Biochar-Based Electrochemical Degradation System for Removing Pharmaceutical Pollutants from Aqueous Media as Potential Wastewater Treatment
Abstract
1. Introduction
2. Materials and Methods
2.1. Materials and Reagents
2.2. Biochar Preparation and Physical Characterization
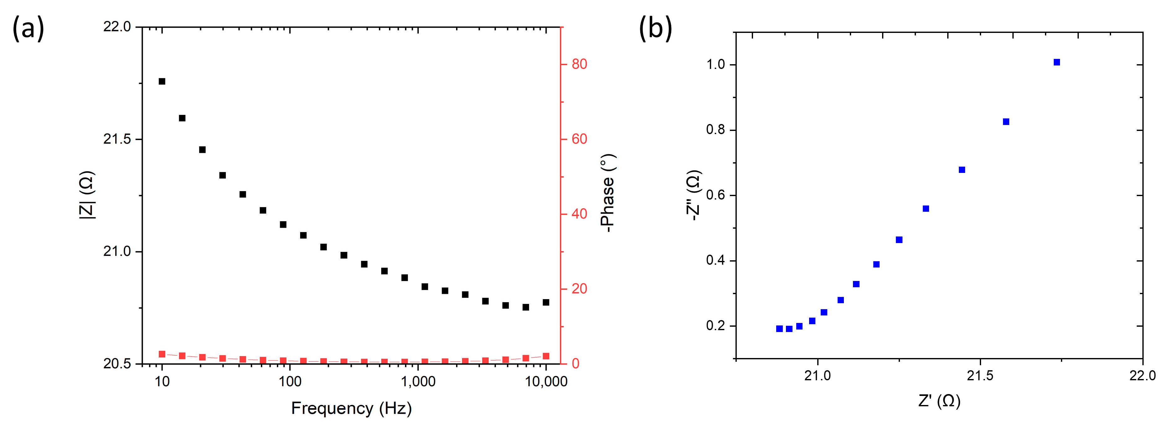
2.3. Electrochemical Configuration and Characterization
2.4. Electro Degradation Experiments Under Static and Dynamic Conditions
2.4.1. Adsorption Experiments
2.4.2. Electro Degradation Under Static Experiments
2.4.3. Electro Degradation Under Dynamic Experiments
3. Results and Discussion
3.1. Pharmaceutical Compounds Removal by Adsorption
3.2. Pharmaceutical Compounds Removal by Electro Degradation
4. Conclusions
Supplementary Materials
Author Contributions
Funding
Data Availability Statement
Acknowledgments
Conflicts of Interest
References
- Yu, Y.; Wang, Z.; Yao, B.; Zhou, Y. Occurrence, bioaccumulation, fate, and risk assessment of emerging pollutants in aquatic environments: A review. Sci. Total Environ. 2024, 923, 171388. [Google Scholar] [CrossRef]
- Pratap, B.; Kumar, S.; Nand, S.; Azad, I.; Bharagava, R.N.; Ferreira, L.F.R.; Dutta, V. Wastewater generation and treatment by various eco-friendly technologies: Possible health hazards and further reuse for environmental safety. Chemosphere 2023, 313, 137547. [Google Scholar] [CrossRef] [PubMed]
- Chaturvedi, P.; Shukla, P.; Giri, B.S.; Chowdhary, P.; Chandra, R.; Gupta, P.; Pandey, A. Prevalence and hazardous impact of pharmaceutical and personal care products and antibiotics in environment: A review on emerging contaminants. Environ. Res. 2021, 194, 110664. [Google Scholar] [CrossRef] [PubMed]
- Shaheen, J.F.; Sizirici, B.; Yildiz, I. Fate, transport, and risk assessment of widely prescribed pharmaceuticals in terrestrial and aquatic systems: A review. Emerg. Contam. 2022, 8, 216–228. [Google Scholar] [CrossRef]
- Archer, E.; Petrie, B.; Kasprzyk-Hordern, B.; Wolfaardt, G.M. The fate of pharmaceuticals and personal care products (PPCPs), endocrine disrupting contaminants (EDCs), metabolites and illicit drugs in a WWTW and environmental waters. Chemosphere 2017, 174, 437–446. [Google Scholar] [CrossRef] [PubMed]
- Kasonga, T.K.; Coetzee, M.A.A.; Kamika, I.; Ngole-Jeme, V.M.; Benteke Momba, M.N. Endocrine-disruptive chemicals as contaminants of emerging concern in wastewater and surface water: A review. J. Environ. Manag. 2021, 277, 111485. [Google Scholar] [CrossRef]
- Yadav, D.; Rangabhashiyam, S.; Verma, P.; Singh, P.; Devi, P.; Kumar, P.; Hussain, C.M.; Gaurav, G.K.; Kumar, K.S. Environmental and health impacts of contaminants of emerging concerns: Recent treatment challenges and approaches. Chemosphere 2021, 272, 129492. [Google Scholar] [CrossRef]
- Taylor, D.; Senac, T. Human pharmaceutical products in the environment—The ‘problem’ in perspective. Chemosphere 2014, 115, 95–99. [Google Scholar] [CrossRef]
- Couto, C.F.; Lange, L.C.; Amaral, M.C.S. Occurrence, fate and removal of pharmaceutically active compounds (PhACs) in water and wastewater treatment plants—A review. J. Water Process Eng. 2019, 32, 100927. [Google Scholar] [CrossRef]
