Research on Water Resource Carrying Capacity Assessment and Water Quality Forecasting Based on Feature Selection with CNN-BiLSTM-Attention Model of the Min River Basin
Abstract
1. Introduction
2. Materials and Methods
2.1. Study Area
2.2. Sample Collection and Preparation
2.3. Framework of Methodlogy
2.4. Water Quality Index
2.5. Integrated Evaluation of WRCC Using Combined Empowerment and GRA-TOPSIS
- Step 1: Calculate the weights using the CRITIC method.
- Step 2: Calculate the weights using the entropy weighting method.
- Step 3: Calculate the combination weights.
- Step 4: Combine GRA-TOPSIS to calculate the values of each subsystem.
- Step 5: Calculate the degree of coupled coordination and the degree of obstruction.
2.6. Screening of Key Influencing Factors Using Adaptive Lasso-CatBoost
2.7. Water Quality Prediction Based on CNN-BiLSTM-Attention
- Step 1: Normalize the water quality data.
- Step 2: Calculate the values of the CNN layer.
- Step 3: Calculation of the BiLSTM.
- Step 4: Calculation of the Attention Mechanism.
- Step 5: Output the final predicted value.
3. Evaluation of WRCC and Influencing Factors
3.1. Mann–Kendal Test
3.2. Spatio-Temporal Variations in Water Quality
3.3. Construction of Evaluation System
3.4. Determination of Indicator Weights
3.5. Analysis of the Coupling Coordination Degree
3.6. Changes in WRCC and Various Subsystems
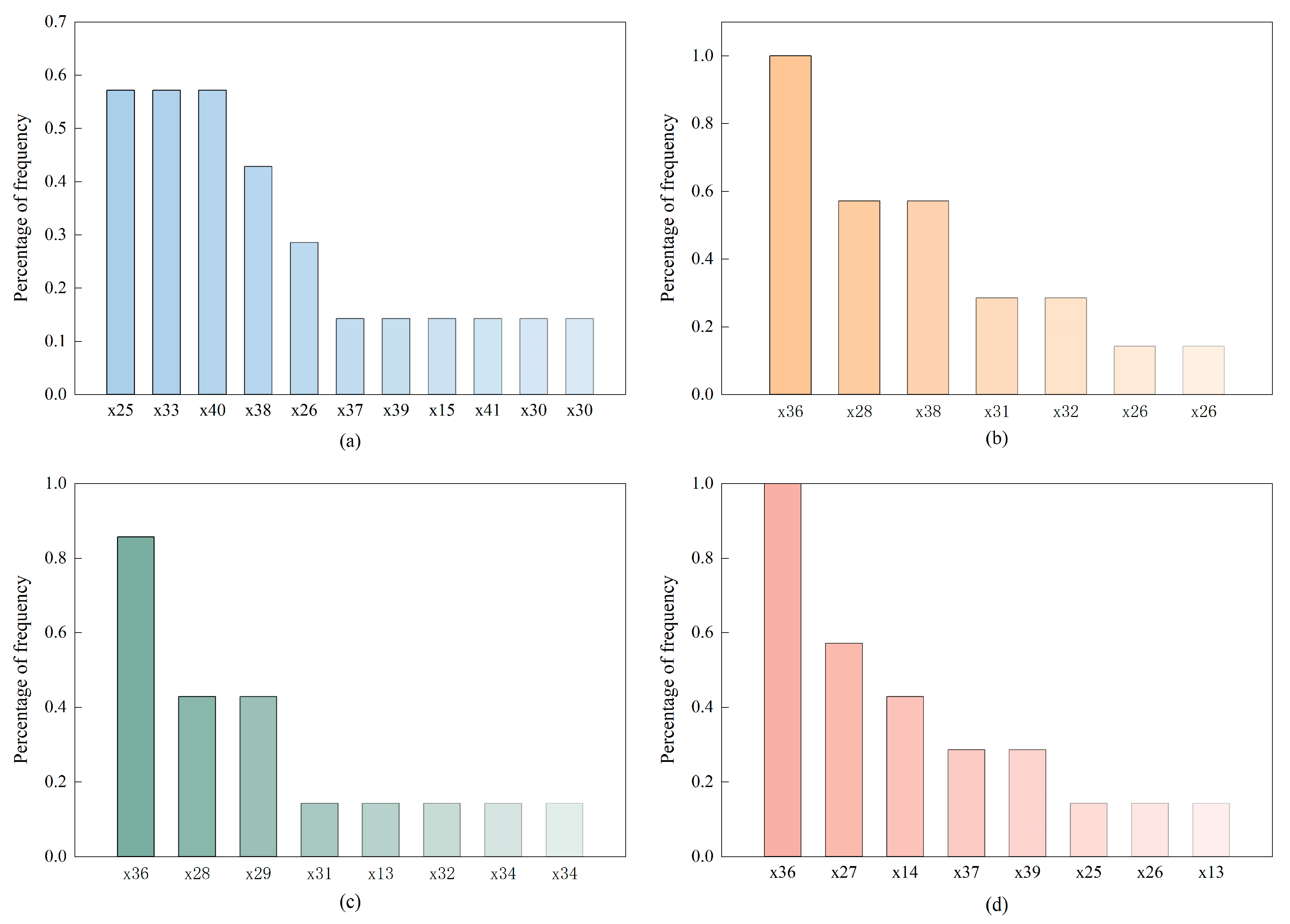
3.7. Diagnosis of Disorder Factor Identification
3.7.1. Diagnosis of System Level Barrier Factor Identification
3.7.2. Diagnosis of Indicator Level Barrier Factor Identification
4. Water Quality Prediction Modeling Based on Feature Selection
4.1. Screening of Key Influences on Water Quality
4.2. Construction of Water Quality Prediction Model
5. Discussion
5.1. Impact of Social Factors on WRCC and Water Quality
5.2. Advantages and Limitations of the Present Study
6. Conclusions
Supplementary Materials
Author Contributions
Funding
Data Availability Statement
Acknowledgments
Conflicts of Interest
References
- Netti, A.M.; Abdelwahab, O.M.; Datola, G.; Ricci, G.F.; Damiani, P.; Oppio, A.; Gentile, F. Assessment of nature-based solutions for water resource management in agricultural environments: A stakeholders’ perspective in Southern Italy. Sci. Rep. 2024, 1, 24668. [Google Scholar] [CrossRef] [PubMed]
- Zhao, F.F.; Guo, M.W.; Zhao, X.; Shu, X.Y. Spatio-temporal characteristics and coupling coordination factors of industrial water resource system resilience and utilization efficiency: A case study of the Yangtze River Economic Belt. Ecol. Indic. 2024, 167, 112704. [Google Scholar] [CrossRef]
- Totan, G.; Harish, G. Multi-criteria decision making of water resource management problem (in Agriculture field, Purulia district) based on possibility measures under generalized single valued non-linear bipolar neutrosophic environment. Expert Syst. Appl. 2022, 205, 117715. [Google Scholar]
