals. Some metals like Cu and Ni are micronutrients for life; however, they can also be hazardous to health at high doses [1]. For example, the excessive consumption of Cu can cause neurological defects and liver damage [1]. Exposure to high levels of Ni can cause respiratory impairment and gastrological problems [1]. Some metals are completely non-essential to life, such as Pb. It is toxic even at trace levels and can cause organ failures and neurological problems [2].
About 20–200 mg/L Ni was found in most wastewater from industries [3], while the levels of Cu can be within the range of 2.5–10,000 mg/L [4]. The common concentrations of Pb in wastewater can be from less than 1 mg/L to more than 1000 mg/l [5]. However, the recommended level of Ni in drinking water is less than 0.1 mg/L [1] while the Maximum Contaminant Level Goal (MCLG) is 1.3 mg/L for Cu and 0 mg/L for Pb, based on National Primary Drinking Water Regulations in the USA [6].
Thus, it is vital to find ways to remediate heavy metal-contaminated environments to protect human health. Phytoremediation technology, which is technology that uses plants to uptake contaminants from the environment or fix contaminants to prevent them from migrating [7], has become more and more popular. Not just aesthetically pleasing, phytoremediation is at least 25% cheaper than other traditional physical/chemical methods [7].
Many plants have been used for phytoremediation research. Duckweed (Lemna minor) is one of the popular plants for phytoremediation due to its many advantages, such as its high tolerance to various pollutants, being widely spread, its rapid growth rate, its strong adaptability to cold climates, and its ease of harvest [8]. Thus, it was also selected in our study. However, phytoremediation efficiency is affected by many factors, such as pH, nutrient levels, the bioavailability of metals and so on [9]. Generally, only metals that are soluble or in exchangeable forms are bioavailable to plants [9]. So, efforts have been made to overcome these limitations to improve phytoremediation efficiency. For example, chelating agents can be added into contaminated media to increase the bioavailability of heavy metals by decreasing pH or forming metal–chelator complexes with lower toxicity and higher solubility to increase metal uptake in plants [9]. Citric acid (CA), which is cheaper, less toxic, and more environmentally friendly compared to other chelators, has gained increasing interest from researchers. For instance, Gui et al. [10] found that the application of 19–190 ppm CA can promote the phytoremediation of Pb by Pelargonium hortoum. Han et al. [11] also indicated that the accumulation and translocation of Cd, Cu, Pb and Zn in Iris halophila Pall were enhanced by 380 ppm CA. About 960 ppm CA increased Mn accumulation in shoots of Juncus effusus L. [12]. According to Muhammad et al. [13], the application of 1921 ppm CA into multiple-metals-contaminated soils increased Cd, Cu and Cr concentrations from 2.5 ppm, 18 ppm and 6 ppm to 10 ppm, 22 ppm and 13 ppm in the shoots of Typha angustifolia.
However, most studies related to applying CA to phytoremediation technology have focused on soil remediation. Very rarely have studies been conducted to investigate how CA affects metal accumulation in plants from wastewater, especially how CA functions to impact multiple metal uptakes in plants for wastewater treatment. Although duckweed has been widely used for phytoremediation, very little information about how CA impacts the phytoremediation efficiency of duckweed has been reported. Therefore, this study aimed to fill this gap by studying and comparing the effects of CA to enhance heavy metals (Cu, Ni and/or Pb) accumulation in Lemna minor from synthetic wastewater. The scope of this study is within the scope of the “Water Journal”, relating to water quality and wastewater treatment.

2. Materials and Methods

2.1. Hydroponic Solutions

The control solutions contained 500 mL distilled (DI) water and 30 g commercial Miracle-Gro potting soils (MiracleGro company, OH, USA) as nutrients. The nutrients included 0.002% total molybdenum, 0.05% Manganese, 0.12% Iron, 3.0% Sulfur, 2.0% Magnesium, 6.0% Calcium, 14.0% Soluble Potash (K2O), 5.0% phosphate (P2O5) and 10.0% Nitrogen. The treatment solution also contained these nutrients and single/mixed metals (Ni 50 ppm, Cu 50 ppm and/or Pb 10 ppm), achieved by adding analytical-grade metal salts (CuCl2 for Cu, NiCl2 for Ni and PbCl2 for Pb). The selected metal levels were based on their common concentrations in wastewater and the tolerance limits of the plants [3,4]. Then, four different levels of CA (No—0 ppm; Low—10 ppm; Middle—50 ppm; or High—100 ppm) were applied to the metal solutions to assess the impact of chelators on improving phytoremediation efficiency. The brand of all the chemicals was “Thermo Scientific Chemicals” and they were purchased from company “Fisher Scientific”(Waltham, NH, USA) online.
There were 17 groups of solutions in total (control without metals, Cu + No CA, Cu + Low CA, Cu + Middle CA, Cu + High CA, Ni + No CA, Ni + Low CA, Ni + Middle CA, Ni + High CA, Pb + No CA, Pb + Low CA, Pb + Middle CA, Pb + High CA, Cu + Ni + Pb + No CA, Cu + Ni + Pb + Low CA, Cu + Ni + Pb + Middle CA, Cu + Ni + Pb + High CA). Each group of treatments were replicated 10 times (n = 10).

2.2. Plant Source

Lemna minor plants were purchased online from aquatic plant company “Aquarium Plant” (FL, USA). They were washed using DI water and acclimated in 500 mL control solutions for one week, then transferred to 500 mL treatment solutions. About 100 g of duckweed (wet weight) was added into each container to fully cover the surfaces of the solutions. Plants were cultured for four weeks under 45-Watt light emitting diode (LED) growing lights at 20 ± 2 °C for 8 h/day. Water levels were maintained by adding DI water every week. A completely randomized design was used to set up the experiments.

