Analytical Method for Polyelectrolytes in Sludge Condensation (Centrate) Units of a Wastewater Treatment Plant
Abstract
1. Introduction
2. Materials and Methods
2.1. Chemicals and Instruments
2.2. Preparation of Stock Polymer Solution
2.3. Water Samples
2.4. Measurement of Residual Polymer Concentration
Absorbance Measurements
3. Results and Discussion
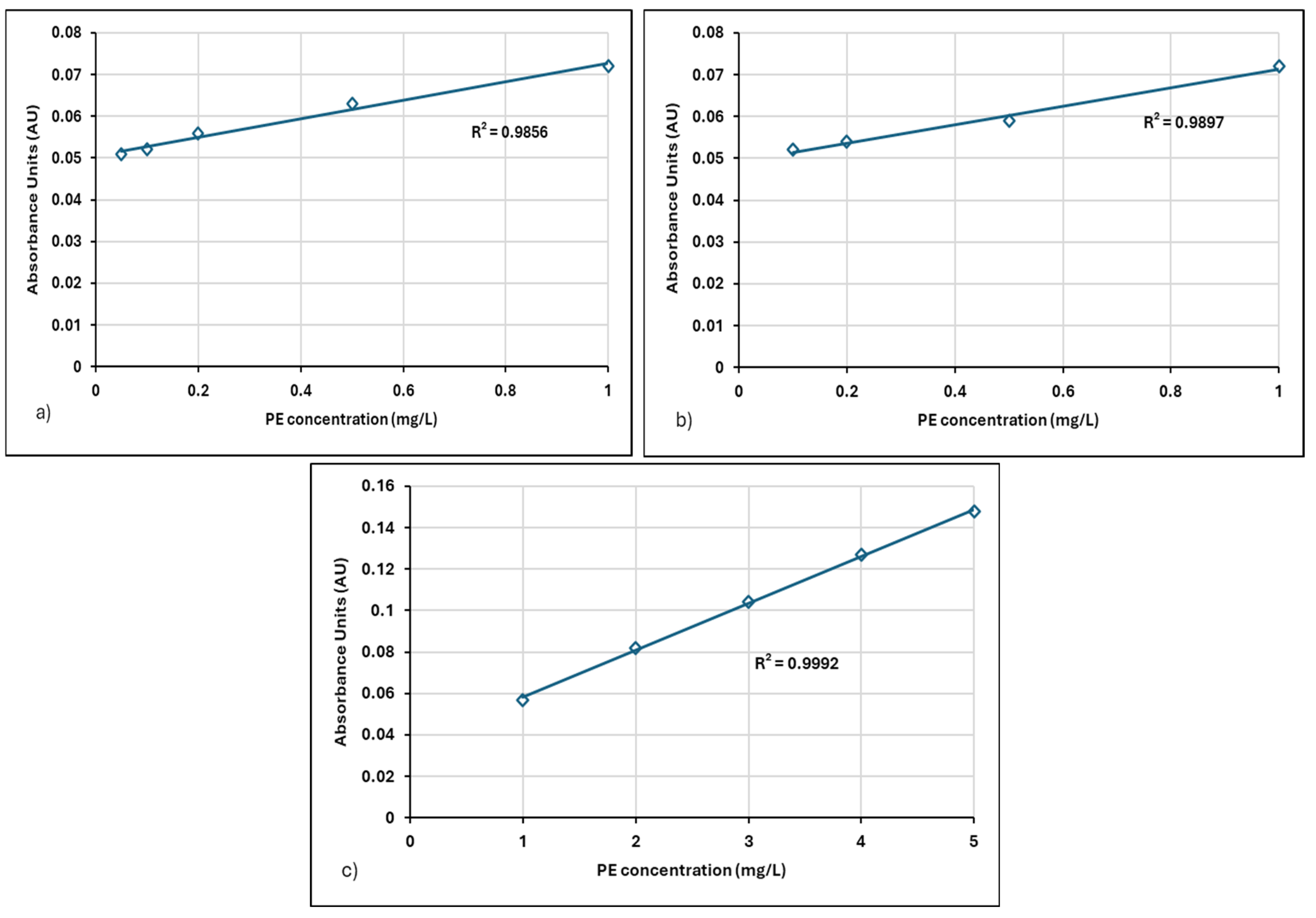
3.1. The Calibration Spectrum of Polymers in Distilled Water
3.2. Polyelectrolyte Absorbance Spectra in Centrate Samples
3.3. Determination of Detection Limits
- A: Absorbance,
- Ε: Molar absorptivity coefficient (L·mol−1·cm−1),
- C: Concentration (mol·L−1),
- b: Path length of the cuvette (cm).