- Ajay, S. Effective management of water resources problems in irrigated agriculture through simulation modeling. Water Resour. Manag. 2024, 8, 2869–2887. [Google Scholar]
- Zhang, Y.Y.; Zhao, Y.; Zhang, H.W.; Cao, J.; Chen, J.S.; Su, C.C.; Chen, Y.P. The impact of land-use composition and landscape pattern on water quality at different spatial scales in the Dan River Basin, Qin Ling mountains. Water 2023, 18, 3276. [Google Scholar] [CrossRef]
- Wang, T.R.; Ding, L.Z.; Zhang, D.Y.; Chen, J.P. A hybrid model combined deep neural network and Beluga Whale optimizer for China urban dissolved oxygen concentration forecasting. Water 2024, 20, 2966. [Google Scholar] [CrossRef]
- Zhang, P.; Li, L.Y.M.; Wang, Y.S.; Shi, C.C.; Fan, C.C. Influence of riverbed incision and hydrological evolution on water quality and water age based on numerical simulation: A case study of the Minjiang estuary. Int. J. Environ. Res. Public Health 2021, 11, 6138. [Google Scholar] [CrossRef]
- Li, Z.; Jiang, S.M.; Jin, J.L.; Shen, R.; Cui, Y. Quantitative diagnosis of water resources carrying capacity obstacle factors based on connection number and TOPSIS in Huaibei Plain. Water 2023, 18, 3217. [Google Scholar] [CrossRef]
- Sedighkia, M.; Abdoli, A. Linking remote sensing analysis and reservoir operation optimization for improving water quality management of reservoirs. J. Hydrol. 2022, 613, 128445. [Google Scholar] [CrossRef]
- Akiner, M.E.; Chauhan, P.; Singh, S.K. Evaluation of surface water quality in the Betwa River Basin through the water quality index model and multivariate statistical techniques. Environ. Sci. Pollut. Res. Int. 2024, 12, 18871–18886. [Google Scholar] [CrossRef]
- Zhao, H.; Zhao, L.L.; Tian, H.; Ding, L.C.; Wang, F.; Wang, Z.R.; Han, Z.H.; Gong, W.Q.; Hou, X.D. Comprehensive evaluation of water resources carrying capacity in Ankang City based on Game Theory Combination Weighting-TOPSIS model. Geol. Resour. 2023, 5, 642–654. [Google Scholar]
- Liu, T.; Xu, C.Y.; Zhang, X. Analysis of carbon emission-economy-environment coupling coordination degree in the Yangtze River economic belt from a dual-carbon perspective. J. Hunan Univ. Technol. 2024, 38, 53–60. [Google Scholar]
- Zhao, Z.Y.; Fan, B.; Zhou, Y.Q.; Wang, D. An effective data-driven water quality modeling and water quality risk assessment method. Eng. Appl. Artif. Intell. 2024, 138, 109457. [Google Scholar] [CrossRef]
- Du, L.L.; Niu, Z.R.; Zhang, R.; Zhang, J.Z.; Jia, L.; Wang, L.J. Evaluation of water resource carrying potential and barrier factors in Gansu Province based on game theory combined weighting and improved TOPSIS model. Ecol. Indic. 2024, 166, 112438. [Google Scholar] [CrossRef]
- Zeng, Y.; Yang, C.; Wang, X.Y.; Fang, Z.X.; Wu, J. Prediction of water quality of bicarbonate mineral water in Wudallanchi based on BP Neural Network model. E3S Web Conf. 2018, 53, 4017. [Google Scholar]
