Next Article in Journal
The Need to Increase Strain-Specific DNA Information from the Invasive Cyanobacteria Sphaerospermopsis aphanizomenoides and Cuspidothrix issatschenkoi
Next Article in Special Issue
How Much Is Enough? Data Requirements for Practical Irrigation Decision-Making in Vietnamese Coffee Production
Previous Article in Journal
Multi-Scale Debris Flow Warning Technology Combining GNSS and InSAR Technology
Previous Article in Special Issue
Optimizing Irrigation and Nitrogen Application for Greenhouse Tomato Using the DSSAT–CROPGRO–Tomato Model
 
 
Font Type:
Arial Georgia Verdana
Font Size:
Aa Aa Aa
Line Spacing:
Column Width:
Background:
Article

Energy of Sorghum Biomass Under Deficit Irrigation Strategies in the Mediterranean Area

by
Simone Pietro Garofalo
*,
Anna Francesca Modugno
,
Gabriele de Carolis
and
Pasquale Campi
Research Center for Agriculture and Environment—Council for Agricultural Analysis and Economics (CREA-AA), Via Celso Ulpiani, 5, 70125 Bari, Italy
*
Author to whom correspondence should be addressed.
Water 2025, 17(4), 578; https://doi.org/10.3390/w17040578
Submission received: 30 December 2024 / Revised: 10 February 2025 / Accepted: 14 February 2025 / Published: 17 February 2025

Abstract

The growing demand for renewable energy sources and the need to optimize water use in agriculture, particularly in water-scarce regions, highlights the importance of growing species suitable for semi-arid areas, such as sorghum (Sorghum bicolor L. Moench). Deficit irrigation strategies allow water savings by optimizing water use efficiency. However, the potential of sorghum for bioethanol production with deficit irrigation strategies is still not well studied. This work investigates the impact of three irrigation strategies (full, deficit, and regulated deficit) on the biomass yield, ethanol production, and water use efficiency of sorghum (‘KWS Bulldozer’) in a semi-arid Mediterranean area (the Apulia region, Southeastern Italy) over three growing seasons (2013, 2014, and 2017); irrigation needs were calculated from crop evapotranspiration using standard crop coefficients and soil water content measurements. Harvested biomass was analyzed for cellulose and hemicellulose content, and ethanol production was estimated using conversion models. The full irrigation treatment resulted in the highest biomass and ethanol production in all seasons (22,633 kg × ha−1, 28,367 kg × ha−1, and 23,835 kg × ha−1, in 2013, 2014, and 2017, respectively), highlighting the relationship between a full water supply and yield optimization. However, deficit irrigation showed a higher biomass and ethanol water productivity (10.93 kg × m−3 and 3.23 L × m−3, respectively) than other treatments, suggesting that moderate irrigation strategies can effectively balance production and sustainable water use. The results suggest the importance of adjusting irrigation practices to specific environmental conditions to improve the efficiency and productivity of sorghum.

1. Introduction

Socio-economic development and population growth strongly pressure food supply, water, and energy security. The production of energy crops must be studied and evaluated in terms of environmental impact to integrate them into sustainable agricultural development. As bioenergy carriers, they offer ecological advantages over fossil fuels by contributing to the reduction of greenhouse gases and acidifying emissions [1,2]. Biomass production through “dedicated” crops helps to meet global energy demand. Some controversial issues have been identified, such as the possible conflict between the goal of increasing plant biomass and food production and the need to limit environmental impacts [1,2]. From an economic perspective, replacing traditional crops with nonfood species represents a new opportunity for rural development when some food crops are no longer sustainable [3]. Beyond economic benefits, the introduction of nonfood crops such as sorghum could offer agronomic advantages in systems where continuous monoculture increases the risk of soil depletion and the spread of crop-specific diseases. As an annual crop with high adaptability, sorghum could provide a sustainable alternative in such systems, contributing to more resilient agricultural practices. Although this study focuses on the agronomic potential of sorghum under water-limited conditions, its role in diversifying crop rotations and mitigating disease risks highlights additional benefits that deserve further exploration. Moreover, biomass crops allow in some cases the revaluation of marginal land by farmers [4]. In the scope of the project Future Crops for Food, Feed, Fiber, and Fuel (4F Crops) supported by the European Union, an environmental impact assessment study was developed and applied to the production of potential energy crops in Europe [1]. One of the main sources studied as energy is biomass maintained by “dedicated” sorghum crops. Sorghum (Sorghum bicolor L. Moench), a C4 species with a tropical origin, is grown as a summer crop; it is a drought-resistant crop due to a relatively lower water requirement than other energy crops [5,6,7]. Approximately 85% of global sorghum cultivation is concentrated in dry environments [8]. Its drought resistance is attributed to a dense and prolific root system that can extract soil water deep into the soil profile, its ability to maintain stomatal opening at low levels of potential leaf water through osmotic adaptation, and its ability to delay reproductive development [9,10,11]. The shorter duration of sorghum growth compared to other energy crops, such as corn, also contributes to its ability to escape drought. Sorghum is widely cultivated in many semi-arid areas of the world thanks to its ability to achieve sufficient production in rainfed or limited water conditions [12]. Moreover, in many parts of the world water scarcity is an increasingly important issue.
Climate change will cause higher temperatures, heat waves, and frequent dry periods, resulting in a higher evapotranspiration demand and difficulties in irrigation management [13,14]. Thus, different strategies need to be implemented to preserve and maximize water use efficiency, especially in arid and semi-arid areas, such as the Mediterranean basin [15]. To allow the cultivation of sorghum in regions with limited water resources, without compromising the yield of biomass and ethanol, it is necessary to know the response of the crop to variation in irrigation volumes [16], to develop sustainable strategies and increase water use efficiency (WUE). A promising management strategy to improve WUE is to apply water-saving practices, such as deficit irrigation (DI) and regulated deficit irrigation (RDI) [17,18]. These agronomical techniques attempt to optimize energy production, yield, and WUE by synchronizing the water use of crops with the reproductive stages of crops [15]. To this end, a study of the effects deriving from the application of DI and RDI on the production of biomass and energy could be important [19,20]. Deficit irrigation (DI) has been studied as a strategy to increase water productivity and is an approach that uniformly reduces the irrigation applied below the water needs of crops during the growing season [21,22]. RDI consists of an adequate water application during periods of critical growth such as sowing and flowering [23,24]. Therefore, irrigation deficit strategies must be tested under real conditions for biomass crops. This context of expanding energy crop cultivation, underscored by the critical balance between maximizing biomass production and preserving environmental integrity, sets sorghum research within a crucial area of inquiry [1]. The energy productivity of sorghum in the semi-arid climate of the Mediterranean area, with limited water resources, is still being studied. Developing suitable irrigation strategies by researching biomass production and energy yield under limited irrigation conditions is important for the Mediterranean basin [1,25]. Several research projects on sorghum yield have been carried out using deficit irrigation strategies. Limited studies have been reported on the effect of deficit irrigation strategies on ethanol production by sorghum. Pang et al. [26] showed that the level of deficit irrigation had a significant effect on reducing bioethanol yield.
This study aims to investigate the effects of three different irrigation strategies—full irrigation, deficit, and regulated deficit—on sorghum biomass productivity, water use efficiency, and estimated bioethanol production in a semi-arid Mediterranean area. The objective is to provide insights into the dynamics between water availability and yield, helping to develop sustainable irrigation strategies for bioenergy crops in water-scarce regions such as the Apulia region. Moreover, this study was carried out in the south of Italy, where there exists a great risk for agroecosystems due to Xylella fastidiosa subsp. Pauca (ST53). This quarantine bacterium, regulated by phytosanitary authorities to prevent its spread, has had a severe impact on agriculture, particularly affecting the region’s extensive olive groves—while Sorghum bicolor is not considered a host plant [27]. In this context, introducing new crops is crucial to ensure the sustainability of the rural economy [28].