2.3. Plant Digestion

After 4 weeks, plants were harvested, cleaned by DI water and then oven-dried at 60 °C until completely dried. Next, plant tissues were weighed and blended into small pieces. Then, 20 mL of 70% nitric acid was used to soak one gram of duckweed for at least six hours. The mixture was heated to 10 mL and then refluxed for 90 min. Next, 20 mL of DI water was used to dilute the solution [14]. All the plants’ digestion solutions were stored in a refrigerator until being analyzed by Inductively Coupled Plasma–Optical Emission Spectroscopy ICP-OES (Thermo Scientific iCAP PRO Series ICP-OES system from Company “Thermo Fisher Scientific” in Waltham, MA, USA). The bioconcentration factors (BCFs) of the metals, which means the ratio of the metals in the plant biomass (mg/kg) to the metals in solution (mg/L), were calculated [15].

2.4. Statistical Analysis

The data were analyzed with one-way ANOVA using the Minitab statistical package (Minitab 16). Differences between specific metal levels were identified by Tukey’s test at 5% significance level.

3. Results and Discussions

3.1. Effect of CA on pH Change

Previous research has reported the use of chelators for phytoremediation. Chelators can enhance the accumulations of heavy metals in plants by increasing the bioavailability of metals through decreasing pH [16]. In this study, after the adding of different levels of CA, the pHs of the solutions decreased to 5–6 (Table 1, Table 2 and Table 3). The pHs were tested by an AB315 pH Benchtop Meter from Fisherbrand. Duckweed is able to grow from pH 5–8 [17]. In addition, it has been reported that CA can increase nutrient uptake and support the normal physiological activities of plants under heavy metal stress [8,18,19]. Thus, the duckweed was able to survive in all the treatment groups without showing obvious differences in growth in this study.
However, it was very interesting to note that the pH of all the solutions increased to around 7 after one week (Table 1, Table 2 and Table 3). This change in pH may be due to the growth of the plants and the presence of the potting soils. Plants may alter the pH of the rhizosphere through root exudates or metabolic processes and then impact the overall pH within the remediation system [20]. The pH of the potting soils in this study was around 7, which may have played a role in buffering the metal solutions to close to 7, as soils have a buffering capacity to resist pH changes [21]. Besides affecting pH, CA can make metals more soluble and more accessible by forming metal-chelator complexes for plant uptake [16]. The amounts of metals in the duckweed were analyzed to further understand the role of CA in helping metal uptake in plants.