- Cao, D.D.; Chan, M.K.; Ng, S.C. Modeling and forecasting of nanoFeCu treated sewage quality using Recurrent Neural Network (RNN). Computation 2023, 2, 39. [Google Scholar] [CrossRef]
- Vijay, A.M.; Sohitha, C.; Saraswathi, G.N.; Lavanya, G.V. Water quality prediction using CNN. J. Phys. Conf. Ser. 2023, 1, 12051. [Google Scholar] [CrossRef]
- Kasiselvanathan, M.; Venkata, S.R.P.C.; Vijay, A.J.; Suresh, A.; Sinduja, M.; Prajna, K.B.; Maheswaran, S. Prediction of ground water quality in western regions of Tamilnadu using LSTM network. Groundw. Sustain. Dev. 2024, 25, 101156. [Google Scholar]
- Shang, X.D.; Duan, Z.X.; Chen, B.S.; Li, T.C. Water quality prediction based on a composite model of bidirectional long shortterm memory network. Acta Sci. Circumstantiae 2024, 7, 261–270. [Google Scholar]
- Zhang, Y.T.; Li, T.H. River Water Quality Prediction Based on Long Short-term Memory Neural Network. Environ. Sci. Technol. 2021, 8, 163–169. [Google Scholar]
- Hao, Y.Y.; Zhao, L.; Sun, T.; Qiao, Z. Surface water quality prediction based on RF-LSTM. J. Water Resour. Water Eng. 2021, 6, 41–48. [Google Scholar]
- Huang, Y.H.; Zhang, Z.H.; Chen, Q.; Zhang, L.; Zhang, J.G.; Lan, X.S. Transmission line audible noise prediction based on CNN-BiLSTM-Attention method. J. Phys. Conf. Ser. 2023, 1, 12078. [Google Scholar] [CrossRef]
- Zhao, T.Y.; Shi, C.C.; Xie, R.R.; Li, J.B.; Jiang, H.; Chen, J.; Liu, J.H. Change trend of main water quality indices and pollution identification in Minjiang River Basin in recent years. J. Fish. Res. 2022, 44, 324–335. [Google Scholar]
- Wen, Y.Y. Temporal and Spatial Analysis of Water Quality in Minjiang River and Its Sustainable Development. Master’s Thesis, Fujian Agriculture and Forestry University, Fuzhou, China, 2023. [Google Scholar]
- Tang, Y. Spatio-temporal Distribution Characteristics Analysis and Water Quality Prediction in Mingjiang River Basin. Master’s Thesis, Fuzhou University, Fuzhou, China, 2018. [Google Scholar]
- Wang, X.K.; Lin, H.; Xie, X.Q.; Wang, Z.F.; Liu, Y.; Liu, X.Z. Spatiotemporal change characteristics and driving factors of landuse in Minjiang River Basin. Ecol. Sci. 2023, 4, 171–181. [Google Scholar]
- Qin, W.H.; Chen, X.Y. Water quality forecast and prediction model based on Long-Short Term Memory network. J. Saf. Environ. 2020, 20, 328–334. [Google Scholar]
- Jin, C.C.; Ou, D.Y.; Zhou, H.Y.; Dong, H.Y. Comprehensive city river water quality assessment based on water quality identification index method. J. Water Resour. Archit. Eng. 2021, 19, 240–245. [Google Scholar]
- Zhou, Y.; Lu, N.; Hu, H.T.; Fu, B.J. Water resource security assessment and prediction in a changing natural and social environment: Case study of the Yanhe Watershed, China. Ecol. Indic. 2023, 154, 110594. [Google Scholar] [CrossRef]
- He, T.; Zhang, L.G.; Zeng, Y.; Zuo, C.Y.; Li, J. Water quality comprehensive index method of Eltrix River in Xin Jiang Province using SPSS. Procedia Earth Planet. Sci. 2012, 5, 314–321. [Google Scholar]