2. Materials and Methods

2.1. Experimental Site

The trial was carried out at the experimental farm of the Council for Agricultural Research and Economics located in Rutigliano, the Apulia region, Southeastern Italy (latitude: 40°, 59′ N; longitude: 17°, 01′ E; 166 m a.s.l). The climate of the area is Mediterranean, characterized by warm and dry summers and mild winters, and classified as CSa according to Köppen and Geiger. The minimum and maximum annual air temperatures are between 0 and 5 °C and 32 and 43 °C, respectively; the relative humidity ranges between 15% and 40%. The annual rainfall around the area is about 535 mm, concentrated mainly during the autumn–winter period and scarce during the spring and summer. The yearly average difference in the area between precipitation and reference evapotranspiration is about −560 mm; consequently, precipitation does not supply the water requirement of the crops from April to September, and most of the crops can be successfully cultivated only by supplying irrigation water [29].
Before the start of the experiment, soil sampling was performed to understand its main physical and chemical properties. Sampling was carried out at five separate locations within the experimental area to ensure an adequate representativeness of soil conditions [30]. The average clay, silt, and sand content were 32%, 36%, and 33%, respectively. The pH was 8.1, while the EC was 1.1 dS/m. The soil of the experimental site can be classified as clay loam (USDA classification) and Rhodoxeralf Lithic Ruptic (FAO classification). At 0.50 m of soil depth, the presence of apparent rock was detected, which could reduce the capacity of the roots to expand more deeply. The experimental area was predominantly flat, with an average slope of 1.6%.

2.2. Crop Management and Experimental Design

The study was carried out over three growing seasons (2013, 2014, and 2017). The sorghum hybrid used for the trial was the “KWS Bulldozer” (KWS SAAT SE & Co. KGaA, Einbeck, Germany), characterized by a medium-late vegetative cycle, a tolerance to bending, and a high yield in dry and green biomass [2].
Sorghum was sown at the beginning of June in 2013 and in mid-May in 2014 and 2017; the sowing density was 7 kg of seeds per hectare; harvest took place when the sorghum achieved the maximum dry matter yield or the second half of September over the three years. Each year, plots were fertilized before the sowing with 120 kg ha1 of N and 90 kg ha1 of P2O5 as diammonium phosphate. Weeds were controlled by herbicides before sowing and by hand-hoeing during the first part of the growing cycle.
An experimental design employing randomized complete blocks was utilized and replicated three times. The basic units of the experiment were plots of 80 square meters each, consisting of 22 plants × m−2.
Three different irrigation strategies were applied:
  • I100 (full irrigation), restoring 100% of the ETc. The irrigation was applied when ready water availability was exhausted (on average once per week) according to Allen et al.’s [31] methodology. In particular, the tabulated crop coefficients (Kcini = 0.15; Kcmed = 1.10; Kcend = 0.30) and a depletion fraction value of 0.50 were adopted. Corrections on Kcini (for precipitation events), Kcmed, and Kcend (for climatic conditions and crop height) were performed according to Allen et al.’s methodology.
  • I50 (deficit irrigation), restoring 50% of the ETc from the beginning of the growing cycle to the harvesting.
  • I100-0 (regulated deficit irrigation), restoring 100% of the ETc from the beginning of the growing cycle to the phase of the flag leaf being visible.
Cumulative irrigation water at a daily scale was calculated as follows:
I r r i g a t i o n n = i = 1 n I R R W i
where I r r i g a t i o n n is the cumulative irrigation amount up to day n, and I R R W i is the irrigation water applied for day i.

2.3. Crop Evapotranspiration

Daily crop evapotranspiration (ETc(i), mm), at day i was estimated by the average of the water balance equation [32] for each season. Runoff and capillary rise are negligible because of the flat ground and the presence of a cracked rocky layer that limits the soil depth (0.50 m). The simplified equation for the soil water balance can be expressed, at a daily scale, as
ETc(i) = P(i) + I(i) − Dr(i) ± ΔSWC(i)
where ETc(i) is crop water evapotranspiration (mm d-1); P(i), effective precipitation (mm d-1); I(i), irrigation (mm d-1); and Dr(i), drainage (mm d-1). Dr(i) was estimated as the amount of water exceeding the maximum water capacity in the entire soil profile. ±ΔSWC(i), is the difference in the volume of soil water content (SWC), between i and i-1 values, in the whole soil profile (mm d−1) explored by the root system, measured by capacitive probes (10HS, Decagon Devices Inc., Pullman, WA, USA). They were inserted horizontally in the ground at a depth of 0.16 m and 0.33 m and connected to a data logger (Grillo MMS, Tecno.El, Formello (Rome), Italy). The output data for each depth was in m3 m−3.
So, the SWC(i) for the soil profile (0.5 m) was determined as an integral of the values measured for each depth, since a probe is supposed to detect the water content in a 0.25 m soil layer:
0 0.5 S W C ( i ) = S W c 0.16 ( m 3 m 3 ) · 0.25 ( m ) + S W c 0.3 3 ( m 3 m 3 ) · 0.25 ( m )
The approach used to measure daily ET was previously validated at the same experimental site by Mastrorilli et al. [33] in diverse soil water conditions by comparing on a daily scale the ET from Equation (1) and ET measured by the Bowen ratio method [34]. Differences within 10–15% were measured between the daily ET determined by the two independent methods [33].
The trends of the cumulative ETc at a daily scale were calculated as follows:
E T C n = Σ i = 1 n E T C i
where E T C n is the cumulative evapotranspiration up to day n, and E T C i is the daily (i) evapotranspiration.

2.4. Biomass Evaluation

During the three growing seasons, the leaf area index (LAI) and dry matter were determined for the sampled sorghum plants. The LAI was calculated by using an LAI-2000 Plant Canopy Analyzer (Li-COR Environmental, Lincoln, NE, USA), and dry matter was measured after drying the samples in an oven at 65 °C for 48 h. At the end of each growing season, the aboveground biomass production was determined for all the plants within 20 m2 per plot. The biomass was harvested manually, and its weight was measured directly in the field using a portable scale. The neutral content of detergent fibers (aNDFom) was determined without sodium sulfite and with heat-stable amylase [35]. The determination of acid detergent fiber (ADFom) and acid-soluble lignin [lignin (sa)] was conducted through sequential analysis on the residue of aNDFom, with results reported after exclusively accounting for ash content, as described by Van Soest et al. [35]. Hemicellulose content was determined by subtracting the ADFom value from the aNDFom, and cellulose content was calculated by subtracting the lignin (sa) value from the ADFom. Both the hemicellulose and cellulose were determined sequentially on the same sample. The extraction and filtering processes were performed using an Ankom apparatus (Ankom220, Fairport, NY, USA).