3.2. Effect of CA on Metal Uptake in Single-Metal Solutions

The amounts of Cu and Ni in the duckweed under different treatments were around 1–2 mg Cu/g dry mass (dm) or 1–2 mg Ni/g dm. Previous research also found that Cu concentrations in the tissues of duckweed can be from 0.25 mg Cu/g dm to more than 20 mg Cu/g dm, while the amounts of Ni were reported to be 0.4–35 mg Ni/g dm in duckweed [22]. The BCFs of Cu and Ni in duckweed were similar, at around 20–40 (Table 4). Previous studies reported that the BCFs of Cu and Ni ranged from 1 to more than 1000 [15,22,23]. The metal accumulation in plants depended on many factors, such as the metal supplies and the experimental conditions [14,22].
In this study, the levels of Pb in duckweed were less than 1 mg Pb/g dm. About 0.63–10 mg Pb/g dm were also reported in duckweed supplied with 10 mg/L Pb in most research [22]. The BCF of Pb was around 20 (Table 4), which was also within the range of previous research, as the BCF of Pb was reported to be from 1 to more than 100 [22,23]. However, Leblebici and Aksoy [15] found that L. minor exposed to 10 mg/L Pb accumulated 100 mg Pb/g dm. As mentioned earlier, the metal uptake in duckweed can be related to many factors, such as initial metal concentrations, pH, growing conditions, species and the toxicity of the metal [24]. In addition, the population density and diversity of duckweed may also affect metal accumulation [25].
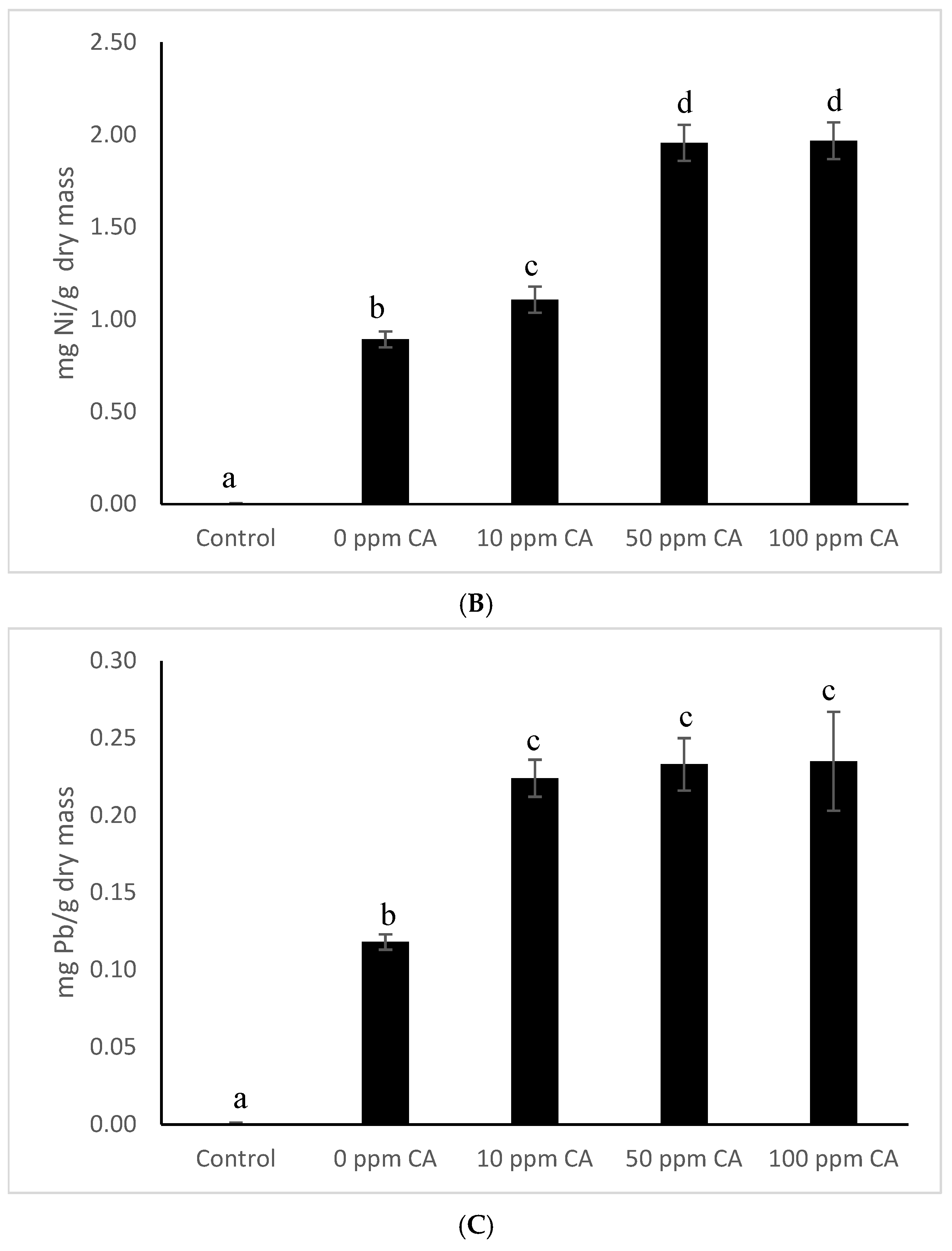
For the duckweed cultured in single Cu solutions, the amounts of metal in the duckweed increased with the increase in CA. For example, duckweed cultured in solutions with 50 ppm Cu and 100 ppm CA accumulated 2.12 ± 0.06 mg Cu/g dm, which was significantly higher than the amounts of Cu in the duckweed grown in Cu solutions without CA (1.08 ± 0.07 mg Cu/g dm) (Figure 1A). Similarly to Cu, CA also increased Ni and Pb accumulation in duckweed. About 1.96 ± 0.10 mg Ni/g dm was sequestered in the duckweed cultured in solutions with 50 ppm CA. This was significantly (p < 0.05) higher than the amounts of Ni in the duckweed without CA (0.89 ± 0.04 mg/g Ni) (Figure 1B). This was not surprising, as previous research also indicated that CA tended to form citrate–metal complexes with metals, which can increase the bioavailability of metals, thus improving accumulation in plants [26]. For example, CA was reported to increase the bioavailability of metals such as Al, Fe and Mn [27]. Sallah-Ud-Din et al. [8] found that the addition of 480 ppm CA enhanced the Cr concentration in L. minor treated with Cr. It was also reported that CA can affect the toxicity and increase the bioavailability of Cu to lettuce sprouts exposed to Cu solutions [28]. Due to the increase in Ni and Cu in biomass, the BCFs of Cu and Ni also increased with the addition of CA (Table 4). Previous researchers also indicated that the application of CA may increase the BCFs of metals (e.g., Cr and Cd) in plants [8].
However, 100 pm and 50 ppm CA did not show significant differences (p > 0.05) in improving Ni accumulations in the duckweed cultured in single-metal solutions. For instance, duckweed treated with 50 ppm CA sequestered 1.96 ± 0.10 mg Ni/g dm, which was similar to (p > 0.05) the amounts in duckweed added with 100 ppm CA (1.97 ± 0.10 mg Ni/g dm) (Figure 1B). The percentage of metal that would react with CA was predicted in Table 5, based on the methods of Morel and Hering [29]. The main principle of the prediction method was mass balance. First, all the inorganic ligands and all the possible metal complex in solutions were considered. Then, the major metal speciation was calculated based on the concentrations of ligands and metals and the stability constant. For example, the complex formation reaction between a metal M2+ with the ligands A and B can be expressed as M2+ + mA = MAm(m−2)− or M2+ + nB = MBn(n−2)− [29]. The mole balance equations for metal M2+ are as follows: Total M = [M2+] + [MAm(m−2)−] + [MBn(n−2)−] or Total M = [M2+] (1 + βm[A]m + βn[B]n), where β is the stability constant [29].
As shown in Table 5, most of the Ni in the single-metal solutions have already formed complexes with 50 ppm CA. Thus, further increasing CA doses to 100 ppm did not significantly increase the formation of metal-citrate complexes. Jalali et al. [30] also indicated that the complexation process may end when CA becomes saturated or no more heavy metals are available.
Similarly to Cu and Ni, CA also improved Pb in duckweed cultured in single Pb solutions. As reported in previous research, CA significantly increased the available Pb in media and enhanced the amounts of Pb in the plant Salvia virgata [31]. However, the Pb amounts in duckweed under the treatments of 10 ppm, 50 ppm and 100 ppm CA were similar (Figure 1C). This may be due to the relatively low concertation of Pb in the solutions (10 mg/L); thus, 10 ppm CA was already enough to react with all the Pb in the solutions. Kabra et al. [32] also indicated that increasing the CA concentration would not increase metal–citrate formation when most metals had already formed complexes with the CA. Overall, the effect of CA on improving metal accumulation in plants highly depends on the type and levels of metals. Previous research also indicated that the effectiveness of chelators is related to the dose of chelators and the species and amounts of metals [33,34].