- Ye, Y.Z.; Chen, F.; Huang, Y.L. Water quality evaluation of subtropical water source reservoir using water quality index method. Water Resour. Prot. 2022, 38, 116–124. [Google Scholar]
- Hao, M.; Yan, Z.; Huang, Y.H.; Cao, Q.Y.; Cao, Z.Y. Water quality evaluation of centralized drinking water sources in Yan’an city. Res. Agric. Mod. 2023, 44, 736–744. [Google Scholar]
- Zeng, X.T.; Chen, Y.Y.; Yue, S.J.; Xu, D.Q.; Fu, R.J.; Tang, Y.P. Quantitative identification of Q-markers of Euphorbiae Humifusae Herba based on AHP-CRITIC comprehensive weighting method. China J. Chin. Mater. Medica 2022, 19, 5193–5202. [Google Scholar]
- Shi, H.W.; Wang, H.Y.; Xue, S.F.; Feng, S.L.; Li, Y.C. Durability evaluation of iron tailings concrete under freeze-thaw cycles and sulfate erosion based on entropy weighting method. Constr. Build. Mater. 2024, 443, 137747. [Google Scholar] [CrossRef]
- Hossain, M.Z.; Adhikary, A.K.; Nath, H.; Kafy, A.A.; Altuwaijri, H.A.; Rahman, M.T. Integrated geospatial and analytical hierarchy process approach for assessing sustainable management of groundwater recharge potential in Barind Tract. Water 2024, 20, 2918. [Google Scholar] [CrossRef]
- Xie, L.; Huang, J.J.; Zhu, X.; Yang, F.; Peng, F.Q.; Pang, Q.Q.; Jing, Y.M.; Tian, L.F.; Jin, J.H.; Hu, G.R.; et al. Simplification and simulation of evaluation process for low efficiency constructed wetlands based on principal component analysis and machine learning. Sci. Total Environ. 2024, 955, 176873. [Google Scholar] [CrossRef] [PubMed]
- Ye, S.; Li, C.Y.; Qiu, X.; Xiong, B.; Sun, G.C.; Huang, S.J.; Rong, Y. Application of combination weighting based TOPSIS model in fruit quality evaluation. J. Northwest A F Univ. 2017, 45, 111–121. [Google Scholar]
- Wei, Z.Q.; Ji, D.D.; Yang, L. Comprehensive evaluation of water resources carrying capacity in Henan Province based on entropy weight TOPSIS—Coupling coordination—Obstacle model. Environ. Sci. Pollut. Res. Int. 2023, 54, 115820–115838. [Google Scholar] [CrossRef] [PubMed]
- Fan, W.G.; Chen, B.X.; Li, Q.X. Research on the evaluation of the formation of new development patterns in each province: Coupling coordination model based on the improved CRITIC entropy method of combining weights. China J. Commer. 2023, 4, 37–41. [Google Scholar]
- Ma, J.M.; Tuo, Y.F.; Wang, Q.; Wang, F.; Zheng, Y.; Du, W.J. Evaluation of water resources carrying capacity in Yunnan province based on GRA-TOPSIS and diagnosis of its obstacle factors. J. Water Resour. Water Eng. 2022, 33, 11–17. [Google Scholar]
- Xie, X.J. Coupling coordination relationship and spatiotemporal evolution characteristics of land use benefit in Sichuan province based on entropy weight TOPSIS and coupling coordination model. J. Soil Water Conserv. 2024, 38, 267–277. [Google Scholar]