2.5. Calculation and Statistical Analysis

A theoretical framework to estimate ethanol production from cellulose and hemicellulose was established as follows [2]. Ethanol production from cellulose and hemicellulose (l ha−1) was obtained by multiplying the content of cellulose and hemicellulose in dry matter (%), the dry biomass (kg ha−1), the sugar conversion factor (1.11 for cellulose and hemicellulose), the sugar process efficiency factor (0.85 for cellulose and hemicellulose), the ethanol conversion factor (0.51 for sugar), the ethanol process efficiency factor (0.85 for sugar), and the specific gravity of ethanol (790 g l−1) [36]. Biomass water use efficiency (bWUE; kg × m−3) and ethanol water use efficiency (ethWUE; l × m−3) were calculated by dividing the biomass and the ethanol production by the ETc. bWUE represents the amount of biomass obtained by sorghum production using 1 m3 of water; ethWUE represents the amount of ethanol obtained by sorghum production using 1 m3 of water. Water productivity (WP) has been calculated for sorghum biomass (bWP) and estimated ethanol production (ethWP) by dividing them by the sum of the irrigation applied and rainfall [37].
Data were analyzed and represented using SigmaPlot (Systat Software Inc., Palo Alto, CA, USA, Version 14 for Windows). Tukey’s post hoc test was used to test the mean differences after the Analysis of Variance (ANOVA), with a significance level set at 0.05. Figure 1 presents a flowchart of the study.

3. Results

3.1. Agrometeorological Data

During the seasons of 2013, 2014, and 2017 (from 1 May to 30 September each year), air temperatures varied as follows: minimum temperatures ranged from 6 to 24 °C in 2013, 6 to 23 °C in 2014, and 6 to 26 °C in 2017; maximum temperatures ranged from 19 to 37 °C in 2013, 12 to 37 °C in 2014, and 17 to 39 °C in 2017 (Figure 2).
Temperature trends were similar during the three years of the study, and they did not differ from the standard of the site.
Seasonal rainfall was 91, 336, and 122 mm for 2013, 2014, and 2017, respectively (Table 1). Precipitation was distributed more homogeneously in the 2013 and 2014 seasons than in 2017, when a long period of scarce or null rainfall occurred between the end of May and mid-August (Figure 2).

3.2. Soil Water Content, Crop Evapotranspiration, and Irrigation

The evolution in time of SWC (mm d−1) into the whole profile showed a similar trend in the three seasons (Figure 3) for all treatments. In the I100 treatment, SWC values reached FC after each irrigation event, and they varied between the field capacity (FC) and the “Readily Available Water” (RAW) threshold. A seasonal RAW of 0.5 was obtained by threshold values (p = 0.50) derived from the guidelines provided in FAO Irrigation and Drainage Paper No. 56. The irrigation scheduling of IRR treatment allowed us to keep the water content values in the soil profile within the RAW threshold (174 mm) and to avoid water stress.
In the I50 and I100-0 treatments, SWC varied between the RAW threshold and wilting point (WP). It was lower in the second part of the cycle each year than the first, reaching or overpassing the wilting point of the soil, particularly during the 2013 and 2017 seasons and for the I100-0 treatment. During the 2014 season, the SWC trends for the deficit irrigation treatments (I50 and I100-0) were higher than the other seasons, probably due to the larger amount of precipitation. During the last part of the 2017 season, the SWC for the I100-0 treatment was lower than the wilting point (Figure 3).
During the seasons of the experiment, the seasonal ETc ranged from a minimum of 283 mm (2013, I100-0) to a maximum of 504 mm (2017, I100). Table 2 reports the seasonal ETc for each treatment. Figure 4 reports the trends of the ΣETc at a daily scale per treatment during the three growing seasons. The ΣETc of I100 was higher than the other treatment across all the seasons, in the second part of the cycle. The ΣETc of I50 was lower than I100-0 from the beginning until the end of the cycle only in the second year of the experiment.
For each treatment, irrigation started on 7 June, 20 May, and 28 May in the 2013, 2014, and 2017 growing seasons, respectively. Table 2 shows the amount of irrigation water applied at a seasonal scale during the trial period. All the treatments received a higher amount of irrigation water during the 2017 season (Figure 5). Irrigation was interrupted for I100-0 on 27 July, 10 July, and 25 July in the 2013, 2014, and 2017 growing seasons, respectively. In the Supplementary Material, Table S1 shows the amount of water applied per each irrigation application.

3.3. LAI, Biomass, and Estimated Ethanol Production

The LAI of I100 was significantly higher than the other two deficit irrigation treatments at the end of each growth season (I100: 5.2 ± 0.28 m2 m−2; I50: 3.8 ± 0.34 m2 m−2; I100-0: 3.3 ± 0.23 m2 m−2). During the first year, I100 showed a significantly higher LAI than the other treatments since DAS 74.; there were no differences between the I50 and I100-0 LAIs. During the 2014 season, no difference in LAI was detected (except for the last day of measurement). At DAS 61 and 68 of the 2017 season, there were no differences between the LAIs of I100 and I50, but both were significantly different from I100-0; from DAS 75 until the end of the season, the I100 LAI was significantly higher than that of the other two treatments, and, in the same period, there were no statistically significant differences between the LAIs of I50 and I100-0 (Figure 6).
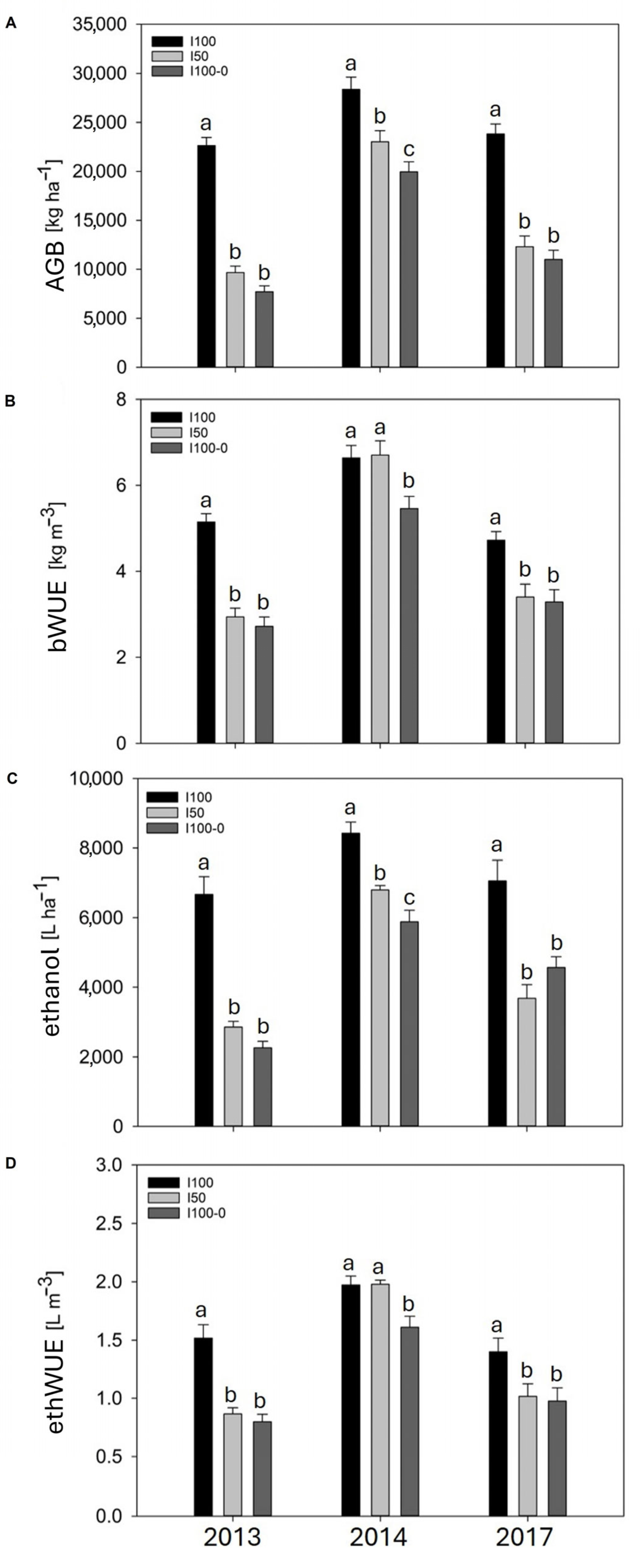
Every year, treatment I100 led to a statistically significant higher final production of sorghum biomass than the other treatments. I50 showed a higher biomass production in seasons 2013 and 2014 (Figure 7A,B). Table 2 reports the amount of sorghum biomass cellulose and hemicellulose produced and normalized per season and per irrigation treatment. Biomass production showed significant differences between the seasons: in 2013, there was the lowest production of biomass (13,300 kg ha−1), and in 2014 the highest biomass production (23,800 kg ha−1) was observed. No differences were observed in cellulose and hemicellulose percentage between treatments and across the seasons; cellulose and hemicellulose production was ~32% and ~25%, respectively, for all the treatments and seasons. Significant interactions between irrigation treatment and season were observed for biomass production, differently from cellulose and hemicellulose, for which the interaction was not significant.
The estimated ethanol production was significantly higher for I100 than I50 and I100-0 for all the growing seasons. A difference between I50 and I100-0 was detected only in 2014 (Figure 7C). Significant differences in ethanol production were observed across the seasons and treatments (Table 2): the highest production was obtained in 2014 (7035 L ha−1), and the most productive treatment was I100 (7383 L ha−1). The interaction between irrigation treatment and season was statistically significant for estimated ethanol production.