3.3. Effect of CA on Metal Uptake in Mixed-Metal Solutions

In general, duckweed cultured in mixed-metal solutions accumulated less metal than duckweed cultured in single-metal solutions. For instance, duckweed cultured in single Cu, Ni or Pb solutions without CA accumulated 1.08 ± 0.07 mg Cu/g dm, 0.89 ± 0.04 mg Ni/g dm or 0.12 ± 0.01 mg Pb/g dm (Figure 1A–C), which were higher (p < 0.05) than the amounts of metals in duckweed grown in mixed-metals solutions without CA (0.38 ± 0.02 mg Cu/g dm, 0.34 ± 0.03 mg Ni/g dm, 0.04 ± 0.00 mg Pb/g dm in Figure 2A–C). Previous research also found that the presence of different metals or competing elements may decrease metal accumulation in plants [35], as plants tend to avoid too much metal uptake into their biomass due to protection mechanisms [36].
The amounts of Ni and Cu in duckweed cultured in mixed-metal solutions were similar in this study, and were all higher than Pb. However, some previous research found more Ni accumulation in plants than Cu, while some indicated more Cu than Ni accumulation in other plants. For example, the hierarchy of metal accumulation was Ni > Cu > Pb in S. polyrhiza, while the amounts were Cu > Ni > Pb in A. pinnata [37]. The concentrations of metals in both L. minor and L. gibba were Cu > Ni > Pb [38]. Phragmites australis (common reed) and Typha orientalis (bullrush) collected from a wetland were found to accumulate more Cu than Ni [39]. This was expected, as metal accumulation in plants is site-specific and can be affected by many factors, including metal levels, plant species, the age of plants, culturing time and so on [40].
CA also increased Cu and Ni uptake in duckweed cultured in mixed-metal solutions. For example, the amounts of Cu and Ni in duckweed without CA (0.38 ± 0.02 mg Cu/g dm, 0.34 ± 0.03 mg Ni/g dm) were significantly lower than those in duckweed cultured in solutions with 100 ppm CA (0.59 ± 0.03 mg Cu/g dm, 0.69 ± 0.03 mg Ni/g dm in Figure 2A,B). As expected, the BCFs of Cu and Ni also increased with the addition of CA (Table 6). The BCFs of Ni and Cu in plants treated with more CA were higher than those without CA.
However, the amounts of Pb in duckweed were not improved as Cu and Ni were. There was no significant difference among the sequestration of Pb in duckweed under treatments with different levels of CA. For example, Pb accumulation in duckweed grown in solutions with high level of CA was similar (p > 0.05) to that in duckweed without CA, which was around 0.04 mg Pb/g dm (Figure 2C). This is not surprising, as different metals behave differently when reacting with CA and CA has different affinities to different metals. For example, it was found that CA significantly improved Fe uptake in common reeds cultured in solutions with Fe, Al and Mn, but did not have any impact on Al accumulation in plants [41]. Those metal–citrate complex with larger stability constants were more stable and easier to form compared to the ones with smaller stability constants [32]. The Pb–citrate stability constant is smaller than those for Cu– and Ni–citrate complexes [29], while the Nickel–citrate complex stability constant is similar to the copper–citrate complex stability constant [8,32]. It is no wonder Pb showed a lesser extent of complexation with CA compared to other metal ions like Cu, Ni and Zn [32]. It was also reported that different kinetic extraction behaviors with CA were found for Pb compared to Ni, Zn and Cu [42]. Thus, most of the CA reacted with the Ni and Cu first rather than forming complexes with Pb when those metals co-existed in the solutions. Thus, it was not surprising that Cu and Ni accumulation was enhanced by CA but Pb sequestration was not affected (Figure 2A–C). Song et al. [43], using CA as a chelator to remediate metal-contaminated sediments, also found that the removal efficiencies of Cu and Ni by CA were higher than for Pb. The predicted metal speciation with CA in mixed-metal solutions is presented in Table 7. This also clearly reflects that most of the CA formed complexes with Ni and Cu, but not Pb. So, the impact of a chelator on improving metal accumulation in plants depends on the stability constants of the metal–chelate complexes, the type of metal speciation, the type of chelator and the levels of the metals and chelator [43,44].

3.4. Distribution of Metals in Plants, Water, and Soil

In order to further understand the impact of CA on metal removal, the distributions of the metals in water, soil media and duckweed grown in either single-metal solutions or mixed-metal solutions after 4 weeks are presented in Figure 3 and Figure 4. After 4 weeks, more metals were stored in duckweed or soil media rather than were remaining in solutions. This was not surprising, as previous research also found that plants and soils were the main compartments for metals when culturing plants in metal solutions with soil nutrients [45], since soils can act as adsorption media for metals while plants can accumulate metals into their tissues.
As indicated in Figure 5, CA also inhibited the precipitation/adsorption of metals to soils as it increased the solubility of the metals in the solutions by forming metal–citrate complexes [8,26]. It can further enhance metal uptake in plants and decrease metal levels in water. However, even when CA was added, most of the Pb was still sorbed onto soils instead of being sequestered into duckweed or staying in the solution, especially when it co-existed with Ni and Cu in the solutions (Figure 4). As discussed earlier, this may be due to the fact that CA reacts more effectively with Ni and Cu compared to Pb. In addition, compared to Ni and Cu, Pb had a stronger affinity to bind to soil particles, which limited its mobility and accessibility to plant roots [46].
Generally, CA reduced metal precipitation in soils, improved metal accumulation in plants and decreased metal levels in wastewater in our study. This was mainly due to the fact that CA can affect the mobility of metals by decreasing pH and/or forming metal–chelator complexes with metals, which are less toxic and more easily enter plants through the xylem. However, the overall functions of CA to influence specific metal sequestration in plants were also related to many factors, including the types and levels of metals, the stability constants of the metal–chelator complexes, the co-existence of other metals and the dose of CA. So, it was worthwhile to further investigate the application of CA in order to clean metal-contaminated environments.

4. Conclusions

Duckweed (Lemna minor) was able to survive and sequester Cu, Ni and/or Pb from solutions contaminated by single or mixed metals. The addition of CA did improve metal accumulation in duckweed. Duckweed cultured in single Cu solutions accumulated the most Cu under the treatment of 100 ppm CA. Concentrations of 50 ppm and 100 ppm CA showed the same effect on enhancing Ni accumulation in duckweed grown in single Ni solutions, while 10 ppm CA was already enough to effectively enhance Pb accumulation in duckweed cultured in single Pb solutions. For duckweed cultured in mixed-metal solutions, the middle and high levels of CA did increase the amounts of Cu and Ni in duckweed but did not have significant impact on Pb uptake.
CA chelators may be an effective way to enhance the phytoremediation efficiency of meals in wastewater. However, their effects depend on many factors, such as the types and levels of metals, the stability constants of the metal–chelate complexes and the dose of CA. More research is needed to further understand the impacts of CA on enhancing metal uptake in plants before in situ application. Considering that duckweed can be consumed by domestic fowl, it is also worthwhile to investigate how to effectively harvest and treat biomass containing metals to prevent the secondary contamination of ecosystems.