- Li, R.Q.; Shan, J.X.; Zhao, J.; Hu, H.; Liu, D.H.; Wang, G.F.; Li, Y.F. Spatio-temporal evolution and obstacle factors of territorial utilization quality in the Bohai Rim. Geogr. Res. 2024, 3, 736–753. [Google Scholar]
- Fan, H.; Wu, Y.; Liu, X.; Chen, J.; Wu, X.J.; Yao, X.D.; Duan, X.Y. Construction and validation of a Lasso regression baesd nomogram prediction model for active tuberculosis. Chin. J. Clin. Res. 2024, 37, 424–429. [Google Scholar]
- Huang, X.; Zheng, S.Y.; Zhang, Z.Y.; Zhu, D.P.; Fan, X.T.; Du, B.; Liu, S.J. A prediction model involving biomarkers for the risk of metabolic syndrome using the Lasso regression. Chin. J. Conval. Med. 2024, 33, 1–5. [Google Scholar]
- Sailaja, M.; Prema Kumar, M.; Swarna Jyothi, B.; Narasamba Vanguri, G.L.; Manjula, S.; Divya Priya, D. Remote sensing-based UAV imaging in heat pattern analysis impact on climate change detection using fuzzy stacked Lasso elastic-net model. Remote Sens. Earth Syst. Sci. 2024, 24, 158. [Google Scholar] [CrossRef]
- Fu, C.; Wang, K.J. Lasso regression assisted by coefficient of determination and correlation coefficient. J. Fujian Norm. Univ. (Nat. Sci. Ed.) 2024, 40, 57–63. [Google Scholar]
- Yuan, B.H.; Lu, Y.; Hu, T.F. Research of feature extraction algorithm based onadaptive Lasso manifold regularization. J. Hunan Univ. Arts Sci. (Sci. Technol.) 2021, 33, 23–26. [Google Scholar]
- Sandberg, J.; Voigtmann, T.; Devijver, E.; Jakse, N. Feature selection for high-dimensional neural network potentials with the adaptive group lasso. Mach. Learn. Sci. Technol. 2024, 2, 25043. [Google Scholar] [CrossRef]
- Yang, J.; Ren, G.H.; Wang, Y.X.; Liu, Q.; Zhang, J.M.; Wang, W.Q.; Li, L.Z.; Zhang, W.P. Environmental prediction model of solar sreenhouse based on improved Harris Hawks optimization-CatBoost. Sustainability 2021, 16, 2021. [Google Scholar] [CrossRef]
- Ge, Z.W.; Feng, S.; Ma, C.C.; Wei, K.; Hu, K.; Zhang, W.J.; Dai, X.J.; Fan, L.F.; Hua, J.H. Quantifying and comparing the effects of key chemical descriptors on metal-organic frameworks water stability with CatBoost and SHAP. Microchemical 2024, 196, 109625. [Google Scholar] [CrossRef]
- Zhou, Y.C.; Hu, T.S.; Chen, J.; Xu, J.J.; Zhou, Y.L. Application of neural betwork model coupled with dynamic equation in water quality prediction. J. Yangtze River Sci. Res. Inst. 2017, 9, 1–5. [Google Scholar]
- Meng, H.N.; Tong, X.Y.; Shi, Y.K.; Zhu, L.; Feng, K.; Hei, X.H. Cloud server aging prediction method based on hybrid model of auto-regressive integrated moving average and recurrent neural network. J. Commun. 2021, 1, 163–171. [Google Scholar]
- Guo, L.J.; Xu, R.W. Application of LSTM model combining improved fruit-fly algorithm after seasonal-trend decomposition using LOESS to water quality prediction. J. Yangtze River Sci. Res. Inst. 2023, 8, 57–63. [Google Scholar]
- Ke, J.S.; Zhao, J.M.; Li, H.F.; Yuan, L.; Dong, G.H.; Wang, G.H. Prediction of protein n-terminal acetylation modification sites based on CNN-BiLSTM-attention model. Comput. Biol. Med. 2024, 174, 108330. [Google Scholar] [CrossRef]