- Feng, Y.; Yang, L.; Liu, J.; Logan, B.E. Electrochemical technologies for wastewater treatment and resource reclamation. Environ. Sci. Water Res. Technol. 2016, 2, 800–831. [Google Scholar] [CrossRef]
- Zamora-Sequeira, R.; Alvarado-Hidalgo, F.; Robles-Chaves, D.; Sáenz-Arce, G.; Avendano-Soto, E.D.; Sánchez-Kopper, A.; Starbird-Perez, R. Electrochemical Characterization of Mancozeb Degradation for Wastewater Treatment Using a Sensor Based on Poly (3,4-ethylenedioxythiophene) (PEDOT) Modified with Carbon Nanotubes and Gold Nanoparticles. Polymers 2019, 11, 1449. [Google Scholar] [CrossRef] [PubMed]
- Danesh, P.; Niaparast, P.; Ghorbannezhad, P.; Ali, I. Biochar Production: Recent Developments, Applications, and challenges. Fuel 2023, 337, 126889. [Google Scholar] [CrossRef]
- Gabhi, R.; Tan, K.; Feng, T.; Kirk, D.W.; Giorcelli, M.; Tagliaferro, A.; Jia, C.Q. Intrinsic electrical conductivity of monolithic biochar. Biomass Bioenergy 2024, 181, 107051. [Google Scholar] [CrossRef]
- Lan, W.; Zhao, X.; Wang, Y.; Jin, X.; Ji, J.; Cheng, Z.; Yang, G.; Li, H.; Chen, G. Research progress of biochar modification technology and its application in environmental remediation. Biomass Bioenergy 2024, 184, 107178. [Google Scholar] [CrossRef]
- Villagra-Mendoza, K.; Masís-Meléndez, F.; Quesada-Kimsey, J.; García-González, C.A.; Horn, R. Physicochemical changes in loam soils amended with bamboo biochar and their influence in tomato production yield. Agronomy 2021, 11, 2052. [Google Scholar] [CrossRef]
- Kim, S.Y.; Phule, A.D.; Yang, J.H.; Park, S.C. Improving H2S remediation efficiency through metal-free biochar modification: Nitrogen introduction and mesopore formation. J. Anal. Appl. Pyrolysis 2024, 183, 106822. [Google Scholar] [CrossRef]
- Kravchenko, E.; Wang, Y.C.; Dela Cruz, T.L.; Ng, C.W.W. Dynamics of carbon dioxide emission during cracking in peanut shell biochar-amended soil. Sci. Total Environ. 2023, 894, 164922. [Google Scholar] [CrossRef]
- Dissanayake, P.D.; You, S.; Igalavithana, A.D.; Xia, Y.; Bhatnagar, A.; Gupta, S.; Kua, H.W.; Kim, S.; Kwon, J.-H.; Tsang, D.C.; et al. Biochar-based adsorbents for carbon dioxide capture: A critical review. Renew. Sustain. Energy Rev. 2020, 119, 109582. [Google Scholar] [CrossRef]
- Zhuang, Z.; Wang, L.; Tang, J. Efficient removal of volatile organic compound by ball-milled biochars from different preparing conditions. J. Hazard. Mater. 2021, 406, 124676. [Google Scholar] [CrossRef]
- Khalid, S.; Shahid, M.; Murtaza, B.; Bibi, I.; Natasha; Naeem, M.A.; Niazi, N.K. A critical review of different factors governing the fate of pesticides in soil under biochar application. Sci. Total Environ. 2020, 711, 134645. [Google Scholar] [CrossRef]
- Krasucka, P.; Pan, B.; Sik Ok, Y.; Mohan, D.; Sarkar, B.; Oleszczuk, P. Engineered biochar—A sustainable solution for the removal of antibiotics from water. Chem. Eng. J. 2021, 405, 126926. [Google Scholar] [CrossRef]