4. Conclusions
Author Contributions
Funding
Data Availability Statement
Acknowledgments
Conflicts of Interest
References
- Mortimer, D.A. Synthetic polyelectrolytes-A review. Polym. Int. 1991, 25, 29–41. [Google Scholar] [CrossRef]
- Thomas, W.M. Acrylamide polymers. Encycl. Polym. Sci. Technol. 1964, 1, 177–197. [Google Scholar]
- Koetz, J.; Kosmella, S. Polyelectrolytes and Nanoparticles; Springer: Berlin/Heidelberg, Germany, 2007; ISBN 978-3-540-46381-8. [Google Scholar]
- Rabiee, A.; Ershad-Langroudi, A.; Zeynali, M.E. A survey on cationic polyelectrolytes and their applications: Acrylamide derivatives. Rev. Chem. Eng. 2015, 31, 239–261. [Google Scholar] [CrossRef]
- Bolto, B.A. Soluble polymers in water purification. Prog. Polym. Sci. 1995, 20, 987–1041. [Google Scholar] [CrossRef]
- Glover, S.M.; Yan, Y.D.; Jameson, G.J.; Biggs, S. Dewatering properties of dual-polymer flocculated systems. Int. J. Miner. Process. 2004, 73, 145–160. [Google Scholar] [CrossRef]
- Goodrich, M.S.; Dulak, L.H.; Friedman, M.A.; ve Lech, J.J. Acute and long-term toxicity of water-soluble cationic polymers to rainbow-trout (Oncorhynchus mykiss) and the modification of toxicity by humic-acid. Environ. Toxicol. Chem. 1991, 10, 509–515. [Google Scholar] [CrossRef]
- Almomani, F.; Örmeci, B. Measurement of polyacrylamide polymers in water and wastewater using an in-line UV–VIS spectrophotometer. J. Environ. Chem. Eng. 2014, 2, 765–772. [Google Scholar] [CrossRef]
- Letterman, R.D.; Pero, R.W. Contaminants in polyelectrolytes used in water-treatment. J. Am. Water Works Assoc. 1990, 82, 87–97. [Google Scholar] [CrossRef]
- Hamilton, J.D.; Reinert, K.H.; Freeman, M.B. Aquatic risk assessment of polymers. Environ. Sci. Technol. 1994, 28, 187A–192A. [Google Scholar] [CrossRef]
- Biesinger, K.E.; Stokes, G.N. Effects of synthetic polyelectrolytes on selected aquatic organisms. Water Pollut. Control Fed. J. 1986, 58, 207–213. [Google Scholar]
- Timofeeva, S.S.; Beim, A.M.; Beim, A.A. Ecologo-technological principles of the choice of flocculants for wastewater purification from clay suspensions. Khim. Teknol. Vody 1994, 16, 72–76. [Google Scholar]
- Biesinger, K.E.; Lemke, A.E.; Smith, W.E.; Robert, M.T. Comparative toxicity of polyelectrolytes to selected aquatic animals. Water Pollut. Control Fed. 1976, 48, 183–187. [Google Scholar]
- Wee, V.T. Determination of Cationic Surfactants in Waste- and River Waters. Water Res. 1984, 18, 223–225. [Google Scholar] [CrossRef]
- Becker, N.S.C.; Bennett, D.M.; Bolto, B.A.; Dixon, D.R.; Eldridge, R.J.; Le, N.P.; Rye, C.S. Detection of Polyelectrolytes at Trace Levels in Water by Fluorescent Tagging. React. Funct. Polym. 2004, 60, 183–193. [Google Scholar] [CrossRef]
- Tsubouchi, M.; Mitsushio, H.; Yamasaki, N. Determination of Cationic Surfactants by Two-Phase Titration. Anal. Chem. 1981, 53, 1957–1959. [Google Scholar] [CrossRef]
- Hanasaki, T.; Ohnishi, H.; Nikaidoh, A.; Tanata, S.; Kawasaki, K. Determination of Trace Polymer in Waste Water. Bull. Environ. Contam. Toxicol. 1985, 35, 476–481. [Google Scholar] [CrossRef]
- Majam, M.; Thompson, P.A. Polyelectrolyte determination in drinking water. Water SA 2006, 32, 705–707. [Google Scholar] [CrossRef]
- Parazak, D.P.; Burkhardt, C.W.; McCarthy, K.J. Determination of Low Levels of Cationic Polyelectrolytes in Water. Anal. Chem. 1987, 59, 1444–1445. [Google Scholar] [CrossRef]