Author Contributions

Conceptualization, F.M., J.M.D. and L.G.; methodology, F.M. and J.M.D.; software, F.M. and L.G.; validation, F.M., J.M.D. and L.G.; formal analysis, F.M., J.M.D. and L.G.; investigation, L.G.; resources, L.G.; data curation, F.M., J.M.D. and L.G.; writing—original draft preparation, F.M., J.M.D. and L.G.; writing—review and editing, F.M., J.M.D. and L.G.; visualization, F.M., J.M.D. and L.G.; supervision, L.G.; project administration, L.G.; funding acquisition, L.G. All authors have read and agreed to the published version of the manuscript.

Funding

This research received no external funding.

Data Availability Statement

The raw data supporting the conclusions of this article will be made available by the authors on reasonable request.

Acknowledgments

This work was supported by the “Faculty Research Support Funding” of the Department of Biological and Environmental Science at East Texas A&M University. We also appreciate the help of Ben Jang and his graduate student Noah Smith from the Department of Chemistry at East Texas A&M University in running the ICP system for us.

Conflicts of Interest

The authors declare no conflict of interest.

References

  1. Vudang, K.; Duran, V.; Brdecka, M.; Seigerroth, J.; Jang, B.; Guo, L. Utilization of Reeds to Sequester and Recover Metals When Cu2+ and Ni2+ Present Individual or as a Binary Mixture in Simulated Wastewater. Water Air Soil Pollut. 2024, 235, 37. [Google Scholar] [CrossRef]
  2. Showqi, I.; Lone, F.A.; Naikoo, M. Preliminary assessment of heavy metals in water, sediment and macrophyte (Lemna minor) collected from Anchar Lake, Kashmir, India. Appl. Water Sci. 2018, 8, 80. [Google Scholar] [CrossRef]
  3. Revathi, M. Removal of nickel ions from industrial plating rffluents using activated alumina as adsorbent. J. Environ. Eng. 2005, 47, 1–6. [Google Scholar]
  4. Liu, Y.; Wang, H.; Cui, Y.; Chen, N. Removal of copper Ions from wastewater: A Review. Int. J. Environ. Res. Public Health 2023, 20, 3885. [Google Scholar] [CrossRef]
  5. Chowdhury, I.R.; Chowdhury, S.; Mazumder, M.A.J. Removal of lead ions (Pb2+) from water and wastewater: A review on the low-cost adsorbents. Appl. Water Sci. 2022, 12, 185. [Google Scholar] [CrossRef]
  6. Unite Sate Federal Environmental Protection (USEPA). National Primary Drinking Water Regulations in USA; Unite Sate Federal Environmental Protection (USEPA): Washington, DC, USA, 2024.
  7. Sikdar, S.; Kundu, M. A Review on detection and abatement of heavy metals. ChemBioEng Rev. 2018, 5, 18–29. [Google Scholar] [CrossRef]
  8. Sallah-Ud-Din, R.; Farid, M.; Saeed, R.; Ali, S.; Rizwan, M.; Tauqeer, H.M.; Bukhari, S.A.H. Citric acid enhanced the antioxidant defense system and chromium uptake by Lemna minor L. grown in hydroponics under Cr stress. Environ. Sci. Pollut. Res. Int. 2017, 24, 17669–17678. [Google Scholar] [CrossRef] [PubMed]
  9. Komárek, M.; Tlustos, P.; Száková, J.; Chrastny, V.; Ettler, V. The use of maize and poplar in chelate-enhanced phytoextraction of lead from contaminated agricultural soils. Chemosphere 2007, 67, 640–651. [Google Scholar] [CrossRef]
  10. Gui, I.; Manzoor, M.; Kallerhoff, J.; Arshad, M. Enhanced phytoremediation of lead by soil applied organic and inorganic amendments: Pb phytoavailability, accumulation and metal recovery. Chemosphere 2020, 258, 127405. [Google Scholar] [CrossRef]
  11. Han, Y.; Zhang, L.; Gu, J.; Zhao, J.; Fu, J. Citric acid and EDTA on the growth, photosynthetic properties and heavy metal accumulation of Iris halophila Pall. cultivated in Pb mine tailings. Int. Biodeterior. Biodegrad. 2018, 128, 15–21. [Google Scholar] [CrossRef]
  12. Najeeb, U.; Xu, L.; Ali, S.; Jilani, G.; Gong, H.J.; Shen, W.Q.; Zhou, W.J. Citric acid enhances the phytoextraction of manganese and plant growth by alleviating the ultrastructural damages in Juncus effusus L. J. Hazard. Mater. 2009, 170, 1156–1163. [Google Scholar] [CrossRef] [PubMed]
  13. Muhammad, D.; Chen, F.; Zhao, J.; Zhang, G.; Wu, F. Comparison of EDTA and citric acid enhanced phytoextraction of heavy metals in artificially metal contaminated soil by Typha angustifolia. Int. J. Phytorem. 2009, 11, 558–574. [Google Scholar] [CrossRef] [PubMed]
  14. Guo, L.; Cutright, T.J. Remediation of acid mine drainage (AMD) contaminated soil by Phragmites australis and rhizosphere bacteria. Environ. Sci. Pollut. Res. Int. 2014, 12, 7350–7360. [Google Scholar] [CrossRef] [PubMed]
  15. Leblebici, Z.; Aksoy, A. Growth and Lead Accumulation Capacity of Lemna minor and Spirodela polyrhiza (Lemnaceae): Interactions with Nutrient Enrichment. Water Air Soil Pollut. 2011, 214, 175–184. [Google Scholar] [CrossRef]