- Tang, J.; Zhu, W.; Kookana, R.; Katayama, A. Characteristics of biochar and its application in remediation of contaminated soil. J. Biosci. Bioeng. 2013, 116, 653–659. [Google Scholar] [CrossRef] [PubMed]
- Cao, W.; Zeng, C.; Guo, X.; Liu, Q.; Zhang, X.; Mameda, N. Enhanced electrochemical degradation of 2,4-dichlorophenol with the assist of hydrochar. Chemosphere 2020, 260, 127643. [Google Scholar] [CrossRef]
- Ganthavee, V.; Trzcinski, A.P. Removal of pharmaceutically active compounds from wastewater using adsorption coupled with electrochemical oxidation technology: A critical review. J. Ind. Eng. Chem. 2023, 126, 20–35. [Google Scholar] [CrossRef]
- Patel, M.; Kumar, R.; Kishor, K.; Mlsna, T.; Pittman, C.U.; Mohan, D. Pharmaceuticals of emerging concern in aquatic systems: Chemistry, occurrence, effects, and removal methods. Chem. Rev. 2019, 119, 3510–3673. [Google Scholar] [CrossRef]
- Igwegbe, C.A.; Aniagor, C.O.; Oba, S.N.; Yap, P.-S.; Iwuchukwu, F.U.; Liu, T.; de Souza, E.C.; Ighalo, J.O. Environmental protection by the adsorptive elimination of acetaminophen from water: A comprehensive review. J. Ind. Eng. Chem. 2021, 104, 117–135. [Google Scholar] [CrossRef]
- Wu, J.-L.; Liu, Z.-H.; Ma, Q.-G.; Dai, L.; Dang, Z. Occurrence, removal and risk evaluation of ibuprofen and acetaminophen in municipal wastewater treatment plants: A critical review. Sci. Total Environ. 2023, 891, 164600. [Google Scholar] [CrossRef]
- Mathew, B.; Snowden, T.S.; Connelly, M.C.; Guy, R.K.; Reynolds, R.C. A small diversity library of α-methyl amide analogs of sulindac for probing anticancer structure-activity relationships. Bioorganic Med. Chem. Lett. 2018, 28, 2136–2142. [Google Scholar] [CrossRef] [PubMed]
- Kawabata, K.; Sugihara, K.; Sanoh, S.; Kitamura, S.; Ohta, S. Photodegradation of pharmaceuticals in the aquatic environment by sunlight and UV-A,-B and-C irradiation. J. Toxicol. Sci. 2013, 38, 215–223. [Google Scholar] [CrossRef]
- Ledezma-Espinoza, A.; Challis, J.K.; Roa-Gutiérrez, F.; Sánchez-Kopper, A.; Castellón, E.; Wong, C.S. Photolysis of the nonsteroidal anti-inflammatory drug sulindac: Elucidation of kinetic behaviour and photodegradation pathways in water. Environ. Sci. Process. Impacts 2021, 23, 1405–1417. [Google Scholar] [CrossRef]
- Gogoi, A.; Mazumder, P.; Tyagi, V.K.; Tushara Chaminda, G.G.; An, A.K.; Kumar, M. Occurrence and fate of emerging contaminants in water environment: A review. Groundw. Sustain. Dev. 2018, 6, 169–180. [Google Scholar] [CrossRef]
- Ding, Y.; Zhang, G.; Wang, X.; Zhu, L.; Tang, H. Chemical and photocatalytic oxidative degradation of carbamazepine by using metastable Bi3+ self-doped NaBiO3 nanosheets as a bifunctional material. Appl. Catal. B Environ. 2017, 202, 528–538. [Google Scholar] [CrossRef]
- Clara, M.; Strenn, B.; Kreuzinger, N. Carbamazepine as a possible anthropogenic marker in the aquatic environment: Investigations on the behaviour of Carbamazepine in wastewater treatment and during groundwater infiltration. Water Res. 2004, 38, 947–954. [Google Scholar] [CrossRef]