- Xu, Y.H. Study on Water Ecological Environment Pollution in the Min River Based on Copula Function. Master’s Thesis, Fujian Agriculture And Forestry University, Fuzhou, China, 2024. [Google Scholar]
- Yin, J.; Wanyan, D.D. Evaluation on the coupling coordination degree between public cultural services and tourism. J. Natl. Libr. China 2024, 33, 61–73. [Google Scholar]
- Cui, M.S.; Liu, R.Q. Study on the coupling coordination of digital economy and green innovation: A case study of cssities in the Yangtze River Delta region. East China Econ. Manag. 2024, 38, 25–37. [Google Scholar]
- Yan, X.Y.; Wu, Q.A.; Lv, L.J. Study on influencing factors of water resources carrying capacity in Central China: Based on IGMM empirical analysis. J. Hexi Univ. 2023, 5, 85–92. [Google Scholar]
- Peng, Y.; Tan, X.Y.; Zhu, Z.L.; Liao, J.Y.; Xiang, L.J.; Wu, F. Evaluation of resource and environmental carrying capacity at provincial level in China using a pressure-support-adjustment ternary system. Sustainability 2024, 19, 8607. [Google Scholar] [CrossRef]
- Chen, J.F.; Che, Y.J.; Gu, Y.; Ding, T.H. Structural optimization of Jiangsu’s chemical industry constrained by carbon reduction and water ecological carrying capacity. Resour. Ind. 2024, 26, 111–123. [Google Scholar]
- Wang, J.; Wu, Q.; Luo, H.; Sun, L.L.; Li, N.; He, Y.Q. Spatial-temporal distribution and influencing factors of dissolved oxygen in the North Mainstream of Dong River. J. Chang. River Sci. Inst. 2024, 3, 37–44. [Google Scholar]
- Zhang, M.; Yan, R.H.; Gao, J.F.; Yan, S.D.; Yan, J.L. A framework for characterizing spatio-temporal variation of turbidity and drivers in the navigable and turbid river: A case study of Xitiaoxi River. Water 2024, 17, 2503. [Google Scholar] [CrossRef]
- Wen, Y.Y.; You, T.G.; Xu, Y.H.; Lin, S.H.; Ning, J.; You, X.M.; Xiao, Y.L. Comprehensive Evaluation of the Level of Water Ecological Civilization Construction in the Min River Basin, China. Sustainability 2022, 14, 15753. [Google Scholar] [CrossRef]
- Wang, K.X.; Chen, W. Evaluation of water resources carrying capacity in Shiyan city based on improved fuzzy comprehensive evaluation. Water Resour. Power 2024, 42, 14–17. [Google Scholar]
- Pang, B.W.; Li, Z.J. Carrying capacity evaluation on water resources of Jilin Province based on PCA-GA-Xgboost model. Pearl River 2024, 45, 98–106. [Google Scholar]
- Gao, Y.; Bai, L.Y.; Zhou, K.F.; Kou, Y.F.; Yuan, W.T.; Zhou, X.Z.; Qiu, Z.Y.; Zhao, D.Q.; Lv, Z.H.; Wu, Q.L.; et al. Study on the coupling coordination degree and driving mechanism of “production-living-ecological” space in ecologically fragile areas: A case study of the Turpan-Hami Basin. Sustainability 2024, 20, 9054. [Google Scholar] [CrossRef]