3.4. Water Use Efficiency and Water Productivity

Differences in biomass water use efficiency between I100 and I50 were observed in the 2013 and 2017 seasons (2013: I100, 5.14 kg m−3, I50, 2.94 kg m−3; 2017; I100, 4.72 kg m−3, I50, 3.40 kg m−3). No significant difference was observed between I100 and I50 during the 2014 season, while on the other hand, significant differences were observed between I50 (6.70 kg m−3) and I100-0 (5.46 kg m−3). The same patterns occurred for ethanol water use efficiency (Figure 7) in all seasons of the study. The results presented in Table 2 show significant differences in biomass yield, ethanol production, and water use efficiency in both seasons and irrigation treatments. The 2014 season recorded the highest values for biomass (23,800 kg ha−1), ethanol production (7035 L ha−1), and water productivity (bWP: 15.94 kg m−3; ethWP: 4.71 L m−3). Among the irrigation treatments, I50 consistently demonstrated the best balance between resource efficiency and productivity, achieving a higher ethanol water use efficiency (ethWUE: 1.38 L m−3) and productivity (ethWP: 3.23 L m−3) than I100-0. This indicates that a moderate water deficit can increase efficiency while maintaining acceptable biomass and ethanol yields. In contrast, full irrigation (I100) produced the highest absolute biomass (24,944 kg ha−1) and ethanol yield (7383 L ha−1), highlighting its potential under non-water-limiting conditions. These observations are further illustrated in Figure 8, which shows the relationship between water use efficiency (bWUE and ethWUE) and productivity (biomass and ethanol) for the different irrigation treatments across all seasons. The figure highlights the balance between efficiency and productivity, with I50 as the most efficient treatment in terms of biomass and ethanol production per unit of water used.

4. Discussion

Sorghum is a crop that requires irrigation to achieve optimal growth and productivity; particularly, the biomass productivity and water use of energy sorghum are affected by irrigation levels [38]. In the present research, the results follow the pattern mentioned above. Sorghum irrigated replacing 100% of the ETc (I100) showed the highest final values of LAI and aboveground biomass; the latter parameter was higher for all the irrigation treatments during the second year of the experiment than the first and the third. This could be attributed to the high amount of precipitation that fell during the 2014 summer.
Few studies have investigated the effect of different irrigation levels on biomass composition. Enciso et al. [39] reported that the irrigation water amount did not cause differences in sorghum dry biomass composition, with no effects on biofuel quality. In this study, the irrigation level did not compromise the amount of cellulose and hemicellulose of sorghum during all the seasons of the trial, confirming the results of Enciso et al. [39]. In this research, the content of cellulose and hemicellulose was higher (~32% and ~25%, respectively, each year) than what was reported by Zhao et al. [40] in China (19–27% of cellulose and 16–23% of hemicellulose), confirming what already reported by Campi et al. [2], in a previous study that investigated the effect of irrigation with wastewater on sorghum biomass composition under Mediterranean conditions. On the other hand, they did not find a significant effect in terms of the season on the hemicellulose content, different from the present research. Fracasso et al. [41] evaluated the performance of different sorghum cultivars grown under rainfed and irrigated conditions in the north of Italy. The Bulldozer cultivar had lower values of cellulose content (between 24 and 27% of cellulose) than those of the present study but a similar hemicellulose content (~24%). Moreover, in their study, cellulose content was affected by irrigation water application. Taken together, these findings may suggest that the cultivation environment and climatic zones could significantly affect the cellulose content in sorghum. Considering that cellulose and hemicellulose are both sources of fermentable sugars that can be converted into biofuel, their high content in dry biomass is necessary to ensure sufficient ethanol production [42,43,44,45], and long-term studies seem to be required to assess the content of these sorghum biomass structural components in different cultivars in the Mediterranean basin and to identify adequate field practices to maximize their content in sorghum dry biomass.
Studies carried out on sorghum performance under different irrigation regimes, in the same region as the present research, are not so numerous; Maucieri et al. [46] studied sorghum biomass production in southern Italy with different levels of irrigation (0%, 33%, 66%, and 100% ETc) using treated urban wastewater. Their results indicate that the highest dry biomass yield was obtained with full irrigation (100% ETc), while reduced irrigation levels significantly reduced biomass accumulation. This is in line with our results, in which full irrigation provided the highest biomass yield, confirming the importance of providing an adequate water supply in Mediterranean climates. Similarly, Habyarimana et al. [47] evaluated the performance of 75 sorghum genotypes under both irrigated and rainfed conditions at three locations in Italy. They reported that irrigated sorghum achieved significantly higher dry biomass yields (33–51 t ha−1) than rainfed conditions (20–29 t ha−1). Their study also showed a significant interaction between genotype and location, suggesting that environmental variability plays an important role in biomass production. Our results confirm these findings, showing a marked reduction in biomass production under deficit irrigation conditions, emphasizing the need to adapt irrigation strategies to local climatic and soil conditions. Also, Garofalo and Rinaldi [7] conducted a trial in the same region as the current research on the effect of different irrigation levels on sorghum biomass water use efficiency. They reported that sorghum biomass had a high potential productivity of dry matter under Mediterranean conditions, whether or not water demands were adequately satisfied. In this study, the I100 treatment showed the highest level of bWUE in 2013 and 2017. In 2014, the bWUE of I100 and I50 were comparable; probably, the high amount of rainfall overturned the effect of irrigation water deprivation [48,49]. bWUE values were in line with the literature (between 2.89 kg m−3 and 3.75 kg m−3) for the I50 and I100-0 treatments [50]; in contrast, I100 showed a notably higher bWUE. I100 and I100-0 showed comparable values of bWP (see Table 2), with no statistically significant differences. However, for bWUE (see Figure 7), I100 showed significantly higher values than I100-0, indicating greater efficiency in converting water to biomass under full irrigation; instead, I50 showed a higher water productivity, appearing as the most efficient treatment in terms of the use of water in sorghum cultivation. The relationships between biomass and bWUE, and between ethanol yield and ethWUE, further support these results. The I100 treatment achieved the highest bWUE values, particularly at the highest biomass yields (25–30 kg ha−1) and also provided the highest ethanol yields (>6000 L ha−1), along with the highest ethWUE values (>2 L m−3). These results are consistent with the observation that full irrigation maximizes both biomass and ethanol productivity and water use efficiency. However, the I50 treatment emerged as a balanced alternative that can maintain substantial biomass (15–20 kg ha−1) and ethanol (4000-6000 L ha−1) yields, while maintaining the bWUE (5–6 kg m−3) and ethWUE (1.5–2 L m−3). This highlights that I50 is a sustainable strategy to optimize water use without drastically reducing productivity. In contrast, the I0 treatment produced the lowest values for both bWUE (3–4 kg m−3) and ethWUE (<1.5 L m−3), highlighting the important role of supplemental irrigation in improving productivity and efficiency. These results are in line with those of Aydinsakir et al. [25] and Pang et al. [26], who showed that moderate water deficits, as in the I50 treatment, can maintain acceptable bioethanol yields and water use efficiency. However, the highest productivity and efficiency is generally achieved with full irrigation (I100), highlighting the trade-off between water savings and maximum yields.
Sweet sorghum has a minor relevance in producing refined sugar when compared with other crops, such as sugar beet and sugarcane; nonetheless, it is a more efficient crop, since the input required to produce raw juice for ethanol yields is less than with those crops [51]. In this study, total ethanol production was higher for the I100 treatments each year than the other irrigation treatments, due to the higher amount of biomass produced, since ethanol production, dry biomass, and LAI are strictly related [52]. Average ethanol production was higher in the 2014 season, due to the higher water amount received. These results are in line with Neto et al. [53], who found that when starch crops like sorghum and maize (Zea mays L., 1753) are fully watered they can allow for a higher ethanol production. Ethanol water indices followed biomass water indices trends, with a higher ethWP in 2014 than other seasons and a higher productivity performance by I50 than the other treatments.