- Ternes, T.A. Occurrence of drugs in German sewage treatment plants and rivers. Water Res. 1998, 32, 3245–3260. [Google Scholar] [CrossRef]
- Tixier, C.; Singer, H.P.; Oellers, S.; Müller, S.R. Occurrence and fate of carbamazepine, clofibric acid, diclofenac, ibuprofen, ketoprofen, and naproxen in surface waters. Environ. Sci. Technol. 2003, 37, 1061–1068. [Google Scholar] [CrossRef] [PubMed]
- Chaves-Barquero, L.G.; Humeniuk, B.W.; Luong, K.H.; Cicek, N.; Wong, C.S.; Hanson, M.L. Crushed recycled glass as a substrate for constructed wetland wastewater treatment: A case study of its potential to facilitate pharmaceutical removal. Environ. Sci. Pollut. Res. 2021, 28, 52306–52318. [Google Scholar] [CrossRef]
- Feng, L.; van Hullebusch, E.D.; Rodrigo, M.A.; Esposito, G.; Oturan, M.A. Removal of residual anti-inflammatory and analgesic pharmaceuticals from aqueous systems by electrochemical advanced oxidation processes. A review. Chem. Eng. J. 2013, 228, 944–964. [Google Scholar] [CrossRef]
- Ledezma-Espinoza, A.; Rodríguez-Quesada, L.; Araya-Leitón, M.; Avendaño-Soto, E.D.; Starbird-Perez, R. Modified cellulose/poly(3,4-ethylenedioxythiophene) composite as photocatalyst for the removal of sulindac and carbamazepine from water. Environ. Technol. Innov. 2022, 27, 102483. [Google Scholar] [CrossRef]
- Dhangar, K.; Kumar, M. Tricks and tracks in removal of emerging contaminants from the wastewater through hybrid treatment systems: A review. Sci. Total Environ. 2020, 738, 140320. [Google Scholar] [CrossRef]
- Leyva-Ruiz, D.; Treviño-Reséndez, J.; Godínez, L.A.; Robles, I.; Acosta-Santoyo, G.; García-Espinoza, J.D. Electrochemical degradation of carbamazepine in water by a flow-through and pilot-scale reactor with carbon felt electrodes: Parametric study under realistic operational conditions. J. Environ. Chem. Eng. 2024, 12, 113232. [Google Scholar] [CrossRef]
- Gahrouei, A.E.; Vakili, S.; Zandifar, A.; Pourebrahimi, S. From wastewater to clean water: Recent advances on the removal of metronidazole, ciprofloxacin, and sulfamethoxazole antibiotics from water through adsorption and advanced oxidation processes (AOPs). Environ. Res. 2024, 252, 119029. [Google Scholar] [CrossRef] [PubMed]
- Moradi, A.; Kazemeini, M.; Hosseinpour, V.; Pourebrahimi, S. Efficient degradation of naproxen in wastewater using Ag-deposited ZnO nanoparticles anchored on a house-of-cards-like MFI-type zeolite: Preparation and physicochemical evaluations of the photocatalyst. J. Water Process. Eng. 2024, 60, 105155. [Google Scholar] [CrossRef]
- Liu, X.-M.; Zhang, R.; Zhan, L.; Long, D.-H.; Qiao, W.-M.; Yang, J.-H.; Ling, L.-C. Impedance of carbon aerogel/activated carbon composites as electrodes of electrochemical capacitors in aprotic electrolyte. New Carbon Mater. 2007, 22, 153–158. [Google Scholar] [CrossRef]
- Randviir, E.P. A cross examination of electron transfer rate constants for carbon screen-printed electrodes using Electrochemical Impedance Spectroscopy and cyclic voltammetry. Electrochim. Acta 2018, 286, 179–186. [Google Scholar] [CrossRef]