- Liu, H.Y.; Xia, J.; Zou, L.; Huo, R. Comprehensive quantitative evaluation of the water resource carrying capacity in Wuhan city based on the “human-water-city” framework: Past, present and future. J. Clean. Prod. 2022, 366, 132847. [Google Scholar] [CrossRef]
- Tong, X.W.; He, X.; Sun, L.Q.; Sun, J.G. Variables selection vianon-concave penalized likelihood and its oracle properties. J. Am. Stat. Assoc. 2009, 36, 620–635. [Google Scholar]
- Wang, X.Y.; Zhang, Z.Y. Adaptive lasso penalized financial risk warning model with network structure. J. Appl. Stat. Manag. 2021, 40, 888–900. [Google Scholar]












| Monitoring Point | Serial Number | Monitoring Point | Serial Number | Monitoring Point | Serial Number | Monitoring Point | Serial Number |
|---|---|---|---|---|---|---|---|
| Fuzhou Wenshanli | A | Jianou Pengdun | F | Yanping Langshi | K | Gutian Reservoir | P |
| Lianjiang Guantou | B | Jianyang Pingzhou Bridge | G | Yanping Nanxi | L | Datian Gaocai | Q |
| Minhou Zhuqi | C | Jiangle Zhangying | H | Yanping Yangkeng | M | Jianning Yuanzhuang | R |
| Minqing Xiongjiang | D | Nanping Shuifen Bridge | I | Zhenghe Xijin | N | Banzhu Creek Crossing | S |
| Jianou fangcun | E | Wuyishan Xingtian | J | Gutian Huangtian | O | Yongan Ansha Reservoir | T |
| Indicator Layer | X1 | X2 | X3 | X4 | X5 | X6 | X7 | X8 |
|---|---|---|---|---|---|---|---|---|
| Coefficient of variation | 0.468 | 0.231 | 0.336 | 0.551 | 0.395 | 0.302 | 0.156 | 0.328 |
| Flood Season | Dry Season | |||
|---|---|---|---|---|
| MK-Z | MK-p | MK-Z | MK-p | |
| water temperature (X1) | 0.6520 | 0.5144 | 0.7845 | 0.4327 |
| Ph (X2) | 0.9681 | 0.3330 | −0.1626 | 0.8709 |
| dissolved oxygen (X3) | −0.7705 | 0.4410 | −0.2615 | 0.7937 |
| conductivity (X4) | 1.3632 | 0.1728 | 1.7315 | 0.0834 |
| turbidity (X5) | −0.7705 | 0.4410 | −2.0708 | 0.0384 |
| permanganate (X6) | −2.1930 | 0.02831 | −1.5619 | 0.1183 |
| ammonia nitrogen (X7) | −3.1413 | 0.0017 | −1.4771 | 0.1396 |
| total phosphorus (X8) | 0.4149 | 0.6782 | 0.5866 | 0.5575 |
| total nitrogen (X9) | 0.4544 | 0.6495 | 1.3923 | 0.1638 |
| Main Obstacle Factor | 2017 | 2019 | 2021 | 2023 |
|---|---|---|---|---|
| X25 | 0.0507 | - | 0.0508 | - |
| X30 | - | 0.0508 | 0.0510 | 0.0509 |
| X31 | 0.0508 | - | - | - |
| X36 | 0.0508 | 0.0510 | 0.0509 | 0.0509 |
| X37 | 0.0507 | 0.0507 | 0.0508 | 0.0510 |
| X38 | 0.0510 | 0.0513 | 0.0512 | 0.0511 |
| LassoCV | LassoLarsCV | Adaptive Lasso | |
|---|---|---|---|
| MSE | 2.699 × 10−1 | 5.848 × 10−2 | 5.740 × 10−2 |
| Indicator Layer | X3 | X5 | X6 | X7 | X8 | X9 | X14 |
|---|---|---|---|---|---|---|---|
| Correlation Coefficient | 0.9396 | −0.7414 | −1.6642 | −1.3623 | −1.4217 | −1.7532 | −0.5427 |
| Model | t | p | Cohen’s d |
|---|---|---|---|
| LSTM | −5.166 | 0.000 *** | 0.348 |
| LSTM-Attention | −12.166 | 0.000 *** | 0.820 |
| CNN-BiLSTM-Attention | −19.914 | 0.000 *** | 1.343 |
| Model | Index | N | S | T | Mean Value |
|---|---|---|---|---|---|
| LSTM | NSE | 0.4884 | 0.1473 | 0.3549 | 0.3208 |