5. Conclusions and Future Directions

This study highlighted significant outcomes regarding the effectiveness of irrigation strategies for energy sorghum cultivation, within a Mediterranean context, characterized by limited water resources. Full irrigation consistently led to the highest biomass production across the study period, underlining its effectiveness in maximizing yields in water-sufficient scenarios. In contrast, regulated deficit irrigation resulted in the lowest biomass yields among the three treatments. This highlighted the impact of water limitation on biomass productivity in energy sorghum. Although full irrigation offers the significant opportunity to increase biomass yields, under conditions of limited water availability, deficit irrigation offers less risk than regulated deficit irrigation, providing, compared to the latter, higher yields (of both biomass and calculated ethanol), as well as a higher water use efficiency and productivity. The irrigation level did not significantly alter the biomass composition in terms of cellulose and hemicellulose content, which are crucial for bioethanol production; this finding suggests that even under reduced water conditions, fermentable sugar content remained unaffected. Long-term field studies are necessary to assess cellulose and hemicellulose content in energy sorghum under different environmental conditions in the Mediterranean basin. The outcomes of this study could be useful for strategic irrigation planning in energy sorghum growing, especially in arid and semi-arid areas. The results point to the need to adapt irrigation practices to balance yield maximization and irrigation water preservation, depending on the specific aim of the farmer (biomass production or water use efficiency) and environmental conditions.
Future research should focus on optimizing irrigation strategies by integrating additional agronomic practices aimed at improving water retention and mitigating thermal stress. The use of soil amendments such as organic mulches and compost could enhance soil moisture conservation, improve plant water status, and sustain biomass productivity under limited water availability [54]. Additionally, the application of mineral-based protective coatings, such as reflective particle films, may help reduce canopy temperatures and improve photosynthetic efficiency, potentially enhancing crop resilience to heat and drought stress [55]. Investigating the combined effects of these techniques with different irrigation levels could provide valuable insights into sustainable sorghum production, particularly in arid and semi-arid environments.

Supplementary Materials

The following supporting information can be downloaded at: https://www.mdpi.com/article/10.3390/w17040578/s1, Table S1: Daily amount of rainfall and irrigation water applied during the three years of the experiment for each treatment (full irrigation, I100; deficit irrigation, I50; regulated deficit irrigation, I100-0).

Author Contributions

Conceptualization, S.P.G., A.F.M. and P.C.; Data curation, S.P.G., G.d.C., A.F.M. and P.C.; Formal analysis, S.P.G.; Investigation, S.P.G., A.F.M. and P.C.; Methodology, S.P.G., A.F.M. and P.C.; Project administration, P.C.; Resources, P.C.; Software, S.P.G. and P.C.; Supervision, P.C.; Visualization, S.P.G.; Writing—original draft, S.P.G. and P.C.; Writing—review and editing, A.F.M. and P.C. All authors have read and agreed to the published version of the manuscript.

Funding

This research received no external funding.

Data Availability Statement

The raw data supporting the conclusions of this article will be made available by the authors on request.

Conflicts of Interest

The authors declare no conflicts of interest.