  16. Shinta, Y.C.; Zaman, B.; Sumiyati, S. Citric Acid and EDTA as chelating agents in phytoremediation of heavy metal in polluted soil: A review. IOP Conf. Ser. Earth Environ. Sci. 2021, 896, 12023–12031. [Google Scholar] [CrossRef]
  17. Ziegler, P.; Appenroth, K.J.; Sree, K.S. Survival strategies of duckweeds, the world’s smallest Angiosperms. Plants 2023, 12, 2215–2245. [Google Scholar] [CrossRef]
  18. Freitas, E.V.; Nascimento, C.W.; Souza, A.; Silva, F.B. Citric acid-assisted phytoextraction of lead: A field experiment. Chemosphere 2013, 92, 213–217. [Google Scholar] [CrossRef]
  19. Chen, G.; Li, J.; Han, H.; Du, R.; Wang, X. Physiological and Molecular Mechanisms of Plant Responses to Copper Stress. Int. J. Mol. Sci. 2022, 23, 12950–12967. [Google Scholar] [CrossRef]
  20. Adeleke, R.; Nwangburuka, C.; Oboirien, B. Origins, roles and fate of organic acids in soils: A review. S. Afr. J. Bot. 2017, 108, 393–406. [Google Scholar] [CrossRef]
  21. Weaver, A.R.; Kissel, D.E.; Chen, F.; West, L.T.; Adkins, W.; Rickman, D.; Luval, J.C. Mapping Soil pH Buffering Capacity of Selected Fields in the Coastal Plain. Soil Sci. Soc. Am. J. 2004, 68, 662–668. [Google Scholar] [CrossRef]
  22. Zayed, A.; Gowthaman, S.; Terry, N. Phytoaccumulation of Traces Elements by Wetland Plants I. Duckweed. J. Environ. Qual. 1998, 27, 715–721. [Google Scholar] [CrossRef]
  23. Bokhari, S.H.; Ahmad, I.; Mahmood-Ul-Hassan, M.; Mohammad, A. Phytoremediation potential of Lemna minor L. for heavy metals. Int. J. Phytorem. 2016, 18, 25–32. [Google Scholar] [CrossRef] [PubMed]
  24. Dosnon-Olette, R.; Couderchet, M.; El Arfaoui, A.; Sayen, S.; Eullaffroy, P. Influence of initial pesticide concentrations and plant population density on dimethomorph toxicity and removal by two duckweed species. Sci. Total Environ. 2010, 408, 2254–2259. [Google Scholar] [CrossRef] [PubMed]
  25. Zhao, Z.; Shi, H.; Liu, C.; Kang, X.; Chen, L.; Liang, X.; Jin, L. Duckweed diversity decreases heavy metal toxicity by altering the metabolic function of associated microbial communities. Chemosphere 2018, 203, 76–82. [Google Scholar] [CrossRef]
  26. Guo, L.; Cutright, T.J. Potential of citric acid to alter pH and metal uptake in reeds in acid mine drainage solutions. Water Environ. J. 2018, 32, 333–340. [Google Scholar] [CrossRef]
  27. White, J.C.; Mattina, M.I.; Lee, W.Y.; Eitzer, B.D.; Iannucci- Berger, W. Role of organic acids in enhancing the desorption and uptake of weathered p, p-DDE by Cucurbitapepo. Environ. Pollut. 2003, 124, 71–80. [Google Scholar] [CrossRef]
  28. Inaba, S.; Takenaka, C. Effects of dissolved organic matter on toxicity and bioavailability of copper for lettuce sprouts. Environ. Int. 2005, 31, 603–608. [Google Scholar] [CrossRef]
  29. Morel, F.M.M.; Hering, J.G. Principles and Applications of Aquatic Chemistry; John Wiley and Sons, INC: New York, NY, USA, 1993. [Google Scholar]
  30. Jalali, M.; Jalali, M.; Antoniadis, V. The release of Cd, Cu, Fe, Mn, Ni, Pb, and Zn from clay loam and sandy loam soils under the influence of various organic amendments and low-molecular-weight organic acids. J. Hazard. Mater. 2023, 459, 132111. [Google Scholar] [CrossRef]
  31. Cay, S. Assessment of tea saponin and citric acid-assisted phytoextraction of Pb-contaminated soil by Salvia virgata Jacq. Environ. Sci. Pollut. Res. Int. 2023, 30, 49771–49778. [Google Scholar] [CrossRef]
  32. Kabra, K.; Chaudhary, R.; Sawhney, R.L. Solar photocatalytic removal of Cu(II), Ni(II), Zn(II) and Pb(II): Speciation modeling of metal–citric acid complexes. J. Hazard. Mater. 2008, 155, 424–432. [Google Scholar] [CrossRef]
  33. Jean-Soro, L.; Bordas, F.; Bollinger, J.C. Column leaching of chromium and nickel form a contaminated soil using EDTA and citric acid. Environ. Pollut. 2012, 164, 175–181. [Google Scholar] [CrossRef] [PubMed]
  34. Perez-Esteban, J.; Escolastico, C.; Moliner, A.; Masaguer, A. Chemical speciation and mobilization of copper and zinc in naturally contaminated mine soils with citric and tartaric acid. Chemosphere 2013, 90, 276–283. [Google Scholar] [CrossRef] [PubMed]
  35. Fallahizadeh, S.; Vaezzadeh, M.; Naghipour, D. Comparison of the efficiency of duckweed in heavy metal removal from aqueous solutions in combined and separate forms. J. Adv. Environ. Health Res. 2019, 7, 225–232. [Google Scholar]
  36. Ernst, W.H.O. Evolution of metal tolerance in higher plants. For. Snow Landsc. Res. 2006, 80, 251–274. [Google Scholar]
  37. Gaur, J.P.; Noraho, N.; Chauhan, Y.S. Relationship between heavy metal accumulation and toxicity in Spirodela polyrhiza (L.) Schleid. and Azolla pinnata R. Br. Aquat. Bot. 1994, 9, 183–192. [Google Scholar] [CrossRef]