- Essandoh, M.; Kunwar, B.; Pittman, C.U.; Mohan, D.; Mlsna, T. Sorptive removal of salicylic acid and ibuprofen from aqueous solutions using pine wood fast pyrolysis biochar. Chem. Eng. J. 2015, 265, 219–227. [Google Scholar] [CrossRef]
- Cimirro, N.F.G.M.; Lima, E.C.; Cunha, M.R.; Thue, P.S.; Grimm, A.; dos Reis, G.S.; Rabiee, N.; Saeb, M.R.; Keivanimehr, F.; Habibzadeh, S. Removal of diphenols using pine biochar. Kinetics, equilibrium, thermodynamics, and mechanism of uptake. J. Mol. Liq. 2022, 364, 119979. [Google Scholar] [CrossRef]
- Le, T.X.H.; Van Nguyen, T.; Yacouba, Z.A.; Zoungrana, L.; Avril, F.; Nguyen, D.L.; Petit, E.; Mendret, J.; Bonniol, V.; Bechelany, M.; et al. Correlation between degradation pathway and toxicity of acetaminophen and its by-products by using the electro-Fenton process in aqueous media. Chemosphere 2017, 172, 1–9. [Google Scholar] [CrossRef]
- Feijoo, S.; Kamali, M.; Pham, Q.-K.; Assoumani, A.; Lestremau, F.; Cabooter, D.; Dewil, R. Electrochemical Advanced Oxidation of Carbamazepine: Mechanism and optimal operating conditions. Chem. Eng. J. 2022, 446, 137114. [Google Scholar] [CrossRef]
- Brewer, C.E.; Chuang, V.J.; Masiello, C.A.; Gonnermann, H.; Gao, X.; Dugan, B.; Driver, L.E.; Panzacchi, P.; Zygourakis, K.; Davies, C.A. New approaches to measuring biochar density and porosity. Biomass Bioenergy 2014, 66, 176–185. [Google Scholar] [CrossRef]
- Weber, K.; Quicker, P. Properties of biochar. Fuel 2018, 217, 240–261. [Google Scholar] [CrossRef]
- Kane, S.; Ulrich, R.; Harrington, A.; Stadie, N.P.; Ryan, C. Physical and chemical mechanisms that influence the electrical conductivity of lignin-derived biochar. Carbon Trends 2021, 5, 100088. [Google Scholar] [CrossRef]
- Bourrat, X. Electrically conductive grades of carbon black: Structure and properties. Carbon 1993, 31, 287–302. [Google Scholar] [CrossRef]
- Aristov, N.; Habekost, A. Cyclic Voltammetry—A Versatile Electrochemical Method Investigating Electron Transfer Processes. World J. Chem. Educ. 2015, 3, 115–119. [Google Scholar]
- Compton, R.G.; Banks, C.E. Understanding Voltammetry; World Scientific Pub Co Pte Ltd.: Singapore, 2007. [Google Scholar] [CrossRef]
- Elgrishi, N.; Rountree, K.J.; McCarthy, B.D.; Rountree, E.S.; Eisenhart, T.T.; Dempsey, J.L. A Practical Beginner’s Guide to Cyclic Voltammetry. J. Chem. Educ. 2018, 95, 197–206. [Google Scholar] [CrossRef]
- Chen, Y.D.; Santhanam, K.S.V.; Bard, A.J. Solution Redox Couples for Electrochemical Energy Storage: I. Iron (III)-Iron (II) Complexes with O-Phenanthroline and Related Ligands. J. Electrochem. Soc. 1981, 128, 1460–1467. [Google Scholar] [CrossRef]
- Jung, C.; Boateng, L.K.; Flora, J.R.; Oh, J.; Braswell, M.C.; Son, A.; Yoon, Y. Competitive adsorption of selected non-steroidal anti-inflammatory drugs on activated biochars: Experimental and molecular modeling study. Chem. Eng. J. 2015, 264, 1–9. [Google Scholar] [CrossRef]
- Periyasamy, S.; Muthuchamy, M. Electrochemical oxidation of paracetamol in water by graphite anode: Effect of pH, electrolyte concentration and current density. J. Environ. Chem. Eng. 2018, 6, 7358–7367. [Google Scholar] [CrossRef]