References

  1. Fernando, A.L.; Duarte, M.P.; Almeida, J.; Boléo, S.; Mendes, B. Environmental impact assessment of energy crops cultivation in Europe. Biofuels Bioprod. Biorefining 2010, 4, 594–604. [Google Scholar] [CrossRef]
  2. Campi, P.; Navarro, A.; Domenico Palumbo, A.; Solimando, M.; Lonigro, A.; Mastrorilli, M. Productivity of energy sorghum irrigated with reclaimed wastewaters. Ital. J. Agron. 2014, 9, 115–119. [Google Scholar] [CrossRef]
  3. McKendry, P. Energy production from biomass (part 1): Overview of biomass. Bioresour. Technol. 2002, 83, 37–46. [Google Scholar] [CrossRef] [PubMed]
  4. Zema, D.A.; Bombino, G.; Andiloro, S.; Zimbone, S.M. Irrigation of energy crops with urban wastewater Effects on biomass yields, soils and heating values. Agric. Water Manag. 2012, 115, 55–65. [Google Scholar] [CrossRef]
  5. Steduto, P.; Katerji, N.; Puertos-Molina, H.; Unlu, M.; Mastrorilli, M.; Rana, G. Water-use efficiency of sweet sorghum under water stress conditions:gas-exchange investigations at leaf and canopy scales. Field Crops Res. 1997, 54, 221–234. [Google Scholar] [CrossRef]
  6. Mastrorilli, M.; Katerji, N.; Rana, G. Productivity water use efficiency of sweet sorghum as affected by soil water deficit occurring at different vegetative growth stages. Eur. J. Agron. 1999, 11, 207–215. [Google Scholar] [CrossRef]
  7. Garofalo, P.; Rinaldi, M. Water-use efficiency of irrigated biomass sorghum in a Mediterranean environment. Span. J. Agric. Res. 2013, 11, 1153–1169. [Google Scholar] [CrossRef]
  8. Assefa, Y.; Staggenborg, S.A.; Prasad, V.P. Grain sorghum water requirement and responses to drought stress: A review. Crop Manag. 2010, 9, 1–11. [Google Scholar] [CrossRef]
  9. Singh, B.R.; Singh, D.P. Agronomic and physiological responses of sorghum, maize and pearl millet to irrigation. Field Crops Res. 1995, 42, 57–67. [Google Scholar] [CrossRef]
  10. Girma, F.S.; Krieg, D.R. Osmotic Adjustment in Sorghum: I. Mechanisms of Diurnal Osmotic Potential Changes, Plant Physiol. 1992, 99, 577–582. [Google Scholar] [CrossRef]
  11. Wright, G.C.; Smith, R.C.G.; McWilliam, J.R. Differences between two grain sorghum genotypes in adaptation to drought stress. I. Crop growth and yield responses. Aust. J. Agric. Res. 1983, 34, 615–626. [Google Scholar] [CrossRef]
  12. Djanaguiraman, M.; Gowsiga, S.; Govindaraj, M.; Habyarimana, E.; Senthil, A.; Thavaprakaash, N.; Jeyakumar, P.; Kokilavani, J.; Chellammal, C. Impact of root architecture and transpiration rate on drought tolerance in stay-green sorghum. Crop Sci. 2024, 64, 2612–2629. [Google Scholar] [CrossRef]
  13. Ajjur, S.B.; Al-Ghamdi, S.G. Evapotranspiration and water availability response to climate change in the Middle East and North Africa. Clim. Change 2021, 166, 28. [Google Scholar] [CrossRef]
  14. Campi, P.; Modugno, A.F.; De Carolis, G.; Pedrero Salcedo, F.; Lorente, B.; Garofalo, S.P. A Machine Learning Approach to Monitor the Physiological and Water Status of an Irrigated Peach Orchard under Semi-Arid Conditions by Using Multispectral Satellite Data. Water 2024, 16, 2224. [Google Scholar] [CrossRef]
  15. Garofalo, S.P.; Giannico, V.; Lorente, B.; García AJ, G.; Vivaldi, G.A.; Thameur, A.; Salcedo, F.P. Predicting carob tree physiological parameters under different irrigation systems using Random Forest and Planet satellite images. Front. Plant Sci. 2024, 15, 1302435. [Google Scholar] [CrossRef]
  16. Alsanad, M.A.; Emara, E.I.R. Optimizing Bioethanol (C2H5OH) Yield of Sweet Sorghum Varieties in a Semi-Arid Environment: The Impact of Deheading and Deficit Irrigation. Water 2024, 16, 1456. [Google Scholar] [CrossRef]
  17. Campi, P.; Gaeta, L.; Mastrorilli, M.; Losciale, P. Innovative soil management and micro-climate modulation for saving water in peach orchards. Front. Plant Sci. 2020, 11, 544947. [Google Scholar] [CrossRef]
  18. Garofalo, S.P.; Intrigliolo, D.S.; Camposeo, S.; Alhajj Ali, S.; Tedone, L.; Lopriore, G.; De Mastro, G.; Vivaldi, G.A. Agronomic Responses of Grapevines to an Irrigation Scheduling Approach Based on Continuous Monitoring of Soil Water Content. Agronomy 2023, 13, 2821. [Google Scholar] [CrossRef]
  19. Katerji, N.; Mastrorilli, M.; Rana, G. Water use efficiency of crops cultivated in the Mediterranean region: Review analysis. Eur. J. Agron. 2008, 28, 493–507. [Google Scholar] [CrossRef]
  20. Kirda, C. Deficit Irrigation Scheduling Based on Plant Growth Stages Showing Water Stress Tolerance; FAO Corp: Rome, Italy, 2002; pp. 3–10. Available online: https://www.fao.org/3/y3655e/y3655e03.htm (accessed on 1 February 2025).
  21. Consoli, S.; Stagno, F.; Roccuzzo, G.; Cirelli, G.L.; Intrigliolo, F. Sustainable management of limited water resources in a young orange orchard. Agric. Water Manag. 2014, 132, 60–68. [Google Scholar] [CrossRef]
  22. Consoli, S.; Stagno, F.; Vanella, D.; Boaga, J.; Cassiani, G.; Roccuzzo, G. Partial root-zone drying irrigation in orange orchards: Effects on water use crop production characteristics. Eur. J. Agron. 2017, 82, 190–202. [Google Scholar] [CrossRef]
  23. Jiao, F.; Ding, R.; Du, T.; Kang, J.; Tong, L.; Gao, J.; Shao, J. Multi-growth stage regulated deficit irrigation improves maize water productivity in an arid region of China. Agric. Water Manag. 2024, 297, 108827. [Google Scholar] [CrossRef]
  24. Zeleke, K.; Nendel, C. Yield response and water productivity of soybean (Glycine max L.) to deficit irrigation and sowing time in south-eastern Australia. Agric. Water Manag. 2024, 296, 108815. [Google Scholar] [CrossRef]
  25. Aydinsakir, K.; Buyuktas, D.; Dinç, N.; Erdurmus, C.; Bayram, E.; Bayir Yegin, A. Yield and bioethanol productivity of sorghum under surface and subsurface drip irrigation. Agric. Water Manag. 2021, 243, 106452. [Google Scholar] [CrossRef]
  26. Pang, B.; Zhang, K.; Kisekka, I.; Bean, S.; Zhang, M.; Wang, D. Evaluating effects of deficit irrigation strategies on grain sorghum attributes and biofuel production. J. Cereal Sci. 2018, 79, 13–20. [Google Scholar] [CrossRef]
  27. Specie Ospiti di Xylella Fastidiosa in Salento. Available online: http://www.infoxylella.it/specie-ospiti-xylella-fastidiosa (accessed on 1 February 2024).
  28. Costanza, L.; Maldera, F.; Garofalo, S.P.; Vivaldi, G.A.; Camposeo, S. Ecological optima show the potential diffusion of minor tree crops in Xylella fastidiosa subsp. pauca-infected areas through a GIS-Based Approach. Front. Agron. 2024, 6, 1421627. [Google Scholar] [CrossRef]
  29. Campi, P.; Mastrorilli, M.; Stellacci, A.M.; Modugno, F.; Palumbo, A.D. Increasing the effective use of water in green asparagus through deficit irrigation strategies. Agric. Water Manag. 2019, 217, 119–130. [Google Scholar] [CrossRef]
  30. Barca, E.; De Benedetto, D.; Stellacci, A.M. Optimization of sampling design for soil total organic carbon assessment in the precision agriculture framework: Impact of different variogram models and potentiality of ground penetrating radar (GPR) covariate information. Comput. Electron. Agric. 2024, 226, 109470. [Google Scholar] [CrossRef]
  31. Allen, R.G.; Pereira, L.S.; Raes, D.; Smith, M. Crop Evapotranspiration-Guidelines for Computing Crop Water Requirements-FAO Irrigation And Drainage Paper 56; Fao: Rome, Italy, 1998; Volume 300, p. D05109. [Google Scholar]
  32. Lhomme, J.P.; Katerji, N. A simple modelling of crop water balance for agrometeorological application. Ecol. Model. 1991, 57, 11–25. [Google Scholar] [CrossRef]
  33. Mastrorilli, M.; Katerji, N.; Rana, G.; Ben Nouna, B. Daily actual evapotranspiration measured with TDR technique in Mediterranean conditions. Agric. Forest Meteor. 1998, 90, 81–89. [Google Scholar] [CrossRef]
  34. Rana, G.; Katerji, N. Operational model for direct determination of evapotranspiration for well watered crops in Mediterranean region. Theor. Appl. Climatol. 2009, 97, 243–253. [Google Scholar] [CrossRef]
  35. Van Soest, P.J.; Robertson, J.B.; Lewis, B.A. Methods for Dietary Fiber, Neutral Detergent Fiber, and Nonstarch Polysaccharides in Relation to Animal Nutrition. J. Dairy Sci. 1991, 74, 3583–3597. [Google Scholar] [CrossRef] [PubMed]
  36. The Japan Institute of Energy. The Asian Biomass Handbook. A Guide for Biomass Production and Utilization; The Japan Institute of Energy: Tokyo, Japan, 2008. [Google Scholar]
  37. Fernández, J.E.; Alcon, F.; Diaz-Espejo, A.; Hernandez-Santana, V.; Cuevas, M.V. Water use indicators and economic analysis for on-farm irrigation decision: A case study of a super high density olive tree orchard. Agric. Water Manag. 2020, 237, 106074. [Google Scholar] [CrossRef]
  38. Chavez, J.C.; Enciso, J.; Meki, M.N.; Jeong, J.; Singh, V.P. Simulation of energy sorghum under limited irrigation levels using the EPIC model. Trans. ASABE 2018, 61, 121–131. [Google Scholar] [CrossRef]
  39. Enciso, J.; Jifon, J.; Ribera, L.; Zapata, S.D.; Ganjegunte, G.K. Yield, water use efficiency and economic analysis of energy sorghum in South Texas. Biomass Bioenergy 2015, 81, 339–344. [Google Scholar] [CrossRef]
  40. Zhao, Y.L.; Dolat, A.; Steinberger, Y.; Wang, X.; Osman, A.; Xie, G.H. Biomass yield and changes in chemical composition of sweet sorghum cultivars grown for biofuel. Field Crops Res. 2009, 111, 55–64. [Google Scholar] [CrossRef]
  41. Fracasso, A.; Perego, A.; Amaducci, S. Characterisation of ten commercial sorghum genotypes grown under water-limited conditions for bioenergy production in Mediterranean environment. Ital. J. Agron. 2017, 12, 302–314. [Google Scholar] [CrossRef]
  42. Avanthi, A.; Kumar, S.; Sherpa, K.C.; Banerjee, R. Bioconversion of hemicelluloses of lignocellulosic biomass to ethanol: An attempt to utilize pentose sugars. Biofuels 2017, 8, 431–444. [Google Scholar] [CrossRef]
  43. Alabdalall, A.H.; Almutari, A.A.; Aldakeel, S.A.; Albarrag, A.M.; Aldakheel, L.A.; Alsoufi, M.H.; Alfuraih, L.Y.; Elkomy, H.M. Bioethanol production from lignocellulosic biomass using Aspergillus niger and Aspergillus flavus hydrolysis enzymes through immobilized S. cerevisiae. Energies 2023, 16, 823. [Google Scholar] [CrossRef]