  38. Ozyigit, I.I.; Arda, L.; Yalcin, B.; Yalcin, I.E.; Ucar, B.; Hocaoglu-Ozyigit, A. Lemna minor, a hyperaccumulator shows elevated levels of Cd accumulation and genomic template stability in binary application of Cd and Ni: A physiological and genetic approach. Int. J. Phytorem. 2021, 23, 1255–1269. [Google Scholar] [CrossRef]
  39. Wang, Z.; Hou, L.; Liu, Y.; Wang, Y.; Ma, L.Q. Metal contamination in a riparian wetland: Distribution, fractionation and plant uptake. Chemosphere 2018, 200, 587–593. [Google Scholar] [CrossRef]
  40. Eid, E.; Shaltout, K.H.; Al-Sodany, Y.M.; Haroun, S.A.; Galal, T.M.; Ayed, H.; Khedher, K.M.; Jensen, K. Common reed (Phragmites australis (Cav.) Trin. ex Steudel) as a candidate for predicting heavy metal contamination in Lake Burullus, Egypt: A biomonitoring approach. Ecol. Eng. 2020, 148, 1057–1087. [Google Scholar] [CrossRef]
  41. Guo, L.; Cutright, T.J.; Duirk, S. Effect of Citric Acid, Rhizosphere Bacteria, and Plant Age on Metal Uptake in Reeds Cultured in Acid Mine Drainage. Water Air Soil Pollut. 2015, 226, 2264. [Google Scholar] [CrossRef]
  42. Labanowski, J.; Monna, F.; Bermond, A.; Cambier, P.; Fernandez, C.; Lamy, I.; van Oort, F. Kinetic extractions to assess mobilization of Zn, Pb, Cu, and Cd in a metal-contaminated soil: EDTA vs. citrate. Environ. Pollut. 2008, 152, 693–701. [Google Scholar] [CrossRef]
  43. Song, Y.; Ammami, M.-T.; Benamar, A.; Mezazigh, S.; Wang, H. Effect of EDTA, EDDS, NTA and citric acid on electrokinetic remediation of As, Cd, Cr, Cu, Ni, Pb and Zn contaminated dredged marine sediment. Environ. Sci. Pollut. Res. Int. 2016, 23, 10577–10586. [Google Scholar] [CrossRef] [PubMed]
  44. Treichel, H.; Goldstein, A.; George, M. Removal of trace metals using a biodegradable complexing agent. Photovolt. Int. 2011, 5, 81–93. [Google Scholar]
  45. Mufarrege, M.M.; Hadad, H.R.; Di Luca, G.A.; Maine, M.A. The ability of Typha domingensis to accumulate and tolerate high concentrations of Cr, Ni, and Zn. Environ. Sci. Pollut. Res. Int. 2015, 22, 286–292. [Google Scholar] [CrossRef]
  46. Yan, A.; Wang, Y.; Tan, S.N.; Mohd Yusof, M.L.; Ghosh, S.; Chen, Z. Phytoremediation: A Promising Approach for Revegetation of Heavy Metal-Polluted Land. Front. Plant Sci. 2020, 11, 359. [Google Scholar] [CrossRef]
Figure 1. (A) Cu uptake in duckweed cultured in 50 ppm Cu solution added with different levels of CA; different letters mean significantly different at p < 0.05 (sampling size n = 10). (B) Ni uptake in duckweed cultured in 50 ppm Ni solution added with different levels of CA. Different letters mean significantly different at p < 0.05 (sampling size n = 10). (C) Pb uptake in duckweed cultured in 10 ppm Pb solution added with different levels of CA. Different letters mean significantly different at p < 0.05 (sampling size n = 10).
Figure 1. (A) Cu uptake in duckweed cultured in 50 ppm Cu solution added with different levels of CA; different letters mean significantly different at p < 0.05 (sampling size n = 10). (B) Ni uptake in duckweed cultured in 50 ppm Ni solution added with different levels of CA. Different letters mean significantly different at p < 0.05 (sampling size n = 10). (C) Pb uptake in duckweed cultured in 10 ppm Pb solution added with different levels of CA. Different letters mean significantly different at p < 0.05 (sampling size n = 10).
Water 17 00830 g001aWater 17 00830 g001b
Figure 2. (A) Cu uptake in duckweed cultured in mixed-metal solutions added with different levels of CA. Different letters mean significantly different at p < 0.05 (sampling size n = 10). (B) Ni uptake in duckweed cultured in mixed-metal solutions added with different levels of CA. Different letters mean significantly different at p < 0.05 (sampling size n = 10). (C) Pb uptake in duckweed cultured in mixed-metal solutions added with different levels of CA. Different letters mean significantly different at p < 0.05 (sampling size n = 10).
Figure 2. (A) Cu uptake in duckweed cultured in mixed-metal solutions added with different levels of CA. Different letters mean significantly different at p < 0.05 (sampling size n = 10). (B) Ni uptake in duckweed cultured in mixed-metal solutions added with different levels of CA. Different letters mean significantly different at p < 0.05 (sampling size n = 10). (C) Pb uptake in duckweed cultured in mixed-metal solutions added with different levels of CA. Different letters mean significantly different at p < 0.05 (sampling size n = 10).
Water 17 00830 g002aWater 17 00830 g002b
Figure 3. Distributions of metals in soil, water and duckweed in single-metal solutions after 4 weeks.
Figure 3. Distributions of metals in soil, water and duckweed in single-metal solutions after 4 weeks.