- Mohseni, M.; Zängler, W.; Demeestere, K.; Du Laing, G.; Bhandari, S.; Mechler, A.K.; Yüce, S.; Keller, R.G.; Wessling, M. One-pot synthesized, Fe-incorporated self-standing carbons with a hierarchical porosity remove carbamazepine and sulfamethoxazole through heterogeneous electro-Fenton. Chem. Eng. J. 2022, 446, 137006. [Google Scholar] [CrossRef]
- Atkins, S.; Sevilla, J.M.; Blazquez, M.; Pineda, T.; Gonzalez-Rodriguez, J. Electrochemical Behaviour of Carbamazepine in Acetonitrile and Dimethylformamide Using Glassy Carbon Electrodes and Microelectrodes. Electroanalysis 2010, 22, 2961–2966. [Google Scholar] [CrossRef]
- Bursztyn Fuentes, A.L.; Canevesi, R.L.S.; Gadonneix, P.; Mathieu, S.; Celzard, A.; Fierro, V. Paracetamol removal by Kon-Tiki kiln-derived biochar and activated carbons. Ind. Crops Prod. 2020, 155, 112740. [Google Scholar] [CrossRef]
- Medaglia-Mata, A.; Starbird-Pérez, R.; Sánchez-Chacón, E.; Rodríguez, C. Disinfection of surfaces contaminated with Clostridioides difficile endospores using NaCl-derived electrochemically activated solution. J. Hosp. Infect. 2020, 105, 670–677. [Google Scholar] [CrossRef] [PubMed]
- Jakóbczyk, P.; Skowierzak, G.; Kaczmarzyk, I.; Nadolska, M.; Wcisło, A.; Lota, K.; Bogdanowicz, R.; Ossowski, T.; Rostkowski, P.; Lota, G.; et al. Electrocatalytic performance of oxygen-activated carbon fibre felt anodes mediating degradation mechanism of acetaminophen in aqueous environments. Chemosphere 2022, 304, 135381. [Google Scholar] [CrossRef]
- Chen, T.S.; Huang, K.L. Electrochemical detection and degradation of acetaminophen in aqueous solutions. Int. J. Electrochem. Sci. 2012, 7, 6877–6892. [Google Scholar] [CrossRef]
- Teixeira, J.G.; Veiga, A.; Palace Carvalho, A.J.; Teixeira, D.M. Electro-oxidation of carbamazepine metabolites: Characterization and influence in the voltammetric determination of the parent drug. Electrochim. Acta 2013, 108, 51–65. [Google Scholar] [CrossRef]
- García-Espinoza, J.D.; Mijaylova-Nacheva, P.; Avilés-Flores, M. Electrochemical carbamazepine degradation: Effect of the generated active chlorine, transformation pathways and toxicity. Chemosphere 2018, 192, 142–151. [Google Scholar] [CrossRef] [PubMed]
- Segura, Y.; Martínez, F.; Melero, J.A.; Molina, R.; Chand, R.; Bremner, D.H. Enhancement of the advanced Fenton process (Fe0/H2O2) by ultrasound for the mineralization of phenol. Appl. Catal. B Environ. 2012, 113–114, 100–106. [Google Scholar] [CrossRef]
- Rey, A.; Carbajo, J.; Adán, C.; Faraldos, M.; Bahamonde, A.; Casas, J.; Rodriguez, J. Improved mineralization by combined advanced oxidation processes. Chem. Eng. J. 2011, 174, 134–142. [Google Scholar] [CrossRef]
- Liu, L.; Zhao, G.; Wu, M.; Lei, Y.; Geng, R. Electrochemical degradation of chlorobenzene on boron-doped diamond and platinum electrodes. J. Hazard. Mater. 2009, 168, 179–186. [Google Scholar] [CrossRef]
- Komtchou, S.; Dirany, A.; Drogui, P.; Bermond, A. Removal of carbamazepine from spiked municipal wastewater using electro-Fenton process. Environ. Sci. Pollut. Res. 2015, 22, 11513–11525. [Google Scholar] [CrossRef]