  44. Propheter, J.L.; Staggenborg, S.A.; Wu, X.; Wang, D.J.A.J. Performance of annual and perennial biofuel crops: Yield during the first two years. Agron. J. 2010, 102, 806–814. [Google Scholar] [CrossRef]
  45. Billa, E.; Koullas, D.P.; Monties, B.; Koukios, E.G. Structure and composition of sweet sorghum stalk components. Ind. Crops Prod. 1997, 6, 297–302. [Google Scholar] [CrossRef]
  46. Maucieri, C.; Cavallaro, V.; Caruso, C.; Borin, M.; Milani, M.; Barbera, A.C. Sorghum biomass production for energy purpose using treated urban wastewater and different fertilization in a Mediterranean environment. Agriculture 2016, 6, 67. [Google Scholar] [CrossRef]
  47. Habyarimana, E.; Laureti, D.; De Ninno, M.; Lorenzoni, C. Performances of biomass sorghum [Sorghum bicolor (L.) Moench] under different water regimes in Mediterranean region. Ind. Crops Prod. 2004, 20, 23–28. [Google Scholar] [CrossRef]
  48. Akinseye, F.M.; Folorunsho, A.H.; Hakeem, A.; Agele, S.O. Impacts of rainfall and temperature on photoperiod insensitive sorghum cultivar: Model evaluation and sensitivity analysis. J. Agrometeorol. 2019, 21, 262–269. [Google Scholar] [CrossRef]
  49. Hadebe, S.T.; Mabhaudhi, T.; Modi, A.T. Water use of sorghum (Sorghum bicolor, L. Moench) in response to varying planting dates evaluated under rainfed conditions. Water SA 2017, 43, 91–103. [Google Scholar] [CrossRef]
  50. Farré, I.; Faci, J.M. Comparative response of maize (Zea mays L.) and sorghum (Sorghum bicolor L. Moench) to deficit irrigation in a Mediterranean environment. Agric. Water Manag. 2006, 83, 135–143. [Google Scholar] [CrossRef]
  51. Whitfield, M.B.; Chinn, M.S.; Veal, M.W. Processing of materials derived from sweet sorghum for biobased products. Ind. Crops Prod. 2012, 37, 362–375. [Google Scholar] [CrossRef]
  52. Tang, C.; Li, S.; Li, M.; Xie, G.H. Bioethanol potential of energy sorghum grown on marginal and arable lands. Front. Plant Sci. 2018, 9, 291348. [Google Scholar] [CrossRef]
  53. Chaiben, M.; Robaina, A.D.; Peiter, M.X.; Rodrigues, S.A.; Flores, Y.R.; Bruning, J.; Silva, J.G.D.; Ferreira, L.D. Economic indicators for ethanol production from starch crops under different irrigation managements. Rev. Bras. Eng. Agrícola E Ambient. 2022, 26, 640–648. [Google Scholar] [CrossRef]
  54. Abd El-Mageed, T.A.; El-Samnoudi, I.M.; Ibrahim, A.E.A.M.; Abd El Tawwab, A.R. Compost mulching modulates morphological physiological responses water use efficiency in sorghum (bicolor, L. Moench) under low moisture regime. Agric. Water Manag. 2018, 208, 431–439. [Google Scholar] [CrossRef]
  55. Petoumenou, D.G. Enhancing Yield and Physiological Performance by Foliar Applications of Chemically Inert Mineral Particles in a Rainfed Vineyard under Mediterranean Conditions. Plants 2023, 12, 1444. [Google Scholar] [CrossRef]
Figure 1. Flowchart of the research work.
Figure 1. Flowchart of the research work.
Water 17 00578 g001
Figure 2. Weather conditions recorded at the experimental site during the three growing seasons ((A): 2013; (B): 2014; (C): 2017). The graphs show the daily maximum and minimum temperatures (°C, left y-axis) and daily rainfall (mm/day, right y-axis) from May to October of each year.
Figure 2. Weather conditions recorded at the experimental site during the three growing seasons ((A): 2013; (B): 2014; (C): 2017). The graphs show the daily maximum and minimum temperatures (°C, left y-axis) and daily rainfall (mm/day, right y-axis) from May to October of each year.
Water 17 00578 g002
Figure 3. Daily variation in the soil water content (SWC), as the average of the SWC detected at 0.16 m and 0.33 m depths, for each treatment (full irrigation, I100; deficit irrigation, I50; regulated deficit irrigation, I100-0) during the three years of the trial (2013 (A); 2014 (B); 2017 (C)); FC, RAW, and WP indicate the field capacity, readily available water, and wilting point thresholds of the soil, respectively; DAS indicates days after sowing.
Figure 3. Daily variation in the soil water content (SWC), as the average of the SWC detected at 0.16 m and 0.33 m depths, for each treatment (full irrigation, I100; deficit irrigation, I50; regulated deficit irrigation, I100-0) during the three years of the trial (2013 (A); 2014 (B); 2017 (C)); FC, RAW, and WP indicate the field capacity, readily available water, and wilting point thresholds of the soil, respectively; DAS indicates days after sowing.
Water 17 00578 g003
Figure 4. Daily trend of cumulative ETc (ΣETc) for each treatment (full irrigation, I100; deficit irrigation, I50; regulated deficit irrigation, I100-0) during the three years of the trial (2013 (A); 2014 (B); 2017 (C)); DAS indicates days after sowing.
Figure 4. Daily trend of cumulative ETc (ΣETc) for each treatment (full irrigation, I100; deficit irrigation, I50; regulated deficit irrigation, I100-0) during the three years of the trial (2013 (A); 2014 (B); 2017 (C)); DAS indicates days after sowing.
Water 17 00578 g004
Figure 5. Daily trend of cumulative irrigation applied (ΣIrrigation) for each treatment (full irrigation, I100; deficit irrigation, I50; regulated deficit irrigation, I100-0) during the three years of the trial (2013 (A); 2014 (B); 2017 (C)); DAS indicates days after sowing.
Figure 5. Daily trend of cumulative irrigation applied (ΣIrrigation) for each treatment (full irrigation, I100; deficit irrigation, I50; regulated deficit irrigation, I100-0) during the three years of the trial (2013 (A); 2014 (B); 2017 (C)); DAS indicates days after sowing.
Water 17 00578 g005
Figure 6. Trends in the mean and standard error of leaf area index (m2 m−2) for each treatment (full irrigation, I100; deficit irrigation, I50; regulated deficit irrigation, I100-0) during the three years of the trial (2013 (A); 2014 (B); 2017 (C)); DAS indicates days after sowing. Different letters indicate significant differences (p < 0.05).
Figure 6. Trends in the mean and standard error of leaf area index (m2 m−2) for each treatment (full irrigation, I100; deficit irrigation, I50; regulated deficit irrigation, I100-0) during the three years of the trial (2013 (A); 2014 (B); 2017 (C)); DAS indicates days after sowing. Different letters indicate significant differences (p < 0.05).
Water 17 00578 g006
Figure 7. The amount of aboveground biomass ((A); kg ha−2), biomass water use efficiency ((B); kg m−3), the amount of calculated ethanol production ((C); L m−3), and ethanol water use efficiency ((D); L m−3) for each treatment (full irrigation, I100; deficit irrigation, I50; regulated deficit irrigation, I100-0) during the study period. Different letters indicate significant differences (p < 0.05).
Figure 7. The amount of aboveground biomass ((A); kg ha−2), biomass water use efficiency ((B); kg m−3), the amount of calculated ethanol production ((C); L m−3), and ethanol water use efficiency ((D); L m−3) for each treatment (full irrigation, I100; deficit irrigation, I50; regulated deficit irrigation, I100-0) during the study period. Different letters indicate significant differences (p < 0.05).
Water 17 00578 g007
Figure 8. Relationship between water use efficiency and productivity for the three irrigation treatments (I0, I50, I100). (A) Biomass water use efficiency (bWUE) vs. biomass production. (B) Ethanol water use efficiency (ethWUE) vs. ethanol production.
Figure 8. Relationship between water use efficiency and productivity for the three irrigation treatments (I0, I50, I100). (A) Biomass water use efficiency (bWUE) vs. biomass production. (B) Ethanol water use efficiency (ethWUE) vs. ethanol production.
Water 17 00578 g008
Table 1. The amount of precipitation (P), reference evapotranspiration (ET0), crop evapotranspiration (ETc), and cumulated irrigation water applied (full irrigation, I100; deficit irrigation, I50; regulated deficit irrigation, I100-0) for the three years of the experiment.
Table 1. The amount of precipitation (P), reference evapotranspiration (ET0), crop evapotranspiration (ETc), and cumulated irrigation water applied (full irrigation, I100; deficit irrigation, I50; regulated deficit irrigation, I100-0) for the three years of the experiment.
P (mm)ET0 (mm)P-ET0
(mm)
201391496−424
2014336486−207
2017122568−495
ETc (mm)
I100-0I100I50
2013439329289
2014427344365
2017504362335
Irrigation water applied (mm)
I100-0I100I50
2013310155160
2014225113135
2017404202217
Table 2. Impact of seasonal variation and irrigation treatments on sorghum cellulose, hemicellulose, biomass yield, estimated ethanol production, and water use efficiency (bWUE, ethWUE) and productivity (bWP, ethWP). Data are presented as mean values, with letters indicating significant differences between treatments and seasons. n.s. = not significant. *** = significant at p < 0.001.
Table 2. Impact of seasonal variation and irrigation treatments on sorghum cellulose, hemicellulose, biomass yield, estimated ethanol production, and water use efficiency (bWUE, ethWUE) and productivity (bWP, ethWP). Data are presented as mean values, with letters indicating significant differences between treatments and seasons. n.s. = not significant. *** = significant at p < 0.001.
Treatments Cellulose (%)Hemicellulose
(%)
Biomass (kg ha−1)Ethanol (L ha−1)bWUE (kg m-3)ethWUE (L m−3)bWP
(kg m−3)
ethWP (L m−3)
Season (S)201332.524.913,300 c3928 c3.60 b1.06 b6.11 b1.80 b
201432.725.023,800 a7035 a6.26 a1.85 a15.94 a4.71 a
201732.924.915,700 b5325 b3.80 b1.13 b5.69 b1.69 c
Irrigation water (I)I10032.824.824,944 a7383 a5.50 a1.66 a8.59 b2.54 b
I5032.825.015,000 b4444 b4.34 b1.38 b10.93 a3.23 a
I100-032.525.012,888 c3803 c3.82 c1.17 c8.21 b2.42 b
pSn.s.n.s.******************
In.s.n.s.******************
S x In.s.n.s.******************
Disclaimer/Publisher’s Note: The statements, opinions and data contained in all publications are solely those of the individual author(s) and contributor(s) and not of MDPI and/or the editor(s). MDPI and/or the editor(s) disclaim responsibility for any injury to people or property resulting from any ideas, methods, instructions or products referred to in the content.