- Masadome, T. Flow Injection Spectrophotometric Determination of Anionic Polyelectrolytes Using the Cationic Dyes. Anal. Lett. 2001, 34, 2711–2719. [Google Scholar] [CrossRef]
- Scoggins, M.W.; Miller, J.W. Determination of Water-Soluble Polymers Containing Primary Amide Groups Using the Starch-Triiodide Method. Soc. Pet. Eng. J. 1979, 19, 151–154. [Google Scholar] [CrossRef]
- Almomani, F.; Örmeci, B. Optimization of Polymer Dose Based on Residual Polymer Concentration in Dewatering Supernatant. Water Air Soil Pollut. 2014, 225, 2154. [Google Scholar]
- Gibbons, M.K.; Ormeci, B. Quantification of polymer concentration in water using UV–vis spectroscopy. J. Water Supply: Res. Technol.–AQUA 2013, 62, 205–213. [Google Scholar] [CrossRef]
- Cormier, R. UV-VIS Spectroscopy as a Tool for the Detection of Residual Polymer and Optimization of Polymer Dose in Drinking Water Treatment Applications. Master of Applied Science; Master’s Thesis, Carleton University, Ottawa, ON, Canada, 2019. [Google Scholar]
- Salam, M.A.; Örmeci, B.; Paul, S. Determination of the optimum polymer dose for dewatering of oil sands tailings using UV-vis spectrophotometry. J. Pet. Sci. Eng. 2016, 147, 68–76. [Google Scholar] [CrossRef]
- Carreres-Prieto, D.; García, J.T.; Cerdán-Cartagena, F.; Suardiaz-Muro, J. Wastewater quality estimation through spectrophotometry-based statistical models. Sensors 2020, 20, 5631. [Google Scholar] [CrossRef] [PubMed]
- Alves, E.M.; Rodrigues, R.J.; Corrêa, C.D.S.; Fidemann, T.; Rocha, J.C.; Buzzo, J.L.L.; de Oliva Neto, P.; Núñez, E.G.F. Use of ultraviolet–visible spectrophotometry associated with artificial neural networks as an alternative for determining the water quality index. Environ. Monit. Assess. 2018, 190, 319. [Google Scholar] [CrossRef] [PubMed]
- Carré, E.; Pérot, J.; Jauzein, V.; Lin, L.; Lopez-Ferber, M. Estimation of water quality by UV/Vis spectrometry in the framework of treated wastewater reuse. Water Sci. Technol. 2017, 76, 633–641. [Google Scholar] [CrossRef]
- Wu, X.; Tong, R.; Wang, Y.; Mei, C.; Li, Q. Study on an online detection method for ground water quality and instrument design. Sensors 2019, 19, 2153. [Google Scholar] [CrossRef]
- Guo, Y.; Liu, C.; Ye, R.; Duan, Q. Advances on water quality detection by UV-Vis spectroscopy. Appl. Sci. 2020, 10, 6874. [Google Scholar] [CrossRef]
- Shi, Z.; Chow, C.W.; Fabris, R.; Liu, J.; Jin, B. Applications of online UV-Vis spectrophotometer for drinking water quality monitoring and process control: A review. Sensors 2022, 22, 2987. [Google Scholar] [CrossRef]
- Thünemann, A.F.; Müller, M.; Dautzenberg, H.; Joanny, J.F.; Löwen, H. Polyelectrolyte complexes. In Polyelectrolytes with Defined Molecular Architecture II; Schmidt, M., Ed.; Springer: Berlin/Heidelberg, Germany, 2004; Volume 166, pp. 113–171. [Google Scholar]
- Skoog, D.; West, D.; Holler, F.; Crouch, S.R. Fundamentals of Analytical Chemistry; Saunders College Pub: Fort Worth, TX, USA, 2014; ISBN 13: 978-0495558286. [Google Scholar]
- Skoog, D.A.; Holler, J.F.; Crouch, S.R. Principles of Instrumental Analysis, 7th ed.; New Jersey Institute of Technology: Newark, NJ, USA, 2017; p. 74. ISBN 13978-1305577213. [Google Scholar]
- Gärdlund, L.; Wågberg, L.; Norgren, M. New insights into the structure of polyelectrolyte complexes. J. Colloid Interface Sci. 2007, 312, 237–246. [Google Scholar] [CrossRef]