- Liu, K.; Yu, J.C.C.; Dong, H.; Wu, J.C.S.; Hoffmann, M.R. Degradation and Mineralization of Carbamazepine Using an Electro-Fenton Reaction Catalyzed by Magnetite Nanoparticles Fixed on an Electrocatalytic Carbon Fiber Textile Cathode. Environ. Sci. Technol. 2018, 52, 12667–12674. [Google Scholar] [CrossRef]




| Single Compound | Compound Mixture | TOC Removal | ||||||
|---|---|---|---|---|---|---|---|---|
| ACE | CBZ | SUL | ACE | CBZ | SUL | |||
| Static conditions | ESM1-E1 | 100.0 | 100.0 | 100.0 | 98.8 | 100.0 | 100.0 | 78 |
| ESM1-R1 | 100.0 | 100.0 | 100.0 | 100.0 | 100.0 | 100.0 | 40 | |
| ESM1-R2 | 100.0 | 100.0 | 100.0 | 100.0 | 100.0 | 72.7 | 67 | |
| ESM1-R3 | 100.0 | 100.0 | 100.0 | 97.6 | 100.0 | 100.0 | 77 | |
| Dynamic conditions | ED1-E1 | 100.0 | 100.0 | 100.0 | 100.0 | 100.0 | 100.0 | 72 |
| EDM1-R1 | 100.0 | 100.0 | 100.0 | 100.0 | 100.0 | 100.0 | 67 | |
| EDM1-R2 | 100.0 | 100.0 | 100.0 | 100.0 | 100.0 | 100.0 | 84 | |
| EDM1-R3 | 100.0 | 100.0 | 100.0 | 100.0 | 100.0 | 100.0 | 63 | |
Disclaimer/Publisher’s Note: The statements, opinions and data contained in all publications are solely those of the individual author(s) and contributor(s) and not of MDPI and/or the editor(s). MDPI and/or the editor(s) disclaim responsibility for any injury to people or property resulting from any ideas, methods, instructions or products referred to in the content. |
© 2025 by the authors. Licensee MDPI, Basel, Switzerland. This article is an open access article distributed under the terms and conditions of the Creative Commons Attribution (CC BY) license (https://creativecommons.org/licenses/by/4.0/).
Share and Cite
Castillo-Vargas, D.A.; Rodríguez-Quesada, L.; Ledezma-Espinoza, A.; Masís-Meléndez, F.; Infante-Alfaro, S.; Starbird-Perez, R. Biochar-Based Electrochemical Degradation System for Removing Pharmaceutical Pollutants from Aqueous Media as Potential Wastewater Treatment. Water 2025, 17, 722. https://doi.org/10.3390/w17050722
Castillo-Vargas DA, Rodríguez-Quesada L, Ledezma-Espinoza A, Masís-Meléndez F, Infante-Alfaro S, Starbird-Perez R. Biochar-Based Electrochemical Degradation System for Removing Pharmaceutical Pollutants from Aqueous Media as Potential Wastewater Treatment. Water. 2025; 17(5):722. https://doi.org/10.3390/w17050722
Chicago/Turabian StyleCastillo-Vargas, Dariel A., Laria Rodríguez-Quesada, Aura Ledezma-Espinoza, Federico Masís-Meléndez, Sofia Infante-Alfaro, and Ricardo Starbird-Perez. 2025. "Biochar-Based Electrochemical Degradation System for Removing Pharmaceutical Pollutants from Aqueous Media as Potential Wastewater Treatment" Water 17, no. 5: 722. https://doi.org/10.3390/w17050722
APA StyleCastillo-Vargas, D. A., Rodríguez-Quesada, L., Ledezma-Espinoza, A., Masís-Meléndez, F., Infante-Alfaro, S., & Starbird-Perez, R. (2025). Biochar-Based Electrochemical Degradation System for Removing Pharmaceutical Pollutants from Aqueous Media as Potential Wastewater Treatment. Water, 17(5), 722. https://doi.org/10.3390/w17050722