Share and Cite

MDPI and ACS Style

Garofalo, S.P.; Modugno, A.F.; de Carolis, G.; Campi, P. Energy of Sorghum Biomass Under Deficit Irrigation Strategies in the Mediterranean Area. Water 2025, 17, 578. https://doi.org/10.3390/w17040578

AMA Style

Garofalo SP, Modugno AF, de Carolis G, Campi P. Energy of Sorghum Biomass Under Deficit Irrigation Strategies in the Mediterranean Area. Water. 2025; 17(4):578. https://doi.org/10.3390/w17040578

Chicago/Turabian Style

Garofalo, Simone Pietro, Anna Francesca Modugno, Gabriele de Carolis, and Pasquale Campi. 2025. "Energy of Sorghum Biomass Under Deficit Irrigation Strategies in the Mediterranean Area" Water 17, no. 4: 578. https://doi.org/10.3390/w17040578

APA Style

Garofalo, S. P., Modugno, A. F., de Carolis, G., & Campi, P. (2025). Energy of Sorghum Biomass Under Deficit Irrigation Strategies in the Mediterranean Area. Water, 17(4), 578. https://doi.org/10.3390/w17040578

Note that from the first issue of 2016, this journal uses article numbers instead of page numbers. See further details here.

Article Metrics

Back to TopTop