- Aghamir-Baha, S. Measurement of Polymer Concentration and Optimization of Sludge Dewatering Using UV-VIS Spectroscopy. Master of Applied Science, Master’s Thesis, Institute of Civil and Environmental Engineering, Carleton University, Ottawa, ON, Canada, 2014. [Google Scholar]
- Holmberg, K.; Jönsson, B.; Kronberg, B.; Lindman, B. Surfactants and Polymers in Aqueous Solution; Wiley: Hoboken, NJ, USA, 2002; ISBN 9780471498834. [Google Scholar]
- Atkins, P.; de Paula, J. Physical Chemistry; W. H. Freeman and Company: New York, NY, USA, 2006; ISBN 0-7167-8759-8. [Google Scholar]








| Polymer Name | Cationic Charge | Molecular Weight | Physical State |
|---|---|---|---|
| Zetag™ 8185 | High | Very High | Powder |
| Neu Floc 7331 | High | High | Solid, crystalline, powder |
| Polyelectrolytes | Concentration Range (mg/L) | R2 | Slope |
|---|---|---|---|
| NEU FLOC 7331 | 0.05–1 | 0.9984 | 0.037 |
| 0.1–1 | 0.9436 | 0.0195 | |
| 1–5 | 0.996 | 0.0181 | |
| ZETAG 8185 | 0.05–1 | 0.9856 | 0.0221 |
| 0.1–1 | 0.9897 | 0.0221 | |
| 1–5 | 0.9992 | 0.0227 |
| Samples | Polyelectrolytes | Concentration Range (mg/L) | R2 | Slope |
|---|---|---|---|---|
| Filtered Centrate | NEU FLOC 7331 | 0–1 | 0.9963 | 0.0216 |
| 1:10 Diluted Centrate | NEU FLOC 7331 | 0–1 | 0.9907 | 0.0209 |
| Filtered Centrate | ZETAG 8185 | 0–1 | 0.9916 | 0.0265 |
| 1:10 Diluted Centrate | ZETAG 8185 | 0–1 | 0.9922 | 0.0178 |
| Polyelectrolytes | Dilution | Detection Limits (mg/L) | ||
|---|---|---|---|---|
| Distilled water | 190 nm | 203 | 205 | |
| NEU FLOC 7331 | 0 | 0.35 | 0.34 | 0.05 |
| Distilled water | 200 nm | 202 nm | ||
| ZETAG 8185 | 0 | 0.15 | 0.16 | |
| Centrate | Polyelectrolytes | Dilution | Detection Limits (mg/L) |
| NEU FLOC 7331 | 1:10 | 0.13 | |
| NEU FLOC 7331 | - | 0.085 | |
| ZETAG 8185 | 1:10 | 0.12 | |
| ZETAG 8185 | - | 0.13 |
Disclaimer/Publisher’s Note: The statements, opinions and data contained in all publications are solely those of the individual author(s) and contributor(s) and not of MDPI and/or the editor(s). MDPI and/or the editor(s) disclaim responsibility for any injury to people or property resulting from any ideas, methods, instructions or products referred to in the content. |
© 2025 by the authors. Licensee MDPI, Basel, Switzerland. This article is an open access article distributed under the terms and conditions of the Creative Commons Attribution (CC BY) license (https://creativecommons.org/licenses/by/4.0/).
Share and Cite
Özdemir, A.; Nuhoğlu, Y. Analytical Method for Polyelectrolytes in Sludge Condensation (Centrate) Units of a Wastewater Treatment Plant. Water 2025, 17, 825. https://doi.org/10.3390/w17060825
Özdemir A, Nuhoğlu Y. Analytical Method for Polyelectrolytes in Sludge Condensation (Centrate) Units of a Wastewater Treatment Plant. Water. 2025; 17(6):825. https://doi.org/10.3390/w17060825
Chicago/Turabian StyleÖzdemir, Aysun, and Yaşar Nuhoğlu. 2025. "Analytical Method for Polyelectrolytes in Sludge Condensation (Centrate) Units of a Wastewater Treatment Plant" Water 17, no. 6: 825. https://doi.org/10.3390/w17060825
APA StyleÖzdemir, A., & Nuhoğlu, Y. (2025). Analytical Method for Polyelectrolytes in Sludge Condensation (Centrate) Units of a Wastewater Treatment Plant. Water, 17(6), 825. https://doi.org/10.3390/w17060825