Water 17 00830 g003
Figure 4. Distributions of metals in soil, water and duckweed in muti-metal solutions after 4 weeks.
Figure 4. Distributions of metals in soil, water and duckweed in muti-metal solutions after 4 weeks.
Water 17 00830 g004
Figure 5. The mechanisms of CA to prevent metals precipitation and enhance metal uptake.
Figure 5. The mechanisms of CA to prevent metals precipitation and enhance metal uptake.
Water 17 00830 g005
Table 1. pH of solutions added with 10 ppm CA.
Table 1. pH of solutions added with 10 ppm CA.
Day 11 Week4 Weeks
Control6.95 ± 0.08 a6.90 ± 0.09 a6.94 ± 0.08 a
Cu + 10 ppm CA6.39 ± 0.10 a6.92 ± 0.11 b6.95 ± 0.10 b
Ni + 10 ppm CA6.45 ± 0.19 a6.98 ± 0.13 b6.89 ± 0.11 b
Pb + 10 ppm CA6.43 ± 0.14 a7.00 ± 0.15 b6.99 ± 0.13 b
Cu + Ni + Pb + 10 ppm CA6.37 ± 0.12 a6.78 ± 0.10 b6.81 ± 0.09 b
Note: Different letters in the same row indicate a significant difference at p < 0.05.
Table 2. pH of solutions added with 50 ppm CA.
Table 2. pH of solutions added with 50 ppm CA.
Day 11 Week4 Weeks
Control6.95 ± 0.08 a6.90 ± 0.09 a6.94 ± 0.08 a
Cu + 50 ppm CA5.74 ± 0.11 a6.86 ± 0.10 b6.87 ± 0.09 b
Ni + 50 ppm CA5.68 ± 0.13 a6.88 ± 0.14 b6.89 ± 0.13 b
Pb + 50 ppm CA5.80 ± 0.12 a6.90 ± 0.12 b6.91 ± 0.09 b
Cu + Ni + Pb + 50 ppm CA5.70 ± 0.09 a6.79 ± 0.11 b6.78 ± 0.13 b
Note: Different letters in the same row indicate a significant difference at p < 0.05.
Table 3. pH of solutions added with 100 ppm CA.
Table 3. pH of solutions added with 100 ppm CA.
Day 11 Week4 Weeks
Control6.95 ± 0.08 a6.90 ± 0.09 a6.94 ± 0.08 a
Cu + 100 ppm CA4.91 ± 0.09 a6.78 ± 0.13 b6.88 ± 0.12 b
Ni + 100 ppm CA4.86 ± 0.13 a6.81 ± 0.15 b6.87 ± 0.10 b
Pb + 100 ppm CA5.00 ± 0.10 a6.76 ± 0.11 b6.93 ± 0.13 b
Cu + Ni + Pb + 100 ppm CA4.87 ± 0.14 a6.73 ± 0.13 b6.79 ± 0.10 b
Note: Different letters in the same row indicate a significant difference at p < 0.05.
Table 4. BCF of metals in duckweed cultured in single-metal solutions.
Table 4. BCF of metals in duckweed cultured in single-metal solutions.
No CALow CA 10 ppmMiddle CA 50 ppmHigh CA 100 ppm
Cu 21.66 ± 1.39 a26.31 ± 0.87 b38.62 ± 0.87 c42.39 ± 1.25 d
Ni 17.84 ± 0.86 a22.12 ± 1.43 b39.11 ± 1.95 c39.34 ± 2.00 c
Pb 11.85 ± 0.49 a22.37 ± 1.34 b22.27 ± 1.74 b23.48 ± 3.17 b
Note: Different letters in the same row indicate a significant difference at p < 0.05.
Table 5. The percentage of metals reacted with CA in the single-metal solutions.
Table 5. The percentage of metals reacted with CA in the single-metal solutions.
Low CA 10 ppmMiddle CA 50 ppmHigh CA 100 ppm
Cu in single solution19.9% 86.0%100.0%
Ni in single solution20.4%100.0%100.0%
Pb in single solution99.6%100.0%100.0%
Table 6. BCFs of metals in duckweed in mixed-metal solutions.
Table 6. BCFs of metals in duckweed in mixed-metal solutions.
No CALow CA 10 ppmMiddle CA 50 ppmHigh CA 100 ppm
Cu7.66 ± 0.35 a8.54 ± 0.47 a10.58 ± 0.59 b11.81 ± 0.68 b
Ni6.76 ± 0.52 a8.30 ± 1.10 a11.85 ± 0.61 b13.76 ± 0.61 c
Pb4.30 ± 0.42 a4.31 ± 0.44 a4.27 ± 0.38 a4.42 ± 0.46 a
Note: Different letters in the same row indicate a significant difference at p < 0.05.
Table 7. The percentages of metals reacted with CA in the mixed-metals solutions.
Table 7. The percentages of metals reacted with CA in the mixed-metals solutions.
Low CA 10 ppmMiddle CA 50 ppmHigh CA 100 ppm
Cu in mixed solution7.1%28.9%41.2%
Ni in mixed solution12.9%63.2%100.0%
Pb in mixed solution0.01%0.22%0.50%
Disclaimer/Publisher’s Note: The statements, opinions and data contained in all publications are solely those of the individual author(s) and contributor(s) and not of MDPI and/or the editor(s). MDPI and/or the editor(s) disclaim responsibility for any injury to people or property resulting from any ideas, methods, instructions or products referred to in the content.

Share and Cite

MDPI and ACS Style

Mobin, F.; Deloya, J.M.; Guo, L. The Impact of Citric Acid on Metal Accumulation in Lemna minor. Water 2025, 17, 830. https://doi.org/10.3390/w17060830

AMA Style

Mobin F, Deloya JM, Guo L. The Impact of Citric Acid on Metal Accumulation in Lemna minor. Water. 2025; 17(6):830. https://doi.org/10.3390/w17060830

Chicago/Turabian Style

Mobin, Faraid, Jonatan Miranda Deloya, and Lin Guo. 2025. "The Impact of Citric Acid on Metal Accumulation in Lemna minor" Water 17, no. 6: 830. https://doi.org/10.3390/w17060830

APA Style

Mobin, F., Deloya, J. M., & Guo, L. (2025). The Impact of Citric Acid on Metal Accumulation in Lemna minor. Water, 17(6), 830. https://doi.org/10.3390/w17060830

Note that from the first issue of 2016, this journal uses article numbers instead of page numbers. See further details here.

Article Metrics

Back to TopTop