| Adjusted R2 | 0.1540 | 0.0870 | 0.0288 | 0.0869 | |
| LSTM-Attention | NSE | 0.2046 | 0.1111 | 0.0734 | 0.1262 |
| Adjusted R2 | 0.0646 | 0.0974 | 0.1051 | 0.2487 | |
| CNN-BiLSTM-Attention | NSE | 0.2969 | 0.2319 | 0.0980 | 0.2084 |
| Adjusted R2 | 0.0132 | 0.0514 | 0.1004 | 0.0562 | |
| CatBoost-CNN-BiLSTM-Attention | NSE | 0.5513 | 0.4414 | 0.0640 | 0.3548 |
| Adjusted R2 | 0.2266 | 0.1053 | 0.3405 | 0.2249 |
| Model | Index | C | D | G | R | Mean Value |
|---|---|---|---|---|---|---|
| LSTM | MAPE | 0.0263 | 0.1437 | 0.0417 | 0.0503 | 0.0525 |
| SMAPE | 0.0066 | 0.0333 | 0.0100 | 0.0129 | 0.0128 | |
| LSTM-Attention | MAPE | 0.0383 | 0.0438 | 0.0404 | 0.0240 | 0.0443 |
| SMAPE | 0.0099 | 0.0114 | 0.0099 | 0.0068 | 0.0109 | |
| CNN-BiLSTM-Attention | MAPE | 0.0354 | 0.0470 | 0.0442 | 0.0240 | 0.0444 |
| SMAPE | 0.0090 | 0.0121 | 0.0109 | 0.0061 | 0.0109 | |
| CatBoost-CNN-BiLSTM-Attention | MAPE | 0.0203 | 0.0257 | 0.0394 | 0.0162 | 0.0326 |
| SMAPE | 0.0050 | 0.0064 | 0.0095 | 0.0041 | 0.0103 |
Disclaimer/Publisher’s Note: The statements, opinions and data contained in all publications are solely those of the individual author(s) and contributor(s) and not of MDPI and/or the editor(s). MDPI and/or the editor(s) disclaim responsibility for any injury to people or property resulting from any ideas, methods, instructions or products referred to in the content. |
© 2025 by the authors. Licensee MDPI, Basel, Switzerland. This article is an open access article distributed under the terms and conditions of the Creative Commons Attribution (CC BY) license (https://creativecommons.org/licenses/by/4.0/).
Share and Cite
Xiao, Y.; Shen, H.; You, L.; Zheng, Y.; Xie, H.; Xu, Y.; Fu, W.; Ning, J.; You, T. Research on Water Resource Carrying Capacity Assessment and Water Quality Forecasting Based on Feature Selection with CNN-BiLSTM-Attention Model of the Min River Basin. Water 2025, 17, 824. https://doi.org/10.3390/w17060824
Xiao Y, Shen H, You L, Zheng Y, Xie H, Xu Y, Fu W, Ning J, You T. Research on Water Resource Carrying Capacity Assessment and Water Quality Forecasting Based on Feature Selection with CNN-BiLSTM-Attention Model of the Min River Basin. Water. 2025; 17(6):824. https://doi.org/10.3390/w17060824
Chicago/Turabian StyleXiao, Yanglan, Huirou Shen, Linyi You, Yijing Zheng, Houzhan Xie, Yihan Xu, Weiwei Fu, Jing Ning, and Tiange You. 2025. "Research on Water Resource Carrying Capacity Assessment and Water Quality Forecasting Based on Feature Selection with CNN-BiLSTM-Attention Model of the Min River Basin" Water 17, no. 6: 824. https://doi.org/10.3390/w17060824
APA StyleXiao, Y., Shen, H., You, L., Zheng, Y., Xie, H., Xu, Y., Fu, W., Ning, J., & You, T. (2025). Research on Water Resource Carrying Capacity Assessment and Water Quality Forecasting Based on Feature Selection with CNN-BiLSTM-Attention Model of the Min River Basin. Water, 17(6), 824. https://doi.org/10.3390/w17060824
